Spice it Up 2022

Page 1

Spice it Up 2022 LISA Video Team A Day With... Interview Twick-In 2022 Marc Uetz About DMMP Association magazine of W.S.G. Abacus S
INDEX 4 4 6 7 12 14 5 8, 18 13, 33 16 17 19 28 30 Columns Secretarial Thoughts Internal Piece The Pen Staff Says Your Story About DMMP Mathematical On a Multi-Stage Job Processing with Asymmetric Transition Costs between Operations Fun On the couch Interviews Reviews Chain Interview What Makes Local Special? Puzzle Millionth Biker Passes Board on Hengelosestraat, Enschede A Day With...LISA Video Team 22

Dear readers,

I welcome you the first Ideaal! of this academic year. I hope your first module of this year is go ing well. This year is exciting as I have started with my master’s program and this quartile, I am doing probably way too many EC than I should, but I think I’ll man age, and it will mean I can take fewer courses during the winter months.

Like the beginning of last year, I am travelling each day between my (parent’s) home in Zutphen and the UT. Because when I left the room I rented last half year, I was being too optimistic in find ing a new one before Septem ber and now I am still search ing. Although there are plenty of downsides to having to travel, I personally don’t mind it yet. Be cause currently instead of taking the bus, as I used to do, nowa days I cycle towards the train station in Zutphen and from the train station in Hengelo to the UT and hearing the various birds chirp and fly over that early in the morning makes me very calm and joyful.

So, without further ado, have fun reading this edition of the Ideaal!

Colophon

Editors:

Jorg Gortemaker

Tim Hut

Daan van Kats Eva van Laar

Lavinia Lanting

Timon Veurink

Guest writers:

Jorrit Wilmink (Secretarial Thoughts), Niels Berg (Internal Piece), Annika Betken (Staff Says),

Herkus Jacina (Your Story),

Silas Hoevers (Review: D.B.V. de Stretchers), Mark Uetz (About DMMP), Erik Leering (What makes local special?), Emma Baten (What makes local special?), Diana Dalenoord (Interview: Stef Kleinluchten bel), Jorn de Jong (Puzzle: FrogFrogFrogFrog), Puru Vaish (On a Multi-Stage Job Processing with Asymmetric Transition Costs between Operati ons), Martijn ter Steege (Millionth biker passes board on Hengelosestraat, Enschede).

Ideaal! is the magazine issue of Wiskundig Stu diegenootschap Abacus and the department of Applied Mathematics.

The responsibility for the articles published in this magazine lies with the original author(s).

The period of notice of Abacus is four weeks be fore the end of the association year (August 1st). That means that you must cancel your mem bership before July 4th. If you have forgotten to cancel your membership before that time, you will pay contribution for another college year.

Would you like to cancel your membership? Send an email to board@abacus.utwente.nl.

3 Editorial
AGENDA • 31 October 17:30 Study Evening • 1 November 12:45 Cultural Talk • 2 November 20:00 Swingo • 9 November 16:00 Twin Drink • 11 November 16:00 SBZ Lustrum Party • 14 November 12:45 Dies Lunch • 14 - 19 November Dies Red Thread Game Editorial address: W.S.G. Abacus Postbus 217, 7500 AE Enschede Phone: 053 - 489 3435 ideaal@abacus.utwente.nl www.abacus.utwente.nl
Tim Hut

Secretrial Thoughts

Dear readers of the Ideaal!, the time has finally come. Af ter all the requests of Jorg to me to write a piece for our lovely association magazine, I cannot decline any more, as it is time for some secretarial thoughts! Usually, my board picture would have been included, but for some reason, we still need to make board pictures. Therefore, you can enjoy looking at my Abacus profile picture, one of the better memes I made :) I made this meme after a lunch lecture in the first module of my first year, where I jinxed myself very badly. The ‘walking into the resits be like’ meme was obviously made before I screwed up my cal culus I exam, where some screwing up of minus signs and thinking that 2 times 3 equals 5, resulted in a very annoying 5.4. My salty me did

Internal Piece

Hello dear readers! I hope you have been looking forward to this Ideaal! edition as much as I have, since I have been reminded that it had been coming for the whole of the past month. At the time of writing, some thing else that has happened in the past month is that we have been charged as board of W.S.G. Abacus! It has been quite busy so far, and it does not look like it will be any calmer in the near future, but right now it’s all still fun.

As one of my functions is Internal Affairs (that’s why this part is called 'Internal Piece’) I would like to put some attention on two committees that could always use new young members, namely the (A)bac(ch)

not think it was necessary to learn for the resit, so I improved my grade with two points.

Anyway, my first month as secre tary of Abacus has already passed and it was a busy, turbulent month which seemed to pass by in less than a week. It is incredible how many things have happened in the first month of being a board with as most memorable, the constitu tion drink season. In case you do not know, all boards of every study association give a drink with free drinks, where everyone can con gratulate them on becoming board of their study association. We had our constitution drink the first of all study associations and that is maybe why a lot of things have been ‘brassed’. Even our heavy weight treasurer Wessel! Brassing is ‘stealing’ stuff from other boards where they have to do an assign ment in order to get their things

back with its main purpose to get to know each other better. The board is during its constitution drink be ing protected by ‘pedellen’ and the most common items that get brassed are board pins, board ties, board members, guest books and ‘pedelstaffen’, which the main pe del uses to announce that another boards may congratulate the board of which the particular constitution drink is. The most common assign ments boards need to do are or ganising a fun activity together like a drink or making breakfast for the board(s) that brassed all their stuff. I do not know if you know the old Abacus banner, but we let the board of S.A. Proto design a new one, as I brassed one1 of their board pins at their constitution drink and our cur rent banner is ugly :) For so far my secretarial thoughts, joe joe!

us and the Ab-Actie. These com mittees are two of the most seen in Abacus, and being member of them is a lot of fun! The (A)bac(ch)us are the bartenders of Abacus, so they give out drinks at all the activities in the Abscint, and also organise theme drinks every once in a while. The Ab-Actie on the other hand are the people who organise some of the aforementioned activities. The Ab-Actie loves creative ideas so if you have any, be sure to send them to ideabox@abacus.utwente.nl. So if tending the bar or organising the se activities sound like fun to you then send an e-mail to intern@aba cus.utwente.nl or tell me in person!

One committee that has already been formed recently is the Dies Committee. They will organise the Dies week of Abacus from the 11th to 18th of November, to celebrate

Abacus’s 53rd birthday. If you don’t know about how the Dies week normally goes, they will create all kinds of activities during different points throughout the week, and also the red thread game which will last from the beginning of the week until the end. This game is always the highlight of the week, because every day there will be new puzzles and photo exercises which are su per fun to do together with your team. For these you will get points, and this will help you for the final puzzle on Friday where you will see what the whole week has led up to. So overall I advise you all to find a team and enrol now!

4
Text:

On the Couch...

1. Introduce yourself!

Thomas: Mark, who are you?

Mark: I am Mark, I study Maths.

Daan: What half of a year are you?

M: I am in my first or second year, depending on how you define it and how much you enjoy me repeating the year.

D: How much in decimals?

M: π

M: Something interesting; I like puzzles and Wasabi, and I mean the game, not the food. Now I would like to give the turn to Daan van Kats.

D: I am Daan, I am not THE Daan any more and am the chairman of the Ideaal!

T: I am Thomas, I am 21 years old, I am already a fourth year student and I am a bit slacking off, because studying turns out to be not that fun.

2. How long have you been on the couch?

T: Since quarter to twelve, we’ve been playing wasabi. After an hour and a half we won for the first time.

M: Even though we play with Daan

T: In the meantime we have paused the get tosti’s, that is very impor tant

M: With tosti and coffee enjoying a game of Hanabi

3. What is your favourite memory on this couch?

T: Winning a game of Hanabi!!!

M: Playing Monopoly!

D: Has that been the game of the week already?

T: No, but last Friday we randomly started playing

M: We were finished with studying

4. Who do you prefer to sit on the couch with most?

M: I prefer to sit with Thomas on the couch

T: I prefer to sit on the couch with people, who like to play card games with me, for example Mark or ‘Mountain’

M: ‘Mountain’ is fun every time. Luuk drops off a box of tompouces of the Ab-Actie, which had expired.

D: I prefer to sit with people who are worse at games than me.

5. What is your favourite article in the Ideaal!?

M: Puzzles!

T: My favorite piece of the Ideaal! is Internal Thoughts, because it is important to read how the Intern is doing, and the puzzles, especially the die-hard puzzles I am a fan of.

D: I like the puzzle solutions

T: The editorial in the beginning I also always read.

D: Your stories are usually fun to read and the reviews written by La vinia

6. What was the highlight of your day?

D+M+T: Winning Hanabi!!!

7. What will be the highlight of your day?

M: Analysis ;-(, that’s why it was Ha nabi, because Analysis will not be it.

D: Hopefully eating something de licious

T: I settle for our victory.

M: Something to eat, but that de pends on how well my father cooks. Otherwise the ‘roze koek’ after wards.

8. What would your perfect lunch be?

D: Expired Tompouces of the AbActie

T: My favourite lunch is a banana sponsored by ASML

D: Croquette-lunches of ‘the Moun tain’, I still owe two.

T: Croquette-lunches of ‘the Moun tain’!

M: Croquettes are good, but a deli cious egg is also great

T: Bread with Frikandel! Why is all food delicious?

9. What is your favourite maths theorem?

M: I am still ‘sjaars’, but FTOAV (fun damental theorem of absolute va lues) is always fun to prove.

T: I think the Cauchy-Schwarz ine quality

M: Last year I thought polar coordi nates were beautiful.

5

10. Are you a cat or a dog person?

M: Dogs! I am a dog person, cats are less fun

D: For cats you do not need to do something

M: They don’t listen well, dogs are slaves if you train them well.

T: I have given this answer before…, I would rather eat pork!, I think last time I said dog person.

D: I rather have cats

T+M: Daan van (K)(C)ats

11. Cayley or Hamilton?

M: I'd rather have Max Verstappen, but I have no clue who these peo ple are.

Timon: That is not an option

The Pen

Text: Eva van Laar

As summer turns into fall the classic American holiday Halloween approa ches. This holiday ce lebrated on the 31st of October is clas sically a day when children dress up in costumes and roam the streets asking for candy threatening “trick or treat”. However many people are not aware of the holiday's origins.

The basis for many of our Hal loween traditions is the Pagan Ho liday Samhain, which is celebrated from the 31st of October till the 1st of November. This time is con sidered the most important of the quarterly bonfires. Fire was an im portant part of these celebrations traditionally the hearth fires were allowed to burn and a large bonfire would be constructed. Samhain was the time when the line between the light and dark was thinnest and where the living and the dead were close. It was the end of the summer and the start of the “dark times”. So people left their doors open to invite the spirits of their ancestors but burned bonfires to keep away the bad spirits.

M: I am then a Hamilton fan, but I still have no clue who these people are.

D: Cayley

T: I remain a fan of Hamilton, for mula 1 doesn’t interest me much, but Hamilton has a nice voice to listen to.

12. What are you eating tonight?

T: Stamppot!

Rutger mimics in the background ‘Stamppot’ as in the infamous ad.

M: I do not know

T: I also don’t know what I am going to eat

D: Probably the leftover potatoes from the freezer

M: If you want to know you should probably call my dad.

13. What are you going to do next?

T+D+M: Hanabi with rainbow

T: Afterwards we are going to study

However, when the church came to convert the Celtic, they mixed the holiday with All Saints' Day, a day celebrated on November 1st where all the saints and martyrs of the Christian faith are celebrated. The tradition of children wearing costu mes may have come from children dressing up as these saints and martyrs in gruesome costumes that represented their deaths.

