Epidemiologiaa kaikille

Page 1

EPIDEMIOLOGIAAKAIKILLE

JARIHAUKKA
Sisältö Johdanto 7 IEpidemiologianperusteet 9 Mitäepidemiologiaon? 11 Mitta-asteikotjajakaumat 17 Sairauksienmittaamisesta 29 Mittaustenluotettavuudesta 37 Erojenmittaaminen 41 Diagnostisettestit 51 Tutkimusasetelmat 55 Ekologinentutkimus 63
4jarihaukka Poikkileikkaustutkimus 67 Seurantatutkimus 75 Sairauslähtöinentutkimus 83 Kokeellinentutkimus 89 Epidemiologisentutkimuksensuunnittelu 103 Tutkimustenlaadunarviointi 111 Epidemiologinenpäättely 117 Harhatjaniidenlähteet 129 Epidemiologisenpäättelynapuneuvoja 141 Meta-analyysi 153 IIEpidemiologianmenetelmiä 161 Epävarmuudenmittaaminen 163 Hypoteesi,testaaminenjaP-arvo 169 Otoskoonlaskeminen 175

BayespäättelystäjaP-arvoista 179

Regressioanalyysi 183

Suunnatutsyklittömätverkot(DAG)epidemiologiassa 209

Kirjallisuutta 217

Hakemisto 227

TämäteosonlisensoituCreativeCommonsNimeä-EiKaupallinenEiMuutoksia 4.0 Kansainvälinen-lisenssillä.

epidemiologiaakaikille5

Johdanto

Olenkirjoittanuttämänesityksenepidemiologiastamielessänilukija,jokahaluaatutustuaepidemiologianperuskäsitteisiinjamuutamiinkeskeisiinepidemiologisenpäättelynhaasteisiin.Kirjanulkopuolelleonrajattutarttuviin tauteihinkuuluvatkäsitteetjamenetelmät.

Epidemiologiaonmääritettytieteenalaksijokatutkiisairauksienesiintymistäjasyitäihmispopulaatioissa(sivuI), muttamonetsenhaasteetovatsamojakuinmissätahansahavainnoivaantutkimukseentukeutuvassatieteenalassa.Tällaisiaovatvaikkapaterveyssosiologia,sosiaalipsykologia,sosiologiajataloustiede.

EsityksessäkäytetäänSuomenepidemiologianseurary:n sanastonsuosittelemiatermejä,joilleesitetäänuseimmiten myösenglanninkielinenvastine[9].

Aluksiesitelläänepidemiologiassakäytettäviämitta-asteikkoja, mittareitajaniihenliittyviäjakaumia.

Mittareidenjälkeenesitelläänmitenriskienjamuiden mittareidenerojapopulaatioidenvälilläarvioidaan.Esimerkitovatjulkaistuistatutkimuksistajauseinyksinkertaisimmatesimerkitesitetään 2 × 2-tauluina.

Diagnostisistatesteistäesitelläänlyhyestikeskeisetkäsitteetjamuutamaesimerkki.

Tutkimusasetelmienymmärtäminenonkeskeistäarvioitaessaerityisestihavainnoivastatutkimuksestasaatavannäytönvahvuutta.Asetelmiaesitelläänesimerkkienvalossa, erityistäpainoaonpantukokeellisiineliinterventiotutkimuksiin,koskaniistäsaatavaanäyttöäpidetäänvahvimpanakausaalissuhteidenselvittämisessä.

Epidemiologisenpäättelynlähtökohtiajarajoitteitaselvitetäänmelkotiiviisti.Apuneuvoksisyy-seuraus-suhteiden

tutkimiseenesitelläänsuunnatutsyklittömätverkot(directedacyclicalgraph,DAG).Päättelyynliittyenesitelläänja tyypitelläänmerkittävimpiäharhanlähteitäjatyyppejä.

Tilastollisenpäättelynperiaatteisiintutustutaanfrekventistisenparadigmanvalossa.Lisäksipohditaanlyhyestimerkitsevyydenkäsitettä(p-arvoja)janiidenbayesilaistatulkintaa.

Omanlukunsaonsaanutregressiomalli,jotkalukuisine alatyyppeineenonyleisimminepidemiologiassasovellettu tilastollinenmallikehys.

Melkoyleisluontoisestiesitelläänmyössuunnattujeneisyklistengraafienkäyttö(directedacyclicalgrapheliDAG) epidemiologistentutkimustenmuuttujienvalinnanapuna.

Lukijanavuksitekstiinonmerkitty(kuviooikella),kun esitysvaatiitavallistaenemmänsyventymistä.Näinmerkitytkappaleetvoihyvinjättääväliin,ainakinensilukemalla.

8jarihaukka
OsaI Epidemiologianperusteet

Mitäepidemiologiaon?

Epidemiologiaontieteenalajokatutkiisairauksienesiintymistäjasyitäihmispopulaatioissa.Nimionjohdettukreikansanasta epidemeion jaonperäisinlääketieteenisältä Hippokrateelta.Hännimittinäintarttuvaatautia.Nykyäänepidemiologiaeikuitenkaantutkivaintarttuviatautejavaansepiiriinkuuluvatmyöstarttumattomatkansantauditkutensyöpäjasydän-javerisuonitauti.

Epidemiologiankehityksenalkuvaiheessatutkimuksen painoolitarttuvissataudeissa.JoskusmoderninepidemiologianisänämainitaanlontoolainenlääkäriJohnSnow,jokahavaitsiyhteydeneräänvedenottamonjakoleranesiintymisenvälillä[40].

Ennenkuintarkastelemmeepidemiologiaatarkemmin onsyytämääritellätarkastiepidemiologisentutkimuksen kohdeelisairaus,jostakäytetäänDuodecimseuranjulkaisemanlääketieteensanastonmukaistamääritelmää[3].

Sairausvoidaanmääritellämyösterveydenpuutteeksi, jolloinluonnollisestisana“terveys”onmääriteltävä.YK:n alaisenmaailmanterveysjärjestönWHO:n(WorldHealth Organization)määritelmän[12]mukaanterveysontäydellisenfyysisen,psyykkisenjasosiaalisenhyvinvoinnintila.Tämäkinmääritelmäonkaikkeamuutakuinongelmaton.Onhanselvää,ettäkukintulkitseehyvinvoinninomistalähtökohdistaan,eikämitäänabsoluuttistamääritelmää terveydestäpystytämuodostamaan.Esimerkiksivähäinen pikkusormenjäykkyyseijuurikaanhaittaavaikkapaautonkuljettajaa,muttavoimuodostuatyökyvyttömyydensyyksiammattiviulistille.Myösiänmyötäkäsitysterveydestä muuttuu,harva 90-vuotiaspitääterveydenedellytyksenä samaafyysistäsuorituskykyäkuin 70 vuottaaiemmin.

“Sairaus”onpsykofyysisenrakenteen taitoiminnanpoikkeavuus,jokaaiheuttaatilapäistätaipysyväähaittaa, vajaatoimintojataivammaisuutta.

“Tauti”taasoneriihmisissäsamantapaisinoireinilmeneväsairaus.

Kuva 1:EpidemiologianperustajaJohn Snow

Tauditvoidaanjakaatarttuviin(communicablediseases)ja tarttumattomiintauteihin(non-communicablediseases).Tämäkirjankohteenaovattarttumattomattaudit.

Epidemiologiaonsiistieteenalajoka“tutkiisairauksien esiintymistäjasyitäihmispopulaatioissa”.Kyseonsairaudenmittaamisestatietyssäjoukossaelipopulaatiossatiettynäaikana.Sairaudenesiintymiselleonmääriteltylukuisiamittareita,joitatarkastelemmetarkemminmyöhemmin. Tärkeimmätovatilmaantuvuus,eliuusientapaustenlukumäärätietylläaikavälillä,javallitsevuuselisairaidenosuus populaatiossa.

Epidemiologiatutkiimyössairauksiensyitä,muttavarsinuseinjoudutaantyytymäänvaintoteamukseen,jokaon muotoa“riskitekijänAesiintymiseenliittyykohonnutriskisairastuatautiinX”.Useinepidemiologinentutkimus siispystyyselvittämäänvainriskitekijöidenjasairauksien välisiäyhteyksiäeliassosiaatioita,eikäesitäkovinvahvojaväittämiäsyy-seuraussuhteistaelikausaliteetista.Tämärajoitusjohtuusiitäettäepidemiologisettutkimukset ovatyleensähavainnoivia.Kausaalisuhteidentutkiminen onhavainnoivientutkimustenavullaainahyvinhaastavaa.

Epidemiologianlähitieteet

Epidemiologiaonosalääketiedettäjasenlähitieteitäovat mm.psykologia,terveystieteet,sosiologiajatilastotiede, joidenmenetelmiäjaajattelumallejaepidemiologiassausein hyödynnetään.

Fysiikka,kemiajabiologiaovatluonnontieteitäjoiden pohjaltatutkitaanjapyritäänymmärtämäänihmiselimistönrakennettajatoimintaa.

Mittaamisessa,jokaonkeskeinenosaepidemiologistatutkimustahyödynnetäänfysiikan,kemianjabiologianmenetelmiä.

Kliininenlääketiedeonepidemiologianlähitiede,merkittävinerolienee,ettäkliinisenlääketieteenkeskiössäon yksittäinenihminen,potilas,kuntaasepidemiologiantutkimuskohdeonihmispopulaatio.

12jarihaukka

Terveystieteennäkökulmaepidemiologiaanverrattunaon käytännöllisempi,senoteonepidemiologiaasoveltavampi.

Sosiologiajaterveyssosiologiaovatepidemiologianlähitieteitä,koskaniidenkohteenaonihmistenvälinenvuorovaikutus.Tutkimuskohteenaonainajoukkoihmisiäsamoinkuinepidemiologiassa.

Epidemiologiakäyttäälukuisiapsykologiassajaravitsemustieteessäkehitettyjäjapaljonhyödynnettyjämenetelmiä.Lisäksihyvinmonetepidemiologiankiinnostuksen kohteenaolevatriskitekijätliittyvätkäyttäytymiseenjaravitsemukseen.

Epidemiologisessatutkimuksessatuotettuatietoavoidaan käyttäämm.sairauksienehkäisyssä(preventio),joukkotarkastustensuunnittelussa(screening),jonkinverranpotilaidenhoidossa(casemanagement)jaterveyspalvelujen(health services)suunnittelussa

Epidemiologianperuskäsitteitä

Riskitekijä

Edelläesiteltiinsairaudenmääritelmä(sivu 11),yhtätärkeääonmääritellämikäonriskitekijä(riskfactor)elialtiste (exposure).

Riskitekijä onhenkilönkäyttäytymiseentaielämäntyyliin,ympäristööntaiperimäänliittyväominaisuus,joka onyhteydessäkohonneeseenriskiinsairastumisen,tapaturmantaimuuhunterveyteenliittyväntapahtumansuhteen.

Riskitekijöitävoidaanluokitellaerilähtökohdista.Kansanterveydenkannaltamielenkiintoinenonluokittelumuutettavissaoleviinriskitekijöihin(modifiable)janiihinjoitaei voimuuttaa(non-modifiable).

MuutettavissaoleviarisktekijöitäSuomessaovatmm.terveyskäyttäytyminenkutenliikunta,tupakointi,alkoholin käyttöjaepäterveellinenruokavalio;muitaovatmm.korkeaverenkolesterolitaso,ylipainojakorkeaverenpaine [103].

Riskitekijöitä,jotkaeivätolemuutettavissaovatesim..

epidemiologiaakaikille13

ikä,syntymävuosi,sukupuoli,etninentaustajaperitytominaisuudet(geenit).

Populaatio

Populaatiolla(population)tarkoitetaanepidemiologiassatarkastiajallisestijapaikallisestimääriteltyä(ihmis)joukkoa. Tutkijanonpystyttävämäärittämäänkuuluukotiettyhenkilöpopulaatioonvaiei.Esim.Pohjois-Suomenvuoden syntymäkohortti-tutkimuksenpopulaatioonkuuluvathenkilöt,joidensyntymäaikaonvälillä 1.tammikuutaja 31. joulukuuta 1966 jaolivatsyntyneetOuluntaiLapinläänissä.

Edelläkuvattupopulaatiovoiollatutkimuksenkohdepopulaatio(targetpopulation),jotatutkitaanotannalla(sampling). Otantaahyväksikäyttäenmuodostetaanedelleentutkimuspopulaatio(studypopulation).

Tutkimusopulaatiovoiollasuljettu(closed),jolloinsiihen kuuluvathenkilötmääräytyvättutkimuksenaloitushetkellätaiavoin(open),jollointutkimuksenkuluessapopulaatio laajenee.Tyypillisestikliinisenkokeentutkimuspopulaatio onsuljettu,kuntaasväestöpohjaisenseurantatutkimuksen populaatioonuseinavoin.

Epidemiologianosa-alueet

Epidemiologianosa-alueetvoidaanmääritelläeritavoin. Yksitapaonerotella kuvaileva (descriptive)ja analyyttinen (analytical)epidemiologia.Kuvailevaepidemioloagetsiijakartoittaasairauksienriskitekijöitö,kuntaasanalyyttinenepidemiologiapyrkiiselvittämäänriskitekijöidenja sairauksienvälisiäsyy-seuraussuhteitaperustuenkuvailevanepidemiologiantuottamaantietoon.

Epidemiologianosa-alatvoidaanjakaamyösaltistelähtöisesti(exposure-oriented)taitautilähtöisesti(outcome-oriented). Altistelähtöisestivoidaanmäärittäämm.seuraavatosaalueet:

• kehitys-jaelämänkaariepidemiologia(lifecourseepidemiology)

14jarihaukka

• sosiaaliepidemiologi(socialepidemiology)

• työterveysepidemiologia(occupationalepidemiology)

• ympäristöepidemiologia(environmentalepidemiology)

• ravitsemusepidemiologia(nutritionalepidemiology)

• lisääntymisepidemiologia(reproductionepidemiology)

• kliininenepidemiologia(clinicalepidemiology)

• lääke-epidemiologia(pharmacoepidemiology)

• säteilyepidemiologia(radiationepidemiology)

• geneettinenepidemiologia(geneticepidemiology) Tautilähtöisiäovatmm.:

• tartuvientautienepidemiologia(infectiousdiseasesepidemiology)

• sydän-javerisuonitautienepidemiologia(cardiovascular healthanddiseaseepidemiology)

• syöpäepidemiologia(cancerepidemiology)

• lihavuusepidemiologia(epidemiologyofobesity)

• suunterveydenepidemiologia(epidemiologyoforalhealth anddiseases)

• mielenterveydenhäiriöidenepidemiologia(epidemiology ofofpsychiatricdisorders)

• diabetesepidemiologia(epidemiologyofdiabetes)

epidemiologiaakaikille15

Mitta-asteikotjajakaumat

Epidemiologisentutkimuksenlähtökohtaonsairauksienja niidenriskitekijöidenmittaaminen.Selkeidenfysikaalisten ominaisuuksienkutenpituuden,painontaiverenpaineesta lisäksiepidemiologisessatutkimuksessaonpystyttävämittaamanniinkinabstraktejaasioitakuinmielialaa,kipuatai sairaudenaiheuttamaakuolemanvaaraa.

Mittaaminenjamittarienvalintaonkinkeskeinenosa kaikkeatieteellistätutkimusta.GalileoGalileinväitetään todenneen:“Laskese,mikäonlaskettavissa;mittaase,mikäonmitattavissa;teemittauskelpoiseksise,mitäeivoida mitata”.Erityisestituoviimeinenajatusonkeskeistäepidemiologiassa.Ennenkuintarkastelemmelähemminmittareita,onsyytämääritellämitätarkoitetaankäsitteillä “mittaaminen”ja“muuttuja”.

Mittaamisellatarkoitetaankiinnostuksenkohteenaolevaasuurettavastaavanmittaluvunmäärittämistäko.suureenyksityistapaukselle.Siis,josvaikkapamitattavasuure onihmisenpituusjasemääritetäänmittanauhanavulla. Mittayksikkönäonsenttimetri.

Muuttujallataastarkoitetaanmitattuasuureenarvoa,jokatietystivaihteleemittauksestatoiseen.Mittaamiseenliittyyolennaisestimitattavansuureenmitta-asteikko.Mittaasteikonymmärtäminenjamäärittäminenontärkeää,koskasiitäriippuumitämenetelmiätutkimusaineistonkuvailussajaanalyysissavoidaansoveltaa.Seuraavaksisyvennymmemuutamaanepidemiologiassakeskeiseenmitta-asteikkoon.

Kaksiluokkainenelidikotominenbinaarinenasteikko

Kaksiluokkaisenelidikotomisen(binäärisen)asteikonmuuttujavoisaadavainkaksieriarvoa:sairas-terve;elossakuollut;altistunuttaudinaiheuttajalle-altistumatonjne.TilastotieteessätällaiseenmuuttujaanliitetäänBernoullin-jakauma. JakobBernoulliolisveitsiläinenmatemaatikko.Hänenmukaansanimetylläjakaumallaonyksiparametri(p). X ∼B(p)

“Parametri”onmuuttujanjakaumaamääritteleväluku. Tässätapauksessaparametri p ilmaiseeyksinkertaisestitapahtumisentodennäköisyyden,esimerkiksitodennäköisyydensille,ettähenkilöonsairastunut.Koskatodennäköisyyksiensummaonainayksiniinluku(1-p)kertootaas toisenmahdollisuudenelivastatapahtumantodennäköisyyden.Yllä“X”onmuuttujannimi,“B”taaskertooettäkyseonnimenomaanBernoullinjakaumasta.Bernoullijaukaumanparametrinarvoonluonnollisestiainavälillä [0,1].

Jostoistamme X ∼B(p) mittauksenuseitakertoja(n kpl)päädytäänbinomijakaumaan,jokakuvaadikotomisen toistokokeenlopputulostenlukumääränjakaumaa

Merkintä[0,1]tarkoittaasuljettuaväliä 0-1 (molemmatpäätepisteetkuuluvat väliin).Vastaavasti(0,1]merkintä tarkoittaapuoliavointaväliä,jossa 0 ei kuuluväliinmutta 1 kuuluu.

X ∼ Bin(n, p)

Binomijakaumassa“onnistumisten”(i)määräntodennäköisyyslasketaankun toistojaon n kplseuraavasti:

Otetaanesimerkiksilaktoosi-intoleranssi,jokaonn. 18% suomalaisistaeli p=0 18.Järjestetäänjuhlat 10 vieraalleja ontarpeenarvioidakuinkamonivalitseelaktoosittoman annoksen.Allaolevastakuviossaonesitettylaktoosi-intoleranssisten vieraidenlukumääräntodennäköisyydet,jotkaonlaskettubinomitodennäköisyydenkaavalla.Havaitsemme,että onvainn. 14%todennäköisyysettäyhdelläkäänvieraallaeiolelaktoosi-intoleranssia,n. 30%todennäköisyydellä yhdellätaikahdellavieraallaonlaktoosi-intoleranssi,kolmellahiemanalle 20%todennäköisyydellä.KunsiistunnetaanB(p)“alkeistapahtuman”todennäköisyysvoidaan laskeaerilaistentoistojenyhdistelmäntodennäköisyysbinomijakaumanavulla.

Epidemiologiassahyödynnetäänkinpaljonkaksiluokkaisiamuuttujia,javarsinuseinasiatmonimutkaisetkinasiat pyritäänkinpelkistämään 2*2 taulukoihin.Neovatmyös selkeitä,helpostiymmärrettäviäjaanalysoitavia

P(X = i)= (n i )pi(1 p)n i

Kuva 2:Binomitodennäköiisyydetkun p=0,18 jaotoskoko 10

18jarihaukka
0 2 4 6 8 10 0 10 20 30 Lukumäärä Todennäköisyys (%)

Luokitteluasteikko

Luokittelu-elinominaaliasteikonmuuttujassaonuseitaluokkia,joitaeivoidataihalutajärjestäämihinkäänmäärättyynjärjestykseen.Tällaisiamuuttujiaovatvaikkapaetninentausta,veriryhmä,silmienväri,uskontotaipuoluekanta. Frekvenssitaulukot

Edelläesitettyjenmitta-asteikoidenkuvailunkäytetäänfrekvenssitaulukoita.Yksinkertaisimmillaanesitetäänhavaintojenlukumäärätelifrekvenssit.

Taulukossa 1 onesitettyUSA:laisestaNationalHealth andNutritionExaminationSurveyeliNHANES-tutkimuksesta (2009-2010)koottuaaineistoaristiintaulukoimalla.

(0,30]2,053412,094

(30,50]1,7781781,956

(50,Inf]2,0506952,745 Sum5,8819146,795

Moniulotteistenfrevenssitaulujentulkintaonhaastavampaajasiinäonhyödyllistäkäyttääkuvioita.

Moniulotteisiafrekvenssitaulujavoidaanhavainnollistaa esim.mosaiikkikuviolla.Alueidenkokoonsuhteessahavaintojenlukumäärään,väriasteikkotaaskertooonkoalueellaodotettuavähemmänvaienemmänhavaintoja.Punaisellamerkityilläalueillaonvähemmänjasinisilläalueillaenemmänhavaintojaverrattunatilanteeseenettätutkitutmuuttujatovattoisistaanriippumattomia.Nuorimmassaikäluokassaonsiisodotettuaenemmänjavanhimmassaodotettuvähemmändiabetesta.Poikkeavuudenmittanaonkäytetty“Pearsonresiduals”mittaajokaselitetään myöhemmin.

epidemiologiaakaikille19
eionSum
Taulukko 1:NHANEStutkimus.Diabetes(ei/on)jaikävuosissa.

Järjestysasteikko

Mikälinominaaliasteikonluokatvoidaanasettaajärjestykseen,onkysejärjestys-eliordinaaliasteikosta.Esimerkkeinävaikkapamakutestintulokset,kivunkokemustaisotilasarvot.Järjestysasteikollinenmuuttujavoisaadanumeerisiaarvoja,muttanumeroidenerotuksellaeiolejärkevää suoraatulkintaa.Tässätapauksessanumerotovatvainkeinoasettaahavainnotsuuruusjärjestykseen.

Kivunmittaamisessakäytetäänuseinjärjestysasteikkoa (kuvio 4)[102].Tyypillisiäovatsanallinenasteikko(verbal ratingscale,VRS),numeerinenasteikko(numericratingscale,NRS)jakipujana(VAS),

Onhuomattava,ettäjärjestysasteikollaeiolejärkevää suorittaalaskutoimituksia.

Esim.laskutoimitus"kapteeni-"kersantti"eikäypäinsä.Tässäonsyytäollatarkkana,koskavarsinuseinjärjestyasteikollisiamittauksiaesitetäännumeroin,vaikkapakipuaasteikolla 0–10.Olennaistaon,ettäkipuasteikonväli 2–4 ei olevälttämättäyhtäpitkäkuin 8–10,jotenesim.vähennyslaskueiolemielekäs.

20jarihaukka −11 −4 0 4 13 Pearson residuals: p−value = < 2.22e−16 Ikä sex dx.f female on ei male (0,30] (30,50] (50,Inf] on ei
Kuva 3:Mosaiikkikuviofrekvenssitaulusta. Kuva 4:Asteikkojakivunmittaamiseen

Suhde-javälimatkaasteikot

Suhde-elirelatiiviasteikollamittaustenerotuksenlaskeminenonmielekästä.Celsius-asteikollalämpötilatonhyvä esimerkkisuhdeasteikosta.

Suhdeasteikkokaaneikuitenkaanoleihantäydellinen, koskasiitäpuuttuutodellinennollakohta.Celsius-asteikon nollakohta 0 Conmääriteltymielivaltaisestivedenjäätymispisteeseen,Yhtähyvinnollakohtaolisivoituasettaa toisin,esim.Fahrenheitinasteikonnollakohtaon-17,78 celsiusastetta.Todellinennollakohtaonominaisuudentäydellinenpuuttuminen,esim.lämpötilaamitattaessaKelvinasteikonnollakohdallaonabsoluuttinenarvoeli-273,15 °C eli 0°K.

Kunmäärittelemmenollakohdanyksikäsitteisestikyseessäonvälimatka-asteikkoeliabsoluuttinenasteikko.Tälläasteikollaonmielekästälaskeamyösosamääriä.Edellä mainitunKelvininasteikonlisäksityypillisiäesimerkkejä ovatpaino,pituusjalukuisatmuutfysikaalisetmittaukset.

Normaalijakauma

Välimatka-asteikkoonyhdistetääntyypillisestinormaalijakauma.

Senhyödyllisyysperustuusiihen,ettälukuisatominaisuudetjamittaukset,jotkaovatmonentekijänsummiaovat useinkohtuullisellatarkkuudellanormaalijakautuneita.Näin on,olisittenkysevastasyntyneidenlastenpainoistatai kaasunatomiennopeuksienjakaumasta.Myösmonetominaisuudetjoihinvaikuttaalukuisiageneettisiätekijöitäeli josniidenperiytyvyysonpolygeneettistäovatlikimainnormaalistijakautuneita.

Normaalijakaumanmuotoasääteleekaksiparametria:keskiarvo(µ)jahajonta(σ).

Kuviossa 5 esitetytkäyrätovatjakaumantiheysfunktion (densityfunction)kuvaajia.X-akselinjatiheysfunktionväliinjäävänalueenpinta-alaonaina 1 jasekattaakaikki muuttujanmahdollisetarvo.Normaalijakaumavoisaada kaikkiaarvojavälillä ∞ ja ∞,vaikkakinääripäissätodennäköisyysontavattomanpieni.

epidemiologiaakaikille21
−3 −2 −1 0 1 2 3 0.0 0.2 0.4 0.6 0.8 x Tiheysfunktion
arvo Kuva 5:Normaalijakaumia,vas.odotusarvo-1 jahajonta 0,5;oik. 0 ja 1

Kuviossavasemmallaolevallajakaumallaonpienempi hajonta,jotensuurinosa"todennäköisyysmassasta"onenemmänmelkokapeallaalueella.

Kunmittaammenormaalistijakautuneidenmuuttujien arvoja,voimmetiivistäätiedonkahteentyhjentävään tunnuslukuun elikeskiarvoonjahajontaan,jotkaovatnormaalijakaumanparametrien µ ja σ estimaatteja.Tyhjentävientunnuslukujenetuon,ettävoimme—josjakaumaoletuspitääpaikkansa—tiivistääkaikentiedonjakaumasta kahteenlukuun.Kuntunnemmeparametrienarvotvoimmesijoittaanenormaalijakaumantiheysfunktionkaavaan, jokatuottaakauniinkellokäyrän.

Poissonjakauma

Poissonjakaumaonbinomi-janormaalijakaumanohella kolmastaajaanepidemiologisissatutkimuksessahyödynnettyjakauma.Poisson-jakaumakuvaalukumääriä,senmukaanjakautuneetmuuttujatsaavatsiissaaarvoja 0,1,2...

JakaumaonnimettykeksijänsäranskalaisenmatemaatikonSiméonDenisPoissonin(1781 – 1840)mukaan[39].ja silläonvainyksiparametri(λ).

Epidemiologiassalukumäärätovatvaikkapasairastuneidentaikuolleidenmääriäpopulaatiossa.Poissonjakaumakuvaahyvinmyöskappalemääriä,kutenihonluomien määräätaibakteerienmääräänäytteessä.

Poissonjaukaumanainoanparametrin λ estimaattorion yksinkertaisestilukumäärienkeskiarvo.Sijoittamallaestimoitu λ arvotiheysfunktionkaavaanvoidaanlaskeaeri toteumientodennäköisuus.

Taulukosta 2 havaitsemme,ettäjos λ saaarvon 0,5 on todennäköisyys,ettähavaitaan 0 kappaletta 0,607,kuntaas

λ arvolla 2 seon 0,132.

Normaalijakaumantiheysfunktio:

Kuva 6:SiméonDenisPoisson(1781 –1840)

Poissonjakaumantiheysfunktioon määriteltyseuraavasti:

P(x = k; λ)= λx e λ x!

22jarihaukka
P(x)= 1 √2πσ e (x µ) 2σ2

Kuviosta 7 huomataanettäkunPoissonjakaumanparametrin(λ)arvosuurenee,alkaajakaumanmuotomuistuttaanormaalijakaumaan.

Jatkuvienmuuttujientarkastelu

Jatkuviamuuttujiakuvaillaantaulukoimallatavallisimman tunnusluvut(statistics)kutenkeskiarvo,keskihajontajaeri prosenttipisteet.

Järjestystunnusluvuistaeliprosenttipisteistäraportoidaan tavallisimminmediaani,sekäala-jayläkavartiilit.Mediaanionarvojotapienempipuolet(50%)havainnoistaon, neljänneshavainnoistaonalakvartiilia(25%)pienempiä, janeljännesonyläkvartiilia(75%)suurempia.Kvartiiliväli (interquartilerange eli IQR)onmyösuseinkäytettytunnusluku.Taulukosta 3 havaitaan,ettävyötärönympäryksen kvartiilivälionmiehillä 85,5-108,2 cmjanaisilla 82,0-105,3 cm.Järjestystunnusluvutvoidaanraportoidamyösjärjestysasteikollisistamuuttujista,joistaeivoidalaskeakeskiarvoataikeskihajontaa.Myöspuuttuvientietojenlukumäärä onesitettävä.

Kuvioissavoidaanesittääsuurimääräinformaatiotatiiviissätilassa.Useinjatkuvastamuuttujastaesitetäänhistogrammitaitiheysfunktionestimaatti.Nekertovatmiten havainnotovatjakautuneet.Viulukuvio(oik.kuva 8),jos-

epidemiologiaakaikille23 N λ= 0.5 λ= 1 λ= 2 λ= 5 0 0,607 0,368 0,135 0,007 1 0,303 0,368 0,271 0,034 2 0,076 0,184 0,271 0,084 3 0,013 0,061 0,180 0,140 4 0,002 0,015 0,090 0,175 5 0,000 0,003 0,036 0,175 6 0,000 0,001 0,012 0,146 7 0,000 0,000 0,003 0,104 8 0,000 0,000 0,001 0,065 9 0,000 0,000 0,000 0,036 10 0,000 0,000 0,000 0,018
0.0 0.2 0.4 0.6 0 1 2 3 4 5 6 7 8 9 10 Lukumäärä Todennäköisyys 0.5 1 2 5
Taulukko 2:Poissonjaukamantoteumientodennäköisyysparametrin λ eri arvoilla(Nonhavaittulukumäärä) Kuva 7:Poissonjakaumantodennäköisyyksiäeri λ arvoilla.

salukumääräony-akselilla,onsymmetrienversiotiheysfunktiosta.

Histogrammijaviulukuviotsisältävätsamaninformaa-

Kuva 8:Vyötärönympärys.Vasemmalla histogrammisukupuoleteriteltyinä. Y-akselillalukumäärä.Oikeallaviulukuvio,jossaesitettytiheysfunktio.

Viiksilaatikkokuviolla(kuva 9)(boxplot, box-and-whiskers) voidaanvertaillakahdentaiuseammanryhmänjakaumia. Laatikonkeskelläonmediaanijasenpäädytesittävätalajayläkvartiileja.Kuvioonvoidaanmyös“ripotella”kaikki havainnot.

Kahdenjatkuvanmuuttujanvälistäyhteyttäonkätevää kuvaillahajontakuviolla(kuva 10).

24jarihaukka KAKH 25% 50% 75%NpuutN Kaikki 96 2517 0683 595 3106 902396795 Sukupuoli male 97 8717 0785 697 3108 201003372 female 94.6516.8982.093.0105.301393423 Etninentausta MexicanAmerican 96.0315.3886.096.0105.40261366 OtherHispanic 94 5516 0383 093 4103 5523706 Non-HispanicWhite 97 4517 1584 396 4108 501083117 Non-HispanicBlack 96.7519.0882.095.4109.00641217 OtherRaceIncludingMulti-Racial 88 9615 1578 788 097 4518389 Taulukko 3:NHANESaineisto.
tion(kuva 8). male female 80 120 160 0 100 200 300 0 100 200 300 Vyötärön ympärys Lukumäärä male female −0.25 0.00 0.25 50 100 150 50 100 150 Vyötärön ympärys

Kuva 9:Vyötärönympärys.Viiksilaatikkokuvioetnisentaustanmukaan

Other Race Including Multi−Racial

Non−Hispanic Black

Non−Hispanic White

Other Hispanic

Mexican American

sex male female Kuva 10:Ikäjavyötärönympärys, sukupuolenmukaaneriteltynä.

epidemiologiaakaikille25
50
100 150 Vyötärön ympärys Etninen tausta
50 100 150 20 40 60 80 Ikä Vyötärön ympärys (cm)

Hajontakuviomatriisia(11 )käyttämälläsaayhdelläsilmäykselläkäsityksenjatkuvienmuuttujienyhteyksistä.Kuvionhalkaisijallaonkunkinmuuttujantiheysfunktionestimaatti.Yläkolmiossaonesitettymuuttujienvälisetkorrelaatiokertoimet,esim.oikeassayläkulmassaoniänjavyötärönympäryksenvälinenkorrelaatiokerroin(0,36).Alakolmiossaovatkahdenmuuttujanvälisethajontakuviot, vasemmassaalakulmassaoniänjavyötärönympäryksen hajontakuvio.

Diskreetit,numeerisetjajatkuvatmuuttujat

Suhde-javälimatkaasteikoillamitatutmuuttujatovat jatkuvia muuttujia(continuous),nevoivatsiissaadaperiaatteessamitätahansanumeerisiaarvoja.

Dikotomisellajanominaaliasteikollamitatutmuuttujat ovatdiskreettejä(discrete).Myöslukumäärätovatmyösdiskreettejämuuttujiaelinesaavatarvoja 0,1,2 jne.

26jarihaukka
Kuva 11:Hajontakuviomatriisi(1000 havaintoa).

Muuttujatvoidaanluokitellamyösnumeerisiinjaei-numeerisiin. Kannattaakuitenkinhuomata,ettävaikkamuuttujanarvo onilmaistunumerollaeioletaattuaettäsenonjatkuva, taisuhde-javälimatkaasteikoillamitattu.Vaikkapasukupuoltailmaisevamuuttujakoodataanuseinsamaanarvoja

“0”(mies)tai“1”(nainen).Arvoistaeikuitenkaankannata laskeakeskiarvoa,koskamuuttujaonmitattudikotomisellaasteikolla.

epidemiologiaakaikille27

Sairauksienmittaamisesta

Olemmekäsitelleetedellämittauksiayleisesti.Siirrymme seuraavaksitarkastelemaanepidemiologiassakeskeisintä mittaamistaerisairauksienjaniihinliittyvienmuuttujien mittaamista.

Riski

Riski (risk)ontodennäköisyyskiinnostuksenkohteenaolevantapahtumantoteutumiselle.Voimmeollakiinnostuneitavaikkapariskistäkuolla,sairastuasyöpäätaisepelvaltimotautiin.Riskionyksinkertaisestitodennäköisyyssairastuajase saaarvojaväliltä[0,1].Riskionmielekästämäärittäätietyllepopulaatiolle(population)elijoukolle,jatietylle aikavälille.

RiskiliittyyluontevastiBernoullitaibinomijakaumaan, onhanjonkintapahtuminenselvästikaksiluokkainen:tapahtuutaieitapahdu.

KäytämmeesimerkkinäTilastokeskuksenaineistoa.Sieltävoimmesaadamm.tiedonSuomenväkiluvustajakuolemansyistä.Käytämmetietojakuolemansyistäjaväestön määrästävuosina 1980-2015 esimerkkiaineistona.

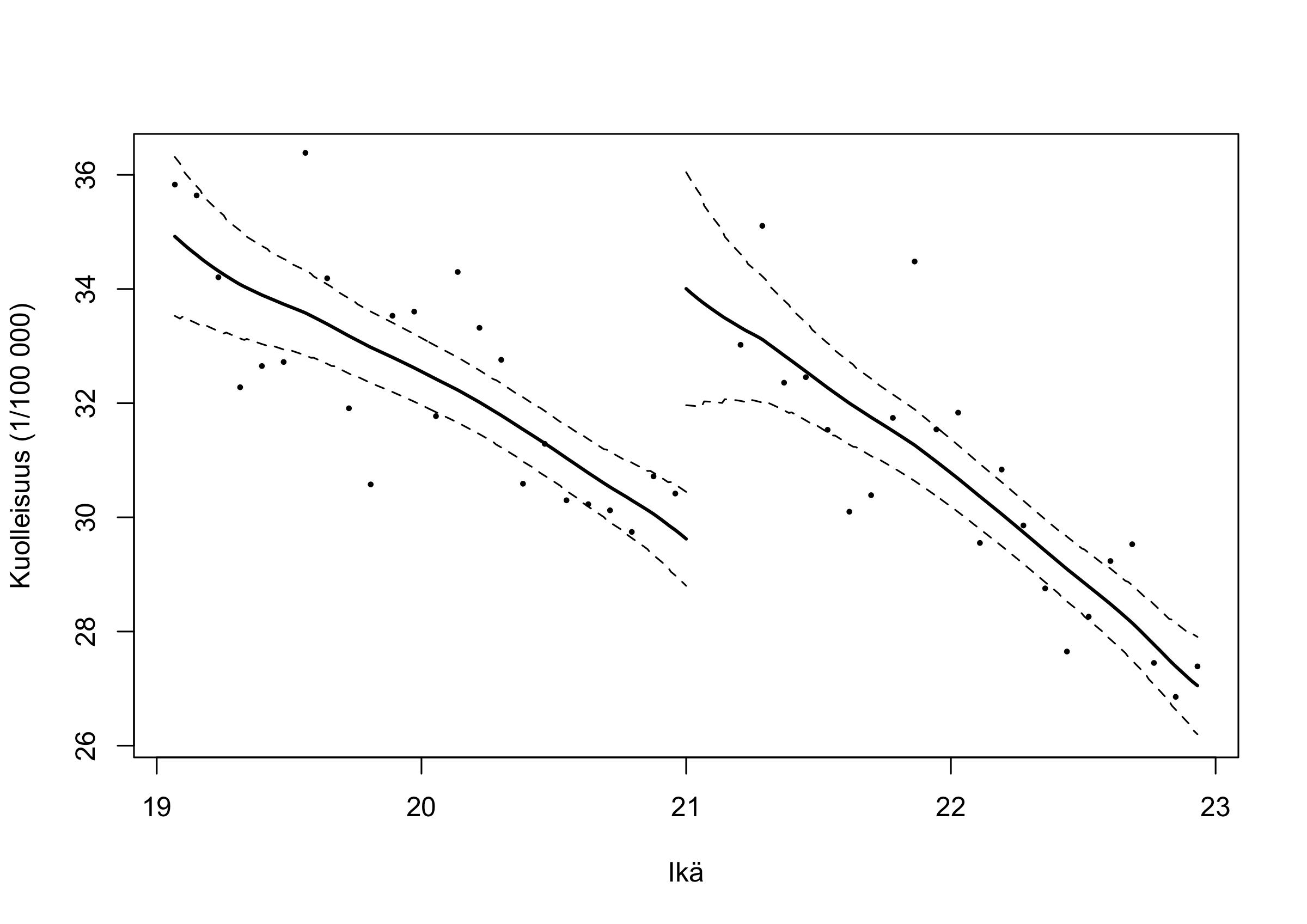
Kuolemanriskielikuolemanvaara(mortality)onkuolleidenmääräjaettunaväkiluvulla.Useimmitenluvutesitetäänasteikolla,jossaniidenarvoonkaksi-taikolminumeroinenelivaikkapa 100000 henkilökohti.Esim.vuonna 2015 Suomenkeskiväkilukuoli 5479531 jakuolleiden määräoli 52492 henkeä,kuolemanvaaraolisiis 0,009579652 eli 958/100000 kohti.

Toisenaesimerkkinäkuviossa 12 onesitettykuolemanvaarasyöpäänjaverenkiertoelintensairauksiinSuomessa

kuolleisuus = kuolleidenmäärä

väkiluku

Riskissäonsiiskyseyksinkertaisestikiinnostuksenkohteenaolevantapahtumantodennäköisyydestä.KuvionmukaanSuomessasydäntautikuolemanriskionvähentynyt huimasti 1980-luvunpuolestavälistälähtien.Toisaaltariskikuollasyöpäänonnoussuttasaisesti.Yksiepidemiologisentutkimuksenkeskeisistätehtävistäonkinselvittäämitkätekijätovatajassahavaittavienmuutostentakana.

Prevalenssi

Toinenpaljonkäytettymittaon vallitsevuus eli sairastavuus eli esiintyvyys eli prevalenssi (prevalence).Riskintavoinprevalenssisaaarvojaväliltä[0,1]eli[0%,100%].Sillätarkoitetaantietylläajankohdallatietyssäpopulaatiossa sairastavienosuutta.

KiinnostuksenkohteenavoiollavaikkapakaikkienjoskussyöpäänsairastuneidenjaelossaolevienprevalenssieliosuusSuomenväestöstä.TiedontästäsaammeSuomensyöpärekisterintaulukoista.Niidenperusteellavuoden 2015 lopussaolielossayhteensä 112393 miestäja 147 822 naistajotkaolivatjoskussairastuneetsyöpään,prevalenssiolisiis (112393 + 147822)/5479531eli 0,047 (4,7%) (Suomenkeskiväkilukuvuonna 2015 oli 5479531).

Edellinenmääritelmäolitarkkaanottaenpisteprevalens-

30jarihaukka vuosina 1980-2015. 200 300 400 500 600 1980 1990 2000 2010 Vuosi Kuolemanvaara (1/100 000)
Kuva 12:KuolemanvaaraSuomessa 1980-2015,syöpä(viiva)javerenkiertoelimistonsairaudet(katkoviiva)

si(pointprevalence),useinonkuitenkinhyödyllistämääritellämyösväli-eliperiodiprevalenssi(periodprevalence), jollatarkoitetaantietylläaikavälilläsairastaneita.Esim.kliinisestimerkittävänmasennustilanvuosiprevalenssiaikuisväestössäSuomessaonnoin 5 %[120]. 5%:nvuosiprevalenssitarkoittaaettäjokakahdeskymmenenSuomenasukasonollutmasentunutvuodenaikana.

Prevalenssikuvaahyvinväestönterveydentilaajasen tunteminenjaennustaminenovatäärimmäisentärkeitäsuunniteltaessaterveyspalveluita.

Ilmaantuvuus

Ilmaantuvuus eli insidenssi eli sairastuvuus eli ilmaantumistiheys (incidence tai incidencerate)ilmaiseeuusientapaustenmääränsuhteutettunaaikaan.Ilmaantuvuusilmoitetaanainalukunasuhteessajotainaikayksikköäkohtikutenvuottatai 100000 henkilövuottakohti.Ilmaantuvuus mittaatapahtumantiheyttäeliintensiteettijasevoisaada arvojavälillä[0,∞).Ilmaantuvuudenyhteydessäonainailmoitettavamitäaikayksikkökohtiseonmitattu.Ilmaantuvuusonkäyttökelpoinenmittarihaluttaessatutkiatautien syitäjariskitekijöitä.

Ilmaantuvuusmääritetäänainatietylleaikavälillejatietyllepopulaatiolle.Ensinmääritelläänseurattavapopulaatiojasittenseurannanalkujaloppu.Tälläaikavälillärekisteröidäänkiinnostuksenkohteenaolevantapahtuman tapahtuma-ajat.Mikälitapahtumahavaitaan,henkilönseurantalopetetaankiinnostuksenkohteenaolevaantapahtumaan.

Esimerkkinäkäytämme 10 henkilönseurantaaiänsuhteen.

Kuviossa(13)onmerkittykunkinhenkilönseurannan pituusvuosissa,täplämerkitseeettäseurantaonpäättynytkiinnostuksenkohteenaolevaantapahtumaan.Esim. kolmasviivaalhaaltakuvaahenkilöäjonkaseurantaonalkanut 31 vuotiaanajajonka 12 vuottapitkäseurantaon päättynytilmanpäätetapahtumaa.Neljäsviivataaskuvaa

epidemiologiaakaikille31

henkilöäjonkaseurantaalkoi 36 vuodeniässäjajokaviidenvuodenjälkeensaipäätetapahtuman.

Kuva 13:SeurantatutkimuksenLexiskuvioiänsuhteen.Seuranta-ajanpituus onmerkitty,samoinpäätetapahtumat (täplä).

Ilmaantuvuudenlaskemineneroaariskinlaskemisesta siten,ettäkulunutseuranta-aikamitataanjaotetaanhuomioon.

Ilmaantuvuuslasketaanjakamalla tapahtumienmääräseuranta-ajan yhteenlasketullapituudella:

I = tapahtumienlukumäärä seurannanpituus Josseurantaloppuumuustasyystäkuinkiinnostuksen kohteenaolevastatapahtumastalasketaanmukaanvainseurantaaika,muttaeitapahtumaa.Siisjostutkimmeesimerkiksisyöpäkuolleisuutta,niinkuolemamuistasyistätaivaikkapamuuttomaastalopettavatseuranta-ajankertymisen, muttaeivätlisääilmaantuvuutta.Näitämuitaseurantaajanlopettaviatapahtumiakutsutaansensuroiviksitapahtumiksi(censoringevent).

Seuranta-ajalleonsiismääritettävätarkkaalkupiste(esim. syntymä)jaloppupiste(kuolema,maastamuuttotms.).Lisäksionmääritettävämistäseuranta-ajantapahtumastaollaankiinnostuneita(esim.ensimmäisenlapsensyntymä, syövänilmaantuminen,tapaturmakuolema).Yksinkertaisimmillaantarvitaansiistietokolmenmuuttujanarvoista:

32jarihaukka

seuranta-ajanalku,-loppu,japäätetapahtumantyyppi.

Esimerkimme 10 hengenpopulaatiossahavaittiin 3 tapahtumaa,loput 7 seurantaaloppuivatsensurointiin.Seurantaaikaakertyi 135 vuotta(15+15+12+5+9+13+11+20+18+17), ilmaantuvuusonsiis 3/135=0,0222 vuottakohtielion 2,2 per 100 henkilövuotta(person-year)kohti.

Tämätarkoittaa,ettäjosseurattaisiin 100 henkilöäyhdenvuodenajan,odotettavissaolisinoinkaksitapahtumaa.Useimmitenonkinjärkevääesittääilmaantuvuudet siten,ettäneovatkaksinumeroisialukuja,joitaihmistenon helpointahahmottaa.Esimerkiksivuonna 2014 miestenaivosyövänikävakioituilmaantuvuusSuomessaoli 11,6/100 000 henkilövuottakohtiSuomensyöpärekisterintietojen mukaan.[13].

Kyseessäeisiisenääyksinkertainentapahtumantodennäköisyysvaanlukujonkamerkitystäpitääpohtiahieman tarkemmin.

Esimerkkiaineisostalasketturiskion 3/10 eli 0,3 eli 30%. Senlaskemineneiolekuitenkaankovinjärkevääkoska henkilöidenseuranta-ajatovatkovineripituisia.Jottariskiävoitaisiintarkastellajärkevästipitäisikaikkienollaseurannassasamanpituisenajan.Esimerkissämmepituudet kuitenkinvaihtelivat 5 ja 20 vuodenvälillä.

Voisimmemäärittääriskinesim. 5 vuodenseurannanpituudelle,jolloinriskiolisi 1/10 = 0,1.Tässäsiislopetamme seurannanviidenvuodenkuluttua,jolloinonkertynytyksi tapahtuma.Vastaavastiviidenvuodenseurannanilmaantuvuuson1/(5 10) eli 0,02 vuottakohtieli 2 per 100 henkilövuotta,koskajokainenkymmenestäseurattavastaon kerryttänytviisivuottaseurantaikaa.

