Guyana Times - Saturday, September 27, 2025

Page 1


Northwell Health to conduct assessment of Guyana’s ambulatory services next month

Berbice duo remanded for $2M Essequibo Coast robbery Guyana accelerates

Prime Minister Brigadier (Ret’d) Mark Phillips, along with

BRIDGE OPENINGS

The Demerara Harbour Bridge will be closed to vehicular traffic on: Saturday, September 27 –03:55h–05:25h, and Saturday, September 27 – 19:30h–20:30h.

The Berbice Bridge will be closed to vehicular traffic on: Saturday, September 27 –06:50h–08:20h and Sunday, September 28 – 07:25h–08:55h.

FERRY SCHEDULE

Parika and Supenaam departure times – 05:00h, 10:00h-12:00h, 16:00h, 18:30h daily.

WEATHER TODAY

Intermittent cloudy skies and thundery showers followed by late afternoon sunshine are expected during the day, and clear skies followed by brief early morning showers are expected at night. Temperatures are expected to range between 23 degrees Celsius and 33 degrees Celsius.

Winds: East North-Easterly to East between 2.23 metres and 4.47 metres.

High Tide: 07:15h and 17:23h reaching maximum heights of 2.41 metres and 2.45 metres.

Low Tide: 12:59h reaching a minimum height of 0.86 metre.

Pres Ali, UN SG discuss border controversy case, developments in South Caribbean Sea

As he continues to have high-level engagements with world leaders in New York, President Dr Irfaan Ali recently met with the United Nations (UN) SecretaryGeneral António Guterres, during which they had discussions on a number of topics, including the Guyana-Venezuela border controversy case and recent developments in the South Caribbean Sea.

The Guyanese Head of State had travelled to the United States to attend the 80th United Nations General Assembly (UNGA) being held this week in New York.

On Thursday, the UN Secretary-General met with President Ali and congratulated him on his recent re-election for a second term in office and wished him continued success in the fantastic progress happening in Guyana.

“They discussed recent developments in the region, including in the South Caribbean Sea. They also exchanged views on artificial intelligence, gender equality, and Guyana’s initiatives for forest and biodiversity conservation,” a brief statement from the Office of the Spokesperson for the Secretary-General detailed.

Moreover, it was noted that the Secretary-General commended Guyana on the robust and principled contribution in the UN Security Council.

According to the Guyanese leader in a Facebook post about the meeting, he also briefed Secretary-General Guterres on the border controversy case with Venezuela that is currently before the International Court of Justice (ICJ).

“President Ali updated the Secretary General on the situation with Venezuela, in particular, the ICJ case on the border controversy, which is expected to be heard in a few months,” the Head of State said.

Only earlier this week during his address to the UN General Assembly, President Ali declared that Guyana will not buckle to any coercion or intimidation in the face of persistent aggression from its Spanishspeaking neighbour.

“For us, the principles of sovereignty, territorial integrity and non-interference are not negotiable. We will not cower to coercion, intimidation, or unilateral action,” President Ali said on Wednesday at the 80th UN General Assembly in New York.

Border dispute case

Guyana has filed a case at the World Court, seeking a final and binding settlement of the 1899 Arbitral Award that demarcates the boundaries with Venezuela. But despite the matter pending before the World Court, Venezuela continues with its aggressive tactic towards

Guyana as Caracas pushes its spurious claims of more than two-thirds of Guyana’s landmass.

President Ali said during Wednesday’s address that, “Guyana, a small and peaceful state, has endured repeated threats and aggression from the Bolivarian Republic of Venezuela.”

This, according to the Guyanese leader, is even after the ICJ has affirmed its jurisdiction to hear the border controversy case twice already and had also issued provisional measures back in 2023, ordering Venezuela to refrain from altering the status quo.

“Yet, Venezuela persists with unilateral laws and threats of annexation, flagrantly violating international law, the UN Charter, and the very principles that sustain global order,” he stated.

Nevertheless, President Ali went on to reassure of Guyana’s commitment to adhering to the international rule of law and the legal process before the world court.

“If the rights of a small state can be trampled upon and legally binding orders ignored, what protection remains for any nation under international law? Yet, Guyana continues to repose confidence in international law,” the Head of State noted.

The Guyanese leader went on to use the global platform to express gratitude to all of Guyana’s international partners and allies for their solidarity.

Guyana has enjoyed the support of many countries and organisations around the world, including the 56-member Commonwealth and the Organisation of American States (OAS), for its sovereignty and territorial integrity.

In addition to claiming more than two-thirds of Guyana’s landmass – the resource-rich Essequibo region – Venezuela is also laying claims to a portion of its Exclusive Economic Zone (EEZ), where over 11 billion barrels of oil equivalent (boe) have been found and production as well as oth-

er exploration activities are currently being undertaken offshore Guyana.

After years of failed good offices processes through the United Nations and based on the recommendation of the UN Secretary General, Guyana approached the ICJ in March 2018, seeking a final and binding settlement of the 1899 Arbitral Award that determined the boundary between the two South American neighbours.

Guyana has already filed two written pleadings on the merits of the case, and Venezuela has also filed two – the last being in August 2025. Oral hearings are expected in the first half of 2026, following which the Court will deliberate on the case and issue its final Judgement on the Merits, which will be binding on the parties.

Guyana has pledged to accept the World Court’s judgement, whatever it might be.

Even with the ICJ ordering Venezuela to not take any actions that would alter Guyana’s control of its territory, and the two South American neighbours being forced to sign the historic Argyle Declaration – a December 2023 peace pact –Venezuela continues to use aggressive tactics against Guyana, including the illegal elections.

Meanwhile, on the sidelines of the 80th United Nations General Assembly in New York, President Ali has been engaging several world leaders, including the US Secretary of State Marco Rubio, and attended a number of events, such as a reception hosted by the Guyanese Diaspora in New York and a luncheon organised by the Clinton Global Initiative.

President Dr Irfaan Ali met with UN Secretary-General António Guterres

Editor: Tusika Martin

News Hotline: 231-8063 Editorial: 231-0544, 223-7230, 223-7231, 225-7761

Marketing: 231-8064Accounts: 225-6707

Mailing address: Queens Atlantic Industrial Estate Industrial Site, Ruimveldt, Georgetown

Email: news@guyanatimesgy.com, marketing@guyanatimesgy.com

Adoption, foster care & reintegration

The well-being of children remains a fundamental pillar of national development, shaping not only the immediate future of the youngest citizens but also the long-term stability and prosperity of the country. Recent statistics released by the Ministry of Human Services and Social Security highlight noteworthy progress in the area of child protection, adoption, and reintegration. Since 2020, 166 adoptions have been finalised, 173 children placed in foster care, and 439 reintegrated with their families from state care.

The enactment of the Adoption of Children Bill in 2021 signalled a turning point in the protection of minors, establishing clear safeguards to ensure that children are adopted into families capable of providing stability and love. The legislation reflects a growing recognition that child protection cannot be left to chance; it requires structured, transparent, and accountable systems. In parallel, the creation of the Guyana Central Authority (GCA) in 2024, aligned with the 1993 Hague Convention, reopened the path for international adoption under carefully regulated conditions. This move has strengthened confidence that every child, whether adopted locally or internationally, is placed in an environment that safeguards dignity, security, and opportunity.

Equally important is the approach to family reintegration, guided by the Alternative Care and Reintegration of Children policy. The successful return of 439 children to their families represents the restoration of bonds, the healing of fractured relationships, and the creation of safer domestic environments. Reintegration is inherently complex, requiring sustained monitoring and social work support. Yet, its emphasis on family preservation reflects a broader understanding that, whenever possible, children thrive best within the embrace of their own families, provided that those environments are safe, supportive, and nurturing.

While adoption and foster care remain essential interventions, reintegration represents a preventative strategy against institutionalisation and prolonged separation from family life. This holistic approach recognises that child protection extends beyond immediate care; it must address the root causes of vulnerability, including poverty, abuse, neglect, and systemic inequalities. Policies that focus on empowering families and strengthening communities therefore become integral to reducing the number of children entering state care in the first place.

The progress achieved in adoption and reintegration, however, should not obscure the challenges that persist. Adoption processes, though significantly strengthened, must continue to prioritise transparency, timeliness, and rigorous oversight to avoid unnecessary delays or gaps that could compromise the welfare of children. Foster care, though invaluable, requires ongoing investment in training, financial support, and psychosocial assistance for foster families to ensure sustained quality of care. Reintegration, while commendable in its current outcomes, will require long-term follow-up mechanisms to guarantee that children are not returned to environments where risks remain unresolved.

The broader policy framework reflects a practical stance to build a child-centred welfare system. Programmes tailored to children’s needs, whether through alternative care, family preservation, or targeted social interventions, are essential in creating a culture of protection. Yet, sustaining these gains requires both institutional resilience and societal participation. Communities must remain vigilant, and civil society organisations, educators, and healthcare professionals must be integrated partners in creating the network of protection that every child deserves.

Importantly, child protection should be understood as a social service as well as a national responsibility. Investments in children’s welfare are, ultimately, investments in the country’s human capital. Children who grow up in stable, loving environments are more likely to achieve educational success, participate productively in the workforce, and contribute positively to society. Conversely, those who are neglected, abandoned, or left without proper support risk becoming trapped in cycles of poverty, crime, or social exclusion, burdens that weigh heavily on the entire society.

As adoption, foster care, and reintegration systems evolve, there must also be greater emphasis on public awareness. Many prospective foster or adoptive parents remain unaware of the processes, responsibilities, and opportunities available. A transparent, well-communicated system that demystifies adoption and encourages more families to step forward will be key to reducing the number of children in institutional care.

The achievements since 2020 in strengthening adoption and reintegration systems deserve recognition. They reflect both legislative reforms as well as the tireless efforts of social workers, foster families, policymakers, and community advocates who form the backbone of child protection services. Yet, as with all areas of social development, complacency cannot be afforded. The journey toward ensuring that every child has a safe, stable, and loving home is ongoing and demands continuous vigilance, innovation, and collaboration.

Georgetown: soul of a city

Recently, an Indian businessman visiting Guyana after nearly two decades summarised his impressions about Georgetown as a sleepy town metamorphosed into a vibrant city. Once the proverbial “Garden City of the Caribbean” with beautiful colonial architecture, Georgetown has given way, at least partially, to concrete buildings with glass facades – the very epitome of development in our modern parlance. Traffic snarls with heaving commuters in this quaint geography were completely unknown to him. It was like bemoaning and being bewitched at the same time. A price to pay for modernity and development – a familiar trope in any fast-developing city in the Global South. Balancing people’s aspirations with the Government’s capacity to respond to a city’s developmental challenges, and that too at a commensurate pace, has never been an enviable task.

Figuratively, it reminds one of a teenager outgrowing all outfits much faster than the parents could afford to buy them. But no one complains, as they want to see a dashing young man – dynamic and attractive – even if it means a little bit of tantrums with a lot of patience and persuasion. Georgetown would soon have a voracious appetite like a rapidly growing teenager for civic architecture and basic amenities as Guyana leapfrogs into a developed country bracket. If it goes according to the new Government’s plans, Georgetown would soon have all the features of an upcoming global city, attracting fresh investments reminiscent of the times of “the gold rush”. Civic architec-

ture would need upgrading in a mission mode to realise this dream of Georgetown’s emergence as an important business, hospitality and education hub – not only in South America but in the entire Western Hemisphere. The signals are highly encouraging. The new Government under President Ali has all the right intentions and matching plans that would feed into their efforts towards presenting Georgetown as one of the emerging global cities. But it would take a lot of planning, some difficult decisions and probably some consternation, as developing civic architecture in a densely populated city has never been an easy task. It would require determination and attention to detail. Planning for the foreseeable future also needs to be factored in.

In his second term, President Ali’s focus on infrastructure, governance and digitisation has immediately caught global attention. It was certainly not an entirely new proposition, since the groundwork for this transformation had ensued in his first term itself. As newer, broader streets and bridges and immaculate public spaces started dotting Georgetown’s landscape, the signal was unambiguous. It is in this context that President Ali’s announcement to rescue Georgetown came like a fresh breeze of salty air with undoubtedly a sigh of relief. But there lies the catch. The devil is always in the detail, as they say. The city has an old-world charm, especially with its colonial-style architecture, green spaces (unfortunately not so well-maintained sidewalks and lawns that look like overgrown bushes) and welllaid-out streets with impres-

sive and unmistakable symmetry in parts of the old town. Even though modern buildings have appeared like some jarring notes in a beautiful Caribbean song, most of us tend to agree that modern architecture and a city’s historical soul need to coexist. No, they are not discordant. This balance can be achieved with some planning and deliberate effort.

Guyana also has achieved a global reputation with her work in environmental conservation. The recently held Biodiversity Summit stands as testimony to the importance Guyana attaches to balancing ecology with economy. I am sure there are plans for conserving Georgetown’s impressive canal system (its indispensable role in controlling floods need not be overemphasised); its flora and fauna and beautiful landscaping stand as its soul. When the city is rescued from the vicissitudes of burgeoning population pressure, this soul will have to be preserved.

Fortunately, Guyana has a lot of land and considerable breathing space to shift new civic infrastructure a few miles away from the “Old Town” so that both history and modernity can co-exist with ease and efficiency. Projects like Silica City and plans for other modern communities with excellent civic infrastructure are surely steps in the positive direction. Does Guyana need a new modern capital complex which will reduce pressure on the old town? A question worth pondering. Similarly, Guyana would need a modern mass rapid transport system to decongest the city and allow the old town to move at its own leisurely pace while business moves swiftly in modern business districts. President Ali’s ex-

perience and expertise in town planning and his vision to transform Guyana would be crucial in realising this dream.

But preservation of the historical town – its beating heart – will need a lot of meticulous planning and persuasion to save the soul of the city. Lest the rescue might result in a city without its soul. A youth gone wayward. The manatees in the national park, the Stabroek market, the seawall and the canal systems and several historical buildings are all heartbeats of this beautiful city. Every wooden building in the old town has a story to tell. These stories should continue to be told down the generations – inspiring them and reminding them about their origin and a beautiful journey – tracing history, preserving traditions and pursuing modernity in a synchronised symphony. Guyana’s multi-ethnic culture and the beauty of this land of waters should continue to inspire new generations – preserving and protecting Guyana’s soul.

I am confident that every tourist visiting this beautiful city will be pleasantly surprised to see modernity and history coexisting, blending culture and community spirit as we witness this phenomenal transformation. More grease to President Ali and his Government’s elbow in their plans not only to rescue but also to nurture the soul of this fabulous city. As a long-time friend and well-wisher, Delhi sees Georgetown as a partner and a fellow traveller, willing to walk along in our collective developmental journey, sharing experiences and cheering each other as Georgetown begins a fascinating journey. Georgetown, we love you!

