23 Park Ridge, Lisbon

Page 1

23 Park Ridge, Lisbon

Welcome To TEAM / AGENT NAME

Located on a quiet dead-end street sits this pristine multi-family property in Lisbon. Consisting of 5 units, this property is fully occupied with tenants for immediate income. Pride of ownership shines through with many major updates including, but not limited to a new roof, boilers, water heaters, and not to mention, it’s completely lead safe! Several units have been recently renovated and there are two 3-bedroom units, two 2-bedroom units, and one 1-bedroom unit. This property has sprawling ceilings, hardwood floors, and plenty of character. A spacious backyard yard and a separate garage that could also be rented make this the perfect investment.

23 Park Ridge

View From the Top

Exterior

Garage available to rent

Spacious backyard

Professionally managed

Public sewer & water

Kitchen / Dining

Recently renovated apartments 5 units in total Two 3-bedroom units, two 2-bedroom units, and one 1-bedroom unit

Kitchen / Dining

Property is completely lead-free

Stainless steel appliances in majority of units

New water heaters

Lots of major updates

Kitchen / Dining

Four

leases in place - one tenant at will

Living Room

Hardwood floors throughout Soaring ceilings

Living Room

Lots of character

Living Room

Living Room

Natural light

Bedrooms

Bedrooms

Bedrooms

Bedrooms

Bedrooms

Lake Life Realty 87 Whittier HwyMoultonborough, NH 03254 603-403-5944 CASSIE STOKES Realtor® M: 603.851.8901 cassie@lakeliferealty.net Compass is a licensed real estate broker in Massachusetts and Compass Real Estate is a licensed real estate brokerage firm in New Hampshire, Maine, and Vermont and each abides by Equal Housing Opportunity laws. All material presented herein is intended for informational purposes only. Information is compiled from sources deemed reliable but is subject to errors, omissions, changes in price, condition, sale, or withdrawal without notice. Photos may be virtually staged or digitally enhanced and may not reflect actual property conditions.
Cassandra Stokes dotloop verified 10/02/22 6:59 PM EDT YZOG-ZBU3-G8WD-BF64 dotloop signature verification: dtlp.us/qolH-i917-Lmah

Revenue

Rent roll - Monthly

Apt# Lease until

1 $1,300.00 5/31/2023

2 $750.00 TAW

3 $1,305.00 5/31/2023

4 $1,000.00 3/31/2023

5 $489.00 9/30/2023

garage $75.00 (half, starting 9/22)

$4,919.00

Rent roll - Yearly $59,028.00

Vacancy loss (5%) ($2,951.40)