Elossaolokäyrä

Tähänastiolemmetiivistäneetaineistojensisältämäntiedonmuutamiinlukuihinkutenriskitaiilmaantuvuus.Tämäonkuitenkaanharvoinriittävää.Varsinkinsuurissaseurantatutkimuksissaollaankiinnostuneitamitentapahtumien ilmaantuminenajassakehittyy.Yleinentapaonesittääta-

epidemiologiaakaikille33

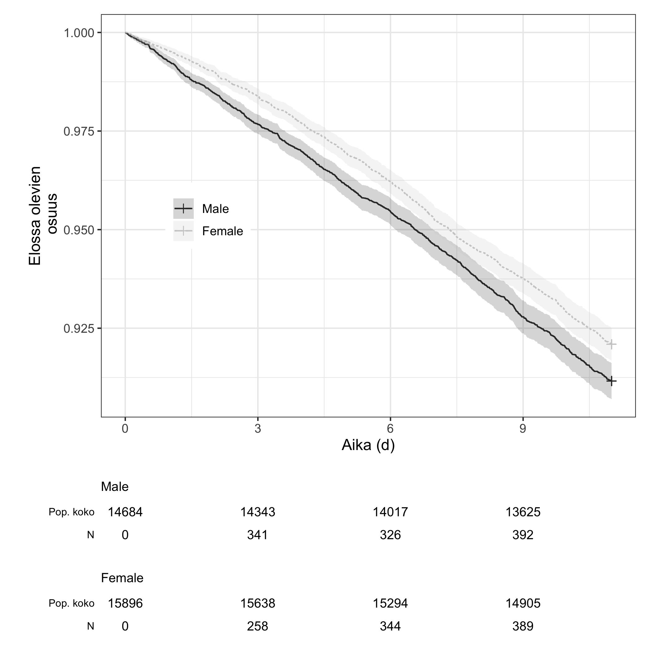
pahtumaltavälttyneidenosuus elossaolo-eli välttökäyränä (survivalcurve).

Esimerkkinäonaineistokeuhkosyövänseurannasta[109]. Tutkimuspopulaatiossaon 228 potilasta,joista 165 kuoli seurannanaika,henkilövuosiakertyi 190,5 jotenkuolleisuusoli 0,87 henkilövuottakohti.

Kuvionmukaanvainhyvinharvaonelossa 1000 seurantapäivänjälkeen(Kuva 14).KäyränlaskemiseenonuseitamenetelmiäjoistayleisimminkäytettyonKaplan-Meier menetelmä.Kunkäyräätarkasteleehuolellisestisenäyttää muodostuvanportaista.Käyränjokainen“porras”kuvaa jokotapahtumaataiseurannanloppuasensuroinninjohdosta,näinkäyräänsisältyyerittäintarkkainformaatioilmaantuvuudenkehittymisestä.

Tapahtumatiheys

Elossaolokäyrästäonkuitenkinvaikeaerottaamilloinriskitapahtumalleonsuurimmillaantaimitensemuuttuu ajankuluessa.Tätähetkellistätapahtumanintensiteettiä kuvaatapahtumatiheydeksi(riskitiheydeksi;intensiteetiksi;hasardiksi)kutsuttumittari(hazardfunction, intensity function).Seonjatkuvafunktio,jokaesittäätapahtumanintensiteetinelitiheydenajansuhteen.Kuviostahuomataan (Kuva 15)ettäkuolleisuudenintensiteettilaskeehieman

34jarihaukka
0.00 0.25 0.50 0.75 1.00 0 250 500 750 1000 Seuranta−aika (d) Elossa olon todennäköisyys
Kuva 14:Kaplan-Meierkäyrä.

hetiseurannanalussa,muttaalkaasittennoustavaihtelevallanopeudellajatkossa.Seuranta-aikaonilmaistuvuosissa,jotentapahtumatiheysesitetäänyhtävuottakohti.

Kuva 15:Hasardikäyräjasen 95% luottamusvälimiehille(1)janaisille(2)

Tapahtumatiheyskäyränavullavoidaanhahmottaavaikkapaajankohtajolloinhetkellinentapahtumanriskionsuurimmillaan.

Matematiikkaailmaantuvuuteenliittyen

Lähdetäänsiisliikkeelletapahtuma-aikojentodennäköisyysjakaumantiheysfunktiostajamerkitäänsitä f (X):llä.Tiheysfunktio f määritteleesatunnaismuuttujan x todennäköisyysjakauman.

Eksoponettijakauma:

Weibulljakauma:

F(x)= P(x ≤ X)= x ∞ f (x)dx

epidemiologiaakaikille35
0.0 0.5 1.0 1.5 2.0 0.0 0.5 1.0 1.5 Seuranta−aika (a) Hasardi sex 1 2
P(X)= λe λx log-normaalijakauma: f (x)= 1 √2πσx e (log(x) µ)2/2σ2
Useintapahtuma-aikojenoletetaanjakautuvateksponenttijakauman,Weibull-jakaumantailog-normaalijakauman mukaan. fX (x; λ, k)= k λ ( x k )k 1e (x/λ)k x ≥ 0 0 x < 0
Kaikilletiheysfunktioillevoidaanmääritelläkumulatiivinentiheysfunktioerikertymäfunktio F(x).F(x)saaarvoja 0 ja 1 väliltä,koskasekerryttäätodennäköisyyttäeli seonintegraalitiheysfunktioista: Kertymäfunktio:

Funktion S(x) taaskuvaatapahtumanvälttämistäajan hetkeenxmennessä.Eloonjäämiskäyräkuvaa S(x) ajan t funktiona.

Tapahtumatiheys λ(X) (hasardifunktio)taasontiheysfunktionjaeloonjäämisfunktionsuhde,sekuvaahetkellistätapahtumanintensiteettiäelitiheyttä.

Kumulatiiviseentapahtumatiheydenjavälttämis-elieloonjäämisfunktionvälilläonlisäksimielenkiintoinenyhteys:

λ(x)= Λ(x)= logS(x)

Kumulatiivinenhasardifunktioonsiissamakuinlogaritmiseneloonjäämisfunktionvastaluku.

Eksponenttijakauma

Eksponenttijakaumallaonmielenkiintoinenominaisuus: senhasardifunktiononvakioelihetkellinenriskitapahtumalleonkokoajansama.Eksponenttijakaumaavoidaan kuvailla"muistittomaksi"eliaikaisemmattapahtumateivät ennustamitenkääntuleviatapahtumia.Kumulatiivinenhasardionsiisnousevasuora,jakutenylläolevastakaavasta huomataanvastaavastilogaritminenelossaolofunktionon samoinsuora.JossiishavaitaanettäKaplan-Meierkäyrä onsuora,kuny-akselionlogaritminen,voikyseessäolla eksponenttijakautunuteloonjääminenelimuistitonprosessi.

Koskaeksponenttijakaumaonnäinyksinkertainensitä käytetäänvarsinuseineloonjäämisanalyysissa.Useinoletetaankin,ettähasardionvakiotietylläaikavälilläjolloin eksponenttijakaumaavoidaansoveltaa.Kunaikasitten jaetaansopiviinväleihin,joilleoletetaanvakiohasardivoidaankokoseuranta-ajanhasardiesittääpaloittaisenaporrasfunktiona(Kuvio 16).

36jarihaukka
S(x)= 1
Eloonjäämisfunktio:
F(x)
λ(x)= f
S(x)
Hasardifunktio:
(x)
x ∞
0 2 4 6 8 0.10 0.35
Aika (t)
Hasardi
Kuva 16:Esimerkkiporrasfunktiosta

Mittaustenluotettavuudesta

Mittarinvaliditeetti

Mittarinvaliditeetillatarkoitetaansenpätevyyttäelisen hyvyyttämitatajuurisitä,mitäsenontarkoitusmitata -tarpeeksikattavastijatehokkaasti.Mittariaonosattava käyttääoikeaankohteeseen,oikeallatavallajajottasetavoittaakohteen,myösoikeaanaikaan.Esimerkiksiepäonnistunutotanta,mittauksenajankohtataijopahaastateltavanjahaastattelijanvälinenhenkilökemiavoivataiheuttaa“epäpätevyyttä”mittarinkäytössä.Lähtökohdiltaanvirheellinentutkimusasetelmavaikuttaaratkaisevastitutkimuksenkokonaisvaliditeettiin.Yksittäisenmittarin hyvävaliditeettionkinvälttämätöntätutkimuksenkokonaisvaliditeetinkannalta.[140]

Validiteetinkäsitettäonkirjallisuudessaluokiteltuesim. seuraavasti:kutensisällöllinenvaliditeetti,samanaikaisvaliditeetti,rakennevaliditeettijaprosessivaliditeetti.Nämä validiteetinlajitvoidaannähdäsekäyksittäistenmittareidenvaliditeettiaettäkokotutkimuksenvaliditeettiaarvioitaessa.Esimerkiksisisällöllisenvaliditeetinkäsitekorostaa, ettämittaritodellamittaasisällöllisestisitä,mitäsillähalutaanmitata.Mittariinonosattuvalitasisällöllisestioikeitaasioita.Vastaavastimuutkinvaliditeetittarkoittavatitse asiassasamaaasiaa.

MaxwellinjaDalaneynsanoilla:“Validiteettitarkoittaa pohjimmiltaantotuuttataivirheettömyyttä,vastaavuutta todellisuudenjasiitätehtyjenväittämienvälillä.”[111].

Monetfysiologisiinominaisuuksiinkohdistuvatmittauksetovatmelkoongelmattomia,muttaeivättäysin.Esim. verenpaineenmittaukseenliittyyvalkotakki-ilmiö,jokatar-

koittaa,ettäkunlääkäritaihoitajamittaaverenpainetta vastaanotolla,ihminentuppaajännittämään,jolloinverenpainenousee.Painonmittauksessakenkienriisuminenvaikuttaatulokseenjne.

Toisaaltaesim.psykiatriassakäytetäänrunsaastimonikohtaisiakyselyjäkutenBeckindepressioasteikkoa(Beck DepressionInventory),jonkalaatiminenjavalidointionvaatinutpaljontutkimusta[46],koskaitsemitattavailmiö— tässätapauksessamasennus—eiolesuoraviivaisestimääritettävissä.

Mittarinreliabiliteetti

Reliabiliteetti-sanavoidaansuomentaasanoilla‘luotettavuus’,‘käyttövarmuus’ja‘toimintavarmuus’.Kvantitatiivisentutkimuksenkielessäsillätarkoitetaanmittarinjohdonmukaisuutta;sitä,ettäsemittaaaina,kokonaisuudessaansamaaasiaa.Arkikielen‘luotettavuus’ontutkimuksenkielessävaliditeetti.Mittarillatarkoitetaantässäyhteydessäsamaaasiaamittaavaaasenneväittämä-taikysymysjoukkoa.Josmittariontäysinluotettavaelireliaabeli,siiheneivätvaikutasatunnaisvirheeteivätkäolosuhteet[140].

Reliabiliteetissaerotetaankaksiosatekijää:stabiliteettija konsistenssi.Stabiliteetissaonkysymysmittarinpysyvyydestäajassa.Epästabiilissamittarissanäkyvätolosuhteidenjavastaajanmielialanynnämuidensatunnaisvirheidenvaikutuksethelposti.Mittarinpysyvyyttävoidaantarkastellavertaamallauseampiaajallisestiperäkkäisiämittauksia.

Mittarinkonsistenssillaeliyhtenäisyydellätarkoitetaan sitä,ettäkunuseistaväittämistäkoostuvamittarijaetaan kahteenjoukkoonosamittauksia,kumpikinjoukkomittaa samaaasiaa.Tällöinmolempienjoukkojenkokonaispistemäärienvälinenkorrelaatiokerroinsaasuurenarvon.Jos eiolemitäänulkoistakriteeriä,jollatestattaisiinmittarin reliaabeliutta,ontyydyttäväedelläkuvatullatavalla“sisäisiin”kriteereihinelisamaantutkimusjoukkoonjamittariin itseensä.

38jarihaukka
Kuva 17:Verenpaineenmittaus

Reliabiliteettissävoidaanerottaaseuraavatosa-alueet:

• Havainnoijienvälinenluotettavuuselimitensamahavainnoijataimittariantaasamantuloksen(inter-ratertai inter-observer)

• Havainnoijansisäinenluotettavuuselimitenhyvinsamamittaajatuottaasamantulosketoistomittauksilla(intraratertaiintra-observerreliability)

• Metodienvälinenluotettavuuselimitenerimenetelmät mittaavatsamaaasiaa(inter-methodreliability)

• Mittariensisäinenyhteneväisyyselimitensamanmittarieneriosatmittaavatsamoin(internalconsistencyreliability)

epidemiologiaakaikille39

Erojenmittaaminen

Useimmitentutkimuksentavoiteonlöytääjatarkastellatekijöitä,jotkavaikuttavatsairauttataiterveyttämittaaviin tainiihinliittyviinmuuttujiinkutensairaudenriskiin,ilmaantumiseentaiprevalenssiin,sekäniitäselittäviinaltisteisiin(exposure).Halutaansiismitataedelläkuvatuilla mittauksillahavaittujaeroja.

Hiemanriippuensovellusalastapuhutaanaltisteista(esim. työperäisetaltisteet)tairiskitekijöistä(esim.elintapoihin liittyvättekijät).Yksinkertaisimmillaantarkastelemmekaksiluokkaistaaltistetta:altisteontaieiole.Tavoitteemmeon vertaillasairaudenriskinerojanäissäkahdessaryhmässä.

Riskienvertailu

Tarkastellaanesimerkkinäerästätehostetunhoidonkliinistäkoetta,jossatutkimuspopulaationmuodostivat 434 italialaisessaModenansairaalassa(ModenaUniversityHospital)tehostettuahoitoasaanuttapotilasta[75].Potilaatsaivathappeakahdenerikäytännön,konservatiivisentaitavanomaisen,mukaan.Tutkimuksenpäätetapahtumaolikuolema.Tutkimuksentulosvoidaanesittää 2 × 2-taulussa.

Konservatiivinen 25 (a) 191 (b) 216 (a+b) Tavanomainen 44 (c) 174 (d) 218 (c+d) Kaikki 69 (a+c) 365 (b+d) 434 (a+b+c+d)
Kuollut Elossa Kaikki
KäytämmeR-ohjelmaa[123]esimerkkimme 2 × 2 taulun
Taulukko 4:Tulostehostetunhoidon kliinisestäkokeesta.Kirjaimetsuluissa ovat 2*2-taulunsolujennimet.

analysointiinjasaammeseuraavantulostuksen.

##2by2tableanalysis:

##------------------------------------------------------

##Outcome:Kuollut

##Comparing:Konservatiivinenvs.Tavanomainen

##

##KuollutElossaP(Kuollut)95%conf.interval

##Konservatiivinen251910.11570.07940.1657

##Tavanomainen441740.20180.15370.2604

##

##95%conf.interval

##RelativeRisk:0.57340.36440.9024

##SampleOddsRatio:0.51760.30400.8813

##ConditionalMLEOddsRatio:0.51840.29090.9071

##Probabilitydifference:-0.0861-0.1546-0.0172

##

##ExactP-value:0.0178

##AsymptoticP-value:0.0153

##------------------------------------------------------

Voimmetodetaettäkonservatiivisessahoidossakuolemanriski(P(Kuollut))on 11,6%(7,6%-16,6%)jatavanomaisessa 20,2%(12,4%-19,7%).

Riskienerotus(Probabilitydifference)on 8,6%(1,7%15,0%)jariskiensuhde(RelativeRisk)taas 0,57 (0,36 - 0,90). Voidaansiisvetääjohtopäätös,ettäkonservatiivinenhappihoitovähentääkuolleisuuttatuonerotuksenverranjaettäeroonmelkoluotettavastiarvioitu,koska 95%LVeisisällä 0%(=hoidoillaeieroa).

LopuksierotuksenperusteellavoidaanlaskeaNNTluku

12 (6-58),uusikonservatiivinenhoitokäytäntöestäisisiis yhdenkuolemanjokaista 11 hoidettuapotilastakohti.

2 × 2 taulut

Epidemiologisessatutkimuksessahyödynnetäänpaljon 2 × 2-tauluja(taulukko 5) 2 × 2-taulustavoidaanlaskeayllättävänmoniasuureita.

Suluissaolevatluvutilmaisevat 95% luottamusvälinmikäkuvaatuloksen luotettavuutta(palaammeluottamusvälintarkempaanesittelyynmyöhemmin). Toistettaessasamakliininenkoemontakertaa, 95%toistetuistaarvoista osuisivat 95%luottamusvälille.

Riskisuhde(RelativeRisk, RR):

RR = altistettujenriski altistamattomienriski Riskienero(riskdifference, absoluterisk difference):

RD =(altistettujenriski altistamattomienriski)

NNT-lukuonpotilasmääräjokaon ”altistettava”hoidollejoshalutaanestää yksiuusitapaus:

NNT = 1/|RD|

42jarihaukka

altistunut altistumaton kaikki

sairas (a) (b) (a+b)

terve (c) (d) (c+d)

kaikki (a+c) (b+d) (a+b+c+d)

• Altistuneiden(exposed)riski: (Re = a/(a + b))

• Altistumattomien(unexposed)riski: (Ru = c/(c + d))

• Populaationriski: R =(a + c)/(a + b + c + d)

• Riskisuhde: (RR = Re/Ru)Altistuneidenjaaltistumattominenriskiensuhde,välillä [0, ∞]

• Riskiero: (RD = Re Ru)Altistuneidenjaaltistumattominenriskienero,välillä [ 1,1]

• Populaationetiologinensyyosuus: (EFp =(R Ru)/R) Tämänosuudenaltisteselittääkokopopulaatiossa.

• Altistuneidenetiologinensyyosuus: (EFe =(Re Ru)/Re) Tämänosuudenaltisteselittääkokoaltistuneidenjoukossa.

• Populaationvältettävissäolevasyysosuus: (PFp =(Ru R)/Ru)Tämävoitaisiinvälttääjoseiolisialtistustapopulaatiossa.

• Altistuneidenvältettävissäolevasyysosuus: (PFe =(Ru Re)/Ru)Tämävoitaisiinvälttääjoseiolisialtistustaaltistuneidenjoukossa.

• Vedonlyöntikerroinaltistuneille(odds): (a/c)Saaarvojavälillä [0, ∞)

• Vedonlyöntikerroinaltistumattomille: (b/d)Saaarvoja välillä [0, ∞)

• Vedonlyöntikerrointensuhdeeliristitulosuhde(engl. oddsratio): (OR =(ad)/(bc))Jossairausonharvinainentämäonlähessamakuinriskisuhde(RR).Saaarvoja välillä [0, ∞]

• NNT(numberneededtotreat): (NNT = 1/|Re Ru|) Potilasmääräjokaon”altistettava”hoidolle,joshalutaanestääyksiuusitapaus.

• NNH(numberneededtoharm): (NNH = 1/|Re Ru|) Joseroonnegatiivinen,kertookuinkamontaaltistettava, jottayksisairastuisi.

epidemiologiaakaikille43
Taulukko 5:Epidemiologian 2*2-taulun solujennimeäminen

Prevalenssienvertailu

Käytämmeesimerkkinäkissanruokatutkimuksentuloksia. Tutkimuspopulaationmuodostivat 5530 kissaa,joista 18 oli virtsaamisongelma(felineurologicsyndrome eliFUS),kyseessäonpoikkileikkaustutkimusjakiinnostuksenkohteenaonvirtsaamisvaivanprevalenssi.Altisteolikuivamuonansyöminen(DF).Solu“a”sisältääkissat,jotkasöivät kuivamuonaajasairastuivat,“b”taaskuivamuonaasyöneetterveetkissatjne.

FUSterveKaikki

kuivaruokaa(13)b(2163)a+b(18)

muuruokac(5)d(3349)c+d(5512)

Kaikkia+c(2176)b+d(3354)a+b+c+d(5530)

Tavoitteenaonvertaillakissojensairastamistaruuansuhteen.Altistuneidenprevalenssi(Prevalence)ona/(a+b)eli 0,597%jaaltistumattomienc/(c+d)eli 0,149%,jakokopopulaationprevalenssi(a+c)/(a+b+c+d)eli 0,325%.

##Pointestimatesand95%CIs:

##-------------------------------------------------------------------

##Prevalenceratio4.01(1.43,11.23)

##Oddsratio4.03(1.43,11.31)

##Attribprevalenceintheexposed * 0.45(0.10,0.80)

##Attribfractionintheexposed(%)75.05(30.11,91.09)

##Attribprevalenceinthepopulation * 0.18(-0.02,0.38)

##Attribfractioninthepopulation(%)54.20(3.61,78.24)

##-------------------------------------------------------------------

##Uncorrectedchi2testthatOR=1:chi2(1)=8.177Pr>chi2=0.004

##FisherexacttestthatOR=1:Pr>chi2=0.006

##Waldconfidencelimits

##CI:confidenceinterval

## * Outcomesper100populationunits

Kuivamuonaryhmänprevalenssionsuunnilleennelin-

44jarihaukka
Taulukko 6:Kissanruokatutkimuksen 2 × 2 -taulu
* Odds ##Exposed+13216321760.5970.00601 ##Exposed-5334933540.1490.00149 ##Total18551255300.3250.00327 ##
##Outcome+Outcome-TotalPrevalence

kertaineneli 4,01 (1.43, 11.23)(Prevalenceratio,PR)verrattunamuuhunruokaan.Kuivamuonaeinäytätämäntutkimuksenmukaanolevanhyväksikissoillekoskasiihen liittyynelinkertainensairaudenprevalenssi.

Tulosteessaonmyösesitetty Oddsratio elivetosuhde taivetokertoimiensuhdetairistitulosuhde(engl. oddsratio).Termi“odds”onsuomeksivedonlyöntikerroinjase onkahdentodennäköisyydensuhdeeliensimmäisellerivillelasketaan:

(a/b)(13/2163)= 0,00601)jatoiselleriville

(c/d)(5/3349)= 0,00149).

Oddsratio onnäidensuhde.

Prevalenssiensuhdejavetosuhdeovatlähessamatkun kyseessäonharvinainentapahtumakutentässä,jossatapahtumankokonaistodennäköisyysolivain 0,325%(tulosteessaluku 0.325).

Prevalenssiensuhdettajavetosuhdettatulkitaansamoin, joslukuonsuurempikuinyksi,liittyyaltisteeseenkohonnutriski,japäinvastoinalleyhdenolevaPRtaiORviittaa altisteenyhdistyvänalentuneeseenriskiin.

Ristitulosuhde(“oddsratio”):

Ilmaantuvuuksienvertailu

Käytetäänesimerkkinäedellisestäluvustatuttuatutkimustakeuhkosyövänseurannastajavertaillaanmiestenjanaistenkuolleisuutta[109].Tutkimuspopulaatiossaoli 138 miestäja 90 naista.

Allaolevastatulosteestanäemme,ettäseurannanaikana kuoli 165 potilasta(Total)ja

henkilövuosia(seurantapäivätonmuunnettuvuosiksi)kertyi 190,5 jotenkuolleisuusoli 0,87 henkilövuottakohti.

Ilmaantuvuuksiensuhde(incidencerateratio eliIRR_)(tulosteessa Incrateratio)oli 1,65 (1,18 - 2,33),mikätarkoittaaettämiesten(merkitty Exposed+)kuolleisuusoli huomattavastieli 65%korkeampikuinnaisten(Exposed-)

ad

bc = (13 ∗ 3349) (2163 ∗ 5) = 4,03

epidemiologiaakaikille45

kuolleisuus.

##Outcome+TimeatriskIncrate *

##Exposed+112107.01.047

##Exposed-5383.50.635

##Total165190.50.866

##

##Pointestimatesand95%CIs:

##-------------------------------------------------------------------

##Incrateratio1.65(1.18,2.33)

##Attribrateintheexposed * 0.41(0.15,0.67)

##Attribfractionintheexposed(%)39.37(15.21,57.12)

##Attribrateinthepopulation * 0.23(0.02,0.45)

##Attribfractioninthepopulation(%)26.72(17.71,35.67)

##-------------------------------------------------------------------

##Waldconfidencelimits

##CI:confidenceinterval

## * Outcomesperunitofpopulationtimeatrisk

Ikä-jamuutvakioinnitvertailussa

Haluttaessavertaillavaikkapaerimaidenkuolleisuuttatai sairastuvuuttaonotettavahuomioonmaidenerotriskitekijöissä.Standardointielivakiointionmenetelmä,jollaeripopulaatioidenvertailuvoidaankorjatataustatekijöidensuhteen.Standardoinnissaotetaanhuomioontutkimuspopulaatiodenerotaustamuuttujankutenvaikkapa ikä,suhteenpainottamalla.

Koskaikävaikuttaamelkeinkaikkiensairauksienilmaantuvuuteenjatietystikuolleisuuteen,seonuseimmitenjärkevääottaahuomioonvertailuissa.Tarkastelemmesiisstandardointiiänsuhteeneliikävakiointia(standardizeddeath rate,SDR, standardizedmortalityrate,SMR).Ikärakennemuuttuumyöskalenteriajankuluessa.Suomalaisetovatnytvanhempiakuinjoitainvuosikymmeniäsitten,tämänvuoksivakiointiontarpeentarkasteltaessaesim.kuolleisuuden muutostaajassa.

Vakioinnissalasketaanensinkuolleisuusikäryhmittäin (Ii,),jasenjälkeenlasketaankuolleisuuksienpainotettukes-

46jarihaukka

kiarvokäyttäenstandardiväestönpainoja(Wi)

Onsyytähuomata,ettäsamastahavaintoaineistostavoidaanlaskeaerilaisiakuolleisuuslukujakäyttäeneriväestöpainoja.Yleisestikäytetäänkolmenlaisiapainokertoimia: Pohjoismaille,Euroopalletaikokomaailmalle[17].

Taulukko 7:Standardiväestöjenpainokertoimia.

Sovellammenäitäpainokertoimia 10000 henkilönotokseenTanskandiabetesrekisteristä(DanishNationalDiabetesRegister)jalaskemmealuksikuolleisuudenikäluokittain.

epidemiologiaakaikille47
Ikävakiointi: IW = W1 I1 +W2 I2 + +WK IK ∑ Wi IW = ∑ Wi Ii ∑ Wi K = ikäryhmienmäärä Wi = ikäryhmänpaino Ii = ikäryhmänkuolleisuus
Ikäluokka Maailma Eurooppa Pohjoismaat 0-4 12000 8000 5900 5-9 10000 7000 6600 10-14 9000 7000 6200 15-19 9000 7000 5800 20-24 8000 7000 6100 25-29 8000 7000 6800 30-34 6000 7000 7300 35-39 6000 7000 7300 40-44 6000 7000 7000 45-49 6000 7000 6900 50-54 5000 7000 7400 55-59 4000 6000 6100 60-64 4000 5000 4800 65-69 3000 4000 4100 70-74 2000 3000 3900 75-79 1000 2000 3500 80-84 500 1000 2400 85 500 1000 1900

Taulukko 8:Esimerkkiaineistonikäluokittaisetkuolleisuudet 1000 henkilövuottakohti.

Saammetanskalaisellediabetespopulaatiollehyvinerilaisiakuolleisuuslukujapainotuksistariippuen:

Onsiisäärimmäisentärkeääkiinnittäähuomiotaovatkoesitetytluvutvakioitujavaiei,jamilläpainokertoimilla vakiointiontehty.

Yhdysvaikutus

Yhdysvaikutuksella(interaction)elivaikutuksenmuovautumisella(effectmodification)eliinteraktiollatarkoitetaanilmiötä,jossariskitekijätoisenriskitekijänvaikutusta.

48jarihaukka
Ikäluokka Kuol.lkm Henk.vuodet.1000 Kuol.1000 0-4 0,00 0,04 0,00 5-9 0,00 0,15 0,00 10-14 1,00 0,28 3,59 15-19 1,00 0,34 2,98 20-24 0,00 0,45 0,00 25-29 0,00 0,64 0,00 30-34 1,00 1,12 0,89 35-39 8,00 1,68 4,75 40-44 16,00 2,41 6,63 45-49 31,00 3,36 9,22 50-54 51,00 4,53 11,25 55-59 130,00 6,23 20,86 60-64 183,00 7,02 26,08 65-69 249,00 7,04 35,39 70-74 346,00 6,66 51,92 75-79 471,00 5,56 84,69 80-84 436,00 3,93 110,87 85 575,00 2,81 204,26
• vakioimatonväestönkuolleisuuson 46,04 • maailmanväestönmukaanvakioitusaaarvon 8,844
Euroopanväestöönvakioituon 13,13
Pohjoismaihinvakioitutaas 18,25.

Yhdysvaikutusvoidaanluokitella[50](sivu 56,kuva 2.6) poistettavissaoleviin(removable)eliskaalautuviinjavarsinaisiin(essential)(Kuva 18).Huomataan,ettäpoistettavissaolevassayhdysvaikutuksessavainefektinvoimakkuus muuttuu,muttasuuntapysyysamana.Varsinaisessayhdysvaikutuksessataasmuovaavamuuttuja(kuviossamuuttuja“B”)taasmuuttaatoisenmuuttujan(“A”)vaikutuksen suuntaa.

Yhdysvaikutustentutkiminenonsyytämäärittääjotutkimuksensuunnitteluvaiheessa,koskamitattaessapaljon muuttujia,myöstutkittavienyhdysvaikutustenmääräkasvaasuureksi.Esim.kuntutkittavanaonkymmenenmuuttujaa,onmahdollistatarkastella10 ∗ 9/2 = 45eriyhdysvaikutusta.

Onhuomattava,ettätutkittessatilastollisientesteinyhdysvaikutusta,eioleriittäväähavaitajollakintasollamerkitseväyhdysvaikutus.Myösyhdysvaikutuksentyyppiä— skaalattavataivarsinainen—onsyytätarkastella.

epidemiologiaakaikille49
A Vaste Ei yhdysvaikutusta 0 1 B=0 B=1 A Vaste 0 1 Poistettavissa oleva yhdysvaikutus B=0 B=1 A Vaste 0 1 Varsinainen yhdysvaikutus B=0 B=1 A Vaste 0 1 Varsinainen yhdysvaikutus B=0 B=1
Kuva 18:Yhdysvaikutuksentyypit.

Diagnostisettestit

Diagnostisillatesteilläpyritäänparantamaanpotilaalletärkeitälopputuloksiakutenelämänlaatua,elämänpituutta, terveyttäjahyvinvointia,sairaudenparantumistataioireidenlievittymistäjaepävarmuudenvähentämistä.Diagnostistatestiäarvioitaessaonmääritettäväparantaakosepotilaanasemaa.

Diagnostisenmenetelmäntutkimisessavoidaanerottaa seuraavatvaiheet:

1. Tutkitaanerottaakotestisairaiksitiedetythenkilötterveiksitiedetyistähenkilöistä

2. Haetaantestinraja-arvot

3. Tutkitaantestintoimivuussellaisessapotilasjoukossa, jollasitäkäytettäisiinkliinisissäolosuhteissa

4. Tutkitaan,vaikuttaakotestinsuorittaminenpotilaanennusteeseen

Tarkastellaanpystyykötutkittavadiagnostinentestitarkastierottelemaansairaatterveistä—millaisiatuloksetovat?

1. Millainenontestinerottelukyky

• Sensitiivisyysjaspesifisyys

• Positiivinenjanegatiivinenennustearvo

2. Ilmoitettiinkotestitulostenuskottavuusosamäärä(likelihoodratio,LR)tairiittävättiedotsenlaskemiseen?

Määritelläändiagnostistentestienominaisuuksia,lähtökohtana 2 × 2 taulu(taulukko 9).Allaolevienkäsitteiden ymmärtäminenjasoveltaminenonkeskeinenosadiagnostistaosaamista:

Taulukonsuureet:

Sairas Terve Kaikki

Testi(+) (a) (b) (a+b)

Testi(-) (c) (d) (c+d)

Kaikki (a+c) (b+d) (a+b+c+d)

• a=oikeatpositiiviset

• b=väärätpositiiviset

• c=väärätnegatiiviset

• d=oikeatnegatiiviset

• Sensitiivisyys(herkkyys)=a/(a+c)(testipositiivistenosuus sairaista)

• Spesifisyys(tarkkuus)=d/(b+d)(testinegatiivistenosuus terveistä)

• Positiivinenennustearvo(PPV)(sairaaksioikeintodettujenosuustestipositiivisista)

• Negatiivinenennustearvo(NPV)(terveiksioikeintodettujenosuustestinegatiivisista)

PPV = sensitiivisyys × prevalenssi sensitiivisyys × prevalenssi +(1 spesifisyys) × (1 prevalenssi)

NPV = specifisyys × (1 prevalenssi) (1 sensitiivisyys) × prevalenssi +(specifisyys) × (1 prevalenssi)

Positiivinenjanegatiivinenennustearvoriippuvattaudinprevalenssista.Tutkimuksentulostensovellettavuusja tulkintariippuusiitä,millaisessaympäristössätestiäkäytetään.

Positiivinenuskottavuus(LR+)(positivelikelihoodratio)ei riipupopulaationprevalenssista.Todennäköisyysettäpositiivisiksitestatullahenkilölläontautijaettunatodennäköisyydelläettäpositiivisestitestatullahenkilölläeioleeli:

LR+ = (sensitiivisyys) (1 spesifisyys)

Negtiivinenuskottavuus(LR-)(negativelikelihoodratio):. ettäpos.testatullahenkilölläeiole:

LR- = (1 sensitiivisyys) (spesifisyys)

52jarihaukka
Taulukko 9:Diagnostisentestin 2 × 2-taulunsolujennimeäminen.

Oletetaan,ettäennentestiäontaudintodennäköisyyson P0jasiisvetosuhdeon oddsP0 = P0 (1 P0) .

Positiivisentestinjälkeinentodennäköisyys(P )voidaan

Negatiivisentestinjälkeinentodennäköisyys(P )voidaan

Kuva 19:Kolmeneritestin(LR 2, 6,ja 10)positiivisentestinjälkeiset todennäköisyydeteriennentestiä todennäköisyyksienfunktiona.

Kuviossa 19 verrataankolmeaerilaistatestiä.Huomataan,ettätesti,jollaonkorkeinLR,erotteleparhaiten.Mitä suurempionennenjajälkeentestinvälistentodennäköisyyksienerotus,sitäparemmintestisiiserotteleeterveet sairaista.

Taulukko 10:Diagnostisentestinkäyttökelpoisuusjauskottavuusosamäärä (LR)

epidemiologiaakaikille53
laskeakaavasta: P = P0 (1 P0) ∗ LR+ (1 + P0 (1 P0) ∗ LR+)
laskeakaavasta: P = P0 (1 P0) ∗ LR (1 + P0 (1 P0) ∗ LR ) 0.00 0.25 0.50 0.75 0.0 0.1 0.2 0.3 0.4 0.5 Todennäk. ennen testiä (P0) Todennäk. testin jälkeen (P') LR 2 6 10
LR+ LRErinomainen 10 0,1 Hyvä 6 0,2 Kohtalainen 2 0,5 Eikäyttöarvoa 1 1

Esimerkki:S-ferritiinijaanemia

TarkastellaanS-ferritiinimittaustajaanemiantoteamisessa.

S-ferritiini Anemia Eianemiaa

Anemia +(alle 65 mmol/l) a 731 b 270

Eianemiaa -yli 65 mmol/l) c 78 d 1500

Taulukosta 11 voimmelaskeaseuraavat:

• Herkkyys=a/(a+c)= 731/(731+78)= 90,36 %

• Spesifisyys=d/(b+d)=1500/(1500+270)= 84,75 %

• LR+=herkkyys/(1-spesifisyys)= (0,9036)/(1 0,8475)= 5,93(hyvä)

• LR-=(1-herkkyys)/spesifisyys= (1 0,9036)/0,8475 = 0,1138(hyvä)

Josraudanpuuteanemiantodennäköisyysennentestiäon 20 %(vetosuhde 20/80=0,25),tällöinpositiivinentulosmuuttaatodennäköisyydenraudanpuuteanemialle 60 %( 0,25∗5,9 (1+0,25∗5,9) ). Jostulosonnegatiivinen,pieneneetodennäköisyysrau-

54jarihaukka
Taulukko 11:S-ferritiinijaanemia
danpuuteanemiaanarvoon 2,8 %( 0,25∗0,1138 (1+0,25∗0,1138) ).

Tutkimusasetelmat

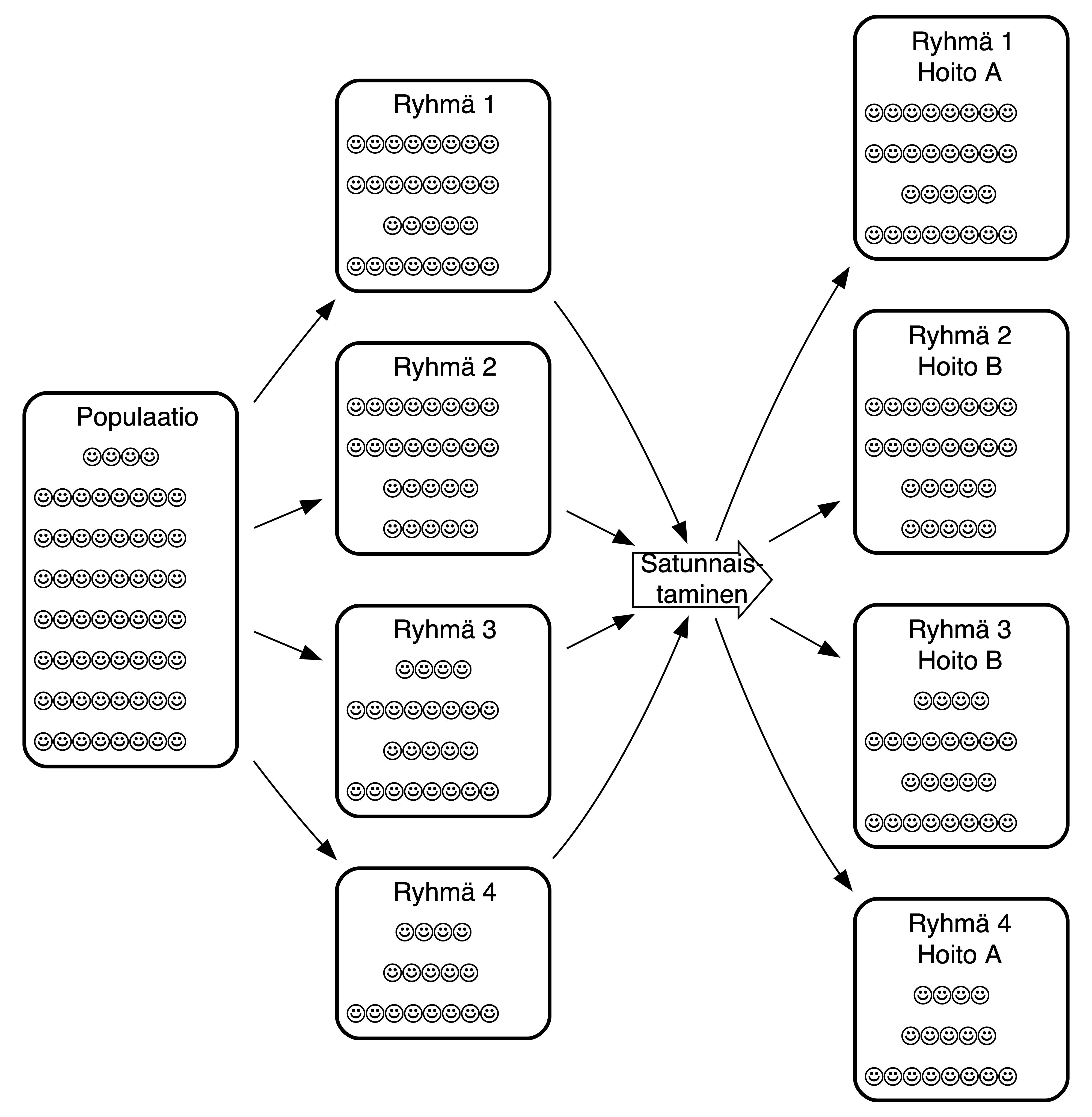
Edellätarkastelimmeepidemiologiaanliittyviämittauksia jaryhmienvälistenerojenvertailua.Tulostentulkinnanja niidenoikeellisuudenkriittisenarvioinninkannaltaonensiarvoisentärkeääymmärtäämillaistatutkimusasetelmaa (studydesign)soveltaenaineistoonkerätty.Tutkimusasetelmanvalinnastanimittäinriippuu,kuinkavahvojapäätelmiätutkimuksentuloksistavoidaantehdä.

Taulukossa 12 onryhmiteltymuutamiatutkimusasetelmiasenmukaanvaikuttaakotutkija(intervention)tutkimuksenkulkuunvaionkokyseessähavainnoiva(observational)tutkimus,toisenaluokittelutekijänäontutkimuksen havaintoyksikkö(yksilövaipopulaatio)

Tutkimusasetelma Havaintoyksikkö Interventio Ekologinen,korrelaatiotutkimus Populaatio Ei Poikkileikkaus,prevalenssi Yksilöt Ei Sairauslähtöinen Yksilöt Ei Seuranta,kohortti Yksilöt Ei Yhteisöinterventio Yhteisö On Kenttäkoe Terveethenkilöt On Satunnaistettukliininenkoe,RCT Yksilöt On

Tutkimusasetelmatjaaika

Tutkimusasetelmiatarkastellaonensimmäisenäkiinnitettävähuomiotamitenhavainnotkerätäänsuhteessaajan kulumiseen.

Kuviossa 20 onesitetty 10 henkilöntutkimuspopulaationseuranta-ajatvaakasuorillaviivoilla.Päätetapahtumat onmerkittyumpinaisellapallolla.Kunkinviivanyläpuo-

Taulukko 12:Muutamientutkimusasetemienluokittelu.

lelleonhenkilönseuranta-aikavuosissa.Josolemmekeränneettiedonpelkästäänhavainnoimalla,onkyseessä havainnoivaseurantatutkimus (observationalcohortstudy)[116]. Tässäsiisaltistemitataanalussataiajankuluessauseampiakinkertoja,jasittenodotetaanpäätetapahtumia.

Kuvassa 20 onsiisesitettyhavainnoivaseurantatutkimus,jonkaavullavoidaanlaskeailmaantuvuusjakamalla tapahtumienlukumääräkertyneenseuranta-ajanmäärällä.

Voimmekäyttääsamaakuviotamyöshavainnollistamaan toistapaljonkäytettyäasetelmaaeli poikkileikkaustutkimusta (crosssectionalstudy).Siinävalitaanmäärättyajanhetki,jossatarkastelutehdään.Kuvioononmerkitty 45 vuodenikäpystyviivalla.Oletetaan,ettätarkastellaankroonistasairauttajasairastuneetpysyväterossasairastumisen jälkeen(vaakasuorakatkoviiva).Altistejapäätetapahtuma siismitataansamallahetkelläelionkyseprevalenssintutkimisesta.

Voimmekäyttääsamaakuviotahavainnollistamaankolmattapaljonkäytettyäasetelmaaeli sairauslähtöistätutkimusta (engl. case-controlstudy).Seurantatutkimuksessatietoalkoikarttuahetikunhenkilötuliseurantaanjahäntä seurattiinpäätetapahtumaanasti.Sairauslähtöisessätutkimuksessaedetääntäsmälleenpäinvastaisessajärjestyksessäeliensinpoimitaansairastuneet(engl. cases)jaheillesen

Ilmaantuvuuden(I)laskeminen(kuviossa 20): I = 3/(15 + 15 + 12 + 5 + 9 + 13 + 11 + 20 + 18 + 17)= 0,022 eli 2,2/100 henkilövuotta.Tapausten lukumäärä(3 kpl)jaetaansiisseurantaaikojensummallavuosissa.

Laskemmeprevalenssinjakamallasairastuneidenmääränkokopopulaation määrällä. 45 vuodeniässäsairastuneitaoliyksijapopulaationkokoon 10,prevalenssi 45 vuodeniässäonsiis (1/10)= 0,1eli 10%.

56jarihaukka
Ikä Henkilö 30 35 40 45 50 55 60 1 2 3 4 5 6 7 8 9 10 15 15 12 5 9 13 11 20 18 17
Kuva 20:Kymmenenhenkilönseuranta.

jälkeenvertailuhenkilöteliverrokit(engl. controls).

Kuviossaonesitettyyhdensairastuneen(henkilö 6)viisimahdollistaverrokkia.Kelvatakseenverrokiksihenkilön onsiisoltavamukanaseurannassailmansairauttasillähetkelläkuntarkasteltavanhenkilönsairastuminentapahtuu.

Oheisessakuvassa 21 tutkimusasetelmatonjärjestetty muutamienominaisuuksienmukaan[81].Ensimmäiseksi tarkastelemmeonkotutkijamitenkäänvaikuttanuttutkittaviintapahtumiin.Josnäineiole,onkysehavainnoivasta tutkimuksesta(observationalstudy),jostaastutkimuksessa onvalittumitähoitokukinhenkilösaa,onkysekokeellisestatutkimuksestaelikliinisestäkokeesta(intervention study,experimentalstudy,clinicaltrial).

Havainnoivattutkimuksetvoidaanjakaakahteenluokkaansenmukaanhavainnoidaankoyksilöitävaijoukkoa elipopulaatiota.

Tutkimusasetelmaonolennainenkuntarkastelemmekuinkavahvaanäyttöäkausaalisistaerisyy-seuraussuhteista tutkimuksellavoidaansaavuttaa.Tässäsuhteessayksilötutkimusonpaljonpopulaatiotutkimustavahvempiasetelma.Yksilötutkimuksellatarkoitetaan,ettätutkijallaon yksilökohtaisettiedot.Populaatiotutkimuksessaontiedossaihmisjoukonominaisuuksiakutenvaikkapasukupuoli-

epidemiologiaakaikille57
Kuva 21:Tutkimusasetelmienluokittelu.

jaikärakenne,muttaeiyksilökohtaistatietoa.Yksilötutkimuksetvoimmeedelleenjakaakuvaileviinjaanalysoiviin.

Kuvailevattutkimukset

Kuvailevattutkimusonuseinensimmäinenvaihe,jossa kuvataanvaikkapauusisairaustaioireyhtymä.Sevoiavatakokonaanuudennäkökulmanjaluodauusitutkimuskysymyksiä.Useinhyvätkysymyksetovatkinvähintään yhtätärkeitäkuinvastaukset.Vastauksienetsiminenniihinvietutkimustaeteenpäin.Kuvailevassatutkimuksessa eikuitenkaanuseinolevertailuryhmää,mikäuseimmiten estääassosiaatioiden(association)jasyy-seuraussuhteiden (causality, causalrelations)tutkimisen.

Tarkastellaanseuraavaksipopulaatiotutkimuksia.Kuvailevassaterveyskartoituksessajaanalysoivassaekologisessa tutkimuksessakohteenaovatpopulaationominaisuudet. Terveyskartoituksellatarkoitantutkimusta,jokakuvailee kohdeväestönterveydentilaa,muttaeianalysoisyvällisemminmahdollisiaassosiaatioitataisyy-seuraus-yhteyksiä. EsimerkiksiOECD:ntilastotietokannoista[15]voidaanpoimiamaakohtaisiaterveyttäkuvaaviamuuttujiakutenylipainoistenosuusväestössä,alkoholinkäyttö,tupakointija kuolleisuus.

Tarkoituksenaonvertaillaerimaitailmanpitemmälle menevääanalyysia.Kuviossa 22 onesitettytupakoivien päivittäinensavukkeidenkulutusneljässäOEAC-maassa vuosilta 1960–2015.HavaitaantupakoijiensavukkeidenkulutuksenpysyneetlähessamanaSuomessa,Tanskassaja Iso-Britanniassa.Kanadassataashavaitaanvoimakaspäivittäisenkulutuksenväheneminen 1980 luvulla:määräon vähentynytyli 25:stäalle 20 savukkeeseenpäivässä.Kun todetaannäinvoimakasmuutos,saattaaollaaihettatutkiamitkätekijätovatolleetyhteydessämuutokseen.Onkokysetodellisestamuutoksestavaipelkästäänmittaustavanmuuttumisenvaikutuksesta.Muutoslieneetodellinen jasyynäsiihenvoivatollaKanadassatehdytjärkevätterveyspoliittisetlinjaukset,joillatupakointiaononnistuttu

58jarihaukka

Kuvailevanpopulaatiotutkimuksenmääre“ekologinen” viittaasiihen,ettätutkimuksessaaltisteetonmääriteltypopulaatioonliittyen.Tarkastellaanpatutkimusta,jossaselvitettiinmasennuslääkkeidenkäytönjaitsemurhakuolleisuudenvälistäyhteyttä 29 Euroopanmaassa.Kuviossaesitetääntuloksetseitsemästämaasta,joistaonkertynytpisimmäthavaintosarjat.Kuviosta 23 voimmehavaita,ettäkuudessamaassahavaitaanvoimakaskorrelaatio(yli 0,80)itsemurhakuolleisuuden(SDR)jamasennuslääkkeidenkäytön(DDD)välillä,jayhdessämaassaeliIslannissa korrelaatioonhyvinvähäinen(0,012).