On World Maritime Day, a team of senior Guyana Police Force (GPF) officers, led by Deputy Commissioner (Administration), Ravindradat Budhram, visited the World Maritime Exhibition at Providence Stadium, where he toured the GPF’s Marine Unit exhibit. Members of the public were also given interactive tours with the marine unit’s patrol vessels (Photos: Sgt Avindra Rajballi, CCU)

Construction boom puts pressure on traffic management along ECD – GPF 4C Division Head

...as division updates presence along ECD

The rapid transformation of East Coast Demerara has brought with it a new headache for Police: traffic congestion. With new highways, expanding housing schemes, and ongoing construction projects, Regional Division 4C is facing mounting challenges in keeping roads safe and traffic flowing.

Assistant Commissioner Khali Pareshram, who heads the division, said the region has grown dramatically in recent years. Of the

more than 50,000 house lots allocated nationally over the past five years, nearly 20,000 are within Division 4C. This surge has pushed the population to roughly 146,000 residents, stretching from the Industry Arch to Mahaica and inland into new housing schemes.

To cope with this expansion, the Guyana Police Force has increased its presence on the East Coast.

“We now have eight outposts and seven Police stations, with two more outposts under construction,”

Pareshram explained.

The division also recently opened a new outpost along the Ogle Four-Lane Highway, a busy corridor that now connects the East Bank with the East Coast.

Still, the Commander said the changes have placed enormous strain on traffic management.

The ongoing four-lane expansion of the East Coast embankment, from Mahaica to Sheriff Street, has redirected many drivers onto the main East Coast Highway, creat-

Cacique Crown installation underway as New Demerara Bridge nears launch

Works are progressing on installing the striking Cacique Crown of Honour atop the twin towers of the new Demerara River Bridge, a symbolic gesture of national pride as the long-awaited infrastructure moves closer to its official opening.

During a site visit, observers noted that steel components are being assembled on the ground before being hoisted into place, forming a crown structure inspired by Guyana’s distinguished national honours system.

The crown – representing the second-highest national award in the Order of Service – is intended not only as an architectural feature but as a lasting emblem of the nation’s service and progress.

The new US$262 million Demerara River Bridge has passed key milestones in its construction. The structure has successfully undergone major load testing – placing multiple fully loaded trucks on the span to simulate heavy traffic conditions –to validate its strength and durability.

ing bottlenecks during peak hours. The upcoming Mandela-to-Enmore bypass is also expected to add pressure as motorists seek alternate routes.

“Everybody actually is now coming onto the main East Coast Highway, which adds to the congestion,” Pareshram said. “Commercial areas are rapidly developing, and coupled with construction activity, it makes traffic flow more difficult.”

Adapting to changes

Despite these challenges, the Commander said they are adapting. He said officers are being strategically deployed to hotspots, and new infrastructure, like the Ogle outpost, is improving visibility along critical roadways.

“We are asking residents and motorists to be

patient and cooperate with the Police,” the Assistant Commissioner stressed.

thorities are warning that traffic issues will remain a concern. But, with new outposts, improved visibility, and long-term infrastructure upgrades, Police say they are determined to keep pace with development.

Just recently, several people have taken to social media to express their frustration over the recent traffic situation on the East Coast of Demerara. Some people have said that it is now taking them hours to get to Georgetown, some-

before. They have

As East Coast communities continue to grow, au-

Earlier in the build, the final concrete slab connecting the east and west sides was scheduled for placement in late August, as part of the structural completion plan.

The most recent test involved twenty fully loaded trucks being strategically positioned on the bridge to simulate heavy traffic conditions, while teams of experts monitored the structure’s performance under stress. Advanced sensors recorded stress, strain, deflection, stiffness, and tower displacement, as well as the load forces on the supporting cables.

The bridge is poised to replace the ageing Demerara Harbour Bridge, which has long struggled with congestion and periodic closures. Once operational, the new four-lane, cable-stayed high-span will offer tollfree, 24/7 access and is designed for a lifespan of 100 years.

Artist's impression of the Cacique Crown for the new Demerara Harbour Bridge
“The safety and security of all residents is paramount.”
thing that has never happened
attributed this to the recent construction of roads on the railway embankment.
Traffic congestion on the East Coast of Demerara
Assistant Commissioner of Police and Commander of Region 4C, Khali Pareshram

Page Foundation

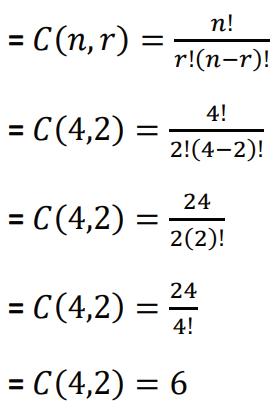
Counting Principles Cont’d

Combination Rule

Unlike permutations, a combination is a selection of objects where order does not matter.

The formula is as follows:

Where:

• n = total number of items

• r = number of items chosen

• n = factorial of n

Example:

How many ways are there to choose 2 letters from A, B and C?

There are 3 ways to choose 2 letters from A, B and C. Combinations: AB, AC, BC.

Example 2

How many ways can we choose 2 people from a group of 4: A, B, C and D?

There are 6 ways to choose 2 people from a group of 4.

Combinations: AB, AC, AD, BC, BD, CD

Order doesn’t matter, so AB is the same as BA.)

Practice

1. A club has 8 members. How many ways can a committee of 3 be formed?

2. From a group of 5 books, how many ways can you choose 2 to take on vacation?

3. A basketball team has 12 players. How many ways can a starting line-up of 5 players be chosen if order doesn’t matter?

4. A teacher has 10 different questions and wants to give a quiz with any 4 questions. How many different quizzes can the teacher make?

5. From a set of 15 students, a group of 4 will be chosen for a competition. How many combinations are possible?

6. A lottery game requires picking 6 numbers from 49. How many possible combinations are there?

7. From a deck of 52 cards, how many ways can you choose a 5-card hand?

Materials:

• Acrylic Paint

• PlayDoh

• Construction Paper

• Glue

• Terracotta Dish

• Sand

• Popsicle Stick

• Seashells

2. Next use the Playdoh to create creatures. You can make crabs, fish, shark “water”, starfish, etc. If you don't have Playdoh you can colour some white PlayDoh.

3. Add a little sand to the half create the beach. Place your sea creatures around and add in seashells if you have them.

Directions:

1. Paint the terracotta dish with blue acrylic paint. This symbolizes the ocean water.

4. For the finishing touch cut a craft stick in half and make a sign with construction paper and markers to name the beach. Stick it in the sand! (craftboxgirls.com)

US$100M parking meter lawsuit

Arbitration proceedings to commence next week at ICSID in Paris

Arbitration proceedings in the US$100 million lawsuit filed by Smart City Solutions Holdings Inc. against the Guyana Government over the controversial parking meter project, are set to commence next week before the International Centre for Settlement of Investment Disputes (ICSID) in Paris, France.

Attorney General (AG) and Minister of Legal Affairs

Anil Nandlall, SC, is leading a delegation, which includes witnesses, to France for the proceedings before the ICSID – scheduled from Monday, September 29 to Saturday, October 4.

The ICSID is an arbitra-

is being sued for damages of US$100 million arising from a contract executed by the former APNU+AFC (A Partnership for National Unity+Alliance For Change) Coalition Government for the implementation of the Georgetown Parking Meter Project, which was ultimately abandoned following widespread public protest against the initiative. Among the witnesses scheduled to testify on behalf of Guyana are former Minister of Communities, Ronald Bulkan and former Georgetown Mayor and City Council councillors Malcolm Ferreira and Bishram Kuppen. In addition, a former Chancellor

and the AG’s Chambers. The case was registered with ICSID on December 22, 2021 and a tribunal to hear the matter was constituted on September 20, 2022,

tion institution established by the World Bank Group to address legal dispute resolution and conciliation between international investors and states. Guyana

of the Judiciary will also testify as an expert witness. Guyana is represented in the proceedings by the Washington-based law firm Foley Hoag and Associates

comprising Dr Campbell Alan McLachlan KC of New Zealand as the President along with arbitrators Stephan Schill of Germany, who was appointed by the

company and Marcelo Kohen of Argentina, who was appointed by Guyana. Back in May 2016, the Georgetown Mayor and City Council (M&CC), under then Mayor Patricia Chase-Green, signed a contract with Smart City Solutions for the paid parking system to be rolled out in Georgetown. The meters became operational in January 2017, but this was met with strong resistance from the then People’s Progressive Party/ Civic (PPP/C) Opposition, Private Sector bodies and ordinary citizens, who formed an organisation called Movement Against Parking Meters (MAPM) – which went on to hold some of the largest non-political protests ever seen in the capital city. Amid public pressure, the then Coalition Administration finally intervened and suspended the bylaws, which paved the way for the implementation

of metered parking, thus effectively halting the parking meter project. In January 2018, a "Parking Meter Renegotiation Committee" at City Hall proposed a reduction in the parking fee from $500 per hour to $150 per hour. Three months later, the then City Council approved amendments to the bylaws and had even appeared before the Coalition Cabinet to discuss the changes ot the contract, but the then Government never gave the green light for the project to recommence. However, a new City Council was elected later that year, and the new Mayor, Ubraj Narine, had told this publication in April 2019 that he was in no rush to reintroduce the initiative. He explained that parking meters are a good initiative for the city, “but it’s the way you introduce [it]”.

Although the contract

had already been renegotiated, Narine also indicated that he would still need to further renegotiate with the investors before moving to reintroduce the project. Nevertheless, AG Nandlall back in December 2022 had contended that this lawsuit filed against the State over the project is reflective of a series of destructive acts left behind by the APNU/AFC Coalition that the PPP/C Government now has to clean up.

“This is the kind of destruction that these people have done… These are invaluable taxpayers’ dollars that we will have to now spend in defending a claim, and APNU and AFC and PNC are living their merry lives. They don’t have anything to do with this. They just wash their hands off of it and left this burden with us to carry,” the AG contended.

40 Reg 2 students to now pursue UG courses at ETI

F orty students from Region Two, who were unable to secure placement at the University of Guyana (UG), will soon have the opportunity to pursue studies in engineering and medical sciences, as the Government moves to accommodate overflow applicants through the Essequibo Technical Institute (ETI).

Education Minister Sonia Parag, during a visit to the ETI in Region Two to assess the readiness of its Technical Vocational Education and Training (TVET) facilities, announced that at least 40 students from the region who were left without spaces at UG will be accommodated at the institute under a new initiative introduced by President Irfaan Ali. “We are here looking at the physical layout of the Technical Institute to see where we can have space to accommodate the students who have applied to the University of Guyana for engineering, as well as medical sciences, and

have not been admitted to UG because of space. So we’re looking specifically at Region Two, Region Three, Region Six, and later Region Nine, to be able to accommodate the spillovers,” Minister Parag explained. Minister Sonia Parag also referred to the unprecedented surge in applications to UG following the Government’s decision to make tuition free. She highlighted that the influx of applicants exceeded the university’s capacity, leaving many students without placement. “It was overwhelming at that time, unexpected as well, because of the number of persons applying. We are looking at making sure that everyone is included, that they have a space, that they can achieve their dreams. Creating that space in other areas, especially closer to home for these densely populated areas, will work well. This was an inthe-moment decision made by His Excellency; an excellent one.” Meanwhile, Minister Parag explained that the move was an immediate initiative by

President Ali following the influx of applications after UG was made tuition-free under his leadership, adding that the additional spaces are expected to be available by the second week of October. “We have this mandate to have those seats become available by the second week of October, so that students can be in a classroom setting, be in a lab setting, and pursue the particular programme in engineering or medical sciences. It’s

really a great initiative, and we are going to ensure that that mandate is carried out,” she said. UG’s Dean and Advisor in the Education Ministry with Responsibility for Tertiary Education Reform, Dr Kofi Dalrymple, highlighted the challenges students in Region Two typically face when pursuing higher education outside of their community. This, he said, often leads to students dropping out of programmes due to the difficulty of travel.

On that note, Dr Dalrymple added that President Ali’s initiative is aimed at reducing those barriers by bringing access to education closer to home, ensuring that more students can complete their studies successfully. He stated that many students are forced to travel long distances, often crossing rivers or bridges, just to attend classes. “If you talk to some students who live in this region, whether they’re teachers or have family here, it’s not easy

to jump on a boat, drive from Parika, cross the bridge, and get all the way to Turkeyen. It’s quite difficult dealing with students every day. This is an issue. Many of them discontinue their programme for some reason because it’s difficult. I think the President’s initiative is to impact that, to give those students easy access to education. There are a lot of great things going on in this region,” Dr Dalrymple said. He also emphasised the importance of maintaining high standards in engineering programmes while expanding access.

“We have to make sure that the engineering programmes at the University are going toward accreditation, which sets a standard for engineering education. We want to ensure that the facility, staff and setup at the Technical Institute can meet those standards. The second priority is access. For students in this region, travelling to UG is challenging, and this initiative is designed to provide them easier access to education.”

Attorney General Anil Nandlall SC
There were widespread protests against the Parking Meter Project in Georgetown
Education Minister Sonia Parag
Dr Kofi Dalrymple

Berbice duo remanded for $2M Essequibo Coast robbery

Two men have been jointly charged and remanded for the offence of robbery under arms committed on Monday at Huist Dieren, Essequibo Coast.

Alim Fareed, a 38-yearold construction worker residing at Lot 155 Little India, Corriverton, East Berbice, along with Nicholas Christopher, a 27-year-old construction worker from No. 76 Village, Corriverton, East Berbice, was charged in connection with the incident. Both accused appeared at the Suddie Magistrate’s Court, where they were not required to plead. The prosecutor objected to bail, and as a result, both men were remanded to prison until October 17. The duo was apprehended hours after allegedly robbing hotdog vendor Andrea Singh, 30, and her family at their home at Huist Dieren Public Road.

According to investigators, the robbery occurred around 13:30h on Monday, while Singh was sitting in a hammock with her one-year-old baby in the yard. The suspects, both masked and posing as Ministry of Finance employees, initially asked to see her elderly grandmother’s identification card, claiming they were there for a pen-

sion matter. Singh told police she became suspicious after detecting the scent of alcohol and cigarettes. Nevertheless, one of the men requested water, and shortly afterward, both suspects allegedly drew a firearm and forced their way into the home.

Once inside, they held Singh and her 83-year-old grandmother at gunpoint

and demanded valuables. The robbers escaped with four gold rings valued at $250,000, a gold band valued at $200,000, G$1,500,000 in cash and US$2410 in cash.