GROSS INCOME $56,076.60

Expenses

RE Tax 3.234% on $219600 Val. $7,121.63

Insurance (2021) $4,169.00

Maintenance+Repairs $2,865.00

Heat ( Propane, metered) tenants pay Water+Sewer (2021) $1,801.00

Landlord electric $599.00

Mow + Snow $2,708.00

Trash $2,160.00

Total Expenses $21,423.63

Net Operating Income $34,652.97

Notes

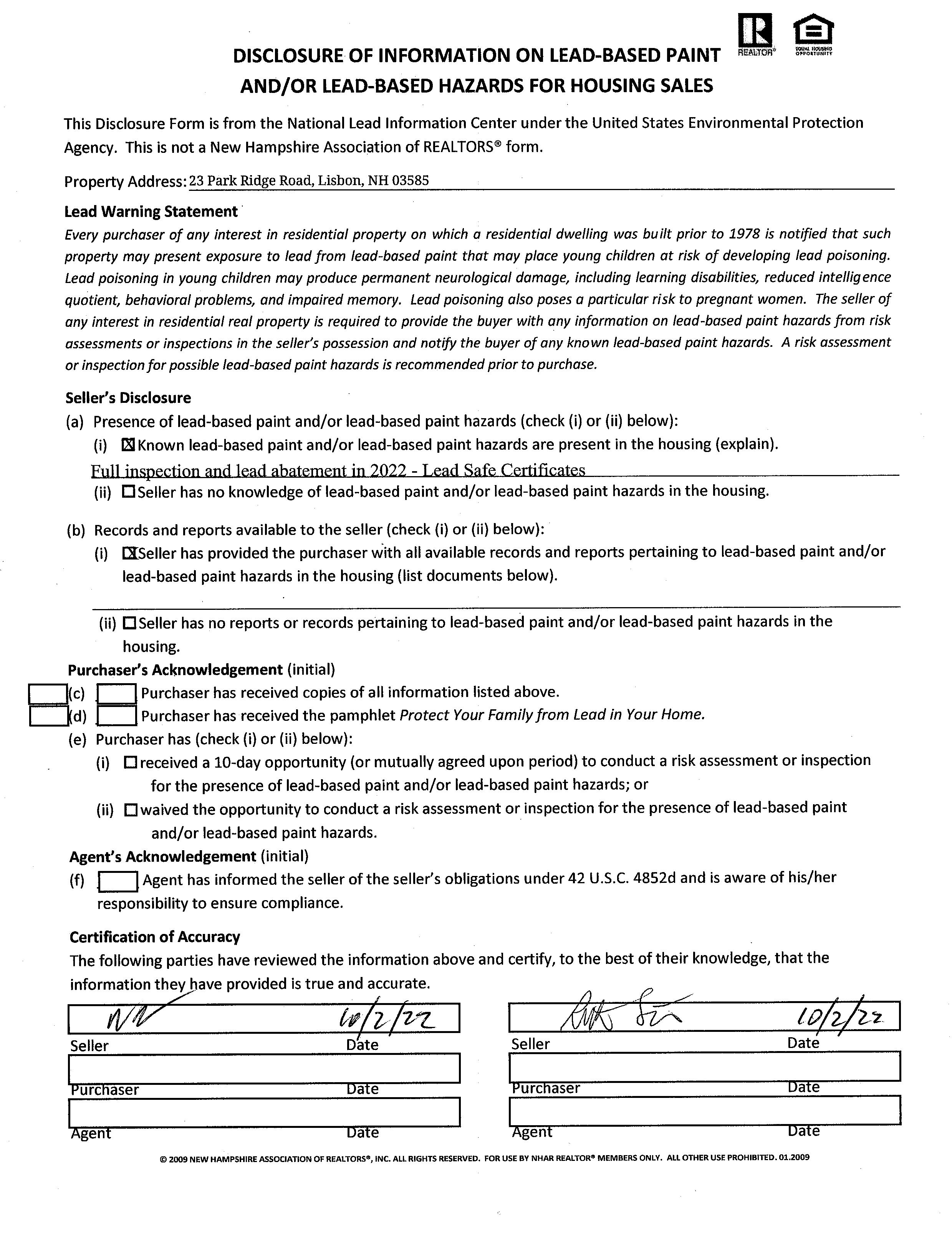
2021-2022 Lead abatement in entire building - New siding.

- Lead-Free Certificate.

- Apt 2 new water heater, new expansion tank

2020 New Roof

Chimneys rebuilt

2019 - Apt 4 Fully renovated, additional bathroom, washer/dryer, additiional insulation in walls

- Apts 1 and 3 gut renovations including plumbing and electical, - Additional insulation in attic and basement

- New Rinnai heater for Apt 5

Before we purchased

2017 - New roof on garage, new refrigerators in 3 apts.

2015 - 4 new water heaters

2008 - Inuslation in Attic and basement

2006 - New windows

- Building rewired

2015 - 4 Boilers replaced

23 Park Ridge, Lisbon

GARAGE*1STRYUNFIN

FIREPLACE1-1STAND

EXTRAKITCHEN

4FRES

PriceGrantor

NOTES

CNOF;WHITE;FD=UNEVENFLRS,LOWPOSTED,DIRTFLRBSMT.5APTS

INBLDG.RENO'DWINDOWS/DOORS[2006]BLOWNININSULATION[2008] STANDINGSEAMROOF[2017]UPDATED4OR5KITCHENS[2006-2010]

18M&L:ADJDGAR&STODIM,ADJDOPU'STOOPF'S;19SR:ADJDMODEL

TYPE&BED/BTHCT,ADDEDCRL&ADJDSPUTOSPF;RMV'DSHEDAFTER SALEHADNOVALUE/COLLASPING.19RVWS:INFOONLY;19ABATE PROCESSED-DENIED

LISBONASSESSINGOFFICE

22x22

7,5002,500.00

100

100

6,0001,500.00

BuildingFeatures LandYear

$22,600$176,600$20,400

ParcelTotal:$219,600

$22,600$176,600$20,400

ParcelTotal:$219,600

$22,600$176,600$20,400 ParcelTotal:$219,600

Driveway:

