
International Research Journal of Engineering and Technology (IRJET) e-ISSN: 2395-0056
Volume: 12 Issue: 07 | Jul 2025 www.irjet.net p-ISSN: 2395-0072
![]()

International Research Journal of Engineering and Technology (IRJET) e-ISSN: 2395-0056
Volume: 12 Issue: 07 | Jul 2025 www.irjet.net p-ISSN: 2395-0072
Asiedu Sarpong1
1College of Water Conservancy & Hydropower Engineering, Hohai University, China. ***
Abstract – The transient wave-based reflection method which utilizes the first period of the transient wave to localize a leak has extensively been applied in urban water pipes. To critically analyze its effectiveness in conveyance pipes, the objective of this work is to determine at what range the method is capable of detecting and localizing leakage inthe target pipe. The 1-D waterhammerequations are used which are converted into total differential equations by the method of characteristics with the finite difference method, of which the Brunone’s unsteady friction is incorporated. The model is assumed to be a reservoirpipe-valve system, in which the side discharge valve located downstream is suddenly closed to generate the transient event. To execute this work, first of all the transient waves in both intact and leaking pipes are analyzed, and then validated practically with laboratory experiment, which yielded accurate results. Thereafter, the leak detection range is determined based on the critical signal-to-noiseratio, with the use of wavelet transform as a signal processing technique for deterministic feature extraction in a white Gaussian noise environment. Based on the results, it is shown that the leak detection range of the transient wave-based reflection method in conveyance pipes largely depends on the size of the leak, the standard deviation in the reflected signal, and the location of the leak from the measurement section.
Key Words: Conveyance pipe, Leak, Localization, Transient wave, Wavelet transform, Signal-to-noiseratio, White noise
Theavailablefreshwateronearthisabout0.5%,whichis generallyinadequateforhumanbeings’survivalifnotwell managed. Water plays a major role in every aspect of mankind, and its mismanagement poses a serious detriment to all living things. Pipelines are one of the major means of water transportation, typically, from the sourcetothepointofuse.However,pipelinesareproneto various anomalies such as, leakage, blockage, and corrosion. Most of the constructed pipelines are aging, beenlaidundertheseaandtallbuildings,orbeenexposed to adverse weather conditions (i.e. rainfall and sunshine). Conveyancepipes(transmissionmain)usedinthispaper, transportswaterfrombothshortandlongdistancestothe pointofusage.Theimportanceofconveyancepipelinesin
the hydro-environment cannot be underestimated. To effectively conserve water resources and its usage, it is imperativethatthesepipeanomaliesarewellattendedto, mitigated, or possibly, totally prevented from occurring. The focus of this paper is on the leak anomaly, which is a very common threat to pipelines in all sections of engineering field. Leakage causes both environmental degradation, health issues (water contaminants through leakages from biological, chemical, and physical means), and economic loss. There are so many leak detection techniques which have been in practice over the past decades.Tomentionafew;GroundPenetratingRadar [1], Acoustic Correlator [2], Tethered method [3], and Transient wave-based methods [4,5]. The transient wavebased methods have been extensively been researched and applied to urban water pipes in the past few years. They can further be grouped under two main categories; (i) full-waveform inversion (FWI) method, and (ii) local feature based method [6–8]. The full-wave method is grouped into either, (a) time domain method [7,9,10], or (b) frequency domain method [7,8,11–13]. The local feature-based utilizes partial leak-induced information, and it is divided into the following; (i) reflection-based method [7,14,15]; (ii) damping-based method [7,16–18]; and (iii) frequency response function (FRF) peak patternbased method [7,19,20]. This work focuses on the reflection-based method, which is also known as the transient wave-based reflection (TWR) method [21]. This method takes into consideration the partial reflection of thepressurewavethattakesplaceattheleak,whichthen makesitpossibleforthelocationanddischargebehaviour of the leak to be assessed [12]. The TWR utilizes the first periodofthetransientwavetodetectandlocalizetheleak along the pipeline. The main objective of this work is to determine at what range along the pipeline is the TWR capable of localizing a leak, particularly in long conveyance pipes. This work would be executed as follows; (i) to highlight the governing equations for the model; (ii) to numerically analyse the transient wave in leakage pipes; (iii) to validate the model with laboratory experiment; (iv) to determine the leak detection range based on the critical signal-to-noise-ratio (SNR), with the application of wavelet transform; (v) analyse and discuss theresults,and;(vi)drawsomevitalconclusionsfromthe work.