Singh reported the incident at 13:45h. Acting on intelligence, regional anti-crime patrols went to an abandoned property in Huist Dieren around 14:14h, where Fareed was found hiding in bushes with a haversack. Inside the bag, police discovered a quantity of cash and a black plastic bag containing suspected cannabis. Fareed was arrested and taken to the Aurora Police Station, where he reportedly admitted to the robbery.

Later that day, another patrol located Christopher, who also allegedly confessed to the crime. He led detectives to an area where he hid additional cash and a black toy gun believed to have been used in the robbery.

West Ruimveldt gold miner remanded on gun, drug charges

A28-year-old gold miner from West Ruimveldt, who has had several brushes with the law, was on Friday remanded to prison after appearing at the Georgetown Magistrates’ Courts on firearm and narcotics charges.

The accused, Travis Allen of Lot 9 West Ruimveldt, Georgetown, stood before Magistrate Annette Singh, where he pleaded not guilty to two charges brought against him.

The court heard that on September 23, at Charlestown, Georgetown, Allen was allegedly found with 4.5 grams of cannabis for the purpose of trafficking. A second charge alleged that on the same day and at the same location, he was in possession of a Glock 9mm pistol and a matching magazine without being the holder of a firearm licence.

The prosecutor's facts stated that the items were discovered in a strap bag Allen had slung across his shoulder. The court was also told that Allen committed the offence while already out on bail for an abduction case, which raised further objections to him being released. According to the prosecutor, ballistic testing has been completed, and the state is ready to proceed to trial.

Allen’s attorney, Damian

DaSilva, argued that the circumstances surrounding his client’s arrest were questionable. He told the court that Allen had just collected a vehicle from a car wash on Russell Street when he was intercepted by three Police patrols. The ranks conducted a search, which his client allowed, but Allen was removed from the vehicle and was only later shown the firearm and narcotics at the

Ruimveldt Police Station.

DaSilva further stressed that Allen denied ownership of the items during a video-recorded interview and contended that the prosecution will have to prove actual possession. He also noted that there was no video footage linking his client directly to the weapon or the drugs.

Magistrate Singh, after hearing submissions, asked

that the Police officers involved produce their body camera footage to the court on the next hearing date. Bail was denied, and Allen was remanded until October 10, 2025.

Allen is no stranger to the courtroom. Just last year, in October 2024, Allen was one of seven men charged with the abduction of Joshua David, also known as “Bricks”. He and the others were accused of snatching David outside a restaurant on Main Street, Georgetown, with the intent to confine him. Despite Police producing CCTV footage and eyewitness accounts, Allen and his co-accused were each granted $500,000 bail. At the time of his latest arrest, Allen was still out on bail for that kidnapping case, and up to this day, David remains missing.

In 2019, Allen, then 22, appeared before Principal Magistrate Faith McGusty for allegedly robbing a woman outside the Rio Night Club in Queenstown. Reports stated that Allen attacked the victim, dealt her several blows, and relieved her of a cell phone and cash before escaping. Though prosecutors objected, Allen was granted $150,000 bail and ordered to lodge his passport with the court. It is still unclear what the outcome of that matter is.

Down with…

…race baiting

In discussing the meltdown of the three parties with the FMG of Amanza Walton-Desir that scraped out enough “leftover” votes to snag a seat in Parliament, most commentators have focused on the ambitions of the three leaders. Now there’s nothing wrong with ambition in politics – in fact some would say, along with Machiavelli – you shouldn’t be in politics if you ain’t ambitious!! The moment you choose to run for office – to run even a village! – it means you’re ambitious! You wanna be in charge!! All those who prance about talking about “servant leadership” are just virtue signalling!!

But while ambition might be the CAUSE of the catfight, the occasion for the fight is even more significant. It seems that a member of VPAC – the party insisting that the one seat oughta be rotated among the leaders of the three parties – had called out one of them for not distancing himself from some racist comments by one of his followers. This leader of TPM is a fire-and-brimstone pastor – or, as he insists, “Apostle” – who has a hard-on, as they say, for LGBTQ people. His follower had carried on at length about the inadequacies of “Coolie People”, and the VPAC guy asked the Apostle to distance himself from the statements!!

The Apostle, however, refused to do so and rather disingenuously tried to turn the tables on the VPAC guy by asking why he hadn’t denounced that right-wing fella Kirke – who was killed recently in the States for his extreme racial views. The VPAC guy rightly pointed out that they were dealing with matters in Guyana – as a political leader, he had to take a stand. Just as he had with gays and OUR laws against buggery, for instance. VPAC also extended the charge on silencing to Walton-Desir – who’d a while back made her own race-baiting statement about “PPP supporters” –read “Indian Guyanese” – being “intellectually lazy”!!

And THIS is the matter that must be dragged out from under the carpet under which it’s been swept – race!! Not only FGM but also PNC/APNU, where that race-baiting Black Pudding Man’s been awarded a seat by Norton. He’d castigated three Indian Guyanese executive members of APNU – who objected to an African Guyanese denigratingly describing “coolies from India” – as slave catchers!! Two of them quit APNU!! What’s APNU’s position now on the Apostle’s disciple “coolie” utterance?

Finally, the new kid on the Parliamentary block –Sanction Man’s WIN – must also declare their position!! They receive votes – by whatever method! – from the gamut of Guyanese society, so they owe it to those supporters and the country to clarify how we deal with each other!!

The PPP won because they set the (high) standard on race!!

…anti-developmentalism

“Race” doesn’t only enter our political discourse through use of the “C” word here. There’s a wide range of coded expressions that signal the same sentiment!! “PPP supporters”, “rural people”, “sugar workers” and “rice farmers” are only a few!! So take the criticism of the PPP Government for supporting “sugar workers” and rice farmers. It’s all about race, baby!!

Take the present situation where, because of a glut in the world market for rice, prices have plunged precipitously and our farmers are clamouring for Governmental intervention. Winston Jordan – the 2015-2020 APNU/AFC Government’s Finance Minister just declared that present “subsidies to rice are a waste of taxpayers’ money”, and we should cut back on cultivated rice acreage. In effect, derail our strategic decision to reach 1 million tonnes annually!!

This is economic backwardness of the highest order!! Every rice-producing country, from America and India to Thailand, subsidises rice production. Food security is the order of the near future.

Rice gotta be there when oil runs out!!

…genocide

As Pressie at the UNGA reaffirmed support for a twostate solution and a ceasefire in Gaza, you gotta give credit to former President Ramotar as a voice crying in the wilderness – make ye way for the coming of peace!!

Remanded: Alim Fareed and Nicholas Christopher

Bamia Primary School, Belle Vue pump station projects flagged in 2024 AG Report

In its latest annual report, the Audit Office of Guyana has once again flagged the controversial Belle Vue Pump Station project over its incompletion, as well as the prolonged delay of the Bamia Primary School. This was revealed by Auditor General

(AG) Deodat Sharma on Thursday after he handed over the Report of the Auditor General for the 2024 fiscal year. Without go-

ing into details, AG Sharma confirmed that the report has addressed the issues with these two public projects.

“It’s in the report. You can take a look at it when it has become a public document,” the AG told reporters after handing over the report to the Speaker of the National Assembly.

the project has experienced. Nevertheless, immediately after assuming office earlier this month, newly-appointed Local Government and Regional Development Minister Priya Manickchand met with the contractors and cautioned that they either finish the project by the new October deadline or the project would be handed over to someone else. “Right now, what's happening is the children are on shift or sitting three and four on a bench even when they're on shift but we can't continue that. So, we've just had a meeting with the contractor and their subcontractors and gone through all the things that need to be done and we're going to be putting someone here fully to make sure that these finishing works will be finished because for the longest while I've been reading that they are close to finishing but I've also seen other

The 2024 AG Report would first have to be tabled in the National Assembly before it is released to the public.

$346M Bamia Primary School contract

The $346 million contract for the construction of the Bamia Primary School, located just outside Linden in Region 10 (Upper DemeraraUpper Berbice), was awarded to St8tment Investment Inc in November 2021 under the Local Government and Regional Development Ministry. The 20-month project had an initial completion deadline for July 2023. However, the project had encountered a number of delays with several deadline extensions – the most recent being in time for the September 2025 reopening of the new school year but this was not done. In a statement back in April, the contractor had blamed a range of challenges, including labour shortages, increased material costs, and unfavourable weather conditions for the various delays

schools, where there isn't a push and other buildings [where] that last leg of finishing takes forever.”

“We can't afford that here. These children have to come into this school and we're looking at a date in October to begin this. So, we're going to make sure we put a Project Manager on the premises and run down the things that have to finish… That's serious business for us,” Minister Manickchand stressed during her September 14 visit to the school. Only on Thursday, the Local Government and Regional Development Ministry shared photos on its Facebook page of the progress made at the school since that engagement two weeks ago. Last year, AG Sharma had explained that the Bamia Primary School project was not included in his 2023 report since it was incomplete.

$865 million Belle Vue pump station contract

Finishing works ongoing at the Bamia Primary School in Region 10

Northwell Health to conduct assessment of Guyana’s ambulatory services next month

An assessment of the ambulance services across Guyana will get underway in October as part of efforts to modernise the country’s emergency management systems.

President Dr Irfaan Ali witnessed the signing of an agreement between the Government of Guyana and United States-based Northwell Health on Tuesday in New York.

The Head of State had travelled to the United States (US) to attend the 80th United Nations General Assembly (UNGA) held in New York this week.

On the side-lines of the UNGA, the Guyana Government inks the deal with Northwell Health, which will result in the modernisation of emergency management systems here.

According to a post on President Ali’s Facebook page, “The updates will commence with an assessment of ambulatory services across the country, scheduled to begin in October of this year.”

The Guyanese Head of State had announced this partnership on Tuesday evening while addressing mem-

bers of the Guyanese Diaspora at a reception held at Russo’s on the Bay in Queens.

“Only today, we signed another agreement with Northwell, who will be implementing our emergency services and emergency medical services in Guyana, and they will be managing that service whilst we build the capacity over the next three years,” President Ali said on Tuesday evening.

This announcement comes on the heels of the Head of State meeting with a team from Northwell Health led by Vice President and Founding Director of Northwell Health’s Centre for Global Health, Dr Eric Cioè-Peña, earlier this month.

During the engagement in Georgetown, the discussions focused on the implementation of the National Emergency Medicine Authority and on working in collaboration with ExxonMobil to establish a Science, Technology, Engineering, and Mathematics (STEM) Centre in Guyana.

President Ali had previously revealed plans for a countrywide revamp of the emergency healthcare sys-

tems. In fact, the Government is currently working towards the establishment of a national ambulance authority that will oversee the coordination to cover emergency dispatch via land, sea and air.

That authority is likely to be set up at the Infectious Diseases Hospital, formerly the Oceanview Hotel.

The Government is also looking at establishing a central telemedicine centre at the Oceanview facility. The telemedicine programme is one of the initiatives that Guyana has been collaborating with

Northwell Health, which is a non-profit integrated healthcare service that is considered New York’s largest healthcare provider, on to modernise the local healthcare sector.

Back in 2022, Guyana inked a five-year medical partnership with Northwell to, among other things, enhance care, train physicians, address health disparities, assess hinterland regions, and strengthen the secondary-care system as well as emergency medical services. Since then, the telemedicine programme has been expand-

ed and now operates across 81 sites, thus enabling two-way, real-time communication between patients and healthcare providers in different locations, supported by audio-visual technology and integrated medical devices. The initiative targets hinterland and riverine communities, aiming to improve patient outcomes and emergency response capabilities.

Northwell Health is among several US-based medical institutions that the Guyana Government has been collaborating with, another be-

ing Mount Sinai Hospital, to enhance the delivery of its healthcare services.

According to President Ali during Tuesday’s reception, these plans to enhance healthcare delivery are not just geared towards citizens living in Guyana but those in the diaspora as well.

“I know one of your greatest concerns is healthcare. Some of you worry, if I visit and a medical emergency arises, will I receive the care I deserve? Here's my assurance: we are building a worldclass healthcare system.”

“No Guyanese, whether at home or visiting, should ever have to question the quality of healthcare they receive. We are building a healthcare sector and an education sector for all of you to be a part of so that we'll be able to take care of you with the same care that you can have over here,” the Guyanese leader posited.

In fact, to ensure this happens, President Ali has been engaging a number of other private institutions in the US, including nursing schools and medical universities that have all expressed interest in establishing their footprint in Guyana.

President Dr Irfaan Ali witnesses the signing of the agreement between Guyana and Northwell Health for the modernisation of the local emergency management systems

Guyana accelerates aviation growth with global airline engagement

In line with President Irfaan Ali’s vision for Guyana to become a major regional aviation hub, Ramesh Ghir, Chief Executive Officer of the Cheddi Jagan International Airport (CJIA), is spearheading Air Service Development efforts at the Routes World Conference 2025 in Hong Kong.

Ghir has held high-level meetings with representatives from major international carriers across Asia, the Middle East, and Africa, showcasing Guyana’s rapid growth as a destination and discussing opportunities for expanded air connectivity.

“The response has been very positive,” Ghir stated. “The airlines were impressed by Guyana’s rapid rate of development and are constantly assessing the market with a view to providing airlift in the future.”

Leveraging his dual role as Chairman of the Guyana Tourism Authority, Ghir also engaged with numerous tourism bodies and airport leaders to develop a strategic, unified approach aimed at enhancing the country’s appeal as a destination. These collaborations are critical in positioning Guyana, and the wider Caribbean, as

an attractive choice for international carriers and travellers alike.

Current market analysis reveals that over 600 passengers travel daily from Asia and the Middle East to the Caribbean, signalling a growing demand that Guyana is ready to accommodate.

Since 2020, the country’s aggressive air service development strategy has successfully attracted eleven new airlines, including British Airways, KLM Royal Dutch

Airlines, United Airlines, and Avianca Airlines, strengthening Guyana’s connectivity with global markets.

The Routes World Conference 2025 has drawn over 700 organisations, including more than 300 airports, 80 tourism bodies, and 200 airlines, with major carriers in attendance such as Emirates, Cathay Pacific, Air India, China Eastern and Southern Airlines, Ethiopian Airlines, and Turkish Airlines.

Guyana’s push for ex-

panded air connectivity is part of a broader plan to leverage the country’s strategic geographic location, burgeoning tourism sector, and economic growth.

With the recent boom in oil and gas revenues, the Government has invested heavily in infrastructure, airport modernisation, and tourism promotion to attract international carriers and tourists alike.

