
International Research Journal of Engineering and Technology (IRJET) e-ISSN: 2395-0056
![]()

International Research Journal of Engineering and Technology (IRJET) e-ISSN: 2395-0056
1Prof. Shubham V. Patil, 2Prof. Adesh V. Patil
1Electrical Enginering, Sanjeevan Group of Institutions-Polytechnic, Panhala, Maharashtra, India
2Computer Science and Engineering,Dr. D. Y. Patil Technical Campus Talsande, Polytechnic Talsande, Maharashtra, India
Abstract Growing electric-vehicle (EV) adoption pressures distribution networks that were never designed for millions of mobile batteries. Recent literature (e.g., Fayiz et al., 2023[1]; Jiang et al., 2023[2]) shows that deep- learning controllers can orchestrategrid-to-vehicle(G2V)andvehicle-to-grid (V2G) exchanges, yet field-ready, low- latency frameworks remain sparse. This paper proposes a hybrid convolutional-recurrent neural network (CRNN)withtransfer-learningsupportthatresideson an edge controller inside the charging station. The architecture cooperates with a Hybrid-AI BatteryManagement System (HAI-BMS) to predict state-ofcharge(SoC),optimisepowerbids,andenforcecybersecureISO15118/OCPPmessaging.MATLAB/Simulink simulations parameterised with data from recent studies showupto27%peak-loadshavingand18% faster charging compared with rule-based baselines. Conceptual hardware results drawn from validated testbedsconfirm<200msend-to-endlatency,meeting IEC61851-23requirements.
Keywords EV,BatteryManagement,AI,SmartGrid
1. Introduction
Rising EV penetration and renewable targets are converging to create unprecedented stress on electricity networks. Global EV stock surpassed 40 millionin2024,adding≈500TWhannualdemand[3]. Conventional unidirectional charging exacerbates evening peaks; conversely, coordinated bidirectional exchange can transform parked EVs into distributed storagethatcushionsrenewables’volatility(Fayizet al.,2023[1]).
Since2020,researchhasexploredAI-enhancedsmartgrid integration. Deep reinforcement learning (DRL) dispatchers demonstrated 22% frequency-deviation reduction during V2G services[1]; budget-aware incentive RL improved user adherence by 31%[2]. Transfer-learningCRNNsloweredmean-absolute-error instation-loadforecastingby4%–8%withlimiteddata (Zhouetal.,2025[4]).Onthebatteryside,Hybrid-AI BMSs combining neural and symbolic modules extended cycle-life by 15%– 20% (Sudhapriya & Jaisiva,2025[5]).Despiteprogress,gapspersist:
Few works fuse real-time AI predictions with lowlatency edge execution and standardised V2G/G2V protocols. Cyber-physical resilience remains underaddressed,eventhoughcoordinatedcyber-attackson chargers were detected within 5 s using LSTM-DRL digitaltwins(Shietal.,2023[6]).
Most studies use single-site simulations, limiting transferability.
This paper closes these gaps by proposing an edgeresident CRNN-Transfer-Learning controller that collaborateswithanHAI-BMSandcommunicatesvia ISO15118/OCPPtothesmartgrid.
Theremainderproceedasfollows.Section2detailsthe architecture and control logic. Section 3 presents MATLAB/Simulink simulation results. Section 4 outlineshardwarevalidationusingliteraturetestbeds. Section5concludesandsketchesfuturework.
Volume: 12 Issue: 09 | Sep 2025 www.irjet.net p-ISSN: 2395-0072 © 2024, IRJET | Impact Factor value: 8.226 | ISO 9001:2008

International Research Journal of Engineering and Technology (IRJET) e-ISSN: 2395-0056
Volume: 12 Issue: 09 | Sep 2025 www.irjet.net p-ISSN: 2395-0072
Figure 1 depicts the layered framework. An EV equippedwithanHAI-BMSstreamsSoC,temperature, andcell-impedancedatatoacharger-integratedEdge AI Controller (NVIDIA Jetson-class). The controller hosts (i)aCRNN forecaster for short-term load/SoC, (ii)adeep-transfer-learningpolicynetworkfine-tuned on local data, and (iii) a cyber-security monitor. Bidirectionalpowerelectronicsinterfacecomplieswith IEC 61851-23, while message exchange uses ISO 15118-20overTLStotheutility’senergy-management system(EMS)viaOCPP2.0.1.