International Research Journal of Engineering and Technology (IRJET) e-ISSN: 2395-0056
Volume: 12 Issue: 07 | Jul 2025 www.irjet.net p-ISSN: 2395-0072
The 1-D water hammer equations describe the characteristics of transient in water pipelines. These equationsarethedynamicandcontinuityequations,which aregivenrespectivelyas[22]


where istheflowdischarge; isthewavespeed; isthe piezometric head; isthedistancealongthepipeline; is thecross-sectionalareaofpipe; istheinnerdiameterof pipe; is the vertical time in space; is the gravitational acceleration;and istheDarcy-Weisbachfrictionfactor.
The above equations are in partial differential form in which their solutions are complex and subsequently impractical. Hence, they are converted into ordinary differential equations for convenience. The method of characteristics (MOC) is used herein for this purpose, and thenthefinitedifferencemethodisappliedtofindpossible solutions to the unknown variables. Equations (1) and (2) becomes




Details of the water hammer equations can be found in [22],and[23].
Let’sassumepoint isanodeatthepipewheretheinitial valuesof and Q areknown.The ithsectionishorizontally situated along the pipe, and the distance between A and section i is . Point P is an interior node at where the characteristiclinesof and frompointAandBmeet, at time , along which their respective compatibility equationsarevalid.

Figure 1: SchematicofanRPVsystem.
With further integrations, the equations can be written as [23] (7) (8)


Solvingfor H atpoint P, (9) (10) inwhich B isthepipelinecharacteristicimpedance (11)

and R isthepipelineresistancecoefficient (12)

The compatibility equations are solved for the unknowns andof ,atanyinteriorgridintersectionpoint,point P atsection i. That’s (13) (14)


in which the , , , and are coefficients, and they are known constants when the equations are applied. Where (15) (16) then canbefoundas (17)


International Research Journal of Engineering and Technology (IRJET) e-ISSN: 2395-0056
Volume: 12 Issue: 07 | Jul 2025 www.irjet.net p-ISSN: 2395-0072
whereas, could be obtained from either Equation (13), (14),orfrom

(18)
In real-life applications, usually transient events in pipelines are coupled with complexities such as unsteady friction. To account for this, the Brunone’s model for unsteady friction is incorporated in to the governing equations to take care of this issue. With that, the and canbereproducedas
(19) (10)




inwhich[24,25], (11) inwhich , , where Brunone’s friction coefficient; Vardy’s decay coefficient for turbulent flow; = the direction offlow.
2.1 Derivation of the leak model
Consideringthelawoftheconservationofmass,then (12) (23)


in which discharge at upstream of the leak location; discharge at downstream of the leak location; discharge at the leak; pressure head at upstream of the leak location; pressure head at downstream of leaklocation,and; theheadattheleak. Theleakisconsideredtobeanorifice,andtheleakflowis dischargedintotheatmosphere,hence

(24)
in which coefficient of discharge and area of the leak. It is assumed that the pipe system consist of a reservoir, single pipeline, and a valve. In other words, a reservoir-pipe-valve(RPV)systemisusedfortheanalysis inthiswork (seeFigure1).Thereservoirislocatedatthe upstream whiles the valve is situated downstream. As soon as the valve is suddenly closed, it generates a transient signal which propagates upstream. If there is a
leaksomewherealongthepipe,itwouldbeobservedthat the transient wave would exhibit a distinct singularity which wouldn’t be noticed in the case of no leak. This distinct singularity is related to the arrival of a leakreflectedwaveatthemeasurementstation[4].
Whenthereisnoleakinthepipe,theduration of the first peak is half reflection time [26,27]. However, if there is a leak, duration of is the time in which the pressure wave propagates from the valve to the leak andreturnstothevalve.Mathematically

where is the distance from the leak to the upstream reservoir; isthereflectiontimeoftheleak;and isthe initialtimeoftransientevent.
2.2 The wavelet transform
The wavelet transform as signal processing tool, is a local time-frequency analyzer capable of extracting local frequency components of a signal. The signal H(t) of a continuouswavelettransformisdefinedas[6] (26)