The strategy not only aims to increase passenger traffic but also to stimulate investment in hospitality, trade, and regional business partnerships. Air service development is seen as a key driver in positioning Guyana as a regional hub for commerce, tourism, and travel in the Caribbean and South

America.

Only in August, the ground had been broken for the construction of a new terminal building at the Cheddi Jagan International Airport (CJIA), which is expected to be completed in about three years. The contract was awarded to BHM, an international company that forms part of the United Kingdom’s (UK) Mowlem Group.

The sod-turning ceremony was held in Timehri, marking the official start of the project. According to officials, the final design is now being completed, after which construction will commence. The project carries an 18-month deadline for completion once work gets underway.

Bamia Primary School, Belle...

Works at the Belle Vue pump station picked up in June 2025 after the project was subcontracted

Last year, AG Sharma had explained that the Bamia Primary School project was not included in his 2023 report since it was incomplete.

$865 million Belle Vue pump station contract

Meanwhile, the $865 million Belle Vue pump station contract was awarded in August 2023 to the Tepui Group, whose principal is Mikhail Rodrigues – popularly known as the Guyanese Critic.

The company had received a substantial advance payment of some $182 million for mobilisation works but Agriculture Minister Zulfikar Mustapha had told the National Assembly back in January of this year that only 10 per cent of the works were completed at the project site on the West Bank of Demerara.

Subsequently, the government entered into a new agreement that saw Gaico Construction and General Services Inc. being subcontracted by the National Drainage and Irrigation Authority (NDIA) to take over and complete the project.

The contract between government and Tepui Group allows for the sub-

contracting arrangement, which the NDIA will pay.

In a progress update in June, Gaico had reported that it successfully completed the access road up to the crush-run level and was moving in materials for landfilling and preparing the crane pad for upcoming pile driving operations.

Heavy equipment including cranes and excavators, and site offices had also been mobilised to the project site, the subcontractor had noted nearly three months ago.

Efforts to contact officials from both Gaico and the NDIA on Friday for an update on current works at the pump station were futile.

In the 2023 Auditor General Report, several issues were raised about this project including the fact that the contractor, Tepui Group, failed to satisfy nine out of the 18 requirements set out in the evaluation criteria.

Moreover, the report highlighted, “The Contractor was mobilised on site; however, no works were in progress at the time of the visit on 14 August 2024, while only the construction of two earthen coffer dams, excavation works, and demolition of the old existing sluice structure were completed,

along with the installation of a test pile. Two excavators were seen on site, along with two site office/containers, a water pump and a quantity of timber piles and steel sheet piles at the time.”

AOG training

During Thursday’s handing over ceremony, the Auditor General revealed that his office has had several training sessions with the engineering departments at the various ministries including Education and Local Government as well as other state agencies on steps they need to take to ensure timely and quality delivery of public projects.

“We are emphasizing what we need, what type of work we need. A lot of the engineers, I know for at least the Ministry of Public Works, have gone over to the oil and gas sector so you have a lot of youngsters in the ministries and departments, and they have to quickly get itself up to date [with] what we are looking for [because] at the end of the day, we are there to protect the taxpayer dollars. That is my duty, to ensure that the taxpayer dollars are spent wisely,” AG Sharma stated on Thursday.

Minister Mustapha meets with agri agencies to advance Govt 5-year plan

Agriculture Minister, Zulfikar Mustapha, held a series of strategic meetings Thursday with staff from the National Agriculture Research and Extension Institute (NAREI), the Guyana Livestock Development Authority (GLDA), and the Agriculture Innovation and Entrepreneurship Programme (AIEP) to discuss the implementation of Government policies and programmes over the next five years.

Addressing staff at NAREI, Minister Mustapha described the Institute as “the backbone of Guyana’s

ence. He called for the modernisation and expansion of genetics, breeding, animal health, biosecurity, and extension services. The

agricultural innovation system,” emphasising that the work of its researchers and technical personnel directly influences productivity, sustainability, and rural livelihoods. “The success of our agriculture sector depends on scientific leadership and practical solutions,” he said, urging staff to continue driving innovation across all areas of research and extension.

At the GLDA, Minister Mustapha highlighted the importance of grounding policies and practices in sci-

Minister also stressed that disease surveillance and vaccination programmes remain national priorities, forming a critical part of the Authority’s animal health and biosecurity framework. During his visit to the AIEP office, Minister Mustapha acknowledged the growing participation of young people in agriculture as a result of Government policies and investments. He praised the programme— initiated by President Dr Mohamed Irfaan Ali—as a regional and international model for fostering agricultural innovation and entrepreneurship, providing young farmers with access

Health Minister challenges world leaders at UN Forum to strengthen health laws

Guyana’s Health Minister, Dr Frank Anthony, has challenged global leaders to prioritise legislation that combats non-communicable diseases (NCDs) and mental health issues. Speaking at the United Nations (UN) General Assembly’s Life Sciences event on September 24, 2025, themed “NCDs and Mental Health: Legislative Leadership for a Global Turning Point,” Minister Anthony emphasised the power of laws to save lives. “Legislative leadership can save lives,” he said, urging nations to adopt policies that protect public health while reducing long-term healthcare costs.

Minister Anthony highlighted Guyana’s own initiatives as examples of effective action: HEARTS for Cardiovascular Diseases –a nationwide programme to prevent, detect, and manage hypertension and relat-

ed conditions. Cervical Cancer Elimination Initiative –screening, vaccination, and treatment programmes for women across the country. Tobacco Control, Mental Health & Suicide Prevention Laws – providing support systems and reducing risks to public health. School Health Programme – early screening for children entering nursery, primary and secondary schools.

By sharing Guyana’s successes, the Minister demonstrated how strong legal frameworks and public health programmes can transform lives.

His remarks at the UN General Assembly’s Life Sciences forum position Guyana as a proactive leader calling on the world to act decisively against the growing global burden of NCDs and mental health challenges.

to resources and opportunities for growth. Overall, Minister Mustapha reaffirmed the Government’s commitment to strengthening the capacity and resources of every agency under the Ministry of Agriculture. He noted ongoing investments in research infrastructure, climate-smart technologies, improved extension services, and staff training and development. The Minister also encouraged staff to remain dedicated and closely connected to the communities they serve, emphasising that collective effort will be key to executing the Government’s agricultural mandate.

Minister Mustapha was joined by Minister within the Ministry of Agriculture, Vikash Ramkissoon, and the Ministry’s Director General, Mr Dhaneshwar Deonarine. This meeting comes just weeks after the general elections held on September 1, 2025, the

People’s Progressive Party/ Civic (PPP/C) secured a decisive victory, with President Dr Mohamed Irfaan Ali being re-elected for a second term. The PPP/C won 36 of the 65 seats in the National Assembly, while the newly formed We Invest in Nationhood (WIN) party secured 16 seats, and the A Partnership for National

Unity (APNU) won 12 seats. President Ali was officially sworn in on September 7 and has since reaffirmed his administration’s commitment to leveraging the nation’s oil wealth for sustainable development, including significant investments in infrastructure, education, and agriculture.

Govt orders halt to unauthorised Brickdam Street supermarket construction

The Ministry of Housing, through the Central Housing and Planning Authority (CH&PA), has taken decisive enforcement action to stop unauthorised construction works for a proposed supermarket at Lot 72 Brickdam Street and Brummel Place, Georgetown.

An inspection conducted by CH&PA’s Enforcement and Compliance Department confirmed that construction commenced without seeking approval from CH&PA or the relevant regulatory agencies. No planning permission was ever issued for the development, nor is there any application pending before the Authority.

As a result, the proprietor of the building was for-

mally served with a Notice of Contravention in accordance with the Town and

Country Planning Act, Cap. 20:01, ordering the immediate cessation of all unauthorised works. The notice was served at the residence of the proprietor, and a copy was affixed at the construction site.

The CH&PA firmly reminds all businesses, developers, and property owners that the Authority is the first point of engagement for all construction and commercial development permits. Adherence to zoning laws and planning regulations is not only mandatory but also critical to safeguarding orderly and sustainable development.

The Authority reiterates its commitment to supporting legitimate investment and projects that align with national planning standards, uplift communities, and contribute positively to urban development, while taking uncompromising action against any attempt to circumvent the law.

Health Minister Dr Frank Anthony
The notice was served at the residence of the proprietor, and a copy affixed at the construction site
Construction began without seeking approval from CH&PA or relevant regulatory agencies
Agriculture Minister Zulfikar Mustapha meeting with the agencies
The aim of the meetings was to discuss the implementation of Government policies and programmes over the next five years
Minister Mustapha noted that investments are being made in research infrastructure and climate-smart technologies among others
The Minister encouraged staff to remain closely connected to the communities they serve

Govt aims to develop vast economic potential of Region 6 – Dr Singh

...says major investments this term to make region industrial capital of the Caribbean

With the People’s Progressive Party Civic (PPP/C) Government having commenced its second term in office this month, Senior Minister in the Office of the President with Responsibility for Finance Dr Ashni Singh explained to Berbicians recently that during the period 20252030, Government will implement policies and plans that aim to unleash the vast economic potential of Region Six. He said these plans were clearly outlined by President Irfaan Ali and the party’s General Secretary, Dr Bharrat Jagdeo.

Speaking during the launch of the Berbice Expo and Trade Fair this week in the region, Dr Singh reminded Berbicians that this vision was outlined with great clarity for both the region and the country in contrast with the other aspirants in the political landscape.

In its 2025 Manifesto, the PPP/C has included as part of its development plans for Region Six, making the region the industrial capital of the Caribbean, monetising the gas reserves found offshore, constructing a deep-water harbour, a new bridge across the Berbice River, a highway to Georgetown, road

and possible rail connections to Northern Brazil as well as the highway along the Corentyne Coast, a bridge across the Corentyne River, an all-weather road to Orealla and Siparuta, and upgraded overland connectivity to Kwakwani. In addition, private capital could be mobilised for such activities as oil refining, alumina refining, fertiliser manufacturing and a new petrochemical industry. Government plans as well to establish the Guyana Cultural Market at Palmyra.

Major industrial development

“I wish to reiterate to you that over the course of the next five years, we have outlined plans that promise a very exciting future for Region Six in particular, and for Guyana more generally. Over the course of the next five years, we will see Region Six connected now with Region Five and therefore with the rest of Guyana and through the road to Brazil to Northern Brazil, we will see a new four-lane-bridge,” the Minister highlighted, adding that this bridge is necessary despite there already being a bridge across the Berbice River, since there are weight limitations on the current

bridge.

“We have explained, and you know that the current bridge, though it has served an incredible useful purpose, it was built in another period when we faced constraints. Those of you who are in business know that there are weight limitations, and heavy goods that cannot be brought across the bridge have to be brought by barge etc. Of course, if you want major industrial development, you need to be able to move containerised cargo smoothly and efficiently across that river, both in terms of input and industry and the production in Region Six,” the Senior Minister explained.

He noted that the intention of Government is to have major industrial development in the region and therefore there are plans to develop a deep-water harbour and an industrial park similar to what is being done in Wales to utilise additional gas resources in Region Six, which holds the potential to be used in industries such as the manufacture of fertilisers for agriculture and also potentially to be used for the production of additional electricity for the processing of bauxite resources in the region.

“We want in the next five years to be able to produce right here in a competitive manner, valued-eaadded globally competitive agro-processed goods for export using the deep harbour right here in Region Six,” Minister Singh told the businesspersons and other residents gathered at the event. He added that Government’s plans are not confined because recognising the vast potential of the agriculture sector in Region Six, Government is investing heavily as well in improved drainage and irrigation structures such as the Hope-like Canals, and an embankment along the Canje

Creek to reduce the risk of flooding and to improve water management for irrigation purposes so that farmers will face a significantly reduced risk of flooding.

Interconnected links

Dr Singh highlighted other development projects that will take place in the region including the bridge across the Corentyne River to link Guyana with Suriname. He reminded Berbicians that President Ali and the new President of Suriname already met to discuss the realisation of the bridge and further for Berbice to be linked by road over land to Suriname in the east to Region Five and Four, then through Region Ten and Nine with Northern Brazil through road construction.

“Then there are the developments taking place in so many other sectors, including the stadium at Palmyra – and imagine that we are mere months away from a time when people will traverse from the rest of Guyana to come to look at international cricket,” the Finance Minister posited. Dr Singh added

2020 Elections fraud case

that the region will have international hotels, a modern mall, and cricketing fans will not only be coming to watch cricket but will shop in Berbice, eat in restaurants and stay in Berbice hotels. It was also noted that there will be a Guyana National Cultural Market and a major housing and commercial development all within the Palmyra area. He also touched on the fourlane highway being built along the Corentyne coast, the transformation of Port Mourant into the technical and vocational capital of the Caribbean with the Guyana technical training college under construction and already operating and graduating students. Dr Singh concluded in his address to Berbicians that “you have in President Irfaan Ali’s Government, a Government that has not an abstract or theoretical idea about what we might be doing in Region Six, but a Government that has a crystal-clear plan with concrete initiatives and projects within a framework that aims to unleash the vast economic potential of Region Six and improve the lives of all of the People of Region Six.”

Josh Kanhai recounts stalling during elections recount process

As the election fraud case continued on Friday, the court viewed video footage of defendant Michelle Miller refusing to answer police questions during a 2020 interrogation, while Josh Kanhai, a former The New Movement (TNM) candidate, testified about his experiences at the Ashmin’s Building on March 5 and his involvement in the national recount between May 6 and June 8, 2020.

Following Kanhai’s testimony the hearing was adjourned and will remain in recess until October 21.

A witness for the prosecution, Kanhai recalled the chaos that unfolded at the Ashmin’s Building in Georgetown on March 5, 2020, after the then Returning Officer Clairmont Mingo declared the Region Four results of the March 2, 2020 General and Regional Elections (GRE) using numbers later deemed incorrect.

Kanhai recalled the challenge that ensued after the recount was completed on June 8, 2020, when former Chief Elections Officer

(CEO), Keith Lowenfield, continued to refuse to prepare an elections results report using the correct numbers that were produced in the national recount of all 10 electoral districts, and instead continued to attempt to use the numbers previously produced during Mingo’s tabulation from Statement of Polls (SOPs).

An elections agent for TNM, Kanhai recalled being directly involved in the process and watching as it all

unfolded.

“The Chair woman would have enforced that she wanted the numbers to be used from the Statement of Recount. [But] on July 13, we received a letter stating that the numbers were not being used from the Statement of Recount… my party would’ve received a letter showing that the numbers were not matched to the statement of recount,” Kanhai testified.

Kanhai explained that

he was able to ascertain that it was the SOP numbers and not the SOR (Statement of Recount) numbers as his party was still in receipt of their SOPs and SORs and were able to compare the numbers.