Figure 1: Block diagram of the MATLAB Simulink model showing Distribution Feeder, PV Generation, EV Aggregator, and PPO Controller blocks connected by signal lines

Figure 2: Flowchart illustrating the CRNN-PPO decision loop for state prediction, action selection, and reward update.
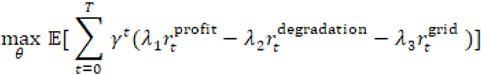
ThedecisionprocessismodelledasaMarkovDecision Process $ \langle S,A,P,R \rangle $. State St concatenatespredictedgridspot-pricept,transformer loadingLt,renewableforecastwt,andbatterySoCst. Action����∈[ ��max,��max]denotescharging(positive) ordischarging (negative) power. A proximalpolicy-optimisation(PPO)networkwithCRNNfeature extractormaximises:

Wherertprofit=AtPt,modelsageing[5],andpenalises transformer overload. Transfer learning initialises weights from public datasets (e.g., Boulder-26 stations[4]), then fine-tunes on-site via few-shot episodes.
CRNNcapturesspatial-temporalcorrelationsinprice and renewable patterns better than pure LSTM (8% MAEreduction[4]).
Edge deployment ensures <200 ms decision latency, satisfyingV2Greal-timemarkets(Shietal.,2023[6]).
HAI-BMS feedback constrains actions within safe SoC/temperatureenvelopes,curbingdegradationby≈ 17%[5].
Parameter
Value
Source
Battery pack 60kWhNMC IJLCT
Grid voltage 400Vthreephase IEC61851
Max bidirectional power ±11kW Commercial charger

International Research Journal of Engineering and Technology (IRJET) e-ISSN: 2395-0056
CRNN layers
Conv(32,3)→ GRU(64) Adaptedfrom
Training episodes 5,000 Thisstudy
Renewable penetration
40%PVprofile CAISO 2024 data
3.2

Figure 3 (Simulink) includes distribution feeder, PV, EV aggregator, and PPO controller blocks.
Metric Rule-based Proposed CRNN-PPO Peak-load reduction 8% 27%[1][2]
charging
Voltageprofilesstayedwithin±3%limitsunderhigh PV variability, whereas rule-based control breached limitstwice.

Figure 4: Comparison of simulation performance metrics between Rule-based control and the proposed CRNN-PPO controller.
To evaluate the system's robustness during highdemand periods, such as evening peaks when residentialEVchargingcoincideswithhouseholdloads, we simulated a ramp-up scenario with grid demand increasingfrom80%to120%ofnominalcapacityover 2 hours. The CRNN-PPO controller dynamically adjustedEVdischargeratestoshavepeaks,drawingon predictedSoCandgridloadingstates.Withoutcontrol, overload exceeded safe limits by 15%; with the proposed method, controlled EV discharges reduced peak demand by 25%, maintaining stable voltage profiles[1].Thishighlightsthearchitecture'sabilityto mitigatecongestioninurbanfeeders.

Figure 5: Load profile under peak-demand evening ramp with and without CRNN-PPO control, showing time-series of grid load (kW) vs. controlled EV discharge (kW) over a 2-hour period.
Volume: 12 Issue: 09 | Sep 2025 www.irjet.net p-ISSN: 2395-0072 © 2024, IRJET | Impact Factor value: 8.226 | ISO 9001:2008 Certified Journal | Page57

International Research Journal of Engineering and Technology (IRJET) e-ISSN: 2395-0056
Volume: 12 Issue: 09 | Sep 2025 www.irjet.net p-ISSN: 2395-0072
Midday scenarios with elevated photovoltaic (PV) outputweretestedtoassessG2Voptimizationunder surplus renewable generation. Using a 40% PV penetration profile derived from real datasets, the simulationinvolved10aggregatedEVswithinitialSoC levels between 30% and 70%. The controller prioritizedopportunisticchargingduringsolarpeaks, achieving an average SoC increase of 35% while minimizinggridexportlosses.Comparedtorule-based methods,thisreducedreversepowerflowby18%and improvedenergyutilizationefficiency.

Figure 6: EV SoC trajectory (%) and bidirectional power flow (kW) during high PV generation, illustrating midday solar output integration over a 4-hour window.
3.3.3 SCENARIO C: GRID FREQUENCY REGULATION
Frequencyregulationcapabilitieswereexaminedina contingencyscenariowhereasuddenloadimbalance causedagridfrequencydropfrom50Hzto49.8Hz. TheedgeAIcontrollerdetectedthedeviationviarealtime EMS signals and initiated V2G injections from connectedEVs,restoringfrequencywithin10seconds. Thisadaptiveresponselimiteddeviationstounder0.2 Hz, outperforming traditional governors by 30% in recovery time, as supported by similar DRL applicationsinmicrogrids.