Some other traditions came to America with Irish immigrants who introduced the fun activity of car ving turnips which later became carving pumpkins. This tradition is based on the folk tale of Stingy Jack who repeatedly trapped the Devil and was able to escape hell but he was also banished from hea ven so he was forced to wander as a ghost with his gifted turnip coal. The Irish would carve these turnips to scare away evil spirits. The Ro mans also left their mark on the ho liday with the tradition of bobbing for apples. This party game started as a courting ritual in the Roman holiday honouring the goddess of agriculture and the harvest. Since the holiday was similarly timed and had similar themes as Samhain the two blended together.

Overall like most American things it is a mixture of many cultures and has gone through many iterations but it lives on because of how uni versal and important the changing of the seasons are to so many cul tures.

6

Staff says

A Mathemati cian's Absolution

When starting to work at the Uni versity of Twente in March 2021

I stumbled over the fact that the study program closest to my own field of research was named "Applied Mathemat ics". At this time, it reminded me of many discussions I have had with colleagues and students at my home university about the purpose of mathematics and, as a consequence there of, the distinction between pure and applied mathematics. Quite frequently, my discussion partners voiced the opinion that the true value of mathematics lies in its beauty, not in its practical consequences. An attitude I just recently found reflected in the es say "A Mathematician's Apology" by British mathematician G. H. Hardy, published in 1940.

Indeed, Hardy states that to him mathematics only appeals as some kind of creative art, which does not have to be useful, i.e. increase hu manity's well-being.

"The mathematician’s patterns, like the painter’s or the poet’s, must be beautiful; the ideas, like the colours or the words, must fit together in a harmonious way. Beauty is the first test: there is no permanent place in the world for ugly mathematics."

In his defence, Hardy does not consider the link between aes thetic value and uselessness as necessary. He does not claim that beauty in mathematics re sults from uselessness, but rather that mathematics with aesthetic value happens to be useless. Some mathematicians, however, almost boast about their field of research not having any practical applications. This attitude reminds of a saying that (most likely unjus

tifiably) has been attributed to Carl Friedrich Gauss stating the follow ing:

"If mathematics is the queen of the sciences, then the theory of numbers is, because of its su preme uselessness, the queen of mathematics."

Interpreting this alleged quote liter ally, the queen of mathematics has been unthroned by modern RSA cryptosystems. Not least because the RSA's correctness results from Fermat's little theorem, one of the fundamental results of elementary number theory, whose proof, com pleted by Andrew Wiles in 1994, made use of results from the „pur est“ fields of mathematics, among these algebraic geometry, category theory and homological algebra.

Against this background, it seems astonishing that many universi ties today draw a line between pure and applied mathematics.

A line that, as „The American Scientist“ put it aptly, „too often [...] is a battle line, witnessing skirmishes over scant resources and bruised egos“. To my mind, mathematics must not be al lowed to split into „pure“ and “ap plied“, but should unite to become more than the sum of its parts. My personal opinion is best ex pressed by, yet another, quotation:

"Experience without theory is blind, but theory without experience is mere intellectual play." (Immanuel Kant)

With this I want to pass the follow ing on to the students of "Applied Mathematics": Take delight in solv ing mathematical puzzles, let your self be intrigued by the elegance of the mathematical language, en joy the intellectual play. But, note that true beauty can be found when you recognize pure math ematics in the empirical scienc es, when mathematics becomes more than "mere intellectual play".

When, on the one hand, pure mathematics provides explana tions for empirical phenomena, while, on the other hand em pirical phenomena pave the way for new mathematical theory.

7

Introduce yourselves

R: My name is Rutger van der Graaf and I am the Chairman of the Twick.

N: Yes, we haven't been dischar ged yet.

R: Indeed, so I AM chairman of the Twick.

J: Nice man, ‘Twick hem aan’!

N: ‘Twick hem aan’!

J: Good luck translating that. I'm Jorrit. I am the Secretary of the Twick-In 2022.

S: Don't you have a last name?

J: No. My last name is extremely irrelevant.

S: I'm Sam Baak. I'm the TwickIn's Planning Officer.

R: Miss Planning.

S: Miss Planning.

D: I'm Daan van Kats. Mentio ning the surname is important here.

J: Yes, in this case it is essential.

D: I do logical things.

S: That's Logistics for you.

N: I'm Niels Berg and I've had the honour and pleasure of ser ving as treasurer for the Twick-In 2022 for the past year.

R: You still have the honour and pleasure.

N: That will change soon.

How did you come up with your theme for the committee?

R: Oh, that was a really nice brainstorm.

S: I'm staying out of this.

R: Oh yeah, Sam wasn't there yet. That's right.

N: We looked at all sorts of mo vies and cartoons looking for something with 4 characters of equal importance because the re were still four of us.

R: And all four men too.

S: I feel left out in the number and in the gender now.

J: We were initially going to do the Smurfs with Sam as Smur fette, but Sam didn't want to be in the Twick yet.

S: Oh yes! That's right!

R: We also almost arranged for Eline to be Smurfette.

N: Yes, but she was our board representative, so that didn't

really count and then we chose Ice Age because there are 4 nice main characters there.

R: Yeah. There's not necessarily one in there that's really more important than the others.

N: Yes, exactly.

D: All different characters, but all main characters.

Which character from the Ice Age are you and why?

R: I was Diego, the sabre-toot hed tiger. In fact, everything fell into place quite nicely. Every thing was fairly logically divided in the end.

J: Yeah, I mean…Niels is just clearly a Manny.

N: We'll get to that in a minute. We'll get to that.

R: Diego, of course, is some times a bit irritated with the rest.

S: Ooooh, so that's the match he has with you.

R: He often does the thing they're supposed to do.

N: Diego is the serious one who tries to keep the rest on track.

8
Interview: Twick-In 2022
Last August, the nine days long Kick-In took place again, for the first time in three years with a camp! We talked with the Twick-In, the committee organising all AM-activities during the Kick-In Text: Eva van Laar and Lavinia Lanting

R: Exactly.

N: Stoic. A real chairman.

R: What about you Niels?

N: I was Manny the Mammut be cause his name starts with an M just as mine does. Oh and he is very big.

D: I was Sid the Sloth. I don't ne cessarily know if it was because of laziness.

J: I was the squirrel.

D: Squirrel? J: Scrat.

R: Scrat!

S: And why?

N: Srrrr!

J: I liked that I had a nut.

S: No no no, you didn't have a nut yet at the time.

J: I just thought he was a nice character.

R: And then suddenly Sam came along.

S: Yes, and then suddenly they only had four characters.

R: And we already had shirts.

S: And then I became the nut, because that was left over and it also had some kind of lead role in the film.

R: And it was already in the logo.

J: And Sam wasn't just any nut.

S: No exactly. I was Jorrit's nut. Put it in the Ideaal!. Then we can laugh.

J: Sam became Jorrit's nut.

S: Yes, indeed.

J: Do you know how warm shirts are?

N: Yes, we were looking at shirts, as that is tradition for the Twick. Then Thomas said it was really hot in those shirts.

S: The polos we were chill.

R: Yes, they were chill.

S: It was still warm in those things, by the way.

Are

you satisfied with how the camp and Kick-In went?

S: Yes.

N: Dramatic. Really couldn't have gone any worse.

J: It started bad from the mo ment we saw all those kiddos on the do-group market.

D: They were all present way too early as well.

N: Yeah, hope we don't have kid dos next year. Then things will go much better.

R: Calm down.

S: No, things went really well.

R: It was a very successful KickIn. It was exhausting, but that all happens in the background. In the foreground everything went well, I think.

J: Yes, we slept very little.

S: Oh, I loved the afternoon af ter camp. We had nothing to do all afternoon and we could just sleep. That was really relaxing. I was home at 2:00 PM and just slept from 2:00 PM to 6:00 PM. That was just ideal!.

D: You fell asleep next to the van before that too.

S: Oh me. Yes! And how.

D: Yeah, we were just about to walk away and oh: Sam is sleep ing on the bags.

N: And we really had to go to the Abacus room, but you were just sleeping there.

J: Oh yeah, and then we tried to throw that soccer ball at you to make sure you were alive.

S: Yes, I felt that, but I just thought: Jorrit, fuck off.

R: Anyway, camp went well.

D: There was really a lot left. Es pecially wine and Fanta.

Which activity are you most proud of?

J: Yes, the night game! First eve ning. Mountain and I did well!

S: Can't we even vote on this!?

J: No no, this is per person.

N: Yeah, it was a really beautiful game. Jorrit and I just went to an Inter-Actief FriAD in the middle of the holidays to work out the night game together.

J: And then suddenly we were singing karaoke.

N: Oh yeah, that's right.

R: I wasn't even at the night game. I was dead. You can see that in the pictures.

N: It was a fun game. Let the kid dos run in the dark in the woods. J: Looking for Chendo. N: Chendo with his dirty under wear.

J: He was the killer. N: Chendo killed Rutger with dir ty underwear in the Abscint. J: Rutger also fainted…he really went down at camp.

R: So there are pictures of that. N: Rutger was explaining what we were going to do when all of a sudden he said 'Ah! ah…' and he slowly laid down on the floor.

R: Jorrit then also ran in screa ming 'Oh, no! Rutger is dead!'.

S: 'Anyway, we're going to do the night game now.'

D: The sjaars were also super confused.

N: Sam, you can be proud of the groups. It's not really a game, but they turned out very well.

R: It was a game for you.

S: That's true. For each acti vity Jorrit and I made different groups and made sure that eve ryone would be with new people each time. We spent two hours in the Abacus room. We first made groups once and then I would ask if certain people could go in a group with each other and Jorrit would cross-check that for me and this for six different acti vities. The last few were the har dest as most of the combinati ons had already been used. But we did enjoy it, didn't we, Jorrit?

9
Why did you decide to wear polo shirts instead of a nice shirt?

J: Yes!

R: Sports day was fun too.

D: Some kiddos were a bit too energetic at times.

What was your biggest achievement as a committee?

N: The Kick-In.

R: I do think that everyone mixed really well with each other, also because of the groups. That was a really good thing instead of leaving the groups up to the kiddos so that the same people would always stay together.

If you could do it all again, what would you change?

J: I think Mountain has already told you that.

R: Maybe make sure there's a little less chaos right before the start, but you'll always have that.

J: That was not too bad.

D: It's also because there are a lot of things that you just don't know before the start.

R: Yes, that's right. There isn't re ally anything I'd change either… wait, yeah! Stamppot!

J: No!

S: No!

N: No, I wouldn't change that sig nificantly.

R: Yes and that the night game started much later and every thing was delayed.

S: Well, with the night game it wasn't really a problem this time. In 2019 it was much wor se. Those post-its on trees were almost invisible.

Is there something you wish had gone differently?

N: Yes…we've had a really massi ve evaluation, but not much has come out. Although...you should not order sports equipment from Denekamp.

S: The barbecue has to be orde red a little earlier. The quantities could also have been better es timated, perhaps, but there was not really anything that should change drastically.

J: No hate on stamppot

R: Okay, okay…a better furnace then.

S: Bring kettles.

D: How did the Twick-In 2019 manage to boil water properly.

R: No, they also took much lon ger than planned.

N: And at FYASCO we didn't have stamppot.

J: Yeah, what a FYASCO that was.

R: No, but I think in 2019 it went just like it went for us.

D: The cooking took longer than planned.

S: Yes, I remember that too.

R: Uh, promote more.

S: Yes, promote more.

R: It's very simple: we forgot to promote more.

J: And we were a little late with it too, unfortunately.

R: We did indeed promote too late. That's a better wording, be cause we did promote.

S: Maybe also promote through several people next time instead of only through one.

