













![]()















Hess Corporation, one of the Stabroek block partners where United States (US) oil giant ExxonMobil is the operator, is projecting that 15 cargos of crude oil will be sold from Guyana’s operations in the final quarter of this year.
In the company’s reportage of its 2024 third quarter results, Hess had revealed that 14 cargos of crude oil were sold from Guyana, an increase compared to the nine cargos that were sold in the 2023 third quarter. This is expected to increase even more as the year draws to a close.
“In the third quarter of 2024, 14 cargos of crude oil were sold from Guyana, compared with nine cargos in the prior-year quarter. In the fourth quarter of 2024, 15 cargos of crude oil are expected to be sold,” Hess Corporation said.
Hess reported that based on its 30 per cent shares in the Stabroek block, net production from the Stabroek block was 170,000 barrels of oil per day (BOPD), another increase compared to the 108,000 BOPD in the 2023 third quarter.
“Net production totaled
170,000 BOPD in the third quarter of 2024, compared with 108,000 BOPD in the prior-year quarter, primarily due to the start-up of the third development on the block, Payara, which commenced production in November 2023.”
“Guyana’s net production is forecasted to be in the range of 185,000 BOPD to 190,000 BOPD in the fourth quarter of 2024, reflecting recovery from planned downtime in the third quarter,” Hess Corporation further explained.
Exxon, through its local subsidiary Esso Exploration

and Production Guyana Limited (EEPGL), is the operator of the Stabroek Block and holds 45 per cent interest in the block. Hess Guyana Exploration Ltd holds 30 per cent interest, and CNOOC Petroleum Guyana Limited, a wholly-owned subsidiary of CNOOC Limited, holds the remaining 25 per cent interest.
The Liza Phases One and Two and Payara Projects, all of which combined are producing over 600,000 barrels of oil per day, account for the three floating, production, storage and offloading (FPSO) vessels operating in Guyana’s Stabroek Block in waters offshore.
When it comes to the Prosperity FPSO, Exxon has said that it is performing beyond expectations. For the first half of 2024, Guyana produced 113.5 million barrels of oil, and with increased production from the Prosperity FPSO vessel, it is expected that production will cross the 220-million-barrel threshold by year-end.
The current production figures will be further buttressed by the Yellowtail and Uaru developments, which are already underway and are anticipated to contribute 250,000 barrels of oil each following their respective start-ups.

An application for the sixth development, the Whiptail Project, was submitted by the Stabroek Block operator to the Guyana Government last year, and has already received the necessary approvals, with Exxon making its Final Investment Decision (FID) in April. This project will see Guyana producing just over 1.2 million barrels of oil per day by 2027. In addition to at least these six projects offshore Guyana that Exxon anticipates will be online by 2027, it is also eyeing the possibility of having 10 FPSOs operational by 2030. Production has already started on three projects, with the Liza Destiny and Unity and the Prosperity FPSO vessels in operation.
Meanwhile, the Yellowtail development, which will be
Exxon’s fourth development in Guyana’s waters, has an anticipated start-up of 2025. The Uaru oil development, which will be the fifth one for the company offshore Guyana, is targeting between 38 and 63 development wells, including production, water injection, and gas re-injection wells. Exxon had also previously made known that first oil from the Uaru development is anticipated by late 2026 or early 2027.
ExxonMobil’s seventh development in Guyana’s waters, dubbed the Hammerhead development, would feature up to 30 wells. It is targeting a 2029 start-up, according to documents submitted to the Environmental Protection Agency (EPA), where it awaits approval. (G3)



The Demerara Harbour Bridge will be closed to vehicular traffic on:
Monday, November 4 – 03:45h-05:15h and Tuesday, November 5 –03:45h-05:15h.
The Berbice Bridge will be closed to vehicular traffic on:
Monday, November 4 –05:35h-07:05h and Tuesday, November 5 – 06:10h-07:40h.

Parika and Supenaam departure times – 05:00h, 10:00h-12:00h, 16:00h, 18:30h daily.





Sunshine is expected during the day, with thundery showers in the morning and afternoon hours. Clear skies are expected at night. Temperatures are expected to range between 23 degrees Celsius and 33 degrees Celsius.
Winds: East North-Easterly to East South-Easterly between 1.34 metres and 4.47 metres.
High Tide: 17:50h reaching a maximum height of 2.65 metres.
Low Tide: 11:27h and 23:53h reaching minimum heights of 0.72 metre and 0.57 metre.










From enforcing the law against public servants guilty of conflicts of interest to making information on billions of dollars’ worth of contracts available to the public, the People’s Progressive Party/ Civic (PPP/C) Government’s track record on transparency is incomparable when placed next to its predecessor in office.
This was according to Vice President Bharrat Jagdeo, who noted during a recent press conference that the A Partnership for National Unity/Alliance for Change’s (APNU/AFC) strenuous efforts to accuse his party of corruption have failed to get traction because the people can see for themselves how transparent the party has been.
“They tried with corruption, to make it seem as though its widespread by taking a few projects. They started with pump stations and a few other projects, to make it seem as though that’s the prevailing condition.”
“We’ve shown that with all the projects done, the success rates as well as the failures. We’ve explained what were the challenges. We’ve outlined all of our findings, family-owned companies, bad evaluation, corruption by engineers, all of that. We’ve outlined it. We didn’t sweep anything under the carpet.”
A sore point has been public servants, in positions of influence, owning companies and bidding for contracts. The Government has

made it clear their zero tolerance for such practices, which are clear violations of ethical standards.
Jagdeo pointed out that his Government has had a serious discussion with public servants ranging from Permanent Secretaries to Regional Executive Officers (REO’s), where the state’s expectations were laid out to them. According to Jagdeo, APNU/AFC never did similar during their time in office from 2015 to 2020.
“We’ve made sure we spoke with every Permanent Secretary, every REO, people running like the GGMC, the police force, the army, where big expenditures are made, including public corporations, that there must be strict adherence to the laws and they will be monitored. And if they depart from it, they’ll face the consequences.”
“That never happened under APNU, and we said, here are things we know about. The conflict of interest, we’ve taken action

against people in regions, to get public servants (to follow the law). They had to resign, who were getting contracts etc, if they’re in positions with conflict of interest.”
There are also systemic steps the Government has taken to make procurement information available online, such as the National Procurement and Tender Administration Board (NPTAB) which releases contract awards and tender openings.
“So, we’ve taken a lot of steps to deal with this. I pointed out about the systemic changes we’ve made, to the website. So, you can have public information to criticise. Even if you don’t agree with us. You will, at least find if X person got contract to lift a bottle of water (and) it’s above a certain level and done through a public procurement tendering process, you will find that on the website,” Jagdeo noted.
Another area that Jagdeo
highlighted the opposition’s criticisms have fallen flat in, is the Government’s management of the economy and the cost of living. According to Jagdeo, however, the results speak for themselves, as the Government has managed to mitigate any changes to most of the major drivers of cost of living.
“They can’t handle the fact that on five of the six major drivers of cost of living, we have had no change or great Government interventions in those areas that we control. They can’t beat that as a policy and the sums of money we’re spending to ensure that that happens,” the VP further explained.
Last month, President Dr Irfaan Ali announced a number of measures against the cost of living. One of the key measures announced was a one-time cash grant of $200,000 for every household, which subsequently became a one-time cash grant of $100,000 for every adult Guyanese.
In addition to removing the residency requirement for receipt of the cash grant, the Government also extended the age eligibility. Initially, that cutoff age was set at January 2024. But now, Guyanese who are 18 years and older by January 2025 are qualified to receive the one-off payment.
Another significant measure was the president’s announcement of the Government’s plans to raise the public sector minimum wage to $100,000 per month by the end of 2025. (G3)