Onhuomattava,ettätutkimuseiosoitamasennuslääkkeidenestävänitsemurhiaSloveniassataiKroatiassa,vaikkan. 80%korrelaatioonkinkorkea.Lisääntynytlääkkeidenkulutusjavähentynytitsemurhakuolleisuusovatto-

DDDeli definedailydose tarkoittaa yhdenhenkilönteoreettistälääkkeen kulutustayhdessäpäivässä.

epidemiologiaakaikille59 vähentämään[57]. 10 15 20 25 1960 1980 2000 Vuosi Tupakoivien henkilöiden savukkeiden kulutus päivässä. Maa Canada Denmark Finland United Kingdom
Kuva 22:Tupakoiviensavukkeidenkulutus.PerustuuOECD:naikasarjoihin.

dellakintutkimuksenmukaankäänteisessäyhteydessä.Tämäeikuitenkaanosoita,ettäolisisyy-seuraussuhdetta.

Onmahdollista,ettäjokinkolmas—mittaamaton—tekijä aiheuttaamolemmatilmiöt.Ehkäpäonaloitettuvoimakaskampanjaitsemurhienvähentämiseksi.Tähänhyvinkinliittyälisääntynytmasennuslääkkeidenreseptikäyttö, joslääkäreitäjamuitaterveydenhuollontoimijoitaonkoulutettuhavaitsemaanitsemurhaaennakoiviamerkkejä.Molemmillahavaituillailmiöillävoiollayhteinensyy,eikätoinenoletoisenseurausta(Kuvio 24).Samaantapaanvoidaantodetakorrelaatiojäätelönsyönninjahukkumiskuolemienvälillä:havaitaanvoimakaskorrelaatio,jonkaselittääyhteinensyyelivoimakasauringonpaiste.Ekologisella tutkimuksellaonmuitakinsilleerityisenominaisiaharhoja,joihinpalaammemyöhemmin.

Kokeellinentutkimus

Todennäköisestivanhinesimerkkilääketieteellisestäkokeellisestatutkimuksesta[16]onvuodelta 1753.Englantioli tuolloinvahvamerivaltio,jonkamerimiehetkärsivätpitkillävaltameripurjehduksillakeripukista.Kyseon“C-vitamiinin

60jarihaukka
Kuva 23:Standardoituitsemurhakuolleisuus(SDR)jamasennuslääkkeiden käyttö(DDD,määrättyäpäiväannosta 1000 henkilöäkohti)seitsemässä Euroopanmaassa. Kuva 24:Sekoittavatekijä

puutostauti,jolleovatominaisiaihonjalimakalvojenverenvuodot,anemiajayleinenheikkoustilajajokahoitamattomanajohtaakuolemaanmuutamanviikonkuluttua täydellisenC-vitamiininpuutteenalkamisesta”[19].LääkäriJamesLindalkoiratkoaongelmaajatekikeripukinhoitokokeenmerimiehille[8].Hänjakoi 12 keripukistakärsinyttämerimiestäkuuteenryhmäänjotkasaivatnormaalin ruoka-annoksenlisäsikuuttaerilaistaravintolisää.

JamesLindtekemänkeripukinhoitokokeenryhmät:

1. neljännesmittasiideriä

2. 25 tippaalaimennettuarikkihappoa

3 kuusilusikallistaetikkaa

4 puolipinttiämerivettä

5. kaksiappelsiiniäjayksisitruuna

6. maustetahnaajaohravettä**********

Sitrushedelmiäsaaneenryhmänkoeloppuijokuuden päivänkuluttua,muttaheolivatkinjosiinävaiheessakokonaanparantuneetkeripukista.Aluksitulokseensuhtauduttiinepäilevästi,koskatuntuiäärimmäisenepäuskottavalata,ettäsitruumehuvoisiparantaatuonhyvinvakavansairauden.KapteeniJamesCookottisitruunamehun osaksimuonitusta 1770-luvulla,muttavasta 1790-luvulla Englanninlaivastossasisällytettinmuonaanlimetti-taisitruunamehu[34]

Tämänjälkeenkliinisiäkokeitatehtiinjonkinverran,muttaoikeastaanensimmäinenlaajakoe,jossatutkittavatsatunnaistettiinalkoivastavuonna 1951 [72].Siinätutkittiin hinkuyskärokotteentehoa 6-18 kuukaudenikäisillälapsilla,verrokkiryhmääeirokotettuelikyseessäolilume (placebo)vertailuryhmä.Palaammemyöhemmintähänkin tutkimusasetelmaan.

Seuraavaksitarkastelemmalähemmintutkimusasetelmia, niidenvahvuuksiajaheikkouksia,sekäanalysointia.

epidemiologiaakaikille61

Ekologinentutkimus

Ekologisessatutkimuksessatutkijankäytettävissäeioleyksilötasontietoavaansiinätarkastellaanryhmienvälisiäeroja.Ryhmätvoivatollavaikkapaperheitä,koululuokkia,tai suurimmillaanjopamaakuntiataikokonaisiavaltioita.Usein aineistoaekologiseentutkimukseenonhelppoajahalpaa hankkiaEU:n,OECD:n,WHO:njne.julkisistatietokannoista.Tiedonhankinnanvaivattomuusjanopeusonkinmerkittäväekologisentutkimuksenetu.

Ekologisessatutkimuksessaaineistonsiismuodostavat ryhmötasollamitattuprevalalenssitaiinsidenssi,jasamoin ryhmätasollamitatutaltisteet.Joskusaltisteenavoiollavain maantieteellinenalue,joidenvälistävaihteluatarkastellaan. Tarkastellaansiiskarttoja.EsimerkkinävaikkapaPohjoisEuroopansyöpäkartasto[122].

Ekologisentutkimuksenvakavinvarjopuolionilmiö,jo-

Kuva 25:Pohjois-Euroopansyöpäkartasto(naiset)

takutsutaanekologiseksiharhaksi(ecologicalfallacy).

Ekologinenharha

Ekologinenharhavoipahimmillaanjohtaasiihen,että ryhmätasollatodettuyhteysontäysinpäinvastainenkuin yksilötasontodellinenyhteys.

Allaolevassakuvassaonsimuloituaineistoviidestäpopulaatiosta(A-F),joissakorkeampiy-muuttujanarvoennustaaalempaax-muuttujanarvoa.Tämänäkyykuviossa laskevinasuorina,jotkaonsovitettuerikseenkuhunkinviiteenalapopulaatioonyksilötasolla.Joslaskemmeyksinkertaisestikunkinryhmänkeskiarvotjamallitammeyhteyttä niidenperusteellahavaitsemmekorkeampienx-muuttuna arvojenennustavakorkeampiy-muuttujanarvoje,elitäsmälleenpäinvastoinkuinyksilötasonanalyysissa.Kyseon ekologisestaharhasta.

Ekologistentutkimustentuloksiinonsyytäsuhtautua erityisenkriittisestieikäniidenperustella—ilmanmuutanäyttöä—olesyytäryhtyämuuttamaankäytäntöjä.

Kuva 26:Ekologinenharha(ecologicalfallacy).Yksilötasollamitattaessa x-muuttujankasvuonyhteydessä y-muuttujanvähenemiseen,muttaryhmätasonanalyysiosoittaapäinvastaista (mustaviiva)

Ekologisettutkimuksetsopivatkontekstuaaliseentutkimukseen,esim.lainsäädännönjahallintokäytäntöjenvaikutustentutkimiseen,joissavaikutetaanlaajojenihmisjoukkojentoimintaympäristöön.Neovatuseinainoamahdollisuuslaajoihinkansanvälisiinvertailuhin.

64jarihaukka
−4 0 4 10 12 14 16 18 x y Alapopulaatio A B C D E

Ekologinentutkimus

Edut Haasteet

• Alhaisetkustannukset

• Nopeitatehdä

• Suuretpopulaatiot

• Josyksilökohtaisia

mittauksiaeiolesaatavilla,onainoamahdollinentutkimusasetelma

• Ekologinenharha

• Sekoittaviatekijöitäei

voidahallita

• Altistemitattuvainpopulationtasolla

• Aineistonlaatujakoodausvoivaihdella

epidemiologiaakaikille65

Poikkileikkaustutkimus

Poikkileikkaustutkimuksessatarkastelemmeyhtäajanhetkeä,olemmesiisikäänkuinkatkaissetajantietyllätietystä hetkestäjatarkastelemmevaintuotayhtähetkeä(crosssectionalstudy).Mittaammesiistutkimuspopulaatioonkuuluvienhenkilöidenominaisuuksiatietylläajanhetkellä,tai useimmitentietyllälyhyehkölläaikavälillä.Mikälimitattavamuuttujakuvaasairautta,puhummesairaudenprevalenssistaelivallitsevuudesta.

Poikkileikaustutkimuksenaikavoidaanmääritelläeriaikaskaalojenmukaan.

Aiemmintutustuimmemitta-asteikkoihinja 2 × 2-tauluihin.

TarkastellaannytaiemminesiteltyNHANES[22]aineistoa(BodySize,Glycohemoglobin,andDemographicsfrom NHANES 2009-2010).Tutkimuksentavoitteenaolikuvailla Yhdysvaltainväestönterveyttäjaravitsemusta.

Aluksimuutamiakuvioita,joillatarkastellaankahden luokittelumuuttujanelietnisentaustan(dx)jadiabeteksen (re)yhteyttä.Pylväskuviossaesitetäänlukumääriä.

Tarkastellaanvieläkahtajatkuvaamuuttujaa.Sokerihemoglobiini(HbA1)(%)onesitettyiänsuhteen,ryhmiteltynädiabeteksenjaetnisentaustanmukaan.Kuviossaonlisäksiesitettytasoitekäyrä,jokaonlaskettulokaalinregressioanalyysinavulla(loess)(localregressionmodel).

Voidaantodeta,ettäsekädiabeetikoillaettäsairastamattomillasokerihemoglobiininmääräonyhteydessäkorkeampaanikäänetnisestätaustastariippumatta.Diabetestasairastavillaarvotkuitenkinnäyttävätolevanalempiavanhimmissaikäluokissa.

Allayksinkertainentaulukko,jossaonikädiabeteksen mukaanluokiteltuna,taulukossaonkeskiarvo,keskihajon-

Aikaskaalaesimerkkejä:

• biologinenikä

• kalenteriaika

• aika,jokalasketaanjostaintapahtumastaalkaen

Tapahtumavoiollaesim.ensimmäisenlapsensyntymätaivaikkapa ensimmäinenaltistuminenjollekin työperäisellealtisteelle.

Kuva

määrä

Kuva 28:Diabetesta(1)sairastavien painoindeksi(BMI)verrattunamuihin

68jarihaukka Mexican American Other Hispanic Non−Hispanic White Non−Hispanic Black Other Race Including Multi−Racial 0 1000 2000 3000 Lukumäärä Etnisyys Diabetes lääke 0 1
:Diabetestasairastavienluku-
20 40 60 80 0 1 Diabetes Painoindeksi (BMI)
27

Kuva 29:Diabetesta(DM)sairastavien jasairastamattomiensokerihemoglobiini(%)iänsuhteen.

ta,mediaanija 25%ja 75%pisteet.

Taulukko 13:Ikädiabeteksensuhteen, keskiarvo,mediaani,keskihajonta,ja ala-jayläkvartiilit.

Voimmeedelleent-testinavullatutkia,onkoryhmienvälinenkeskiarvojenerotodellinenvaipelkästäänotosvaih-

epidemiologiaakaikille69 Mexican American Other Hispanic Non−Hispanic White Non−Hispanic Black Other Race Including Multi−Racial ei DM DM 20 40 60 80 20 40 60 80 20 40 60 80 20 40 60 80 20 40 60 80 4 5 6 7 8 4 5 6 7 8 Ikä Sokerihemoglobiini (%)
Diabetes Keskiarvo SD Mediaani P.25 P.75 ei 41 85 6 61 26 77 23 02 31 09 on 59.98 7.67 31.13 27.40 36.33

telustajohtuvaa.

t.test(age ~ Diabetes, data= nhgh)

##

##WelchTwoSamplet-test

##

##data:agebyDiabetes

##t=-32.027,df=1473.6,p-value<2.2e-16

##alternativehypothesis:truedifferenceinmeansbetweengroupeiandgrouponisnotequalto0

##95percentconfidenceinterval:

##-19.24600-17.02454

##sampleestimates:

##meaningroupeimeaningroupon

##41.8463159.98158

Havaitsemme,ettädiabetestasairastavienikäon 18,1 vuottakorkeampikuinterveiden,lisäksi 95%LVon 17,019,2,jaParvoeronmerkitsevyydelle<0,0001.Voimmesiis päätellä,ettäeroontodellinen.

Koskakyseonpoikkileikkaustutkimuksestaemmevoi päätelläsyy-seuraus-elikausaalisuhteistamitään.Yhtähyväselitysvoisiolla,ettädiabeteksenaiheuttaajokumuu ikäänliittyvätekijä,eisiisvälttämättäikäitse.

Tutkimmevielämitenetninentausta,jossaonmonta luokkaa,onyhteydessäpainoindeksiin.

Other Race Including Multi−Racial

Etninen ryhmä

Non−Hispanic Black

Non−Hispanic White

Other Hispanic

Mexican American

20 40 60 80

Painoindeksi (BMI)

TutkimmeetnisentaustanjaBMI:nyhteyttätarkemmin lineaarisellaregressiomallilla.

70jarihaukka
epidemiologiaakaikille71 EstimateStd.ErrortvaluePr(>|t|) (Intercept) 28.55640.1866153.05550.0000 reOtherHispanic-0 47380 3196 -1 48240 1383 reNon-HispanicWhite-0 49770 2238 -2 22430 0262 reNon-HispanicBlack 1.14800.27184.22360.0000 reOtherRaceIncludingMulti-Racial-2 84350 3963 -7 17520 0000
muuttujanonBMI.Vertailuryhmänäon ’MexicanAmerican’.
Taulukko
14:Tuloksetlineaarisesta regressiomallistajossaselitettävä

Mallissaverrataanryhmää MexicanAmerican muihin, seonsiisasetettuvertailutasoksi(reference).Kuntarkastelemme 95%LV(taulukossa“2 5%”ja“97 5%”)havaitsemmeettä OtherHispanic ja Non-HispanicWhite ryhmien LVsisältääarvonnolla,tämänvoimmetulkitatarkoittavan,ettäryhmäteiväteroavertailuryhmästä.Sensijaan Non-HispanicBlack ryhmällänäyttääolevannoinyhden BMIyksikönsuurempiarvoja“OtherRaceIncludingMultiRacial”-ryhmällätaasylikaksiyksikköpienempiarvo.Yhteenvetonavoimmetodeta,ettaetnistenryhmienpainoindeksitovaterilaiset.

VoimmetutkiamuidentekijöidenyhteyttäBMIlisäämällämalliinikäjamuitamuuttujia.Lisätäänsiismalliin muuttujatikä(

Taulukko 15:Tuloksetlineaarisesta regressiomallistajossaselitettävä muuttujanonBMI.Vertailuryhmänä on’MexicanAmerican’.Mukana taustamuuttujat.

Huomaamme,ettänäidenkolmentaustamuuttujaanlisääminenmalliineijuurikaanmuuttanutpäätelmiäryhmieneroista(taulukko 15).Tulkitsemme,ettäolemmeottaneettaustamuuttujathuomioon(adjusting)mallituksella, jotenryhmieneroteivätilmeisestijohdueroistamallissa huomioonotettujentaustamuuttujissa.

72jarihaukka
age)jasukupuoli(sex),minkäjälkeentarkastellaantuloksia. Estimate Std.Error tvalue Pr(>|t|) (Intercept) 25 2696 0 2545 99 2817 0 0000 reOtherHispanic -0 6406 0 3117 -2 0551 0 0399 reNonHispanic White -1 1218 0 2207 -5 0819 0 0000 reNonHispanic Black 0.9439 0.2652 3.5594 0.0004 reOtherRace Including Multi-Racial -2.9069 0.3863 -7.5246 0.0000 age 0 0737 0 0040 18 3201 0 0000 sexfemale 0 7268 0 1632 4 4547 0 0000

Poikkileikkaustutkimus

Edut Haasteet

• Nopeitatehdä

• Aineistokerätäänyhdelläkertaa

• Voidaanmitatamonta päätetapahtumaakerralla

• Sopivatkuvailemaan väestönterveyttä

• Eitiedetäaltisteen japäätetapahtumanaikajärjestystä

• Eivätsovilyhytkestoisillesairauksille

• Eivätsoviharvinaisille sairauksille

• Alttiitalukuisilleharhoille

epidemiologiaakaikille73

Seurantatutkimus

Läheskaikkientutkimusasetelmientaustallaonseuranta eliajankuluminen.Seurantatutkikusenvahvuuson,että siinävoidaanottaahuomioonsekäaltisteidenmuutosseurannankuluessaettäaltisteenjasairastumisenvälinenaikajärjestys.

Allaolevassakuvassa 30 yhdellehenkilölleonmerkitty altistusikävuosien 40 ja 45 välille.Tosielämässätämäaltistevoiollavaikkapatyöskenteleminenammatissajohon liittyyvaarallisiakemikaalialtistuksia,taivaikkapajonkun lääkkeenkäyttö.

Suomessatyöterveyslaitos(TTL)onkehittänytFINJEMtyöaltistematriisin(FinnishNationalJob-ExposureMatrix).Siihenonkerättyyksilökohtaistatietoatyöperäisistäaltisteista.FINJEMsisältääsiistiedonaltisteenaalkujaloppuajankohdasta,altisteenlaadustajavoimakkuudesta.Myösmonetmuutrekisteritsisältävättarkkaatietoasekäalteistaet-

Kuva 30:Kymmenenhenkilönseuranta.Yhdellehenkilölle(nro 6)on merkittyaikariippuvaaltistesinisellä vaakaviivalla.

täpäätetiloista.

Seurantatutkimustaaloitettaessaonmääritettävä:

• tutkimuspopulaatio

• seuranta-aika

• mitattavatpäätetilat

Jottatutkimusolisiyleistettävätutkimuspopulaationpitäisiedustaariittävänhyvinkokokohdepopulaatiota(targetpopulation),johontuloksethalutaanyleistää.Tutkimuspopulaationvalintavoiollamonillatavoinharhainen(biased),mikäheikentäätutkimuksenhyödyllisyyttä. Harha johtaasiihen,ettätutkimuksentulokseteivätoleyleistettävissä.

Tässävaiheessaonpäätettävätehdäänköetenevä(concurrent,prospective)vaihistoriallisen(historic,non-concurrent) seurantatutkimus(kuva 32).Etenevässätutkimuksessaosanottajiaseurataanjaheidänaltisteensajapäätetilansakirjataan.Historiallisessaasetelmassataastietopopulaatiosta jasentapahtumistakootaaneritietolähteitäyhdistelemällä jälkikäteen.

Eteneväntutkimuksenvahvuuksiaonettätutkijapystyy

76jarihaukka
Kuva 31:Seuranta-elikohorttitutkimus

määrittämäänitsemitäaltisteitajamillätavoinmitataan, samoinpäätetilatpystytäänmäärittämään.Toisaaltatutkimusvoikestäähyvinkauan,josaikaaltistumisestasairaudenilmaantumiseenonpitkä.

Tarvittavantutkimuspopulaationkokovoiollahyvinsuuri,jostutkittavasairausonharvinainen,kutentutkittaessamoniakroonisiasairauksiakutensyöpää,sepelvaltimotautiataidiabetesta.Tällöineteneväntutkimuksenkustannuksetvoivatollahuomattavansuuretjatutkimukseen seuranta-aikahyvinpitkä.

Historiallisessatutkimuksessaonyleensäturvauduttava hallinnollisiintarkoituksiinkerättyyntietoon.Tällöintutkijanontarkointunnettavatietojenkeräämistavatjaniiden laatu. Historiallinenkohorttitutkimus

Joskäytössäonhenkilötunnus,kutenSuomessa,oneri lähteistäperäisinolevantiedonyhdistelyperiaatteessasekämahdollistaettäsuhteellisenyksinkertaista.Suomessa terveyteenjasairauteenliittyväätietoaonsaatavissamm. seuraaviltatahoilta:Kansaneläkelaitos(KELA),Tilastokeskus,Terveyden-jahyvinvoinninlaitos(THL),TyöterveyslaitosjaVäestörekisterikeskus.Lupayksilökohtaistentietojenkäyttööntieteelliseentaitilastolliseentutkimukseen onmahdollistasaadans.Toisiolainnojalla[1].LupahaetaanFindatalta[18].

Kuva 32:Tosiaikainenjahistoriallinen seurantatutkimus

Seuranta-aika(follow-uptime)onyksinkertaisestiaikaseurannanalustalukien.Ikäänkuinkäynnistämmekellonkun seurantaalkaa,aivansamoinvoimmeajatellaettäbiologiseniänkelloonkäynnistettysyntyessämme.

Ensintarkastelemmekuvioita,joissaonesitettyvainyksiaikaulottuvuuskerrallaan,kutenseuranta-aikataiikä.

Useinseurantatutkimuksenalkutilantestaonhyödyllistäjulkaista poikkileikkaustutkimus,jossakuvaillaantutkimuspopulaationriskitekijöidenprevalenssitjamuutatietoa,jotavoidaan hyödyntääseurannanraportoinnissa.

epidemiologiaakaikille77

Onhuomattava,ettäkaikissaseurantatutkimuksissaonvähintäänkolmeaikaskaalaa(ikä,kalenteriaikajaseurantaaika),joistakolmasonainamääriteltyjoskaksimuutatunnetaan.Näidenkolmenlisäksisyntymäkohortti(-vuosi), voiollaolennainen.

Poliovirusastistusjaskitsofrenia:Esimerkkisyntymävuodenmerkityksestä

Suomalaisessatutkimuksessahavaittiin,ettäaltistuminenpoliovirukselleraskaudenkeskikolmanneksella onyhteydessäkohonneeseenskitsofreniailmaantumiseenaikuisena[136].Tutkimuksessatarkasteltiin vuosina 1951–1969 syntyneitähenkilöitä,joiltatutkittiinsairastumistaskitsofreniaanvuosina 1970–1991. Kaikiltatiedettiinsyntymäaikaja-paikkasekäsukupuoli.Tähäntietoonyhdistettiinläänintarkkuudella tietohalvaukseenjohtaneistapoliotapaustenmäärästä. Tutkimuksessahavaittiin,ettäskitsofrenianriskioli hiemanlisääntynyt(suhteellinenriski 1.08, 95%LV 1.02–1.13),josalueella,jollaäitioliasunut,olioli 5 kuukauttaennensynnytystähavaittupoliohalvauksia.

Useinonkuitenkinvalaisevaatarkastellakahtaaikaulottuvuuttayhtäaikaa.Siisvaikkapaikääjakalenterivuotta

78jarihaukka
Kuva 33:Lexis-diagrammi, 1-ulotteinen, ikäjaseuranta-aika
epidemiologiaakaikille79 (kuvio
34).
Kuva 34:Lexis-diagrammi, 2-ulotteinen, kalenterivuosi,seuranta-aikajaikä

Esimerkkiseurantatutkimuksesta

KäytämmeesimerkkiaineistonaYhdysvaltalaistaseurantatutkimusta(TheU.S.NationalLongitudinalMortalityStudy(NLMS)PublicUseMicrodataSample(PUMS)),jokasisältääpopulaationjokaisestaosavaltiosta[11].Käytämme esimerkissäVirginianosavaltionaineistoa.

Aluksilaaditaanelossaolokäyräasunnonhallintamuodon(sex)mukaan.Huomataan,ettämiehillä(Male)onkorkeampikuolleisuus(alinkäyrä)kuinnaisilla 10 vuoden aikana(Kuvio 35).Kuvionalaosataulukkokertooseurannassaolevanpopulaationkoon 3 vuodenvälein.Esim.miehiäoli 9 vuodenseurannanjälkeenelossa 13625 miestäja viimeisenkolmenvuodenaikanaolikuollut 392 miestä.

Taulukoimmekuolleisuudenryhmittäinjavertaamme muitaryhmiä Male-ryhmäänlaskemallasekäabsoluuttisen (1/1000 henkilövuottakohti)ettäsuhteellisenriskineron (MRR)(taulukko 16).Huomataan Female-ryhmäkuolleisuudenolevan 0,94/1000 pienempi(8,40 7,46)kuin Maleryhmässä,suhteellinenriskion 0,89 eli 18%pienempi(1 0,89 = 0,11eli 11%).Olemmesiislaskeneetkuolleisuudetjariskienerosukupuoltenvälilläjapäätyneethuomaa-

80jarihaukka
Kuva 35:Kokonaiskuolleisuussukupuolenmukaan

maanettäeroonvarsinsuuri.

Seuraavakysymysonkin,aiheuttaakosukupuolihavaituterotelionkokysesyy-seuraustuhteesta,vaionkyse vainassosiaatiosta.Lyhyestivoidaanpohtia,ettämiesten elämäänsaattaaliittyätekijöitä,jotkaselittäisivätkorkeammankuolleisuuden.Tarkastelussakäytettäviämenetelmiä selitetäänmyöhemmin.

Ryhmä Seur.aika Lukumäärä

Seurantatutkimus Edut Haasteet

• Voidaanmäärittääinsidenssijariski

• Altisteenjapäätetapahtumanaikajärjestys voidaanmäärittää

• Voidaantutkiauseita päätetapahtumiajaaltisteitakerralla

• Tarvitaansuuripopulaatio

• Useinkalliita,etenkin eteneväkohortti

• Tulostensaaminenvoi kestääkauan(etenevä kohortti)

Taulukko 16:Kokonaiskuolleisuus. Kuolleidenlukumäärä(N),kertynyt seuranta-aika(1/1000),kuolleisuusja suhteellinenkuolemanriski(MRR)

Upotettutapaus-verrokkitutkimus

Seurantatutkimuksessakerätystäaineistostaonuseinjärkeväämuodostaaupotettutapaus-verrokkitutkimus(nestedcasecontrolstudy).Siinäkullekinpäätetapahtumallevalitaanverrokki,useinneljätaiviittäverrokkiaenempää eioletarpeenottaa.Verrokkejavalittaessaotetaanhuomioon,ettäheovatmukanaseurannassa,kunindeksitapahtumasattuu.Lisäksiverrokituseimmitenkaltaistetaan (matching)sellaistenmuuttujiensuhteen,joidenvaikutuksentiedetäänjoennakoltaolevanvoimakas,jajoidenvaikutustaeihalutatutkia.Tällaisiamuuttujiaovatuseinikä jasukupuoli[78].

Upotetussatapaus-verrokkitutkimuksessatarvitaantie-

epidemiologiaakaikille81
Kuolleisuus MRR Male 154,59 1298 8,40 (7,95-8,87) 1,00 (1,00-1,00) Female 168,54 1257 7,46 (7,05-7,88) 0,89 (0,82-0,96)

dotvainniistähenkilöistä,joillaonpäätetapahtumajaheidänverrokeistaan.Joskyseessäonsuuritutkimus,näin voidaansäästäähuomattavastiresursseja.Esim.josseurannanalussaonsäilöttynäytteitä,vainupotettuunkohorttiin kuuluviennäytteetontarpeentutkia.Jos 50000 henkilön tutkimuspopulaatiossahavaitaan 200 kiinnostuksenkohteenaolevaakeuhkosyöpää,jasairastuneilllavalitaanneljä verrokkia,ontutkittavanavain 1000 näytettä 50000 sijasta.

Upotettutapaus-verrokkitutkimusonerittäinvahvaasetelma,koskasentuloksetovatyhtäpitävätkuinjostutkittaisiinkokotutkimuspopulaatio,lisäksiasetelmahyödyntäätehokkaastimitatutselittävätmuuttujat[106,Delcoigne etal.[61]].

Upotettutapaus-verrokkitutkimus

Edut Haasteet

• Voidaanmäärittääriskisuhde

• Altisteenjapäätetapahtumanaikajärjestys voidaanmäärittää

• Tarvitaanvähemmän mittauksiakuinseurantatutkimuksessa

• Absoluuttisenriskin laskemineneiolesuoraviivaista

• Kaltaistamisessapitää ollahuolellinen

• Tulostensaaminenvoi kestääkauan(etenevä kohortti)

82jarihaukka

Sairauslähtöinentutkimus

Sairauslähtöistätutkimukset (case-controlstudy)ovatusein nopeitatehdä,muttaniidenvarjopuolenaovatlukuisatmahdollisetharhatjailmaantuvuudenjaabsoluuttisenriskin laskemisenmahdottomuus.

Sairauslähtöisessämääritelläänensintapauksetelisairastuneet(cases)jaheillevalitaanvertailuhenkilöteliverrokit(controls).Kaikilletutkimuspopulaatioonkuuluville— sekätapauksilleettäverrokeille—määritetäänaltisteetja riskitekijätsamoinmenetelmin.Sairauslähtöisessätutkimuksessaonmahdollistatutkiauseidenriskitekijöidenyhteyttäkiinnostuksenkohteenaolevaansairauteen.

Koskalähdetäänliikeelletapauksista,asetelmasopiierityisenhyvinharvinaistensairauksientutkimiseen.Eiole siistarpeenodotellauseitavuosia,ettäkertyisiriittävämäärätapauksiakutenseurantatutkimuksessa,vaanvoidaan lähteätutkimaanjosairastuneita.

Sairauslähtöisentutkimuksentuloksetvoidaanyksinkertaisimmillaanesittää2 × 2-taulussa.Tarkastelemmetutkimustajossalepraasairastaville(N=274)henkilöilleonvalittuneljäverrokkia[56].

Lepra-tutkimuksenmuuttujat:

* age:5-910-1415-1920-2425-2930-44,over45

* sex:sukupuolimale,female

* bcg:BacillusCalmette-Guerin(BCG)rokotteenarpi,noyes

* school:koulutuksenpituus1-5yrs6-8yrssec,tert

* house:asuinrakennuksenmateriaalibrick,sunbrick,wattle,temp

TarkastelemmelepranjaBCG-rokotusarven(BacillusCalmette–Guerin)yhteyttä 2 × 2-taulunavulla.Havaitsemmeettä

BCGarpi(yes)esiintyyverrokeilla(Controls)huomattavastiuseamminkuintapauksilla(Cases).Koskasairauslähtöisessätutkimuksessatapahtumantodennäköisyyseli lepraoletetaanharvinaiseksivoidaanvetosuhdetta(odds ratio)käyttääriskisuhteen(riskratio)arvioimiseen(estimation).VoimmesiistodetaettäBCGyhdistyy 75%alempaan lepranriskiin(1 0,25 = 0,75 = 75%).

Lepranilmaantuvuuttatairiskiäeiluonnollisestikaan voidalaskea,koskatutkimustasuunniteltaessaonpäätetty, ettäjokaistaleprapotilastakohtivalitaanneljäverrokkia.Ei siisoletietoakuinkasuurtaosuuttakokopopulaatiostatapauksetedustavat.

Sairauslähtöistätutkimustavoidaantarkemminanalysoidaeriregressionalyysinmenetelmin,kutenlogistisella (logisticregression)jaehdollisellalogistisella(conditionallogisticregression)regressiolla.

##Pointestimatesand95%CIs:

##Oddsratio0.25(0.18,0.35)

##Attribfraction(est)intheexposed(%)-304.81(-479.42,-187.47)

##Attribfraction(est)inthepopulation(%)-52.35(-64.45,-41.14)

##Uncorrectedchi2testthatOR=1:chi2(1)=74.060Pr>chi2=<0.001

##FisherexacttestthatOR=1:Pr>chi2=<0.001

##Waldconfidencelimits

##CI:confidenceinterval

## * Outcomesper100populationunits

Tapaustenvalinta

Suunniteltaessasairauslähtöistätutkimustasairaudenkriteerienmäärittäminenontehtäväriittävällätarkkuudella. Kunkyseonverrattainyleisestäsairaudestakutendiabe-

84jarihaukka
* Odds ##Exposed+475005478.590.094 ##Exposed-22759682327.580.381 ##Total2741096137020.000.250 ##
##Outcome+Outcome-TotalPrevalence
##-------------------------------------------------------------------
##-------------------------------------------------------------------

tes,sepelvaltimotautitaivakavamasennus,onsyytänoudattaayleisestikäytettyjäjahyväksyttyjäsairaudenmääritelmiä.

Jostutkimuksenkohteenaontietynsairaudenetiologia, ontapauksenmääritelmänsyytäollariittävänyksityiskohtainenjakytköksissätutkittaviinjaennaltamääritettyihin riskitekijöihin.Joshalutaanvaikkapakannabiksenkäytön yhteyttäpsykooseihinjatiedetäänettäerityisestiskitsofrenianriskiliittyykannabikseen[73],onsyytävalitatapauksiksivarmistettujaskitsofreniadiagnooseja,eikäesim.kaksisuuntaisiamielialahäiriöitä.

Tärkeänäkökohtasairastuneitavalittaessaonpyrkiäsisällyttämäänriittävästivariaatioitatutkittaviinriskitekijöihin.Joshalutaantutkiavaikkapasyntyessämääriteltyjen

APGARpisteiden[66]yhteyttälapsenmyöhempäänkehitykseenonsyytävarmistaaettätapaustenjoukossaon eripistemääriäsaaneitalapsia.Jospistemäärätovatvain välillä 8-10 eialempienpistemäärienyhteyttäpäätetilaan pystytätutkimaan.

Sairauslähtöisentutkimuksensairastuneidenetsimiseen onmoniatapojajalähteitä.Mikälikäytettävissäontarvittavattiedotsisältävärekisteri,tapaustenmäärittäminenon useinmelkosuoraviivaista.Tapauksiavoidaanlöytäämyös normaaliinterveydenhuollontoimintaanliittyenesim.sairaalanosastollahoidetuistapotilaistataivaikkapaterveystarkastustenyhteydessä.

Sairauksiavoidaanetsiädiagnoosikoodienmukaan[12] terveydenhuollonrekistereistä[5,noa[6]],taitietynlääkkeenkäyttöävoidaanpitäämerkkinäsairaudestakuten diabeteksesta.

Verrokkienvalinta

Sairauslähtöisentutkimuksenkeskeinenongelmaonverrokkienvalinta.Verrokkienpitääollalähtöisinsamastakohdepopulaatiostakuintapaustenkin.Verrokkienonsiisoltavaelossajailmantutkittavaatautia.

Verrokitvoidaanvalitahyvinvaihtelevintavoin.Josta-

epidemiologiaakaikille85

pauksetovatsairaalapotilaista,verrokitvoidaanvalitaesim. jonkunmuunosastonpotilaista.VoidaankäyttääVäestörekisteriä,tapaustennaapureita,ystäviätaiperheenjäseniä. Eräässäsuomalaisessatutkimuksessavalittiinverrokeiksi edellinensamallasynnytysosastollasyntynytsamaasukupuoltaolevalapsi[114].

Verrokkienlukumääräeilisääkovinpaljontutkimuksen luotettavuutta.Nyrkkisääntönävoidaanpitääettä 1–5 verrokkiaonriittävämäärä. 80%sairauslähtöisentutkimuksenteoreettisestamaksimitehostasaavutetaankinjoneljälläverrokilla.

Kaltaistaminen

Kaltaistamisella(matching)tarkoitetaanverrokkienvalintaasiten,ettäkullekintapauksellevalitaanyksitaiuseampiverrokkiajotkaovattietyiltäominaisuuksiltaansamanlaisiakuintapaukset.Kaltaistustehdääntyypillisestisukupuolen,iän(syntymävuosi)jaasuinpaikanmukaan.

Kaltaistamisellapyritäänvähentämäänsiinäkäytettyjen tekijöidenaiheuttamaaharhaatekemällätapauksetjaverrokitmahdolllisimmansamanlaisiksikaltaistettavientekijöidensuhteen.Toisaalta,kaltaistamiseenkäytettyjentekijöidenvaikutustaeivoidatutkiajakaltaistaminenmonimutkaistaatutkimuksenanalysoinnintilastotollisiamenetelmiä.Kaltaistamistekijöinäkannattaakinkäyttääsellaisia tekijöitäjoidenottaminenhuomioonmuillatavoin,kuten mallittamallataiosittamalla,eionnistu.Tyypillinenesimerkkionsamaasukupuoltaolevansisaruksentaikaksoissisarenkäyttäminenkaltaistettunaverrokkina,kunon tarkoitusottaahuomioonsekäperinnöllisetettäkasvuympäristöstäjohtuvattekijät.

Kaltaistamineneikannatajoskaltaistettavattekijätliittyvätpelkästäänriskitekijöihintaipelkästääntutkittavaan sairauteen.Tällöinkyseessäoliylikaltaistaminen(over-matching), jokaheikentäätutkimuksentehoa.

86jarihaukka

Sairauslähtöinentutkimus

Edut Haasteet

• Useintarvitaanvain pienipopulaatio

• Kustannuksetusein pienet

• Voidaantutkiauseita altisteita

• Eivoidamäärittääinsidenssiätairiskiä

• Altisteenjapäätetilan aikajärjestystäeivoida määrittää

• Voidaantutkiavain yhtäpäätetilaa

epidemiologiaakaikille87

Kokeellinentutkimus

Kokeellinentutkimuseliinterventiotutkimuselikliiniset kokeet(clinicaltrials)tarjoavatparhaannäytönvertailtaessa vaikkapaerihoitomuotojentailääkkeidenvaikutusta.

Interventiotutkimuksenideaalitilanteessaosallistujatsatunnaistetaanhoitoryhmiin.Kahtahoitoavertailtaessasiis arvotaankumpaahoitoakukinpotilassaa.Josvertaillaan tehotontaelilumelääkettä(placebo)vaikuttavaanlääkkeeseenkyseessäonlumekontrolloitukoe.Satunnaistamisen tarkoitusonvarmistaa,ettäainoaeroerihoitoasaavien ryhmienvälilläonarvottuhoito,eivätsiistutkittavienhenkilöidenominaisuudet. Kliinisenkokeentavoitteita

• Tutkitaanuudenlääkkeenparemmuuttavanhaanverrattuna(superiority)

• Tutkitaanovatkolääkkeetyhtähyviä(equivalence)

• Tutkitaanonkolääketoistahuonompi(non-inferiority)

• Annosvasteenmäärittäminen(dose-response)

Periatteessainterventiotutkimussiissuunnitellaanvastaamaanyhteenkysymykseen:onkoverrattavienhoitoja välilläeroa.Tutkimuksenotoskokomääritetääntutkimuskysymyksenmukaanjasiihenvaikuttaamm.millämittaasteikollavertailutehdäänjakuinkasuurierohalutaan havaita.Otoskoonmäärittäminenkuvaillaantarkemminsivulla 175

Jospotilaseitiedämitälääkettätaihoitoahänsaakutsutaanasetelmasokkoutetuksi(blinded,masked),jostutkimuksentekijäeitiedälääkettäkyseonkaksoissokkoutetusta(double-blinded),jajostulostenanalysoijakaaeitiedä hoitoryhmiäkyseonkolmoissokkoutetusta(triple-blinded) kokeesta.

Sokkouttamineneiluonnollisestikaanainaolemahdollista.Joshoitonaonvaikkapapsykoterapia,sitätuskinvoidaantoteuttaapotilaanja/taihoitavanhenkilöntietämättä.Toisaaltajopakirurgiassaontehtysokkoutettujatutkimuksiakäyttämällälumeenahyvinkevyttaoperaatiota (eng. sham-controlled)[132]

Satunnaistamisenjasokkoutuksentarkoitusonpoistaa kaikkienmuidentekijöidenkuinannettavahoidonvaikutustutkittavaanpäätetilaan.Satunnaistetutkliinisetkokeet (randomizedclinicaltrials,RCT)ovatkinuseimmitenparas keinosaadaluotettavaajaharhatontatietohoidonvaikuttavuudesta.

Joskustehdäänväestötasoninterventiotutkimuksia,jolloinsatunnaistaminenjasokkoutuseivättulekysymykseen.Tällaineninterventiovoisiollaesim.juomavedenfluoraustaikokoväestöönkohdistettuterveysvalistuskampanja.

Kliinisetkokeetovattarkoinvalvottuja.CONSORT-ohje[41] antaaminimivaatimuksenkliinisessäkokeessanoudatettavilleraportointikäytännöille(kuva 36).Sesisältää 25-kohtaisen tarkistuslistanjavuokaaviomallintutkimuksentarkistamiseksi.Ohjeistuskoskeetutkimustulostenraportointia,läpinäkyvyyttäjariittävänkriittistaätulostenesittämistäja tulkintaa.

Tutkimuksenvuokaaviopitäisiollajokaisessakliinisen kokeentutkimusraportissa.Senkauttavoidaanhahmottaa mitentutkimuspopulaatioonmuodostunut.Tutkimuksen yleistettävyydenkannaltaolennaisiaovatesim.tutkimuksestapoissuljettujen(excluded)jatutkimuksenaikanalopettaneidenmäärät(drop-outs).

Interventiotutkimuksetonrekisteröitäväennentutkimuksenaloittamista,näinvältetääntutkimustulostenvalikoiva

90jarihaukka
epidemiologiaakaikille91
Kuva 36:Tutkimuksenvuokaavio CONSORTohjeenmukaan.

julkaiseminenelijulkaisuharha.LaajinalustainterventiotutkimustenjulkaisuunonYhdysvaltainNationalLibrary ofMedicine(NLM)ylläpitämäClinicalTrials.gov[38].

P.I.C.O.jäsennys

P.I.C.O.jäsennystäkäytetäänsekäsuunniteltaessaettäarvioitaessakliinisiäkokeita.

• (P)Tutkittavienpotilaiden(Patients)kuvailunonoltava riittäväntäsmälllistä,muttasiltitiivistä.Esim.voidaan määritellä:“Potilaat,joillatodettuvakavamasennusviimeisenkahdenkuukaudenaikana.”.

• (I)Intervention(Intervention)kuvailussaonoltavariittävä’ntarkkakuten:“Vaikuttaakolyhytterapiamasennuksenasteeseen?”

• (C)Mihininterventiotavertaillaan(Comparison)onkuvattavatarkasti,“Verrataanlyhytterapiaapelkkäänlääkehoitoon.”

• (O)Interventionvaikutustakuvaavamittari(Outcome)on kuvattavatarkasti,esim.“MasennusvähentynytBeckin depressioasteikollamitattuna.”.

Olennainenkysymyson“Onkovähennysriittävänsuurtajottauusihoitokannattaisiottaakäyttöön”.

92jarihaukka
P.I.C.O.jäsennystäkannattaasoveltaa myöshavainnoiviintutkimusasetelmiin.

Interventiotutkimustenlaadunarviointi

Interventiotutkimustenoikeellisuus(validity)voidaanjakaasisäiseenjaulkoiseen[100].

Sisäiseenoikeellisuuteenvaikuttavatharhat,jotkaliittyvätmm.ryhmiensatunnaistamiseen,saamanhoitoon,päätetilojenhavaitsemiseentaitutkimuksessalopettamiseen.

Ulkoinenoikeellisuustaasmäärääsen,kuinkahyvininterventiotutkimuksentiuloksetovatyleistettävissämuihin olosuhteisiin.

Laadunarviointionkinkeskeiseesäroolissa,kunuseindenintertventiotutkimustentulosteperusteellatehdäämetaanalyyseja.

Interventiotutkimuksenasetelmat

Tutkimusasetelmianluokittelussavoidaankäyttääominaisuuksiasatunnaistettu–satunnaistamaton;sokkoutettu–avoin.Lisäksiryhmienvertailussavoiollaerilaisiatavoitteita.

Rinnakkainenasetelma

Rinnakkaisessaasetelmassa(paralleltrial)osallistujasatunnaistetaanalussaryhmiin(treatmentarms)joitaseurataan tutkimuksenkuluessa.Osallistujatpysyvätsamassaryhmässäkokotutkimuksenajan,samoinanalysoitaessatuloksia.

epidemiologiaakaikille93
Kuva 37:Paralleeliasetelma.

Vaihtoasetelma

Vaihtoasetelmassa(crossovertrial)osallistujasatunnaistetaanjompaankumpaanryhmäänAtaiB,muttatutkimuksenmäärätyssävaiheessakaikkipotilaatvaihtavatryhmää. NäinjokainenpotilassaamolempiahoitojaAjaB.Joskus hoidonvaihtoonliittyy“puhdistus”-jakso(washoutperiod) ennenuudenhoidonaloittamista.Tutkimustuloksiaanlysoitaessaotetaanhuomioonkumpaanryhmäänkuuluvaan hoitoa(AvaiB)henkilöonsaanutensin.

Kaltaistetutparitasetelma

Kaltaistetutparitasetelmassa(matchedpairtrial)osallistujat tutkitaanlukuisienominaisuuksiensuhteenjaparitmuodostetaanmahdollisimmansamankaltaisistaosallistujista. Kunkinparinsisälläsittenarvotaantoinensamaanhoitoa AjatoinenhoitoaB.

94jarihaukka
Kuva 38:Crossoverasetelma. Kuva 39:Kaltaistetutparit.

Lopettamisasetelma

Lopettamisasetelmassa(withdrawaltrial)kaikkiosallistujatsaavataluksisamaa,tutkittavaahoitoa.Toisessavaiheessapuoletosallistujistaarvotaanlume-ryhmäänelihe lopettavathoidon.Tarkoituksenaontutkia,missämäärin hoidonlopettaminenonyhteydessämitattavaantulosmuuttujaan.

Faktoriaalinenkoe

Faktoriaalisessakokeessa(factorialdesign)tutkitaanyleensäkahtatoisistaanriippumatontahoitoa.Asetelmamahdollistaahoitojenyhdysvaikutuksentutkimisen.

SuomessatoteutetussaSetti-tutkimuksessa(ATBCTrial) tutkittiinalfatokoferolinjabeetakaroteeninvaikutustakeuhkosyövänilmaantumiseen 50-69-vuotiallatupakoivillamiehillä[82].Tutkimuksessaolimukana 29133 miestä.Asetelmanaoli 2 × 2 -faktoriaalinenasetelma.Neljäryhmääsaivatpäiväannoksinakapseleitaseuraavasti:lume; 50 mgalfatokoferolia; 20 mgbeetakaroteenia; 50 mgalfatokoferolia ja 20 mgbeetakaroteenia.

Ryhmäsatunnaistettuasetelma

Ryhmäsatunnaistetussaasetelmassa(cluster-randomizedcontrolledtrial,cluster-RCT)satunnaistamisyksikkönäonyksilönsijastaryhmä.Ryhmävoidaanmääritellälukuisinkriteerein.Maantieteellinenaluekutenkunta,kaupunginosa

epidemiologiaakaikille95
Kuva 40:Poisjääntiasetelma.

taimuurajattualuevoivatsopiavaikkapaavohoidonmenetelmienkokeiluihin.Myössairaaloidenosastotvoivattoimiasataunnaistamisryhminä.Esimerkiksiterveydenhuollonyksikköjävoidaansatunnaistaajaohjatatoteuttamaan eritoimintapoja.