Why did you decide to go back to making stamppot for the first evening?

R: Because we also had to eat stamppot back then.

J: No, it's super delicious!

N: It's delicious!

J: And it's tradition.

N: Defend the Dutch culture.

S: Raise the kiddos well.

R: Stamppot is a thing. The thing of the camp, so to speak. And we did put salt in it this year. I remember very well that in 2019 it had no salt and everyone said that the saltiness of it was only because of the bacon in it.

D: This year we also had vegeta rian bacon thanks to Eline.

S: That is really something that should be put on the shopping list: vegetarian substitutes for the stamppot.

10
Do you think you could have done something different to ensure more staff had showed up to the barbecue?

D: Vegetarian substitutes?

R: You mean meat substitutes.

S: Yes, meat substitutes indeed. Anyway, we didn't include that in the shopping list initially and then Eline noticed that vegetari ans would only eat potatoes with endive and that was not parti cularly tasty. She made a good point.

R: We also had no cheese.

D: Cheese?

R: Yes, there were a few people, I'm not going to name namesJ: Thomas!

S: Yes, Thomas.

R: Yes, well, he puts cheese over stamppot with endive.

S: Yes, many people do. You have either the endive stamppot with butter and milk or without milk and butter or with milk and butter and cheese.

Did you manage to get rid of all the endive?

R: No. I've seen people put it on toasts here at Abacus.

J: We did get rid of it. The trash can was hungry.

S: At camp people also started eating it with bread.

R: Oh yes, people made endive sandwiches at camp.

N: Endive comrades!

D: We ordered way too much.

S: That has to be taken into ac count. I always only put half of the endive that is indicated in re cipes in the stamppot, otherwise the stamppot will turn so green that you are actually eating en dive with stamppot. Buy less en dive next time.

What has been your favourite part of the Kick-In?

N: Pre-Kick-In party.

D: Yes! Pre-Kick-In Party!

J: We didn't have kiddos back then.

D: The Pool Party was a good one too.

S: I liked swimming as well.

D: Swimming at the Pool Party?

S: No, swimming at camp. Also because the kiddos were all so excited.

R: I'm thinking...

J: I loved the hero breakfast I shared with Chendo and Enzo.

R: The board presentation was really nice.

D: And the 'bonte avond' was very nice.

S: I can't really say I'm proud of that. Certainly not.

N: Oh, I can.

D: You could say a lot about it, but it was fun.

R: I thought it was a bit special.

S: Yes…

R: Oh and the Pool Party is al ways fun, but that's just drinking beer in the pool: of course that's fun.

What do you think of the freshmen?

S: Nice!

R: Nice!

S: Nice kiddos.

J: We love all the kiddos.

R: Yeah, nice kiddos. Nice group.

S: Everyone had a good time as well. Everyone also helped clean up on Wednesday.

Do you have a favourite freshman?

J: Yes! Mark! R: Mark! N: Yes, Mark is really my favou rite 'sjaars'.

Do you have anything left to say?

J: Who reads must chug a beer.

R: No! Not this again! Jorrit also had this as a final comment for 'A Day With…Candidate Board'.

J: Yes, but now as board.

R; Thank you all for the very nice Kick-In! J: Bleh!

S: It's a shame it's over. D: It went by really fast.

R: We are really looking forward to the coming year.

J: Shout out to the Ideaal!. 'vo for the Ideaal!.

11

Your Story

Finally, after many months filled with work the long awaited summer comes. The time when you can put aside the books and enjoy the nice sunny weather while hanging out with friends, spending time travel ling or just enjoying period filled with enjoyment. The perfect time for any university student, am I wrong?

For the lucky ones who somehow has not heard my loudmouth in Edu or during the lecture, let me introduce myself. I am second year student by the name of Herkus and I will tell you about my experience, happiness and travelling filled sum mer holiday.

Since I am an international stu dent, first step was taking a plane to go back to my home country Lithuania, which I did take a few days after the last exams and pro ject presentation, July 8th. The first week back I took the opportunity to reunite with my family and rela tives and finally see my hometown friends, so basically the entire first week was spent just travelling with a car to see everyone.

Then me and my close friend had an idea it would be fun to travel abroad and hike in the mountains, so the second week was spent in countryside planning the trip, buy ing the tickets and all the boring preparation for any trip. However, leaving the busy city and going to countryside was really great way to finally get my mind off the studies. Now the 3rd week of summer holi days came, and all the fun started. As planned 1 week holiday abroad in Poland was taking action. We travelled by bus to Zakopane at the south of Poland, a 15 hour bus trip, however once we reached it, I knew that now the real fun starts. By real fun I mean two, all day long, hiking routes. The first route was

around 25km hike around the 4 lakes leading to the biggest one Morske Oko. You start the hike at alti tude of 950m and little by little climb to the highest point of 1950m, yes 1km incline climb, however I can assure you, it only sounds scary, while in reality I think walking up Horst tower is more difficult. If you ever visit Poland, I highly advise you to visit this place, be cause the scenery there is just bre ath-taking (if you want you can con tact me via Instagram for details). Since, the first route was not that challenging, we decided to take a harder route, the one that has steeper incline. So, the next hike in Poland, Zakopane as well, was to the peak of Kasprowy Wierch, similar high, however the trail was shorter only about 15km, however the incline was only for 3km, thus it was really challenging to climb this mountain. While I would say the scenery wasn’t as astonishing as in the first route, the way back, was really beautiful, filled with lo cal flowers and more surrounding greenery. Lastly, on the way back, we also decided to stop at city of Krakow, while it wasn’t my first time in the city of Krakow, however there was plenty of this that I still wan ted to see and explore, food to try and just relax before the long bus journey home. Once back, the next week was spent once again just spending time with friends, relaxing and finally celebrating turning old :(. Jokes aside, had the best birth day I have ever had and thanks to everyone who wished happy birth day to me! :)

Then for the last two weeks of the summer holiday, once again I took the opportunity to visit a country, or should I say an island that I wanted to visit for a long time. So, my family and I went on a holiday to Madeira Island. And after those two week I realised that in the future I

want to live there, because this pla ce felt like home: From the culture to food, from scenery to weather, from ocean to mountains, it was just perfect. While it may be just a small island, however there is more than enough to see. For example, the island is known for their plan tations and water canals for these plantations. However nowadays they have been made into passa ges for tourists so they can see the views and greenery themselves. Also, since the island is in the At lantic Ocean, you can take a boat to see the dolphins and let me tell you, those creatures are amazing. Lastly for those who like seafood or other sea delicacies, you will have an opportunity to try many of the while you there. So, if you ever have a chance to visit Madeira Island or planning to go somewhere, then I would highly advise giving it a try!

While, I had a lot of fun during the summer, I was really looking for ward returning to Twente and meet with the course mates and finally see the new kiddos at the Kick-in and Camp! Overall, what an ama zing summer after a long year of hard work.

12

Review Association: D.B.V. de Stretchers

All sports, One as sociation. As qua si-mathematician I understand just as well as you that our slogan is in fact, total crap. All sports? Well… We do a lot of them. You’re probably familiar with soccer, volleyball, Fris bee and badminton. Maybe you’ve even been lucky enough to have played some knotsball. But have you heard of MERTEBAGball? It’s a Dutch acronym for “Met Een Rugby bal Tegen Een Basket Aan Gooien”bal. It’s basically basketball but played with a rugby ball. And it’s pure chaos. And I love it.

I was introduced to the Stretchers by a housemate of mine while run ning the Batavierenrace with them in 2019, my first year of uni. That same year I became a full fledged member and a year later I became treasurer. With my third year of being board in a row (twice chair man after my financial escapades) I can comfortably call myself a resi dent octopus enthusiast. I find our mascot very fitting, as it represents not sticking to one thing but wan ting to try out as many different things as possible. Because that’s what we do. If you’re there on both Monday and Thursday evenings, you will have played 4 different sports.

The charm of our association is that we believe in socially engaging all our members. Throughout a year a multitude of different activities are organized by our own members. Want to gain those few pounds back you’ve lost? You can attend our cake baking contest! Our big gest activity, next to this years Lus trum, is the Closing Weekend that is organized every year, which is an action-packed weekend of camping and other fun stuff. It’s always a perfect moment to get to know your fellow Stretchers outside the sports halls.

With such broad sporting aspira tions, we love trying new things. Last year alone we went climbing,

ice skating, played some Quidditch (look ‘em up: Twentse Thestrals), won the korfball tournament and did some laser ga ming. Though our associ ation might be small, I’m always surprised when talking to other people and hearing they know us from somewhere (and now you do too). The U-Today even wrote a piece on us! (https:// www.utoday.nl/clubge voel/71710/achttiensporten-onder-dezelfdevlag-bij-destretchers)

With my recent diabetes type 1 diagnosis, staying active is more important than ever. What I love about the Stretchers is that we don’t feel the need to keep score and everyone can pick their own pace, meaning I can also take it slow on a day when I’m just not feeling it but still want to play some dodgeball.

Going to the gym is not my thing, but while having fun I can sneakily get myself to actually exercise.

You can find us playing sports on campus on Monday at 20:15h and Thursday at 18:30h. You can also find us online on our website www. stretchers.nl and on Instagram @ dbv_de_stretchers

13

About DMMP: Discrete Mathematics and Mathematical Programming

DMMP ?

The research areas of the staff members of the DMMP group are broad, with a fo cus on all kinds of discrete models, optimization, as well as design and analysis of algorithms. In a nutshell, DMMP represents the “discrete op timization” part of the Mathematics of Operations Research (MOR) clus ter of our department. The other parts of MOR are the Stochastics group headed by Richard Bouche rie, and the Statistics group headed by Johannes Schmidt-Hieber. Let us dissect the name DMMP.

Clearly, Discrete Mathematics is as old as mathematics itself, and is concerned with all kinds of finite structures, e.g., the integers, geo metry, graphs, or networks. Howe ver, our focus is mostly on discrete optimization, which as a mathema tical field is much younger. One of its founding fathers is G.B. Dantzig, the inventor of the simplex method for linear programming problems –indeed a “discrete” algorithm that iterates over the finitely many verti ces of a polytope.

Historically, and contrary to what one may think, the term “pro gramming” (in either Linear Pro gramming or DMMP) does not necessarily refer to writing com puter programs. In Dantzig’s time, around the 1940s, this term was used to describe the computation of a “time-staged deployment, trai ning and logistical supply program” (Reminiscences about the origins of linear programming, G.B. Dant zig, OR Letters 1, 43-48). By now, the term “programming” has been largely replaced by the less mislea ding and more general term “op timization”, as in the name of the Mathematical Optimization Society (MOS), formerly known as the Ma thematical Programming Society. Yet, even the label “discrete opti

mization” (or DMMP) does not do justice to the breadth of topics that the group members work on, so let all of them pitch themselves, in alp habetical order.

• Antonios Antoniadis: My main research interests lie in the area of online and approxima tion algorithms for discrete optimization, with a focus on problems related to energy efficiency, scheduling theory and Euclidean graphs. In re cent years I have also been increasingly working on Lear ning Augmented Algorithms, a novel area of research that combines the advantages of worst-case analysis and ma chine learning approaches.

• Ruben Hoeksma: I am the lecturer for the Graph Isomor phism Project in Module 7, Ma thematical Optimization/Opti mization Methods and Neural Networks (Mod11/ Mod5, old/ new curriculum) and for the Py thon Programming line. For my research, I’m broadly interes ted in Combinatorial Optimiza tion under uncertainty, where uncertainty can come from the fact that the future is unknown (online/robust optimization/ exploration), agents within the system have private informa tion (mechanism design) or agents behave according to their own goals (game theory).