Editor: Tusika Martin
News Hotline: 231-8063Editorial: 231-0544, 223-7230, 223-7231, 225-7761
Marketing: 231-8064Accounts: 225-6707
Mailing address: Queens Atlantic Industrial Estate Industrial Site, Ruimveldt, Georgetown
Email: news@guyanatimesgy.com, marketing@guyanatimesgy.com
In the ongoing debate on human rights representation in Guyana, the article by Iona Cable excerpted below, “The Complicity of Human Rights in Neoliberalism: Beyond redemption?” provides an interesting perspective. “The human rights framework is heralded as an emancipatory apparatus to promote equality, peace, and representation, based on the assumption that all humans have certain unalienable rights by virtue of being born. Belief in the inherent goodness of human rights has preserved the notion that this framework exists in a celestial vacuum, unsullied by global hierarchies.
“On the contrary, rights are deeply embedded in power structures, and the perception that they are neutral disguises their role in the perpetuation of injustice. Human rights language has been used to globally disseminate neoliberal economic policies which maintain inequality, forcing postcolonial states into the global market and prohibiting development. Can human rights be redeemed, or are they incongruous with true emancipation and resistance?
“The human rights framework emerged following the Second World War, with the creation of the UN and the signing of the 1948 Universal Declaration of Human Rights (UDHR), and is based on principles such as freedom, equality, and peace.” However, the rise almost simultaneously of neoliberalism saw some leaders co-opt human rights for their own ends and in the present we must deconstruct the motives of some who profess to champion “human rights” in Guyana today.
“This co-option of rights was particularly pervasive during the period of decolonisation, when many states were emerging from colonial domination and had been economically bankrupted by their rulers. Neoliberals saw the potential for postcolonial states to employ the framework of human rights to pursue economic equality and redistribution of resources, and they sought to create a global economic order that would curtail these demands. As political theorist Jessica Whyte argues in her book “The Morals of the Market: Human Rights and the Rise of Neoliberalism”: ‘The language of human rights offered them a means to legitimise transformative interventions and subject postcolonial states to universal standards aimed at protecting the international market.’ The expansion of the human rights regime internationally has assisted in globalising this economic system in which some states continue to benefit from the exploitation of others.”
Neoliberals employed the language of human rights to paralyse the World Trade Organisation (WTO), arguing for the right of free capital movement, which would be restricted if the WTO was successful in exempting certain countries from free trade agreements. The impact of this should not be understated – it resulted in the perpetuation of global economic inequality, as postcolonial states were unable to protect domestic industries from competition in order to promote development, which then exacerbated the global polarisation of resources and economic wealth.
“The global dissemination of neoliberal values is also prevalent in the sphere of development and foreign aid. The World Bank and International Monetary Fund (IMF), largely Western-led institutions, promoted “Structural Adjustment Programs” (SAPs) from the early 1980s, purportedly with the goal of promoting stability and economic growth. Through the SAPs, countries receiving foreign aid from the World Bank and the IMF were required to minimise the role of the state, privatise state enterprises, and implement fiscal austerity and trade liberalisation. Receipt of foreign aid was, therefore, dependent on the introduction of neoliberal economic policies that benefitted rich countries and further bankrupted poorer nations, forcing those countries to become reliant on imports from abroad and thus perpetuating poverty and dependency.
“Are human rights beyond redemption? Rights exist within a system that is inherently neoliberal and unjust and have been used to justify policies which preserve this. It has been said that “rights function to articulate a need, a condition of lack or injury, that cannot be fully redressed or transformed by rights, yet can be signified in no other way within existing political discourse”. We must be vigilant in our analysis of the motivation behind major institutions adopting human rights as a justification for action and investigate inconsistencies. Perpetual critique may be an exasperating position, but the stakes are too high to resist.”


first task as
say sorry to the people for her party’s failings
By Andrew rAwnsley
No one who knows her describes Kemi Badenoch as a politician who is much troubled by self-doubt. Yet the manner of her victory in the Tory leadership contest ought to give a worm of unease to the party’s new standard bearer. When the result came in on Saturday morning, the first reveal was that the membership of the Tory party has shrunk to 131,680, down more than 40,000 since the last contest two years ago. With the turnout also down on last time, she won with the support of just four in 10 of that shrivelled membership. Her lustiest cheerleaders cannot describe this as an emphatic victory. Even the truest of blues were not greatly impressed by the choice on offer for all the effort that she and Robert Jenrick put into trying to pander to their party’s prejudices on the constituency association dinner circuit. Never have so many rubber chickens died in vain. This lack of enthusiasm was also evident during the preliminary rounds when it was Tory MPs doing the voting. In the final ballot of Conservative parliamentarians, it was virtually a threeway tie between the former business secretary, Mr Jenrick and James Cleverly. The new Tory leader takes charge with a tepid endorsement from her party’s members, two-thirds of her parliamentary colleagues preferring someone else and prominent names declaring that they have no desire to serve in her shadow cabinet. This is not so much a coronation as a hospital pass. A brittle mandate means she will be treated as
an interim chief on probation with a party that will be impatient for results and is infamous for its factionalism and its disloyalty. The sixth leader of her party in a decade, she’s going to have to play a difficult hand with much more dexterity than she’s previously demonstrated if she’s not to be yet another Tory head whose grip on the job is fleeting.
In her acceptance speech, she described the task ahead as “tough”, which is an understatement. The July election was the worst result for the Conservative party, both in terms of vote share and seats won, since 1832 when they were led by the Duke of Wellington. I am not among those who think this means the Tories can never recover. They have been pronounced dead and buried in the past only then to rise from the grave. But they are unlikely to start recovering until – and unless – they have an honest reckoning with themselves about their multiple failings in government. This they have not done and Mrs Badenoch is as guilty as the rest of them. In her first speech as leader, she made only a fleeting reference to “mistakes”. She spent the contest tilting at windmills of the culture wars, badmouthing the civil service and being animated by other topics that preoccupy the Tory party much more than they do most of the public. If she is in possession of fresh thinking about solving the housing shortage, rejuvenating public services or addressing any of the other large challenges facing Britain, she did not share them during her policy-light campaign for the leadership. Her core analysis is that
her party lost the electorate because it was insufficiently right wing. One of her arguments is that the Tories “talked right, but governed left”. Another is that Nigel Farage’s Reform ate into Tory support because conservatism “morphed into much vaguer centrism”. What this explanation conspicuously neglects is that the Tories haemorrhaged support not just among rightwing voters, but around all points of the compass. They also lost support and seats to Labour and the Lib Dems while more than a million people who backed the Tories in 2019 stayed at home in 2024. Immigration was a factor that hurt their vote, but they were damaged more by their record on public services and the cost of living and giving the overall impression of being a clown show. Surveys suggest that very few voters think the Conservatives lost the election because they were too left wing while the majority of those with an opinion put it down to their incompetence. A lurch further to the right may claw back some support from Reform, but will be accompanied by the high risk of alienating more moderate former Conservative voters, the kind who helped the Lib Dems take 59 seats off the Tories by gutting them in their affluent English heartlands. Could things get more dire for Mrs Badenoch’s party? Quite easily if she fails to reunite the right while succeeding in repulsing even more of middle-ground opinion. One of the biggest challenges for the new leader of the opposition, and especially when the Tory parliamentary presence is so small, will be persuading voters to pay them any heed. The case made for
Mrs Badenoch by her promoters is that she is “box office” with a gift for grabbing attention. What she has often failed to grasp is that there is such a thing as the wrong kind of attention. “Still in development” is the assessment of one reasonably sympathetic senior Tory. “Kemi is clever. She will learn on the job,” says a Conservative MP who is friendly towards her. “She will be brilliant or she will be a disaster,” remarks another. It is not hard to find moderate Tory MPs who predict that she will, in the words of one of their number, “crash and burn very quickly”. If she’s not going to self-destruct in the job, many of her colleagues agree that she is going to have to become a lot more disciplined and a lot less rebarbative with colleagues. When assessing their chances of recovering, a lot of Tories take comfort in the notion that the electorate appears to be more volatile than it used to be. Sir Keir Starmer managed to take Labour from a catastrophic defeat in 2019 to a parliamentary landslide in 2024. Why, Tories can be heard wondering, shouldn’t we be able to do the same? What they don’t ask themselves often enough is how the Labour leader detoxified his party’s reputation. He did so by repeatedly apologising for and drawing lines under its past while relentlessly offering demonstrations of how it had changed under his management. By contrast, the Conservatives have displayed next to no interest in atoning for all the things voters came to loathe about them.
Dear Editor,
Please permit me to address a few articles and letter (s) that were published in the mainstream media on November 3, 2024. I have opted to adopt this approach because my commentary on each is very brief, and to avoid having to write multiple short letters.
First, let’s start with an article with the caption “Goolsarran slams award of second oil audit to VHE”.
Goolsarran’s attack on this firm is not only misplaced, but without merit and credibility. It is important to note that the cost-oil audit contract to VHE was awarded in accordance with due process and the correct procedure as per the Procurement Act. On the contrary, several forensic audit contracts were improperly granted/gifted to him, Anand Goolsarran (note my choice of word (s) “granted or gifted” to him, not awarded), in violation of the Procurement and Audit Acts, by the former Minister of Finance, Winston Jordan.
Second, in his letter captioned “the half-year reports raise issues of ethics, data, language and trust”, Ramesh Gampat argued
that the Bank of Guyana erred in the half-year report for the year 2024, that the base period for which the GDP growth was computed is unknown, thus he made the assumption that it has to be the end of 2023, and asserted that any other period would be nonsensical. He also asserted that the report does not contain any table with GDP as at the halfyear period for 2024. These argumentations and assertions by Gampat were a total waste of ink. Evidently, his writing was meant to confuse the average reader and more so to mischievously cast aspersions on the credibility of the work produced by the Bank of Guyana and its staff.
Gampat is a trained economist, and he ought to know that in the conduct of any comparative analysis that one has to compare like with like. Therefore, it is incorrect to assume that the base year for the halfyear GDP growth obtained in 2024, would be the GDP figure for the full fiscal year January-December 2023. The correct base period is the corresponding half-year period for 2023, which is January-June, 2023, and
not for the full year as per Gampat’s assumption. This is explicitly reflected in other tables within the report. It is quite mindboggling that these basic concepts and techniques have to be explained to a trained, seasoned economist.
Further, his assertion that there was no table on the GDP figures for the halfyear period January-June, 2024, is inaccurate. Tables 10.3 (a) – 10.3 (d) reported on the production indicators for all the sectors, including for the half-year period, January–June, 2024.
Finally, in his weekly commentary featured in the Stabroek News with the caption “Jagdeo promises gross constitutional violation: Ali needs to assert his authority”. This is yet another piece of public commentary that is a waste of ink. Ram argues that the unacceptance of the Government to legislate the distribution of cash grants is a violation of the Constitution of Guyana. According to him, “Article 217 of our Constitution could not be more precise in its requirements: no moneys shall be withdrawn from the Consolidated Fund except through proper legislative
authorisation”. Contrary to this view, Mr Ram conveniently ignored the fact that pursuant to the referenced Article 217 of the Constitution of Guyana, that in order to operationalise or to give effect to that Article, the Fiscal Management and Accountability Act (2003) (FMA Act) was enacted. Thus, all monies withdrawn from the Consolidated Fund are governed by the FMA Act. The decision to distribute cash grants is a matter of public policy and accordingly, the monies have to be properly appropriated pursuant to the FMA Act; hence, there is no violation of the Constitution. But just imagine that if the Government should adopt Ram’s argument, then by his logic and reasoning, he is essentially saying that the Government would have to enact a plethora of legislations to govern all withdrawals from the Consolidated Fund, for example, to pay public servants wages and salaries, salary increases, old age pension, increases to old age pension, all the social welfare programmes, infrastructure, health care, education, agriculture, tourism, and all aspects of public
financial administration and public expenditure. Such an approach to fiscal governance and administration would be totally chaotic and complicated. One may have to carefully examine the brain of the source of these
“Apologies
ideas carefully, to determine what might have caused the erosion of the quality of the author’s thinking capacity in these respects.
Yours sincerely, Joel Bhagwandin
Dear Editor
"Apologies for what" is being asked? For several things, like, having the country go all the way to CCJ regarding 33 is not the half of 65 and causing the delay in the holding of elections by the constitutional due date following the successful passage of NCM in 2018.
Apologies for what? For the several shenanigans orchestrated by the Coalition, of which your party was a partner, knowing full well the outcome of the elections. This makes your party complicit in the attempt to derail democracy for five long months. An attempt which was blatant as it was transparent.
Apologies for what? So the party can remove the stain and stigma of having been associated and linked with doings of a bygone era, even as it rings a new mantra, 'Better must come'.
Better can only come after apologies for what went wrong in 2020 are first made and not denied and swept under the tattered rug, but is acknowledged and dealt with openly and honestly. Not with the arrogant retort 'apologies for what'?
These are the first things which must be done in the long apologies for what journey.
Sincerely, Shamshun Mohamed
Dear Editor, Cornelia Ida Cricket Club (CICC) ground enhancement started since August 2021, and still this ground is not in playing condition the Cricket Pavilion is not finished, there is no toilet facility or water for spectators. When the enhancement project started in 2021, CICC ground was fenced with Zinc, all was removed and currently the ground is not fenced.
The pavilion was built and as picture shows the contractor forgot to included the shed for the spectators. Can someone tell us how this design was approved by the Minister of Sport, REO and his engineers in Region Three?