Luonnollinenkoe

Luonnolliseksikokeeksi(naturalexperiment)kutsutaanasetelmaa,jossainterventiotapahtuujonkunluonnollisentai siihenverrattavantapahtumanjohdosta[58].Tapahtumavoi ollavaikkapalainsäädännönmuutos[55],kokoväestönvalikoimatonsiirtopoisasuinsijoiltaan[89,Haukka[87]];tai poliittisentoiminnan[130]taisodan[99]

aiheuttamakokoväestöönkohdistavanälänhätä.

ToisenmaailmaansodanjälkeenEuroopassatoteutettiinlaajoja“luonnollisia”interventioitakunmm.Suomessa,Puolassa,jaSaksassasiirrettiinhuomattaviaihmisjoukkojasodanlopputuloksentakia.Suomalaisiasiirtokarjalaisiaolinoin 420000 henkeäeli 11 prosenttiaSuomensilloisestaväkiluvusta,saksalaisiasiirrettiin 13 16 miljoonaa henkeäjapuolalaisianoin 1,6 miljoonaa.

VäestönsiirronvaikutuksiaSuomessatutkittiintarkas-

96jarihaukka
Kuva 41:Paralleeliasetelma.
epidemiologiaakaikille97
Kuva 42:Klusteriasetelma.

telemalla 245075 suomalaisenkuolleisuuttavuosina 1971–2010.Tutkimuspopulaatioolimuodostettuvuoden 1950 väestölaskennan 10 %:nsatunnaisotoksesta.Evakuoitujaotokseenkuuluneistaoli 20277 (8,4 %)[87].

Allaolevataulukkoesittääkuolemienlukumääräjakuolleisuustuhattahenkilövuottakohti.Suhteellinenriski(IRR) Poissoninregressiomallista,jossaselittävinätekijöinäevakkous,ikä,sukupuoli,äidinkieli,sosioekonominenasema vuonna 1939 sekälääni,jossaasui 1950 (MRR= mortality rateratio).

Tulostenperusteellaevakkoonjoutuminenoliyhteydessäkohonneeseensydäntautikuolleisuuteen(MRR 1,111,081,15),muttatoisaaltaitsemurhanriskiolihiemanalempi evakkojenjoukossa(0,77, 0,64-0,92).

Interventiotutkimuksentulostenanalysointi

Periatteessainterventiotutkimuksenanalysointionhyvin yksinkertaistajaanalyysitapaonmääritettyjotutkimuksensuunnitteluvaiheessa.Josensisijainenpäätetapahtuma (primaryoutcome)onvaikkapaparantuneidenosuusvertailtaessakahtahoitoryhmää,onluontevaaanalysoidaabsoluuttistariskieneroa(absoluteriskdifference)tairiskien suhdetta(relativerisk).Jostavoiteenaonverratakahden verenpainelääkkeenvaikutusta,voidaanvertaillaverenpai-

98jarihaukka
Kuva 43:SuomenIImaailmansodan jälkeisetalueluovutukset
Syy Tapauksia Kuolleisuus MRR Kokonaiskuolleisuus muut 144618 24,28 1,00 (vertailu) evakot 14482 27,77 1,03 (1,01-1,05) Iskeeminensydäntauti muut 42323 7,11 1,00 (vertailu) evakot 4584 8,79 1,11 (1,08-1,15) Aivoverisuoniensairaudet muut 16861 2,83 1,00 (vertailu) evakot 1739 3,33 1,03 (0,98-1,08) Alkoholiperäisetsairaudet muut 1837 0,31 1,00 (vertailu) evakot 158 0,30 0,94 (0,80-1,10) Onnettomuudet muut 5160 0,87 1,00 (vertailu) evakot 447 0,86 0,92 (0,84-1,02) Itsemurhat muut 1815 0,30 1,00 (vertailu) evakot 123 0,24 0,77 (0,64-0,92)

neenkeskiarvonalenemistaerihoitoasaaneidenryhmissä.

Hoitoaikeenmukainenanalyysi

Hoitoaikeenmukainenanalyysi(Intention-To-Treat,ITT)tarkoittaa,ettäinterventiotutkimuksessaanalyysivaiheessakukinhenkilöoletetaankuuluvaksisiihenryhmäänjohonhänetonsijoittualunperin.Vaikkahetiseuraavanapäivänäsatunnaistamisenjälkeenhenkilövaihtaisihoitoryhmää hänetluetaananalyyseissakuuluvaksialkuperäiseenryhmään.Tämäonäärimmäisentärkeäperiaate,koskasetakaatulostenharhattomuuden. “On-Treatment”,“PerProtocol” Joskusanalysoidaantiedonsyventämiseksi“On-Treatment” tai“PerProtocol”,elikukinhenkilöanalysoidaansiinä ryhmässäjollaistahoitoahänontodellisuudessasaanut.

Tähänanalyysitapaanliittyykuitenkinhuomattavariskiharhasta.Josvaikkapajokututkittavistalääkkeistäaiheuttaapaljonsivuvaikutuksia,jotkaaiheuttavatlääkityksenmuutoksen,tämäanalyysitapavääristäävertailut.

Setti-tutkimus:Esimerkkihavainnoivanjakokeellisentutkimuksenristiriidasta

SuomessatoteutetunSetti-tutkimuksen(*ATBC CancerPreventionStudy*)tuloksetosoittavat,kuinkaepävarmaahavainnoivantutkimuksentulosten siirtäminenkokeelliseentutkimukseenvoiolla.

Kuntutkimustasuunniteltiinpidettiinhyvintodennäköisenä,ettärunsas β-karoteenin(A-vitamiinineli retinolinesiaste)ja α-tokoferolin(E-vitamiini)saanti ravinnostavähentääsyövänilmaantuvuutta[131][119]. Havainnoivinentutkimustentulostenperusteellasuunniteltiinpitkäaikainensatunnaistettukliininentutkimus,jonkatavoitteenaoliehkäistäkeuhkosyövänilmaantumistatupakoivilla 50–69-vuotiaillasuomalaisillamiehillä.

Tutkimuspopulaatioonvalittiintupakoivatmiehet (N=29133),koskaheovatsuuressariskissäsaadakeuh-

epidemiologiaakaikille99

kosyöpä.Odotettavissaolisisiispaljonsyöpätapauksia, jolloinsuplementtiensyöpääehkäisevävaikutusolisi helppohavaita.

Tutkimuksenseurantakesti 5–8 vuotta(mediaani 6,1 vuotta),jonkaaikanahavaittiin 876 keuhkosyöpää.Ilmaantuvuudet 10000 henkilövuottakohtiolivatseuravat: α-tokoferoliyksin 47,3; α-tokoferolija β-karoteeni 55,3; β-karoteeniyksin 57,2;jalume 47,7.Todettiinsiis, että β-karoteeniasaaneidenjoukossakeuhkosyövänilmaantuminenolisuurempaakuinsitäsaamattomissa,lisäksierolisääntyijatkuvasti,alkaen 18 kuukautta suplementinaloittamisesta.

Tulos,että 50 mgpäivässä β-karoteeniasaatunakapselistalisäsikeuhkosyövänilmaantumistaoliodottamaton,koskakokotutkimuksenoletuksetperustuivat täsmälleenpäinvastaiseennäyttöönhavainnoivistatutkimuksista.

Vastatuloksenjulkistamisen jälkeen tutkittiineläinkokeella β-karoteeninvaikutustaretinoliaineenvaihduntaan[147].Kokeessahillereitäaltistettiintupakansavulleja β-karoteenille,jolloinhavaittiinretinoliaineenvaihduntaanliittyvänRARβ geenintoiminnanvähentyneenjatoisaaltaaktivaattoriproteiini-1 ilmentymisenlisääntyneen.Tämäesitettiinmekanismiksi,jolla tupakansavuja β-karoteeniyhdessälisäävätpahanlaatuistenkasvaintenriskiä.

Onsiisensiarvoisentärkeääsuhtautuahyvinvarovastihavainnoivantutkimuksenantamaannäyttöön japyrkiäselvittämäänmyösmekanismithavaintojen taustallaennenkuinryhdytäänlaajoihininterventioihin.

Interventiotutkimus

100jarihaukka

Edut Haasteet

• Hypoteesientestaaminen

• Harhojenhallintahelppoa–tuloksetluotettavia

• Systemaattisetvirheet voimuuttaasatunnaisvirheiksisatunnaistamalla

• Kalliita

• Tehoelävässäelämässä alhaisempi

• Kaikkeaeivoitutkia kliiniselläkokeella

epidemiologiaakaikille101

Epidemiologisentutkimuksensuunnittelu

Hyvätutkimussuunnitelmaonvälttämätön,jottatutkimus voidaantoteuttaa.Senlaatimiseenonsiissyytäkäyttää riittävästiasiantuntemusta,ajatteluajaaikaa.Huolellisesti laadittusuunnitelmaonsekärahoituksenettätarvittavien lupiensaanninedellytys.Hyväsuunnitelmaonmyösosa tutkimusetiikkaa.

Epidemiologisentutkimuksensuunnitelmavoidaansoveltuvinosinjäsentääseuraavanlistanmukaan[20]:

1. Tutkimuskysymysjatyöhypoteesit

• Mitäasiastajotiedetään

• Kohdepopulaationvalintaa

• Päätetilojantarkkamäärittely

• Riskitekijöidenjamuidenmuuttujientarkkamäärittely

• Mittarienmäärittely(osuus,keskiarvo,riskijne.)

• Tilastollisestitestattavienhypoteesienmäärittely

• Kuvailevienjakonfirmatoristenanalyysienmäärittely

2. Tutkimusasetelma

• Optimaalinenasetelmajatoteutettavissaolevaasetelma

• Valitientutkimusasetelamnperustelu

3 Kohdepopulaatiojaotantatutkimuspopulationmuodostamiseksi

• Tietojenlähteet

• Otanta

• Otannanedustavuudenarviointi

4 Tutkimuspopulaationkoko

• TutkimuksenvoimakkuudenmäärittäminenjaIItyypin virhe

• Otoskoko

• Alaryhmienmäärittäminen

5 Tutkimuspopulaationmuodostaminen

• Valintaharhanlähteidenidentifiointi

• Vertailuryhminmäärittäminen

• Kaltaistus

• Tutkimuspopulaatioonkuuluvienhenkilöidentavoittaminen

• Osallistumisentodennäköisyydenmaksimointiajaeriosapopulaatioidenmahdollisimmansamankaltainentavoittaminen

6 Päätetilat,riskitekijätjamuutselittävätmuuttujat

• Muuttujienmittauksenopetationalisointijamittaaminen

• Mitenmuutosajassaotetaanhuomioon

• Tutkimustavanvalinta(esim.omailmoitustaitutkimuskäynti)

• Johdettujenmuuttujienmäärittäminen

7. Mittaminenjadatankeräys

• Harhojenkutenmuistiharjajamittaussvirhevälttämäminen

• Menetelmät(lomakkeet,Internetkysely,haastattelujne.)

• Toissijaisen,olemassaolevanaineiston(esim.sairauskertomukset,lääkemääräykset)käyttö

• Biomateriaalinkerääminen:prosessointi,kuljetun,säilytys

8. Datantallennusjasäilytys

• Tietokanta

• Tiedontallennusmenetelmät

• Tiedontallenuksenoikeellisuudenvarmistaminen

• Eritietolähteidenyhdistäminen

• Datanturvaaminen(tietosuojajavarmuuskopiointi)

9 Laaduntarkkailu

104jarihaukka

• Toimintaohjeet(Standardoperationprocedures,SOP)

• Henkilöstönjakoulutus

• Mittalaitteidentoiminnantarkkailu

• Mittareiden(esim.kyselyt)validointi

• Tutkimussuunnitelmanmuutostendokumentointi

• Tutkimuspäiväkirja

10. Tutkimusaaineistonanalyysisuunnitelma

• Päähypoteesienanalysointia

• Muidenelieksploratiivistenhypoteesientutkiminen

• Sekoittavientekijöidenhuomioonottaminen

11. Tietosuojajaeetisetkysymykset

• Tutkittavienantamatietoinensuostumus

• Anonymisointia

• Biomateriaalinkäsittelyjasuojaaminen

• Osallistujieninformoiminentuloksista,mahdollisestimyöö yksilökohtaisista.

12. Aikataulunsuunnittelujavastuut

• Aikajana

• Hankkeenhallinto(esim.ohjausryhmätmonikeskustutkimuksissa)

• Tieteellinenohjausryhmä(scientificcouncils)

• Säännötjulkaisemisesta

Edelläolevaalistaasovelletaanriippuenhankkeenlaajuudesta,asetelmastajatietolähteistä.

Epidemiologisentutkimuksentiedonlähteet

Epidemiologisentutkimuksenkeskeinenosaontutkimusaineistonhankinta.Tähänonperiaatteessakaksitapaa:muodostaaaineistoitsetaihankkiasekäyttäenhyväksiolemassaolevialähteitä.Useinensiksimainittukintapaedellyttää joidenkinolemassaolevientietovarantojenkäyttöä.

epidemiologiaakaikille105

Kyselytutkimuksetjamuututkijanaineistonhankinta

Josepidemiologisentutkimuksentekemiseksivälttämättömiätietojaeiolevalmiinasaatavissa,ontutkijanitsekerättäväaineisto.

EhkäkevyintapahankkiatietoaonlaatiaInternet-kysely jollekinsome-alustalletaierityisestitutkimustavartenlaadittusovellus.Tutkittaviavoidaanlähestyämyösesim.kirjeillä,sähköpostilla,lehti-ilmoituksillataipuhelimella.

KyselyvoiollasiisperiaatteessakaikilleavoinkutenInternetkysely,jolloinonvaikeaataimahdotontaarvioidamikä ontutkimuksenperuspopulaatio.Useimmitenonkuitenkinjärkeväämäärittäätäsmällisestitutkimuksenkohdepopulaatio,jollointutkimukseenkutsuttujenjoukkomääritetäänjonkunolemassaolevantietolähteenperusteella.SuomalaisenFinriski-tutkimuksenmetodienkuvausantaakattavanesimerkinlaajanepidemiologisentutkimuksensuunnitelmasta[48].

Finriski-tutkimus

SuomalaisenFinriski-tutkimuksentutkittavatkutsuttiinsatunnaistotannalla 88 kunnan,jotkaoli jaettuviiteenalueeseen, 25–74-vuotiaastaväestöstä

[48].Kultakinalueeltajokaisessasukupuolenja 10vuotisikäryhmänmukaanositetussasolussaoli 200 henkilöä.Perusotoksensuuruusolikullakinalueella 2000 henkilöä,tutkimuksenkokonaisotos 10000 henkilöä.Lopullinenotoskoko 9905 henkilöä.Otokseen valituillehenkilöillelähetettiinpostitsekotiinkyselylomakejakutsuterveystarkastukseen.Tutkimussisälsi sekäkyselylomakkeitaettäterveystarkastuksen,jonka yhteydessätehtiinmittauksiajaotettiinverinäytteitä laboratorioanalyysejävarten.

Tapamitentutkittaviinotetaanyhteyttäonhyvinolennainen,kunarvioidaanesim.osallistumisharhaajamuita tiedonhankkimiseenliittyviäharhoja.

106jarihaukka
Kuva 44:Finriski-tutkimus 2017 kunnat

Terveystietojasisältävätrekisterit,biopankitjamuutvalmiittutkimustiedonlähteet

Useinepidemiolgisentutkimuksenvaatimatietoonmahdollistahankkiaolemassaolevistälähteistä.

Mm.EU[33],OECD[24]jaWHO[32]tarjoavatlaajoja tietokantoja,jotkasisältävätmaa-jaaluekohtaistaterveysjariskitekijätietoa.Nämätietokannatovatvapaastitutkijoidenkäytettävissäjaniidenaineistoihinperustuenvoidaantehdäekologisiatutkimuksia.

Englannissaontutkijoidenkäytettävissälaajakokoelma terveystietojasisältäviärekistereitä[37]samoinEU:nmonissamaissaonrekistereitä,joidentietoavoidaanhyödyntäätutkimuksissa(Biobanks&HealthDataRegistersInformationHub)[29].

Suomenterveyteenliittyvättietolähteet

Suomenmonetterveydenhuollonrekisterittarjoavathyvänlähtökohdanrekisteritutkimukselle.Tietolähteetvoidaanjakaaavoimiin(opendata)janiihin,joidenkäyttöön vaaditaanerillinenlupa

Terveydenjahyvinvoinninlaitos(THL)[28]jaTilastokeskus[36]tarjoavatuseitakymmeniäavoimiadatoja.

Tilastokeskuksenpitkienavoimendatanaikasarjojenavullavoidaantarkastellaesim.erikuolemansyidenmuutostaajassa[35].Kuviosta 45 voidaantodetaettämahasyöpä kuolemansyynäonvähentynyttrendinomaisestivuodesta 1998 lähtien.

Useinrekisteritietojenkäyttöönkuitenkintarvitaaneril-

epidemiologiaakaikille107
Kuva 45:Mahasyöpään(ICD10 C16) kuolleetSuomessa

linenlupa,jonkasaamisenedellytyksiäsäädelläänlaissa sosiaali-jaterveystietojentoissijaisestakäytöstä[1].

Lainmukaanlupatietojentoissijaisenkäyttöönvoidaan myöntääseuraaviintarkoituksiin(2§):

1. tilastointi

2. tieteellinentutkimus

3. kehittämis-jainnovaatiotoiminta

4. opetus

5. tietojohtaminen

6 sosiaali-jaterveydenhuollonviranomaisohjausja-valvonta

7 viranomaisensuunnittelu-jaselvitystehtävä

Käytännössäluvatmyöntääsosiaali-jaterveysalantietolupaviranomainenFindata[18],jonkaInternetsivuilllaon kuvattuluvansaamisenedellytyksetjaluvanhakuprosessi. Tilastokeskusmyöntääluvatomiinaineistoihinsa.

Biopankit[30]ovatbiologistennäytteidenkokoelmia,joihinkerätäännäytteitäilman,ettäonerikseenmääritelty mihintutkimuksiinniitäkäytetään.Useinbiopankitsisältävätnäytteidenlisäksitutkittavaanliittyväätietoa,jotaon kerättytutkittavanluvalla.Tietojenjanäytteidenkäyttöä SuomessasääteleeBiopankkilaki[21].

Epidemiologisentutkimuksenkannaltamielenkiintoisia erillisenluvanvaativiarekistereitäjabiopankkejaovatmm.:

• THL:nHoitoilmoitusrekisteri(Hilmo)

• THL:nTartuntatautirekisteri

• THL:nSuomenSyöpärekisteri

• THL:nSyntyneidenlastenrekisteri

• THL:nbiopankki

• KELA:nrekisterit

• KANTApalvelu(mm.lääkemääräykset)

• Tilastokeskuksenkuolemansyytilasto

Esimerkkisuomalaistenrekisterienkäytöstä

Tutkimuksessatarkasteltiinhormonaalisenraskaudenehkäisynkäytönjasosio-ekonomisenasemanvälistäyhteyttä

[141](kuva 46).AluksipopulaatiomuodostettiinKELA:n

108jarihaukka

reseptietojenperusteellavuonna 2017 hormonaalistaraskaudenehkäisyäkäyttäneistänaisista.Heillepoimittiinsatunnaisestisamanvuonnasyntynytjasamassakunnassa asuvavertailuhenkilö(nainen).NäinmuodostetullepopulaatiollehaettiintietojaKELA:sta,THL:stä,TilastokeskuksestajaRikosseuraamusvirastosta.

epidemiologiaakaikille109
Kuva 46:Esimerkkisuomalaisten rekisterienkäytöstä

Tutkimustenlaadunarviointi

Havainnoivientutkimustenlaadunarviointiinonkehitetty tarkistuslistoja(checklist),jotkatoimivatsekätutkijanettä lukijanapuna.LaajimminkäytettyjäovatSTROBE(Strengtheningthereportingofobservationalstudiesinepidemiology)[67,noa[10]]jaNICE(NationalInstituteforHealth andCareExcellence)[26,Anonym[27]]tarkistuslistat.InterventiotutkimustentarkastukseensopivatCONSORT(ConsolidatedStandardsofReportingTrials)[41]jaNICE[25] tarkistuslistat.

Listojenavullatutkimusarvioidaankohtakohdalta,jolloinmuodostuukokonaiskuvatutkimuksenlaadusta,sekä vahvuuksistaettäheikkouksista.Havainnoivientutkimustenlistatonlaadittu,sitenettäonotettuhuomiooneritutkimusasetelmienominaispiirteet.

Monettieteellisetlehdetedellyttävättarkistuslistankäyttöäjatoimittamistajulkaistavaksitarjotunkäsikirjoituksen liitteenä,koskasehelpottaatutkimuksentarkastusprosessia.

Onhuomattava,ettätarkistuslistojenhyödyntäminenedellyttääepidemiologiseentutkimukseenkuuluvienkäsitteidenkutenmittarit,tutkimusasetelmatjaharhatymmärtämistä.

STROBEtarkistuslista

STROBElistankäyttäminenonsuhteellisenyksinkertaista, käydäänlistaläpijaetsitääntutkimusraportistavastaavat kohdat.Kohdatonhyväidentifioidatarkasti,kirjatasivu, palstajarivit.

STROBE(Strengtheningthereportingofobservational studiesinepidemiology)tarkistuslistaerityyppisille havainnoivilletutkimuksille(kääntänytsuomeksiJari Haukka)

NoSuositus

Otsikkoja yhteenveto 1

(a)Ilmaisetutkimuksenasetelmatunnistettavintermeinotsikossajayhteenvedossa

(b)Yhteenvedononannettavainformatiivinenjatasapainoinenkuvamitentutkimus ontehtyjamitkäovattulokset

Johdanto

Taustaja perustelut 2 Selitetääntieteellinentaustajaperustelutraportoivalletutkimukselle

Tavoitteet 3 Kerrotaantutkimuksentarkattavoitteetja tutkimushypoteesit

Metodit

Tutkimusasetelma 4 Esitetääntutkimusasetelmanperuspiirteet raportinalkupuolella

Asetelma 5 Kuvaillaanasetelma,alueellisettiedotjatärkeätpäivämäärätkutentutkimuspopulaationrekrytointiaika,altisteidenajoitusjaaineistonkokoamisajankohta

Osallistujat 6

(a)Seurantatutkimus—Kuvaillaanosallistumisenkelpoisuusehdotjamenetelmät, joillahenkilötvalittiin,sekätiedonlähteet. Kuvaillaanmitenseurantaolitoteutettu Sairauslähtöinentutkimus—Kuvaillaan osallistumisenkelpoisuusehdotjamenetelmät,joillatapauksetvalittiinjaperusteet, joillaverrokitvalittiin.Perusteletapausten javerrokkienvalinta

Poikkileikkaustutkimus—Kuvaillaanosallistumisenkelpoisuusehdotjamenetelmät, joillahenkilötvalittiin,sekätiedonlähteet

(b)Seurantatutkimus—Joskaltaistusta,annetaankaltaistuskriteeritjaaltistuneidenja altistumattomienlukumäärät

112jarihaukka

Kaltaistettusairauslähtöinentutkimus— Annetaankaltaistuskriteeritjaverrokkien lukumäärätapaustakohti

Muuttujat 7 Määritetääntarkastikaikkipäätetilat,altisteet,ennustemuutujat,mahdollisetsekoittavattekijätjavaikutustenmuovaajat.Annetaandiagnostisetkriteeri,jostarpeen

Tiedon lähteet, mittaukset

8*Annetaanjokaisenmuuttujanlähdejamittausmenetelmä.Kuvaillaanerimittausmenetelmienvertailtavuus,josonkäytetty useitamenetelmiä

Harha 9 Kuvaillaan,mitenharhojaonpyrittyhallitsemaan

Tutkimuksen koko 10 Selitä,mitentutkimuksenkokoonmääritetty

Määrälliset muuttujat 11 Selitetään,mitenmäärällisiämuuttujiaon käytettyanalyyseissa.Jostarpeen,kuvaillaanmitenonluokiteltujamiksi

Tilastolliset menetelmät

12

(a)Kuvaillaankaikkitilastollisetmenetelmät,myösnejoillaonpyrittyhallitsemaan sekoittaviatekijöitä

(b)Kuvaillaan,mitenalaryhmäanalyysiton tehtyjamitenyhdysvaikutuksiaontutkittu

(c)Kuvaillaanmitenpuuttuviatietojaonkäsitelty

(d)Seurantatutkimus—Mitenkatoaseurannastaonkäsitelty,jostarpeen Sairauslähtöinentutkimus—Jostarpeen, selitetäänmitenkaltaistusonotettuhuomioon

Poikkileikkaustutkimus—Jostarpeen,kuvaillaanmitenotantamenetelmäonotettu huomioon

(e)Kuvaillaanherkkyysanalyysit

epidemiologiaakaikille113
Tulokset

Osallistujat 13*(a)Raportoidaantutkittavienlukumäärä tutkimuksenjokaisessavaiheessa,siisesim. mahdollisestikelvolliset,tutkitutkelvolliset, varmistetutkelvolliset,tutkimukseenmukaantulleet,seurannassaolleetjaanalysoidut

(b)Annetaansyytkatoonerivaiheissa

(c)Harkitaanvuokaavionlaatimista

Kuvaileaineisto 14*(a)Kuvaillaantutkimuspopulaationpiirteet (esim.demografia,kliinisetpiirteet,sosioekonomiset)sekäaltisteetjamahdollisetsekoittavattekijät

(b)Ilmoitetaankunkinmuuttujanpuuttuvientietojenmäärä

(c)Seurantatutkimukset—Yhteenvetoseurannasta(esim.keskimääräinenseurantaaikajakokonaisseuranta-aika)

Päätetilat 15*Seurantatutkimukset—Ilmoitetaanpäätetilojanlukumäärätainiidenajallinenkehitys Sairauslähtöinentutkimus—Ilmoitetaan lukumäärätkussakinaltistuskategoriassa taimuuyhteenveto

Poikkileikkaustutkimus—Ilmoitetaanpäätetilojenlukumäärättaiyhteenvetoniistä

Päätulokset 16

(a)Annetaankorjaamattomatestimaatit,ja jossovellettavissa,sekoittavientekijöiden mukaankorjatutarvotjaniidentarkkuus (esim. 95%luottamusvälit).Selitetääntarkastimitkäsekoittavattekijätonotettuhuomioonjamiksi

(b)Annetaanjatkuvienmuuttujienluokittelurajat,josniitäonkäytetty

(c)Jossovellettavissa,harkitaansuhteellisen taiabsoluuttisenriskinraportointiamerkityksellisissäaikayksiköissä

114jarihaukka

Muutanalyysit 17 Raportoidaanmuutanalyysit,esim.alaryhmäanalyysit,yhdysvaikutuksetjaherkkyysanalyysit

Pohdinta

Keskeiset tulokset 18 Vedetäänyhteenkeskeisettuloksetsuhteessatutkimuksentavoitteisiin

Rajoitukset 19 Pohditaantutkimuksenrajoituksia,otetaan huomioonharhanlähteetjaepätarkkuudet. Pohdiaansekäharhansuuruuttaettäsuuntaa

Tulkinta 20 Tulkitaantutkimuksentuloksiariittävänvarovaisesti,otetaanhuomioontavoitteeet,rajoitteet,toistetutanalyysit,samankaltaisten tutkimustentuloksetjamuuasiaankuuluvattiedot

Yleistettävyys21 Pohditaantutkimustulostenyleistettävyyttä Muuttiedot

Rahoitus 22 Raportoidaanrahoittavattahotjaniiden roolitutkmuksessa,jajossovellattavissa,alkuperäisentutkimuksenrahoitus

epidemiologiaakaikille115

Epidemiologinenpäättely

Ensimmäinenmoderninepidemiologiantodellamerkittäväsaavutusolitupakoinninjakeuhkosyövänyhteydenlöytäminenjavahvistaminen 1950-luvulla.

Vaikkanykyäänyhteyttäpidetäänitsestäänselvänä, 1950luvullatilanneolikokonaantoinen.Tuollointupakointia pidettiinharmittomanatapana,jokamukavastivirkistija rentoutti.Sitämainostettiinjossainmäärinjopaterveyttä edistävänätapana.

Olikuitenkinhavaittu,ettävuosienkuluessakeuhkosyöpätapaustenja-kuolemienmääräolilisääntynytvoimakkaasti,javieläpäyhtäaikaasavukkeidenkulutuksenkasvunkanssa.Tämäeitietystikäänvieläriittänyttodisteeksi vaanhaluttiinparempiatodisteita.Alettiinsiistutkiaonkotupakoinnillajakeuhkosyövälläkausaalinensuhdeeli aiheuttaakotupakointikeuhkosyöpää.

Moderninepidemiologianperustajat AustinBradford Hill ja RichardDoll alkoivatratkoaongelmaalähettämällä

kyselylomakkeentupakointitottumuksistamelkein 60000 brittiläisellelääkärillelokakuun 31.päivänä 1951,kuten hetäsmällisestiraportoivat 1956 ilmestyneessätutkimusraportissaan[64,DollandHill[65]].Tutkijatseurasivatkyselyynvastanneitajalaskivatmillainenkeuhkosyöpäkuolleisuusolieritavointupakoivillajatupakoimattomilla.Tutkimusosoittiensikertaaselvänyhteydenkeuhkosyövänja tupakoinninyleensä,jaerityisestisavukkeidenpolton,välillä.Keuhkosyöpäkuolleisuusolipaljontupakoivilla,eli yli 25 savukettapäivässäpolttavilla, 20-kertainenverrattunatupakoimattomiin.

Havainnoivantutkimuksentuloseisuinkaanvakuuttanutläheskäänkaikkia.Päinvastoin,asiantiimoiltasyntyi

Kuva 47:RichardDoll Kuva 48:AustinBradfordHill

varsinlaajajapitkäänkestänytväittely("TheGreatDebate")[95].

YksimerkittävimmistätuloksenkritisoijistaoliRonald Fisher[23,Ellenberg[69]],

lastotieteenteoriaajakvantitatiivistagenetiikkaa.Fisher argumentoi,ettähavaittuyhteyseiosoitasyy-seuraussuhdettatupakoinninjakeuhkosyövänvälillä.

Fisherinpäättelynmukaanalkuvaiheenkeuhkosyöpäaiheuttaakeuhkoissatulehduksenjakeuhkojenärsytystä.Tätäpuolestaanpyritäänhoitamaantupakoinnilla,jokamukavastirentouttaajarauhoittaa(kuva 50).Fisherjopaargumetoi,ettätupakoinnintapaisenharmittomantavankieltämistävoidaanverratasiihen,ettäsokealtariistetäänhänen elämäänsähelpottavavalkoinenkeppi.Tuloksenaonvain ettäonnetonhenkilötuleevieläkinonnettomammaksi

Fisheroliitseinnokaspiipunpolttajajalisäksihänsai palkkioitatupakkateollisuudelta,joillaseikoillasaattoiollaosansaargumentoinninkiihkeyteen,muttajotkaeivät vähennähänenväitteidensäloogisuutta.

ItseasiassaFishertekisuurtenpalveluksenepidemiologiankehitykselletieteenäesittäessäänankaraakritiikkiään, koskasepakottiepidemiologitvakavastipohtimaantieteensäperusteita.Yhdeksänvuoden,väliinkiivaskin,tieteellinenkeskustelujohtilopultaHillinvuonna 1965 muotoilemaanyhdeksänohjettahavainnoivanepidemiologisen näytönarviointiin[93].

Artikkelinohjeetovatpääosinpohdintaanäytönvahvuudesta,eivätneolemitäänkiveenhakattujatotuuksia vaanennemminkinnäkökohtiajotkakannattaaottaahuomioon.Neluovatkinyhähyvänlähtökohdanhavainnoivaantutkimukseenperustuvannäytöntarkasteluunjakäymmekaikkiyhdeksänläpi.

(1)Syysuhteenvoimakkuus

Hillajatteli,ettäollakseenuskottavastijonkinsairauden syy,altisteenvaikutuksenpitääollasuuri.Ilmaisut"suuri"tai"voimakas"vaikuttavathiemanepätäsmällisiltä,jane onkinsuhteutettavamuihintarkasteluihin.

Hillitseantaaesimerkkinä,ettänuohoojienkuolleisuu-

118jarihaukka
Kuva 49:RobertFisher ansioitunuttieteilijä,jokamm.kehittihuomattavastiti- Kuva 50:Fisherinnäkemystupakoinnin jakeuhkosyövänsuhteesta

denkivessyöpäänolituonajanEnglannissayli 200-kertainen verrattunamuihinammatteihin.Healtistuivattyössäännoelle,jokataasnostaakivessyövänriskiä.Toisenaesimerkkinä voidaanmainitaettäasbestijatupakointiyhdessäovaterityisenvaarallisia:keuhkosyövänvaaraonyli 50-kertainen.

Voidaankintulkita,että"suuri"tarkoittaaaltisteenaiheuttamanriskinolevanmonikymmenkertainen.

(

2)Syysuhteenpysyvyys

Jottariskitekijäolisiuskottava,onsenvaikutuspystyttävätodentamaanerilaisissaväestöissä,eripaikoissa,eri olosuhteissajaeriajankohtina.Pysyvyyttätarkasteltaessa ovatapunahuolellisestilaaditutkatsauksetjameta-analyysit. Neyhdistävätlukuisienriittävänlaadukkaidentutkimustentiedotjakuvaavatmillaisissaväestöissäjaolosuhteissa havaintoontehty.

Katsauksetjameta-analyysiovattapojayhdistäämonien erillistentutkimustenpäätelmätjaarvioidanäytönvahvuuttanäidenkaikkienpohjalta.

Esimerkiksisopiimonillesuomalaisillerakasnautintoaineelikahvi.Kahvinjuonninjatyyppi 2 diabeteksenilmaantuvuudenyhteyttätutkittiinmeta-analyysissa,johon olisisällytetty 28 seurantatutkimustajaylimiljoonahenkilöä[63]. TutkimuksiaolitehtyEuroopassa,YhdysvalloissajaAasiassa,mukanaoliollutmolempiasukupuoliajatutkittujenikäseurannanalussavaihteli 26–88 vuoteen.Kun kaikkientutkimustentiedotyhdistettiin,voitiinpäätelläettäyhdenkahvikupillisenjuominenpäivässäalensi 2 tyypindiabeteksenriskiä 8%(95%luottamusväli 6%–10%),ja kuudellakupillisellariskiolialentunutperäti 33%(26%–39%).Lähessamankaltainenyhteyshavaittiin,olikyseessä sittentavallinentaikofeiinitonkahvi.Havaintoolitämän meta-analyysinvalossavarsinpysyväerityyppisissäpopulaatioissa.

Vaikkameta-analyysintulosvaikuttaavahvalta,eisyyseurassuhteestakannatavetääliiansuoriajohtopäätöksiä. Tämäohjekaaneioleaivanongelmaton,koskapysyvyyttäeiyksinäänvoipitääkovinvahvanatakeenatodellisestasyy-seuraussuhteesta.Voidaanhyvinkinajatella,että

Kuva 51:Päivittäinjuotujenkahvikupillistenmääräjatyypin 2 diabeteksen riski.Vertailuryhmänäkahviajuomattomat. 95%luottamusväliosoitettu katkoviivoilla.

epidemiologiaakaikille119

mieltymystäkahvinmakuun,jatoisaaltatyyppi 2 diabeteksenriskiinliittyysamojatekijöitä.Siishenkilöilläjotka pitävätkahvistaolisitästäsamastatekijästäjohtuenmyös alempiriskisairastua.SiissamaongelmajonkaFishertoi esiintupakka-keuhkosyöpäkeskustelussa.Jostämäilmiö vielävaikuttaakaikissapopulaatioissasamoin,niinpysyvyysonsuurivaikkatodellistasyy-yhteyttäeiolekaan.

(3)Spesifisyys

Suomenepidemiologianseuransanasto[9]antaasanalle“spesifisyys”varsinonnistuneenkäännöksen"kohdentuneisuus".Spesifisyydellätarkoitetaan,ettähavaittusyyyhteyspäteevaintiettyynrajattuunsyyhynjaseuraukseen.Tämänmukaannäyttöolisisiisvahvajosriskitekijä vaikuttaisivaintiettyynsairauteen.Tätäohjettaonkinarvosteltu,jasyystä.Eioleoikeinloogistaväittääettänäyttö tupakoinninjakeuhkosyövänvälisestäsyy-yhteydestäolisiheikompivainsiksiettätiedämmetupakoinninaiheuttavanmyöskeuhkoahtaumatautiajasydän-javerisuonitautia.Oikeastaantämäohjevoijopajohtaaharhaan,eikäsitä nykyäänpidetäonnistuneenaohjeena.

(4)Oikeaajallinenyhteys

Tämätarkoittaayksinkertaisestiettäsairaudensyynon vaikutettavaennensairaudenilmaantumista.Vaikkaohje vaikuttaayksinkertaiselta,muttaeisitäkuitenkaanusein ole,kunohjettaaletaansoveltaa.Useinajallisenjärjestyksenmäärittämineneioleollenkaanniinitsestäänselvää jahelppoakuinensinvaikuttaisi.Emmenimittäintosiasiassatiedäedessuunnilleenmilloinmonetpitkäaikaissairaudet(engl. chronicaldiseases)kutenvaikkapadiabetesja syöpäalkavat.Syövänkehittymisenvoidaanajatellaalkavanyhdenainoapahanlaatuiseksimuuttuneensolunjakautumisesta.Senkehittyminenhavaittavaksivoikestää vuosikymmeniä,jakehitysnopeuskinriippuulukuisistatekijöistä.Riskitekijätkutentupakansavunaineosat,säteilytaivaikkapavirusaltistusvoivatvaikuttaaerivaiheissa:solunmuuttumiseenpahanlaatuiseksisyöpäsoluksi,tai niidenjakautumisnopeuteen.Lisäksiriskitekijävoiliittyä syöväntoteamisenajankohtaan,elivaikkapaonkoväestöl-

120jarihaukka

lejärjestettyjoukkotarkastuksiasyövänvarhaiseksitoteamiseksi.Hyvinmonetasiatsiisvaikuttavatsiihenmissä vaiheessasyöpälöydetään.Samakoskeediabetesta,henkilölläsaattaaollakorkeaverensokeripitoisuusvuosikausia, koskaseeijuurikaanaiheutaoireita.Useindiabeteshuomataankinvaikkapaterveystarkastuksessaverinäytteenavulla.Ilmaantumisentarkkaajankohtajääuseimmitenepäselväksietenkintyypin 2 diabeteksessa.Tyypin 1 diabetesjokaaiheutuuinsuliinipuutoksesta,taashuomataanhyvin piankoskaseaiheuttaahoitmattomananopeastiselviäoireita.

Kunsiiskunsyöpätai 2 tyypindiabeteslöydetäänei voidatietäämilloinsesaialkunsa.

Monillavoiollasiisheidäntietämättäänkehittyväsyöpä. Miestenyleisinsyöpäeturauhassyöpäesiintyylatenttina elipiilevänä 30 %:llayli 50-vuotiaistajaperäti 70–80 %:lla yli 80-vuotiaistamiehistä[98].Kuitenkinvainyksikymmenestäpiilevästäeturauhassyövästäkehittyykliiniseksisyöväksi.

Tarkastellaanpavielädiabetesta.Tyypin 2 diabeteson salakavalasairausjotan. 250000 suomalaistasairastaatietämättään.Koskasairausonhyvinpitkäänoireetondiabeteksendiagnoosiajankohtavoiriippuavaikkapasiitäkuuluukohenkilösellaisenterveydenhuollonpiiriin,jossataudintoteamiseentarvittavatmittauksettehdään.

Kutenhuomaat,monienvakaviensairauksienalkamisen ajankohtaaeipystytätarkastimäärittämään.Tämäluonnollisestivaikeuttaamerkittävästiajallisenyhteydenkinosoittamista.

Mietitäänpäallaolevankuvionavullaylipainonjadiabetes lääkkeiden,syövänjadiabeteksenyhteyksiä.Koskaemme tiedävarmastidiabeteksenjasyövänajallistajärjestystä,on vaikeapäätelläaiheuttaakopiileväsyöpädiabetestavaiehkädiabetessyöpää.

Voimmeesittääkuvioilla 53 erilaisiakäsityksiriskitekijöidenjasyövänvälisistäriippuvuksista.Vasemmallaolevankuvionmukaanylipainoaiheuttaadiabetesta,jokapuolestaanjohtaadiabeteslääkkeidenkäyttöön.Nämäkaikki

epidemiologiaakaikille121

kolmetekijääonesitettymyössyövänriskitekijöiksi.

Oikeapuoleisenkuvionmukaanylipainoaiheuttaasyövän,jokapuolestaanaiheuttaadiabeteksen,jokapuolestaanjohtaadiabeteslääkkeidenkäyttöön.Lisäksiylipaino vaikuttaasuoraandiabeteksenriskiin.

Tämänkaltaisiakuvioitakutsutaansuunnatuiksisyklittömiksiverkoiksi(directedacyclicalgraph,DAG).Niissäverkonsolmujayhdistävätnuoletjaverkossaeisaaollasyklejä.Kunverkossaonneljäsolmuaonerilaisiaverkkoja 543 kappaletta,javiidensolmunverkkojajoperäti 29281.Tämä havainnollistaahyvinkuinkavaativaasyy-seuraussuhteiden määrittäminenhavaintoaineistonperusteellaon.SyvennymmeDAG:ienhyödyntämiseenkausaalipäättelyssämyöhemmässäluvussa.

PalataksemmeHillinneljänteenohjeeseen,voimmetodetaettäoikeaajallinenyhteysriskitekijänjasairauden välillääärimmäisenhyödyllinenvihje,muttasensoveltaminenerityisestipitkäaikaistensairauksientutkimiseenon kaikkeamuutakuinyksinkertaista.

(5)Annosvasteisuus

Annosvasteisuudellatarkoitetaan,ettäsuurempialtistus riskitekijälleaiheuttaasuuremmanriskinsairastua.Siiskutenaiemmassakahvi-diabetesesimerkissä,jossajokainen lisäkuppikahviapäivässäoliyhteydessäalempaa 2 tyypin diabeteksenriskiin.

Tarkastelemmetoistaesimerkkiäsuositustanautintoaineestaelialkoholista.Lukuisissatutkimuksissaontarkasteltualkoholinjuomisenjaerisyöpätyyppienvälistäyhteyttä[45].Joidenkinsyöpien,kutenmaksa,suu-,japaksunsuolensyöpä,onhavaittuvoimakasannosvasteinenyhteys,kuntaasjoillakinsyöpätyypeillämitäänyhteyttäei olehavaittu.

Paksusuolensyövänriskion 21%(95%luottamusväli 13%28%)korkeampimaltillisestijuovilla(1-4 annostapäivässä) kuinvähäntaieiollenkaanjuovilla[70].Paljonalkoholia juovillariskiolijopuolitoistakertaineneli 52%(27%-81%) korkeampikuinvähänjuovilla.Tutkijatjopalaativatkaavanjokakuvaatuotaannos-vastesuhdetta.Kuviossa 54 on

122jarihaukka
Kuva 53:Diabetesjasyöpä,DAG

esitettyyhteys,jokaonlähessuoraviiva.

Vaaka-akselillaonesitettyaltisteeliriskitekijä,japystyakselillasuhteellinenelirelatiivinenriski.Kokonaanalkoholiajuomattomienriskionasetettuykköseksi.Kuviostahavaitaan,ettäjosjuoalkoholia 80gpäivässäniinpaksusuolensyövänriskion 60%korkeampi(RR=1,6)kuin juomattomilla.

(6)Biologinenmielekkyys

Tautiinliittyviäbiologisiamekanismejavoidaanarvioidavainsaatavillaolevantieteellisentiedonvalossa.Käsitysbiologisestamielekkyydestäsiissaattaamuuttuamilloinvain,kunluodaanuuttatutkimustietoa.

Lääketieteenhistorianehkätunnetuinesimerkkiaiheestaon Helicobacterpylori bakteerinaiheuttamaninfektionja mahahaavanvälistäsyy-yhteys[110].Ennenvuotta 1982 mahahaavansyynäpidettiinmahalaukunliiansuurtahappamuutta,jokavahingoittaalimakalvoajasitenaiheuttaa mahahaavan.Mahaonnimittäinluonnostaakinvarsinhapanympäristösuurensuolahappopitoisuudenjohdosta.Hoitonaoliluonnollisestiliianhaponneutralointi.Melkosuosittujaolivatmyösteoriatjotkakorostivatpsyko-sosiaalista stressiäjasiitäjohtuvaaliikaahaponeritystä.Saivatpavieläpäliiankunnianhimoiset,lapsiaanpainostavatäiditkin syytniskoilleenmahahaavanaiheuttamisestajälkeläisilleen. Kuntodellinensyymahahaavaanolilöytynytolihoitokinkehitettävissä:nykyäänhelikobakteeri-infektiotahoidetaantarvittaessaantibiooteilla.

Tieteilijätolivatvuosikaudetväärilläjäljillä,koskaolettivatetteimikäänbakteerivoisiselvitämahansuolahapossa. Heolivattehneetvääränolettamuksenbiologisestamielekkyydestäjanäinmenneetharhaan.Mahahaavansyitä olitokietsittyjoainakinparivuosisataa,muttaalanasiantuntijatpitivätmahdottomana,ettämikääntaudinaiheuttajavoisieläämahankaltaisessaäärimmäisenhappamassa ympäristössä.Australialaisettutkijat Warren ja Marshall kuitenkinryhtyivättutkimaanbakteeri-infektionmahdollisuutta,japystyivätlopultaosoittamaanettä Helicobacter pylori aiheuttaamahahaavan.Ansioistaanheillemyönnet-

epidemiologiaakaikille123
Kuva 54:Alkoholinkulutuksenja paksusuolensyövänvälinenannosvaste. Kuva 55:Helicobacterpylori (https://en.wikipedia.org/wiki/File:EMpylori.jpg)

tiinNobelinlääketieteenpalkintovuonna 2005.

Bakteeriatarkemmintutkittaessahuomattiinettäsilleoli kehittynytlukuisiakeinojatullatoimeenhyvinhappamassaympäristössä.Seesimerkiksipystyyerittämäänaineita jotkaneutraloivathappamuudenbakteeriaympäröivässä limassa,lisäksieliöpystyyjopamuuttamaanmahanlimakalvonviskositeettiäsitenettäsenliikkuminenhelpottuu [53].

Tiedonlisääntyessäbiologisestiepäuskottavaselitysbakteeriinfektiostamahahaavansyynäolikinmuuttunutmielekkääksi.

(7)Sopivuusmuuhuntieteelliseentietoon

Tämäohjeonyhteydessäedelliseenelibiologiseenuskottavuuteenjariippuusamaantapaannykytiedonmäärästäjaoikeellisuudesta.

Varsinhyväesimerkkiovathomeopaattisetlääkkeet.Niidenväitettyjävaikutusmekanismejaeivoidatodentaanykyisentieteenvalossabiologisen,kemiallisentaifysiikan tutkimustenperusteella[126].Tältäosinvoidaanhomeopaattistenhoitojenvaikuttavuuskyseenalaistaa.Niidenosaltasiisvaikuttavuudentodistaminenedellyttäätavallistakin vakuuttavampaanäyttöä.

Toisenaesimerkkinäotammeesille,kuinkaEnglannissatutkittiinteini-ikäistenmeningokokkibakteerinkantajuuttajahuomattiinsenlisääntyväniänmukana.Ilmiölle esitettiinbiologisiaselityksiämm.iänmyötätapahtuvasta limakalvonominaisuuksienmuutoksesta.Lopultakuitenkintodettiinettäkantajuuslisääntyisiitäyksinkertaisesta syystä,ettäiänmyötäsosiaalinenkanssakäyminen,kutenpubeissaistuskelu,suuteleminenjatupakointilisääntyivät.Jasamaatahtialisääntyimyösmahdollisuussaada tartuntajatullakantajaksi.Syyeisiisollutkaanbiologinen ikävaanteinienkäytösjaulkoisettekijät.Kunluonnontieteellinentietoeitukenutbiologisiaselityksiäniinlopulta päädyttiinsosiologiseenselitysmalliin.

(

Suuriosakokeellisestatutkimuksestatehdäänlääkkeidenkehittelyssä.