“We had the original Statement of Polls that was used for the Elections. Those numbers we kept on an Excel sheet so when we cross matched our numbers to the numbers from that recount the totals did not

match,” Kanhai recalled.

Following the pandemonium that broke out after Mingo’s Region Four declarations, and challenges or irregularities arose, on May 4, 2020 GECOM had issued Order 60 of 2020 that authorised a national recount of all ballots cast in the March 2, 2020 GRE.

“During the recount process, I would sit in at the recount stations with fellow members from my party as well as other parties and I would also be present within the tabulation centre when statement of recount would’ve been posted to the tabulation centre for verification

“My team, we had a twostep verification, whereby as soon as a Statement of Recount was finished from the recount station, the person from that station would be issued with an image of the statement of Recount, which we would then add to our system, that was one Excel sheet. We then had a second Excel sheet that would come into the tabulation centre. So we have two steps, whereby one

Excel sheet counted before it reached Mr. [Keith] Lowenfield to sign off and another Excel sheet would have been for the assigned statement of recount after.”

Recount process Kanhai recalled that when the recount process commenced, it involved the removal of the ballot boxes one by one from the container in the presence of election agents from the various political parties. He noted that he observed that all of the ballot boxes were sealed as they came out of the container bearing seals from the Guyana Elections Commission in addition to seals from individual political parties.

“I observed that it had the seals intact: the official seals for GECOM with that serial numbers and also had party stickers. The box was taken by the GECOM representative, followed by the party representative along a corridor and that box was taken to the counting station that it was denoted to be at,” Kanhai recalled.

Dr Ashni Singh, Senior Minister in the Office of the President with Responsibility for Finance, speaking at the launch
Ongoing construction of the stadium at Palmyra
The individuals currently on trial in connection with the alleged attempt to rig the 2020 General and Regional Elections

Deputy Commissioner urges new ranks to serve with “integrity and compassion”

...as 4 Police Academy courses graduate

The Guyana Police Force (GPF) on Thursday proudly celebrated the graduation of Recruit Courses 395, 396, 397, and 398 during a ceremony at the Officers’ Training Centre, Eve Leary. The event marked a significant milestone for the Force, symbolising its continued investment in developing officers equipped to serve with fairness, discipline, and integrity. The four courses, including Course 398, which was an all-female batch, completed six months of in-

persons, traffic offences, and human smuggling, as well as firearm drills, patrol duties, theatre training and practical attachments at police stations. Recruits also gained real-world exposure through station and mortuary visits, duties during the Caribbean Premier League (CPL) cricket tournament, and participation in academy traditions such as a church service, an athletic meet, and a road march.

Delivering the feature address, Deputy Commissioner (Administration)

“Every challenge is an opportunity to grow and learn. Remember, it’s not about being perfect; it’s about being committed to serving and protecting our community with integrity and compassion,” he told the recruits. He reminded them that policing is not only about enforcing laws but also about building trust and inspiring confidence within communities. He cautioned them against bias, stressing the importance of relying on evidence and truth and encouraged them to remain mental-

tensive training that combined academic instruction with hands-on practice. The programme covered constitutional law, human rights, police powers, trafficking in

Ravindradat Budhram urged the graduates to embrace the challenges ahead with professionalism and resilience.

ly and physically strong. He also underscored that opportunities for career advancement would come through performance, discipline and

education, urging the young officers to pursue higher studies and participate in sports as part of their professional growth. The ceremony also recognised the outstanding achievements of several recruits. Apprentice Navin Persaud was named Overall Valedictorian, while in Course 395 the best student was Constable 27381 Adams, the best classroom rank was Constable 27459

ceived the best drill award.

Course 397 saw Constable 27387 Andrew again excelling as best student, Constable 27416 Haynes topping the classroom, and Constable 27407 Edwards taking the best drill award. For Course 398, which was the all-female course, the best student award went to Constable W. 27401 Daniels, the best classroom rank went to Constable W. 27428

Barker, Woman Senior Superintendent Leslyn Halley-Smith, along with other senior and junior officers. Families, instructors, and friends of the graduates filled the training centre to share in the occasion, applauding the hard work and dedication of the new police officers. The graduation of Courses 395, 396, 397 and 398 was not only a moment of achievement for the

Teixeira, and the best drill award went to Constable 27415 Hartcourt. In Course 396, Constable 27432 Mangal was named best student, Constable 27404 December was recognised as the best classroom rank, and Constable 27387 Andrew re-

Khan, and Constable W. 27384 Abrams was named best at drill.

In attendance at the ceremony were senior officials including Woman Senior Superintendent Dr Nicola Kendall, Senior Superintendent John

Josh Kanhai recounts stalling during...

“When it was at the counting station, the GECOM representative would display the box on the table with the seals. The serial numbers were read and everyone had the opportunity to note those serial numbers down, the party stickers were removed, and the box was open. When the box was opened, there were several envelopes in the box. The envelopes were labelled.”

The recount produced SORs that superseded previous SOPs. Lowenfield was required to produce a report

on the recount. He did so on June 13, 2020. However when he submitted his final report on the elections result on July 11, 2020 he continued to use the fraudulent numbers concocted by Mingo and not the recount results.

Kanhai, who was recently appointed as the Deputy Permanent Secretary for the Ministry of Local Government, recalled observing and being in receipt of back and forth correspondence that ensued between Lowenfield and Chairperson of the Guyana Elections

Commission (GECOM), Justice (ret’d) Claudette Singh over Lowenfield’s defiance to using the recount results.

On August 2, 2020 Lowenfield would finally submit a report using the recount numbers, which showed a win of the elections for the People’s Progressive Party Civic (PPPC). Mingo’s previous fraudulent results had attempted to give the election win to the A Partnership for National Unity/Alliance for Change (APNU+AFC) party, which was in government at the

time.

Earlier in his testimony, Kanhai testified to his attempts on March 5, to deliver a letter of a Request for a Recount to Justice Singh at her office at the Ashmin’s Building, which was being used as the GECOM Command Centre.

Miller’s interview Meanwhile, Miller’s interview was presented as video evidence during the testimony of a Criminal Investigation Department (CID) videographer stationed at the Crime

recruits but also an occasion of pride for the GPF. It signalled a renewed commitment to shaping a new generation of officers who will uphold justice, fairness and professionalism while serving communities across the country.

FROM PAGE 14

Laboratory. The video recording shows Miller being questioned by then-Corporal Stephon Hinds and Officer Simon McBean at the Criminal Investigation Department (CID) on October 17, 2020.

During the 2020 elections Miller served as a clerk for Mingo. During her interrogation Miller was asked by the police about allegations of her participation in fraud during a subsequent tabulation process for Region Four, which saw Mingo making another fradulent declaration on March 13, 2020,

Miller, Mingo and Lowenfield are among nine individuals currently facing 19 charges of conspiracy to commit electoral fraud for the events that occurred following the March 2, 2020 GRE. Other persons charged include Deputy CEO Roxanne Myers, former APNU+AFC Minister Volda Lawrence, APNU+AFC Chief Scrutineer, Carol Joseph and former GECOM employees Enrique Livan, Sheffern February, and Denise Babb-Cummings.

Assistant Commissioner Budhram urged the young officers to pursue higher studies and participate in sports as part of their professional growth
The graduates of the courses
The ceremony celebrated the graduation from Recruit Courses 395, 396, 397, and 398

Guyana, Rwanda sign “open skies” deal to boost Africa air links

Guyana and Rwanda have taken a major step toward increasing air connectivity between the two countries, signing an “open skies” Air Services Agreement on Friday, September 26, 2025,

at the 42nd ICAO Assembly in Montreal, Canada. The Agreement, signed by H E Prosper Higiro, High

17-year-old dies in Kwakwani crash

A17-year-old Kwakwani youth lost his life on Friday morning after the car he was driving collided with a lorry along Mines Road.

The dead teenager has

er TZZ 9525, was heading west along the southern side of Mines Road when Welch, who was travelling

hicles damaged. Publicspirited residents pulled the unconscious teen from the wreck and rushed him

been identified as Adrian Welch of Kwakwani Park.

Welch was at the wheel of motor car PPP 449 when the accident occurred around 11:35h.

Police reports indicate that a motor lorry, GAD 5603, with trail -

east, collided with the rear wheel of the truck. The lorry was driven by 26-yearold Teyon Rogers, also of Kwakwani.

The force of the impact sent Welch’s car crashing onto the northern grass parapet, leaving both ve -

Commissioner of Rwanda to Canada, and Lt Col (Ret’d) Egbert Field, Director General of the Guyana Civil Aviation Authority, aims to encourage and facilitate airlines operating air services between Guyana and Rwanda, as well as to other international destinations.

Alongside standard provisions covering the grant of rights, designation and authorisation, recognition of certificates and licences, safety, aviation security, commercial activities, code sharing, and operational flexibility, both countries expressed optimism that the agreement would create new opportunities for airline expansion and strengthen bilateral cooperation.

High Commissioner Higiro described the deal as

“not just another bilateral agreement on paper but signifies the spirit of where our two countries are going. We look forward to the operationalisation and implementation of this Agreement.”

Director General Field emphasised the strategic importance of the move for Guyana’s international connectivity.

“The African continent is at least five hours away from Guyana, and we must work diligently to operationalise air connectivity between Guyana and Africa, as was done during the war days in the 1940s,” he said. “The signature of this Agreement builds on the spirit of cooperation committed between H E President Dr Irfaan Ali and H E Paul Kagame, President of Rwanda.”

30 lbs cocaine,

Rwanda is home to Rwanda Air, which operates a fleet of Boeing and Airbus aircraft from Kigali International Airport to 22 cities across Africa, the Middle East, Asia, and Europe. The new agreement complements the more than 50 air services agreements Guyana has already established with other ICAO member states, reinforcing the country’s ambition to become an international hub for air connectivity.

Guyana and Rwanda formally established diplomatic relations on 24 August 2022. The signing of this agreement underscores President Ali’s commitment to strengthening bilateral ties while expanding Guyana’s reach in global air transport.

8 lbs ganja found in G/town, Charity search

Some 30 lbs of cocaine and 8 lbs of marijuana were found Thursday by law enforcement agencies in Georgetown and Charity, Essequibo Coast.

Officers of the Customs Anti-Narcotics Unit (CANU), acting on information received, conducted an intelligence-led operation at a location in Charity, Essequibo Coast. A subsequent search of the location led to the discovery of 13 brick-like parcels suspected to be cocaine. One person was arrested and escorted to CANU Headquarters, along with the suspected cocaine. At CANU HQ, the suspected cocaine was weighed in the presence of the suspect and CANU officers, which amounted to 14.836 kilograms (approximately 30 lbs).

to the Kwakwani Hospital. Despite their efforts, he was pronounced dead on arrival by a doctor.

The lorry driver has since been taken into custody and is assisting with the ongoing investigation.

Meanwhile, detectives, acting on intelligence, went to BAC Couriers Shipping Company, located on Durban Street, Georgetown, where a search was conducted on a brown cardboard box shipped by a Shamar Fraser from Florida to someone named Shequan Simon of Lamaha Park, Georgetown. During the search, conducted at around 16:30h on Thursday, the police found an orange suitcase inside the box. The suitcase was opened, and inside were eight compressed parcels with leaves, seeds and stems suspected to be cannabis.

A search unearthed 13 parcels of cocaine at Charity

The suitcase with the suspected cannabis was taken to the Criminal Investigation Department (CID) Headquarters, where it was processed, photographed and weighed, amounting to 8 lbs. Investigations into both finds are ongoing.

From left: Deputy Director General Saheed Sulaman, Guyana Civil Aviation Authority Director General Lt Col (Ret’d) Egbert Field, High Commissioner of Rwanda to Canada H E Prosper Higiro, Director General of Rwanda Civil Aviation Authority Silas Udahemuka
The marijuana found in the suitcase in Georgetown
Dead: Adrian Welch
The accident that occurred at Kwakwani

Barbados decries backslide on climate commitments

Like several small island nations, Barbados’s Prime Minister Mia Amor Mottley has said her country is on the front lines of climate change.

She pointed to rulings by the International Court of Justice and the InterAmerican Court of Human Rights that have issued advisory opinions that “have affirmed the legal rights and entitlements of citizens who must, on a daily basis, confront the impact of the climate crisis”.

That comes after United States President Donald Trump earlier this week called climate change the “greatest con” in the world, as he warned a pivot to re-

newable energy was weakening world powers. (Excerpt from Al Jazeera)

Antigua Taxi Association

President vows to fight against app service

The President of Antigua’s National Taxi Association has registered strong opposition to the newly launched SWYFT ride-hailing app, threatening collective action by the organisation’s 700 members to protect what he calls the country’s transportation “culture and heritage”.

Gregory Athill said on Observer AM that his association will not accept the app service, which he claims undermines established taxi regulations and opens the door to unlicensed drivers using private vehicles to transport passengers.

The association’s main concerns centre on what Athill describes as the use of A-plate and C-plate vehicles – private cars not licensed for public transportation – despite company claims that only licensed taxi drivers operate on the platform. He said he has evidence of non-taxi vehicles picking up passengers through the app.

Athill also criticised the

timing and process of the app’s introduction, claiming that SWYFT registered with the Government before consulting with taxi associations. The company only approached the associations after obtaining official approval, he said.

The taxi association President expressed particular concern about foreign investment in the transportation sector, noting that the app was developed by an investor who obtained citizenship through the country’s Citizenship by Investment Program.

“I am tired of people coming to our country and exploiting our people,” Athill said, arguing that ride-sharing apps drain money from the local economy by routing payments through overseas systems.

In response to the mounting criticism, SWYFT issued a detailed statement clarifying its operations and commitments to regulatory compliance.

The company emphasised that all drivers on its plat-

form must hold certified taxi permits from the Antigua & Barbuda Transport Board and that no unlicensed vehicles or drivers are accepted.

“SWYFT is not here to replace or displace existing taxi services; rather, our mission is to enhance connectivity, safety, transparency, and convenience in mobility,” the company stated.

The ride-hailing service reported strong early performance since its soft launch during Carnival 2025, with over 300 rides completed on its first full day of operations. Participating drivers earned between EC$750 and EC$1000 daily during peak periods, according to company data.

SWYFT positioned itself as a modernisation tool for the existing taxi industry rather than a competitor, offering features including real-time booking, transparent fare estimates, cashless payments, and driver verification. (Excerpt from Antigua Observer)

J’ca commission probing four Police fatal shootings within 24

As calls grow louder for the expedited use of mandatory body-worn cameras by the security forces, the Independent Commission of Investigations (INDECOM) seemingly has its hands full as it probes the fatal shooting of four men in three separate incidents over a 24-hour period.