where = mother wavelet; = translation parameter; and =scaleparameter.
Since its application, the wavelet transform has proven to be a robust tool for identification of local singularities in measured signals caused by reflected waves from pipe anomalies[6,28].
Many functions could be used for the mother wavelet, of which some of these have very simple analytical form, whilesothersareofmuchmorecomplexbydefinitionand donothaveexplicitform[29].Themotherwaveletusedin this work is the type of Daubechies [30] of an order of n, (dbn).
3.1 Numerical simulation for leak detection
A reservoir with a constant head which is located at upstreamofthesystem,withaninitialpressurehead 50 m, and initial flow rate, 0.2553 m3/h. The rest of the pipe parameters are as follows; 0.05 m; pipe length, 1000 m. A side discharge valve located at downstream is closed suddenly to generate the transient event. When there isnoleak,thetransient wave behavior isplottedinFigure2,whichservesasabenchmarkforthe TWRmethodfortheleakdetection.
© 2025, IRJET | Impact Factor value: 8.315 | ISO 9001:2008 Certified Journal | Page155

International Research Journal of Engineering and Technology (IRJET) e-ISSN: 2395-0056
Volume: 12 Issue: 07 | Jul 2025 www.irjet.net p-ISSN: 2395-0072
Meanwhile,whenthereisaleak,withanactuallocationof, 800mfromupstreamreservoir,andactualleaksize, 8.5e-4 m2, a sudden closure of the side discharge valve shows the characteristics of the transient wave in thetargetpipe,asshowninFigure2
In the case of the intact pipe (leak-free), the pressure surge can be calculated by the Joukowsky’s equation, . From Figure 2, the results from the leaking pipegivesthemaximumpressureheadas, 165.75 m, and the head at the leak location as, m, reflecting at time 0.47 s. The leak location can be estimated by using Equation (25). It is obvious that there isheavydampingandadistinctsingularityinthedamaged pipe,indicatingthepresenceofaleak.

3.2 Experimental validation for leak detection
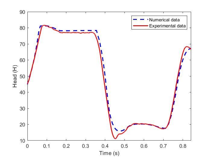
The experiment is conducted at the laboratory of the CollegeofWaterConservancy&HydropowerEngineering, Hohai University, China. The setup comprise of an upstream reservoir, and a downstream reservoir. A side discharge valve is fixed at the downstream section, of which a pressure transducer is installed near the upstreamofthevalveasthemeasuringdevice.Inaddition, adesktopcomputerwhichisconnectedwithalltheoutlets and the transducers. The parameters for the setup are; pipe diameter, D = 0.025 m; length of pipe, L = 241.52 m; wavespeed, = 1350 m/s; initial pressure head, = 45 m;andinitialflowrate, =0.0125m3/h.
Afastclosureofthevalvegeneratedthetransienteventat time, 0.07 s. After the analysis, the estimated leak location is, 174 m. At the same time, the same experimental parameters are used for numerical simulation, and then compared with that of the experimental data. This is shown in Figure 3 The estimatednumericalleaklocationgives, 173.4m.


Figure 3: Comparisonofnumericalandexperimental transientwaves.
3.3 Leak detection range for TWR
Todeterminetheleakdetectionrange,acriticalsignal-to–noise-ratio (SNR) is to be established. This so called criticalSNRistheminimumvalueofSNRwhichwillallow for the localizationof a leak in the target pipe. Toachieve this, a numerical pressure signal with a step ( ) is generated and different tests are conducted, in which a white Gaussian noise of different SNR values are superimposedonthesamepressuresignal.
With an actual pressure variation (step), measured 4000 m from upstream reservoir on a pipe length of 20,000 m (2km), two test cases are carried out. The first test, 1A, withnosuperimposed whitenoiseonthesignal.Withthe use of the wavelet transform as a signal processing technique, the estimated variation location (step), after theanalysisis4000m,withno(zero)error.
For the second set of test, 2B, the same pressure signal is superimposed with white noise of different SNR values, SNR(-10,0,5,7,10,20)dB.Twenty(20)differenttestsare conducted for each SNR, where the averaged localization errorforeachspecificSNRisplotted.InFigure5,itcanbe observed that the averaged location error estimated increases as the SNR values becomes lower. In other words, the higher the SNR, the lower the error encountered. Whiles the averaged localization error incurred for SNR = 10 is 5 m, which is acceptable, that of SNR = 7 and 5 are 9.75 and 15 m respectively. It is found thattheerrormarginbeginstowidenbelowSNR=7,and increases further as the SNR value gets lower. The SNR valuefor7dB,thereforebecomesthecriticalSNRwhichis established to allow for leak localization in the target pipeline for this work. Its standard deviation ( ) can be determinedas (26)


International Research Journal of Engineering and Technology (IRJET) e-ISSN: 2395-0056
whilestherelationshipbetweenthesignalpower(S) and thenoisepowercanbedescribedas



dB.