124jarihaukka
8)Kokeellinennäyttö

Epidemiologiseltakannaltakiinnostavimpiaovatkuitenkinns.luonnollisetkokeet[58].Kyseessäontapahtuma, jokakohdistuusuureenihmisjoukkoon,jopakokomaan väestöön.

Esim.Tšernobylinydinvoimalaonnettomuusaiheuttialtistumisenkymmenillemiljoonilleihmisille.Myöspoliittiset johtajatovatkunnostautuneet"luonnollistenkokeiden"järjestämisessä. VaikkapaIImaailmansodanaikanaAlankomaissatalvella 1945 vallinnuttanälänhätää[96]voidaanpitääluonnollisenkokeena.MyösKiinassavuosina 1959-1961 vallinnuttaankaraanälänhätää"Suurenharppauksen-nimellätunnetuntalouskokeilunvuoksi,voidaanpitää“suuriruorimies”Maonjärjestämänäluonnollisenakokeena[151].

Onnettomuudet,sotajanälänhätäkuulostavatvarsinkarmeiltatavoiltahankkiaepidemiologistatietoa.Mitennuo nälkäkatastrofitmahtoivatkartuttaaepidemiologistatietoa?Toisinkuinuseinmuissanälkäkatastrofeissa,Alankomaissanälänhädänkesto,ravinnonsaanninmääräjaväestöjohonsekohdistui,pystyttiindokumentoimaantarkoin. Byrokratiatoimisiiskovissakinoloissa.Liittoutuneidensyksyn 1944 epäonnistunuthyökkäysoperaatio“OperationMarketGarden”[14]aloittiAlankomaidennälkätalven,joka loppuivastaSaksanantauduttuakeväällä 1945.KoskaAlankomaatolijotuolloinerittäinhyvinorganisoitunutyhteiskunta,tiedetääntarkastaettäenergiaasaatiinjoillakin alueillavain 1000 kcal(4200 kJ)päivässä.Rekistereihinperustuneidenepidemiologistentutkimustenperusteellavoitiinpäätellä,ettäNälkätalvenseurauksenajoulukuussa 1945 syntyneilläpojillaoli 2,7-kertainen(1,5-5,1)riskisairastua skitsofreniaanjasitälähelläoleviinmielenterveyshäiriöihinverrattunamuinaaikoinasyntyneisiin.Pääteltiin,että odottavanäidinaltistuminenravinnonpuutteelleolimitäilmeisimminvaikuttanutsikiönkehittymiseenjakohonneeseensairastumisriskiin.

Kiinassatehdyttutkimuksetantoivathyvinsamansuuntaisiatuloksia:äidinaltistuminenravinnonpuutteelleraskaudenalkuvaiheessaoliyhteydessäkorkeaanriskiinsairastuaskitsofreniaan[130].

epidemiologiaakaikille125

Luonnollisetkokeettarjosivatvahvanpohjanskitsofrenianetiologiantutkimiseenjasensyntyynjohtavienbiologistensyidenselvittämiseen.Neantoivatmyösvahvaa näyttöäettääidinravinnollajalapsenskitsofrenianriskillä onsyy-seuraussuhde.

(9)Analogia

Aloitetaanesimerkillä.Kuntiedetäänettäpapilloomavirus(HPV)voilisätäkohdunkaulanjaesim.suusyövänriskiä,analogianmukaanmuillakinvirusinfektioillavoiolla samankaltaisiavaikutuksia[vir].

Järkevienanalogioidenetsiminenvoituottaahyvinkin mielenkiintoisiauusinäkökohtiatutkimukseen.

Kausaalipäättelyepidemiologiassa

Nykyäänollaansitämieltä,ettäHillinohjeetsyy-seuraussuhteiden arvioimiseenovatvainsuuntaa-antavia.Itseasiassaenääei olelainkaanyksimielisyyttäsiitävoidaankomääritellätarkat,yksiselitteisetkriteeritmilloinhavainnoivatepidemiologisettutkimuksetolisivatosoittaneetriittävänvarmastisyy-seuraussuhteenriskitekijänjasairaudenvälillä.Tieteessäjotkutkutenfysiikkajakemiatuottavathyvinvarmaatietoa,jokahyvinharvoinmuuttuuperustavanlaatuisestiuudentiedonkarttuessa.Toisaaltalääketiedejaepidemiologiasenosanatuottavatmelkoharvoinniinvarmaa tietoa,ettäseneivoiodottaamuuttuvantutkimuksenedityessä.Kunsiistutkimustulostenperusteellatehdäänpäätelmiä,onsyytäpohdiskellaniitähyvinmoneltasuunnalta japitäämieliavoimena,muttakriittisenä.

Havainnoivientutkimustenheikkousonettäneovatalttiitaerityyppisilleharhoille,jotkavoivatvaikuttaatutkimustuloksiinoikeastaanmissävaiheessatahansasuunnittelustatulostentulkintaan[62,Kundi[104]].

Kausaalipäättelynelisyy-seuraussuhteidenmäärittämisenperusongelmaon,ettemmevoimitatavastetta(esim. sairastumista)yhtäaikaasekäaltistettaessaettäilmanaltistetta.Kaikissatutkimusasetemissavoidaansamaanhenkilöönkohdistaavainyksikaikistamahdollisistainterven-

126jarihaukka

EvidenssilajiVahvistaanäyttöäHeikentäänäyttöä AiempitietoTutkimusnäyttötukeeaiempaateoreettistatietoa.Näyttöä onmyösalaryhmistä.NäyttöA:njaD:n yhteydestäonkoherenttiajamekanismi voidaanarvioida.

Epidemiologinen näyttö

VahvanäyttöA:n jaD:nyhteydestä onvahvempikuin sekoittavientekijöidenvaikutus.Näyttöäoneripopulaatioista,eriajanjaksoiltajaerityyppisistätutkimuksista.A:nmuuttaminen muuttaaD:nesiintymistä.Onhavaittumyösannos-vaste suhde.

Vaikkanäyttöäon, sevaihtellealaryhmittäin.Onnäyttöä etteiA:njaD:nvälilläoleyhteyttä

Onhavaittuettäsekoittavattekijätselittäväthavaitutyhteydet.A:njaD:nvälinenyhteysvaihtelee paljoneripopulaatioissaeriajanjaksoilllajaerityyppisistätutkimuksissa.Annosvoidaan mitata,muttaannosvasteeiolemonotoninen.

Näyttöeläinkokeista

Näyttöinvitrotutkimuksista

tioista.Potilaseivoiollasamaanaikaansekälume-että hoitoryhmissä.Tämäkausaalipäättelynperusongelmavoidaankiertääkuntehdääntiettyjäperusteltujaoletuksiaja suunnitellaantutkimusasetelmathuolella.

Lähtökohtanaonettävoimmetehdäkausaalipäättelyä vainjosvoisimme—ainakinperiaatteessa—tehdäinterventiotutkimuksen[118].Sensijaan,ettätarkastelemme vastetta y ehdolla x eli p(y|x),onkintutkittavainterventiota p(y|do(x)),jossa do(y) tarkoittaaettämuuttujan x arvoononvaikutettu.

Mahdollisuusmuuttaainterventiotaonavainasia.Jostarkastelemmevaikkapapainonalentamisenvaikutustaverenpaineeseenylipainoisilla,voimmeajatellaettäpainoa voidaanalentaamonineritavoin.

epidemiologiaakaikille127
Taulukko 18:Kundinpäättely

Menetelmiäpainonalentamiseen:

• rajoittamallaenergiansaantiayhdenvuodenajan

• lisäämälläliikuntaayhdenvuodenajan

• rajoittamallaenergiansaantiajalisäämälläliikuntaayhdenvuodenajan

• rasvaimulla

• amputoimallatoinenalaraaja

Huomaamme,ettäsama,vaikkapa 15 kgpudotuspainossavoidaansaavuttaakaikillamenetelmillä,muttaon kuitenkinilmeistä,ettäolennaistaonpainonalentamiseen sovellettumenetelmä—eipelkästäälopputulos.Havainnoivassatutkimuksessavoidaanuseinvaintodetapainon alentuneen,muttaperimmäisiäsyitäeivälttämättäpystytä selvittämään.

Havainnoiviatutkimuksiakriittisestiluettaessaonkinäärimmäisentärkeäämiettiävoitaisiinkosenhavainnottoistaainterventiossaelikliinisessätutkimuksessa.Havainnoivissakintutkimuksissaolisisiispyrittäväainakinjossain määrinasetelmiin,jotkamuistuttavatinterventiotutkimusta.

128jarihaukka

Harhatjaniidenlähteet

Useinharhataisenmahdollisuusaiheuttavatpaljonsuurempaaepävarmuuttaepidemiologisentutkimuksentulkinnassakuinotantavaihtelu.Viereisessäkuvassaonesiteltyharhanjatarkkuudenkäsitteetmaalitaulukuvioilla. Todellisuudessaemmetietenkääntiedämissämaalitaulu sijaitsee.Tämämerkitseesitä,ettävaikkapystyisimmekin suurenotoksenavullasaavuttamaansuurentarkkuuden (pieniotoshajonta),mikääneitakaa,ettätulosonharhaton.

Tilannettaolisisamakuinampuisimmetarkastiyhteenpaikkaan,muttameilläeikuitenkaanolisiaavistustamissämaalitodellisuudessaon.

Ehkäpäaluksionsyytäryhmitelläharhanlähteitäjatyyppejä.Mainiossajohdatuksessa[62]harhaan(sic.)neryhmitelläänneljäänpäätyyppiin:

Kuva 56:Harhajatarkkuus.Pieni tarkkuus,harhaton(vas.ylä),tarkka jaharhaton(oik.ylä),suuritarkkuus, harhainen(vas.ala),pienitarkkuus, harhainen(oik.ala)

• Valintaharha(selectionbias)

• Informaatioharha(informationbias)

• Sekoittavattekijät(confounding)

• Kliinisillekokeilletyypillisetharhat(specificbiasesintrials)

Nämäonpuolestaanjaettualatyyppeihinjoitaluetellaan kaikkiaan 74 erilaista.Listaeitietystkikäänolekattavaja muunkinlainenryhmittelyonmahdollinen.

Tarkastelemmejärjestelmällisestieriharhojajanostammeesillemuutamiaolennaisinpia.Samallaesitelläänmenetelmiäharhojenhavaitsemiseenjahallitsemiseen.

Valintaharhat

Valintaharhasyntyykuntutkimuspopulaatioeioleedustavaotoskohdepopulaatiosta.Otannanharhaisuuteenvoi ollalukuisiasyitä,joistasyvennymmetälläerääseuraaviin päätyyppeihin:

• Esiinkaivu-elijäljitysharhaonotantaharha,jokaliittyy aineistonhankintaanjonkinerityispiirteentaiilmiasun perusteella(ascertainmentbias)

• Satunnaistamattomastaotannastajohtuvaharha(non-random samplingbias)

• Löytämisharha(detectionbias)johtuusiitäettäesim.sairaudentoteamisentodennäköisyysvaihteleeriippuenhenkilönominaisuuksista.

Jäljitysharha

Tälläharhallaonlukuisiaalatyyppejä.

Kilpailevatkuolemansyyt (competingcausesofdeath)

Joskaksitapahtumaaontoisensapoissulkevia,kuteneri kuolemansyyt,neikäänkuinkilpailevasiitämikäilmaantuuensimmäisenä.Esimerkiksisuonesisäistenhuumeiden käyttäjienaikainenkuolemaAIDS:iinvoijohtaasiihenettämaksatautejaeiolekovinpaljonkuolemansyinä.Tämä harhaonsyytäottaahuomioonvaikkapaanalysoimallaeri kuolemansyitäerikseen.Analyysiinonkehitettymelkoisestimetodeja,joihinkannattaatutustuatarkemminkun alkaatehdätutkimusta[44].

Terveydenhuollonsaatavuudestajohtuvaharha (healthcareaccessbias)

Jostutkimuksenkohteenaolevansairaalantaimuunlaitoksenasiakkaateivätoleedustavaotoskokoväestöstä, tästäaiheutuuharhaa.Asiakkaatvoivatsuosiatiettyjälaitoksia(popularitybias),tailääkäreitä(centripetalbias),Harhaavoimyösaiheutuasiitäettäeritasojenjaerityisalojentutkimuksiinjahoitoihinpääsyntodennäköisyysvoi vaihdellalaitoksestataialueestatoiseen(diagnostic/treatmentaccessbias).

130jarihaukka

Kestoharha (length-biassampling)

Tämäharhaaiheutuusiitä,ettähitaastikehittyvättaudinmuodotovathavaittavissahelpommin,koskaneovat pitemmänaikaatilassajossanevoidaanhavaitaesim.seulontatutkimuksella.Syöpäseulonnoissatämäjohtaasiihen, ettähitaastikehittyvätkasvaimethavaitaansuuremmalla todennäköisyydelläkuinnopeastikasvavat.Lisäksihitaastikehittyvilläkasvaimillaonuseimmitenparempiennuste. Erityisestisiisjoukkotarkastuksiatautienvarhaiseksihavaitsemiseksieliseulontojakäsittelevättutkimuksetovat alttiitatälleharhalle.

Insidenssi-prevalenssiharha (Neymanbias,incidence-prevalence bias,selectivesurvivalbias)

Tämäharhasyntyy,kuntutkimukseenvalitaanhenkilöitäjotkaovatsairastuttuaansäilyneetelossapitkään.Tällöinpitkäänsairastaneetovatvalikoituneet,heillävoiolla vaikkapataudinlievempimuototaiheovatsaaneetmuitaparempaahoitoa.Harhavoiilmetasekäpoikkileikkausettäseurantatutkimuksissa.

Otetaanpaesimerkiksitutkimus,jossahaastatellaansydäninfarktistaselvinneitäpotilaitajaterveitäverrokkejaviikonkuluttuakohtauksesta.Tavoitteenaontutkiasairauslähtöisellä(tapaus-verrokki)asetelmallatupakoinninyhteyttäinfarktinriskiin.Jostupakointionyhteydessäsuurempaankuolleisuuteenvälittömästikohtauksenjälkeen, voidaanhyvinkinhavaitaettätupakointinäyttääolevan yhteydessäpienempääriskiinsaadasydäninfarkti,koska hetikohtauksensaatuaanmenehtyneettupakoijateivätsisällytutkimuspopulaatioon.Tämäharhailmenee,vainjos riskitekijävaikuttaatutkittavansairaudenriskiin[94].

Spektriharha (spectrumbias)

Harhailmenee,jostutkimuspopulaatioonvalitaanvain erittäinselviätapauksiajapoissuljetaankaikkiepävarmat [127,RansohoffandFeinstein[124]].Tämäharhasaattaa johtaasiihen,ettädiagnostistentestiensensitiivisyysjaspesifisyysyliarvioidaan.

Hoidettujenpotilaidenharha (survivortreatmentselec-

epidemiologiaakaikille131

tionbias)

Havainnoivissatutkimuksissaesiintyväharhajokaaiheutuusiitäettäpitkäänsairastaneillapotilaillaonsuurempitodennäköisyyssaadatiettyähoitoa.Tämäharha saattaajohtaasiihen,ettähavaitaanyhteyshoidonjaelossasäilymisenvälillä,vaikkaniilläeiolisikaansyy-seuraus suhdetta[76].

Terveentyöntekijänharha (healthyworkereffect)

Tämäaiheutuusiitä,ettätyöelämässämukanaolevatovat yleensätervempiäkuinulkopuoliset[43].

Berksoninharha (Berkson’sbias)

Harhaaiheutuusitäettätutkitaanjotainvalikoitunutta osapopulaatiotakokoväestönsijasta.Tyypillisestivoidaan tutkiavaikkapasairaalahoidossaolleitahenkilöitä.

Sacketintutkimuksenesimerkkionvalaiseva[127].Hän tutkialuksi 2784 henkilönsatunnaisotostakokoväestöstäjamäärittihengityselin-jatukijaliikuntaelinten(YULE) sairauksienesiintyvyydenjalaskivetosuhteenTULEsairauksille.Vetosuhdekokoväestölleoli 1,06.Sejälkeenhän analysoiosapopulaationjohonkuuluivatviimeisenkuudenkuukaudenaikanasairaalassahoidetut,jolloinvetosuhteeksisaatiin 4,06.Jälkimmäinenviittaavahvaayhteyteennäidenkahdensairaudenvälillä,kuntaasensimmäisenanalyysinmukaanmitäänyhteyttäeiole.

JälkimmäinentulosonBerksoninharhanaiheuttama,koskaononilmeistäettäsairaalahoitoyleisempääniillä,joillaonmolemmatsairaudetverrattunaniihinjoillaonvain yksisairaus.

Kokovaesto Sairaalahoidetut

Ei 18423762560

Yhteensä 20125832784

Vetosuhde(OR) 1,06

51520

18219237

23234257

Vetosuhde(OR) 4,06

Kuviossa 57 Berksoninharhaaiheutuusiitä,ettäsekä altiste(E)ettäsairaus(D)vaikuttavatonkohenkilövalittu mukaan(C).Joställaisessaasetelmassaonlisäksimuuttuja

132jarihaukka
TULE TULE
OnEiYht. OnEiYht.
Heng.sairaus
On 17207224

R,jokavaikuttaaaltisteeseen,niinRnäyttäävaikuttavan myössairauden(E)riskiin,vaikkaniineitodellisuudessa olekaanasianlaita.

Kaltaistusharha (matchingbias)

Tämäharhailmeneesairauslähtöisessätutkimuksessakun tapauksillevalitaanesim.iänjasukupuolensuhteenkaltaistetut(matched)verrokit.Harhahallitaantilastollisella mallillaottamallahuomioonkaltaistusmuuttujatanalyysivaiheessa.Myösliikakaltaistus(over-matching)saattaaaiheuttaaharhaa,kunkaltaistetaansellaisenmuuttujansuhteenjokaonyhteydessäaltisteeseenmuttaeiitsetutkittavaansairauteen.Liikakaltaistussaattaajohtaaaltisteenja sairaudenassosiaationaliarviointiin.

Meta-analyysinkieliharha (languagebias)

Eggerym.[68]havaitsivat,ettäsatunnaistettujenkokeidentuloksetjulkaistiinsuuremmallatodennäköisyydellä englanniksikuinsaksaksijostuloksetolivattilastollisesti merkitseviä.

Otannanpuutteellisuudestajohtuvatharhat

Satunnaistamattomastaotannastajohtuvaharha (non-random samplingbias)

Tämäharhaonilmeinenjajohtuusiitä,ettäotantaon tehtyvalikoiden.Tyypillisestiharhailmeneepuhelinhaastatteluissa(telephonerandomsamplingbias),joissamukaan tulevatvainhenkilötjoidennumeotontiedossajajotka myösvastaavattuntemattomastanumerostatulevaanpuheluun.

SamantyyppinenharhavaaniimyössähköpostintaiInternetinkauttatehtävissäotannoissa[85].

Meta-analyysinliittyvätharhat

Meta-analyyysiintulevientutkimustenetsiminenonsekinotantaajasiihenliittyvätmm.seuraavatharhat:

• sitaatioharhajohtuusiitäettäpaljonsiteeratutjulkaisut löytyväthelposti(citationbias)

epidemiologiaakaikille133
Kuva 57:Berksoninharha

• levitysharhaliittyyjulkaisunnäkyvyyteen,hyvinnäkyvätjulkaisuttulevathelpomminmukaanmeta-analyyseihin (disseminationbias)

• posthoc analyysiharhaliittyysiihenettätutkimusaineistouudelleenanalysoitaessatilastollisestimerkitsevättuloksetjulkaistaansuuremmallatodennäköisyydellä(post hocanalysisbias)

• julkaisuharhaliittyysiihen,ettätutkimuksetjoissaeitilastollisestimerkitseviätuloksiajätetäänhelpostijulkaisematta(publicationbias)

Diagnoosiinliittyvätharhat

Tutkimuksentoteuttamiseenliittyvätharhat

Poisjäämisharha(withdrawalsbias)

Tämävoiilmetäsekähavainnoivissaettäkokeellisissa seurantatutkimuksissa.Sensyynäon,ettäaltistevaikuttaa tutkimuksestapoisjäämiseen.Esim.lääkekokeessasaattavatjonkinlääkkeenhaittavaikutuksetaiheuttaalääkityksenlopettamisen.

Puuttuvantiedonharha( missinginformationinmultivariableanalysisbias)

Tämäharhavoiilmetä,jostutkimuksessaonkerättysuurijoukkomuuttujia,joitakäytetäänregressioanalyyseissa. Joshenkilöt,joiltapuuttuuuseidenmuuttujienarvoteivätoleharhatonotoskokotutkimuspopulaatiosta,voiseurauksenaollavalintaharha.Esim.kauanaikaahoidonpiirissäolleillapotilaillasaattaaollaenemmänmittaustuloksia,jolloinvainheidänottamisensamukaananalyyseihin saattaaaiheuttaaharhaa.

Osallistumattomuusharha(non-responsebias)

Tukimuksiinosallistuvatsaattavatmerkittävästierotakaikistatiettysairauttasairastavista.Useinkeskimääräistäterveemmätihmisetosallistuvaterilaisiintutkimuksiin(healthyvolunteereffect).

134jarihaukka

Eräässädiabetestutkimuksessahavaitiin,ettätutkimuksenulkopuolellajääneetolivatvanhempi,vähemmänkoulutettuja,useamoinleskiäjaeläkkeelläkuinosallistujat[112].

Kunarvioidaanosallistumistavaativiatutkimuksia,on äärimmäisentärkeääanalysoidamyöstutkimukseenkutsuttujen,muttasiitäpoisjääneidenominaisuuksia(ikä,sukupuoli,sosi-ekonominenasema,sairaudet)verrattunaosallistuneisiin.

Informaatioharha

Tämäharhantyyppiinliittyyaineistonkeräämiseen.Sen alalajitovatvirheluokitteluharha,ekologinenharha(käsiteltysivulla 63)jaregressiokeskiarvoakohti.

Eriävävirheluokittelu (differentialmisclassification)

Kunvirheluokitteluvaihteleeverrattavissaluokissaharhavoijokokorostaahavaittaviaryhmienvälisiäerojataitasoittaaniitä.Allakuvataankolmenvirheluokitteluharhan tyyppiä(löytymisharha,muistiharhajaraportointiharha)

Yhtäläinenvirheluokittelu (non-differentialmisclassification)

Mikäliverrattaviaryhmiäonkaksi,tämäharhantyyppi vähentääainahavaittuaeroa.Useammanryhmänvertailussaerovoiollakumpaansuuntaantahansa.

Löytymisharha(detectionbias)

Tämävirheluokitteluharhantyyppisyntyysairauslähtöisissätutkimuksissa,kunaltistevaikuttaadiagnoosintodennäköisyyteen.Jostutkitaanvaikkapastatiinienvaikutustadiabeteksenilmaantumiseentämäharhasaattaavaikuttaa,koskatiedetäänstatiinienkäytönlisääväntyypin 2 diabeteksenilmaantumistajasitenstatiiniakäyttävienverensokeriseurataantarkemminkuinmuunväestön.

Muistiharha(recallbias)

Tämäharhaesiintyyuseimmitensairauslähtöisissätutkimuksissa,jossaosallistujiltakysytäänheidänsairauksistaantairiskitekijöistään.

epidemiologiaakaikille135

Raportointiharha(reportingbias)

Tämäharhasaattaaliittyäesim.arkaluontoistentaustatekijöidenilmoittamiseen.Ihmiseteivätolehalukkaita paljastamaanmielestäännolojataihäpeällisiätietojaitsestään.Esim.päihteidenkäyttöönsaattaaliittyäaliraportointia(underreportingbias)

Regressiokeskiarvoakohti(regressiontothemean)

Tämäharhauhkaa,kuntutkimuksenosallistujatonalun perinvalittujonkinäärimmäisen(korkeantaimatalan)mittaustuloksenmukaan.Joskaikiillaosalilsujillaontutkimuksenalussakorkadiastolinenverenpaine,onodotettavissaverenpaineenlaskuseurannankuluessa,koskaverenpaineenarvovaihteleeluontaisestikinpäivästätoiseen.

Hawthorneilmiö(Hawthorneeffect)

HarhaonsaanutnimensäWesternElectricCompanyn Hawthornenvoimalaitoksesta,jossahavaittiintyöntekijöidentuottavuudenparantuneen,kunhetiesivättyötääntarkkailtavan.

Aikaistusharha(leadtimebias)

Erityisestiseulontatutkimuksetovatalttiitatälleharhalle.Sairausaikanäyttääpidentyvän,kunseulontatutkimuksessalöydetäänoireettomia,muttajosairastuneitahenkilöitö.Esim.eturauhasensyöpääseulottessalöytyymonia täysinoirettomiasyöpiä.Jossyöpäkuolleisuudenseuranta aloitetaanlöytymishetkestä,niinseulonnassalöydetytsyövätnäyttävätolevanyhteydessäpidempäänelossaoloon kuinoireidenperusteellalöydetyt.Merkittäväosatästäerostavoijohtuaaikaistusharhasta.

Piilevänsairaudenharha(protopathicbias)

Tämänharhanaiheuttaapiilevänsairaudenaiheuttamat oireet.Esim.diagnosoimatonhaimasyöpävoiaiheuttaadiabeksen,jokahavaitaanennensyöväntoteamista.Tämävoi johtaapäättelemään,ettädiabetesjasiihenkäytettylääkitysaltistaahaimasyövälle.Tähönkytkeytyväharhaonsairaanhenkilönhoidonlopettamisenharha(sickquitterbias).

136jarihaukka

Riskikäyttäytyjätsaattavatlopettaamuitahelpomminhoidon,jolloinhoidonvaikuttavuudenarvioimisessavoiolla harhaa.

Ajallisenyhteydenepämääräisyysharha(temporalambiguitybias)

Poikkileikkausjaekologisissatutkimuksissaaltisteenja päätetilanajallistajärjestystäeiuseinvoidavarmentaa.

Varmistusharha(workup tai verificationbias)

Harhaesiintyykunuuttadiagnostistatestiäverrataan käytössäolevaanjahyväksitodettuunstandardiin(gold standard)Tyypillisestiuudemmantestintulosvarmistetaan standarditestillä,kuntulosonnegatiivinen,mistävoiaiheutaharhaa.

Sekoittavientekijöidenaiheuttamatharhat

Ryhmittäisensekoittavantekijäharha(confoundingby group)

Tämäharhavoiesiintyäekologisissatutkimuksissa,joissatietynpopulaationalaryhmänprevalenssionyhteydessä samanalaryhmänaltistumattomienriskiin.Harhaonselitettytarkemminsivulla 63.

Indikaatioharha(confoundingbyindication)

Tämäharhaesiintyy,kunhoitokohdistetaankorkariskinosapopulaatioon.Näinontyypillisestilääke-epidemiologiassa, jonkatutkimuspopulaatioissaesim.sairauttaehkäisevähoito,kohdistetaanmitatunriskinperusteella.

Esim.kolesteroliaalentavalääkitys(statiinit)aloitetaan henkilöille,joillaonkohonnutsydän-javerissuoitautien (SVT)riski.JostämänpopulaationSVTkuolleisuudenhavaitaanolevankorkeampikuinmuunväestön,kyseessäon indikaatioharhasta,eisiitäettälääkitysaiheuttaisikorkean SVTkuolleisuuden.

epidemiologiaakaikille137

Kokeelliseentutkimukseenliittyviäharhoja

Interventionmääräämisharha(allocationofintervention bias)

Tämäharhaonkyseessä,kuninterventiomääräytyyhenkilönominaisuuksianperusteella.Näinvoitapahtuaetenkinsatunnaistamattomissatutkimuklsissa,taijosinterventionmääräytymineneiolesokkoutettusatunnaistetussatutkimuksessa.

Noudattamisharha(compliancebias)

Tämäharhaonkyseessä,josinterventionnoudattaminenriippuuhenkilönominaisuuksista.Esim.josinterventionaonliikunta,niinhuonossafyysisessäkunnossaolevat saattavatkeskeyttäähelpomminkuinhyväkuntoiset.

Kontaminaatioharha(contaminationbias)

Kontaminaatioharhavaikuttaainterventiotutkimukseen, joslumeryhmäänkuuluvatalkavatsaadasamaahoitokuin aktiiviryhmäänkuuluvat.Näinvoikäydäesim.syövänjoukkotarkastuksiatutkittaessa,joslumeryhmäänkuuluvatosallistuvattutkimuksiin,joidenolitarkoituskohdistuavain aktiiviryhmään.Tämäharhapienentäälume-jaaktiiviryhmävälillähavaittavaaeroa.

Maturaatioharha(differentialmaturation)

Tämäharhaesiintyyryhmäsatunnaistetuissatutkimuksissa,joshoitoeriinterventioryhmissäkehittyyeritahdissa.

Hoitoaikeenmukainenanalyysi-harha(lackofintentiontotreatanalysis)

Jossatunnaistetuntutkimuksettuloksetanalysoidaanmuutoinkuinhoitoaikeenmukaisestiaiheutetaantämäharha.

Esim.,jostutkimuksenkeskeyttäneetelikatoonkuuluvatjätetäänanalyysienulkopuolelle,aiheutetaantämäntyyppinenharha.

Taulukossa 19 tarkastellaankahtatutkimusta,joissavertaillaankuolleisuuttahoito-jalumeryhmienvälillä,jajois-

138jarihaukka

sakatoontäsmälleensamamolemmissaryhmissä(

3%) [83].

Tutkimuksessa 1 kuolemienmääräonpaljonsuurempi kuintutkimuksessa 2,kuitenkinsitenettähoidonaiheuttamasuhteellinenriskinpieneneminenonsamaeli 0,50,kun jätetäänkatoonkuuluvathenkilötanalyysienulkopuolelle (perprotocolanalysis).Sensijaan,josoletetaankaikkienkatoonkuuluvienkuolleenelipahinmahdollinenvaihtoehto (worstcasescenario),saadaantutkimuksen 1 RRR 0,43,muttatutkimuksessa 20,00.Huomataan,ettäpienikinkatovoi aiheuttaahyvinsuurenharhantulostentulkinnassa.

RRR=suhteellinenriskinpieneneminen

Toinenesimerkki saadunhoidonmukaan tehdynanalyysinaiheuttamastaharhastatodetaantaulukosta 20,jossa verrataanpelkänasetosalisyylihoidon(ASA)vaikutusta leikkaus+ASAhodonvaikutukseenaivohalvauksen(stroke)ilmaantuvuuteen[113].Tutkimuksenkuluessakuitenkin 10 potilastasaiaivolvauksenennenleikkaustajaheeivätsiissaaneettutkimuksessamäärättyähoitoa.JostutkimusanalysoidaansaadunhoidonmukaanhavaitaanRRR 0,45,muttajossensijaananalysoidaanhoitoaikeenmukaanRRRon 0,00.Saadunhoidonmukainenanalyysisiis aiheuttaahuomattavanharhan

epidemiologiaakaikille139
Tutkimus 1 Tutkimus 2 Hoito Lume Hoito Lume Satunnaistettu 1000 1000 1000 1000 Kadotettuseurannassa(%) 30(3) 30(3) 30(3) 30(3) Kuolemia(%) 200(20) 400(40) 30(3) 30(3) RRR,eiotettu huomioonkatoa 0,2/0,4= 0,50 0,03/0,06= 0,50 RRR,pahinvaihtoehto,oletetaan kaikkienkatoon kuuluvienkuolleen 0,17/0,4= 0,43 0,00/0,06= 0
Taulukko 19:Hoitoaikeenmukainen analyysiverrattuna,joskatoonkuuluvatjätetäänpois.
140jarihaukka ASA Leikkaus+ASA Satunnaistettu 100 100 Aivohalvaus(stroke) 20 20 Aivohalvausennenleikkausta 10 Saadunhoidonmukaan 20/100=0,20 10/90=0,11 Hoitoaikeenmukaan 20/100=0,20 20/100=0,20 1 Saadunhoidonmukaan,RRR=0,45 2 Hoitoaikeenmukaan,RRR=0,00 RRR=suhteellinenriskinpieneneminen
Taulukko 20:Hoitoaikeenmukainen analyysiverrattuna,joskatoonkuuluvatjätetäänpois.

Epidemiologisenpäättelynapuneuvoja

Havainnoivientutkimustenperusteellatehtävänepidemiologisenkausaalipäättelynavuksionkehitettylukuisiatilastollisiamenetelmiä,joillapyritäänhallitsemaanharhoja sekäarvioimaansyy-seurasuhteitajaniidenvoimakkuutta [144,Pearceetal.[117],FlandersandGarber[71]].

Tilastollisetmallitpäättelynapuna

Erilaisettilastollisetmallitovatkeskeinentekniikka,jollaepidemiologistentutkimustenharhojapyritäänhallitsemaan.Enitenkäytetäänregressiomalleja,jolloinsopivan mallinvalintariippuusekätutkimusasetelmataettämitattavanpäätetilamuuttujanmitta-asteikosta.

Regressomallientekniikkaaesitetäänomassaluvussaan, tässätarkastellaanmitäperiaatteitasovelletaankunvalitaanselittävätmuuttujatmalleihin.

Regressiomalliesimerkki

TarkastellaankuolleisuudenjaasunnonhallintamuodonvälistäyhteyttäNHANES[22]aineistosta,jolloinhavaittiin ettäasunnonomistavienkuolleisuusonhuomattavastieli 55%suurempi(MRR 1,55; 95%LV 1,42–1,71)kuinmuiden hallintamuotojenasunnoissaasuvilla(taulukko 21).

Toisaalta,korkeampiikäonyhteydessäasunnonomistamiseenjasamoinkuinkuolleisuuteen,jotensitävoidaan

Omistus pyears event rate low high Muu 97,965 558 5,696 5,233 6,189 Omistus 225,164 1997 8,869 8,484 9,267
Taulukko 21:Kuolleisuus(1/100 henkilövuotta)asunnonomistuksenmukaan jaoteltuna

pitääsekoittavanatekijänä(taulukko 58).

Kunsovitammeregressiomallin,jossasekäomistusettä ikäovatselittävinämuuttujinahavaitaan,ettäomistusasujienkuolleisuusonitseasiassa 23%(MRR 0,77; 0,70–0,85) pienempikuinmuidenhallintamuotojen.Teimmenäin ikäkorjauksenregressiomallinavulla,japoistimme

iänvaikutuksensekoittavantekijänä.Regressiomalleihin (s. 183)jamuuttujienvalintaansuunnattujensyklittömien verkkojaavulla(s. 209)syvennytääntarkemminkirjanloppuosassa.

Instrumenttimuuttuja

Instrumenttimuuttujan(IM)(instrumentalvariable)oletetaan vaikuttavantutkittavaanilmiöön(esim.sairastuminenvoi ollavastetapahtuma)vainsitäkauttaettäsevaikuttaaaltisteeseen,muttasilläeiolesiismitäänsuoraayhteyttä vasteeseen.KunIMmallitetaanvastemuuttujaa,voidaan havaitaaltisteenyhteys,jostaonpuhdistettuhavaitsemattomientekijöiden(UjaV)vaikutus.IMtekniikanhyvyys riippuutäysinmuuttujienvalinnanonnistumisesta.IMtekniikallapyritäänkorvaamaankliinisenkokeensatunnaistamistahavainnoivissatutkimuksissa.Sitäsovelletaanetenkinsosiaali-jakasvatustieteissä.

Mendel-satunnaistus(Mendelianrandomization)onmuunnelmaIMtekniikasta.SiinäIMkäytetäänhenkilöngenotyyppiäinstrumenttimuuttujana[59].

Oletetaan,ettähalutaantutkiaalkoholinkulutuksenja verenpaineenvälistäyhteyttä(esim.[59]).Lukuisathavainnoivattutkimuksenovatosoittaneet,ettäonyhteyssuuren alkoholinkulutuksenjakorkeanverenpaineenvälillä.Toisaaltaeivoidavarmuudellaväittääettäkyseessäonkausaliteetti,koskahavaitunyhteydentakanavoiollalukuisia sekoittaviatekijöitä,jotkavaikuttavatsekäalkoholinkäyttöönettäverenpaineeseen.

Useimmmitenepidemiologisissatutkimuksissasekoittavientekijöidenvaikutustapyritäänkontrolloimaankaltaistamallataierilaisillaregressiomalleilla.Ongelmanaon,et-

Kuva 59:Nuoli"a"osoittaaaltisteen suoranyhteydenvasteeseen,jokaon riippumatonjäännösvaikutsten(UjaV) korrelaatiosta(r).Vaikutushavaitaan instrumenttimuuttujanavulla,koska senoletetaanvaikuttavanvasteeseen vainaltisteenkautta(b).

142jarihaukka
Kuva 58:Asumismuotojakuolleisuus Kuva 60:Mendel-satunnaistus.

täonmahdotontatietäävarmasti,ettäkaikkitarpeelliset sekoittavatekijätonmitattujaotettuhuomioonriittävän hyvin.

Ontäysinmahdollista,ettäihmisillä,jotkajuovatpaljonalkoholiaonmyösmuitakorkeanverenpaineenjasydänsairauksienriskitekijöitä.Hesaattavattupakoidausein, mikälisääsekäkorkeanverenpaineenettäsydänsairauksienriskiä.Monienriskitekijöidenyhtäaikainenvaikutus vaikeuttaayhdentekijänitsenäisenvaikutuksenarviointia.

Ongelmanavoiollamyöskäänteinenkausaliteetti(reversedcausality),jollatarkoitetaansitäettätaudinoireetjohtavatriskitekijöidenmuutoksiin.Esim.sydänoireetvoivat johtaaalkoholinkäytönvähentämiseenjatupakoinninlopettamiseen,jolloinyhteyssairaudenjariskitekijöidenvälillävoinäyttääjopapäinvastaiseltakuintodellisuus.

Mendel-satunnaistamisessahyödynnetäänhedelmöittymisenhetkellämääräytyviägeenienvarianttejakausaliteetintutkimisessa.

Haluttessatutkiaalkoholinkäytönjaverenpaineenyhteyttä,valitaanALDH2 geeni(harvinaisempiAalleelirs671 jotaverrataanyleisempäänGalleeliin).Harvinaisempaa alleeliatavataanerityisestiaasialaisissaväestöissäjageeninkantajathelahtavathelpostipunaisiksialkoholiajuodessaan,lisäksiaiheutuumuitaikäviäoireita.Tämäaiheutuuasetaldehydinkertymisestäelimistöön,koskars671 variantinkantajateivätpysytyhajottamaanalkoholinmetaboliassasyntyväämyrkyllistäasetaldehydiatehokkaasti.

Erässätutkimuksessa,jossaolimukana 4057 miestä, 170:llä oligenotyyppiAAjahejoivatkeskimäärin 1,1 galkoholiapäivässä,kuntaasGGgenotyypinmihestjoivat 23,7 g päivässä[137,Chenetal.[54]].Voidaansiisolettaa,että joshenkilöillä,joillaonyksitaikaksiAalleelia,onalempiverenpainekuinniilläjoillaeioleyhtään,niinkyseon alkoholinkausaalivaikutuksestaverenpaineeseen.Tämän päätelmävaatiikuitenkinuseitaoletuksia.

Mendel-satunnaistamisenoletukset,jotkasoveltuvatkaikkiininstrumenttimuuttujiin:

1 Relevanssi(relevance):geneettinentekijäonyhteydessä

epidemiologiaakaikille143
Kuva 61:Mendel-satunnaistus(A)

tutkittavaanaltisteeseen.

2. Riippumattomuus(independence):geneettisentekijänja päätetilanvälilläeiolesekoittaviatekijöitä.

3 Poissulku(exclusionrestriction):geneettinentekijävaikuttaapäätetilaanpelkästääntutkittavanaltisteenkautta.

Kuviossa 61 esitetäänsosio-ekonomisenasemanmahdollinenyhteysverenpaineeseen.Tämäasiantilaeiaiheuta harhaajaMendel-satunnaistaminentuottaaoikeantuloksen

Kuvion 62 perusteellasyntyperä(geneettinensukulaisuus)onyhteydessäsekäALDH2 geeniinettäverenpaineeseen,mikävoiaiheuttaaharhan.Riippumattomuusoletuseiolevoimassa.

Kuvion 63 perusteellaALDH2 geenivaikuttaatupakontiin,jokavuorostaanvaikuttaaverenpaineeseen.Tämätilannevoiaiheuttaaharhan,koskapoissulkuoletuseiole voimassa.

Verenpaineenyhteyssydäntauteihineiaiheutaharhaa, jotenkuvio 64 johtaaoikeaanpäättelyyn.

Mendel-satunnaistamistutkimukseenkuuluusiistarkka eriharhanlähteidenanalysointijatutkimusasetelmanoletustenvoimassaolontarkastaminen.

Negatiivinenkontrolli-tutkimus

Negatiivinenkontrolli-tutkimuksia(NKT)(negativecontrol) onkahtaperustyyppiä:päätetilajaaltistelähtöisiä.

Päätetilan(outcome)suhteentehtävässäNKT:ssavalitaan päätetila,jostatiedetäänsuurellavarmuudella,ettäsillä eioleyhteyttäaltisteeseen.Päättelytapahtuuvertaamalla kuinkasuurieroaltisteenvaikutuksessaontutkimuksen kohteenaolevanpäätetilanjanegatiivisenkontrollipäätetilanvälillä.Tätäasetelmaakäytetäänyleisestiesim.lääkeepidemiologiassa[107,PrasadandJena[121]].

Altisteen(exposure)suhteentehtävässäNKT:ssavalitaan altiste,jostatiedetäänsuurellavarmuudella,ettäsilläeiole yhteyttäpäätetilaan.Päättelytapahtuuvertaamallakuin-

144jarihaukka
Kuva 63:Mendel-satunnaistus(C) Kuva 64:Mendel-satunnaistus(D)

kasuurierovarsinaisenaltisteenjanegatiivisenkontrollin vaikutuksessaontutkimuksenkohteenaolevaanpäätetilaan.

Regressionepäjatkuvuusasetelma

Regressionepäjatkuvuusasetelmaavoidaansoveltaakun altistusmääritetään—useinjatkuvallaasteikollamitatun —kynnysarvonperusteella[47,VandenbrouckeandleCessie[143]].Oletetaan,ettäihmiset,joidenmittauksissaon vainvähäinenero,ovatmelkosamanlaisia,muttakuitenkinsaavaterialtisteen,koskamittausosuuskynnysarvon eripuolille.Altisteenavoiollaesim.lääkitys,jokaaloitetaan,kunjonkunkliinisenmittauksenkynnysarvoylittyy. Kasvatustieteissämittarinavoiollaperuskoulunpäättötodistuksenkeskiarvo,jossatoisendesimaalinerovoiratkaistamissälukiossakoululainenjatkaaopintojaan[84].

Tilastollistenmallienavullaarvioidaan,kuinkasuuriosuus erialtisteidenerostajohtuuitsealtisteesta.Jossiiseroon suuri,vaikkamitatunmuuttujanarvoissaolivainpieni ero,voidaanpäätelläettäkyseonaltisteenvaikutuksesta.Jostaaseroonvähäinenverrattaessakahtapuoltakynnysarvooleviajasiiserilaillaaltistettuja,voidaanpäätellä ettäaltisteellaeiolemerkitystä.

Menetelmäähyvinhavainnollistavassatutkimuksessatarkasteltiinalkoholinmyynninikärajanyhteyttäliikennekuolemiin[51].Kuviosta 65 havaitsemmeselvänepäjatkuvuudentieliikenneonnettomuuksinkuolleisuudessaikävuoden 21 kohdalla,jokaonYhdysvalloissaalkoholinostonikäraja.Tämänjamuunevidenssinperusteellatutkijatpäättelivät,ettäalkoholionyksikeskeisistätekijöistähavainnon takana.

Marginaalisetrakennemallit

Marginaalisetrakennemallit(marginalstructuralmodel)ovat yksipaljonkäytetyistävälineistäepidemiologiseenkausaalipäättelyyn[92,WilliamsonandRavani[150]].Tavoitteena

epidemiologiaakaikille145

ontutkiakontrafaktuaalistenaltisteideneroa.Jostutkitaan kahtaaltistettasamahenkilövoidaantavallisestialtistaa vaintoiselle,jolloinvaihtoehtoisestaaltisteestajasenvaikutuksestatuleekontrafaktuaalinentapahtuma.Mallituksentavoitteenaontutkiaaltisteidenerotustahavaintojen perusteella,joistavaintoinenmahdollisistatapahtumakuluistaontoteutunut.

Käänteinenhaarukkaharha(colliderbias)aiheutetaan,jos onolemassamuuttuja,jokaonyhtäaikaailmiötäselittävä ettäselittäämyössenriskitekijää.

Kuviossa 66 onesitettyriskitekijöitäimeväiskuolleisuudelle.Tiedetäänettääidintupakointialentaalapsensyntymäpainoa,toisaaltasiihenvaikuttavatmyösgeneettiset tekijät,jotkaovatyhteydessämyösimeväiskuolleisuuteen. Josesim.regressiomalliinsisällytetäänlapsensyntymäpainoselittäväksitekijäksi,aiheutetaankäänteinenhaarukka harha(colliderbias)geneettisentekijänsuhteen,koskaseon sekäriskitekijänettäsyntymäpainontakana.

Seurantatutkimuksentoistomittauksissaonkysesaman tyyppisestäharhasta(kuvio 67).Aiemmatverenpaineenarvotvaikuttavatsekämyöhempiinarvoihin,ettämyöhem-

146jarihaukka
Kuva 65:KuolleisuustieliikenneonnettomuuksissaYhdsyvalloissa 1997–2005 Havainnot(pisteet)jamallinennusteja 95 prosentinluottamusväli.

päänverenpainelääkitykseen.

Jottamarginaalisiarakennemallejavoitaisiinsoveltaapitääkolmenoletuksenollavoimassa:

1. Vaihdettavuus(exchangeability):altisteenjajäännösvaihelunvälilläeiolekorrelaatiota

2 Johdonmukaisuus(consistency):havaittuyhteysaltisteen jakausaalivaikutuksenvälilläriippuuhavaitustaaltistehistoriasta

3. Kattavuus(positivity):altisteentodennäköisyyseisaaollanollataiyksimilläänkovariaattienyhdistelmällä.

Kahtaensimmäistäoletustaonmahdotontatodentaahavainnoivassatutkimuksessa.Kolmattavoidaankuitenkin tarkastella.Josesim.jossainhavainnoivassatutkimuksessa onmuuttujayhdistelmä,jokamääräätäysinaltisteen,kolmasoletuseiolevoimassa.

Erinomaisessaartikkelissa[105]verrattiinerianalyysitapojahavainnoivaantutkimusaineistoon,jossatutkittinliuotushoidontehoaaivohalvauspotilaisiin.Hoitoaeikohdistettupotilaisiin,joidenoireetaiheutuivataivoverenvuodostavaanpelkästäänniihin,joillaoliverisuonitukos.Näin yksitekijä(vuotovaitukos)määrittiannettavanhoidon, mikäoliotettavahuomioontuloksiaanalysoitaessa.Eriana-

epidemiologiaakaikille147
Kuva 66:Käänteinenhaarukka(collider)harha.Lastensyntymäpaino tutkimuksessa. Kuva 67:Käänteinenhaarukka(collider)harhaseurantatutkimuksessa.VP verenpaine,BBbeetasalpaaja.

lyysitavoillapäädyttiinhyvinerilaisiinpäätelmiin.Ääripäinäolivatytulos,ettäliuotushoitoonyhteydessäyli 10kertaiseenkuolemanvaaraan(MRR 10,77, 95%LV 2,47–47,04) ja,ettäsilläeiolemitäänvaikutusta(MRR 1,11, 0,67–1,84). Marginaalisiinrakennemalleihinliittyväkeskeinenkäsiteonkääteinenaltisteenpainotus(inverse-probability-oftreatmentweighting eli IPTW).Kyseontilastollisestatekniikasta,jollalasketaanhavaituillealtisteilleregressimalleissakäytettävätpainot,joidenavullahavainnoivastatutkimuksestavoidaantehdäkausaalipäättelyäsamaantapaan kuinkokeellisestatutkimuksesta.Kuitenkin,edelläesitettyjen—yleensätodentamisenulkopuolellaolevien—ehtojenonoltavavoimassa.