Two men were fatally shot by Police on Thursday during separate operations in Old Harbour, St Catherine, and Hungry Town, Manning's Hill, St Andrew. Their identities have not yet been confirmed. Details surrounding the

incidents are sparse; however, INDECOM says one firearm was reportedly recovered.

INDECOM says it is also investigating a double fatal shooting on Wednesday. Wednesday's shooting victims have been identified as Malachi McLean and 24-year-old Nickoy Nelson. Another firearm was reportedly recovered.

INDECOM says the concerned officers were served with Section 21 notices, pursuant to the Independent Commission of Investigations Act 2010, to submit statements and attend interviews.

UK drops threat of direct BVI rule

Britain has finally lifted its threat of imposing temporary direct rule on the Virgin Islands.

Premier Natalio “Sowande” Wheatley, who has long warned that any suspension of the VI Constitution would amount to an unacceptable colonial power grab, welcomed the Monday announcement by United Kingdom (UK) Overseas Territories Minister Stephen Doughty.

The diplomatic move came as British AntiCorruption Champion Baroness Margaret Hodge arrived in the territory after a long history of criticising the VI for a lack of financial transparency.

Mr Doughty wrote to the premier to inform him that the Parliamentary device known as an order in council – which allowed the UK to implement direct rule if the VI Government didn’t fully implement the rec-

ommendations in the 2022 Commission of Inquiry report – will be removed due to the territory’s progress in making those reforms over the past three years.

The premier said he was pleased that the threat to temporarily suspend the VI Constitution is being lifted.

He also thanked the Caribbean Community, the Organisation of Eastern Caribbean States and the

United States (US) Virgin Islands for their support in resisting direct rule over the past three years.

“From the beginning, we as Virgin Islanders were adamant about protecting democratic governance and the hard-earned constitutional gains of our ancestors, who built this territory with courage, vision and fortitude,” the premier said. (Excerpt from BVI Beacon)

Cocaine lab found on property of Bolivia's former anti-drug czar

Police in Bolivia have arrested the country's former counternarcotics czar after finding a cocaine lab on one of his properties, although it is not yet clear if he was aware of its existence.

Felipe Cáceres was the head of the Government department for controlled substances from 2006 to 2019 and in that role was in charge of Bolivia's fight against illegal drugs.

The arrest of Cáceres is the latest scandal to hit Bolivia's anti-drug agencies, with one former head of the counternarcotics Police currently awaiting trial in the United States (US) on charges of drug smuggling and another already in jail for drug trafficking.

Bolivia is the third largest producer of cocaine in the world after Colombia and Peru.

Cáceres, 63, was arrested on Tuesday morning in Puerto Villarroel, in the Cochabamba region, where much of the country's coca crop is grown.

hours

The four fatalities bring the total number of people fatally shot by the security forces since the start of the year to 230, 20 of which occurred during the month of September.

This represents the 10th consecutive month where 20 or more people have been killed in reported confrontations with the Police.

It is a 76 per cent increase in the total number of people fatally shot by Police compared with last year.

INDECOM says 118 people have been killed in a planned operation since the start of the year. (Excerpt from Radio Jamaica News)

Before being appointed as the head of Bolivia's de-

St Vincent PM

partment for controlled substances, Cáceres was a leader in one of the coca-growers' unions.

But Police said what they found on one of his properties was a laboratory in which coca leaves are turned into cocaine hydrochloride, a drug which is illegal in Bolivia and most other countries worldwide.

Bolivia's interior Minister, Roberto Ríos, said that while the lab – which was big enough to employ 10 people – was found on land owned by Cáceres, investigations were still under way to determine if he was the owner of the lab.

Ríos added that Cáceres

had been detained 500m from the lab at a nearby sand and gravel plant he owns. This is not the first time Bolivian counternarcotic officials have come under investigation.

Last year, a former chief of the counternarcotics Police force, Maximiliano Dávila, was extradited to the US on drug trafficking charges, which he denies. Another former boss of the counternarcotics Police, René Sanabria, served a 14-year sentence in the US after he was caught trying to smuggle cocaine into the US. (Excerpt from BBC News)

urges restraint amid concerns about militarisation near Venezuela

Prime Minister (PM) of St Vincent and the Grenadines (SVG), Ralph Gonsalves, on Friday voiced concern at the United Nations General Assembly (UNGA) over rising tensions between the United States (US) and Venezuela, warning that the situation threatens peace and stability across the wider Caribbean and Latin America.

Describing the developments as “most unhelp-

ful to peace and stability in our Caribbean and Latin America”, the prime Minister called for restraint on all sides.

“Saint Vincent and the Grenadines calls for the scaling back of actions and rhetoric which are so inimical to cordial neighbourly relations,” he told the UNGA.

Particularly alarming, he noted, was the “foreign militarisation of the waters around Venezuela”, which

he said was “exceedingly troubling”. “Repeatedly, the countries of the Caribbean and Latin America have unanimously declared our area is a zone of peace,” he asserted.

“By all means, let us cooperate in combating drug trafficking and allied transnational criminal activities. But the unilateral militarisation is decidedly not the way to go,” he added.

(Excerpt from Al Jazeera)

Barbados Prime Minister Mia Mottley addresses the UNGA
Premier Natalio “Sowande” Wheatley, left, hosted a welcome reception for British Anti-Corruption Champion Baroness Margaret Hodge, right, on Tuesday evening
Felipe Cáceres was the head of the Government department for controlled substances from 2006 to 2019 (2011 photo)

Around the World OIL NEWS

Oil gains on Ukraine drone attacks cutting Russian supply

Oil prices rose on Friday as Ukraine's drone attacks on Russia's energy infrastructure cut the country's fuel exports.

Brent futures gained 51 cents, or 0.73 per cent, to US$69.93 a barrel by 12:46h CDT (1746 GMT). US West Texas Intermediate (WTI) crude rose by 71 cents, or 1.09 per cent, to US$65.69 a barrel.

Both benchmarks are set to register their biggest increases since mid-June.

"Markets continued to be focused on the situation between Russia and Ukraine," said John Kilduff, partner with Again Capital. "These drone attacks by Ukraine are beginning to add up."

Russia will introduce a partial ban on diesel exports until the end of the year and extend an existing ban on gasoline exports, Deputy Prime Minister Alexander Novak said on Thursday.

The drop in refining capacity has left several Russian regions facing shortages of certain grades of fuel.

In addition to the drone attacks, Andrew Lipow, President of Lipow Oil Associates, said US Government action was also supportive.

On the supply side, crude oil exports are scheduled to resume on Saturday from Iraq's semi-autonomous Kurdistan region, the state news agency said, citing state marketer SOMO, which will transport the oil via pipeline to Turkey’s Ceyhan port.

"The market will be watching Kurdish production to see what that will add to supply," Lipow said.

On the demand side, US gross domestic product increased at an upwardly revised 3.8 per cent annualised rate in the past quarter, the Commerce Department's Bureau of Economic Analysis said in its latest estimate on Thursday. (Excerpt from Reuters)

UN stands by initial findings on Trump’s “escalatorgate”

Stephane Dujarric, the spokesperson of United Nations (UN) chief Antonio Guterres, says the international body is investigating the failure of Trump’s escalator at the General Assembly earlier this week.

Trump had claimed that the failure was “sabotage”, saying that the UN “ought to be ashamed”.

The UN had said pre-

viously that the escalator stopped as a result of an accidental activation of a safety feature, likely by one of Trump’s own videographers.

“We launched a deeper investigation; we’ve told the US they’re welcome to join us as we look further, but obviously, we stand by our preliminary findings,” Dujarric told reporters Friday. (Al Jazeera)

US fighter jets scrambled after Russian bombers flew off Alaskan coast

United States (US) and Canadian fighter jets were scrambled to intercept four Russian military planes off the coast of Alaska.

Two Russian Tu-95 bombers and two Su-35 jets were detected operating in Alaska’s air defence identification zone (ADIZ) on Thursday, although they steered clear of US airspace, marking the latest in a series of incursion threats.

In response, the North American Aerospace Defence Command (NORAD) deployed an E-3 surveillance aircraft, four F-16 fighter jets, and four KC-135 tankers to identify and intercept the Russian planes.

UK woman jailed over “sadistic” abuse of 21 babies at London nurseries

A22-year-old nursery worker has been sentenced to eight years in jail after being convicted of the “sadistic” abuse of 21 babies, including pinching and pushing children, and kicking one little boy in the face.

Roksana Lecka, from Hounslow in west London, admitted to seven counts of cruelty to a person under the age of 16 and was convicted of another 14 counts by a jury at Kingston Crown Court in June.

On Friday, parents spoke about the devastation caused by her “sickening” crimes, calling her the “worst kind of human”.

During a harrowing campaign of abuse in two nurser-

ies in London, Lecka pinched, scratched and pushed children, making them flinch and cry. On one occasion she kicked a little boy in the face several times and stepped on his shoulder.

Lecka’s crimes were discovered in June last year after she was sent home for pinching a number of children and appearing “flustered” at the Montessori Riverside Nursery in Twickenham, south-west London, according to the Crown Prosecution Service.

Metropolitan Police detectives went through CCTV from the nursery that showed her pinching and scratching children, all aged 18 months to two years, under their clothes on their arms, legs and stom-

achs, sometimes dozens of times a day. She was also seen pushing babies headfirst over cots and on one occasion covered a toddler’s mouth when he started to cry.

Lecka had denied assaulting any children at the Riverside Nursery but changed several pleas to guilty just before her trial began, having been shown enhanced CCTV of her crimes.

When asked in court if she had lied, she said, “I was not lying because I was unaware of what I was doing and the things I was doing. I can’t remember the things I was doing because I was smoking cannabis that was affecting my memory.” (Excerpt from The Guardian)

At least 100 feared dead in northwest Nigeria gold mine collapse, locals say

At least 100 persons are feared dead following the collapse of a gold mining pit in Nigeria's Zamfara State, survivors and residents said on Friday.

The pit at the Kadauri mining site in the Maru local Government area caved in on Thursday while scores of artisanal miners were working underground, witnesses told Reuters. Rescue operations continued into Friday.

Sanusi Auwal, a local res-

ident involved in rescue efforts, said at least 13 bodies had been retrieved from the rubble, including that of his cousin. "Over 100 miners were involved during the collapse," Auwal told Reuters by phone.

"We are lucky to be rescued alive. Out of more than 100 people, only 15 of us were rescued," said Isa Sani, who is currently receiving treatment for injuries. Muhammadu Isa of the

Zamfara State miners association confirmed the incident, adding that some rescuers also suffocated while trying to dig out victims.

Zamfara Police spokesperson Yazid Abubakar did not immediately respond to calls and text messages seeking comment.

Illegal mining is common in Zamfara, where armed gangs often control gold fields, fuelling violence and deadly accidents. (Reuters)

“The Russian military air-

craft remained in international airspace and did not enter

American or Canadian sovereign airspace,” the agency said in a statement.

Also on Thursday, Hungarian Gripen fighter jets intercepted a formation of five Russian military aircraft approaching NATO airspace over the Baltic Sea. It was reported the Russian warplanes – including three MiG-31s, an Su-30, and an Su-35 – flew over the sea near Latvian airspace.

After visual identification and escort, the Russian formation turned away, and the Gripens returned to base, it was reported. (Excerpt from The Telegraph)

Switzerland to take in 20 Gazan children for medical treatment

Switzerland plans to take in about 20 injured children from the Gaza Strip for medical treatment, the Government said on Friday.

It is unclear when the evacuation of the children can be carried out due to the situation on the ground in Gaza, but coordination efforts are underway, it added in a statement.

The selection will be

made in close coordination with the World Health Organisation, which maintains lists of patients, and security checks will be conducted on the selected children and their accompanying family members, the Government added.

Upon arrival, they will go through the asylum process. The Government will cover the costs of coordi-

nation and transportation, while the medical costs will be voluntarily borne by the Swiss cantons that take in the children or by the hospitals themselves, it added. The WHO has registered around 19,000 patients for evacuation from Gaza, including 4000 children, many with life-threatening injuries or illnesses that cannot be adequately treated locally.(Excerpt from Reuters)

Netanyahu attacks Palestinian recognition as dozens walk out of UN speech

Israeli Prime Minister Benjamin Netanyahu has attacked the recognition of a Palestinian state by multiple Western countries during a combative speech at the United Nations (UN) General Assembly.

Netanyahu labelled the recognition moves a "mark of shame" that sent the message "murdering Jews pays off".

Dozens of officials and diplomats staged a walk-out as he took to the podium, leaving large parts of the conference hall empty. Outside, protesters against Israel's war in Gaza gathered in Times Square.

The Israeli Prime Minister

repeated that Israel would not allow a Palestinian state to exist and said this position was supported by the vast majority of Israelis.

He went on to refute the conclusion of a UN commission of inquiry that Israel had committed genocide in Gaza, claiming the charge was "baseless".

He also rejected statements by multiple UN agencies that Israel is deliberately restricting the amount of aid entering Gaza. In August, a UN-backed body confirmed that famine was taking place in Gaza City.

Yair Golan, leader of Israel's Democrats party, said

the speech showed "only victimhood, sanctimoniousness, and complete blindness to the suffering of the hostages and the sacrifice of the fighters".

A day earlier, Palestinian Authority leader Mahmoud Abbas said in his speech to the General Assembly that he is ready to work with world leaders to implement a peace plan for Israel and the Palestinians.

Shortly after Netanyahu finished speaking, Donald Trump separately told journalists, "I think we have a deal on Gaza." He did not provide further details, though speculation has been mounting that a ceasefire deal could be close.

(Excerpt from BBC News)

An F-16 Fighting Falcon fighter jet intercepts a Russian Tu-95 military aircraft over the Bering Sea
President Donald Trump and First Lady Melania Trump walk up an escalator at the UN after it stalled

It’s okay to dream, but it’s more important to turn your aspirations into a reality. Take the initiative; be passionate about who you are and what you want. Direct your thoughts toward those instrumental in helping you achieve your goals. Invest in yourself, not in lavish entertainment or products that promise the impossible.

Take time to replenish and to enjoy life’s little pleasures. Kicking back with loved ones or doing something that makes you feel and look your best will boost your confidence. Stick to whatever budget you set to avoid undue stress. High energy will require an outlet. Consider doing something to help those less fortunate.

Participate in events that require skill, strength, and endurance. Challenge yourself and invest your energy in improving your relationships and gathering information that helps you make informed choices. Volunteer your time, skills, or money for a cause that matters to you. Protect your heart from emotional abuse. Fixate on getting fit mentally and physically.