• Pim van ’t Hof: During my time as a PhD student and postdoc, my research focused on graph theory, graph algo rithms, and parameterized complexity, a branch of com putational complexity theory that provides a framework for a refined analysis of hard al gorithmic problems. No longer an active researcher, I now enjoy teaching courses such as Graph Theory and Discrete Mathematics, as well as calcu lus and linear algebra courses to first-year students of diffe

rent study programs at the UT.

• Johann Hurink: My background is in Combinatorial Optimiza tion and Scheduling. However, in the last years my main in terest is in the area of smart energy systems and especially in decentralized energy ma nagement concepts and appro aches. Here I am leading a mul ti-disciplinary research group covering the whole spectrum from conceptual research up to real world implementations.

• Jasper de Jong: I did my PhD re search in game theory. Specifi cally, I focused on the quality of equilibria when players choose their actions sequentially. I am now a full-time teacher, tea ching only bachelor courses. I am the module coordinator of module 2, where I teach Linear structures 2. I am also involved with other bachelor courses, like discrete mathematics.

• Georg Loho: My research evol ves around combinatorial and geometric objects arising in fundamental algorithms like linear programming, in parti cular polytopes and matroids. Based on my algebraic back ground, I am also interested in structural insights in these objects. I am involved in tea ching Discrete Maths, Algebra and Optimization in Transport.

• Bodo Manthey: My main area of research is analysis of algo rithms, mainly for discrete op timization problems, for which classical worst-case analysis does not give a satisfactory explanation of their practical performance. About this to pic, I also teach a Mastermath course “Algorithms beyond the worst case”. In addition, I teach “Limits to Computing” in the Master, and I am involved in va rious modules in the Bachelor.

• Lerna Pehlivan: I teach Calcu

14
What or Who is

lus for various majors as well as Discrete Mathematics for Com puter Science pre-master stu dents. I am also involved in Li near Algebra courses in various modules. My research focuses on analytical number the ory as well as probability and combinatorics topics such as random pattern avoiding per mutations and card shuffling.

• Gerhard Post: I am lecturer with a very limited appointment. My research interests lie in time tabling and vehicle routing.

• Clara Stegehuis: I am intere sted in the mathematical pro perties of large networks. On which network can an epidemic spread efficiently? What types of subgraphs are important for the network to perform a specific function? And can we use machine learning algori thms to find these? I teach the course Stochastic Processes in the MSc program. I also en joy science communication, so I often write or present about my favourite mathema tical topics for non-scientists.

• Marc Uetz: I coordinate the mo dule Discrete Structures an Effi cient Algorithms in the BSc, and I teach Discrete Optimization in the MSc program. My research is on approximation algorithms for discrete optimization, and algorithmic questions in Game Theory, e.g., the price of anar chy, cost sharing, or the design of mechanisms, which is opti mization for society while taking selfish individuals into account.

• Maria Vlasiou: Most students will wonder who I am. I work only part-time at UT and typi cally come twice per month. As a result, I am only involved in very few instructions in Mo dule 8, and of course super vision of theses. My research interests are mainly in stochas tic processes and stochastic

operations research. I work on the performance of networks that interact with one ano ther. Such networks appear in many applications, such as manufacturing, call centres, and healthcare. Often times, the dynamics of the proces ses are driven by optimisation, which explains why I chose for DMMP as we enrich each other

• Matthias Walter: My main re search directions are motiva ted by practical optimisation problems for which mixed-inte ger optimisation does not work right away, but where applica tion of theory can help to im prove solution times drastically. Consequently, I also love to teach this topic in the Master, whereas I contribute to the Py thon programming education in the Bachelor. I also care about the recognition of matrices that have some combinatorial struc ture; in fact I try to combine the se two areas by algorithmically detecting structure in optimiza tion models.

As you can imagine, this gives plen ty of directions for MSc and BSc students for finding interesting to pics for their traineeships or final projects. Companies with which we regularly cooperate in student projects are DAT.mobility, mobi.dot, Thales, NS, and ORTEC, to name just a few. Feel free to contact any of us with any questions you may have.

15

Chain Interview

Text: Lavinia Lanting

For those of you who may be new to reading the Ideaal!, a chain inter view is an interview of a very pecu liar format. A member of the Ideaal! thinks of a question to be asked to a random person. The person being asked not only has to answer the question, but must also think of a new question, which will then be asked to some new random per son. This continues on until the in terview then ends when the mem ber from the Ideaal! who had first thought of a question answers the very last formulated question, such that the circle is completed.

This is how it went...

If you had a podcast, what would it be about and what would the ti tle be?

Jorn: JORuN and it would be about running.

If you could change any one event from your past, which event would that be?

Sarah: Probably Covid-19. Does that count?

Do you think you picked the right study or would you rather do another one?

Emile: I think I picked the right study. I wouldn't want to do ano ther study and I also wouldn't know what else to do.

Do you think you are well prepared?

Jorrit: *chuckles* I'm in danger.

Hearts, spades, clubs or dia monds?

Hugo: Spades, because the Ace of spades is in there.

What is your favourite snack from the Abacus cookie terminal?

Jonne: Skittles.

What is your favourite game from the games shelve in the Abacus room?

Cas: Chess. The board is not on the shelves, but the pieces are, so San ne says it counts.

Do you ever pee under the sho wer?

Martijn: I mostly shower with other men, so I find it rather uncomforta ble for others to pee under the sho wer then. If I shower alone though and I really need to go, I do pee un der the shower.

What was your public most shameful moment?

Samuel: At my old school I went to change for PE and realised I didn't bring my PE clothes with me once I had changed out of my uniform. I walked out of the changing room in just my underwear and the head master saw me.

What do you hate about Dutch people?

Eva: Old Dutch man like to joke around with you even though they are complete strangers. Sir, we are not on that level!

What was your most embarrassing drunk moment this year?

Jagi: I went to the bathroom at the Vestingbar and saw the bathroom work with running water along the wall and on the floor and confused ly asked:"Why do they have a water fall there?"

How many people from Abacus have you kissed?

Oisín: I probably kissed Chendo, Jorrit and Thomas, but those were small kisses. I French kissed Lieke and Milo.

What is your spirit animal?

Marieke: I think it would be a sloth,

because they just hang in there. What is your favourite piece of fur niture?

Tim Zijlstra: I would say the wardro be, to hide in.

What is the best way in which you have broken a rule?

Jorg: I once cheated on an exam by accident. For some reason I was expecting the wording 'prohibited' rather than 'not admitted' on the in structions we received for an exam, so I brought a calculator to that exam and used it as well. Nobody told me anything either, so I only re alised this afterwards. I think I pas sed that particular exam thanks to my lack of knowledge of the English language.

What would you do with a single minute of free shopping a super market? What would your strate gy be?

Lavinia: I actually have thought about this multiple times and I think I have an answer. Person ally, as a vegetarian, I would raid the vegetarian meat section. Most of those products can be kept for quite a long time, can be used in a huge variety of dishes and are costly too, so my wallet would cer tainly be very happy. They also have one great advantage compared to expensive alcohol, which I know some people would like to go for: their packaging is in plastic and, as such, not that damageable, so you can literally throw the stuff into your shopping cart without thinking too much about it. Who knows, I might even be able to spare some time to rush to the nut section and grab some pecans to go.

16

What makes local special?

As some of you may know, I am proud to be from a small town in North-Holland. This town is called Langedijk (or as the locals call it: Ldijka City). This town of about 20,000 people lies very close to Alkmaar, north of Amsterdam. How proud I am of being born in a town that is best known for appearing in Spider-Man1 is worth investigating. People inherently value things that they feel they experience with a close circle of people – and only those people can really share that specific experience. Having things in common, particularly weird things, helps quite a ton in bonding with a group of people. This made me wonder what kind of interesting traditions people invent to celebra te in their home towns! This story will therefore deviate to traditions in certain towns and cities (and in this piece, coincidentally in the Ne therlands).

Langedijker Beddenrace –hometown of Erik Leering

My personal favourite tradition in Langedijk (and part of the reason for writing this story in the first place) is the 'Beddenrace'. As the name suggests, it is a race invol ving beds. How does a race, where the goal is to move a certain distan ce as fast as possible, include a bed, wherein we are not inclined to move at all?

The answer is of course: team work! The Langedijker 'bedden race' is a relay race of sorts. While you are snoozing in your bed, which just so happens to have wheels under it, your partner is running you around town like cra zy. Whenever they feel too tired to continue, the two of you swap 1. Yes, we were in “Spider-Man: Far From Home”, and the way in which we were re presented is even worse than you could ever imagine. The farmers walk between pigs on their traditional dutch 'klompen'. You can look it up on YouTube if you type “Spider-Man Broek op Langedijk”. Obvi ously, I love it!

places, so that you run while your partner gets to rest up. This conti nues for several trips around the town. Meanwhile, the rest of town, which includes me, is of course just standing around drinking beer.

https://www.rodi.nl/dijken waard/292828/beddenrace-lan gedijk

Koerennen (or, cow running) –hometown of Emma Batens

In Limburg, of course, Carnival is celebrated every year. Hoensbroek is a village in southern Limburg with a unique Carnival tradition: cow running (‘koerennen’ in Dutch and ‘kowrenne’ in the local dialect).

'Koerennen' takes place on the Thursday evening before Carnival on the Hoensbroek market and it has been a tradition for more than forty years. During this celebration, life-size papier-mâché cows com pete against each other in a race consisting of different parts. They compete in a sprint, do the chair dance, participate in a wheelbar row race and even in an obstacle course. Inside the cow will be two participants who try to win the race together for their team.

https://www.limburger.nl/cnt/ dmf20200219_00148291

17

Interview with Stef - a born maths teacher!

A maths teacher I wish I could have had!

During secondary school, Stef al ready knew he wanted to become a teacher. After visiting the open days of the PABO he found out that the programme did not suit him, so he looked further into his opti ons. In the end, he opted for the Bachelor's programme in Applied Mathematics because he also had a soft spot for mathematics and, after all, it is the basis for almost everything you encounter in socie ty. The UT also offered the possibili ty of becoming a maths teacher, so he didn't have to give up his dream of becoming a teacher.

Back on track to become a teacher

In my bachelor’s programme, I chose the minor 'Leren Lesgeven' which allowed me to experience what it is like to be in front of a classroom and gave me the chance to explain the beauty of mathema tics. I received a diploma to teach the lower grades of secondary school. I recommend this minor to anyone who wants to know what it is like to be a teacher.

During my Science Education and Communication Master’s, I lear ned a lot about teaching methodo logy and education. Because my parents also worked in education, some things felt very logical to me. I researched what worked best for me and what tips and tricks I would take on to become a great teacher. What I liked most about this training was interacting with the students and seeing how well they respon ded to me during my classes. Get ting to know in-depth mathematics

was more difficult than learning the teaching methods, studying educa tion science and doing internships at school. Actually, I would have li ked the period of work placement to be longer in order to get more practical experience.

No more sorting out on paper

During my graduation assignment, I worked on a new activity program me. Students could sign up for ex tracurricular activities, and sche duling was still done with pen and paper. I started programming to de velop a digital activity for secondary schools. Teachers shared the acti vities in the system and students could indicate their preferences. No more juggling on paper! The pro gramme was used with great plea sure - and pride - by my mum.

Beyond studying

My student life was great. Besides being a student, I was a board mem ber of WSG Abacus as an education commissioner. I maintained con tacts within the faculty and learned a lot about the design and develop ment of education. My work on the board changed my personality, as I found myself outside my comfort zone. From a somewhat shy person, I became someone who did not shy away from trying something new, I no longer found it difficult to take the floor during meetings or to give my opinion, and it certainly made it easier to speak in front of groups. I was also a jury member (and ques tioner) of the Twentse Wiskunde Es tafette for a number of years. Now,

as a maths teacher, I try to partici pate every year with all our 4th and 5th maths D VWO classes - and to win, of course! Also, I was an edito rial board member of Ideaal! A lot of nice memories for sure!