VP Jagdeo, there are too many incompetent individuals and they are not held accountable at the RDC &
NDC office in Region Three.
CICC is one of the best clubs in WCD, that played all
their games away from home as their record will proved with all the finals they have
There has never been a comprehensive repudiation of Boris Johnson for debauching standards in public life. Nor has there been an expression of suitably abject contrition for Liz Truss’s calamitous experiment with the economy. Nor have senior Tories had the humility to acknowledge that they left a super-massive black hole in the Treasury’s books. When you have fouled up as badly and as repeatedly as the Conservatives did in government, the first step to redemption with the electorate is to own your blunders and express regret for them.
Too many Tories are instead beguiled by the idea that all they have to do is savour Labour’s difficulties and wait for power to come back to them. The bellowing Conservative response to the budget is instructive. They are howling that it involves increased taxes and higher borrowing, as if none of this has anything to do with their period in office. When Rishi Sunak replied to the budget in his swansong performance as leader, he tried to create the impression that the Tories bequeathed a golden economic inheritance to Labour. If you believe that, I’ve got a squadron of flying pigs to sell you. In their current state of denial, the Tories also seem oblivi-
ous to the trap Rachel Reeves is trying to set for them, even though the chancellor was explicit about this in her budget speech. If the Tories don’t like the tax rises, what would they hack out of the budgets of the NHS, schools and other key public services? If Labour has its way, that will be a defining argument of this parliament. Ms Reeves is hoping to make the contest one between “Labour investment versus Tory cuts”, a dividing line that worked very well for her party and extremely badly for the Conservatives during the New Labour years. Even if voters become persistently discontented with
FROM PAGE 4
Sir Keir’s government, the Tories are delusional if they imagine that this means the public will simply collapse back into their embrace and tell the Conservatives all is forgiven. Not least because so far the Tories have been almost completely incapable of recognising how much forgiveness they will need before they are taken seriously again. If Kemi Badenoch wants to get a hearing from the British people, she is first going to have to say sorry. And she is going to have to say it a lot. (The Guardian)
(Andrew Rawnsley is the Chief Political Commentator of the Observer)
won over the last 5 years. It’s also one of the clubs that continue to produce national players for both under-19 and the Senior team. They just concluded Senior InterCounty 50 over Tournament, CICC had six players that was selected.
We are calling on VP Jagdeo. We need your help at Cornelia Ida and actions needed ASAP to get CICC ground back to the glory days of the 80’s when Babu Sankar and the Seeram brothers were leaders of West Demerara cricket.



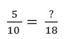
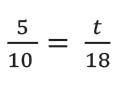
A proportion is a problem that contains two ratios that are equal. In a proportion problem, one of the numerators or one of the denominators is not known. The method for finding the missing numerator or denominator is called cross-multiplying.
A recipe calls for 5 tablespoons of nuts in order to make nutty pancakes for 10 people. How many tablespoons of nuts do you need to make nutty pancakes for 18 people?
Step 1: Express a proportion problem that uses two ratios: = .


Step 2: Remove the words:

Let’s use t (for tablespoons) for the number we do not know:

Step 3: To cross-multiply, you must set up an equation. An equation is a mathematical statement that two things are equal.
Step 4: On one side of the equal sign, write the first numerator x the second denominator: 5 x 18 =
Step 5: On the other side of the equal sign, write the multiplication of the first denominator x the second numerator: 5 x 18 = 10 x t
Step 6: Multiply the side that does not have the unknown number: 90 = 10 x t
Step 7: Look at the side that has both a known number and the unknown quantity. Divide both sides of the equation by the known number. (In this equation, that number is 10). You need 9 tablespoons of nuts to make nutty pancakes for 20 people.
When you divide both sides of an equation by the same number, the expressions on both sides remain equal.
Exercises: Solve for x
1) : 2 x 16 = 16 x t 2) 10 x 8 = 2 x t 3) 14 x 5 = 10 x t 4) 3 x 2 = 6 x t 5) 4 x 6 = 5 x t
By GanGadharan nair PulinGat
I can boast about our Ranipuram A tourist spot in hill range Nature had blessed Ranipuram Forest and wildlife makes it good Ranipuram the heights it stands The winds always tries to sooth her Many natural blessings awaits Ranipuram a tourist spot in North Kerala.
Place the plants in a sunny place or under a grow light to encourage germination and plant growth.
Check the plants daily for new growth, record your measurements, and water consistently for each condition (for example, every 3-4 days or when the soil is dry).
Record the following measures of plant growth daily for 4 weeks:
Record the number of seeds that germinated or how many seeds became plants. This is known as the germination rate, or how many seeds germinated divided by the total number of seeds planted.
Record the time to
germination for each seed or how long it took for the first signs of a shoot above dirt.
Calculate the average germination time of all of the seeds in days. Add all of the times together and divide by the total number of seeds planted.
Note: If one or more of the seeds did not come up, exclude it from this calculation.
Measure the height of the plant from the top layer of the coconut husk to the top of the plant.
Calculate the average height of all of the plants that germinated. Add all of the heights together and divide by the number of plants that germinated.