The SNR which can be defined as the measure of determining the level of desired signal to that of the level of background noise, is expressed as a single numerical valueindecibels(dB).Mathematically,

incasesofpressurestep( )


(27)
(28)
where = estimated SNR of a signal; y = reduction of pressureduetotheleak;and =genericpressurestep.
HavingestablishedtheminimumSNR(criticalSNR=7dB) allowableforlocalizationofleakinthepipeline,therange withinwhichtheTWRmethodiscapablefordetectingthe leak anomaly can now be determined. For that matter, numerical simulations are conducted on a damaged long pipeline of different leak locations. The following parametersareused; =50m; D =0.05m; L =20,000m (2km); = 9e-4 m2; = 1000 m/s; = 0.0668 m3/h; actual leak locations, (2000, 4000, 8000, 12000,15000, 18000, 19500, and 19850)m. A sudden valve closure at downstream generated the transient event. The wave

whichreturnsfromtheupstreamreservoirinahalfcycle, equals half the reflection time 2L/ is the arrival time at the measurement section, that’s 40 s. The distance from the leak to the measuring device for all the cases can be determinedas


(29) in which = the arrival time at the measurement section of a wave reflected by a singularity from a given distance, L

Simulations for the different leak locations are analyzed anddisplayedinTable1.Itisworthytonote,thatatevery leak location,SNR ofdifferent are determined, and thereafter compared to that of the critical SNR, in which is a constant dependent on the characteristic of thepressuretransducer[29]


The calculated at all the leak locations in ascending order of (2000 to 19850)m are, (18.9; 19; 19.35; 19.65; 19.86; 20.1; 20.16; 20.2; and 20.35)dB. The critical SNR=7dBcanalsobemathematicallydefinedas


inwhich =theratiobetweentheaverageoftheleak reflectedwaveandthestandarddeviation.
Table 1: DifferentXL withtheirrespectiveoutcomes
Volume: 12 Issue: 07 | Jul 2025 www.irjet.net p-ISSN: 2395-0072 © 2025, IRJET | Impact Factor value: 8.315 | ISO 9001:2008
The amplitude of the leak reflected wave (y) is plotted against the distance between the leak and the measurement section( ) which isshown inFigure 8,in whichtheleakdetectionrangeisdeterminedbasedonthe criticalSNR.

International Research Journal of Engineering and Technology (IRJET) e-ISSN: 2395-0056
Volume: 12 Issue: 07 | Jul 2025 www.irjet.net p-ISSN: 2395-0072

Figure 6: Relationshipbetweenleakwaveandthe standarddeviation.

Figure 7: RelationshipbetweentheSNRandstandard deviation.
It is obvious to note in Figure 6 that, the amplitude of the leak wave decreases as the standard deviation increases withrespecttotheincrementofthedistance.Similarly,in Figure7,itcanbefoundthat,asthedistancefromtheleak and measurement section gets further, the standard deviation gains increasing power whiles the signal SNR getslower.