A life as a maths teacherbut what does that actually mean?

I work at the Stedelijk Kottenpark, a school that focuses on HAVO and VWO. During my studies, I learned how to teach and what to pay at tention to in class. Because of my experience, I know that you have to stay true to yourself and have a passion for the profession. In ad dition to ensuring a good transfer of knowledge, you need a good at mosphere in the classroom. Being a teacher is more than just tea ching, you also need a great deal of people skills to ensure everything runs smoothly. I really like being a teacher!

I appreciate that the school ma nagement gives me space to test things out. For instance, I have developed a concept for 3 HAVO in which pupils learn at their own

18
Interview: Stef Kleinluchtenbeld Text: Diana Dalenoord

pace. They first watch the explana tion of a mathematical subject via a video, and in class, I try to help or guide each student individually. This way, there is time to review and give feedback on the students' work. Not every class can learn at their own pace, so it has to fit the class to be successful.

More than a maths teacher

I am part of a team of teachers from various disciplines that develops the 'Science, Design & Technology’ trajectory, where the students get more than the standard lessons. Students work in modules of 10 weeks on a special theme such as programming combined with health care, where students use gamifica tion to clarify the limitations of li ving with a physical limitation. This way they experience how their edu cation is applied in society.

It's also great fun to be an internship supervisor for stu dents who want to go into education just as much as I did. These can be students doing an internship for a mi nor or HBO students - they teach the lo wer grades of se condary school - or Master’s students who teach the classes, from 4th to 6th grade in secondary school. As a supervisor, you can stimulate your trainees to think out of the box and visualise how they would like to organise the lesson. Then it’s time to let them try it out. This way, I also learn from it!

Stef: "As a maths teacher you not only need a love of maths, but also a click with your target group!”

In short, I highly recommend tea ching at a secondary school. You have to dare to stand in front of groups, always ask yourself how to keep it fun, love people and have a natural click with the target group. And of course, you must have en thusiasm and love for the profes sion. It’s a dream job!

Name: Stef Kleinluchtenbeld

Bachelor’s: Applied Mathematics @ UT, NL

Master’s: Science, Education and Communication @ UT, NL

Job: Mathematics Teacher @ Het Stedelijk Kottenpark, Enschede, NL

Puzzle: FrogFrogFrogFrog

Text: Jorn de Jong

Beware, the following may sound boring at first, but it is actually a frogging’ awesome puzzle.

A frog is wondering, by picking n distinct integers smartly, how many pairs of two integers add up to a power of 2. For example, for n = 3, you can take: {-1, 3, 5}:

• -1 + 3 = 2,

• -1 + 5 = 4 and

• 3 + 5 = 8.

So there are 3 pairs adding up to a power of 2. Now the frogs wants to go bigger and he needs your help.

For n = 11, how many pairs can you make adding up to a power of 2?

19
20 Just Abacus
21 Things...

On Multi-Stage Job Processing with Asymmetric Transition Costs between Operations

The motivation to write this thesis was deeply rooted in the idea of making fas ter ice cream, pro ducing cheaper ice cream and making ice cream produc tion more mathematical. In effect, the central idea I kept in mind while writing my thesis was ice cream.

1. Introduction - The Grim Reality of Making Ice Cream

When trying to make ice cream on an industrial scale, there are often multiple steps required, for dif ferent flavours different steps are needed and increasingly due to health concerns like due to aller gens and other dietary restrictions, there is an increase in complicati ons in choosing which step to per form for which product in which or der. This can be seen in a small toy example in Figure 1 and Figure 2.

The decisions are further complica ted by the fact that doing one task consecutively after different tasks have different costs associated with them. The optimal schedule for the problem in Figure 2 is shown in Figure 3.

For getting a better mathematical understanding for these scheduling problems, we begin by creating a model, produce theoretical results of the computational difficulty and in this article we present some in teresting results when we are res tricted to only having one machine.

2. Model

To understand our problem at hand, we first need to define a mo del through which we can study the difficulties that arise and also compare and contrast between existing models and results.

A natural candidate for creating a model for problems re miniscent of scheduling, algorithmics are models that em ploy the use of graphs.

Directed graphs are a very natural way to visua lise and un derstand de pendencies because they provide the intuitive res triction of ha ving to visit a vertex be fore we can visit other vertices, since tho se vertices are only acces sible through another vertex.

Because of the abundant use of graph-like modelling methods for scheduling, cost optimisa tion and algorithmic problems, it also allows us to adapt and use existing algorithms for com pletely new problems in a ma thematically rigorous approach.

First, we give a glossary of com monly used words in scheduling and cost-optimisation problems:

1. Job: An activity that may con stitute many operations to be completed for the job to be con sidered complete. For instance, making tea is a job.

2. Operation: The smallest task that cannot be broken down into smaller tasks. For instan ce, boiling water for the tea is one particular operation in the job of making tea.

3. Machine: An instrument through which a particular operation of a job can be com pleted. For example, an electric kettle is a machine.

22

4. Dependency: This relates two operations of a job, which im plies that to start an operation we must complete/wait for the completion of another opera tion. For example, filling the water kettle is dependent on boiling the water in the water kettle.

2.1 Model Definition

Let F = <J, M, D, c> be the instance of the facility cost problem. The ins tance is defined as follows:

• J = {1, . . . , n}. The jobs the facil ity has to process.

• M = {1, . . . , r}. The ma chines the facility has. In this model, a particular op eration of a job will already be prescribed on a machine it will need to be processed on. Without loss of generality, the final operations of each of the jobs which have no process ing time can be completed on a dummy machine, as those operations are only a marker of the job being completed. Each machine can only process one operation at a time.

• D = (Dj )j∈J. Each Dj represents the dependency graph of each job j for all its operations. These are represented as directed acyclic graphs of the opera tions for each job j ∈ J Each Dj = (Vj , Ej ), where:

◊ v ∈ Vj is the operation that is part of the job j ∈ J.

◊ (u,v) ∈ Ej ⊆ Vj × Vj such that Dj is acyclic.

◊ M(v) ∈ M is the machine v needs to be performed on.

◊ T(v) ∈ ℕ is the processing time required to process an operation v independent of other operations done.

◊ preds(v) = {u | (u,v) ∈ Ej } de fines the predecessors of an operation v. This set can be ∅.

◊ Denote by f(j) ∈ Vj the ope ration such that f(j) is that this is the last operation for

the completion of the job with zero processing time. Note: if no such operation exists, the job can be mo dified to add a terminating operation, f(j) = ˆf with T(ˆf) = 0 and M(ˆf) can be assig ned to a dummy machine a nd adding the edges con necting the terminating ope rations with an out degree of 0 to this dummy operation ˆf without changing anything about the job itself.

• For convenience, we define the following sets: (1), and For all m ∈ M we define V|m = {v ∈ V | M(v) = m} (2) where V gives the set of all operations and V|m gives the set of all operations that need to be performed on the ma chine m

• c = (cm)m ∈ M where each c m : V|m × V|m → ℕ. For each operation v ∈ Vj for a job j ∈ J, the extra time to perform an operation v due to the preceding operation u on the same machine is de fined as cM(v)(v, u). This encap sulates extra time incurred due to the last job and the actual cost for running the job v on the processor of the machine m.

For all operation v, we define cm(v, θ) := 0. When calculating the cost, we require this for an operation which has no prece ding operations.

2.2 Desired Solution

The desired solution is the sche dule, s : V → ℕ. Essentially, the schedule is the map for each ope ration that maps each operation that needs to be performed to the time unit t ∈ ℕ at which it needs to be performed.

For example, if we have the operati

ons a on machine 1, b on machine 2 and c on machine 1 are to take place at time 0, 0 and 2 respecti vely, then s(a) = 0, s(b) = 0 and s(c) = 2.

2.3 Constraints and Assumptions

Constraints: Now we can define the constraints on the facility cost problem.

Let a schedule s be given for a fa cility instance. We define the follo wing functions and conventions for convenience to talk about different aspects and events of the model:

• starts(v) : V → ℕ be the time at which the operation v starts.

• end s(v) : V → ℕ be the time at which the operation v ends.

• bef s(v) : V → V be the operation that is scheduled before opera tion v on the machine M(v). If there was no previous operati on scheduled, then it returns ∅

• ans(v) = ({u ∪ ans(u)}), this is the set of all ancestors of v Since each Dj is a directed and acyclic graph, we do not have the case where a node is its own ancestor.

• Define starts(∅) = ends(∅) = 0.

Then for the schedule to be valid, we have the following logical con straints due to dependencies on other operations:

1. All dependencies of the ope rations v must be completed first before v starts proces sing. This can be written as: ∀ j ∈ J, ∀ v ∈ Vj ,∀ u ∈ preds(v): starts(v) ≥ ends(u). (3)

2. Before starting the job v on a machine m, the job sche duled before v needs to be completed. In our model, each machine can only do one ope ration at a time, therefore we only begin processing the next operation after

23

the end of the previous ope ration. This can be written as:

∀ m ∈ M, ∀ v ∈ V|m : starts(v) ≥ ends(befs(v)). (4)

Assumptions: We analyse the mo del with these base assumptions.

1. A machine can only process one operation at any given time.

2. All processing times are deter ministic.

3. Each job has a single starting operation and a single final operation. Formally, this means that the job has one starting operation and one ending ope ration, which can be the same operation as well. If this is not true, the original job can be modified by adding extra ope rations with transition from and to, respectively, with zero pro cessing time on a dummy ma chine.

Note: We do not require cm(u, v) = cm(v, u). That is, the cost may not necessarily be a symmetric func tion.

2.4 Objective function

Finally, we define the calculation of the cost function that is to be mini mised.

Maximum Makespan Formula

tion:

• Finishing time of a job, j ∈ J de fined as s(f (j)). This follows from the fact that each f (j) is the final operation of the job j with zero processing time.

• The cost function that we want minimise over can therefore be defined as C(F,s) = maxj∈J s(f (j)) (5) where F is the instance of a facility problem and s is the schedule that satisfies the constraints of the problem instance F. Since f (j) is the last

operation of each job, which by definition has zero processing time on the dummy machine, each s(f (j)) is the makespan of the job j and the cost is called the maximum makespan of all the jobs.

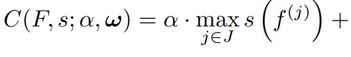
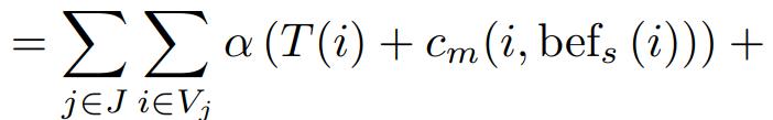
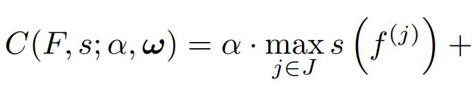
General Cost Formulation: C(F,s) in scheduling is called the maxi mum makespan objective function, that is the time at which all opera tions for all jobs have been com pleted. However, in some cases, we might want to consider adding different weights to each transition cost and processing time. For ins tance, when cleaning, a particular method of cleaning always done between two operations might be fast as opposed to when the order in which the operations are done is reversed. But, it may be expen sive to undergo the former cleaning process, in which case the facility might want to avoid having that par ticular transition cost at all where possible, despite it being faster. The above function does not cap ture this. However, we can modify it to allow for such a case, and we can also show that the maximum makespan minimisation can be achieved from this formulation if required.