Note: If one or more of the seeds did not become a plant, exclude it from this calculation.
Measure the length of the longest leaf on each plant.
Calculate the average length of the longest leaf for all of the plants that germinated. Add all of the lengths of the longest leaves of each plant together and divide by the number of plants that germinated.
Note: If one or more of the seeds did not become a plant, exclude it from this calculation.
Measure the diameter of the largest flower (if a flowering plant).
Create a table for daily measurements, and track the
changes daily for about four weeks.
Note: This experiment can be longer or shorter depending on the seeds you use. You can check the seed packets to see the expected germination time for each plant, although the germination rate can change depending on many variables! The seeds recommended in the materials list usually take about four weeks to grow enough to use the fertiliser, so adjust your experiment if you are using other seeds.
Table 1. Data table to track the impact of fertilisers on germination, plant growth, and flowering.
(Adapted from Laura Ohl, PhD, Science Buddies)





In an extensive search operation, members of the Joint Services are combing the Deep South Rupununi, in Region Nine (Upper Takutu-Upper Essequibo) focusing on areas near Bashaizon Village and along the Takutu River, as they pursue six masked gunmen involved in a shocking armed robbery and abduction.
The daylight attack took place on Saturday morning at the Bush Mouth sub-station of the Guyana Geology and Mines Commission (GGMC) in Marudi.




The victims of the incident included five Guyanese and four Brazilian nationals, among them Natural Resources Officers Victor Adams, 34, and Romain Simon, 39; Christopher Charles, a 17-year-old barber from Lethem; Curtis Charles, a 35-year-old Lieutenant in the Guyana Defence Force; and 30-yearold community mines ranger, Karl Antone, from Aishalton Village. Also abducted were Benedict John, a 28-yearold caretaker from Karaudanau Village, and three Brazilians—29-year-
old general manager Dionei Farias De Brito and 22-yearold operator Eduardo Moreira Freitas, both from Boa Vista.
The group was en route to Marudi Backdam and had stopped at the GGMC check-


point when they were ambushed by six masked men armed with rifles. Speaking Portuguese, the assailants strategically positioned themselves around the checkpoint before approaching the group, overpowering them, and initiating a robbery. The gunmen seized a quantity of raw gold, two Glock pistols, and a Mavado watch valued at $140,000
before taking the group hostage and fleeing in a vehicle.
Following the robbery and abduction, a Joint Services team launched a pursuit. The armed suspects eventually abandoned the vehicle, allowing Joint Services personnel to successfully rescue all hostages unharmed. Police, however, have yet to confirm the exact location where the ve-
hicle was recovered or any details about other items potentially left behind by the gunmen.
The Joint Services’ search continues, with authorities patrolling the rugged terrain around Bashaizon Village and the Takutu River day and night in hopes of locating the suspects. As of Sunday evening, the search was still active.


Carlos Holmes, a mechanic residing at Lot 26, Third Street, Lilliendaal, East Coast Demerara, has been placed on $300,000 bail after being charged with fraudulent misappropriation in a $7 million deal for an excavator that allegedly never materialized.
Holmes appeared in the Georgetown Magistrates’ Court on Friday, where he pleaded not guilty to the charge brought against him by the state. The matter was heard by Magistrate Faith McGusty, with Holmes representing himself in court, as he had no attorney.
According to the prosecution, Holmes became acquainted with businessman Rudolph Seecharan through a Facebook advertisement.
In this ad, Holmes allegedly advertised foreign-used excavators for sale, claiming he could supply heavy-duty machinery at competitive prices.
Intrigued, Seecharan reportedly contacted Holmes, who assured him that he could procure a Komatsu excavator for a total of $30 million Guyanese dollars.

Holmes then reportedly told Seecharan that a down payment of $7 million would be required to order the machine.
Seecharan allegedly transferred the requested sum to Holmes, who issued a receipt acknowledging the $7 million payment. Holmes then provided several dates for the excavator’s expected arrival, but the promised equipment never showed up. After repeated delays, Seecharan reported the matter to the police, explaining that he had made a substantial financial com-
mitment without receiving the promised machinery.
Police from the Brickdam Fraud Department launched an investigation and contacted Holmes, who reportedly admitted to receiving the funds. However, Holmes claimed that the supplier was at fault for failing to deliver the excavator on time. He provided investigators with a receipt, which he claimed was proof of the down payment he had made to the supplier on Seecharan’s behalf.
Despite Holmes’s explanation, the case was
brought to court. It was reported that Holmes allegedly provided multiple arrival dates, none of which were fulfilled. They argued that Holmes had misappropriated the funds entrusted to him and had failed to take adequate steps to deliver on his promises or to refund the money.
During the hearing, Holmes insisted that he had acted in good faith and that the supplier had delayed the delivery, not him. He told the court he had made efforts to ensure the excavator’s arrival but had been let down by external circumstances beyond his control.
Magistrate McGusty granted Holmes bail under strict conditions, requiring him to pay $300,000 and to report to the Brickdam Police Station on the last Friday of every month. This reporting condition will remain in effect throughout the proceedings. Holmes's next court appearance is scheduled for November 29, where statements from the prosecution and defense will be presented.

Commissioner of Police Clifton Hicken and a team visited the Onderneeming Sandpit community on the Essequibo Coast on Friday to discuss security concerns with residents. The meeting drew a large crowd eager to voice issues affecting their community.
Hicken was joined by Regional Division No. Two Commander Superintendent Ravindra Stanley; Deputy Commander Duncan, Regional Council members, Community Policing Group (CPG) representatives, local Toshos, and other ranks.
During the meeting, residents raised various concerns, which Hicken addressed immediately, offering practical solutions and pledging additional support.
In his address, the commissioner emphasised the importance of strengthening police-community relations, describing these interactions as central to the Guyana Police Force's strategy to build trust and collaboration with citizens. He highlighted ongoing efforts to form youth groups in the

region to engage young people in positive activities and reinforce ties with the police.
Hicken also announced the immediate start of joint service anti-crime patrols, which will enhance security in the area.
He assured residents that the police force is com-

mitted to increasing patrols, boosting visibility, and implementing community policing programs to involve residents in crime prevention.
The Commissioner encouraged residents to report suspicious activities and actively participate in local crime prevention initiatives, noting that effective policing relies on community cooperation.
He invited attendees to provide feedback on their experiences with the police, underscoring that resident input is crucial for improving police services.
Plans for regular follow-up visits and community meetings were discussed, ensuring continued dialogue between the police and residents to address evolving security needs in Onderneeming Sandpit.