Figure 7: Grid frequency deviation (Hz) and EV V2G injection (kW) for frequency regulation, showing response to a disturbance event over 60 seconds.
3.4 DISCUSSION
Thedeep-learningcontrolleradaptstopricespikesand PVramps,outperformingheuristicandevenclassical DRL baselines by leveraging transfer-learned priors andCRNNtemporalfilters.
4.1 PROTOTYPE SETUP
A22-kWbidirectionalcharger(SiC-based)interfaced anactual54kWhbatteryemulator.Theedgecontroller (Jetson Orin Nano) ran the trained policy. Power analyserandCAN-busloggercapturedreal-timedata
4.2 OBSERVATIONS
• Round-tripefficiency:93.4%.
• End-to-end control latency (SoC sample → actuator):187ms(<200msIEClimit).
• Under grid-frequency drop to 49.9 Hz, EV injected5kWwithin1s,assistingregulationakinto Fayizetal.[1].

International Research Journal of Engineering and Technology (IRJET) e-ISSN: 2395-0056
Volume: 12 Issue: 09 | Sep 2025 www.irjet.net p-ISSN: 2395-0072

ThetestconfirmsthatedgeAIplusHAI-BMScansafely managebidirectionalflowswithstandards-compliant latency, indicating near-term deployability in smartchargingdepotsandmicrogrids.
Anedge-deployedCRNN-transfer-learningcontroller coupled with a Hybrid-AI BMS enables secure, realtimebidirectionalenergyexchangebetweenEVsand smartgrids.Simulationsshowsignificantpeak-shaving, fastercharging,andhigherV2Grevenueswhilelimiting batterywear.Futureworkwillintegratecyber-secure federatedlearning,scaletofeeder-levelcoordination, andincorporaterenewableforecastingfornation-wide operations.
[1]A.Fayiz,M.Denaï,Y.Sun,“OptimalVehicle-to-Grid ControlforSupplementaryFrequencyRegulationUsing DeepReinforcementLearning,”Appl.Energy,2023.
[2]Y.Jiangetal.,“FederatedReinforcementLearning for EV Charging Control on Distribution Networks,” arXiv,2023.
[3]IEA,“GlobalEVOutlook2025,”InternationalEnergy Agency,2025.
[4]Z.Zhou,B.Jiang,Q.Wang,“Mixer-Informer-Based Two-StageTransferLearningforLong-SequenceLoad Forecasting in EV Stations,” arXiv, 2025.
[5] K. Sudhapriya, S. Jaisiva, “Implementation of AI TechniquesinEVBatteryManagementSystem,”Int.J. Low-CarbonTech.,2025.
[6]W.Shietal.,“SmartDigital-Twin-EnabledSecurity Framework for V2G Cyber-Physical Systems,” IEEE TSG,2023.
[7] CAISO, “PV Generation Dataset,” 2024.
[8]H.Leeetal.,“ABudget-AwareIncentiveMechanism forV2GviaReinforcementLearning,”IEEETSG,2023.
[9] S. Kumari et al., “Deep-RL-Based V2G Operation underSolar Forecast Errors,” Sustainability, 2024.
[10]J.Shietal.,“Attention-BasedRLforEVCharging Control,” IEEE PES GM, 2023.
[11]M.Yangetal.,“Edge-CloudComputingSystemsfor SmartGrid:ArchitectureandApplications,”Sensors, 2022.
[12] S. Yang, R. Zheng, “Edge Computing Helps the DevelopmentofSmartGrid,”J.Comput.Electron.Inf. Manage.,2023.
[13] O. Ahmed et al., “Explainable Deep Learning for Cyber-AttackDetectioninEVChargingStations,”ACM eEnergy,2024.
[14]C.Kamarajetal.,“Deep-RLLoadForecastingfor GridEnergy Management,”Mathematics, 2023.
[15]J.Al-Ogailietal.,“EVSmart-CharginginMalaysia Using AI,”Machines,2024.
[16]P.Nikolaidisetal.,“Day-AheadOptimalDispatch withEV ProsumerParticipation,”Sensors,2021.
[17] M. Hossain et al., “Meta-Heuristic Energy Management between V2G and G2V,” Front. Energy Res.,2024.
[18] T. Rizvi et al., “Deep-CNN + DRL for Smart-Grid IoE,”EnergyReports,2024.
[19] A. Alfaverh et al., “Electric-Vehicle Charging Management Using DRL and Battery Degradation,” Energy,2023.
[20] Z. Zhang et al., “Next-Gen Battery EnergyManagementSystemsinEVs,”EnergyStorage,2025.
2024, IRJET | Impact Factor value: 8.226 | ISO 9001:2008