Välittäväntekijänanalyysi

Välittäväntekijän(mediatingtaimediatorvariable)analyysin muuttujiensuhde(kuvio 68)[108].Välittäväelimediaatiotekijä(M)onkiinnostuksenkohteenaolevanriskitekijän (X)japäätetilan(Y)välissä.

Mediaatioanalyysinkulkuonmelkosuoraviivainenjase voidaantehdäoheisenvuokaavionmukaan(kuvio 69).

##CausalMediationAnalysis

tekijä(M)japäätetile(Y)

##NonparametricBootstrapConfidenceIntervalswiththePercentileMethod

##Estimate95%CILower95%CIUpperp-value

##ACME0.35650.22420.51<2e-16 ***

##ADE0.0396-0.19700.250.8

##TotalEffect0.39610.18170.64<2e-16 ***

##Prop.Mediated0.90000.50781.90<2e-16 ***

##---

##Signif.codes:0’***’0.001’**’0.01’*’0.05’.’0.1’’1 ##

##SampleSizeUsed:100

##Simulations:100

148jarihaukka
Kuva 68:Selittävätekijä(X),välittävä
##
##
##
##
##
Taulukko 22:Mediaatioanalyysin esimerkki.

Kuva 69:Mediaatioanalyysi,selittävätekijä(X),välittävätekijä(M)japäätetila (Y)

epidemiologiaakaikille149

Taulukossa 22 suoravaikutusX→ Y(directeffect,ADE)

eieronollasta(0,0396; 95%LV-0,1500–0,28),muttamediaatiovaikutus(mediationeffect,ACME) )onpositiivinen (0,3565; 0,2256–0,49).

150jarihaukka

Useanpäättelytekniikanyhdistäminen

Epidemiologisenpäättelyssäonkeskeistäuseanaineiston, päättelytavan,asetelmanjatilastollisenmallintuottaman näytönyhdistäminenuskottavaksikokonaisuudeksi(triangulatingevidence)[107].

1. Vertaillaanainakinkahden,mieluitenuseamman,erilaisiaharhojasisältävänlähteenevidenssiä.

2 Erilähestymistavatpyrkivätsamankausaalisuhteenselittämiseen.

3. Edelläesitetyissäotetaanhuomioonaltisteidenajoitus jakesto.

4. Harhanmahdollisuudetonesitettyjaniitäonvertailtu.

5. Myösharhojensuuntaaonpohdittu.

Josylläesitetyntarkasteluntulokseteritutkimustenvälilläovatsamansuuntaiset,niintodisteetkausaaliyhteydestävahvistuvat.Mikälitaaslöytyyeroja,tutkimustapitää suunnataharhojenparempaanymmärtämiseenjahallitsemiseen.Tarkastelussaonkyselaadullisestaanalyysista,jollapyritäänymmärtämäänkausaliteetinluonnetta,einiinkääneriaineistojenyhdistämisestäjatilastollisenanalyyisn keinoin.

Vaikkauseintodetaan,ettähavainnoivantutkimuksen tavoitteenaonpyrkiäsamankaltaisuuteenkokeellisentutkimuksenkanssa,onhuomattava,ettäainakokeellinentutkimuseiolemahdollista.Kuitenkinepidemiologiantavoitteenaonkausaalipäättelyaltisteenjapäätetilanvälilläriippumattasiitä,voidaankokokeellistatutkimustaedesajatellakyseisessätilanteessa.Epidemiologinonkinsyytäpitäämielensäavoimenajaturvautuakäytännöllisestiniihin menetelmiinjaajatuskulkuihinjotkaovatkussakintilanteessasopivimpia[142].

epidemiologiaakaikille151

Meta-analyysi

1950-luvultaaina 1990 luvullesuositeltiinyleisesti,ettävauvanparasnukkuma-asentoonmahallaan.Tuonaaikana YhdysvalloissajaBritanniassamenehtyiyli 100000 vauvaakätkytkuolemanjohdosta. 1990-luvullakuitenkinhavaittiin,ettävauvanselälläännukkuminenvähentääkätkytkuolemanriskiäyli 50%[74].

Alkuperäinen 1950-luvunsuositusmahallaannukkumisestaperustuiteoriaan,jonkatueksieiollutuskottavaa näyttöä.Tästähuolimattasuositusolivoimassavuosikymmeniä.Muutoksentoivastalaajauseidentutkimustentulostenyhdistämineneli meta-analyysi (meta-analysis).

Meta-analyysinlaatijatkokosivatlääke-jaterveystieteen tietokannoistatarkkojenhakukriteerienmukaan 2897 tutkimusjulkaisua,jotkaheanalysoivatkrittisestijapäätyivät lopultayhdistämään 40 tutkimuksennäytön 2005 julkaistussatutkimuksessaan.Tutkimuksentulosoliselvä,vauvanturvallisinnukkuma-asentoonselällään.Tutkijoiden laskelmienmukaantämäntiedonmukaantoimiminenolisiBritanniassasäästänyt 10000 vauvanhengenjaYhdysvalloissajamuuallayli 50000.

Meta-analyysielirakenteinenkatsausonkeskeinentyökalu,kunyhdistetäänlukuisientutkimustentuloksia.Nykyäänhoitosuosituksetperustuvatpääosinlaajojenmetaanalyysintuloksiin,koskahyvätkäänyksittäisettukimukseteivätvoiollariittävänkattaviaeritekijöidensuhteen. Meta-analyysinperusperiatteidentuntemusonolennaistasiirrettäessätutkimustietoakäytäntöön.Meta-analyysia hyödynnetäänlääke-jaterveystieteidenlisäksilaajastimyös muillatieteenaloillakutentalous-,kasvatus-jayhteiskuntatieteissä.Meta-analyysinmenetelmäteivätriiputieteena-

Kätkytkuolematarkoittaaterveenäpidetynvauvanäkillistäjaselittämätöntä kuolemaa.

lasta,olennaistaon,ettäyhdistettävättutkimuksetsisältävätkorkealaatuisiajakattavastiraportoitujakvantitatiivisiatuloksia.

Kuva 70:Meta-analyysinjulkaisujen valinta

Meta-analyysinvaiheet

Meta-analyysintoteuttaminenvoidaanjakaaseuraaviinvaiheisiin:

1. Meta-analyysinensimmäinenvaiheontarkantutkimuskysymyksenmäärittäminen.Ylläkuvatussatutkimuksessahaluttiinselvittääonkovauvanmakuuasennolla yhteyskätkytkuolemaan.

2 Tutkimuskysymyksenmuotoilunjälkeenmääritetäänmillähakuehdoillatutkimusjulkaisujahaetaantietokannoista.

3. Seuraavaksitutkimusryhmäjäsenettarkistavathauntuloksenaolevienjulkaisujenlyhennelmät.Yleensätarkistuksentekeevähintäänkaksijäsentätoisistaanriippumattomasti.Sopivatjulkaisutsiirtyvätlähempääntarkasteluun.

154jarihaukka

4. Tässävaiheessatarkistetaanvalittujenjulkaisujenkokotekstitjavalitaankriteerienmukaisestisopivat.Kätkytkuolematutkimuksessapäädyttiinlopulta 40 tutkimukseen.

5. Seuraavaksitarkastellaantutkimustendatanlaatuaja poimitaanlaskelmiavartentarvittavatluvutjulkaisuista.

6. Lasketaanmeta-analyysintuloksetkuhunkinasetelmaan sopivinmenetelmin.

7. Tarkastellaanmeta-analyysintuloksiajaarvioidaaneri menetelminharhoja,kutenjulkaisuharhaa.Pohditaantulostenluotettavuuttajaniistävedettäviäkäytännönjohtopäätöksiä.

Meta-analyysiontäsmälleenniinhyväkuintutkimukset joihinseperustuu.Luotettavimmattuloksetsyy-seuraussuhteesta saavutetaansatunnistetuillakliinisilläkokeilla.Erityisesti hoitokäytäntöjenarvioinninolisisyytäperustuakokeellistentutkimustenyhdistämiseenmeta-analyysinkeinoin.

Myöshavainnoivientutkimustentuloksiayhdistetäänlaajastimeta-analyyseilla.Tällöinyhdistettävientutkimusten laadunarviointionerittäinkeskeistä.Arvioinninavuksion kehitettytyökalujakutenNewcastleOttawaScale,jossaarvioidaankukinehdollaolevatutkimustarkkojenkriteerin mukaan[60].Käytännössävähintäänkaksitutkimusryhmänjäsentätäyttäätarkistuslistanjokaisestaaiemmatvalintaehdottäyttäneestätutkimuksesta.Tulostenperusteella kullekintutkimuksellamääritetäänpisteytyssenlaadusta.

Kunlukeemeta-analyysiaonsyytäkiinnittäähuomiota, kuinkatarkastitutkimuksessaonotettuhuomioonlaatuja mitenseonmääritetty.Suurikaanmääräyhdistettyjätutkimuksiaeitakaaoikeaalopputulosta,josneperustuvat harhaisiintaimuutenheikkolaatuisiinlähteisiin.

Meta-analyysintekemiseenonlaadittuohjeita,joistayksion“ThePreferredReportingItemsforSystematicreviewsandMeta-Analyses”eli“PRISMA”[115].Sesisältää mm.tarkistuslistojajamallinmeta-analyysinvuokaavion (flowdiagram)laatimiseen.

Useimmitenmeta-analyysitrekisteröidäänesim.PROS-

epidemiologiaakaikille155

PEROtietokantaan(https://www.crd.york.ac.uk/prospero/).

Meta-analyysintekniikkaa

Meta-analyysintulostenlaskeminenalkaa,kunvalikoituneistajulkaisuistaonpoimittutarvittavatluvutyhdistettäväksi.Mikälitarkastellaanriskiäjonkinaltisteentaiinterventionsuhteen,numeerinenaineistokoostuuriskisuhteista,ilmaantuvuuksiensuhteistataivaarasuhteista.Mikälionkyseessäjokinjatkuvallaasteikollamitattumuuttujakäytetäänuseimmitenryhmienvälistäerotusta.

Meta-analyysintuloksetlasketaanpainotettunakeskiarvonaeritutkimustentuloksista.Useimmitenpainoinakäytetäänkunkintutkimuksentulostenhajontaatainiidenkokoa(osallistujamäärä).

Esimerkkimeta-analyysista

Esimerkkinäesitetään 13 tutkimuksenmeta-analyysi,joissaontutkittuBacillusCalmette-Guerin(BCG)rokotteentehoatuberkuloosiavastaan.Tutkimuksistaonkoottuoleellisetluvut,elikunkintutkimuksenrokotettujenjasairastuneidenmäärät 2 × 2 tauluina,sekätutkimustenasetelmat jamuutataustatietoa.

BCGdatanmuuttujat:

• trialnumber

• authorauthor(s)

• yearpublicationyear

• tposnumberofTBpositivecasesinthetreated(vaccinated)group

• tnegnumberofTBnegativecasesinthetreated(vaccinated)group

• cposnumberofTBpositivecasesinthecontrol(nonvaccinated)group

• cnegnumberofTBnegativecasesinthecontrol(nonvaccinated)group

156jarihaukka

• ablatabsolutelatitudeofthestudylocation(indegrees)

• allocmethodoftreatmentallocation(random,alternate, orsystematicassignment)

Seuraavaksisovitetaanmeta-analyysinsatunnaisefektimallijaesitetäänsentunnusluvut[146].

require(metafor)

options(width= 60)

dat <- escalc(measure= "RR", ai= tpos, bi= tneg, ci= cpos, di= cneg, data= dat.bcg, res <- rma(ai= tpos, bi= tneg, ci= cpos, di= cneg, data= dat, measure= "RR")

res

##

##Random-EffectsModel(k=13;tau^2estimator:REML) ##

##tau^2(estimatedamountoftotalheterogeneity):0.3132(SE=0.1664)

##tau(squarerootofestimatedtau^2value):0.5597

##I^2(totalheterogeneity/totalvariability):92.22%

##H^2(totalvariability/samplingvariability):12.86 ##

##TestforHeterogeneity:

##Q(df=12)=152.2330,p-val<.0001

##ModelResults:

##estimatesezvalpvalci.lbci.ub

##-0.71450.1798-3.9744<.0001-1.0669-0.3622 ***

##Signif.codes:0’***’0.001’**’0.01’*’0.05’.’0.1’’1

Meta-analyysintuloksetesitetäänuseinmetsikkökuviona(forestplot)(Kuva 71).Kuviostavoidaantodeta,ettärokoteonvähentänythuomattavastituberkuloosiinsairastumista,suhteellinenriski(RR)oli 0,49,ja 95%luottamusväli

epidemiologiaakaikille157
##
##
##---
##
oli 0,34–0,70

Meta-analyysintulostenheterogeenisyys

Meta-analyysintulostentarkastelussaonolennaistakiinnittäähuomiotamyöstutkimustenväliseenvaihteluuneli heterogeenisyyteen(heterogeneity).Sitämitataantavallisesti I2 tunnusluvulla,jokasaaarvojavälilllä 0%–100%.Ylläolevistatuloksistahuomataan,ettäheterogeenisyyson huomattavaa(92%).Eritutkimustenvälinenvaihteluon siissuurta,mikäheikentäämeta-analyysintulostenluotettavuutta.Onkuitenkinhuomattava,ettäpelkän I2 tunnusluvuntarkastelueiriitä,vaanyksittäistentutkimusten tuloksiaontarkasteltavakriittisestijapyrittäväymmärtämäänsyitä,josniidentulostenvälillähavaitaansuuriaeroja.

Cochranekriteeritheterogeenisyydelle:

• 0–40%eioleellista

• 30–60%kohtalainen

158jarihaukka
Kuva 71:Meta-analyysintulokset.Pisteesimaaattiamerkitsevänmustanneliön kokoonsuhteessatutkimuksenkokoon. Alimpanakaikkienosatutkimusten yhteinentulos(vinoneliö).

• 50%–90%huomattava

• 75%–100%merkittävä

Suppilokuviojameta-analyysinharhat

Suppilokuvio(funnelplot)onpaljonkäytettytapatarkastellameta-analyysinharhojaSterneetal.[134].Kyseonhajontakuviosta,jossax-akselillakuvataankunkinyksittäisen meta-analyysintutkimustenefektinkokojay-akselillahajonnansuuruus.Hajontaavoidaankuvataesim.estimaatin keskivirheellätaiotoksensuuruudella.Y-akselionkäänteinen,jotenhuipullaonpieninhajonta,mistäsyytäkaikkein vaikuttavimmattutkimukset—joillaonpieninhajonta— ovathuipulla.Kuvionala-osassataassijaitsevatpienettutkimukset,joidenvaihteluonsuuripienestäotoskoostajohtuen.

X-akselinkeskellä,suppilonhuipunkohdallaonkaikkientutkimustentuottamanefektinestimaatti.Kolmionkantaon 1,96 kertaankeskihajonnanpäässäestimaatista.Mikälimeta-analyysissaeioleharhaa,suppilo(kolmio)sisältää 95%tutkimuksista.Onhuomattava,ettäx-akselillaesitetäänsymmerinenefektikoonmittari,esim.logaritmiriskisuhteestataivetosuhteesta.Mikälikaikkivaihtelujohtuu otosvaihtelusta,onsuppilokuviosymmetrinen.

Suppilokuvio 72 eiolekovinsymmetrinenjasuppilon sisälläeiole 95%tutkimuksista.Epäsymmetrinensuppilokuvioantaasiisaihettaepäilläharhaameta-analyysissa.

Harhanlähteitämeta-analyysissa

• Raportointiharha

– Julkaisuharha,kutenviivästynytjulkaisutaijulkaisukielenaiheuttamaharha

– Tulosmuuttujanvalikoitunutraportointi

– Analyysienvalikoitunutjulkaisu

• Huonotmenetelmät

– Kehnometa-analyysinsuunnittelu

– Riittämätönanalyysi

epidemiologiaakaikille159

– Huijaus

• Todellinenheterogeenisyys

– Efektinkokovaihteleetodellakintutkimuksenkoon mukaan

• Artefakta

– Tietyissäolosuhteissaotoksenkeräystapavoijohtaa efektiokoonjakeskivirheenassosiaatioon

• Sattuma

– Pelkkäsattumavoiaiheuttaaepäsymmetrian,jotavoidaantestatatilastollisinmenetelmin

Onsyytäpitäämielessä,ettäsuppilokuvioonsuoraan tulkittavissvainmeta-analyyseissa,joissaonmukanavain satunnaistettujainterventiotutkimuksia.Muidentutkimusasetelmienkohdallaonsyytäollavarovainensuppilokuviontulkinnassa[101].

160jarihaukka
Kuva 72:Meta-analyysintulokset. Suppilokuvio.

OsaII

Epidemiologianmenetelmiä

Epävarmuudenmittaaminen

Edellätarkastelimmesairauksienjamuidentekijöidenmittaamistajavertailuja.Nytsiirrymmetarkastelemaankaikkiinempiiriseentutkimukseenliittyvänepävarmuudenmittaamistajahallintaa.

Epävarmuusempiirisessätutkimuksessa

Seuraavassaesitelläänempiirisenelihavaintoihinnojaavantutkimuksenperusasioita.Tavoitteenaonmitatakuinkapaljonvoimmeluottaahavaintojemmetuottamaantietoon.Yksitilastotieteenmääritelmävoisikuulua,ettäseon havaintoihinliittyvänepävarmuudenmittaamistajahallintaa.Käsittelemmesiisepidemiologiaansovellettuatilastotiedettä.Tässävaiheessaonsyytäesitellämuutamaaiheeseenliittyväperuskäsite,kuten perusjoukko (targetpopulation), otos (sample), tunnusluku (statistics), parametri (parameter), jakauma (distribution)ja otantajakauma (sampling distribution). Perusjoukkoelikohdeväestö

Perusjoukollatarkoitetaanesim.ihmisjoukkoajokaon epidemiologisentutkimuksenkohteena,siiskokoSuomen väestö,ihmiskuntaataivaikkapaSuomenkaikkiakoululaisia.Useinkaankaikkiaperusjoukkoonkuuluviaeivoida tutkiavaanonmuodostettavaotos,jokaedustaamahdollisimmanhyvinperusjoukkoa. Otos

Kuviossa 73 kaksiympyrääesittävätotoksiaperusjoukostaelipopulaatiosta.Samastapopulaatiostavoidaansiis ottaahyvinmontaerilaistaotosta.

ErinomainenesimerkkiotantatutkimuksestaonTHL:n

Terveys 2000-tutkimus[91].Senkohdeväestönäolivatkaikkiyli 18-vuotiaatSuomenasukkaatlukuunottamattaAh-

Kuva 73:Otanta

venanmaata.Ensimmäinenkysymysotantatutkimuksessa on:"Mitenlöydetäänotokseenkuuluvathenkilöt?".T2000 käytettiinKELA:ntietokantaajokasisältääkäytännöllisesti katsoenkaikkienSuomessaasuvientiedot.Monissamaissaeikuitenkaanolekattavaaväestönrekisteröintiä,jolloinotosvoidaanmuodostaavaikkapapaikallistenrekisterienkutenäänestysluettelontaijopapuhelinluettelonavulla.Mahdollisimmantehokkaanja edustavan otoksenmuodostaminenonkaikkeamuutakuinyksinkertaista,joten otannassakannattaaturvautuaasiantuntijanapuun.Huonostionnistunutotantavoijohtaa valintaharhaan,jokavoi vääristäätutkimuksentulokset.Emmekuitenkaantässävaiheessasyvennyenempääotantaanvaanoletammesentehdynriittävänhyvin. Esimerkkiotannasta,otosvaihtelu Muodostammepienenesimerkkiaineiston.Määritetään perusjoukoksi 10 koululaista,joilleontehtypituusmittaukset(cm): 144,8, 171,4, 138,4, 134,6, 144,8, 154,9, 147,3, 142,2, 148,6 ja 152,4

.Halutaanmäärittääperusjoukonkeskiarvo jamäärätäänotoskooksiviisi.Havaitaan,ettäviidenyksilönotosvoidaanpoimia 252 eritavalla.Lukusaadaan kaavasta,jossanonperusjoukonkokojarotoksenkoko.

4!tarkoittaaettäsuoritetaankertolasku1 2

4. Koskaotammevainyhdenotoksenperusjoukostasen antamakeskiarvonarvio(estimaatti, estimate)sisältääepävarmuuttaeliotosvaihtelua(samplevariation).Otosvaihtelunsuuruuttaarvioidaanlaskemallakeskiarvonestimaatillekeskivirhe(standarderror).

Keskihajontakuvaasiisperusjoukkoajakeskivirhetaas estimaatintarkkuutta.Josotoskokoontarpeeksisuuri(ainakin 30-50)keskiarvonestimaattionsuunnilleennormaalistijakautunutjavoimmekäyttäähyväksinormaalijakaumaalaskettaessavaihtelunsuurusluokkaaelimäärittää luottamusvälin (LV)(confidenceinterval).Huomataanmyös,ettäotoskoon(n)suurentuessakeskivirhe(SE)pieneneekoskaotoskoonneliöjuuri(√n 1)onkaavassajakajana.

Normaalijakaumaanviittaamme,koskajosestimaattimuodostuumonenriippumattomantekijänsummanasen,jakaumaonuseimmitenlikimainnormaalistijakautunut.Teoreettisessatilastotieteessätunnetaantätäkäsitteleväkes-

Keskiarvonkeskivirheenkaavaon: SE = σ/n (ntarkoittaaotoskokoa)

Otoksen keskihajonnan (σ))kaava puolestaanon: σ = ∑n i=1(xi x)2 (n 1)

Luottamusväli

164jarihaukka
C(n, r)= n r = n! (r!(n r)!) Merkki"!"onkertoma,esim.
3

keinenraja-arvolause[2].Jossiistunnemmeotoksenkeskiarvonjakeskivirheen(SE),voidaan 95%luottamusväli laskeayksinkertaisesti. 95%luottamusväli(95%LV) x1,96 ∗ SE Luku 1,96 johtuunormaalijakaumanmuodosta(Kuva 74). 95%normaalijakauman"todennäköisyysmassasta"sijoittuu välille[-1,96, 1,96],vastaavasti 99%luottamusvälionleveämpieli[-2.58, 2.58].

Sovelletaanylläesitettyälastenpituusmittauksiin.Taulukossa 23 onesitettykymmeneneriotoksentulokset(n=5). Havaitaan,että 95%LVsisältääperusjoukonoikeankeskiarvo(147,9)yhtäotosta(toinenrivi)lukuunottamatta. Luottamusvälintulkinnassaonkuitenkinoltavatarkkana. 95%LVsiissisältää 95%:ssatapauksistaparametrin (kiinnostuksenkohteenaolevaparametriontässäesimerkissäkeskiarvo)oikeanarvon,jossamaaotantaatoistetaan. Kannattaahuomata,ettäLVeiliitymitääntodennäköisyyttä,oikeaarvojokoon,taisitteneioleluottamusvälinsisällä.Tulkinnassaonkysesamanotannantoistamisestamontakertaa.

Leveäluottamusvälikertoo,ettäarviointi(estimointi)on epävarmaa.Kunhavaintojenmääräeliotoksenkokokasvaa,kapeneeluottamusvälikineliestimointitarkentuu.

Tämäeikuitenkaanvälttämättätarkoite,ettäjosotammeriittävänsuurtenotoksen,saammeainaoikeantiedon mitattavastasuureesta.Oikeatietoedellyttääriittävänsuurenotoskoonlisäksi,ettäotosonedustava(presentative)ja harhaton(unbiased).

Josvaikkapamielipidetiedustelussakerätäänotospuhelimitse,senulkopuolellejäävätihmiset,joillaeiolepuhelinta,joidennumeroonsalainentaijotkaeivätvastaa tuntemattomiinnumeroihin.Vastaajateivätsiisvälttämättäedustaesim.Suomenväestöävaanotosonharhainen. Harhan(bias)suunnanjakoonselvittäminenonkinkaikkeamuutakuinyksinkertainentehtävä.Harhaonkinniin olennainenjalaajakäsiteepidemiologiassa,ettäsitätarkastellaanomanakokonaisuutenaan.

Olennaisintaontälläkertaamuistaa,ettäkaikkiintuloksiinonliitettävämittariniihinliittyvästäepävarmuudesta,

epidemiologiaakaikille165
−3 −2 −1 0 1 2 3 0.0 0.1 0.2 0.3 0.4 Tiheysfunktion arvo −1.96 1.96
Kuva 74:Normaalijakaumajasen 2,5% ja 97,5%pisteet.

luottamusvälionkäytetyinmittari.

Taulukko 23:Kymmenen(N=5)otoksen keskiarvo(ka),keskivirhe(SE)ja 95% luottamusväli.Perusjoukonkeskiarvo on 147,9

Keskivirhejaluottamusvälitaijokumuuvaihtelunmittalasketaanainaraportoitaessatutkimustuloksia,joissaon epävarmuutta.Siismuillekinsuureillekuinkeskiarvo.Tilastotiedeanalysoijatutkiinäitäkysymyksiä.Tilastotieteentutkimuksenkohteeksionkinjoskusmääritettyvaihtelunmittaaminenjahallitseminen.

Jatketaanedellisessäluvussaesitetyntehostetunhoidon kliinisenkokeentarkastelua(Taulukko 4)[75].Voimmetodetakonservatiivisessahoidossakuolemanriskinolevan välillä 7,6%-16,6%jatavanomaisen 12,4%-19,7%. Vaikuttaisisiltä,ettäkonservatiivisessahoidossariskion pienempi,varsinkinkoska 95%LVeivätolejuuriollenkaanpäällekkäiset.Riskienerotuson 8,6%,jollevoidaan laskea 95%LVon 1,7%-15,0%.Voidaansiisvetääjohtopäätös,ettäkonservatiivinenhappihoitovähentääkuolleisuuttatuonerotuksenverranjaettäeroonmelkoluotettavasti arvioitu,koska 95%LVeisisällä 0%(=hoidoillaeieroa).

Siistoistettaessasamakliininenkoemontakertaa,ainakin 95%:ssatoistoistahavaittaisiinkonservatiivinenhoitoparemmaksi.

##2by2tableanalysis:

##------------------------------------------------------

##Outcome:Kuollut

##Comparing:Konservatiivinenvs.Tavanomainen

##

##KuollutElossaP(Kuollut)95%conf.

166jarihaukka
ka SE 95%LV 151,4 151,4 (139,6-163,1) 145,0 145,0 (139,2-150,9) 143,0 143,0 (136,8-149,2) 149,6 149,6 (146,1-153,1) 152,4 152,4 (142,2-162,6) 147,6 147,6 (134,9-160,2) 146,3 146,3 (141,7-150,9) 149,1 149,1 (136,8-161,4) 147,6 147,6 (143,4-151,7) 146,5 146,5 (139,3-153,7)

##Konservatiivinen251910.11570.0794

##Tavanomainen441740.20180.1537

##interval

##Konservatiivinen0.1657

##Tavanomainen0.2604

##

##95%conf.interval

##RelativeRisk:0.57340.36440.9024

##SampleOddsRatio:0.51760.30400.8813

##ConditionalMLEOddsRatio:0.51840.29090.9071

##Probabilitydifference:-0.0861-0.1546-0.0172

##

##ExactP-value:0.0178

##AsymptoticP-value:0.0153

##------------------------------------------------------

Tilastollinenpäättely

Olemmesiishavaintoaineistonperusteellapäätelleetkonservatiivisenhoidonolevanparempaajalisäksiraportoineetarviommepäätelmänepävarmuudesta.Prosessiakutsutaantilastolliseksipäättelyksi(statisticalinference).

Lyhyestiilmaistuna,ensinkerätäänhavaintoaineisto,sittenlasketaanjalopuksitehdäänpäätelmät.Lisäksijohtopäätöksiätehdessäonotettavahuomioontutkimukseen liittyväepävarmuus.Kunsiisosaammemitataotantaan liittyvääepävarmuutta,voimmearvioidakuinkavarmastitutkimustuloksetkuvastavattodellisuutta.

Useinerilaisetaineistokokoamiseenjamittaamiseenliittyvätharhatovatpaljonotosvaihteluamerkittävämpiepävarmuudenlähde,jotenpelkiäluottamusvälejätarkkailemallaeivoitehdäluotettavaapäättelyä.

epidemiologiaakaikille167

Hypoteesi,testaaminenjaP-arvo

Tarkastellaanseuraavaksimuutamaatilastotieteenperuskäsitettä,joihinjokainentieteelliseenkirjallisuuteentutustuvaennenpitkäätörmää.Hypoteesin(hypothesis),testaaminen(statisticaltesting)jaP-arvo(P-value tai significance) ovatnäitäavainkäsitteitä.

Hypoteesillatarkoitetaanjotainperusjoukkoakoskevaa väitettä,jonkatodenperäisyyttäarvioidaanhavaintojenperusteella.Havainnotvoidaankerätäesim.otannalla,kutenedelläkuvailtiin.Voimmekuvatatilannettanelikentän avulla.Esitetäänsiisväite H0 (nollahypoteesi)jasillevaihtoehtoinenväite(H1)(Taulukko 24).

H0 totta H1 totta

H0 pidetään oikein hylkäämisvirhe(β)

H1 pidetään hyväksymisvirhe(α) oikein

Edelläesitetyssätehostetunhoidonkokeessa:

• H0 "Konservatiivisenjatavanomaisenhappihoidonvälilläeioleeroahoidettujenpotilaidenkuolleisuudensuhteen".

• H1 :"Hoidoteroavattoisistaan".

Taulukostahuomaamme,ettäpäättelyssäonmahdollisuuskahteenoikeaanjakahteenvääräänpäätökseen.Nimitämmehylkäämisvirheeksioikean H0 hylkäämistä,ja hyväksymisvirheeksiväärän H0 hyväksymistä.HylkäämisvirheensuuruudestakäytetäänmyösnimityksiäP-arvoja (tilastollinen)merkitsevyys(P-value,statisticalsignificance).

P-arvonmäärittämiseksieioleyhtäkaavaa,vaansemääritetääntestisuureen(teststatistic)jakaumanperusteella,ja

Hypoteesi

Taulukko 24:Hypoteesitjapäättelyvirheet

senlaskeminenriippuusiitämitäasetelmaatutkimuksessa onsovellettu,jamilläasteikollaonmitattu.

TunnuslukuT(X)elitestisuure,kuvaamitentiettytilastollinenmallijahavainnot(xobs)sopivatyhteen.Voidaanepämuodollisestitodeta,ettäP-arvokuvaahavaintojenoutouttasuhteessaH0-hypoteesiin,mitäpienempion P-arvositäoudompionhavaittuaineistosuhteessaH0hypoteesiin.

Monissayhteyksissäkutsummeyksinkertaisintatilastollistamallianollahypoteesiksi H0.T(X)määritelläänsiten, ettäsuuremmatarvotkuvaavatpienempääyhteensopivuutta.

P = Pr(T(X) ≥ T(xobs)|H0tosi)

ToisinsanoenP-arvoilmaiseetodennäköisyydensaada nollahypoteesin(H0)ollessavoimassatestimuuttujan T(X) arvo,jokaonsenhavaittuaarvoasuurempi[42,Haukka andPitkäniemi[88]].

Otetaanpaesimerkiksieräskeuhkojentoimintaaselvittänyttutkimus.Siinämitattiinkoululaisiltaspirometriaarvoja(forcedexpiratoryflow,FEV).Tiedossaolilisäksioppilaanikä,sukupuoli,pituusjatupakointi.

Asetammeseuraavathypoteesit:

• H0:tyttöjenjapoikienspirometriaarvojenvälilläeiole eroa

• H1:tyttöjenjapoikienspirometriaarvojenvälilläoneroa

Meilläonmittauksia 75 tytöstäja 64 pojasta,joidenikä vaihtelivälillä 7–8 vuotta(Kuvio 76).Muuttujaonsuunnilleennormaalistijakautunut,jotensovellammeStudentinttestiä(Student’st-test),

jotakäytetäänkahdentoisistaanriippumattomanryhmänkeskiarvojentutkimiseen[135](https://en.wikipedia. org/w/index.php?title=Student%27s/ t-test&oldid=747241847).

Kyseonsiisryhmienkeskiarvojenerotuksesta( ˆ X1 ˆ X2), jokaskaalataansopivasti.Näinsaadaanyksilukuelituo puheenaolevatestisuure.Kaavanäyttäähiemanvaikealta,muttaonneksikaikkidata-analyysintietokoneohjelmat osaavatlaskeatestisuureenarvon.

170jarihaukka
Kuva 75:GuinessinDublininpanimon kemistiWillliamSealyGossetinmuistolaattaGuinessinpanimonseinällä. StudentoliGossetinnimimerkki,jolla hänjulkaisiStudentint-testinvuonna 1908 Biometrika-lehdessä.

Testisuureen(t)laskemiseenonmelko yksinkertainenkaava:

t.test(log(fev) sex, data= subset(FEV1,age %in% c(7, 8)))

##

##WelchTwoSamplet-test

##

##data:log(fev)bysex

##t=0.16135,df=135.54,p-value=0.8721

t = X1 X2 sp /√2/n

,jossa sponmolempienryhmienyhdistettykeskihajonta.

##alternativehypothesis:truedifferenceinmeansbetweengroupfemaleandgroupmaleisnotequalto0

##95percentconfidenceinterval:

##-0.060339180.07105994

##sampleestimates:

##meaningroupfemalemeaningroupmale

##0.68679060.6814303

Spirometriaesimerkissätestisuuret:narvoksisaadaan 0,16135 jaP-arvoksi 0,8721

Kaavassatarkastellaankahdenryhmänkeskiarvojeneroa.

Kaikilletestisuureillevoidaanmääritelläjakauma,kun H0 ontotta.Yleensätestisuureetmääritelläänsiten,että mitäsuurempitestisuureenarvotaiitseisarvoon,sitäepätodennäköisempisaatuarvoon,jos H0 elilähtöhypoteesi onoikea.P-arvoksisiissaadaantestisuurettavastaavaarvo testisuureen H0 vastaavastajakaumasta.

Tämävoidaanilmaistatoisinkin:mitähuonomminhavait-

Kunverrataanotoksenkeskiarvoa johonkinennaltamäärättyynarvoo(µ0) t-testinkaavaon:\

epidemiologiaakaikille171 0.00 0.25 0.50 0.75 1.00 1.5 2.0 2.5 3.0 log(FEV) Tiheysfunktio
sex female male Kuva 76:Tyttöjenjapoikienspirometria mittaustenjakauma
t = x µ0 s/√n

tuaineistoelidatatukee H0,sitäsuurempiontestisuureen arvojasitäpienempionP-arvo.PieniP-arvosiisviittaasiihen,ettähavainnoteivättue H0,elipieniP-arvopuoltaa H0 hylkäämistä.Tämäpäättelyolettaa,ettäoletuksettestisuureenlaskemisessapitävätpaikansa.Esimerkissämme siismittaustenpitääollalikimäärinnormaalijakautuneita.

UseinpidetäänP-arvonrajoinaarvoja 0,05 (5%), 0,01 (1%)ja 0,001 (0,1%).Varsinyleistäontodeta,ettäjosParvoonpienempikuin 0,05 niin"eroontilastollisestimerkitsevä".Ilmausonkuitenkinvarsinepätarkkajasitäon syytävälttää.Joskusnäitäarvojajopamerkitäänseuraavasti: ∗=5%, ∗∗=1%, ∗∗∗=0,1%.Onkuitenkinjärkevintä raportoidalaskettuP-arvo ∗-merkkiensijasta.

OnhuomattavaettäP-arvoeimittaaesim.tässätapauksessaryhmienväliseneronsuuruutta.Josnimittäinsuurennammeotoskokoa,saammeuseinpienemmänP-arvon vaikka(tässätapauksessa)keskiarvojenerotuspysyisisamana.AmerikanTilastoseuraonkinlaatinutjulkilausuman mitenP-arvojapitäisitulkita[148].

1 P-arvoilmaiseemitenhuonostihavainnotjasovellettu tilastollinenmallisopivatyhteen.

2. P-arvoeimittaatodennäköisyyttä,ettänollahypoteesi H0 ontotta,todennäköisyyttäettäaineistoonkokonaan satunnaisenvaihteluntulosta.

3. Tieteellisiätaimuitajohtopäätöksiäeisaaperustaasille, ettäP-arvoonalletietyntason,esim.alle 0,05.

4. Perusteellinenpäättelyedellyttääsuurtaläpinäkyvyyttä tulostenraportoinnissa.

5 P-arvoeimittaavaikutuksenkokoataimerkityksellisyyttä.

6. P-arvoyksinääneiolehyvämittarinäytönvahvuudelle tilastollisestamallistataihypoteesista.

Tilastollinenmalli(statisticalmodel)sisältääoletuksetaineistostajamenetelmistä.Spirometria-esimerkissäoletettiinaineistonmuodostuneenkahdenriippumattomanotoksennormaalijakaumasta,jasitätutkittiinStudentint-testillä.

Kyseonjonkinverranhistorianpainolastista,viimevuosiinastionolluttavanomaistakeskittyäP-arvojenraportoi-

PieniP-arvopuoltaa H0 hylkäämistä.

172jarihaukka
P-arvoeimittaaeronsuuruutta.

miseenjaperustaatieteellinenpäättelymelkolaajastiniidensuuruudelle.Listaapaerästutustumisenarvoinenartikkeliperäti 25 tapaatulkitaP-arvojaväärin[80].P-arvoja parempitaparaportoidatuloksiaonilmoittaavaikutuksen suuruusjasenluottamusväliä.Esimerkissämmetytötolivatkeskimäärin 0,005 cmpoikiapitempiajaeron 95%LV oli(-0.060

0.071).

Nelikentässäolitoisenkintyyppinenvirheeli“hyväksymisvirhe”,jokatarkoittaaettävaihtoehtoinenhypoteesi H1 todetaanoikeaksi,vaikkatodellisuudessanollahypoteesiH0 onsyytäpitäävoimassa.

Hyvinmerkittäväosatilastollisestateoriastakehitettiin kokeellisentutkimuksentarpeisiin.Olitarkkaetukäteen määriteltytutkimuskysymys(H0 vs H1),johonhaluttiin vastaussopivankoeasetelmanavulla.

Tällöinolitärkeäämäärittääkokeenotoskoko(samplesize), siisesim.kuinkamontapotilastapitäisisaadaosallistumaankliiniseenkokeeseentaikuinkamontapeltolohkao tarvitaanjottavoitaisiinverrataerilannoitteidentoimivuutta.

Kyseonsiiskokeensuunnittelusta(experimentaldesign). Kokeensuunnitteluotettiinkäyttöönlaajassamitassaensinmaataloustieteellisessätutkimuksessamm.eriviljalajikkeidenjalostuksessajalannoitteidenkehittelyssä.Lääketieteessäkliinisetkokeettulivatlaajassamitassakäyttöön myöhemmin.

Hyväksymisvirhe(β)liittyyerityisesti kokeensuunnitteluun.

epidemiologiaakaikille173

Otoskoonlaskeminen

TutustuimmeedellähypoteesintestaamiseenjaP-arvoon, jotkaliittyvätepidemiologianlisäksiläheskaikkeenempiiriseentutkimukseen.Erityisestikokeelliseentutkimukseen liittyotoskoonmäärittäminen.

Laskeaksemmeotoskoonmeidänonpäätettäväseuraavienkolmensuureenarvo:

• hylkäämisvirhe(α)

• hyväksymisvirhe(β)elitutkimuksenvoimakkuus(power) on(1 β)

• vaikutukseneliefektinkokoa,elimerkityksellinenero (∆)

Merkityksellineneroonerojonkaesim.kliininentutkija katsooriittävänsuureksieroksivaikkapapotilaanhoidon kannalta.Tehostetunhoidonesimerkissämme[75]tutkijat määrittivätettä 6%erokuolleisuudessakahdenhappihoitoryhmänvälilläonkliinisestimerkityksellinen, α arvona hekäyttivät 5%javoimakkuudenarvona 80%.

Tutkijakäyttääasiantuntemustaan ∆ määrittämisessä,ja useintutkimuksensuunnitteluvaiheessaonkinmukanalaajaasiantuntijaryhmä.Jatietystitutkijoillaonoltavahyvin laajattaustatiedotsekätutkittavastataudistaettäsenhoidosta.

Otoskoonlaskemiseenonmelkoyksinkertaisiakaavoja,joidentarkkamuotoriippuumilläasteikollaensisijainenvastemuuttujamitataan.Emmetässäsyvennykaikkiinotoskoonkaavoihintarkemmin,muttaesitämmekaavatjoillavoidaanlaskeajatkuvanjakaksiluokkaisenvastemuuttujanotoskootkahdenryhmänvertailulle.

Laskemmesiistarvittavanotoskoonnormaalijakautuneen

muuttujansuhteenseuraavistalähtökohdista:p-arvo 5%, voimakkuus 80%,havaittavaero(effectsize)kahdenryhmänvälilläonkuusi 6 (=µB µA).

Kaavaotoskoonlaskemiseenkahdennormaalistijakautuneenkeskiarvonvertailussa:

• κ = nA/nB Otoskokojensuhde

• Φ standardinormaalijakauma

• Φ 1 käänteinenstandardinormaalijakauma

• α TyypinIvirhe

• β TyypinIIvirhe, 1-β ontutkimuksenvoimakkuus

#Example

muA = 4

muB = 10

kappa = 1

sd = 10

alpha = 0.05

beta = 0.2

#Calculations

nB <- (1 + 1/kappa) * (sd * (qnorm(1 - alpha/2) + qnorm(1 - beta))/(muAmuB))ˆ2

z = (muA - muB)/(sd * sqrt((1 + 1/kappa)/nB))

Power = pnorm(z - qnorm(1 - alpha/2)) + pnorm(-z - qnorm(1alpha/2))

cat("$\\mu A$=",muA, "$\\mu B$=",muB, "$\\kappa$=",kappa, "sd=",sd, "\n $\\alpha$=",alpha, "$\\beta$=",beta, "$n B$=", ceiling(nB), "Voimakkuus=", round(Power, 3))

##$\mu A$=4$\mu B$=10$\kappa$=1sd=10

##$\alpha$=0.05$\beta$=0.2$n B$=44Voimakkuus=0.8

Todetaan,ettäotoskokokummassakinryhmässäon 44. Useinotoskoonlaskemiseenonhelpointakäyttäävalmistalaskuria.Esim.viitattuvuorovaikutteinenlaskuri(http:

176jarihaukka
H1
µ
µB
0 κ = nA nB nA = κnB ja nB = 1 + 1 κ σ z1 α/2+z1 β µA µB 2 1 β = Φ (z z1 α/2) + Φ ( z z1 α/2) , z = µA µB σ 1 nA + 1 nB
H0 : µA µB = 0
:
A
=

//powerandsamplesize.com/)[4].onhelppokäyttää,jase tulostaasekäkaavatettäR-kielenkoodinvoima-jaotoskokolaskelmiin. Kaavaotoskoonlaskemiseenkahden osuudenvertailussa.

Allaolevassaesimerkissäonlaskettuotoskokokliiniseen kokeeseenjossaodotetaanvanhassahoidossakuolemanvaaranolevan 8%(0.08)jauudessa 5%(

.05).

Hypoteesit:

κ=nA/nBryhmienkokojensuhde

Φ 1isstandardinormaalijakaumantiheysfunktio

Φ 1standardinormaalijakaumankvantiilifunktio

α tyypinIvirhe

β$tyypinIIvirhe,voimakkuuson1 β

##Otoskoko=432Voimakkuus=0.8TyypinIvirhe=0.05

Kuviossaonhahmoteltu,mitenotoskokomuuttuuryhmänAtodennäköisyydenmuuttuessa.

Huomataanseuraavat:

• MitäpienempionryhmienAjaBero,sitäsuurempi otoskokotarvitaan.

• Mitäsuurempivoimakkuusvaaditaansitäsuurempiotoskokotarvitaan

epidemiologiaakaikille177
0
H0 : pA pB
0 H1 : pA pB = 0 κ = nA nB Sovelletaanallaoleviakaavoja. nA = κnB nB = pA(1 pA) κ + pB(1 pB) z1 α/2 + z1 β pA pB 2 1 β = Φ (z z1 α/2) + Φ ( z z1 α/2) , z = pA pB pA(1 pA) nA + pB(1 pB) nB
=
, joissa

– Kolmekäyrääesittävätvoimakkuuksia 70%, 80%ja 90%.

• MitäpienempionhyväksyttäväItyypinvirhe,sitäsuurempiotoskokotarvitaan.

Kuva 77:Otoskoonmäärittäminenkäyttäenlaskuriaplikaatioat.[Kahdenryhmänosuuksien vertailu](http://powerandsamplesize.com/Calculators/Compare2-Proportions/2-Sample-Equality)

178jarihaukka

BayespäättelystäjaP-arvoista

Edelläonesitettyns.frekventistinentulkintatilastollisesta päättelystä.

Frekventistisessätilastotieteessäajatellaan,ettätapahtumantodennäköisyysontapahtumansuhteellinenosuus, kuntoistojenmäärälähestyyääretöntä.Toistoillatarkoitetaansamantutkimusasetelman—vaikkapakliinisenkokeen— toistamista.

Frekventistisessäajattelussaesim.tilastollistenmallien parametritajatellaansiiskiinteiksiluvuiksi,joillaeioletodennäköisyysjakaumaa.Sensijaanfrekventistisessäpäättelyssälasketaankuinkatodennäköistäonhavaitahavaitunkaltaisiatunnuslukujenarvojajostaintietystätilanteesta. 95%luottamusvälintulkintanaonarvioidamillevälillä 95%toistettujenkokeidenparametrienarvoistasijoittuu.

Bayesläinentilastotiede[133,Health[90]]perustuuBayesinkaavaan,jokamääritteleeehdollisentodennäköisyyden:

f (θ|y)=

f (y|θ) f (θ)

f (y)

Bayesinkaavassayhdistetäänaineistostalaskettavauskottavuus f (y|θ) japarametreista θ olevapriorieliennakkokäsitysposterioriksi( f (θ|y)).Päättelytehdääntämänposteriorijakauman( f (θ|y) )perusteella.Bayesläisessätilastotieteessäsiisajatellaan,ettätilastollisiintunnuslukuihin jamalliparametreihinliittyyepävarmuutta,jotenniitävoidaankuvatatodennäköisyysjakaumienavulla.Toisaaltaajatellaanettähavainnotelidata(y)ovattodellisia.

Bayeslaiseentilastotieteeseenliittyyoleellisesti priorijakauman ( f (θ|y))määrittäminen.Sekuvastaaennakkotietoakiinnostuksenkohteenaolevastaparametrista.

Ennakkotiedonottamistahuomioononpidettyjoskus ongelmana,koskaonajateltututkijannäinvaikuttavanpäättelyyn.

Oikeastaanongelmaaeiolekoskapriorijakaumavoidaan määrittäähyvinvähänvähämerkitykseksieliepäinformatiiviseksi(uninformativeprior).Toisaaltaselkeäpriorinmäärittäminentekeepäättelynselkeämmäksi,koskatutkijaon esittänytennakkokäsityksensäjakaumanmuodossa.

Erityisestihyödyllistäoneripriorijakaumienvaikutuksenvertailukunniitäsovelletaansamaanhavaintoaineistoon.Näinvoidaankartoittaakuinkapaljonerilaisetennakkokäsityksetvaikuttavatlopulliseenpäättelyyn.

Epäinformatiivisenpriorijakaumanmäärittämineneikuitenkaanoletriviaalia,Jeffreysosoittimitenmuutamillejakaumillemääritetäänepäinformatiivinenpriori(Jeffreysprior)[97]

P-arvojanollahypoteesintodennäköisyys

P-arvoaeivoidasuoraantulkitatodennäköisyydeksi,muttasenavullavoidaantietyinoletuksinlaskeanollahypoteesiintodennäkäisyys[129,Goodman[77],HaukkaandPitkäniemi[88]].