Let i, k ∈ V. Then, let ωi,k ∈ ℕ be e the weights assigned to the extra time spent performing the opera tion k before i. Let α ∈ ℕ0 be given. Then, we define the general cost function as:

part of the model themselves, but are parameters solely for the cal culation of the overall cost. This is a modelling decision since the ob jective function itself does not influ ence the model; hence, we choose to separate them.

Notice that setting ωi,k to 1 for all i, k ∈ V and setting α to 1 for all j ∈ J, we get exactly the maximum ma kespan cost function. In practise, these weights ωi,k can be the cost per unit time of the specific transi tion going from operation k to i, set up that needs to be done and α can be the average cost to keep the fa cility open with no jobs running per unit time.

We could also take α = 0 in this ge neral cost function. This then dis regards completely the makespan of each job, and is only concerned with minimising cost by conside ring the order of operations done on each machine, since effectively we no longer have the information of the ”idle” times between suc cessive operations. This may seem counterintuitive to consider as a cost function however, this is still useful in cases where the order of operations is more important than the makespan of the job itself or in case where the makespan cost hardly influences the total cost.

3. Complexity of the Facility Cost Problem

Now that we have defined the mo del for each instance of the facility cost problem, we can define it as a combinatorial optimisation pro blem.

For the rest of this article we will use this cost function as the objec tive function.

The parameters α and ω are not

Definition 1 (Facility Cost Pro blem): The facility cost problem is defined as the quadruple ℱ:= 〈Iℱ, SOLℱ, mℱ, gℱ〉 where

• Iℱ is the set of facilities as mo deled in Section 2,

• SOLℱ is the finite set of schedu

24

les which are not lazy schedu les,

• mℱ is the general cost function C(F,s;α,ω) and

• gℱ := min, i.e. the goal is to mi nimise the cost incurred by the facility.

We also give here the correspon ding decision problem, that we call the Facility Cost Decision Problem.

Definition 2 (Facility Cost Decision Problem).

Given the facility cost optimisation problem ℱ, the Facility Cost Deci sion Problem is the problem which asks, ”Given an instance F ∈ Iℱ and a budget b is there exists a schedu le s ∈ SOLℱ(F) such that C(F,s;α,ω) ≤ b?”.

The natural question to ask is, can we solve these fast?

Theorem 1: (ℱD is NP-Complete)

By fast here, we informally mean, is if the problem can be solved in polynomial time. So far, we do not know if the class of problems P = NP, therefore if show our problem is NP then we do not have a poly nomial time solver for our problem given the current mathematics. For this we applied a technique called reduction to reduce a NP-complete problem, D-HAM-PATH to our Faci lity Cost decision problem, which essentially states that if we can solve our problem in polynomial

time, we can also solve the NP complete problem and that solving our problem is as hard as any other NP-complete problem.

4. Single Machines Only

In this section, we consider a speci al results that can be derived when we have an additional assumption. We add further the assumption that the facility has exactly one ma chine.

The motivation to consider this special case is that our facility model generalises more than just production facilities with multiple machines. For instance if we are to consider a computer, which also re ceives multiple jobs of computation

task which can again be of multiple stages and can involve complicated input and output device operations, reading and writing to memory, loa ding and clearing cache files, these can be seen as transition costs as well. In this computer facility, we still require minimising the cost and in effect the order of operation in which the tasks will be done on the single machine.

The fact we only need to optimise the order in which operations will be done on the machine is forma lised in the following lemma.

Lemma 1

For every single machine facility cost problem with given α and ω. Let ω ˆ i,k := ωi,k + α. Then, there exists a A ∈ ℕ, such that C(F,s;α,ω) = A + C(F,s;α,ω ˆ ).

Intuitively this follows from the fact that now that we only have one ma chine, the makespan part of the cost is now only dependent on the sequence of the operations done on this one machine rather than also operations done on other ma chines (see Figure 5). Hence, the

25

total makespan is only a sum of the sequence of operations.

Proof. Therefore, essentially the cost to be minimised is only dependent on the sequence of operations rather than the exact schedule times of each operation.

4.1 Quasi-Metric Transition Costs

We present here an approximation for the single machine facility cost problem. To produce the following results we need some additional assumptions, each operation has no dependencies and the transi tion costs are quasi-metric. This is stated here.

Definition 3 (λ-Quasi-Metric): The facility only has one machine, which we denote by m. Then the transition costs with their weights respect the following:

• The triangle inequality. That is, given for all u, v, w ∈ V|m , it holds that:

ω w,u cm(w,u) ≤ ω v,u cm(v,u) + ω w,v cm(w,v).

• For each u we have that v ∈ V|m \ ans(u) we have that ω v,u c(v,u) ≤ λω u,v c(u,v).

Note that we do not relax the as sumption that transition costs with their weights are not necessarily symmetric, hence quasi-metric.

From this we now have the follo wing theorem.

Theorem 2: Given a single machine facility instance F where operations have no dependencies (single ope ration jobs) and parameters α and ω for the cost function such that the facility is λ-Quasi-Metric. Let the optimal schedule be s *, then there exists a polynomial time ap proximation algorithm which gives a schedule, s, which has the cost C(F,ŝ;α,ω) ≤ (1 + λ)C(F,s* ;α,ω).

The proof highlight is shown in Fi gure 7. Because of the final step where we apply the triangle inequa lity, the result follows.

4.2 Using Solvers of ATSP

In this section we make use of well known problem in discrete optimi sation Travelling Salesperson Pro blem (TSP) and the Asymmetric Travelling Salesperson Problem (ATSP). We show that we can es sentially use any solver (exact or approximate) for ATSP for this spe cial case of the facility optimisation problem.

Theorem 3: Given a single machine

instance F with k := |V| operations, then given a solver, � for ATSP with running time O(T�(k)), there exists a solver that solves the optimisation problem with the running time of O(T�(k) + k2)

The transformation of this any sin gle machine facility to a problem to which we can apply ATSP to can be visualised in Figure 8.

5. Conclusion

We end this article without going further into the details and tech nical details of the many proofs, mainly because it would amount to reproducing the entirety of the thesis here. We completely skip the proofs and results that we achieve for multiple machines, mainly be cause there is less clever tricks we can use, and there is no nice visual interpretation that I could produce. But for further details and results I invite you to visit https://essay.ut wente.nl/92650/ for my full thesis. In this paper, we first produced a deterministic model of a facility and how it can be interpreted as a com binatorial optimisation problem. We equipped the model with the objective function that we would like to minimise and added our vali dation of the model itself from exis ting real life facilities. We then used this mathematical model to provide proofs of the complexity of our pro blem using well established notions of Decision and Optimisation Pro blems, and we showed that our De cision Problem was NP-complete. We could already provide results on how, from an oracle that solves our decision problem, we can produce a polynomial time solver for our op timisation problem. We continued our investigation of the problem by searching for approximation and exact algorithms for the problem, and its special case variants. We find that our problem in the special case of a single machine optimisa

26

tion or when specific cost function parameters are used we can solve the problem by the same algori thms that could be used to solve asymmetric travelling salesperson problems and under more assump tions even through solvers of sym metric travelling salesperson pro blem. We also define the notion of the λ-Quasi-Metric costs and how if our facility respects this and has only single operations jobs, we can produce an approximation algori thm which has approximation ratio

of at most (1 + λ). In our approach to solve the facility cost problem with multiple machines, we presen ted an exact approximation algori thm and gave an equivalent mixed integer linear program. We also chose specific parameter values for the cost function, which allowed us to compare and contrast the formu lation of the special case with the formulation of the asymmetric tra velling salesperson problem. We concluded by suggesting the im provements and further research

that could be performed on the pro blem.

27

Millionth biker passes the board on Hengelosestraat, Enschede

Text: Martijn ter Steege

Hello redaction of the Ideaal!,

After an attempt at reaching out to a smaller competitor of yours, I also thought it is appropriate to in form you about this happy event. It was a great afternoon that will be remembered for a long time. Many will think 'if only I was there', so sharing all the ins and outs to the many absent readers seemed to us the least we could do.

Happy reading and good luck with the next edition!

Sincerely, Martijn ter Steege

Good evening redaction of the Tu bantia,

We, maths students from W.S.G. Abacus at the University of Twente, learned in the night of September 30 to October 1 that the bicycle sign on the Hengelosestraat, at the height of Schuttersveld, would soon reach 999999 (read: nine hundred and ninety-nine thousand nine hundred and ninety-nine) pas sed cyclists.

so that we could celebrate the su preme moment. This afternoon we received a photo that it might just be the case that moment was to take place today, since only 1645 cycling passersby were needed for the one million.

ans who like factual accuracy. That is why we stood next to the relevant sign for about an hour and a half this afternoon to encourage cy clists to cycle over the sensors and to make a contribution themselves through a clever trick with bicycle tires.

Not wanting to miss this happy mo ment, we thought it appropriate to keep a close eye on this sign

We were very curious what would happen to the counter, since 1000000 would not fit. Following are different guesses we shared within our group app:

• It stops counting and stays at 999995;

• It overflows to -999999 (sub mitted by a Computer Science student, so most likely not the actual result);

• It stops at 999999 (since that also happened at a similar sign in Tilburg);

• It resets to 0

• There is a short circuit in the system (since that also happe ned with the rest entries on the board in Tilburg);

• It goes to 1310715, due to the use of an 18-bit number (sub mitted by an Electrical Enginee ring student. We also thought it was a strange guess).

As you can see, there are several possibilities with such a board, and we thought it was important to ex perience what was actually going to happen. We are also mathematici

As you could expect after seeing these pictures, we have piqued the interest of quite a few passerbies. It is of course not common for a group of students to stand along the road to cheer at all passing cyclists and bicycle tires swinging over the road surface. This has also not gone un noticed by local enforcement, as a police car also came by to ask what we were up to. After we told them we were waiting for the millionth cy

28

clist to pass by, showed them our trick with the bicycle tires and offe red a piece of gingerbread (which they interpreted as space cake), they had had enough and continu ed towards the centre.

After this interlude, the mood was still high. The last hundred cyclists were needed to finally let the coun ter pass one million.

In the previous picture you can see how the millionth passerby (who we also did not know) celebrated the party well, enjoyed a piece of gin gerbread and, more importantly, you can see the moment our urgent question has been answered: the counter is reset to 0. At that point, finally, we took a nice group photo with the millionth passing cyclist, which can be seen here below.

The picture above (sort of) shows how passing cyclists were ap plauded by means of a wave. Un fortunately, this moment was not feasible for everyone who wanted to attend, so the request came to film the highlight live. We're not the worst, so one of us decided to live stream this moment of celebration.

All in all it was a great afternoon and we thought you would also like to be informed about these kinds of festivities. That's why we wanted to share this with you.

Sincerely,

on behalf of a group of maths stu dents, Martijn ter Steege

29

Day With...the LISA Video Team

T: My name is Timon Scholten, I’m a member of the Video Team since the beginning of 2020. I’m 34 years old. Hobbies: Watching movies, photography, and I also do scouting, boy scouts. I used to do it a lot: I was a leader and I was also on the board. Nowa days we do an activity once a month with people of my age.

M: Martin Bosker, 55 years old and I’m in the video team, also a TELT team member, TELT stands for technology enhanced lear ning and teaching, an innovative multidisciplinary team from the university. We’re looking at so lutions for education, for digiti sing education. My hobbies are running, making music. I'm in a band called She’s on Mars, I do backing vocals and playing bass and watching television and re laxing.

T: Oh and for me walking the dog. That’s my big hobby, the dog.

M: I also walk two dogs. My gir lfriend has got two dogs, I ne

ver had any dogs in my life, but since a couple of years I’ve got two dogs. I had three, but they’re now two.

Since when does the Video Team exist?