Look at the big picture and analyse your options. Simplicity is the key to longevity. Rethink how you can get the most for the least. Be willing to learn and to do the work yourself. Discipline and determination will pave the way to a brighter future. Trust the facts, not what others tell you.

Anger solves nothing. Focus on what and who you know, and you’ll get what you want. Learn from those with more experience and from the mistakes you’ve made along the way. The impact you have if you are direct and honest and channel your energy wisely will improve your life and encourage better relationships.

Stop letting outside interference determine what happens next. Take control and make your pursuit clear. Set aside your emotions and act on principles, facts, and your reputation. Pay attention to detail and present what you can do. Avoid costly changes that alter your looks. Inadequate information will lead to poor decisions.

Keep an open mind but avoid being gullible. Avoid excessive behaviour or taking on more than you can handle. Your highest return will come from learning, gaining experience, and making your surroundings comfortable and convenient. Life can be simple if you are true to yourself, live within your means, and know when to say no.

You’ve got plenty to offer. Approach life with a passionate point of view and an energetic plan to make a difference. Refuse to let anyone stifle or limit what you can achieve. Opportunity is within reach if you observe and contribute to a project, challenge, or event that raises awareness for what concerns you.

Emotions will take precedence over what you should or shouldn’t do. Do your best to reflect before you act to avoid having to backtrack. Set aside time to look inward and consider what brings you happiness. Set up a space at home that aligns with your current goals. A positive attitude will pay off.

Take care of unfinished business. Catching up will put your mind at ease and get anyone hounding you to fulfil your promises off your back. The process of elimination will help you get back on track and give you a chance to reclaim what you want to pursue. Stop wasting time on trivial pursuits.

Motivate yourself, harness your energy, and pursue your dreams, hopes, and wishes. Choose what makes you happy, live life your way, and stop apologising for problems that don’t belong to you. Shake off negativity and adopt a positive attitude that can carry you to the victory you deserve. Change begins with you. Dump disastrous situations.

Reclaim your right to do what makes you happy. Unleash your desire and motivate your mind to follow your heart. Say no to negative input and dismiss those who bring you down or take or expect too much. Release what and who no longer benefit you or support your efforts. Commit to events offering positive reinforcement.

ARCHIE

In the Super Over though, Sri Lanka were very clearly out of steam on all fronts. First, they didn't send Nissanka out to bat, choosing Kusal Perera (who sliced one to deep backward point first ball), Dasun Shanaka (who struggled with Arshdeep Singh's wide yorkers), and Kamindu Mendis (who has never been an explosive T20I batter) out instead.

Between these three, they managed a total of two runs. Suryakumar Yadav would almost laughingly put the first ball of their Super Over - bowled by Wanindu Hasaranga - through cover, to claim three first ball. This meant India went through to the Asia Cup final undefeated, and were really only tested in this match, in which they rested Jasprit Bumrah and Shivam Dube.

Perhaps their aura had lost a little of its shine, but India pushing through to a victory even when Sri Lanka's top order was batting beautifully, will be something India will take heart from ahead of the final against Pakistan. India's innings, meanwhile, had gone smoothly. Abhishek produced anoth-

er spectacular start, striking up a 59-run partnership with Suryakumar who contributed only 12 off 13 to that stand. Later, Tilak and Sanju Samson would put on 66 together.

Nissanka's 127-run partnership off 70 balls, however, was the biggest of the tournament. It got Sri Lanka within sight of victory. But the remaining batters couldn't quite get them across the line.

What happened in the Super Over

• Sri Lanka are required to bat first in this Super Over, but Nissanka, their best batter of the tournament, is not picked to come out straight away. (We're sure, at this stage, that he will come in if a wicket falls, though.)

Perera and Shanaka are sent in instead, with Arshdeep tasked with bowling this over, in the absence of Bumrah.

• Perera slices the first ball, a wide yorker, to deep point, where substitute fielder Rinku Singh takes a good running catch.

• Kamindu Mendis, who does not have a track

record of scoring quickly against high-quality opposition comes out next, even though Nissanka is just sitting there in the dugout. Predictably Kamindu struggles to get more than an edge to the next Arshdeep ball, and they scramble a single.

Shanaka can't really hit Arshdeep's wide yorkers either, and attempts a bye off the fourth ball.

• Arshdeep appeals for the caught behind while wicketkeeper Sanju Samson runs Dasun Shanaka out at the striker's end.

But because Arshdeep has appealed for

the catch, the umpire gives Shanaka out. (The umpire's finger is raised only after the run out is completed, but according to the rules, the out decision effectively overturns the run out.) Shanaka awake to this loophole, immediately asks the umpire: "It's a dead ball, right?", just after he reviews the caught behind decision.

It turns out Shanaka is correct as per the laws. Because he had been wrongly been given out caught behind, he is exonerated from the run out, even though the stumps were broken before the umpire's finger was

raised. Shanaka gets to live another ball and perhaps propel Sri Lanka to a competitive Super Over score.

• Shanaka top edges one to deep third very next ball, ending Sri Lanka's Super Over.

• India score three off first ball and win.

Abhishek Sharma rocks the powerplay

Although opening partner Shubman Gill was dismissed off the ninth ball of the innings, the tournament's best batter still scythed his way through the powerplay. His best powerplay over came against Dushmantha Chamera. Abhishek came down the track and crashed him over long off off thifd ball, before raising the fifth ball over short fine leg's head, then slicing the next one over short third.

It only took Abhishek 22 balls to get to fifty. By the end of the power-

India (20 ovs maximum)

Abhishek Sharma c PHKD Mendis

b Asalanka 61

Shubman Gill c & b Theekshana 4

Suryakumar Yadav (c) lbw

b Hasaranga 12

Tilak Varma not out 49

Sanju Samson † c Asalanka

b Shanaka 39

Hardik Pandya c & b Chameera 2

Axar Patel not out 21

Extras (lb 5, nb 2, w 7) 14

Total 20 Ov (RR: 10.10) 202/5

Fall of wickets: 1-15 (Shubman Gill, 1.3 ov), 2-74 (Suryakumar Yadav, 6.5 ov), 3-92 (Abhishek Sharma, 8.4 ov), 4-158 (Sanju Samson, 15.3 ov), 5-162 (Hardik Pandya, 16.1 ov)

Bowling O-M-R-W

Nuwan Thushara 4-0-43-0

Maheesh Theekshana 4-0-36-1

Dushmantha Chameera 4-0-40-1

Wanindu Hasaranga 4-0-37-1

Dasun Shanaka 2-0-23-1

Charith Asalanka 2-0-18-1

play, India were 71 for 1. Abhishek eventually miscued a Charith Asalanka half-tracker to deep midwicket, in the ninth over. His 61 came off 31 balls.

Nissanka's sublime innings Nissanka had scored heavily in the group stage, but had been quiet in the first two Super Four games. In this match, he exploded. He hit Hardik Pandya through point for four first ball, lifted other seamers over deep midwicket, and hooked others over backward square leg. He hit his fifty off 25 balls, and just continued to attack through the middle overs, as Perera also scored rapidly.

Nissanka became Sri Lanka's fourth T20I centurion (among men) at the end of the 17th over, when he thumped Arshdeep into the sightscreen. He got there of 52 balls. His eventual 108 off 58 is Sri Lanka's highest individual T20I score.

(ESPNcricinfo)

(T:

c

b Harshit Rana 107

Kusal Mendis

Arshdeep Singh 3

Shanaka not out 22 Janith Liyanage not out 2 Extras (b 1, w 4) 5 Total 20 Ov (RR: 10.10) 202/5 Fall of wickets: 1-7 (Kusal Mendis, 0.4 ov), 2-134 (Kusal Perera, 12.2 ov), 3-157 (Charith Asalanka, 15.1 ov), 4-163 (Kamindu Mendis, 16.4 ov), 5-191 (Pathum Nissanka, 19.1 ov)

Sri Lanka
203 runs from 20 ovs)
Pathum Nissanka
Varun
Abhishek Sharma top scored for India
Pathum Nissanka scored 107
Tilak Varma during his unbeaten 49
India pull off heist

GBA to host development programme ahead of Caribbean Championships

Britain's Harry Hudson storms to historic junior men's road race victory at Road World Championships

Boxing sessions to begin today

The Guyana Boxing Association (GBA) will officially launch its National Development Programme today at the Andrew "Six Head" Lewis Gym in Albouystown, under the guidance of national coach Lennox Daniels.

Traditionally focused on nurturing young, emerging boxers beginning their careers, this year’s programme will expand to include Guyana’s top fighters in preparation for the 8th Annual Caribbean Schoolboys and Juniors Boxing Championships, set for November at the Cliff Anderson Sports Hall.

The event holds special significance, as Guyana is the birthplace of the tournament, which has grown into one of the Caribbean’s most anticipated developmental box-

ing events. With the championships returning to home soil, the GBA is intensifying preparations to ensure its fighters step into the ring in peak form.

"We want to have a look at all our boxers," Daniels explained, while adding, "While we usually focus on the young talents, I think it's important for us to see what the elites have been doing as well."

The long-serving coach noted that the programme will be crucial in shaping Guyana's squad for November, when local pugilists will aim to defend home turf against the region's best young fighters.

Daniels highlighted that the GBA's vision is not only to develop but also to unearth new talent, expanding the nation's pool of fighters ready for

the international stage.

"The programme will see boxers from all gyms competing on Saturday, and we will continue every Saturday leading up to the team's selection for the Caribbean Championships," Daniels said, hinting at intense sessions filled with sparring, fitness drills, and technical evaluations.

Daniels said hosting the championships presents both an opportunity and a challenge – a chance to showcase the depth of local talent while setting the stage for future champions.

He added that the GBA’s approach ensures no fighter is overlooked, whether they are newcomers stepping into the ring for the first time or seasoned elites sharpening their skills for regional supremacy.

Great Britain's Harry Hudson stormed to victory in the men's junior road race at the UCI Road World Championships on Friday, escaping with 36 km to go and soloing to the line.

The 18-year-old, a winner of junior Liège-Bastogne-Liège and the junior CiCLE Classic, is the first ever British rider to be junior world champion in the men's road race.

Backing up a strong effort by the British men, Max Hinds finished fourth and Matthew Peace fifth, meaning there were three Brits in the top five in Kigali, Rwanda. Hudson's attack came on the antepenultimate lap on the Côte de Kimihurura, just after Beckam Drake of the USA had been caught. Despite attempts from behind, he held off the charging peloton. Johan Blanc of France finished second, and Jan Michal Jackowiak of Poland finished third.

"It's probably still settling in; I don't really know what's happening. I dunno," Hudson, national junior hill-climb champion, said when asked

for his thoughts on TV at the finish line.

Asked if the attack from so far out was the plan, he said, "No. I just saw in the moment that people were sitting up, and it had been quite hard up that climb, so I just went, thinking someone else would go. I just settled in and saw how far I could go. I thought I was going to get caught with a lap to go or something, because there were people quite close, but I just ended up staying away. I was really suffer-

ing on the final climb. I think there was a French guy behind, but I just managed to stay away."

"Just after the cobbles, or maybe the flat bit in the cobbles, I just realised that a French person was dropping back, and it looked like I was going to the line," he continued.

"Africa is crazy; this is my first time in Africa. Just winning a world title, I don't really know what to say."

As for his future plans, Hudson said, "Making cycling a career – we'll see where it goes. Just riding my bike; it's what I love."

While winning the junior men's road race is no guarantee of future success, previous winners include Mathieu van der Poel, Felix Gall, Remco Evenepoel and Quinn Simmons. Hudson currently rides for the Harrogate Nova Race Team.

It is the second rainbow jersey for Great Britain this week, after Zoe Bäckstedt triumphed in the under-23 women's time trial. (Cycling Weekly)

Results:

1. Harry Hudson (GBr), in 2:55:19

2. Johan Blanc (Fra), +16s

3. Jan Michal Jackowiak (Pol), at same time

4. Max Hinds (GBr), +22s

5. Matthew Peace (GBr), +24s

6. Édouard Claisse (Bel)

7. Elias Wändel (Swe)

8. Daan Dijkman (Ned)

9. Moritz Mauss (Ger)

10. Benedikt Benz (Ger)

FIFA retreat reaffirms shared commitment to advancing football in Guyana

The final day of the FIFA Retreat at the Guyana Football Federation (GFF)

Secretariat concluded with a dynamic leadership session involving the GFF Executive Committee.

The session explored key themes, including the global football governance structure, the distinct roles and responsibilities of football leaders, the importance of effective communication, and the critical need for strategic planning and implementation to shape the future of football in Guyana.

Facilitated by FIFA Consultant Stewart Regan and FIFA Regional Office

Lead Jordan Victoire, the three-day retreat offered the GFF a practical roadmap to guide football development across the country.

Throughout the sessions, GFF President Wayne Forde, General Secretary Pushpargha Chattopadhyay, and the full Council engaged in in-depth working discussions designed to equip the Federation with the tools and strategies necessary for

sustained progress.

As a result of the retreat, the GFF has emerged with a clearly defined and well-documented vision for the future of football in Guyana – strengthened by FIFA’s technical support and strategic input. Importantly, the retreat also laid the groundwork for operationalising this vision, aligning closely with the recent appointment of the new General Secretary to ensure governance and leadership structures are optimised for effective delivery.

The development roadmap prioritises infrastructure enhancement, strengthened governance, and operational efficiency, all anchored in a commitment to long-term strategic planning.

The GFF is pleased to report that these discussions were both productive and inclusive, ensuring that the Federation’s plans reflect the needs of the wider football community and are aligned with international best practices.

As part of the programme, FIFA representa-

tives and GFF leadership engaged in constructive meetings with key stakeholders, staff, the Council, and representatives from the Government of Guyana. These discussions fostered open dialogue and provided a valuable platform for feedback that will help shape the Federation’s future strategies.

The retreat concluded on a positive note, with all stakeholders reaffirming their shared commitment to advancing football in Guyana through collaboration, transparency, and sustainable development.

GFF and FIFA executives
Great Britain's Harry Hudson stormed to victory in Kigali, Rwanda (Picture by Simon Wilkinson/SWpix.com)

Improving FIFA’s rankings will take time – Guyana Jags Head Coach

Newly appointed Head Coach of the Guyana Jaguars, Thomas Dooley, was officially presented to the Guyanese public, marking the beginning of his mission to strengthen the national football team.

that truly count, more than regular friendly games," he shared.