…for votes?
In Guyana today, the Opposition – more specifically the geriatric rump WPA sect – is consumed by an infantile schoolyard urge to prove that the PPP’s latest cash grant proposal is copied from their “Universal Basic Income” (UBI) suggestion from back in 2018. The “Buxton Proposal” they called it. From their frenzied rhetoric, you’d think they’re the copyrighted originators of that concept!! Fact of the matter, UBI’s a proposal for addressing poverty that’s been around for decades – and tried by a host of private charitable organisations mainly in Africa – but no country!!
Typical is the US-based charity GiveDirectly which since 2017 has been providing some villagers in Kenya a monthly cash grant of about $50, with the commitment to keep the payments coming for 12 years. The largest entity using the model is the State of Alaska which has been cutting citizens a check annually since 1982. These come from funds collected from a mandatory deposit of 25% of royalties collected from their oil and mineral exploitation – into a Permanent Fund. The money is in turn invested by the Alaska Permanent Fund Corporation in domestic and global stock, bonds, private equity, and more, and interest earnings are then distributed to Alaska residents every September. But their experience is a salutary one for us.
In 2015, plunging oil prices created major shortfalls in the state’s budget and the governor reduced the amount doled out to the citizenry. And this is when the sh*t hit the fan. The governor’s opponent ran on a platform that TRIPLED what was presently being paid out – even exceeding the amounts from the boom days. The opponent won the elections in 2018, but has had to cut funding from every social welfare programme – like Medicaid and grants to the University!!
And this is what the PPP Government’s been trying to prevent by not committing to any guaranteed UBI programme – which will certainly be unsustainable after oil runs out in a couple of decades!! Not to mention that our country – not being part of the USA like Alaska – is underdeveloped and dirt poor to begin with. We need to use our oil funds to develop infrastructure that’s gonna provide sustainable incomes to all in the future!!
But the wankers in the geriatric party ain’t concerned about fiscal responsibilities and Guyana’s future – they just want to survive. They’re counting on the fact that everybody want mo’ money…even the rich – who may vote for them as Alaskans did for the Governor who now has his state in a pickle!! And the experiments at the village level in Kenya?? Hasn’t made much difference excepting for stimulating the formation of what we use to call “su su” or “box hand” here in Guyana.
Gwan da side, snake oil salesmen!!
…and kickback
With elections due tomorrow, the dramatic shift of American opinion continues to move rightwards and ensuring a Trump victory. Kamala’s travails are exposed in her vacillation on their Supreme Court’s reversal of women’s right to abortion in the first trimester of pregnancy!! Roe v Wade was a landmark case since 1973 –signalling liberal ascendancy in social, cultural and political matters.
She face renewed attacks from a reinvigorated Republican base and party on all their favourite issues –gun control – or lack thereof (which the Supreme Court also expanded); anti-immigrant legislation; more policing of minorities, etc…etc. And since the dictum that “all politics is local” holds, Kamala has had to continue supporting adventurism in Ukraine and genocide in Israel in wars that are not just catering to bygone fears, but draining funds from even assisting their hurricane victims in the South!!
For us in Guyana, Kamala will continue cosying up to the dictator next door – Maduro – and not insist he joins the democratic club – like Trump!!
…from ganja
The unabated reports of Police action against ganja at all levels – production, transportation and consumption – reminds your Eyewitness that we clearly already have the people, land and technology for cultivating the crop, what’s stopping us from producing its legal cousin Hemp??

The views expressed in this column are the author’s own and do not necessarily reflect Guyana Times’ editorial policy and stance
Readers are invited to send their comments by email to eye@guyanatimesgy.com

The Guyana Forestry Commission (GFC) has put wood processors on notice that with a new Code of Practice for wood processing operations gazetted, the regulator will be monitoring their operations to ensure compliance.
With Guyana holding a reputation as a country with one of the best managed forests in the world and the Guyana-European Union (EU) Forest Partnership, GFC in a recent notice made it clear that it will be enforcing compliance with the Wood Processing Code of Practice.
“The GFC advises that the Code of Practice for Wood Processing operations has been gazetted and thus the GFC will monitor the implementation of various aspects of this code. Particular attention must be paid to improving of the quality of lumber being produced and sold locally.”
“In this regard, sawmill
and lumber yard operators must ensure the proper display of produce, stacking by species, grade and dimension and general improvement in the quality of lumber for sale and compliance with Occupational Safety and Health Guidelines (OSH),” the notice added.
In the notice, GFC also explained that it is currently accepting applications from persons in the wood sector, for renewal or issuance of 2025 licenses for timber dealers, sawmills, sawpit, and log import and export, among other areas.
Among the requirements for issuance of these licenses, is for relevant proof of ownership or legal occupation of the property to be presented. GFC also reminded that applications for timber dealers and sawmill licenses must be accompanied by a permit from the relevant Local Authority body, such as the Neighborhood Democratic
Council (NDC).
“Persons/companies that have leased small concessions (state forest permit) and owners of private property intending to produce chain saw lumber must have a valid sawpit licence before they can commence production or collect removal permits.”
“Please note that your sawpit applications must include the type/model and serial numbers of the chainsaws intended to be used for the operation. The GFC advises that it will not process applications for applicants who seek to operate on locations previously deemed unauthorised.”
According to the GuyanaEU Forest Partnership that Guyana signed last year with the aim of helping to manage Guyana’s forests and promoting the forest bioeconomy, a roadmap was established to ensure that the EU and Guyana’s commitment to reaching a set number of tar-
ABrazilian fuel truck driver, identified as Weliton Venacio Lima, lost his life on Saturday, in a crash along the KurupukariLethem Trail Region Nine (Upper Takutu-Upper Essequibo). The accident took place near the Maushparu Bridge, close to the Canopy Walk Site.
According to reports, Lima was the lone occupant of a fuel tanker traveling along the rugged trail.
He was reportedly driving at a high speed and may have been unaware of the bridge’s location, making it difficult to decelerate in time. As a result, the tanker approached the edge of the bridge and tipped over, plunging into the creek below.
The impact reportedly left Lima pinned inside the

multiple accidents over the years.
Investigations are ongoing as police work to determine the exact cause of the mishap.

cab of the overturned truck, and emergency responders pronounced him dead at the scene.
The incident has sparked renewed calls for caution and awareness among drivers navigating the challenging terrain of the KurupukariLethem Trail, which has seen
Currently, the construction of 32 concrete bridges is nearing completion along this corridor, with the final bridge at Pirara expected to be finished by Christmas. Minister of Public Works, Bishop Juan Edghill recently affirmed that the Government is committed to completing the Pirara
Bridge on schedule, despite ongoing challenges.
“These bridges will significantly improve connectivity and provide a safer, more reliable route for residents and transporters,” said Edghill during his remarks at the National Toshaos Council (NTC) Conference.
He added that senior engineers will be dispatched to Region Nine to ensure the timely completion of the Pirara Bridge, which is being built to international standards at a cost of $410.2 million.
The Kurupukari-Lethem Project is part of a broader Government initiative to develop hinterland infrastructure, aimed at enhancing accessibility and supporting economic development in remote regions. The project includes the ongoing construction of 13 additional bridges from Linden to Mabura Road, which, together with the Kurupukari-Lethem improvements, are expected to transform travel and trade in and out of the hinterland. (G9)
gets by 2030 can be accomplished.
These targets include: maintaining 12.5 million hectares of sustainably managed forests; expanding protected and conserved forests to 30 per cent of terrestrial and marine species; increasing restored forest to 200,000 hectares; increasing the number of forest-related decent jobs; and maintaining the rate of deforestation of natural forests below 0.01 per cent per annum.
The Forest Partnership and the Forest Law Enforcement, Governance and Trade (FLEGT) Voluntary Partnership Agreement (VPA) are expected to help Guyana enhance its forest bioeconomy and attract public and private investments while contributing to climate and biodiversity objectives and reinforcing the rights of local communities and Indigenous people.
In November 2023, during Conference of the Parties (COP27), Guyana was one of five countries to sign a Memorandum of Understanding for a Forest Partnership with the European Commission. This worked as an acknowledgment of the challenges posed to forests by climate change and development needs as well as the opportunity to position forests to play their full economic, social, and environmental roles.
Through the country’s first

Low Carbon Development Strategy (LCDS), which was unveiled in 2009, and under the leadership of then President Dr Bharrat Jagdeo, Guyana was also able to secure a deal with the Kingdom of Norway for up to US$250 million in an agreement that simply meant that Guyana had to continue preserving its dense forests and use the resources for continued mitigation and adaptation efforts.
With more than 80 per cent of the country being covered by forest, Guyana can sequester approximately 19.5 gigatons of carbon. This strategy thus plays a crucial role in the global fight against climate change.
As a result, the Government of Guyana,
through the Expanded LCDS 2030, managed to sign a deal with Hess Corporation for up to US$750 million for 30 per cent of the carbon credits Guyana’s forest offers. Since the signing of that deal in December 2022, Guyana has managed to support Amerindian communities in the development of sustainable projects that would serve as new sources of revenue. Also, sums of money have been allocated to significant adaptation measures, including the construction of several new Hope-like canals and other flood prevention works in Regions Three (Essequibo Islands-West Demerara); Five (Mahaica-Berbice) and Six (East Berbice-Corentyne). (G3)