M: I’m the longest working of the video team, I’m working for 30 years already at the UT, I had different roles. We started be cause we are by default an ICT department. We started getting into video with something like vi deo conference with ISDN. And then we developed like a virtual classroom. I was together with a colleague of mine. We had some affinity for video and then we pulled all these initiatives a little bit towards us and then we had a video team of two people more or less, for ICT/video. And then we got an opportunity to create something like a studio and we did some pilots with lecture re cordings. After that we started doing lecture recordings with

student assistants, so it gradual ly became something with video, but we did not officially have a video team. Then of course we had the pandemic, and then a lot of things changed. Video was then really really important and then the UT decided: “We should have more professionals here, let us make something like a vi deo team.” And then in 2020.

T; Yeah, December 2019, then I joined.

M: Yes, that is officially how the video team started. Then we had applied for two new members. So officially it’s now two years old.

T: So the video is now: You, Mar tin, John.

M: Yes, Jhon and I are the ol dest members who were a video team, who were not called a vi deo team.

T: And then I and Koen joined. Koen is the team leader of the video team. And later on Gui vret also joined, professional cameraman. And we have some other colleagues that are also

30
Introduce yourselves Over the past few years, you may have seen a variety of videos made and produced by the LISA Video Team at the university. The Ideaal! sat down with them to talk about what they do and if they can do something for you. Text: Jorg Gortemaker and Lavinia Lanting
A

part of the video team, but also part of Marketing & Communi cation. Like Merijn Reerink, and we have Robbert Janssen, who is a LISA colleague, but he’s more into the Teams and Zoom and the whole backbone of that. Furthermore, we also work toge ther with ITC and they have their own video services. We work clo sely together with Job Duim from the ITC. They also have their own studio.

they could check there e-mail, but both student groups did not come from Informatics. They were from “Bestuurskunde” and “Wijsbegeerte”. Then I did a lot of other things, amongst which telecommunications and the ICT rooms management. Later on I applied more for video services.

Why did you decide to join the Video team here at the UT?

M: There were several studios, we started with a really really small one in Citadel, also with a concrete pole in the middle. I think that was 2017. We got a bigger room in 2018 in the Ci tadel. You can still see a picture of that in the hallway here. We created something like a studio, without knowing exactly how we should make something like a studio, so we just figured it out a little bit for ourselves. We de veloped a micro lecture course there, and also did some book recordings. The larger studio exists from 2019, maybe a little earlier, 2018 already.

T: My background is more in the broadcasting sense. Before the UT I worked six years at a com pany called Studio Mad. It does corporate videos, commercials and I was their main camera man and editor. We did a lot of commercials for national televi sion and for local television, but also a lot of company movies and branding movies. Before that I was working free lance in Hilversum, so at the heart of Dutch Television. I did TV shows, but also live broadcas ting stuff. So multi camera with a big truck with all equipment in it and then going to all kinds of sports events like races, tennis, handball, football all kinds of dif ferent stuff.

M: You also did rally, right?

T: When I came from television I got the opportunity to go to Mad and I did my graduation there when I was still doing my study and we kept in touch. They offe red me a position as their per manent cameraman and editor.

What did you do before joining the Video Team?

M: I started with a pilot project in what’s now called Cubicus, was then 2wrc building, the place were later on the calcula tion centre caught on fire. I star ted there and did a pilot project with the first digital information services as well as one where we gave two student groups email services, they had to log on to a terminal system where

T: Yeah..it wasn’t really rally. I did the national championships in autocross. You’d think that’s just beaten down tracks going round a circle, but those cars have 600+ horsepower and they go really fast. So once I was standing on a scaffolding filming it together with two other col leagues around the track and one tire broke loose and it hit my scaffolding, and the scaffol ding with me on it moved about a metre. Luckily nothing hap pened but that was quite a big scare. Other fun stories are that we also shot the commercial for attractiepark Slagharen and we had to rig all sorts of cameras on roller coasters, that’s also quite fun to do.

I worked there for 6 years, and I thought to myself: “It’s time for a change, what else is out there?” At the time my girlfriend was doing her PhD here and she suggested that the University of Twente might have something for me. I kept that in the back of my head and once I saw the va cancy I was like: “This is me, this is exactly me.” Let’s see what they offer and what they want, because I come from a commer cial background. But the nice thing about working here is it’s more about helping the people. It’s more about helping the stu dents, the professors with the question “I want a video, I don’t know what I want yet.” We can help them create something that suits them well, I think that’s the main part.

M: What may be nice to mention is that you and Koen have so much experience with people in front of cameras. But what I saw is, you came here and normally as professionals you were used to have professionals in front of the camera, but you saw here that that’s quite different. And I know the university and I know how these teachers are and they’re so far away from a pro fessional in front of a camera, so I saw that as a really funny thing.

T: The big part of being a camera is, well, the camera is technical and you can learn that and the

31
Since when does the studio exist?

re’s a little bit of creativity in it, but the biggest part is making the people that are standing in front of it feel comfortable and reading those people. What do they need, more comforting words or more hints or should I lean back a bit. But yes, it’s dif ferent. I was used to actors and doing commercials. This is more involved, but I like it involved. It’s fun to also give them a taste for what video can be like and let them see, if you this and this and this it will look nice and it will make you look nice.

M: You were so professional from that kind of work and then you come here and there was maybe a moment or two when I thought is this something that could be a deal breaker, is it too amateu rish. But they kept through it and put it to a higher level now.

T: Well, I think that Koen and I were open when joining in, but we both also like to build some thing, I think that’s the biggest part. There was a studio here, but we both saw: “We need a lot of improvement, we need to change this and we need to change that.”

M: Funding was always an issue for the video studio, but espe cially with Koen as team leader he ensured that higher manage ment would see the importance for video and also they said: “If you want to boost the quality we need some funding.” He was a really big part in that, and that helped a lot.

things in post.

What does a regular day look like for you?

What is the first thing you do?

T: I can answer that. Coffee!

M: Well, days are always diffe rent. Mondays you have more meetings in my case. Then there’s something like working on scripts, working on visuals. Video is mostly preparation: if you don’t prepare then you don’t get a good video. The biggest mistake when making a video is shoot first and edit afterwards, when you get more into video then you know if you are looking to boost the quality of the video, you need preparation. We have a lot of meetings beforehand.

T: Yeah…you don’t want to fix

M: Sometimes we have live events, then everyone is in a sort of buzz. That’s special about this team is that if the time has come everybody is there and nobody lets each other down. That’s really nice to see in the video team. If there’s not some thing like that, then everybody has their own way, sometimes we’re all physically here, some times we do editing at home and emailing and planning new stuff.

T: For me it really depends, if we have planned shootings on lo cation then those go before the meetings, people are more time sensitive for that. Half of my week is meetings, scripting and planning out shoots and also editing. We do a lot of editing for videos that we shoot on locati on. Studio programs are usually live edited. I also do preparati ons for equipment. For example, we’re going to have a shoot on Wednesday in the morning, and then Tuesday afternoon I check that everything is there and rea dy to be used, that a copy of the script is there. If it’s a live event we check that the studio is pre

32

pared the day before so as to ensure that clients can come in and be relaxed and everything is already arranged. And then we’ll go live. And if anything breaks, the teamwork is really good.

M: We all support each other. Everybody has got the same type of passion and urgency, we never let each other down. We are a very strong team.

T: Maybe a good example, during the pandemic we did Campus Talks with Peter-Paul Verbeek. Campus talks was a program that was a bit like a news show about what was happening on campus during the pandemic. People couldn’t be here, but there was still stuff happening. And during one show, 15 mi nutes ahead of going live, the audio table died. It really died. And everybody knew what to do. Somebody offered to bring their audio table from home.

M: My girlfriend brought my au dio table from my studio.

T: And Koen and I both were like, if we do this, this and this, we can still broadcast at least. We’ll say we’ll be five minutes later and everything was hooked up and five minutes later then we should have gone live and eve rything was working again. And that’s all teamwork and knowing what to do in those situations.

Do you have any tasks related to projects that do not require the use of the studios in Spie gel?

T: We did a workshop with metal fabrication and drills and band saws and that kind of stuff, we did some short videos that show how the machine works and how it can be operated safely. And then we created those short vi deos. We then made QR codes linking to these videos which we

attached to the machine. Then people were able to scan to QR code and see how to operate the machine. It doesn’t substitute for someone helping you people, but it’s a reminder for the second or third time “How was this done savely again?” We shot that all on location. We planned that all before and then we made the shots and then we made a voice over and edited that.

The other thing we did was for the Designlab, they have a tour video. We took a camera and a gimbal and followed a person from the Designlab around sho wing it. They were talking about the possibilities around Design lab. We edited that as well.

M: It is called Designlab tour, you can find it and you can see the professionals there.

T: We also help with researchers. We helped a couple of resear chers working on something called “Robot Maatje”, which is a small robot which helps peo ple with rehabilitation. To help them with physical exercise. So they either have a heart problem or something similar and they need to exercise, but they also have to be taken gently. Most of them are kids. You can tell a kid to do something, but it is more fun when a robot interacts with you and you have to put marks in front of it. And then it shows what you must do. That was also a fun project to do and we did a promo for that and we also shot a video on how to use the robot step by step.

M: I can add that I like these kinds of videos and I used to do them before these professio nals came in. And I learned a lot from them. I now switched more to preparation and the scripting and get in my ideas there, and also getting more hands on ca

meras. We did these kinds of things before, but in a far less professional manner, and also, we didn’t have the time for doing these kinds of professional vi deos.

What do you enjoy most about working for the Video Team at the University of Twente?

M: The diversity of the things we do and the passion for creating something. I never was creative before starting at the UT. I got into photography and started my photography company around 2000 or something and then I developed something in my ear ly thirties and I found out that I had some creativity in myself. Then I put that in my work and now I am more or less fully crea tive with everything I do. I always say: “My hobby is my work.” Eve ryday when I join the Video Team I am really happy to be here.

T: Interaction with people and making them understand how video works and how to make a nice video, that’s the most fun part. Really the interaction with trying to get someone comfor table in front of a camera. And team work. If we do a live show here I really like that everybody knows his part. If I am in the di rector role I may be a little strict, but it’s really nice.

M: When I am doing photograp hy, I always use the metaphor that my job is kind of like curling: you can throw the stone, but I am the person with the broom. Because every time I see some one who’s going in front of a ca mera I can only go there with a broom and make sure that it’s falling into place. That’s how I see my work; the sweeper.

33

M: We can do role switching, so people may be better at certain roles

T: Yes, but that doesn’t mean that they cannot do a certain task.The task Guivret and I have is to help you guys get behind the camera.

M: You’re the broom guy for me. T: Yeah, exactly. And steer you into understanding what we do.

There are two studios: a big one and a DIY studio. How were they designed?

M: In Citadel it was too small and we had no control room. We started looking at different possibilities like in the Vrijhof and other places. My ambition was always to have a big studio in the heart of the O&O centre, but my former boss said: “We’d like to have it near our depart ment, so that’s how we came to this room. There was already something like an office beside a big room. My gut feeling told me that the small room needed to be the control room and I put something with a pencil there (pointing to the window of the control room) and said:“Well there should be a window and it should be large.” And this was actually the largest window that they could get through the lift. So that was more or less my feeling of trying to get a studio here. And then we got in contact with a studio and they put up the lights and the green screen and that’s how we developed it.