NotesTaxValueAdValorem

22,600LEVEL

LANDVALUATION LASTREVALUATION:2019 PARCELTOTALTAXABLEVALUE OWNERINFORMATION LISTINGHISTORY EXTRAFEATURESVALUATION SALESHISTORY
PICTURE MUNICIPALSOFTWAREBYAVITAR
NORARUBIN4LLC POBOX1462 Map: Card: MarketValueLngthxWidth RateUnits CondSizeAdjFeatureType Notes
93 70484
6,93222.00 1955
100
3
100
4
20,400 1of1
SPIRCondUnits NCAdjLandType BaseRate SiteRoadDWayTopography
E0.450 100ac 100 22,6000N
10010010022,600 22,6000.450ac 22,600 Lot: Sub:
BookPageTypeDate 12/07/201844050647QI 215,000GILMORE,DEREK 05/28/200835200868QI 175,00023PARKRIDGETRUST,TH
05/11/2022Printed: Site:
Road: 23PARKRIDGE000U01 000013 000000 LISBON NEWYORK,NY10163 05/21/20MIAB 07/01/19JBSR 10/03/18MLREI@D 07/09/14THUR 04/05/13JSI 06/16/09FHS 02/19/09MKE
2020
2021
2022
Zone:DISTCMinimumAcreage:1.00MinimumFrontage:125

DatePermitID

OWNER TAXABLEDISTRICTS

Percentage

LISBON

PERMITS

Roof: Ext: Floor: Int: 5.011

Heat: A/C:

GABLEHIP/STANDINGSEAM CLAPBOARD PLASTERED HARDWOOD GAS/HOTWATER

Fixtures:Baths:Bedrooms:

Fireplaces:

Com.Wall:

A1AVG+10

SizeAdj: BaseRate:

Quality: $76.68

Adj.Effect.AreaIDDescription

BETBSMNTENTRY 300.25 8

UFFUPPERFLRFIN 22641.002264

FFFFSTFLRFIN 26801.002680

BMUBSMNT 22640.15340

CRLCRAWL 3220.00 0

CANCANOPY 200.10 2

STOSTORAGEAREA 250.25 6

OPFOPENPORCHFIN 7450.20149

SPFSCREENPORCH 1120.3034 8,462 5,483GLA:4,944

TotalDepreciation:

PICTURE
BUILDINGDETAILS BUILDINGSUBAREADETAILS 2019BASEYEARBUILDINGVALUATION 2.00STORYFRAMEMULTI-FAM5
Map: Lot: Sub: Card:1of1
No
0.9967 $420,436
Temporary: Economic: FDFunctional: Physical: GOODConditionForAge: $176,600 50% 8% 58% 05/11/2022Printed:
15
000U01 000013 000000 BuildingValue: MarketCostNew: NORARUBIN4LLC POBOX1462 NEWYORK,NY10163 1.0954 23PARKRIDGE
PermitType Notes
Bldg.Rate: Sq.FootCost:
District RFF70.00
Generators: ExtraKitchens:
1865YearBuilt: Model:

LISBONTAXCOLLECTOR

46SchoolStreet Lisbon,NH03585

Temp-ReturnServiceRequested

NORARUBIN4LLC

POBOX1462 NEWYORK,NY10163

Seebackofbillforimportanttaxinformation

Owner: PropertyOwner

NORARUBIN4LLC 22,600

TaxRates Assessments

County:$0.87 School:$8.77

Town:$5.65 StateEducation:$0.93

TotalTaxRate:

TaxableLand: Buildings: Total:

8%APRChargedAfter07/01/2022 219,600

Invoice: BillingDate: PaymentDueDate:

2022P01012802 07/01/2022 05/17/2022

2022LISBONNH,TAXCOLLECTORPROPERTYTAX--BILL1 $3,561.91AmountDue:

PropertyDescription

Map:000U01 000013Lot: Sub:000000

Location:23PARKRIDGEAcres:0.450 $0.00

MailedTo:

NORARUBIN4LLC

POBOX1462 NEWYORK,NY10163

RemitTo:

LISBONTAXCOLLECTOR 46SchoolStreet Lisbon,NH03585 Temp-ReturnServiceRequested

SummaryOfTaxes NetValue:

*FirstBillTaxRateEquals1/2LastYear'sFinalTaxRate

197,000 219,600

FirstBill: -Abated/Paid: -VeteranCredits:

AmountDueBy07/01/2022:

$3,561.91 $0.00 $3,561.91 $16.22*

2022LISBONNH,TAXCOLLECTORPROPERTYTAX--BIL

LISBONTAXCOLLECTOR Monday3:30-7:00,Tuesday-Thursday7:30-4:00 Friday7:30-10:00 (603)838-2862

TaxCollector:AudreyChampagne

Owner:

Location:

NORARUBIN4LLC

Invoice: Map: Lot: Sub:

000U01 000013 000000

23PARKRIDGE 2022P01012802

AmountDueBy07/01/2022:

$3,561.91

BillscanbepaidonlineatNHtaxkiosk.com

REMITTEDAMOUNT: .

RETURNTHISPORTIONWITHPAYMENT

Turn static files into dynamic content formats.

Create a flipbook
Issuu converts static files into: digital portfolios, online yearbooks, online catalogs, digital photo albums and more. Sign up and create your flipbook.