Ensinmääritetäänns.minimiBayesfaktori(minimum Bayesfactor,BF)p-arvolle(p)

BF:navullavoidaanmärittääp-arvoavastaavaminimi posterioritodennäköisyys,kun q onannettuprioritodennäköisyys. minimiposteriori = 1 +

Taulukosta 25 havaitaan,ettäesim.p-arvoa 0,05 vastaavanollahypoteesintodennäköisyyson 0,2893 kunpriorion 0,50.Toisínsanoen,jospidämmeennentutkimustanollahypoteesia(H0)javaihtoehtoa(H1)yhtätodennäköisinä

180jarihaukka
BF(p)= e · p · log(p) ,josp<1/eelip<0,3678794 1,muulloin
BF · q (1 q) 1 1

(50%eliprioritodennäköisyyson 0,50),niinhavaittuamme p-arvon 0,05 on H0 todennäköisyysalentunut 28,9%:iin. Vastaavasti,joshavaitsemmep-arvon 0,005 on H0 todennäköisyys 6,7%.Näitäp-arvojenperusteellalaskettujatodennäköisyyksiäkutsutaankalibroiduiksip-arvoiksi(calibratedpvalues).

Taulukko 25:Minimiposterioritodennäköisyysnollahypoteesilleeri p-arvoilla(sarakkeet)jaeriprioritodennäköisyyksillä(q)

Kuviossaonhavainnollistettup-arvojenjaposterioritodennäköisyyksienyhteyttä.

Kuva 78:P-arvojavastaavatposteriori todennäköisyydet.YlärivissäH0:n prioritodennäköisyyson 0,1,keskellä 0,5,alhalla 0,9

epidemiologiaakaikille181
0 050 0 010 0 005 0 001 0.10 0,0433 0,0137 0,0079 0,0021 0.20 0,0924 0,0303 0,0177 0,0047 0.30 0,1486 0,0509 0,0299 0,0080 0.40 0,2135 0,0770 0,0458 0,0124 0.50 0,2893 0,1113 0,0672 0,0184 0.60 0,3792 0,1581 0,0975 0,0274 0.70 0,4872 0,2261 0,1439 0,0420 0.80 0,6196 0,3337 0,2236 0,0699 0 90 0,7856 0,5298 0,3932 0,1446
H0 H1 p=0.05 H0 H1 p=0.01 H0 H1 p=0.005 H0 H1 p=0.05 H0 H1 p=0.01 H0 H1 p=0.005 H0 H1 p=0.05 H0 H1 p=0.01 H0 H1 p=0.005

Regressioanalyysi

Regressiomallitovatyleisestikäytettyjämenetelmiäaineistonkuvailuunjaerityyppistenharhojenhallitsemiseen.

Yksinkertaisimmillaanvoidaanajatellahavainnoivaatutkimusta,jossatutkitaanlääkityksenyhteyttämasennukseen.Tiedetäänettämasennukseenvaikuttavatmonetmuutkintekijätlääkityksenlisäksi(“sekoittavattekijät”).Niitävoidaankäyttääregressiomalleissamuuttujinajapyrkiä näinottamaanniidenvaikutushuomioon.Tavoitteenaon määrittääpelkkälääkityksenvaikutus,puhdistettunasekoittavientekijöidenvaikutuksesta.Tällöinpuhutaankorjatuistamalleista(adjustedmodels),jolloinsekoittavattekijät onotettuhuomioon,esim.iänollessakyseessäpuhutaan ikäkorjatustamallista(adjustedforage).

Regressiomalleissaonyleensäyksiselitettäväeliriippuvaelivastemuuttuja(dependentvariable)jayksitaiuseampiaselittäviämuuttuja(independentvariable,covariate)

Regressiomallinvalintariippuumm.selitettävänmuuttujantyypistä(jakumasta).

Vastemuuttuja

Jatkuva,normaalijakautunut

Kaksiluokkainen

Lukumäärä

Järjestysasteikko

Luokitteluasteikko

Eloonjääminen

Eloonjääminen

Regressiomalli

Lineaarinenregressio

Logistinenregressio

Poissonregressio

Suhteellistenvetosuhteidenmalli

Multinomiregressio

Poissonregressio

Coxinregressio

Kuva 79:Sekoittavatekijä Taulukko 26:Regressiomallejaeri tyyppisillevastemuuttujille

Lineaarinenregressiomalli

Lineaarisenregressionalyysinnimesi 1800-luvullaelänyt biologinFrancisGalton,jokahuomasiperinöllisyystieteellisissäanalyyseissaan,joissasovelsitämämenetelmää,että pitkienvanhempienlastenpituudettaantuivat(regressed) kohtipopulaationkeskiarvoa.AlunperinmenetelmänkehittivätmatemaatikotLegendre(1805)jaGauss(1809)tähtitieteellistenhavaintojenanalysoimiseen.

Havainnollistammeregressionalalyysiakuviolla,jossaon x-akselilla

654 koululaisenpituusjay-akselillaheidänspirometriatuloksensa(spirometriamittaakeuhkojentoimintaa).Havaitaan,ettämitäpitempikoululainensensuurempiontulos spirometriassa.

Kuvioonpiirettyviivaonregressioanalyysintulos,se siiskuvaamitenx-jay-muuttujatriippuvattoisistaan.Kuvioonpiirretytlyhyetpystysuoratviivatkuvaavatmuutamienhavaintopisteidenjäännöksiä(residual)eliniidenetäisyyttääregressioviivasta.

Regressiosuoraonsuora,jonkaminimoiyllämainittu-

184jarihaukka
5 10 15 1 2 3 4 5 Ikä (v) FEV (tilavuus L/s)
Kuva 80:Iänjaspirometrimittauksen välinenyhteys,lineaarinenregressiosuora.Kuvioononmerkittyjäännökset pystyviivoin.

jenjäännöstenneliöidensumman.Tämäntarkkaperustelu vaatiihiemanlaajemmanmatemaattisenkäsittelyn,jotaei oleehkätässävaiheessaoletarpeenkäydäläpi.

summary(L3.malli0)

##

##Call:

##lm(formula=fev~age,data=FEV1)

##

##Residuals:

##Min1QMedian3QMax

##-1.57539-0.34567-0.049890.321242.12786 ##

##Coefficients:

##EstimateStd.ErrortvaluePr(>|t|)

##(Intercept)0.4316480.0778955.5414.36e-08 ***

##age0.2220410.00751829.533<2e-16 ***

##---

##Signif.codes:

##0’***’0.001’**’0.01’*’0.05’.’0.1’’1

##Residualstandarderror:0.5675on652degreesoffreedom

##MultipleR-squared:0.5722,AdjustedR-squared:0.5716

##F-statistic:872.2on1and652DF,p-value:<2.2e-16

SuoranvakiotermionnimettyR-kielessäselitteellä“Intercept”,muissatietokoneohjelmissakäytetäänmuitanimiä,esim.Stata-ohjelmassanimion“_cons”.Ikääkuvaavanmuuttujan(“age”)kulmakerroinonsiis 0,22.Tämätarkoittaa,ettämallinperusteellayhdenvuodenlisäysiässä ennustaa 0,22 litranlisäystäFEV1-spirometriaarvossa.

Yhteenvedossa“AdjustedR-squared: 0 5722”tarkoittaa, ettätämäyksinkertainenmallimmeselittää 57%(=100*0,5716) y-muuttujanvaihtelustamitattunavarianssilla.

StdErr onmallinparametrin(elikertoimen)keskivirhe. Koskaregressiomallinkertoimienotosjakaumaonsuunnilleennormaalinen,voidaankeskivirheenavullalaskeakertoimelle 95%luottamusväli.

Taulukossa 27 z ontestisuure,jollatestataanpoikkeaako

Regressiokertoimen 95%luottamusvälin laskeminen:

Estimate ± 1,96 ∗ StdErr,luku 1,96 onstandardinormaalijakauman 97,5% piste.

epidemiologiaakaikille185
##

kertoimenarvonollastaja P onsitävastaavaParvo.Kaksiviimeistäsarakettakertovat 95%luottamusvälin,edellä mainitullakaavallalaskettuna.

Regressiomallissavoiollauseitax-eliselittäviämuuttujia.Voimmekinesittäämonimuuttujaisen(multivariate) regressiomallin,jossaon p muuttujaaja N havaintoa:

Viimeinentermi( i)onjäännös( ),jonkaoletetaanolevanlikimainnormaalistijakautunut(ks.kuvio 80).Loputkinkyseonx-muuttujienja β-kertoimien(paramaterinestimaatien, parameterestimates, coefficients)muodostamasta summasta.

Allalistamuutamistalineaarisenregressioanalyysinoletuksistajasenkäyttöönliittyvistäsuosituksia:

• y-muuttujanpitääollajatkuva

• ottjatuloksetolisivatyleistettäviä,pitäädatanollaedustavaotostutkittavastikohdepopulaatiosta

• x-muuttujatonmitattuilmanvirhettä

• x-muuttujatovattoisistaanriippumattomiaelijotainxmuuttujaaeivoidaesittäätoistenx-muuttujien(lineaarisenkombinaation)avulla.

• havainnotovattoisistaanriippumattomia

• jäännöstenvarianssieivaihtelehavaintojenvälilläeline ovathomoskedastisia

Allaonmalli,jossaiänlisäksitupakointi(“smoke”)on

186jarihaukka Estimate StdErr z P 2.5% 97.5% (Intercept) 0 4316 0 0779 5 5414 0 0 2790 0 5843 age 0 2220 0 0075 29 5328 0 0 2073 0 2368
Taulukko 27:Mallinkertoimetja 95% luottamusväli.
yi = xi1 β1 + xi2 β2 + ... + xip β p = ∑p j=1 xij β j + i,i=1...N
Jäännösterminjakauma: ∼ N(0, σerror )

selittävänäelix-muuttujana.

##idagefevheightsexsmoke

##130191.70857.0femalenon-currentsmoker

##464291.55853.0malenon-currentsmoker

##52251101122.75961.5femalecurrentsmoker

##height.cm

##1144.78

##4134.62

##522156.21

##

##Call:

##lm(formula=fev~age+smoke,data=FEV1,x=TRUE) ##

##Residuals:

##Min1QMedian3QMax

##-1.6653-0.3564-0.05080.34942.0894

##Coefficients:

##EstimateStd.Errortvalue

##(Intercept)0.1583780.1310031.209

##age0.2306050.00818428.176

##smokenon-currentsmoker0.2089950.0807452.588

##Pr(>|t|)

##(Intercept)0.22712

##age<2e-16 ***

##smokenon-currentsmoker0.00986 **

##Signif.codes:

##0’***’0.001’**’0.01’*’0.05’.’0.1’’1 ##

##Residualstandarderror:0.5651on651degreesoffreedom

##MultipleR-squared:0.5766,AdjustedR-squared:0.5753

##F-statistic:443.3on2and651DF,p-value:<2.2e-16

Muuttuja smoke onluokittelumuuttuja(R-kielentermein factor)jasepitäämuuttaanumeeriseenmuotoonregressionalyysiavarten.Tähänkäytetääntekomuuttujatekniikka(dummy tai indicatorvariable).Muodostetaankaksi(te-

epidemiologiaakaikille187
##
##---

ko)muuttujaajotkasaavatvainarvoja 0 tai 1.Tekomuuttuja 1 saaarvon 1,kunhenkilö(esimerkissäkuusihenkilöä) on“non-currentsmoker”jamuulloinarvon 0;Tekomuuttuja 2 taassaaarvon 1,kunhenkilöon“currentsmoker”ja muulloinarvon 0.Tekomuuttujiamuodostetaanyhtämontakuinluokittelumuuttujallaonluokkia.Tässätapauksessasiiskaksi.Seuraavaksivalitaanjokuluokistavertailutasoksi(reference),johonmuitaverrataan.Mallissammevertailutasoksivalittiin“currentsmoker”.

Ylläolevamallitulkitaansiten,että“non-currentsmoker”luokassaonkeskimäärin 0,21 Lsuuremmatspirometriaarvotkuin“currentsmoker”-luokassa.

Yhdysvaikutus

Useinkaksimuuttujaavoivatvaikuttaayhdessäsiten,ettänemuuntelevattoistensavaikutusta(effectmodification). Regressioanalyysissavoimmetutkiatätäilmiötämuuttujienyhdysvaikutuksien(interaction)avulla.

Tarkastelemmeaineistoa,jokaonperäisinlaajastaamerikkalaisestaväestönterveystutkimuksesta.Tarkastellaan glykosoitunuthemoglobiinin(HbA1)(muuttuja gh)painoindeksin(bmi)yhteyttäjaotetaanhuomioonkäyttääkö henkilödiabeteslääkitystävaiei(tx.f)(Kuvio 81).

Allaregressiomalli,jossamuuttujien bmi ja tx.f välinen yhdysvaikutus(bmi:tx.f).

##Call:

##lm(formula=gh~bmi * tx.f,data=nhgh.1)

##Residuals:

188jarihaukka
HenkilöMuuttujanarvoTekomja 1 Tekomja 2 1 non-currentsmoker 10 2 non-currentsmoker 10 3 currentsmoker 01 4 non-currentsmoker 10 5 currentsmoker 01 6 currentsmoker 01
##
##

##Glycohemoglobin[%]

##Min1QMedian3QMax

##-2.4609-0.3155-0.05630.22878.6371

##Coefficients:

##EstimateStd.ErrortvaluePr(>|t|)

##(Intercept)4.9917450.16097931.009<2e-16 ***

##bmi0.0183530.0054623.3600.000839 ***

##tx.fon5.3503710.5814119.202<2e-16 ***

##bmi:tx.fon-0.0967090.016976-5.6972.09e-08 ***

##Signif.codes:

##0’***’0.001’**’0.01’*’0.05’.’0.1’’1

##Residualstandarderror:0.8292on496degreesoffreedom

##MultipleR-squared:0.3723,AdjustedR-squared:0.3685

##F-statistic:98.08on3and496DF,p-value:<2.2e-16

Ensinnäkinkaikkienkertoimienarvotnäyttäväteroavan nollasta,koska Pr(>|t|) onmelkopieni.Voidaantulkita, ettäkaikkimallissaolevattekijätselittävätilmiötäainakin jonkinverran.Mallikokonaisuudessaanselittään. 37% ghmuuttujanvaihtelusta.

x-muuttujan bmi kerroinonpositiivinen,jotenkorkeampiarvoonyhteydessäkorkeampaan gh arvoon(kulmakerroinon 0,02 yhtä bmi yksikköäkohti).Diabeteslääkettä käyttävillä(tx.f)näyttääolevankeskimäärin 3,7 korkeammatarvotglykolysoituneenhemoblobiininarvot(gh).

Kertoimen bmi:tx arvoonnegatiivinen,mikätarkoittaa, ettädiabeteslääkettäkäyttävässäryhmässä bmi-muuttujan kulmakerroinonkin 0.018353-0.096709=-0.078356 eli negatiivinen.

Kuvio 81 havainnollistaaasiaa:toisellaryhmällä(eilääkettä)suoraonnouseva,toisellalaskeva.Tämäosoittaa,ettäpainoindeksillänäyttääolevanolennaisestierilainenyhteysglykosoitunuthemoglobiininarvoondiabeteslääkkeitäkäyttävilläverrattunaniihinjotkaeivätkäytäko.lääkkeitä.

Muuttujienmuunnokset

epidemiologiaakaikille189
##
##---
##

ei on

Sekäx-ettäy-muuttujiinvoidaantehdäerilaisiamuunnoksi,kutenottaalogaritmitaimuodostaax-muuttujista esim.polynomeja.

Kuviossa 82 onsovitettutoisenasteenkäyräjollaselitetään bmi-muuttujaa age-muuttujalla.Itseasiassax-muuttujiin voidaantehdämelkeinmillaisiamuunnoksiatahansa.Ainoarajoituksenaonpystytäänköanalyysintuloksiatulkitsemaan.Taulukossa 29 onmallinyhteenveto.

190jarihaukka 6 9 12 20 30 40 50 60 BMI HbA1 Diabetes
Kuva 81:Painoindeksin(BMI)jasokerihemoblobiinin(HbA1)javälinen yhteys.
20 30 40 50 60 20 40 60 80 Ikä (v) BMI DM lääke ei on
Kuva 82:Painoindeksin(BMI)jaiän välinenyhteys.

tmp.m4 <- lm(bmi ~ age + I(ageˆ2), data= nhgh.1) print(summary(tmp.m4))

##

##Call:

##lm(formula=bmi~age+I(age^2),data=nhgh.1)

##

##Residuals:

##BodyMassIndex[kg/m^2]

##Min1QMedian3QMax

##-14.408-4.720-1.4783.54533.866

##

##Coefficients:

##EstimateStd.ErrortvaluePr(>|t|)

##(Intercept)18.69483201.610014011.612<2e-16 ***

##age0.48739820.07838386.2181.07e-09 ***

##I(age^2)-0.00476260.0008403-5.6682.46e-08 ***

##---

##Signif.codes:

##0’***’0.001’**’0.01’*’0.05’.’0.1’’1

##

##Residualstandarderror:7.035on497degreesoffreedom

##MultipleR-squared:0.07981,AdjustedR-squared:0.07611

##F-statistic:21.55on2and497DF,p-value:1.056e-09

epidemiologiaakaikille191
Taulukko 29:Regressiomalli,jossa toisenasteentermi.

Lineaarisenregressioanalyysitavallisimminkäyttökohteet

KäyttöSelitys

Muuttujien

välisen

yhteyden

tutkiminen

Pyritäänmallittamallaselvittämäänmiten y-muuttujariippuuerix-muuttujien arvoista

EnnusteetPyritäänlaatimaanmahdollisimman hyviny-muuttujaaennustavamalli

Syy-seuraus suhteet Joskuslineaarisellaregressioanalyysille voidaantutkiamyösx-jay-muuttujien välistäkausaalistayhteyttä(X->Y),näin erityisestikliinisenkokeentuloksia analysoitaessa

Regressiomallejakäytetäänlaajasti,kunhalutaanottaa huomioontaustamuuttujienvaikutus.Niilläikäänkuinkorjataantulosta,esim.pyritäänhallitsemaanharhoja.Usein todetaanettämallionkorjattu(adjusted)iänjasukupuolen suhteen,milläyleensätarkoitetaanettäikäjasukupuoli ovatselittävinätekijöinämallissa.

Lineaarinenregressioanalyysionvainyksiosapaljon laajempaaregressionalyysienkokonaisuutta.Seuraavaksi tutustummemuutamaanerityisestilääke-jaterveystieteissäsuosittuunmalliin,nimittäinlogistiseen,Coxin,Poisson, suuhteellistenvetosuhteidenjamultinomiregressiomalleihin

Havaintojenvälinenkorrelaatio

GEEjasekamallit Yhtenäregressiomallinoletuksenamainittin,ettähavainnotovattoisistaanriippumattomia.Varsinuseintämäoletuseiolevoimassa.Havainnotsaattavatollaesim.perheittäisiä,kerättykoululuokittaintaivaikkatutkittavanhenkilöntiedothammaskohtaisesti.Kunsamanyksikönhavainnotovatkorrelloituneista,seonotettavahuomioonmallinnuksessa.Elleikorrelaatiotaotetahuomioon,ovatmallin

192jarihaukka

paramterienestimaattienkeskivirheetjasitämyösluottamusvälitvirheellisiä.

Korreloituneidenhavaintojenanalysoinnissavoidaansoveltaaesim.GEE-malleja(GeneralEsimatingEquation)[152] taiseka-(mixedmodels)elihierarkisiamalleja(hierachialmodels).Emmesyvennynäihinanalyyseihintässäesityksessä.

Logistinenregressiomalli

Logistisessaregressiossamallitammekaksiluokkaiseneli binaarisenmuuttujanodotusarvoa.Mallisiispoikkeaaymuuttujanosaltalineaarisestaregressiomallista,jossaymuuttujaonjatkuva,useinlikimainnormaalistijakautunutmuuttuja.

Ongelmanaonettälineaarinenennuste(linearpredictor) (ηi)voisaadamitätahansaarvojavälillä ∞ ja ∞,mutta y-muuttujaonrajoittunutvälille 0 ja 1.

ηi = xi1 β1 + xi2 β2 + ... + xip β p = ∑p j=1 xij β j

Tähänonratkaisunatehdäy-muuttujaanmuunnosjoka “levittää”senarvotkokotuolle ηi arvoa-alueelle.Logistisessaregressioanalyysissakaksiluokkainenmuuttuja(eli todennäisyys π)muunnetaanlogit-muunnoksella(kuvio 83).

g(πi)= log πi 1 πi = ηi = ∑p j=1 xij β j

Huomataan,ettäkun π arvoon 0,5 logit-muunnettuarvoon 0,lisäksikun π pienenee,logit-arvolähenee ∞,ja kunarvo π suureneelähestytään ∞.

Mallitammelogistisellaregressiollakaksiluokkaisiamuuttujiakutenkuin“terve-sairas”,“elävä-kuollut”;niidentodennäköisyyttä(π),jokaonainavälillä 0 ja 1

Esimerkissämallitammelogistisellaregressiollamuuttujaa tx,jokasaaarvon“0”,joshenkilölläeiolediabeteslääkitystä,jaarvon“1”,joshänelläsellainenon(taulukko 31).

Tuloksienlistausnäyttäväthyvinsamanlaisiltakuinlineaarisenregressioanalyysintulokset.Estimaatteja(β)tulkitaankuitenkineritavoin.Onpidettävämielessä,että βkertoimienarvottoimivatlogit-asteikollaeikäniidenperusteellavoisiissuoraanlaskeay-muuttujanennustear-

epidemiologiaakaikille193

31:Logistinenregressiomalli.

##Call:

##glm(formula=tx~sex+bmi,family=binomial(logit),data=nhgh)

##DevianceResiduals:

##Min1QMedian3QMax

##-2.2172-0.4528-0.3739-0.31012.6313

##Coefficients:

##EstimateStd.ErrorzvaluePr(>|z|)

##(Intercept)-4.8200800.175611-27.45<2e-16 ***

##sexfemale-0.1355950.086937-1.560.119

##bmi0.0862990.00536416.09<2e-16 ***

##Signif.codes:

##0’***’0.001’**’0.01’*’0.05’.’0.1’’1

##(Dispersionparameterforbinomialfamilytakentobe1)

##Nulldeviance:4168.8on6794degreesoffreedom

##Residualdeviance:3909.2on6792degreesoffreedom

##AIC:3915.2

##NumberofFisherScoringiterations:5

194jarihaukka −5.0 −2.5 0.0 2.5 5.0 0.00 0.25 0.50 0.75 1.00 p logit ( p ) = log ( p 1 p )
Kuva 83:Logistinenmuunnos ##
##
##
##---
##
##
##
Taulukko

voja.Toisaalta,kertoimienmerkitkertovattässäkinyhteydensuunnan:miinus-merkkinen β-kerroinviittaasiihen ettäkorkeatx-muuttujanarvotennustavatpienempääymuuttujantodennäköisyyttä,japlus-merkkisettaassuurempaa.Ylläolevastamallistavoimmepäätellä,ettäkorkeat bmi-mmuuttujanarvotennustavatsuurtatodennäköisyyttädiabeteslääkitykselle.Sukupuolitaaseinäytäolevan yhteydessälääkitykseen.

Allaolevassakuviossaonennustemiehille, bmi-muuttujan arvoille.Voidaanhavaitadiabeteslääkkeidenprevalenssinkasvavan 6,5%:sta(BMI=25), 14,1%:iin(BMI=35).Tämä ontietystipelkkäassosiaatio,emmetällaisenprevalenssielipoikkileikkaustutkimuksenperustellavoipäätelläonko korkeaBMIsyydiabeteslääkkeidenkäyttöön.

Useimmitenlogistisenregressiontuloksetesitetäänkuitenkinvaarasuhteina(oddsratio,OR).Tämäkäsiteonkin tuttu 2 × 2-taulujenanalyysista.Koskakäytimmelogitlinkkiä(g(πi)= log πi 1 πi )jahuomaammeettä πi 1 πi onvetosuhde(odds),voimmelaskeavetosuhteenyksinkertaisestikaavalla. Vetosuhteenlaskeminen: OR = exp(

AllavetosuhteetsukupuolenjaBMI:nsuhteen.Huomataan,ettädiabeteslääkityseinäytäolevanriippuvahenkilönsukupuolesta,toisaaltayhdenBMIyksikönlisäyson yhteydessä 1,09 vedonlyöntikertoimeendiabeteslääkityk-

epidemiologiaakaikille195
5 10 15 20 15 20 25 30 35 40 BMI Diabetes lääke (%)
Kuva 84:Logistisenmallinennuste
β) eli eβ

seen.Jostutkittavamuuttujaonharvinainen(prevalenssialle 10%)vetosuhdeonhyväestimaattimyösriskien suhteelle.Esimerkissämmediabeteslääkityksenprevalenssion 9,1%,jotenvoimmetulkitavaarasuhdettariskiensuhteena.PäättelemmesiisettäyhdenBMIyksikönlisäyson yhteydessä 9%suurempaandiabeteslääkityksenriskiin(OR=1,09, 95%LV 1,079-1,102,tarkoittaa 9%suurempaariskiä).

OR ala 95 pro ylä 95 pro sexfemale 0,873 0,736 1,035 bmi 1,090 1,079 1,102

Voimmelogistisellamallillatutkiakaksiluokkaiseny-muuttujan yhteyttätaustamuuttujiin.Useinnämätuloksetesitetään vetosuhteinax-muuttujiensuhteen,jotkavoivatsaadaarvojanollastaylöspäin.ORarvo 1 tarkoittaa,ettäy-jaxmuuttujallaeioleassosiaatiota.Lisäksivetosuhdeonhyvä estimaattiriskisuhteellejosy-muuttujaonharvinainen.

Poissonmallikaksiluokkaisellevastemuuttujalle

Vedonlyöntikerrointensuhde(oddsratio eli OR)onhyvä approksimaatioriskisuhteelle(rateratio,incidencerateratio, riskratio,RR),kuntarkastellaanharvinaistatapahtumaa. Harvinaiseksivoidaanmääritellätapahtuma,jonkaprevalenssionalle 10%.Joskuitenkinkyseessäontätäyleisempi tapahtumatairiskisuhdeonsuuri,approksimaatioeitoimi enäähyvin.Lähemminasiaatarkastellaanesim.Schmidtja Kohlmanninartikkelissa[128].

Kuviosta 85 voidaantodeta,että.

Kaksiluokkaistamuuttujaamallitetaanyleensälogistiselleregressiolla,jostaORlaskeminenonhelppoa.Mikälimallitettavanprevalenssionkuitenkinkorkea,logistisen regressionkäyttöeioleenääperusteltuavaanonpyrittävälaskemaansuoraanRRmuillamenetelmin.Zouesitti suoraviivaisenjatehokkaantavanRRlaskemiseenPoisson regressionavulla[153].

Internetissä[86]onsaatavillaesimerkkijaR-koodimallittamiseen.Onhuomattava,ettäZounmenetelmääonsyytä

196jarihaukka
Taulukko 32:Vetosuhteetja 95%LV

soveltaavainyksilötasonaineistoihin.

CoxinmallieliCoxinsuhteellistenhasardienmalli

Coxinmallilla(engl. Cox’sproportionalhazardsregression) käytetäänyleisestieloonjäämisanalyyseissa.Sillämallitetaankahdentaiuseammanryhmänvälisiähasardifunktioidensuhteita.Hasadifunktioonjatkuvafunktio,joka kuvaatapahtumanhetkellistäintensiteettiäelitapahtumatiheyttäelihasardiaajan t jaselittävienmuuttujien X suhteen.

Hasardia(λ(ti; X)=mallitetaanseuraavasti:

Tässä λ(ti; X) onjatkuvahasardifunktioja λ0(t) perushasardiakuvaavafunktio,jonkaoletetaanolevansamakaikissaryhmissä.

Allaolevassaesimerkissä(taulukko 33)sovelletaanCoxin malliaaiemminesiteltyynkeuhkosyöpätutkimuksenaineistoon.Tälläkertaavasteenaonkaksimuuttujaa time ja status (Surv(time,status)),joistaensimmäinenkertooseurantaajanpituudenjatoinenpäättyyköseurantatapahtumaan vaisensurointiin.

Hasardiensuhde(engl. hazardratio,HR)

lasketaan:HR=eβ

Havaitaan,ettäiällä(age)einäytäolevanyhteyttäkuolleisuuteen(P-arvo=0,06459),kunsensijaasukupuolen(factor(sex))

epidemiologiaakaikille197 2.5 5.0 7.5 10.0 2.5 5.0 7.5 RR OR Prevalenssi 0,01 0,05 0,1 0,2 0,3 0,5
Kuva 85:Riskisuhteen(RR)javetosuhteen(OR)yhteysprevalenssineri arvoilla(eriviivatyypit)
(ti; X)= λ
(t)eβ1 X1+ +βk Xk
λ
0

kohdallayhteyshavaitaan(P-arvo=0,00218).HR(tulosteessa exp(coef))saaarvon 0,598566 (95%LV 0,4311–0,8311). Voimmetulkita,ettänaistenkuolleisuustässäaineistossa onnoin 40%alempikuinmiehillä.

library(survival)

#Coxinsuhteellisenhasardinmalli

tmp.m1.cox <- coxph(Surv(time,status) age + factor(sex), data= lung) summary(tmp.m1.cox)

##Call:

##coxph(formula=Surv(time,status)~age+factor(sex),data=lung)

##

##n=228,numberofevents=165

##

##coefexp(coef)se(coef)zPr(>|z|)

##age0.0170451.0171910.0092231.8480.06459

##factor(sex)2-0.5132190.5985660.167458-3.0650.00218

##

##age.

##factor(sex)2 **

##---

##Signif.codes:

##0’***’0.001’**’0.01’*’0.05’.’0.1’’1

##

##exp(coef)exp(-coef)lower.95upper.95

##age1.01720.98310.99901.0357

##factor(sex)20.59861.67070.43110.8311

##

##Concordance=0.603(se=0.025)

##Likelihoodratiotest=14.12on2df,p=9e-04

##Waldtest=13.47on2df,p=0.001

##Score(logrank)test=13.72on2df,p=0.001

YksiCoxinmallinkeskeisiäoletuksiaon,että,hasardifunktiotovateriryhmissäsamanmuotoiset,suhteeliset(proportional)Taulukossa 34 onesitettyoletuksentestaaminen, jokaosoittiettäneovatvoimassa.KaikkiP-arvotovatmelkokorkeita,mikätarkoittaaettäoletustasuhteellisistäriskeistävoidaanpitäätotena.

198jarihaukka
Taulukko 33:Coxinmallintulos.

#Coxinmallinsuhteellisuusoletuksentestaaminen cox.zph(tmp.m1.cox)

##chisqdfp

##age0.20910.65

##factor(sex)2.60810.11

##GLOBAL2.77120.25

Poissonregressio

Elossaoloelitapahtuma-aineistoavoidaanCoxinmallinlisäksimallittaahiemanjoustavamminPoissonregressiolla. Muodostetaanedelläkäytetystäaineistostatapahtumataulu(lifetable),jossakuvataantapahtumien(tässäkuolemien)lukumäärä,kertyneetseurantavuodetjakuolleisuus 95%luottamusväleineen.

MallitetaantapahtumienlukumäärääPoissonregressiolla,jossalinkkifunktionaonlogaritmi.Henkilövuodeteli kertynytseuranta-aikaotetaanhuomioon(offset-funktio) jamallituksessakäytetäänhyväksisitä,ettänäinmallitettunauskottavuusfuntioonsamaamuotokuinPoissonjakaumanuskottavuusfuntio.Tarkempimatemaattinenperustelulöytyyesim.Carstenseninraportista[52]

Insidenssiensuhde(rateratio, incidencerateratio, IRR)lasketaan:

IRR=eβ

tmp.m1.poi <- glm(ifelse(status == 2, 1, 0) ~ factor(sex) + offset(log(time)),

epidemiologiaakaikille199
exp(coef) exp(-coef) lower.95 upper.95 age 1.017 0.983 0.999 1.036 factor(sex)2 0.599 1.671 0.431 0.831
Taulukko 34:Coxinmallinsuhteellisuusoletuksentestaaminen. Taulukko 35:Hasardiensuhde(HR, exp(coef))ja 95%luottamusväliCoxin mallista.
sex pyears event rate low high 1 107 01 112 1 05 0 86 1 26 2 83 52 53 0 63 0 48 0 83
Taulukko 36:Tapahtumataulukeuhkosyöpäaineistostasukupuolensuhteen.
(yi)= log(person-time)+
+ β1x1 + ··· + βk xk, i = 1 ··· N
log
β0

data= lung, family= poisson)

summary(tmp.m1.poi)

##

##Call:

##glm(formula=ifelse(status==2,1,0)~factor(sex)+offset(log(time)),

##family=poisson,data=lung)

##

##DevianceResiduals:

##Min1QMedian3QMax

##-2.4201-0.86270.18810.76822.7403

##

##Coefficients:

##EstimateStd.ErrorzvaluePr(>|z|)

##(Intercept)-5.855020.09449-61.965<2e-16 ***

##factor(sex)2-0.500400.16672-3.0010.00269 **

##---

##Signif.codes:

##0’***’0.001’**’0.01’*’0.05’.’0.1’’1

##

##(Dispersionparameterforpoissonfamilytakentobe1)

##

##Nulldeviance:246.22on227degreesoffreedom

##Residualdeviance:236.74on226degreesoffreedom

##AIC:570.74

##

##NumberofFisherScoringiterations:5

#LasketaanIRRjaluottamusvälit

ci.exp(tmp.m1.poi, subset= -1)

##exp(Est.)2.5%97.5%

##factor(sex)20.60628880.43729020.8406

EsimerkkiNHANESaineistosta

AiemmintarkastelimmealustavastikuolleisuudenjaasunnonhallintamuodonvälistäyhteyttäNHANES[22]aineistosta,jolloinhavaittiinhuomattaviaeroja.

MallitetaanaineistoanytuudestaanPoissonregressiolla jalisätäänmuutamiaselittäviämuuttujia.

200jarihaukka

Malli1:as.numeric(inddea)~tenure+offset(log(follow/365.25))

Malli2:as.numeric(inddea)~tenure+age+offset(log(follow/365.25))

Malli 1 sisältäävainasunnonhallintamuodonselittävänätekijänä,malliin 2 lisättyikä.Iänlisääminenlisääminen malliinonperusteltua,koskasenvoidaanolettaavaikuttavansekäkuolleisuuteen,ettäasunnonhallintamuotoon. Ikäonsiissekoittavamuuttuja.

Taulukko 37:Hasardiensuhteenestimaatitja 95%LVkahdestamallista. Malli 1 vainyksimuuttuja,Malli 2 ikä korjattu.Vertailutasona’Owned’

Havaitaan(taulukko 37),ettätaustamuuttujienlisääminenmalliinolikääntänyt Rented vaikutuksenpäinvastaiseksi.Mallissajossamukanaolivainasunnonhallintamuoto Rented oliassosioitunutalempaankuolemanvaaraan (0,625, 0,525 – 0,725),muttakunmalliinolilisättyikätaustamuuttujanaassosiaatiokääntyipäinvastaiseksi, Rented hallintamuodossaasuvillaonkinkorkeampikuolleisuus(1,295; 1,171 – 1,432).

CoxinmallinjaPoissonregressionvertailu

PoissonregressiojaCoxinmalliantavathyvinsamankaltaisiatuloksia.Poissonregressiossavoidaankuitenkin ottaahuomioonuseitaaikadimensioitayhtäaikaa,kuten ikä,seuranta-aika,kalenteriaika,jne.Coxinmallissavain yksiaikadimensionmahdollinen.

Ylläolevastatulosteesta(38)voimmetodetaettäCoxin mallintuottamaHRestimaatti(0.5880028)jaPoissonregressionIRRestimaatti(0.6062888)ovathyvinlähellätoisiaan.

Poissonregressionadditiivinenmalli

EdellläolevissaPoissonmalleissakäytimmelogaritmistalinkkifunktio,mikätarkoittaaettätarkastelemmeinsidessinesuhdetta,koskalogaritmienerotusonsamakuin lukujensuhde.Mallinimieteäänmultiplikatiiviseksii(multiplicative).

epidemiologiaakaikille201
Malli Var HR ala yla Malli 1 tenureRented 0,62 0,57 0,69 tenureRentedfornoncash 1,33 1,04 1,71 tenureUnknown 0,27 0,16 0,45 Malli 2 tenureRented 1,29 1,17 1,43 tenureRentedfornoncash 1,38 1,08 1,77 tenureUnknown 0,94 0,57 1,56

#Coxinmalli tmp.m0.cox <- coxph(Surv(time,status) ~ factor(sex), data= lung) summary(tmp.m0.cox)$conf.int

##exp(coef)exp(-coef)lower.95upper.95

##factor(sex)20.58800281.7006720.42371780.8159848

#Poissonregressio ci.exp(tmp.m1.poi, subset= -1)

##exp(Est.)2.5%97.5%

##factor(sex)20.60628880.43729020.8406

Useinonkuiteninjärkeväätarkastellaanmyösinsidenssienerotus erotusta (absoluteriskdifference)niidensuhteen sijasta.Kutsummemalliadditiiviseksi(additive),jasaamme senkunkäytämmeidenttistälinkkifunktiota[49].

Allamallitammekeuhkosyöpäkuolleisuutta(yhtähenkilövuottakohti)additiivisellePoissonmallilla.Toteammenaistenkuolleisuudenolevannoin 0,41 pienempikuin miesten.Naistenabsoluuttinenriskikuollavuodenaikan onsiis 0,41 pienempikuinmiesten.

##EstimateStdErrzP

##factor(sex)2-0.41206410.1318243-3.1258580.001772873

##2.5%97.5%

##factor(sex)2-0.670435-0.1536931

Suhteellistenvetosuhteidenlogistinenregressio

Suhteellistenvetosuhteidenlogistinenregressiota(proportionaloddslogisticregression)voidaankäyttää,kunvastemuuttujanonjärjestysasteikollinenmuuttuja.

Oletetaan,että Yi, j = 1, ··· , J 1onjärjestysasteikollinenmuuttuja.Kahdenperäkkäisentasonvälinenvetosuhdeon:

202jarihaukka
Taulukko 38:CoxinmallinjaPoisson regressionvertailu.
(yi/person-time)= β0 + β1x1 + ··· + βk xk, i = 1 ··· N

P(Y ≤ j)

P(Y > j)

Määritetäänlog-vetosuhde:

log( P(Y ≤ j)

P(Y > j) )= logit(P(Y ≤ j))

Mallitetaanvetosuhdettaseuraavasti:

logit(P(Y ≤ j))= β j0 η1x1 ηp xp

Mallin β j0 kertoimetovatvakioita,jotkailmaisevatluokkienvälisenrajan, ηj taastaasovatlog-vetosuhteidenkertoimia,joistavoidaanlaskeavetosuhteet eηj

Esimerkkijärjestysasteikollisenvasteenmallittamisesta

Käytetäänesimerkkinäaineistoa(39),jossavastemuuttujanaonkolmiluokkainenasunnonmiellyttävyys Sat (Low, Medium,High),jaselittäjinä Infl (asukkaanvaikutuskiinteistönhoitoon,Low,Medium,High), Type (asunnontyyppi,Tower,Apartment,Atrium,Terrace)ja Cont (asukkaisen välinenvuorovaikutus,Low,High),

Suhteellistenvetosuhteidenlogistinen regressionvetokertoimetvoidaantulkitasamoinkuinlogistisenregression vetokertoimet.

epidemiologiaakaikille203

204jarihaukka

##SatInflTypeContFreq

##1LowLowTowerLow21

##2MediumLowTowerLow21

##3HighLowTowerLow28

##SatInflTypeCont

##Low:24Low:24Tower:18Low:36

##Medium:24Medium:24Apartment:18High:36

##High:24High:24Atrium:18

##Terrace:18

##Freq

##Min.:3.00

##1stQu.:10.00

##Median:19.50

##Mean:23.35

##3rdQu.:31.75

##Max.:86.00

##Call:

##polr(formula=Sat~Infl+Type+Cont,data=housing,weights=Freq)

##Coefficients:

##ContHigh0.3600.09553.77

##Intercepts:

##ValueStd.Errortvalue

##Low|Medium-0.4960.125-3.974

##Medium|High0.6910.1255.505

##ResidualDeviance:3479.149

##AIC:3495.149

## ##
Taulukko 39:Asumisviihtyvyysaineisto.
##
##ValueStd.Errortvalue ##InflMedium0.5660.10475.41 ##InflHigh1.2890.127210.14 ##TypeApartment-0.5720.1192-4.80 ##TypeAtrium-0.3660.1552-2.36 ##TypeTerrace-1.0910.1515-7.20
##
##
Taulukko 40:Asumisviihtyvyyden mallitus.

Taulukosta 40 todetaan η-(Coefficients)ja β-kertoimet Intercepts.Vertailutasonaonalintaso,jonkakerroinon siisnollajajokapuuttuutaulukosta.

Taulukosta 41 voidaantodeta,ettämitäenemmänasumiseenvoivaikuttaasitäparempionasumistyytyväisyys (muuttuja Infl).Samoinyhteydenpitomuihinasukkaisiin oliyhteydessäparempaaasumisviihtyvyyteen(Cont vetosuhde 1,43; 1,19 – 1,73).

Multinominenlogistinenregressio

Määritetäänmalliluokitteluasteikollisellemuuttujalle Y malli:

Esimerkkimultinomisestalogistisestaregressiomallista

Käytetäänesimerkkinäaineistoa(42),jossavastemuuttujanaonkolmiluokkainenkoulutustyyppi prog2 (academic, general,vocation),jaselittäjinä ses (sosio-ekonominenasema,low,middle,high)ja write (kirjoituskokeenpistemäärä).

Taulukossa 43 onmultinomisenregressiomallintulokset, jossaluokkia(general ja vocational)verrataanvertailutasoon academic

epidemiologiaakaikille205
OR 2 5 % 97 5 % InflMedium 1 762 1 436 2 164 InflHigh 3 628 2 832 4 663 TypeApartment 0 564 0 446 0 712 TypeAtrium 0.693 0.511 0.940 TypeTerrace 0.336 0.249 0.451 ContHigh 1.434 1.189 1.730
Taulukko 41:Vetosuhteetja 95%luottamusvälitasumisviihtyvyydenmallista
P(Yi = k)= eβk Xi 1 + ∑K 1 j=1 eβk Xi , βK = 0

##prog2seswrite

##academic:105low:47Min.:31.00

##general:45middle:951stQu.:45.75

##vocation:50high:58Median:54.00

##Mean:52.77

##3rdQu.:60.00

##Max.:67.00

###weights:15(8variable)

##initialvalue219.722458

##iter10value179.982880

##finalvalue179.981726

##converged

##Call:

##multinom(formula=prog2~ses+write,data=ml)

##

##Coefficients:

##(Intercept)sesmiddleseshighwrite

##general2.852198-0.5332810-1.1628226-0.0579287

##vocation5.2182600.2913859-0.9826649-0.1136037

##

##Std.Errors:

##(Intercept)sesmiddleseshighwrite

##general1.1664410.44373230.51421960.02141097

##vocation1.1635520.47637390.59556650.02221996

##

##ResidualDeviance:359.9635

##AIC:375.9635

206jarihaukka
Taulukko 42:Multinomisenlogistisen regressioesimerkinaineistokolulutuksesta. Taulukko 43:Asumisviihtyvyysaineisto.

Vetosuhteet(taulukko 44)osoittavat,ettäkeski(sesmiddle)jakorkein(seshigh)sosio-ekonominenasemaovatyhteydessäpienempääntodennäköisyyteengeneralkoulutukseen;korkeampikirjoitustestin(write)pistemääräennustaasamoinpienempäätodennäköisyyttägeneralkoulutukseen.Edellämainitutverrattunaakateemiseenkoulutukseen.

epidemiologiaakaikille207 sesmiddle seshigh write general 0 587 (0 246-1 400) 0 313 (0 114-0 856) 0 944 (0 905-0 984) vocation 1 338 (0 526-3 404) 0 374 (0 116-1 203) 0 893 (0 855-0 932)
Taulukko 44:Vetosuhteetja 95%luottamusvälitmultinomiregressiomallista

Suunnatutsyklittömätverkot(DAG)epidemiologiassa Altisteiden,taustamuuttujienjapäätetapahtumienvälisiä yhteyksiäonhavainnollistaesittääkuvioideneligraafien avulla[31].Kuvassa 86 onesimerkkejäepidemiologisten oletustenesittämisestäkuvioin.OsakuvioissaAjaBesitetäänvaihtoehtoisetoletuksetmasennuksenjaaivohalvauksenyhteydestä.OsakuviossaCesitetään,ettämasennuksellajaaivohalvauksellaonyhteisiäsyytekijöitä,muttane eivätoletoistensakanssasyy-seuraussuhteessa.OsakuviossaDoletus,ettäahdistuneisuusolisiyhteydessäsekämasennusdiagnoosiin,ettäaivohalvaukseen.LisäksiosakuviossaDonesitetteyeksplisiittisestiettämasennusilmiönäja masennusdiagnoosisenmittarinaovaterillisiä.DAG:ia kutsutaanmyöskausaalidiagrammiksi(causaldiagram). A B C D

Ylläesitetytkuviotovatsuunnattujasyklittömiäverkko-

Kuva 86:DAG

jaeliDAG:eja(directedacyclicalgraph,DAG)ongraafijokamuodostuusolmuista(pisteistä)(links,nodes)sekäniitäyhdistävistäviivoista(edges,links)[125].Esitämmesiis nuolien(directed)jasolmujenavullakäsityksemmetekijöiden(muuttujien)välisistäsyy-seuraussuhteistasiten,että kuviooneimuodostuyhtäänsilmukkaa(acyclical).DAG:it liittyvätsiissuoraanepidemiologiankeskeisimpääongelmaanelivoimmekotehdäpäätelmiäsyy-seuraussuhteista havainnoivantutkimuksenperusteella[79,Westreichand Greenland[149]]

DAGliittymät

HuomaammeettäDAG:issavoiollakolmenlaisialiittymiä [145]:

1 A → B ← C käänteinenhaarukka(engl. collider)

2 A ← B → C haarukka

3. A → B → C ketju

DAGjasekoittavattekijät

VoimmeesittääDAG:inavullahavainnollisestierilaisiaolettamuksiaassosiaatioistajakausaalisuhteista.Neovatmyös hyödyllisiäpyrittäessämäärittämäänmitäsekoittaviatekijöitä(engl. confounders)onotettavahuomioontilastollisissa malleissa.

d-separoituvuus

Määritelmä 1 (d-separoituvuus,CausalityDef. 1.2.3).Suuntaamatonpolkupsuunnatussagraafissaonsolmujoukon Zd-separoimatäsmälleensilloin,kunmolemmatseuraavistaehdoistatoteutuvat

1. Jospsisältääketjun A → B → C taihaarukan A ← B → C niinBkuuluusolmujoukkoonZ.

2. Jospsisältääyhdentaiuseammankäänteisenhaarukan (collider) A → B ← C,niinainakinyhdenhaarukan

210jarihaukka

solmuBeikuulujoukkoonZ,eikämikäänsolmunm jälkeläinenkuulujoukkoonZ.

ErillisetmuuttujajoukotXjaYovatsolmujoukonZdseparoimia,josjavainjosZd-separoikaikkisuuntaamattomatpolutmuuttujajoukkojenXjaYvälillä.

d-separoituvuustarkoittaa,ettäsitenerotellutmuuttujat ovattoisistaantilastollisestiriippumattomia.

Tarkastellaankuvasta 87 mitkämuuttujatolisivatriittäviäselittäviämuuttujia,jottamasennuksenjaaivohalvauksenkausaaliyhteyttävoitaisiintutkia.