The Government in an effort to reaffirm its support to bolster development in the Upper Corentyne area in Region Six (East BerbiceCorentyne) has allocated a whopping $2billion in infrastructure to boost agricultural output within the region.
Farmers from the Upper Corentyne area in Region Six (East BerbiceCorentyne) will soon commence several agricultural projects to bring all available land into productive use, further boosting the region’s production. Approximately 30,000 acres of land including privately held areas near Moleson Creek in Upper Corentyne
were earmarked for infrastructural development for agriculture-related activities.
The committee which aims to optimise the use of available land and ensure that agricultural activities commence without delay was on Saturday officially formed by Agriculture Minister Zulfikar Mustapha during a meeting with farmers within the area.
The committee comprises representatives from Coops and private cane farmers in the Upper Corentyne area. During the engagement, Minister Mustapha disclosed that the private cane farmers had approximately 10,000 acres of land while the various Co-ops
from the area had varying amounts, totaling approximately 30,000 acres.
“Some farmers indicate that they want to go back to cane, some farmers indicated that they want to start planting corn, while some are looking at the other crop that we want to start, like hemp. So, we want to start work as soon as possible. This project is long in the making so I am looking to start from the Upper Corentyne side, Molsen Creek end coming down. Some of the farmers wanted to start back growing cane because, you know, we started to do cane cultivation once again at Skeldon. This year, we will plant 1,500 hectares. By next year

we’re looking to plant up to 5,000 hectares, but we have to start the programme”
Three private cane farmers along with representatives of co-ops from El Dorado, Landless, Leeds Pioneer, Baba Grant, Friendly Farmers, Babylon, Hunter’s Scheme, and Johannesburg were appointed to serve on the committee. Senior officers from the Guyana Rice Development Board (GRDB), the Guyana Livestock Development Authority (GLDA), the National Agriculture Research and Extension Institute (NAREI), and the National Drainage and Irrigation Authority (NDIA) will also have roles in the committee.
The committee will be chaired by the Ministry’s Director General, Madanlall Ramraj. Mustapha also established another committee to oversee the operation of various pumps in the region. This committee will be chaired by Regional Vice Chairman, Zamal Hussain, and comprises representatives from the Water Users Associations (WUA), the NDIA, the GRDB, and local farmers.

Meanwhile, last October during a meeting with farmers, Vice President Dr Bharrat Jagdeo alongside Minister of Agriculture Zulfikar Mustapha engaged with several farms from Upper Corentyne to discuss the Government’s ambitious plan to transform 40,000 acres of land into productive farmland.
Vice President Jagdeo announced that these lands, including privately held areas near Moleson Creek in Upper Corentyne, will benefit from a $2 billion investment in infrastructure to boost agricultural output.
While addressing the
gathering of farmers, representatives, and stakeholders, Jagdeo outlined a strategy to utilise 25,000 acres of GuySuCo land at Skeldon for projects such as shrimp farming, hemp cultivation, and sugarcane. He highlighted that former workers would be given opportunities for ownership in these ventures. Moreover, Jagdeo also revealed that the Government is considering implementing new sugarcane varieties that could potentially double current yields. The administration is also exploring the cultivation of onions using a highyield hybrid variety.

With e-bike use on the rise, Traffic Chief Senior Superintendent Mahendra Singh has issued a call for stricter adherence to road safety laws, emphasising that e-bike riders must follow the same regulations as other motorists.
Speaking on the issue in an interview with Guyana Times, the Traffic Chief pointed out that, while e-bikes offer convenience, they also introduce risks when riders do not adhere to safety guidelines.
“The law speaks clearly to what an e-bike is,” the Chief explained, noting that e-bikes, by law, must be registered and meet the same standards as motor vehicles. He reminded the public that owning and operating an e-bike requires a driver’s licence, registration, and compliance with basic safety measures, such as wearing helmets.

“Traffic education seeks to sensitise [e-bike riders] that they need to use the road following the rules of the road,” he stated, underscoring the need for riders to prioritise both their own safety and that of other road users.
The Traffic Chief explained that the Traffic Education Department is actively working to raise awareness among e-bike users, especially those who are new to the rules of the road.
He noted that officers have been reaching out to educate the public on the importance of licensing and registration.
As e-bike-related incidents become more common, the Chief also stressed the importance of consistency in road safety compliance.
“[The law] requires a licence and fitness [certificates],” he noted, adding that riders without these essentials put themselves and others at risk.
The Traffic Department has announced plans to ramp up enforcement in ar-
eas where e-bike use is most prominent, hoping to promote safer streets and ensure that all road users, regardless of vehicle type, comply with the law.
Just last year, they were amendments to the Motor Vehicles and Road Traffic laws, which seek to regulate the use of electric bikes.
The new regulatory framework aims to address the rising number of road fatalities and incidents involving electric bikes. The bill was passed in the National Assembly in April last year. Supported unambitiously in Parliament the Bill defines electric cycles as motorcycles with electric motors and effective braking systems. It mandates that electric cycles adhere to the same registration and usage rules as conventional motorcycles.
These bikes, costing between $70,000 and $150,000 and with speeds below 50 km/h, have become popular due to their affordability and ease of use. (G9)

Afire of unknown origin completely de-
stroyed the home of a government 10-day part-time worker in New Amsterdam on Saturday evening.
Flames were initially seen at the Lot 54 Nurseville building at about 20:45h. At the time the lone occupant, Latifa Romacindo was not at home.
One resident of the community Franco Crawford said he saw light from the flames reflecting into his house and when he went outside, he discovered that

there was a small fire in the building.
He said at the time there was no one on the street and

he immediately got in contact with the fire department which responded swiftly.
Romacindo said she had left home to pick up some items and while out she received a telephone and was informed that her house was on fire.
“When I got there, it was just flames... I did not look much because I was fainting

so they took me into the ambulance. My pressure was really high. I can’t say how

they did a good job to have everything under control,” she said.
Shamshudin Hack, a businessman in New Amsterdam owned and furnished the two-bedroom, concrete building.
it happened. Everything in the house was off. The house burned so fast but I am thankful for the fire service,
He estimates losses at $6 million. He said only recently he discontinued the fire insurance coverage for the building.
Meanwhile, Romacindo said important documents.
“I had everything there, all of my belongings.”
The fire is believed to have started in the vicinity of a refrigerator that was recently purchased. The building was also listed for sale on RE/MAX One Nation Realty Inc.
The Guyana National Bureau of Standards (GNBS) in an effort to meet the demands of industry, particularly as companies are becoming more interested in the use of traceable and accurate measurements has calibrated some 2000 measuring instruments such as balances, masses, measuring cylinders, liquid-in-glass thermometers, gauge blocks among others countrywide thus far in 2024.
In industry operations, calibration is very important; and consistently knowing the accuracy of measuring instruments gives companies the confidence that they are putting the right amounts of ingredients in their prod-

with the standard we have at the Guyana National Library Standards. We compare the measurements to ensure that they are accurate and reli-

ucts. On this point, Head Corporate Communications at GNBS Lloyd David revealed that to date, the organisation has calibrated over 1500 instruments across the country.
“The GNBS has a measurement function, which we refer to as calibration. Basically, we compare a working standard or a working measuring instrument
able. Essentially, that is calibration. The GNBS has so far calibrated over 2,000 measuring instruments for industries, laboratories, and other stakeholders in the sector, even those supplying the oil and gas sector. We have done considerable calibration so far for this year.”
Moreover, the GNBS spokesperson revealed that the organisation also does
verification for devices such as speed guns and breathalysers for the Guyana Police Force (GPF).
“There is ongoing work between the GNBS and the Guyana Police Force to ensure that breathalysers and speed guns used in the monitoring of the traffic are in order and verified by the Guyana National Bureau of Standards. In terms of speed guns and breathalysers, those are verification. There is not a calibration function. It’s a verification function, and the GNBS also provides that function to the Guyana Police Force and other stakeholders.”
He added that the bureau has already reached out to the Police Force to begin verifying instruments for the second half of the year.
“we’ve offered a quotation to commence the verification of these instruments for the second half of the year. We are looking to get them done for the remainder of the year so they can be new and ready, verified for the beginning of 2025.”
Calibration is known to be a complex scientific process,
which allows traceability in measurements. It compares the accuracy of instruments or equipment with a known and proven measurement standard. Currently Companies and Laboratories are increasingly submitting their measuring instruments to the GNBS for regular comparisons with traceable standards in the areas of mass,
dimension, volume, pressure, and temperature.
To maintain the traceability and accuracy of its verification services, which are offered to stakeholders in trade, the GNBS also calibrated its working standards, i.e. masses, electronic balances and provers (volumetric containers). Hence, these vendors, shopkeepers,
and other users of scales verified by the GNBS can have confidence in the verification process.
Notably Companies which are certified to international standards such as the ISO 9001 Quality Management System Standard are required to have their measurement instruments calibrated.