Figure 8: Theleakdetectionrangeintargetpipeline.
ItcanbededucedfromFigure8that,asthestrengthofthe leak reflected signal decreases, the noise power increases
whenthedistancebetweentheleakandthemeasurement sectionincreases.Itisthenfoundthatthelocalizationofa leak highly depends on the magnitude of the step (pressure variation) and the standard deviation of the signal.
The main objective of this work is to determine the leak detection range of the TWR method in conveyance pipes, which has been successfully carried out. Based on the results,thefollowingconclusionsaremade.
The characteristics of transient waves in pressurized water pipes of both intact and damaged leaking pipes were investigated. The TWR demonstrated effectively for leaklocalizationbothnumericallyandexperimentally.The results in Figure 2 and 3 clearly shows the TWR method canaccuratelylocalizeleakageinthetargetpipe
As it is observed in Figure 8 that, the estimated averaged localization error increases as the SNR values get lower, thiscouldbeasaresultoftheincreaseinthenoisepower over the signal when the SNR approaches lowest values. Thesignal-to-noise-ratiocaneitherbeofzero,positive,or negative value. However, when the SNR ratio is greater than zero, it indicates that the signal strength is higher than the noise level. On the other hand, when the SNR produces zero value, it indicates the signal has the same strength as that of the noise. Furthermore, when the SNR yields a negative value, then it indicates the signal power is weaker than the noise power. It is worth mentioning that, by increasing the signal strength and using higher SNR will significantly produce a satisfactory estimation of leaklocalizationinpresenceofwhiteGaussiannoise.
The wavelet transform with a mother wavelet of db1, is capable of extracting and identifying leak reflected wave eveninthenoisyenvironment.BelowthecriticalSNR,the localization error increases exponentially due to the increaseinthenoisepowerastheSNRfurtherapproaches negativevalues.
TheTWRmethodisthereforecapableoflocalizingleakage in conveyance pipes, nonetheless, its detection range is affected by the size of the leak, the standard deviation in thereflectedsignal,andthelocationoftheleak.
It is important to state here that, the detection range was numerically determined with a single pipe in this paper, andfutureworkswouldinvolvevalidatingitwithcomplex experimental/real-lifelongconveyancepipesystems

International Research Journal of Engineering and Technology (IRJET) e-ISSN: 2395-0056
Volume: 12 Issue: 07 | Jul 2025 www.irjet.net p-ISSN: 2395-0072
(Optional)
The author wishes to acknowledge the College of Water Conservancy & Hydropower Engineering, Hohai University,China
[1] Gamal M, Di Q, Zhang J, FuC, Ebrahim S, El-Raouf AA. Utilizing Ground-Penetrating Radar for Water Leak Detection and Pipe Material Characterization in Environmental Studies: A Case Study. Remote Sens (Basel)2023;15.https://doi.org/10.3390/rs1520492.
[2] Brennan MJ,Gao Y,Ayala PC,AlmeidaFCL,Joseph PF, PaschoaliniAT.Amplitudedistortionofmeasuredleak noise signals caused by instrumentation: Effects on leak detection in water pipes using the crosscorrelation method. J Sound Vib 2019;461. https://doi.org/10.1016/j.jsv.2019.114905.
[3] Hamilton&Charalambous.LeakDetectionTechnology andImplementation.IWAPublishing,NewYork.2013.
[4] Colombo AF, Lee P, Karney BW. A selective literature review of transient-based leak detection methods. Journal of Hydro-Environment Research 2009;2:212–27.https://doi.org/10.1016/j.jher.2009.02.003.
[5] Che TC, Duan HF, Lee PJ. Transient wave-based methods for anomaly detection in fluid pipes: A review. Mech Syst Signal Process 2021;160:107874. https://doi.org/10.1016/j.ymssp.2021.107874.
[6] CheTC,WangX,ZhouL,DuanHF.ModifiedFactorized TransientWaveModelinTreePipeNetworksforLeak Localization With Less Boundary Measurements. Water Resour Res 2022;58. https://doi.org/10.1029/2022WR032856.
[7] Wang X, Camino GA, Che TC, Ghidaoui MS. Factorized wave propagation model in tree-type pipe networks and its application to leak localization. Mech Syst Signal Process 2021;147:107116. https://doi.org/10.1016/j.ymssp.2020.107116.
[8] CovasD,RamosH.CaseStudiesofLeakDetectionand Location in Water Pipe Systems by Inverse Transient Analysis. J Water Resour Plan Manag 2010;136:248–57. https://doi.org/10.1061/(asce)07339496(2010)136:2(248).
[9] Liggett JA. Inverse Transient Analysis In Pipe Networks By James A. LiggetP and Li-Chung Chen 2 1995;120:934–55.
[10] KeramatA,KarneyB,GhidaouiMS,WangX.Transientbased leak detection in the frequency domain considering fluid–structure interaction and viscoelasticity. Mech Syst Signal Process 2021;153:107500.https://doi.org/10.1016/j.ymssp.2 020.107500.
[11] Wang X, Ghidaoui MS. Pipeline Leak Detection Using the Matched-Field Processing Method. Journal of Hydraulic Engineering 2018;144:1–13. https://doi.org/10.1061/(asce)hy.19437900.0001476.
[12] Wang X, Ghidaoui MS. Identification of multiple leaks in pipeline: Linearized model, maximum likelihood, and super-resolution localization. Mech Syst Signal Process 2018;107:529–48. https://doi.org/10.1016/j.ymssp.2018.01.042.
[13] MeniconiS,CapponiC,FrisinghelliM,BrunoneB.Leak Detection in a Real Transmission Main Through Transient Tests: Deeds and Misdeeds. Water Resour Res 2021;57:1–15. https://doi.org/10.1029/2020WR027838.
[14] ZengW,GongJ,SimpsonAR,CazzolatoBS,ZecchinAC, LambertMF.Paired-IRFMethodforDetectingLeaksin Pipe Networks. J Water Resour Plan Manag 2020;146:1–11. https://doi.org/10.1061/(asce)wr.19435452.0001193.
[15] CapponiC,MeniconiS,LeePJ,BrunoneB,CifrodelliM. Time-domain Analysis of Laboratory Experiments on theTransientPressureDampinginaLeakyPolymeric Pipe. Water Resources Management 2020;34:501–14. https://doi.org/10.1007/s11269-019-02454-x
[16] NixonW,Ghidaoui;MS,AsceM,KolyshkinAA.Range of Validity of the Transient Damping Leakage Detection Method. Journal of Hydraulic Engineering 2006. https://doi.org/10.1061/ASCE073394292006132:9944.
[17] Wang X,LambertMF,SimpsonAR,AsceM,LiggettJA, VıJP.Transients2002;128:697–711.
[18] Duan HF. Transient frequency response based leak detection in water supply pipeline systems with branched and looped junctions. Journal of Hydroinformatics 2017;19:17–30. https://doi.org/10.2166/hydro.2016.008.
[19] LeePJ,LambertMF,SimpsonAR,VítkovskýJP,Liggett J.Experimental verification ofthefrequencyresponse method for pipeline leak detection. Journal of Hydraulic Research 2006;44:693–707. https://doi.org/10.1080/00221686.2006.9521718.