"And if we all work together positively, we can achieve great things. Nothing unrealistic – we're not going to win the World Cup in the next ten years. That's not going to happen. But we can have significant success. Our first step is to focus fully on the Nations Cup, giving it 100 per cent. From there, we aim to reach the next stage. The same goes for the Gold Cup – we need to progress to the next round. That is a realistic and achievable goal," Dooley added.

He also emphasised the importance of mindset and

preparation. "To improve, we have to change the way we think. When we change our thinking, we change our training, and when we change our training, we change the way we play."

The new head coach also highlighted that player responsibility and commitment are paramount to success. "Success isn't about me – it's about the players. They must step up, work hard, and get it done. We can guide them, but the effort must come from them. I'm not here to just be an employee or make friends; I'm here for success."

On his preferred style of play, Dooley explained,

"I like a 4-2-3-1 system. It's the best for keeping possession and enjoying football. But we also aim to play fast, move forward quickly, and, of course, avoid conceding goals."

His appointment represents a new chapter for the Guyana Jaguars, with a clear focus on building a competitive team capable of climbing the FIFA rankings over time. While Dooley acknowledges that progress won’t happen overnight, his structured approach, clear expectations, and emphasis on player responsibility are designed to lay a strong foundation for sustained success.

Injured Shamar Joseph out of India Tests; Johann Layne called up

“Obviously, the goal isn’t just about rankings. Whether we are 56th or 150th, the points gap is sig-

During a press briefing on Friday, Dooley acknowledged the challenges of climbing the FIFA rankings, stressing the importance of patience and realistic goals.

Final touches added as horses set to battle at Port Mourant on Sunday

The top horses were putting on the finishing touches as they geared up for the Clash at the Big Yard – the highly anticipated one-day horse race meet set for Sunday, September 28, at the Port Mourant Turf Club.

Horses from West Berbice made the journey east to get a final taste of the dry, well-prepared Port Mourant track, which is in peak condition to host what promises to be a thrilling day of racing.

All the jockeys present signalled their readiness for the event, with one eye firmly on the prestigious President’s Cup, set for next month at the same venue.

Jockey Ronaldo Appadu revealed that he began his preparations early each morning, adding that the horses he will be piloting this Sunday are primed and ready to run for glory.

"My preparation is to get up early in the morning and to keep the horses fit. I am expecting the best while going out there on Sunday," Appadu said.

Appadu, one of Guyana’s most impressive local jockeys, will be aiming to walk away with the big stakes, especially with the Elcock fam-

nificant, and it's almost impossible to bridge that in a short period. My focus is on getting the players to concentrate on winning games, especially in major tournaments like the Nations Cup and Gold Cup qualifiers. Those are the matches

ily adding special incentives for local riders on Sunday.

The entire event promises to be a spectacular affair, with a total cash payout exceeding G$10 million. The feature race alone, where top horses will go head-tohead, will carry a prize of G$4 million.

The nine top horses confirmed for the feature race include Spankhurst, Ritorna Vincentori, Stat, Stormy Victory, Companheiro Leal, Frontline Warrior, Full Liberty, Loyal Company, and Nova Sol.

These contenders will battle it out over 1600 metres (m) on arguably the largest track in Guyana in a feature race open to fouryear-olds and older horses.

The feature race will have a four-million purse, and the winner will walk away with G$2 million. The three-year-old event open to

F Class horses will have the likes of Barbara, Full Force, Gryphon, Morning Colours, Oy Vey, and Principle Joaquim.

The G Class & Lower race will be open to F Class West Indian-bred horses that have not recorded a win in Guyana for 2025. American Traveller headlines that entry, which also includes Emotional Damage, Just Exhale, Red Ruby, and Soca Harmony.

The two-year-old West Indian-bred race will feature a competitive field, including All the Time, Black Beauty, Diplomatic Queen, Fire Bird, He's a Star, Hits My Time, Lady of My Dream, Little Tic Toc, Miracle Boy, Monica Time, Risen Star, and Secret Sire.

Gates at the Port Mourant Turf Club will open at 12:30h, setting the stage for an exciting day of racing.

Guyanese fast bowler Shamar Joseph, who had earned a spot in the West Indies’ 15-member squad for the upcoming two-Test series against India from October 2 to 14, has been ruled out due to injury. The tests are set to take place at the Narendra Modi Stadium in Ahmedabad and the Arun Jaitley Stadium in Delhi.

In Joseph’s absence, right-arm fast-medium pacer Johann Layne of Barbados has been called up as his replacement. Cricket West Indies (CWI) confirmed the change in a tweet, noting that Joseph will be re-evaluated ahead of the white-ball series in Bangladesh, though the nature of his injury was not disclosed.

Following the India Tests, the West Indies will travel to Bangladesh to play three ODIs from October 18, followed by three T20Is from October 27 to November

an average of 21.66, including a memorable five-wicket haul on debut against Australia in January 2024.

Twenty-two-year-old Layne has featured in 19 first-class matches, claiming 66 wickets at an average of 22.28 while scoring 495 runs at 19.03. His red-ball record includes four five-wicket hauls and three four-wicket hauls in 34 innings. In June, Layne played two four-day matches for West Indies A against the touring South Africa A side, scoring 62 runs in four innings, with a best of 34, and taking one wicket in each of the three innings he bowled.

include Jomel Warrican, Khary Pierre, and captain Roston Chase.

Layne’s standout performance came for West Indies Academy in the last domestic first-class competition, where he ended with a six-wicket haul against Windward Islands. He finished the tournament with 27 wickets in six match-

1. The busy season continues with an all-format tour of New Zealand, comprising five T20Is, three ODIs, and three tests. Currently, the West Indies are in the UAE for three T20Is against Nepal starting September 27.

Joseph has played 11 Tests, taking 51 wickets at

es at an impressive average of 15.88, including two five-wicket hauls and two four-wicket hauls.

Layne will join a pace attack comprising Alzarri Joseph, Jayden Seales, and Anderson Phillip, supported by all-rounder Justin Greaves. Spin options will

Updated West Indies Test Squad for India Series: Roston Chase (capt.), Jomel Warrican (vice-capt.), Kevlon Anderson, Alick Athanaze, John Campbell, Tagenarine Chanderpaul, Justin Greaves, Shai Hope, Tevin Imlach, Johann Layne, Alzarri Joseph, Brandon King, Anderson Phillip, Khary Pierre, Jayden Seales.

Shamar Joseph
Johann Layne
Coach Thomas Dooley (left) and Guyana Football Federation President Wayne Forde
Jockey Ronaldo Appadu had good success in the past at Port Mourant

The National Senior Table Tennis Championships set to serve off this weekend

The Guyana Table Tennis Association (GTTA) will host the much-anticipated National Senior Table Tennis Championships 2025 this weekend, marking the event’s return after a twoyear break. The championships promise high-level competition, where several of the country’s leading players will take to the tables for national titles and a place in Guyana’s table tennis history. Originally scheduled for

the National Sports Hall, Homestretch Avenue, the championships will now take place at the National Gymnasium, Mandela Avenue, on September 27–28 and October 4, 2025, following the resolution of recent venue challenges. The tournament will feature men’s and women’s singles, men’s and women’s doubles, mixed doubles, and open competitions.

Men’s Competition With five-time na-

tional men’s champion

Christopher Franklin absent this year, the men’s competition is wide open for new contenders to rise.

Shemar Britton, Guyana’s top international player, enters as the favourite. Recently returning from a high-level training camp in the USA, Britton is determined to capture the crown.

• Jonathan Van Lange, West Indies Under-19 cricket captain and a rising table tennis

Par team scores in BCB senior trial games

The Berbice Cricket Board (BCB) has bowled off its senior inter-county trial matches, and so far, runs have come at a premium. Across two fixtures and four innings, no side has managed to cross the 250 mark, setting the stage for a tournament that promises to test both technique and temperament.

With the senior inter-county 50-over title set to begin next month, players are using these trials to sharpen their form and stake a claim for selection.

At Rose Hall Canje in the opening clash, Veerasammy

Permaul’s XI was bundled out for 202 before Nial Smith’s XI edged past the target with a reply of 205.

The following day at Albion, the scores diminished even further. Kevin Sinclair’s XI was dismissed for 164, while Junior Sinclair’s XI eased to 166-5. Notably, no team batted the full 50 overs in either contest – a worrying sign not just for Berbice, but perhaps for Guyana’s cricket overall.

At Rose Hall Canje, when Permaul's XI made 202 all out, the innings lasted 47 overs. Leon Swamy top-scored with 39, while Jeremy Sandia added an unbeaten 39.

Both of those contributions came from players better known for their bowling, as Swamy and Sandia usually bat down the order. Among the recognised batsmen, Damian Cecil – who

star, has been excelling on multiple fronts. His performance at the Caribbean Senior Championships and selection for the Pan Am TT Championships underline his potential, though his cricket duties may impact his challenge.

Niran Bissu, fresh off his second senior national team appearance in Barbados, is known for his explosive attacking game and could pose a serious threat.

Elishaba Johnson, an experienced and versatile player, will be aiming

Mickle, also entered the match on the back of a First Division century.

Jonathan Rampersaud supported with 29, while Seon Glasgow added 27 to keep the chase steady. For Permaul’s XI, left-arm spinner Reuben Latcha returned 3-31, with Oyindi Rogers (29) and Raymond Vankenie (2-13) also among the wickets.

The BCB’s second senior 50-over trial match was staged today at the Albion Community Centre Ground.

In the second trial at Albion, Kevin Sinclair’s XI could only muster 164 all out. Garfield Benjamin top-scored with 47, while Ricardo Ramdehol added 30. Sarwan Chaitnarine (24), Clinton Pestano (19), and Adrian Hetmyer (11) were the only other batsmen to reach double figures. Talented off-spinning all-rounder Junior Sinclair produced a spell of 4-7. He was well supported by Leon Andrews, who finished with

plied with 166-5 in 38 overs to complete the chase.

Andrews anchored the innings with a composed, unbeaten 69, while Zeynul Ramsammy offered strong support with a fluent 51.

For Kevin Sinclair’s XI, the experienced Pestano was the standout with 3-25, while Shelton Ramsay (25) and Kevin Sinclair (1-26) also chipped in.

Notably, the second trial was expected to feature national stars Gudakesh Motie, Shimron Hetmyer, and Romario Shepherd, but none of them took the field.

Kevlon Anderson will be absent from this year’s Berbice team, as he has been called up to represent the West Indies in the twoTest series in India starting October 2. Meanwhile, Shamar Joseph has been ruled out of the series due to injury, with his return to action set to be reassessed ahead of the upcoming Bangladesh limited-over fixtures.

India and has signalled his intent to reclaim a spot on the national team.

The men’s field also includes ambitious young players such as Malachi Moore, Krystian Sahadeo, Colin Wong, Umar Pervival, and Hewley Griffith (visiting from the UK), with reports that former standout Paul David and other overseas-based Guyanese may also enter.

Women’s Competition

On the women’s side, competition is set to be wide open due to notable absenc-

Schedule

Saturday, September 27, 2025

Men’s Doubles: 1:00 PM – 4:00 PM

Mixed Doubles: 1:00 PM – 4:00 PM

Men’s Singles Preliminary Rounds: 4:30 PM – 6:30 PM

Sunday, September 28, 2025

Men’s Singles Finals: 1:00 PM – 4:00 PM

Saturday, October 4, 2025

Women’s Doubles: 10:30 AM – 6:00 PM

Women’s Singles: 10:30 AM – 6:00 PM

C Class Open: 10:30 AM – 6:00 PM

B Class Open: 10:30 AM – 6:00 PM

to cement his place among the nation’s elite.

Joel Alleyne, a seasoned competitor, brings grit, experience, and a fighting spirit that always makes him dangerous.

Nigel Bryan, former national champion, recently returned from training in

es:

• Defending champion Chelsea Edghill is still recovering from injury and may not compete this year.

Natalie Cummings remains uncertain due to professional commitments.

• Thuraia Thomas, currently studying in

Trinidad and Tobago, has formally indicated her unavailability.

This opens the door for emerging talents such as Jasmine Billingy, Samara Sukhai, Akira Watson, Angela Robinson, and Shackey Damon to make their mark and vie for top honours.

Rebuilding and Looking Ahead

The staging of this year’s National Senior Championships comes at a pivotal time for the GTTA. Following leadership changes and the transition of several key national team members, the championships will: Serve as the foundation for re-establishing the national ranking system.

• Provide the basis for future national team selections. Act as preparation for upcoming regional and international competitions, including the 2026 CAC Games, 2025 Islamic Games, and other regional events.

The GTTA reaffirms its commitment to restoring table tennis to national prominence, offering a platform for both seasoned competitors and the emerging generation to showcase their talent.

Delhi Capitals co-owners in talks to relaunch Jamaica Tallawahs

The GMR Group, who co-own Delhi Capitals in the IPL, are in advanced discussions to relaunch the Jamaica Tallawahs franchise in the Caribbean Premier League (CPL).

GMR, an Indian infrastructure conglomerate, has expanded its cricketing portfolio significantly in recent years.

It is directly involved in the operations of Dubai Capitals in the ILT20, Seattle Orcas in Major League Cricket, Hampshire in English county cricket and Southern Brave in the Hundred, and also owns teams in the Indian sports kabaddi and kho kho.

The Jamaica Tallawahs, the three-time CPL champions and one of its six inau-

gural teams, have not featured in the league for the last two editions. The franchise’s most recent owner, Kris Persaud, sold it back to the league in 2023 and bought the rights to a new team, which became the Antigua and Barbuda Falcons.

Persaud cited a lack of support from the Jamaican government as a reason for the franchise’s initial disbanding. However, the sports and tourism ministry announced before this month’s elections – which the incumbent Labour Party won – that it was “finalising arrangements” for the return of a CPL franchise to Jamaica following recent investment in facilities at Sabina Park.

ESPNcricinfo has learnt

that GMR officials attended the final of the CPL on September 21 and that they are considered strong favourites to run the franchise from next year. They would become the seventh team involved in the league, which would lead to an increase in the number of fixtures played.

Pete Russell, the CPL’s chief executive, said earlier this month that the league is “very excited at the prospect of a return to Jamaica” after “fruitful and engaging discussions” with the government. “We are hopeful that these negotiations will reach a positive conclusion in the coming months,” Russell said.

The GMR Group did not respond to a request for a comment. (ESPNcricinfo)

Players in action
Zeynul Ramsammy scored a fine 50 in the second trial match
Coach Thomas Dooley (left) and Guyana Football Federation President Wayne Forde

Turn static files into dynamic content formats.

Create a flipbook
Issuu converts static files into: digital portfolios, online yearbooks, online catalogs, digital photo albums and more. Sign up and create your flipbook.
Guyana Times - Saturday, September 27, 2025 by Gytimes - Issuu