Caribbean Airlines, on Sunday, began non-stop flights between Eugene F Correia International Airport (OGL) in Guyana and Johan Adolf Pengel International Airport in Suriname.
Speaking at the launch, Tourism, Industry and Commerce Minister, Oneidge Walrond, said the flight represents a significant step forward for both Guyana and Suriname, enhancing connectivity and fostering stronger ties between the two nations. She added that the flight also helps expand Guyana’s role as a regional hub by opening more travel options for our residents and supporting the country’s growing tourism sector.
“It exemplifies our shared vision of expanding connectivity, opening economic and cultural doors, and further enhancing tourism and
including passengers for the inaugural flight. She said while the Government continues to pursue additional airlines and new routes, it is simul-
“These strategic initiatives demonstrate to airlines that Guyana is a valuable and credible addition to their networks,” she reiterated.

taneously enhancing the nation’s travel infrastructure, expanding accommodation options, and developing more experiential travel

trade,” Walrond is quoted as saying on the Ministry’s social media page.
The Minister stressed that the expanded air connectivity aligns with the Government’s strategy to attract more visitors and provide them with seamless access to Guyana’s tourism offerings.
“Each new airline increases our reach, and each new route strengthens our position as a rising destination for travellers seeking unique and diverse experiences, she told the audience,
products and tourism circuits to enrich visitor experiences.
Walrond highlighted Guyana’s relations with Suriname, noting that bridging the two countries reinforces our shared heritage, supports cross-cultural experiences, and offers new possibilities for tourism and trade.
The Minister thanked Caribbean Airlines for its commitment to the Guyana market and urged the airline to maintain consistency with this service. She proposed joint marketing efforts with Caribbean Airlines.
The flights will operate twice weekly, on Fridays and Sundays, using the airline's ATR 72-600 aircraft. The launch took place at the Eugene F Correia International Airport.



The Georgetown Public Hospital Corporation’s (GPHC) Institute of Health Science Education held its 17th Annual Guyana Research Conference at the Arthur Chung Conference Centre (ACCC) on Saturday. Themed, "Insights and Innovation: Shaping Research Progress in Guyana," the conference brought together healthcare professionals from across the nation to discuss pivotal research and advancements in the field.
Attendees included physicians and researchers from
GPHC and other institutions, who presented a variety of studies focused on key health topics affecting the country. Presentations addressed chronic illnesses, infectious disease outbreaks, maternal and child health, and innovative management strategies tailored to meet the specific healthcare needs of Guyana. Each presentation offered unique insights into the pressing healthcare challenges currently facing the nation.
In a social media post, the hospital said that a highlight of the event was the em-
phasis on innovative healthcare delivery approaches. Researchers showcased advancements in telemedicine, which has shown promise for improving access to care in remote areas. The conference also featured discussions on cutting-edge surgical techniques and alternative therapies, underscoring Guyana's commitment to modernising its healthcare system.
Health Minister, Dr Frank Anthony who delivered remarks emphasised the crucial role of research in shaping the future of healthcare in Guyana. Meanwhile,
OPEC+ agreed to push back its December production increase by one month, the second delay to its plans to revive supply as prices continue to struggle amid a fragile economic outlook.
The group led by Saudi Arabia and Russia had intended to begin a series of monthly production increases by adding 180,000 barrels a day from December, but they will now keep supply restrained through that month, according to a statement posted on OPEC’s website on Sunday.
They had already postponed the restart from October as faltering demand in China and swelling supplies from the Americas pressure prices. Brent futures have slumped 17% in the past four months to trade near $73 a barrel, too low for the Saudis and many others in OPEC+ to cover government spending.
“Market conditions won out,” said Harry Tchilinguirian, head of oil research at Onyx Commodities Ltd. “OPEC+ showed it couldn’t ignore the current macroeconomic economic realities centered on China and Europe, which point to weaker oil demand growth.”
Further delay may do little to bolster the market, having been anticipated by many traders. Global markets still face a glut next year even if the OPEC+ alliance refrains
from increasing supplies, the International Energy Agency in Paris estimates. Citigroup Inc. and JPMorgan Chase & Co. see prices slipping into the $60s in 2025.
The OPEC+ move is “modestly positive,” said Giovanni Staunovo, an analyst at UBS Group AG in Zurich. The market will focus instead on Iran’s response to Israel’s attacks and the outcome of US elections, he said.
Crude markets have largely shrugged off a year of conflict in the Middle East, including Israel’s recent retaliatory strike against Iran, as traders grow increasingly confident that oil shipments from the region will remain unaffected.
That poses a financial threat for Riyadh, which needs price levels closer to $100 a barrel to cover the ambitious economic plans of Crown Prince Mohammed bin Salman, according to the International Monetary Fund. The kingdom’s oil-market partner, Russian President Vladimir Putin, also needs fund for his war against Ukraine.
“For me, the impact is more important on sentiment than the numbers,” said Amrita Sen, director of research at consultant Energy Aspects Ltd. “The market has been incorrectly viewing OPEC+ as wanting to flood the market to regain market share,” but instead, their “pri-
mary focus remains keeping oil inventories under control.”
In June, the Organization of Petroleum Exporting Countries and its partners outlined a road map to gradually restore in monthly tranches 2.2 million barrels a day of output halted over the past two years.
Yet deteriorating fundamentals have thwarted their plans, with demand in China suffering a four-month contraction and supplies climbing in the US, Brazil, Canada and Guyana. US oil production jumped to a fresh monthly record of 13.4 million barrels a day in August.
“Given all the geopolitical tension in the Middle East and, perhaps more importantly, the upcoming US presidential elections, it makes perfect sense for OPEC+ to postpone the unwinding of the voluntary cuts for an extra month,” said Jorge Leon, senior vice president at consultant Rystad Energy AS.
OPEC+ has struggled to get some members — notably Russia, Iraq and Kazakhstan — to implement their share of agreed supply cutbacks. The trio have promised to comply better, and make additional curbs to compensate for overproduction, but have generally been pumping in excess of their quotas.
The 23-nation alliance is set to gather on Dec. 1 to review policy for 2025. (BNN Bloomberg)

Chief Executive Officer of GPHC, Robbie Rambarran and Director of Medical and Professional Services, Dr Navindranauth Rambaralso addressed the gathering, highlighting the importance of collaboration and innovation in advancing healthcare for all Guyanese.
The conference served as a collaborative platform for healthcare workers and professionals from GPHC and other health institutions, fostering an enriching dialogue on shared experiences and expertise.



Now in its fourth season of awards, the University of Guyana (UG) has announced its 2024 list of exemplars in science, business, the arts and education who will be awarded honorary doctorates in this year’s convocation exercises.
Alumnus of the Faculty of Natural Sciences at the University of Guyana (UG) and Founder of Baron Foods, Sir Ronald Ramjattan; Toronto-based Guyanese surgeon and medical innovator, Dr Narendra Chetram Singh; CEO and Founder of Hansib Publishing, Arif Ali; and Creole linguistics and English language specialist, Professor Ian Robertson, are among the eleven outstanding Guyanese who will be honoured at the various ceremonies when UG hosts its 58th Convocation exercises, scheduled for 7 to 16 November 2024.
Entrepreneur and philanthropist Victor Compton Insanally; shipping magnate Christopher Fernandes; finance and management specialist Ralph Bazilio; child rights activist and social worker Ann Greene; historian and consumer advocate Patrick Parbhu Dial; veteran Guyanese musician and culturalist Eze Rockliffe; and cultural icon Pauline Thomas, also known as “Auntie Comesee,” complete this diverse and impressive list.
Ronald Ramjattan
Sir Ronald Ramjattan is a well-respected Chemist/ Food Technologist. He is the CEO and founder of Baron Foods Ltd. Sir Ramjattan began his academic journey at the Muslim Education Trust College in Brickdam, Georgetown. His passion for chemistry led him to

UG, where he earned a Bachelor of Science Degree in Chemistry in 1972.
Upon graduating from UG, Mr Ramjattan started his professional career as a Chemist with GUYSUCO before joining the firm of Ricks & Sari Agro Industries Ltd in Guyana as a Food Technologist. He was later transferred to manage the company’s operations in St Lucia and subsequently made the bold decision to establish his own company Baron Foods Ltd in Saint Lucia in 1991.
Under Ronald
Ramjattan's visionary leadership, Baron Foods Ltd has evolved into the largest food processing products manufacturer in the Eastern Caribbean. The company now boasts a portfolio of over 165 award-winning food products and exports to both the Caribbean and international markets.
This celebrated entrepreneur has received numerous awards, including The Businessperson of the Year 1999 Award and the coveted Ernst & Young “Entrepreneur of the Year” 1999 Award. In addition, he was bestowed with the Order of the British Empire (OBE) by Queen Elizabeth II in November 2014. Ramjattan, who is also a notable philanthropist, will be awarded an honorary doctorate for Excellence in Science.
Dr Narendra Singh, Surgeon, Medical Innovator and Educator
Dr Narendra Singh is currently the Director of Paediatric Critical Care Services at the South Texas Health System. Additionally, he is the Strategic Adviser to the Minister of Health in Guyana. In 2018, he retired as the Chief of Staff at Humber River Hospital,