DAGA:ssariittäviämuuttujajoukkojaharhanhallitsemiseenolisivatesim.{Koulutus;Liikunta}tai{Tulot;Verenpaine}. Molemmatmuuttujaryhmät“tukkivattakaoven”(back-door) masennuksenjaaivohalvauksenväliltä,jasiistuottavatoikeankausaaliyhteyden.

Joukkomuuttujia:{X;Y;Z}

Kuva 87:DAGjasekoittavattekijät. Kiinnostuksenkohdemerkittykatkoviivalla DAGB:ssariittäviämuuttujiaolisivat{Koulutus;Perimä}. Elleiperimääolemitatturiittävänhyvin,ontodettavaettä masennuksenjaaivohalvauksenvälistäkausaaliyhteyttäei voidatutkialuotettavasti.

TässätapauksessaonmahdollistaturvautuainstrumenttimuuttujaZ:aan(instrumentalvariable, IV).JottaZvoisitoimiaIV:natutkittasessayhteyttä X → Y seuraavienehtojen pitäätäyttyä:

1. ZonassosioitunutX:nkanssa,muttaeiaiheuduX:stä

2 ZvaikuttaaX:äänvainY:nkautta

epidemiologiaakaikille211

3. MikäänsamamuuttujaeivaikutasekäZ:aanettäY:hyn

DAGB:ssasiisZvoisitoimiainstrumenttimuuttujana.

DAG:issaCvoimmetodetaettäZvoitoimiainstrumenttimuuttujanavainjosotetaanhuomioonsyntymäpaikka, koskasevaikuttaasekäZ:aanettäaivohalvaukseen.

Epidemiologiassavoimmesiisidentifioidakausaaliyhteyksiä(X → Y)erimenetelmillämm.:

• SuljetaankaikkitakaovetX:njaY:nväliltä

• Hyödynnetäänsopivaainstrumenttimuuttujaa

Voimmeollakiinnostuneitasekämuuttujiensuoristaettävälillisistävaikuksista.Allaolevassakuviossa 88 A:ssa, voidaankontrolloidalääkkeenkäyttöäjanäintutkiamasennuksenpuhdastavaikutustaaivohalvaukseen.

DAG 88 B:ssäotetaanhuomioonpelkästäänlääkkeen käyttövaikutustulosonvirheellinen,koskatällöinavataan takaovi(HUOM!lääkkeenkäyttöonkäänteinenhaarukka, collider).Lääkkeenkäyttöonkäänteinenhaarukkajokasulkeetakaoven,muttajosseotetaanesim.regressiomalliin, takaovionavattujavoidaanluodaharha.

DAGkäytännössä

DAG:iensoveltamiseenonlukuisiavapaastikäytössäoleviasovelluksia.

Sovellusdagitty(http://dagitty.net/)tarjoaavuorovaikutteisenkäyttöliittymän,jollavoinopeastiluodaDAG:in jaanalysoidasitä[138,Textoretal.[139]].

R-ohjelmassaesim.paketti dagitty sopiiDAG:inanalysoimiseen[138].

library(dagitty)

g1 <- dagitty("dag{

Ika->Glaukooma

Ika->DM

DM->Glaukooma

Statiinit->Glaukooma

Statiinit->DM

212jarihaukka

DM->SSRI SSRI->Glaukooma Beeta.salpaaja->Glaukooma Kalsium.estaja->Glaukooma }")

Joshalutaanestimoidakuvion 89 mukaanmuuttujan DM suoraavaikutustamuuttujaan Glaukooma,niinmalliinon otettavavähintäänmuuttujat{Ika;SSRI;Statiinit}

epidemiologiaakaikille213
Kuva 88:DAGjasekoittavattekijät. Kuva 89:Glaukoomanilmaantuvuuteen vaikuttaviatekijöitä.

Kuva 90:Ruutukaappausdagitty.netsovelluksenavullalaaditustakausaalidiagrammista (http://dagitty.net/myCABKl)

214jarihaukka

Kuviossa 90 onkeskelläDAGjaoikessareunassasiitä johdettujatietojakausaalivaikuksista.Osiossa Causaleffect identification listataan,mitkämuuttujayhdistelmätovat riittävättaustatekijöinä,kunhalutaanarvioidadiabeteksen (DM)vaikutustaglaukoomaan. Testableimplications listaaehdollisetriippumattomuudet. Modelcode sisältääRohjelmankoodiakuviontuottamiseen.Sovellusonhyödyllinenvalittaessamitämallejasovelletaanepidemiologisen tutkimuksenanalyyseissa.

epidemiologiaakaikille215

Kirjallisuutta

[1] FINLEX®-Säädöksetalkuperäisinä:Lakisosiaali-jaterveystietojentoissijaisesta... 552/2019 https://www.finlex.fi/fi/laki/ alkup/2019/20190552.Publisher: Oikeusministeriö.

[2] Keskeinenraja-arvolause, theGlossary. https: //fi.unionpedia.org/Keskeinen raja-arvolause

[3] Lääketieteensanasto. https: //www.terveyskirjasto.fi/ sisalto/laaketieteen-sanasto.

[4] PowerandSampleSize|Free OnlineCalculators. http:// powerandsamplesize.com/

[5] Rekisteriselosteet-THL. http: //thl.fi/fi/tilastot-ja-data/ aineistot-ja-palvelut/ rekisteriselosteet

[6] Tilastokeskus-Tilastotaiheittain -Kuolemansyyt. https://stat. fi/tilasto/ksyyt.

[9] (2008).Epidemiologiansanasto:Englanti-Suomi|. https://www.finepi.fi/ epidemiologian-sanasto-englanti-suomi

[10] (2010).STROBEStatement:Home. http: //www.strobe-statement.org/.

[11] (2013a).PublicUseMicrodataSample(PUMS)FileRelease 4 Documentation. https://urly. fi/24ud

[12] (2013b).WHO|InternationalClassificationofDiseasesfor Oncology, 3rdEdition(ICD-O3). https://apps.who.int/iris/ bitstream/handle/10665/96612/ 9789241548496 eng.pdf

[13] (2018a).FinnishCancer Registry 2014 Finland. http://stats.cancerregistry. fi/stats/fin/vfin0005i0.html.

[14] (2018b).OperationMarketGarden.PageVersionID: 863957187.

[15] (2020).OECDHealthStatistics 2020 -OECD. https://www. oecd.org/els/health-systems/ health-data.htm

[16] (2021).Clinicaltrial. https://en.wikipedia.org/w/ index.php?title=Clinical trial&oldid=1024795273.Page VersionID: 1024795273

[17] (2022a).DataDictionary-StandardPopulations-SEERDatasets. https://seer.cancer.gov/ stdpopulations/stdpopdic.html.

[vir] Virusesthatcanleadtocancer |AmericanCancerSociety. http://www.cancer.org/cancer/ cancercauses/othercarcinogens/ infectiousagents/ infectiousagentsandcancer/ infectious-agents-and-cancer-viruses.

[8] (1753).JamesLind:"ATreatiseoftheScurvy", 1753 http: //www.bruzelius.info/Nautica/ Medicine/Lind(1753).html

[18] (2022b).Findata. https:// findata.fi/

[19] (2022c).keripukki. https: //www.terveyskirjasto.fi/ ltt01549

[20] Ahrens,W.andPigeot,I.,editors(2014). HandbookofEpidemiology.SpringerNewYork,NewYork, NY.

218jarihaukka

[21] Anonym(2012).Biopankkilaki 688/2012 https: //www.finlex.fi/fi/laki/ ajantasa/2012/20120688.Publisher:Oikeusministeriö,Edita PublishingOy.

[22] Anonym(2015).NhanesGh< Main<VanderbiltBiostatisticsWiki. https://biostat.app.vumc. org/wiki/Main/NhanesGh

[23] Anonym(2016).RonaldFisher. https://en.wikipedia.org/w/ index.php?title=Ronald Fisher& oldid=713690560.PageVersion ID: 713690560.

[24] Anonym(2020).OECDHealth Statistics 2020 -OECD.

[25] Anonym(2022a).AppendixC: Methodologychecklist:randomisedcontrolledtrials|Toolsandresources|Theguidelinesmanual |Guidance|NICE.Publisher: NICE.

[26] Anonym(2022b).AppendixD: Methodologychecklist:cohortstudies|Toolsandresources|The guidelinesmanual|Guidance| NICE.Publisher:NICE.

[27] Anonym(2022c).Appendix E:Methodologychecklist:case–controlstudies|Toolsand resources|Theguidelinesmanual |Guidance|NICE.Publisher: NICE.

[28] Anonym(2022d).Avoin data-THL. https://thl. fi/fi/tilastot-ja-data/ aineistot-ja-palvelut/ avoin-data.

[29] Anonym(2022e).Biobanks&HealthDataRegistersInformationHub. https: //www.eithealth-scandinavia. eu/biobanksregisters/

[30] Anonym(2022f).Biopankki| Biopankitedistävätväestönterveydentutkimusta. https://www. biopankki.fi/

[31] Anonym(2022g).CausalDiagrams. https://causaldiagrams. org/

[32] Anonym(2022h).Datacollections-WHO. https://www.who. int/data/collections

[33] Anonym(2022i).Database-Health-Eurostat. https://ec.europa.eu/eurostat/ web/health/data/database

[34] anonym(2022).How DidScurvyHelptheSicilianMafia?|DavidsonInstituteofScienceEducation. http://davidson.weizmann.ac. il/en/online/sciencepanorama/ how-did-scurvy-help-sicilian-mafia

[35] Anonym(2022a).KuolleetmuuttujinaTilastonperuskuolemansyy(ICD-10, 3merkkitaso),Ikä,Vuosi,SukupuolijaTiedot. https: //pxdata.stat.fi/PxWeb/pxweb/ fi/StatFin/StatFin ksyyt/ statfin ksyyt pxt 11be.px/.

[36] Anonym(2022b).Tilastokeskuksenmaksuttomattilastotietokannat. https://pxdata.stat.fi/ PxWeb/pxweb/fi/StatFin/.

[37] Anonym(2022c).UKHealth DataResearchAlliance. https: //ukhealthdata.org/

[38] Anonym(2023).Home-ClinicalTrials.gov. https://clinicaltrials.gov/

[39] Anonymous(2017).SimeonDenisPoisson. https: //en.wikipedia.org/wiki/Sim% C3%A9on Denis Poisson.Page VersionID: 16558852

[40] Anonymous(2018).JohnSnow. https://en.wikipedia.org/w/ index.php?title=John Snow& oldid=855448058.PageVersion ID: 855448058

[41] Anonymous(2022).Consort-Welcometothe CONSORTWebsite. http: //www.consort-statement.org/

[42] Arjas,E.andSirén,J.(2009).Johdatustilastolliseenpäättelyynkevät 2009 https://wiki.helsinki. fi/download/attachments/ 31430330/JohdTilPaat2009.pdf

[43] Arrighi,H.M.andHertzPicciotto,I.(1994).Theevolving conceptofthehealthyworkersurvivoreffect. Epidemiology(Cambridge,Mass.), 5(2):189–196.

[44] Austin,P.C.,Lee,D.S.,andFine,J.P.(2016).Introductionto theAnalysisofSurvivalDatain thePresenceofCompetingRisks. Circulation, 133(6).

[45] Bagnardi,V.,Rota,M.,Botteri, E.,Tramacere,I.,Islami,F.,Fedirko,V.,Scotti,L.,Jenab,M.,Turati,F.,Pasquali,E.,Pelucchi,C., Galeone,C.,Bellocco,R.,Negri, E.,Corrao,G.,Boffetta,P.,and LaVecchia,C.(2015).Alcoholconsumptionandsite-specific cancerrisk:acomprehensivedose–responsemeta-analysis. BrJ Cancer, 112(3):580–593

[46] Beck,A.T.,Ward,C.H.,Mendelson,M.,Mock,J.,andErbaugh, J.(1961).Aninventoryformeasuringdepression. 4(6):561–571.

[47] Bor,J.,Moscoe,E.,Mutevedzi,P., Newell,M.-L.,andBärnighausen, T.(2014).RegressionDiscontinuityDesignsinEpidemiology. Epidemiology(Cambridge,Mass.), 25(5):729–737

[48] Borodulin,K.,Saarikoski,L., Lund,L.,Juolevi,A.,Grönholm, M.,Helldán,A.,Peltonen,M.,Laatikainen,T.,andVartiainen,E. (2012).KansallinenFINRISKI 2012 -terveystutkimus.page 131.

[49] Boshuizen,H.C.andFeskens, E.J.(2010).FittingadditivePoissonmodels. EpidemiologicPerspectives&Innovations:EP+I, 7:4

[50] Breslow,N.E.andDay,N.E. (1980). Statisticalmethodsincancer research.I—Theanalysisofcasecontrolstudies.IARCScientific Publications.InternationalAgency forResearchonCancer,Lyon.

[51] Carpenter,C.andDobkin,C. (2009).TheEffectofAlcoholConsumptiononMortality:Regression DiscontinuityEvidencefromthe MinimumDrinkingAge. applied economics,page 21

[52] Carstensen,B.(2019).Who needstheCoxmodelanyway?

[53] Celli,J.P.,Turner,B.S.,Afdhal,N.H.,Keates,S.,Ghiran,I., Kelly,C.P.,Ewoldt,R.H.,McKinley,G.H.,So,P.,Erramilli,S., andBansil,R.(2009).Helicobacterpylorimovesthroughmucus byreducingmucinviscoelasticity. PNAS, 106(34):14321–14326

[54] Chen,L.,DaveySmith,G.,Harbord,R.M.,andLewis,S.J.(2008). AlcoholIntakeandBloodPressure:ASystematicReviewImplementingaMendelianRandomizationApproach. PLoSMedicine, 5(3):e52.

[55] Clancy,L.,Goodman,P.,Sinclair, H.,andDockery,D.W.(2002). Effectofair-pollutioncontrolon deathratesinDublin,Ireland:an interventionstudy. TheLancet, 360(9341):1210–1214

epidemiologiaakaikille219

[56] Clayton,D.andHills,M.(1993). Statisticalmodelsinepidemiology OxfordUniv.Press,Oxford,UK.

[57] Collishaw,N.(2009).Historyof tobaccocontrolinCanada. Ottawa: PhysiciansforaSmoke-FreeOntario.

[58] Craig,P.,Cooper,C.,Gunnell, D.,Haw,S.,Lawson,K.,Macintyre,S.,Ogilvie,D.,Petticrew,M., Reeves,B.,Sutton,M.,andThompson,S.(2012).Usingnaturalexperimentstoevaluatepopulation healthinterventions:newMedical ResearchCouncilguidance. JournalofEpidemiologyandCommunity Health, 66(12):1182–1186

[59] Davies,N.M.,Holmes,M.V., andSmith,G.D.(2018).Reading Mendelianrandomisationstudies: aguide,glossary,andchecklistfor clinicians. BMJ, 362:k601.Publisher:BritishMedicalJournalPublishingGroupSection:ResearchMethods&amp;Reporting.

[60] Deeks,J.,Dinnes,J.,D’Amico, R.,Sowden,A.,Sakarovitch,C., Song,F.,Petticrew,M.,andAltman,D.(2003).Evaluatingnonrandomisedinterventionstudies. HealthTechnologyAssessment, 7(27).

[61] Delcoigne,B.,Støer,N.C.,and Reilly,M.(2018).Validandefficientsubgroupanalysesusing nestedcase-controldata. InternationalJournalofEpidemiology, 47(3):841–849

[62] Delgado-Rodríguez,M.and Llorca,J.(2004).Bias. Journalof Epidemiology&CommunityHealth, 58(8):635–641

[63] Ding,M.,Bhupathiraju,S.N., Chen,M.,Dam,R.M.v.,and Hu,F.B.(2014).Caffeinatedand DecaffeinatedCoffeeConsumptionandRiskofType 2 Diabetes:

ASystematicReviewandaDoseResponseMeta-analysis. DiaCare, 37(2):569–586

[64] Doll,R.andHill,A.B.(1954). TheMortalityofDoctorsinRelationtoTheirSmokingHabits. Br MedJ, 1(4877):1451–1455

[65] Doll,R.andHill,A.B.(1956). LungCancerandOtherCausesof DeathinRelationtoSmoking. Br MedJ, 2(5001):1071–1081.

[66] Duodecim,K.O.(2018).Voinninjakehityksenseuranta. http://www.terveyskirjasto. fi/terveyskirjasto/tk.koti?p artikkeli=skl00004.

[67] Ebrahim,S.andClarke,M. (2007).STROBE:newstandards forreportingobservationalepidemiology,achancetoimprove. InternationalJournalofEpidemiology, 36(5):946–948.

[68] Egger,M.,Zellweger-Zähner,T., Schneider,M.,Junker,C.,Lengeler,C.,andAntes,G.(1997).LanguagebiasinrandomisedcontrolledtrialspublishedinEnglishand German. TheLancet, 350(9074):326–329.

[69] Ellenberg,J.(2014). HowNotto BeWrong:ThePowerofMathematicalThinking.PenguinBooks.

[70] Fedirko,V.,Tramacere,I.,Bagnardi,V.,Rota,M.,Scotti,L.,Islami,F.,Negri,E.,Straif,K.,Romieu,I.,LaVecchia,C.,Boffetta,P., andJenab,M.(2011).Alcoholdrinkingandcolorectalcancerrisk:an overallanddose-responsemetaanalysisofpublishedstudies. AnnalsofOncology, 22(9):1958–1972

[71] Flanders,W.D.andGarber, M.D.(2019).IstheSmogLifting?:CausalInferenceinEnvironmentalEpidemiology. Epidemiology, 30(3):317–320

220jarihaukka

[72] Franceschi,S.andPlummer,M. (2014).InterventionTrials.In Ahrens,W.andPigeot,I.,editors, HandbookofEpidemiology,pages 365–388.SpringerNewYork. DOI: 10.1007/978-0-387-09834-0 9.

[73] Gage,S.H.,Hickman,M.,and Zammit,S.(2016).Association BetweenCannabisandPsychosis: EpidemiologicEvidence. Biological Psychiatry, 79(7):549–556

[74] Gilbert,R.,Salanti,G.,Harden, M.,andSee,S.(2005).Infant sleepingpositionandthesudden infantdeathsyndrome:systematicreviewofobservationalstudies andhistoricalreviewofrecommendationsfrom 1940 to 2002. InternationalJournalofEpidemiology, 34(4):874

887

[75] Girardis,M.,Busani,S.,Damiani,E.,Donati,A.,Rinaldi,L.,Marudi,A.,Morelli,A.,Antonelli, M.,andSinger,M.(2016).EffectofConservativevsConventionalOxygenTherapyonMortalityAmongPatientsinanIntensive CareUnit:TheOxygen-ICURandomizedClinicalTrial. JAMA.

[76] Glesby,M.J.M.(1996).Survivor TreatmentSelectionBiasinObservationalStudies:Examplesfrom theAIDSLiterature. AnnalsofInternalMedicine, 124(11):999

[77] Goodman,S.N.(2001).OfPvaluesandBayes:amodestproposal. Epidemiology, 12(3):295–297.

[78] Greenland,S.andMorgenstern, H.(1990).MatchingandEfficiency inCohortStudies. AmericanJournal ofEpidemiology, 131(1):151–159

[79] Greenland,S.andPearl,J. (2011).CausalDiagrams.InLovric,M.,editor, InternationalEncyclopediaofStatisticalScience,pages

208–216.SpringerBerlinHeidelberg,Berlin,Heidelberg.DOI: 10 1007/978-3-642-04898-2 162

[80] Greenland,S.,Senn,S.J.,Rothman,K.J.,Carlin,J.B.,Poole, C.,Goodman,S.N.,andAltman, D.G.(2016).Statisticaltests,P values,confidenceintervals,and power:aguidetomisinterpretations. EurJEpidemiol, 31(4):337–350

[81] Grimes,D.A.andSchulz,K.F. (2002).Anoverviewofclinicalresearch:thelayoftheland. The Lancet, 359(9300):57–61

[82] Group,T.A.B.C.C.P.S.(1994). TheEffectofVitaminEandBetaCaroteneontheIncidenceof LungCancerandOtherCancersin MaleSmokers. NewEnglandJournalofMedicine, 330(15):1029–1035 Publisher:MassachusettsMedical Society.

[83] Guyatt,G.,editor(2008). Users guidestothemedicalliterature:essentialsofevidence-basedclinicalpractice.McGraw-HillMedical,New York, 2ndededition.

[84] Harjunen,O.,Kortelainen,M., andSaarimaa,T.(2018).Best EducationMoneyCanBuy?CapitalizationofSchoolQualityin Finland. CESifoEconomicStudies, 64(2):150–175

[85] Hartford,K.,Carey,R.,and Mendonca,J.(2007).SamplingBias inanInternationalInternetSurvey ofDiversionProgramsintheCriminalJusticeSystem. Evaluation& theHealthProfessions, 30(1):35–46

[86] Haukka,J.(2016).Vedonlyöntikerrointensuhdejariskisuhde. https://rpubs.com/jhaukka/ 180305.

[87] Haukka,J.(2017).Evakkoon joutuminenyhteydessäsuurem-

epidemiologiaakaikille221

paankuolleisuuteenjopakymmenienvuosienseurannassa. Duodecim,(133):960

[88] Haukka,J.andPitkäniemi,J. (2015).Enemmänirtip-arvosta. Suomenlääkärilehti, 70(10):665–668

[89] Haukka,J.,Suvisaari,J.,Sarvimäki,M.,andMartikainen,P. (2017).TheImpactofForced MigrationonMortality:ACohortStudyof 242,075 Finnsfrom 1939–2010 Epidemiology, 28(4):587–593

[90] Health,C.f.D.a.R.(2018). MedicalDevices-Guidance fortheUseofBayesianStatisticsinMedicalDeviceClinical Trials. https://www.fda.gov/ MedicalDevices/ucm071072.htm

[91] Heistaro,S.(2005).Menetelmäraportti:Terveys 2000tutkimuksentoteutus,aineistoja menetelmät.Accepted: 2012-0419T10:30:15ZISBN: 9789517405102

Publisher:Kansanterveyslaitos.

[92] Hernán,M.A.(2004).A definitionofcausaleffectfor epidemiologicalresearch. JournalofEpidemiology&CommunityHealth, 58(4):265–271.Publisher:BMJPublishingGroupLtd Section:Continuingprofessional education.

[93] Hill,A.B.(1965).TheEnvironmentandDisease:Association orCausation? ProcRSocMed, 58(5):295–300

[94] Hill,G.,Connelly,J.,Hébert,R., Lindsay,J.,andMillar,W.(2003a). Neyman’sbiasre-visited. Journal ofClinicalEpidemiology, 56(4):293–296

[95] Hill,G.,Millar,W.,andConnelly,J.(2003b)."Thegreatdebate"1: Smoking,lungcancer,andcancer epidemiology. CanBullMedHist, 20(2):367–386

[96] Hoek,H.W.,Brown,A.S.,and Susser,E.(1998).TheDutchfamineandschizophreniaspectrumdisorders. Socialpsychiatryandpsychiatricepidemiology, 33(8):373–379

[97] Jeffreys,H.(1946).Aninvariant formforthepriorprobabilityinestimationproblems. Proceedingsof theRoyalSocietyofLondon.SeriesA. MathematicalandPhysicalSciences, 186(1007):453–461.Publisher:RoyalSociety.

[98] Jemal,A.,Murray,T.,Ward,E., Samuels,A.,Tiwari,R.C.,Ghafoor,A.,Feuer,E.J.,andThun, M.J.(2005).CancerStatistics, 2005. CA:ACancerJournalforClinicians, 55(1):10–30.

[99] Jones,P.(1994).Schizophreniaafterprenatalexposuretothe Dutchhungerwinterof 1944-1945 [letter;comment]. ArchivesofGeneralPsychiatry, 51(4):333–4.

[100] Jüni,P.,Altman,D.G.,andEgger,M.(2001).Assessingthequalityofcontrolledclinicaltrials. BMJ, 323(7303):42–46.Publisher:British MedicalJournalPublishingGroup Section:Educationanddebate.

[101] Kirkham,J.J.,Dwan,K.M., Altman,D.G.,Gamble,C.,Dodd, S.,Smyth,R.,andWilliamson,P.R. (2010).Theimpactofoutcomereportingbiasinrandomisedcontrolledtrialsonacohortofsystematicreviews. BMJ, 340:c365.Publisher:BritishMedicalJournalPublishingGroupSection:ResearchMethods&amp;Reporting.

[102] Konttinen,V.andHamunen,K. (2015).Leikkauksenjälkeisenkivunhoito. Duodecim, 131:1921–8

[103] Koponen,P.,Borodulin,K., Lundqvist,A.,Sääksjärvi,K.,and Koskinen,S.(2018).Terveys, toimintakykyjahyvinvointiSuomessaFinTerveys 2017 -tutkimus. TechnicalReport 4

222jarihaukka

[104] Kundi,M.(2006).Causality andtheInterpretationofEpidemiologicEvidence. Environmental HealthPerspectives, 114(7):969–974

[105] Kurth,T.,Walker,A.M.,Glynn, R.J.,Chan,K.A.,Gaziano,J.M., Berger,K.,andRobins,J.M. (2006).Resultsofmultivariablelogisticregression,propensitymatching,propensityadjustment,and propensity-basedweightingunder conditionsofnonuniformeffect.

AmJEpidemiol, 163(3):262–270.

[106] Langholz,B.andThomas,D.C. (1991).Efficiencyofcohort samplingdesigns:somesurprising results. Biometrics, 47(4):1563–1571.

[107] Lawlor,D.A.,Tilling,K.,and DaveySmith,G.(2016).Triangulationinaetiologicalepidemiology. InternationalJournalofEpidemiology, 45(6):1866

1886.

[108] Lee,H.,Cashin,A.G.,Lamb, S.E.,Hopewell,S.,Vansteelandt, S.,VanderWeele,T.J.,MacKinnon,D.P.,Mansell,G.,Collins, G.S.,Golub,R.M.,McAuley,J.H., AGReMAgroup,Localio,A.R., vanAmelsvoort,L.,Guallar,E., Rijnhart,J.,Goldsmith,K.,Fairchild,A.J.,Lewis,C.C.,Kamper, S.J.,Williams,C.M.,andHenschke,N.(2021).AGuidelinefor ReportingMediationAnalysesof RandomizedTrialsandObservationalStudies:TheAGReMAStatement. JAMA, 326(11):1045.

[109] Loprinzi,C.L.,Laurie,J.A., Wieand,H.S.,Krook,J.E.,Novotny,P.J.,Kugler,J.W.,Bartel,J., Law,M.,Bateman,M.,andKlatt, N.E.(1994).Prospectiveevaluationofprognosticvariablesfrom patient-completedquestionnaires. NorthCentralCancerTreatment Group. J.Clin.Oncol., 12(3):601–607

[110] Lynch,N.A.(1998).Helicobacterpyloriandulcers:Aparadigm revised.FederationofAmerican SocietiesforExperimentalBiology.

[111] Maxwell,S.E.,Delaney,H.D., andKelley,K.(2018). Designing ExperimentsandAnalyzingData:A ModelComparisonPerspective.Routledge,NewYork, 3 edition.

[112] Melton,L.J.,Dyck,P.J.,Karnes, J.L.,O’Brien,P.C.,andService, F.J.(1993).Non-responsebiasin studiesofdiabeticcomplications: Therochesterdiabeticneuropathy study. JournalofClinicalEpidemiology, 46(4):341–348

[113] Montori,V.M.andGuyatt, G.H.(2001).Intention-to-treat principle. CMAJ:CanadianMedical AssociationJournal, 165(10):1339–1341

[114] Niemi,L.T.,Suvisaari,J.M., Haukka,J.K.,Wrede,G.,and Lönnqvist,J.K.(2004).Cumulativeincidenceofmentaldisorders amongoffspringofmotherswith psychoticdisorder. BritishJournal ofPsychiatry, 185(01):11–17

[115] Page,M.J.,McKenzie,J.E., Bossuyt,P.M.,Boutron,I.,Hoffmann,T.C.,Mulrow,C.D.,Shamseer,L.,Tetzlaff,J.M.,Akl,E.A., Brennan,S.E.,Chou,R.,Glanville,J.,Grimshaw,J.M.,Hróbjartsson,A.,Lalu,M.M.,Li,T.,Loder,E.W.,Mayo-Wilson,E.,McDonald,S.,McGuinness,L.A., Stewart,L.A.,Thomas,J.,Tricco, A.C.,Welch,V.A.,Whiting,P., andMoher,D.(2021).ThePRISMA 2020 statement:anupdatedguidelineforreportingsystematicreviews. BMJ,pagen71.

[116] Pearce,N.(2012).Classification ofepidemiologicalstudydesigns. InternationalJournalofEpidemiology, 41(2):393–397

epidemiologiaakaikille223

[117] Pearce,N.,Vandenbroucke, J.P.,andLawlor,D.A.(2019). CausalInferenceinEnvironmentalEpidemiology:Oldand NewApproaches. Epidemiology, 30(3):311–316.

[118] Pearl,J.(2009). Causality.CambridgeUniversityPress.

[119] Peto,R.,Doll,R.,Buckley,J.D., andSporn,M.B.(1981).Candietarybeta-carotenemateriallyreducehumancancerrates? Nature, 290(5803):201–208.Number: 5803 Publisher:NaturePublishing Group.

[120] Pirkola,S.P.,Isometsä,E.,Suvisaari,J.,Aro,H.,Joukamaa,M., Poikolainen,K.,Koskinen,S.,Aromaa,A.,andLönnqvist,J.K. (2005).DSM-IVmood-,anxietyandalcoholusedisordersandtheir comorbidityintheFinnishgeneral population. SocPsychiatryPsychiatr Epidemiol, 40(1):1–10

[121] Prasad,V.andJena,A.B. (2013).Prespecifiedfalsification endpoints:cantheyvalidatetrue observationalassociations? JAMA, 309(3):241–242.

[122] Pukkala,E.,Söderman,B., Okeanov,A.,Storm,A.,Rahu,M., Hakulinen,T.,Becker,N.,Stabenow,R.,Bjanadottir,K.,Stengrevics,A.,Gurevicius,R.,Glattre,E., Zatonski,W.,Men,T.,andBarlow, R.(2001).CanceratlasofNorthern Europe. CancerSocietyofFinland, Publication,(62).

[123] RCoreTeam(2021). R:A LanguageandEnvironmentforStatisticalComputing.RFoundation forStatisticalComputing,Vienna, Austria.

[124] Ransohoff,D.F.andFeinstein, A.R.(1978).ProblemsofSpectrum andBiasinEvaluatingtheEfficacy ofDiagnosticTests. NewEngland

JournalofMedicine, 299(17):926–930

[125] Ruohonen,K.(2004). Graafiteoria.Tampereenteknillinenyliopisto.

[126] Saano,V.andJavanainen,M. (1996).Tehoaakohomeopatiaja onkoselääketiedettä? SuomenLääkärilehti, 51(3):197

[127] Sackett,D.L.(1979).Biasin analyticresearch. JournalofChronicDiseases, 32(1-2):51–63

[128] Schmidt,C.andKohlmann,T. (2008).Whentousetheoddsratioortherelativerisk? International JournalofPublicHealth, 53(3):165–167.

[129] Sellke,T.,Bayarri,M.J.,and Berger,J.O.(2001).Calibrationof PValuesforTestingPreciseNull Hypotheses. TheAmericanStatistician, 55(1):62

[130] Sham,P.,He,L.,Clair,D.S., Xu,M.,Wang,P.,Yu,Y.,Fang,Y., Zhang,F.,Zheng,X.,Gu,N.,and Feng,G.(2005).Ratesofadult schizophreniafollowingprenatal exposuretotheChinesefamineof 1959-1961 JAMA, 294(5):557–562

[131] Shekelle,R.,Liu,S.,Raynor,W., Lepper,M.,Maliza,C.,Rossof,A., Paul,O.,Shryock,A.,andStamler,J.(1981).DIETARYVITAMIN AANDRISKOFCANCERIN THEWESTERNELECTRICSTUDY. TheLancet, 318(8257):1185–1190.Publisher:Elsevier.

[132] Sihvonen,R.,Paavola,M.,Malmivaara,A.,Itälä,A.,Joukainen, A.,Nurmi,H.,Kalske,J.,andJärvinen,T.L.(2013).Arthroscopic PartialMeniscectomyversusSham SurgeryforaDegenerativeMeniscalTear. NewEnglandJournalof Medicine, 369(26):2515–2524

224jarihaukka

[133] Spiegelhalter,D.J.,Abrams, K.R.,andMyles,J.P.(2004).BayesianApproachestoClinicalTrials andHealth-CareEvaluation.page 30

[134] Sterne,J.A.C.,Sutton,A.J.,Ioannidis,J.P.A.,Terrin,N.,Jones, D.R.,Lau,J.,Carpenter,J.,Rucker, G.,Harbord,R.M.,Schmid,C.H., Tetzlaff,J.,Deeks,J.J.,Peters,J., Macaskill,P.,Schwarzer,G.,Duval,S.,Altman,D.G.,Moher,D., andHiggins,J.P.T.(2011).Recommendationsforexaminingandinterpretingfunnelplotasymmetryinmeta-analysesofrandomised controlledtrials. BMJ, 343(jul22 1):d4002–d4002

[135] Student(1908).TheProbable ErrorofaMean. Biometrika, 6(1):1–25.Publisher:[OxfordUniversity Press,BiometrikaTrust].

[136] Suvisaari,J.,Haukka,J.,Tanskanen,A.,Hovi,T.,andLonnqvist, J.(1999).AssociationBetweenPrenatalExposuretoPoliovirusInfectionandAdultSchizophrenia. Am JPsychiatry, 156(7):1100–1102.

[137] Takagi,S.,Baba,S.,Iwai,N., Fukuda,M.,Katsuya,T.,Higaki, J.,Mannami,T.,Ogata,J.,Goto,Y., andOgihara,T.(2001).TheAldehydeDehydrogenase 2 GeneIsa RiskFactorforHypertensioninJapanesebutDoesNotAltertheSensitivitytoPressorEffectsofAlcohol:TheSuitaStudy. Hypertension Research, 24(4):365–370

[138] Textor,J.,Hardt,J.,andKnüppel,S.(2011).DAGitty:AGraphicalToolforAnalyzingCausal Diagrams. Epidemiology, 22(5):745.

[139] Textor,J.,vanderZander,B., Gilthorpe,M.S.,Li´skiewicz,M., andEllison,G.T.(2016).Robustcausalinferenceusingdirectedacyclicgraphs:theRpacka-

ge‘dagitty’. InternationalJournalof Epidemiology, 45(6):1887–1894

[140] Tietoarkisto(2022).Mittaaminen:Mittarinluotettavuus.

[141] Toffol,E.,But,A.,Heikinheimo,O.,Latvala,A.,Partonen, T.,andHaukka,J.(2020).Associationsbetweenhormonalcontraceptionuse,sociodemographic factorsandmentalhealth:anationwide,register-based,matched case–controlstudy. BMJOpen, 10(10):e040072.Publisher:British MedicalJournalPublishingGroup Section:Publichealth.

[142] Vandenbroucke,J.P.,Broadbent,A.,andPearce,N.(2016). Causalityandcausalinferencein epidemiology:theneedforapluralisticapproach. International JournalofEpidemiology, 45(6):1776–1786

[143] Vandenbroucke,J.P.and leCessie,S.(2014).Commentary:RegressionDiscontinuity Design:Let’sGiveItaTrytoEvaluateMedicalandPublicHealth Interventions. Epidemiology, 25(5):738–741.

[144] Vanderweele,T.J.andStaudt, N.(2011).Causaldiagramsforempiricallegalresearch:amethodologyforidentifyingcausation,avoidingbiasandinterpretingresults. Law,ProbabilityandRisk, 10(4):329–354

[145] Velentgas,P.,Dreyer,N.A., Nourjah,P.,Smith,S.R.,andTorchia,M.M.,editors(2013). DevelopingaProtocolforObservational ComparativeEffectivenessResearch: AUser’sGuide.AHRQMethods forEffectiveHealthCare.Agency forHealthcareResearchandQuality(US),Rockville(MD).

[146] Viechtbauer,W.(2010).ConductingMeta-AnalysesinRwith

epidemiologiaakaikille225

themetaforPackage. JournalofStatisticalSoftware, 36(1):1–48.Number: 1

[147] Wang,X.-D.,Liu,C.,Bronson, R.T.,Smith,D.E.,Krinsky,N.I., andRussell,R.M.(1999).Retinoid SignalingandActivatorProtein1 ExpressioninFerretsGivenCaroteneSupplementsandExposedtoTobaccoSmoke. JournaloftheNationalCancerInstitute, 91(1):60–66

[148] Wasserstein,R.L.andLazar, N.A.(2016).TheASA’sstatement onp-values:context,process,and purpose. TheAmericanStatistician, pages 00–00.

[149] Westreich,D.andGreenland,S. (2013).TheTable 2 Fallacy:PresentingandInterpretingConfounderandModifierCoefficients. Am JEpidemiol, 177(4):292–298

[150] Williamson,T.andRavani, P.(2017).Marginalstructuralmodelsinclinicalresearch: whenandhowtousethem? NephrologyDialysisTransplantation, 32(suppl_2):ii84–ii90

[151] Xu,M.-Q.,Sun,W.-S.,Liu,B.X.,Feng,G.-Y.,Yu,L.,Yang,L.,He, G.,Sham,P.,Susser,E.,St.Clair,D., andHe,L.(2009).PrenatalMalnutritionandAdultSchizophrenia: FurtherEvidenceFromthe 19591961 ChineseFamine. Schizophr Bull, 35(3):568–576.

[152] Zeger,S.L.,Liang,K.Y.,and Albert,P.S.(1988).Modelsforlongitudinaldata:ageneralizedestimatingequationapproach. Biometrics, 44(4):1049–1060

[153] Zou,G.(2004).AModified PoissonRegressionApproachto ProspectiveStudieswithBinary Data. Am.J.Epidemiol., 159(7):702–706.

226jarihaukka

Hakemisto

harha, 129 RCT, 93 valinta, 130

Interventiotutkimus, 89 harha, 93 lume, 89

P.I.C.O., 92 placebo, 89

Kuvat

1 EpidemiologianperustajaJohn Snow 11

2 Binomitodennäköiisyydetkun p=0,18 jaotoskoko 1018

3 Mosaiikkikuviofrekvenssitaulusta 20

4 Asteikkojakivunmittaamiseen 20

5 Normaalijakaumia,vas 21

6 SiméonDenisPoisson(1781 –1840) 22

7 Poissonjakaumantodennäköisyyksiäeri λ arvoilla 23

8 Vyötärönympärys 24

9 Vyötärönympärys 25

10 Ikäjavyötärönympärys,sukupuolenmukaaneriteltynä 25

11 Hajontakuviomatriisi(1000 havaintoa) 26

12 KuolemanvaaraSuomessa 19802015,syöpä(viiva)javerenkiertoelimistonsairaudet(katkoviiva) 30

13 SeurantatutkimuksenLexiskuvioiänsuhteen 32

14 Kaplan-Meierkäyrä 34

15 Hasardikäyräjasen 95%luottamusvälimiehille(1)janaisille (2) 35

16 Esimerkkiporrasfunktiosta 36

17 Verenpaineenmittaus 38

18 Yhdysvaikutuksentyypit 49

19 Kolmeneritestin(LR 2, 6,ja 10)positiivisentestinjälkeisettodennäköisyydeteriennentestiätodennäköisyyksienfunktiona 53

20 Kymmenenhenkilönseuranta 56

21 Tutkimusasetelmienluokittelu 57

22 Tupakoiviensavukkeidenkulutus 59

23 Standardoituitsemurhakuolleisuus(SDR)jamasennuslääkkeidenkäyttö(DDD,määrättyäpäiväannosta 1000 henkilöäkohti)seitsemässäEuroopanmaassa 60

Sekoittavatekijä
Pohjois-Euroopansyöpäkartasto (naiset)
26 Ekologinenharha(ecologicalfallacy) 64 27 Diabetestasairastavienlukumäärä 68 28 Diabetesta(1)sairastavienpainoindeksi(BMI)verrattunamuihin 68 29 Diabetesta(DM)sairastavienja sairastamattomiensokerihemoglobiini(%)iänsuhteen 69 30 Kymmenenhenkilönseuranta 75 31 Seuranta-elikohorttitutkimus 76 32 Tosiaikainenjahistoriallinenseurantatutkimus 77 33 Lexis-diagrammi, 1-ulotteinen, ikäjaseuranta-aika 78 34 Lexis-diagrammi, 2-ulotteinen, kalenterivuosi,seuranta-aikaja ikä 79 35 Kokonaiskuolleisuussukupuolenmukaan 80 36 TutkimuksenvuokaavioCONSORTohjeenmukaan 91 37 Paralleeliasetelma 93 38 Crossoverasetelma 94
24
60 25
63

39 Kaltaistetutparit 94

40 Poisjääntiasetelma 95

41 Paralleeliasetelma 96

42 Klusteriasetelma 97

43 SuomenIImaailmansodanjälkeisetalueluovutukset 98

44 Finriski-tutkimus 2017 kunnat 106

45 Mahasyöpään(ICD10 C16)kuolleetSuomessa 107

46 Esimerkkisuomalaistenrekisterienkäytöstä 109

47 RichardDoll 117

48 AustinBradfordHill 117

49 RobertFisher 118

50 Fisherinnäkemystupakoinninja keuhkosyövänsuhteesta 118

51 Päivittäinjuotujenkahvikupillistenmääräjatyypin 2 diabeteksen riski 119

52 KahviDAG 120

53 Diabetesjasyöpä,DAG 122

54 Alkoholinkulutuksenjapaksusuolensyövänvälinenannosvaste 123

68 Selittävätekijä(X),välittävätekijä(M)japäätetile(Y) 148

69 Mediaatioanalyysi,selittävätekijä(X),välittävätekijä(M)japää-

55 Helicobacterpylori(https://en.wikipedia.org/wiki/File:EMpylori.jpg) 123

56 Harhajatarkkuus 129

57 Berksoninharha 133

58 Asumismuotojakuolleisuus 142

59 Nuoli"a"osoittaaaltisteensuoranyhteydenvasteeseen,jokaonriippumatonjäännösvaikutsten(UjaV)korrelaatiosta (r) 142

60 Mendel-satunnaistus 142

61 Mendel-satunnaistus(A) 143

62 Mendel-satunnaistus(B) 143

63 Mendel-satunnaistus(C) 144

64 Mendel-satunnaistus(D) 144

65 KuolleisuustieliikenneonnettomuuksissaYhdsyvalloissa 1997–2005146

66 Käänteinenhaarukka(collider) harha 147

67 Käänteinenhaarukka(collider)harhaseurantatutkimuksessa 147

230jarihaukka
tetila(Y) 149 70 Meta-analyysinjulkaisujenvalinta 154 71 Meta-analyysintulokset 158 72 Meta-analyysintulokset 160 73 Otanta 163 74 Normaalijakaumajasen 2,5%ja 97,5%pisteet 165 75 GuinessinDublininpanimonkemistiWillliamSealyGossetin muistolaattaGuinessinpanimon seinällä 170 76 Tyttöjenjapoikienspirometria mittaustenjakauma 171 77 Otoskoonmäärittäminenkäyttäenlaskuriaplikaatioat 178 78 P-arvojavastaavatposterioritodennäköisyydet 181 79 Sekoittavatekijä 183 80 Iänjaspirometrimittauksenvälinenyhteys,lineaarinenregressiosuora 184 81 Painoindeksin(BMI)jasokerihemoblobiinin(HbA1)javälinen yhteys 190 82 Painoindeksin(BMI)jaiänvälinenyhteys 190 83 Logistinenmuunnos 194 84 Logistisenmallinennuste 195 85 Riskisuhteen(RR)javetosuhteen (OR)yhteysprevalenssineriarvoilla(eriviivatyypit) 197 86 DAG 209 87 DAGjasekoittavattekijät 211 88 DAGjasekoittavattekijät 213 89 Glaukoomanilmaantuvuuteen vaikuttaviatekijöitä 213

90 Ruutukaappausdagitty.net sovelluksenavullalaaditustakausaalidiagrammista (http://dagitty.net/myCABKl) 214

epidemiologiaakaikille231

Taulukot

1 NHANEStutkimus.Diabetes (ei/on)jaikävuosissa. 19

2 Poissonjaukamantoteumientodennäköisyysparametrin λ eriarvoilla(Nonhavaittulukumäärä) 23

3 NHANESaineisto. 24

4 Tulostehostetunhoidonkliinisestäkokeesta.Kirjaimetsuluissaovat 2*2-taulunsolujennimet. 41

5 Epidemiologian 2*2-taulunsolujennimeäminen 43

6 Kissanruokatutkimuksen 2 × 2taulu 44

7 Standardiväestöjenpainokertoimia. 47

8 Esimerkkiaineistonikäluokittaisetkuolleisuudet 1000 henkilövuottakohti. 48

9 Diagnostisentestin 2 × 2-taulun solujennimeäminen. 52

10 Diagnostisentestinkäyttökelpoisuusjauskottavuusosamäärä (LR) 53

11 S-ferritiinijaanemia 54

12 Muutamientutkimusasetemien luokittelu. 55

13 Ikädiabeteksensuhteen,keskiarvo,mediaani,keskihajonta,jaalajayläkvartiilit. 69

14 TuloksetlineaarisestaregressiomallistajossaselitettävämuuttujanonBMI.Vertailuryhmänäon ’MexicanAmerican’. 71

15 TuloksetlineaarisestaregressiomallistajossaselitettävämuuttujanonBMI.Vertailuryhmänä on’MexicanAmerican’.Mukana taustamuuttujat. 72

16 Kokonaiskuolleisuus.Kuolleidenlukumäärä(N),kertynyt seuranta-aika(1/1000),kuolleisuusjasuhteellinenkuoleman riski(MRR) 81

18 Kundinpäättely 127

19 Hoitoaikeenmukainenanalyysi verrattuna,joskatoonkuuluvat jätetäänpois. 139

20 Hoitoaikeenmukainenanalyysi

21

1/100 henkilövuotta)asunnonomistuksenmukaan

23 Kymmenen(N=5)otoksenkeskiarvo(ka),keskivirhe(SE)ja 95% luottamusväli.Perusjoukonkeskiarvoon 147,9 166 24

verrattuna,joskatoonkuuluvat jätetäänpois.
140
Kuolleisuus(
jaoteltuna
Mediaatioanalyysinesimerkki.
141 22
148
Hypoteesitjapäättelyvirheet 169
Minimiposterioritodennäköi-
181 26 Regressiomallejaerityyppisille vastemuuttujille 183 27 Mallinkertoimetja 95%luottamusväli. 186 29 Regressiomalli,jossatoisenasteentermi. 191 31 Logistinenregressiomalli. 194 32 Vetosuhteetja 95%LV 196 33 Coxinmallintulos. 198 34 Coxinmallinsuhteellisuusoletuksentestaaminen. 199
25
syysnollahypoteesilleeriparvoilla(sarakkeet)jaeripriori todennäköisyyksillä(q)

35 Hasardiensuhde(HR,exp(coef)) ja 95%luottamusväliCoxinmallista. 199

36 Tapahtumataulukeuhkosyöpäaineistostasukupuolensuhteen. 199

37 Hasardiensuhteenestimaatitja 95%LVkahdestamallista.Malli 1 vainyksimuuttuja,Malli 2 ikäkorjattu.Vertailutasona’Owned’ 201

38 CoxinmallinjaPoissonregressionvertailu. 202

40

41

234jarihaukka
Asumisviihtyvyydenmallitus. 204
Vetosuhteetja 95%luottamusvälitasumisviihtyvyydenmallista 205 42 Multinomisenlogistisenregressioesimerkinaineistokolulutuksesta. 206 43 Asumisviihtyvyysaineisto. 206
39 Asumisviihtyvyysaineisto. 204 Vetosuhteetja 95%luottamusvälitmultinomiregressiomallista 207
44

Turn static files into dynamic content formats.

Create a flipbook
Issuu converts static files into: digital portfolios, online yearbooks, online catalogs, digital photo albums and more. Sign up and create your flipbook.