International Research Journal of Engineering and Technology (IRJET) e-ISSN: 2395-0056
Volume: 12 Issue: 07 | Jul 2025 www.irjet.net p-ISSN: 2395-0072
[20] Sarpong AR, Zhou L, Che T. Leak Localization in Long Water Conveyance Pipes by Transient Wave-Based Method. 15th International Conference on Hydroinformatics,2024,p.11.
[21] ChaudhryMH.Appliedhydraulictransients1979.
[22] Wylie EB, Streeter VL, Suo L. Fluid transients in systems. vol. 1. Prentice Hall Englewood Cliffs, NJ; 1993.
[23] DiaoX,ShenG,JiangJ,ChenQ,WangZ,NiL,etal.Leak detectionandlocationinliquidpipelinesbyanalyzing the first transient pressure wave with unsteady friction. J Loss Prev Process Ind 2019;60:303–10. https://doi.org/10.1016/j.jlp.2019.04.017.
[24] GuoXL,YangKL,LiFT,WangT,FuH.Analysisoffirst transient pressure oscillation for leak detection in a single pipeline. Journal of Hydrodynamics 2012;24:363–70. https://doi.org/10.1016/S10016058(11)60256-4.
[25] Ruiz de la Hermosa González-Carrato R, García Márquez FP, Dimlaye V, Ruiz-Hernández D. Pattern recognition by wavelet transforms using macro fibre composites transducers. Mech Syst Signal Process 2014;48:339–50. https://doi.org/https://doi.org/10.1016/j.ymssp.201 4.04.002.
[26] Ferrante M, Brunone B, Asce M, Meniconi S. Wavelets fortheAnalysisofTransientPressureSignalsforLeak Detection. Journal of Hydraulic Engineering 2007. https://doi.org/10.1061/ASCE073394292007133:111274.
[27] DaubechiesI.Tenlecturesonwavelets.SIAM;1992.
[28] D. Kornack and P. Rakic, “Cell Proliferation without Neurogenesis in Adult Primate Neocortex,” Science, vol. 294, Dec. 2001, pp. 2127-2130, doi:10.1126/science.1065467.
[29] M. Young, The Technical Writer’s Handbook. Mill Valley,CA:UniversityScience,1989.
[30] R. Nicole, “Title of paper with only first word capitalized,”J.NameStand.Abbrev.,inpress.
[31] K.Elissa,“Titleofpaperifknown,”unpublished.