The DIY studio is a different story, as during the pandemic we started discussing video, it

was actually before we had the video team. There was a discus sion about hybrid teaching af ter the pandemic and I pointed out: “Why not have something like a Do-It-Yourself studio?” I did some research and I saw it at other universities and then I said: “If there is some money available then we maybe could have a DIY studio.” It’s not that you go to the management and say: “Give me some money, let’s build a DIY studio.” My idea was to have a questionnaire to ask teachers about how they would like to make videos and during the pandemic, when they made videos, what could be done bet ter and such. It formed the ba sis for something like a DIY stu dio. After the survey we started this discussion and created the video team and then one of the first things we did with Koen, our team leader, we discussed the DIY studio and then we came up with this solution. I never thought that we had so much money for this DIY studio, because there are some DIY studios in other universities, but this is the best thing you can get. In all these years of video I never thought the university would spend that kind of money for a DIY studio, but now it’s there and now it’s normal. In the end you can get quality and you can actually do it yourself.

T: Before the university I never saw something like that before. It is quite unique in the sense that it is fully automated and you can really do it yourself. Nor mally video is always involved, you have to have someone con trolling something and that’s the good thing about this. Of course there are some caveats. When I arrived the DIY studio wasn’t there yet, I joined in January

of 2020 and they just had the survey out and then the whole project started rolling in getting the DIY studio so I was involved in the making of the DIY studio. This studio was here, kind of in the same set-up that it’s now in, but Koen and I saw, at least at the control side we need to change some stuff and make it flow a little bit nicer. I think you just mentioned this morning you went to studio 22 in Hilversum and you saw a control room there and that’s kind of like a standard and I think we brought it more to that standard here.

M: The funny thing is, I saw Ti mon and the first thing he did was he took a moment and he switched the lights and every knob there is in this studio he touched and made it in a better position then it was before.

T: So they put a big green screen and then you can key that out and then it’s transparent and it was a bit flaky. So what I did in the beginning is, we need to light it more evenly, so it looks more like an even colour and then it keys nicer.

M: We almost never use the green screen here any more, because we have the DIY studio but we now have colour lighting.

T: That is a thing of camera people. I have kind of a dislike for green screens. Because it’s nice, you can do a lot of stuff with it, but it will never look as nice as a real set.

M: I always thought, because I was a novice, that a camera should be a green screen room. But there’s a really big differen ce.

T: Yes, a lot of people see a lot of opportunities, but a lot of op portunities means also a lot of pitfalls.

34
What roles and tasks does everyone have?

M: It is so diverse: from support staff, to students, to professors.z

T: Yeah, from students to the head dean that does his little talk in the DIY studio.

M: And also video professionals, they need a part of a video from somebody the only thing that they need is that they say so mething on camera. They can do that here, talk in front of the camera and take the video with them for later use.

T: This studio is also used by a lot of people. You guys did your television show (Smarter by the Second) here, I can only call it a television show, because it is a full fletched television show. For the grant office we do a lot of presentations here, so for the EOC and the NWO’s. We do the live presentations from here so that people are more relaxed, they are nicely lit, there’s a good camera and the audio quality is

really good. We also organise online events and we are getting more and more of them. People know how to find us now, that’s a thing we’ve been working on for the last two years, we need people to find us and that was and is still a problem.

T: No, and if we were at that point there would be another DIY studio. No, I don’t think we’re at that point yet, it would have been nice.

M: Sometimes I think the studio is in the wrong place, because a lot of people work from home but still the Spiegel is too far away. In the end you would like to be more in the heart of the univer sity, and then if something like a DIY studio would be in the heart of the university, it would be

used more. Sometimes teachers create videos and the quality is low and they’re fine with it, and we are trying hard to tell them: “Why don’t you do this?” or “It’s so easily changed.” And at the end it’s their video, we can only give them feedback to help them improve it. For lectures, student have to watch this and if students are not happy with the results, then maybe they can persuade teachers to talk to us. We are not there yet, we still have a lot of teachers who come here and immediately mention that they did not know there was a studio here.

T: Also sometimes for this stu dio, the big studio we are in now, we see that people ask for a lot and if they can have six people in the studio. That’s also a thing we run into, sometimes we can deliver that, but the studio is at its maximal capacity at that point. What we are now looking into is upgrading this studio, to get more cameras in it, higher

35
Who uses the studio the most?
Who is the studio meant for? Do you think enough people make use of the studio?

quality and have a physical set. I think that’s also something peo ple will notice, because when they come in: I see handy cams, they see semi-proffesional or maybe professional cameras. But when it’s fully fletched, like we have in mind, I think they will see something that resembled a real studio. Hopefully they will be more convinced they can cre ate something really nice.

M: I must add something and that’s my theory over the last couple of years that I thought to myself: Our university is most technical and technical people are the people who most like solving issues themselves be fore they ask for help and they only come here once they run into trouble. What I see a lot is that they buy cameras for them selves, have a green screen at home and do these things for themselves. That’s the reality of being technical.

T: You like to do it yourself.

M: Yes, and that’s why we have a DIY studio, we thought that would be ideal, but still people

prefer to sit at home and talk over a PowerPoint presentation.

T: And sometimes it looks good, they follow some tutorials and they know what they are kinda doing, but sometimes we also think: “Why did you do it like this?? You bought a lot of equip ment and it still looks like a dog...”

Jorg: I recognise this a lot, the re’s a lot of variety in what tea chers produce when it comes to videos. I also think that it would be great to have a studio in the heart of the university, because I think a lot of students could be nefit from using the studio.

M: One of the things that is also strange: Everybody sits at home in front of a camera and here you got a spotlight and all of a sudden it’s like: “Oh there’s a camera!” It will take a lot of years before everybody gets on the same page and is not afraid of cameras anymore. I always tell teachers to use the studio as a tool for teaching and to not be afraid of it. I also tell them it’s like ice skating, the first time

you’re not as comfortable with talking in front of a camera, but you’ll get used to it.

T: The main advantage of a ca mera is that you can do it twi ce, three times, six times, ten times, doesn’t matter. In front of a live classroom you don’t have that opportunity. The only thing you’re missing is feedback, you don’t get feedback from a ca mera.

For what kind of projects can students and staff members look to use the studio in Spiegel?

T: In my opinion it is quite easy to answer and that is: Anything that they can think of. That sounds weird, but we would like to see them come to us with a video question and then we can help them either with: “You can do it in the studio or you can do that in the DIY studio, you can do that on location and we can help you and support you with that.” May be that thing you want is better

36

as a podcast, well then podcast is the answer. Or maybe it isn’t video at all and it’s more like an animation or maybe it isn’t ani mation at all and you should do that live in front of students. We like to have them come with a question and then we get talking and see what’s the best solution for them and if we can’t provide it then maybe an external party can provide it or somebody from the UT has already done some thing with that and they can help you with it. So we like to be that connecting thing.

M: Yeah, I have nothing to add.

T: For example, you did ‘Smarter by the Second’ and came to us with questions on how you could record this and make it look pro fessional and then we started talking about what the possibi lities are and then you integra

ted that, and we as a video team were amazed by how you picked it up. At least, I was amazed at how you picked it up. And also how you integrated the graphics and that sorts of stuff. That’s already two steps further than I thought you were.

Are there any projects that you enjoy doing most?

T: We are looking into equipment to upgrade the studio.

M: We have a system integrator who helps us with the things we would like to do in our studios.

T: They also do a lot of studios from Hilversum, so it’s going to be even more professional.

T: I like almost every one of them. I like doing the live shows, since when it starts you cannot make mistakes and the adrena line and you just keep on going and when there is a problem you have to solve it immediately. But I also like shooting on location. I think you have to be, at least as a cameraman, interested in the subjects you’re shooting. The main advantage of being on the university is that the subjects are really nice, they are either technical or medical on the edge of their field.

M: I enjoy the creativity of the projects. Sometimes I will get an idea and then if this idea gets into a script or something that we’d like to shoot, that is really

37
Are you looking to expand the studio more in terms of equipment and projects you undertake?

satisfying. We are now in the process of making videos for se curity awareness, and I like how creative we can be with it. We are going towards more adverti sing or marketing, also we have actors there and that’s a really new dimension for me. You [Ti mon] are used to working with that, but the coming weeks will be fun to see. Can’t wait for the end result, but we’re not there yet.

T: There are also a lot of steps in preparation of what an ac tor needs. Of course they need a script, but they also need to know who am I and what con veys me to do this.

M: I never thought my work would have something like that in it, because I have got a cre ative mind and I never thought that I would something creative like that.

T: We should do a 48h project someday.

Do you have any final remarks?

M: What I’ve been thinking of the last couple of months is that I can imagine that as a lecturer you are used to giving a perfor mance every day in the lecture room and I can imagine that ma king videos might take that away from you, but I also think that it is inevitable to make more vi deos. I see a lot of initiatives on campus, like the ECIU. The virtu al university, livelong learning et cetera. You can’t do linear tea ching for all these platforms. In the end it’s inevitable and I say to try to make the best out of it. Try to shift your focus and maybe also become passionate about video. I see the teachers who do that get asymmetric feedback. I

heard from teachers that they’ve never seen students before and then these students recognise them. It’s a different kind of feedback than that of what you get directly from a classroom.

T: I think so as well. I think that in five or ten years time we will all be used to being on camera. Be cause we carry a camera around every day.

M: Try to make the best out of it. If you have contact with stu dents, also make quality time out of it instead of only sharing theory with them, I think we are past that. I am not a teacher, but if you try then we can help you make quality videos and then also we can help you make qua lity videos faster.

T: If you have any questions and/ or want to know what the video team does, you can go to: www. utwente.nl/video

M: And if you think that we should do different, we are open to ideas.

38

Review: Mythos by Stephen Fry

If you are someone who likes reading a lot, you might have a few books you have enjoyed so much you just keep coming back to and, no matter how often you have read them, you just manage to enjoy reading and loo king through time and time again. ‘Mythos’ by Stephen Fry is one such book for me: I have read it 3 times thus far, all in the past year, and each time again this book has pro ven to be a real page turner. Now, I should really put a disclai mer here before getting into the contents of the book: the book is extremely entertaining, but that is the case if you are really into Greek mythology and if like Stephen Fry’s very subtle and British humour, so if that is not the case, this book might feel like a drag to read as it literally walks you through very de tailed scenes from the beginning of Greek mythology.

Now that we have got that out of the way, we can dive into the con tents of this fabulous book.

In this work of art, ‘Mythos’, Step hen Fry walks us step by step through all the defining events per taining to Greek mythology, from the creation of the universe, to the rise of the titans, to the birth of the Gods and the creation of humans.

Stephen Fry characterises and hu manises all the iconic characters of Greek mythology from the origins until the silver age of men, particu larly detailing the descent of huma nity from the golden into the silver age, where humanity suffers, but demigods start appearing as the Gods take an interest into their cre ations after getting bored with their similes.

Stephen Fry takes us through the history of humanity according to the ancient Greeks and gives voices to

each character, giving us insight into the thoughts and discourses that might have taken place in some of the most famous stories from Greek mythology. But Stephen Fry, being the exquisite writer and researcher that he is, goes above and beyond and also ensures the origin of each name and word is ex plained with references to ancient Greek and explaining how language has developed in time.

Stephen Fry’s ‘Mythos’ is a great mix of fiction based on myths and interesting facts about ancient Greece and how we as Europeans have evolved from the Greek. It also details events within the myths in unique and humorous way that is characteristic of Stephen Fry as a

comedian and as a writer.

In short, if you, like me, are into Greek mythology, ancient Greek as a language and the culture and love British subtle humour, ‘Mythos’ is a book that would truly make a valu able addition to your personal libra ry, while also teaching you the most random facts that, who knows, you might need next time you participa te in a pub quiz on a Tuesday eve ning at the Vestingbar.

39

Turn static files into dynamic content formats.

Create a flipbook
Issuu converts static files into: digital portfolios, online yearbooks, online catalogs, digital photo albums and more. Sign up and create your flipbook.