Toronto.
Dr Singh is also the Programme Director for the Paediatric Post Graduate Programme, UG/ Georgetown Public Hospital Corporation (GPHC), and Associate Clinical Professor, Faculty of Medicine at the McMaster University. He founded Guyana Help the Kids in 2009, to address neo-natal and infant mortality rates in Guyana. Dr Singh has received numerous awards including the Meritorious Service Medal of Canada and the Royal College of Physicians and Surgeons of Canada Prix d’excellence (Specialist of the Year). He will be awarded an honorary doctorate for Excellence in Medicine.
Arif Ali, Author, Publisher and Caribbeanist
Arif Ali has over 50 years of experience in publishing for and about the Caribbean in the United Kingdom (UK). Ali's career as a newspaper publisher started in 1973 with the acquisition of West Indian World. Under Ali's editor-

ship, the West Indian World prospered, campaigning on various educational issues that were affecting black schoolchildren in Britain. Ali went on to further engage and communicate with the Caribbean, African and Asian communities by establishing the Asian Digest (August 1980), the newspapers Caribbean Times (1981), Asian Times (1983) and African Times (1985), as well as Root Magazine (1987).
In 1997, Ali sold his newspaper companies in order to concentrate on book publishing, and Hansib remains "the biggest and most diverse black book publisher in Britain". He is the recipient of many awards for his service including 2024 Bocas Henry Swanzy Award for Distinguished Service to Caribbean Letters. Mr Ali will be awarded an honorary doctorate for Excellence in Literature.
Prof Ian Robertson, Linguist and Trailblazer
Following the completion of his secondary education at Queens College, Prof Ian Robertson went on to the University of the West Indies (UWI) Mona, where he completed the Special Honours degree in English. He returned to the University at the St Augustine campus where

he completed his Ph.D. in Linguistics. Prof Robertson worked in the education system in Guyana and Trinidad and Jamaica for more than forty years. He has also been actively involved in the work of the Caribbean Examinations Council (CXC) having served as Assistant Chief Examiner at the Caribbean Secondary Education Certificate (CSEC) English
panel and as Chair of the syllabus development committee for the preparation of the Caribbean Advanced Proficiency Examination (CAPE) Communication Studies.
In academia, his work has covered a number of areas including Creole Linguistics, English Language Education in the Caribbean, the Caribbean Oral Traditions, among other areas
“In the world of Creole linguistics, he will be best remembered as the rediscoverer of Dutch-lexicon Creole in Guyana. His rediscovery of Berbice Dutch was not fortuitous. His personal exploration of the documented history of the language and the geography of Guyana convinced him that the language could not be extinct before he undertook the quest to find speakers. He applied his linguistic work to the educational needs of speakers of Creole languages at the level of teacher education through his face-to-face teaching and through his publications, both as sole author and in collaboration with other distinguished scholars”. Prof Robertson will be awarded an honorary doctorate for Excellence in Literature and Linguistics.
Christopher Fernandes, Chair of the Board, John Fernandes Ltd Patriarch of the Fernandes clan, international shipping magnate and servant leader, Mr John Fernandes’ work experience covers a wide range

of activities in the fields of business and management, as well as social, cultural, humanitarian and sports in Guyana. He pursued his tertiary education at the Irish Management Institute and Pennsylvania State University. He is currently the Chairman of John Fernandes Group of Companies.
Chris Fernandes also served as the Hon. Counsel for Germany to the Cooperative Republic of Guyana from 2003 –2010. He was the First President of the Shipping Association of Guyana Inc. (1995 – 2002). He was also the Chairman of Caribbean Shipping Association.
In 2002, he received The Golden Arrow of
Achievement (AA) award for long and dedicated service in the field of Commerce and Shipping. Additionally, in 2007, he received a Lifetime Achievement Award from the Georgetown Chamber of Commerce & Industry (GCCI) for his outstanding accomplishments and significant contributions to the business community and the wider Society. He will be awarded an honorary doctorate for Excellence in Business, Sports, Education and Civic Engagement.
Ann Greene, Social Worker and Child Protection Advocate
Ann Greene is a career social work professional with over 45 years of experience in the Public Service in Guyana. She has served in a number of capacities in the

Social Services in Guyana, starting as an administrative staff and moving to a probation and welfare officer, a capacity in which she served for several years before reaching the height of Chief Probation Officer and later Director of the Childcare and Protection Agency (CCPA).
Greene is the recipient of the Order of Service of Guyana for long service with exceptional dedication in the probation and welfare service (2011). She also received other awards including the European Union (EU) Human Rights Award for relentless work for the development and protection of children’s rights in Guyana. Greene will be awarded an honorary doctorate for Excellence in Children’s Welfare, Protection, Social Services and Professional Development.
Ralph Bazilio, Accounting Tzar and Philanthropist
Ralph Bazilio has over 37 years of experience as a Certified Public Accountant

in the US. He has built a distinguished career providing audit, accounting, financial, and management advisory services. As the Chief Executive Officer (CEO) of Bazilio Cobb Associates and the Managing Partner of Watson Rice LLP, Bazilio has demonstrated exceptional leadership and expertise in both firms, guiding them to prominence in the accounting and consulting sectors.
Bazilio has a Bachelor of Business Administration from the University of the District of Columbia, He is a Certified Public Accountant (CPA) and Certified Government Financial Manager (CGFM). He will receive an honorary doctorate for Excellence in Business, Sports, Education and Civic Engagement.
Patrick Dial, Historian, Public Servant and Educator
Pat Dial is a historian by profession. He served in numerous capacities in the public service over several decades, including

at the level of Permanent Secretary in the then Ministry of Information and Culture and as Executive Director of the Advisory Committee on Broadcasting (ACB) which later evolved into the National Broadcast Authority.
He also lectured History and Caribbean Studies for many years at UG. Dial’s work on consumerism spans several decades and to this date, he serves as President of the Guyana Consumers Association (GCA). As a Justice of Peace (JP), he provides assistance to members of the public. For his excellent work and contribution to Guyana’s national development, he was awarded the Cacique Crown of Honour (CCH) and the Golden Arrow of Achievement (AA). Dial will receive an honorary doctorate for Excellence in History.
Vic Insanally, Veteran Broadcaster, Philanthropist and Entrepreneur Extraordinaire
Victor Insanally has had a long and illustrious career through which he has made immense contributions to the arts, culture, and public life of Guyana.

Over 162 persons on Saturday graduated from the Government’s International Human Rights Law certificate course.
The programme facilitated by the Ministry of Parliamentary Affairs and Governance, aimed to educate Guyanese on human rights, international rights and conventions, and Guyana’s constitution and laws.
During the graduation ceremony at the Marriott Hotel in Kingston, Georgetown, Parliamentary Affairs and Governance Minister, Gail Teixeira said the programme is a necessary investment.
“It was a daunting undertaking as we had no template to follow but I believe that we came up with a formula and a course that allowed Guyanese to understand how the UN system works,” the Minister is quoted in a DPI article as saying.

Parliamentary
and
Launched in July 2024 and formally concluding in October, the programme saw nine local experts and ten foreign specialists presenting on topics relevant to human rights like freedom of expression and state sovereignty.
One such local expert was the Attorney General and Minister of Legal Affairs, Mohabir Anil Nandlall, SC.


To accommodate persons in far-flung communities, as well as working participants, the programme was conducted virtually twice a week for two hours per session.
Teixeira announced the Government’s intention to expand the programme to other countries in the Caribbean, noting that similar offerings are lacking in the region.
expand into offering to some of our CARICOM sister countries,” she noted.
“CARICOM countries as far as we know do not offer our programme or any of the Ministries or the Government offer such programmes. We may want to
Additionally, the Ministry intends to expand the programme to more remote communities and neighbouring countries over the next two years.

He has been a pioneering force in Guyanese arts, culture, public relations, and philanthropy. His contributions to the creative and civic life of Guyana, particularly as a distinguished broadcaster, cultural leader, and pioneering entrepreneur is unparalleled. Moreover, his devotion to the upliftment of Guyanese children through the Tina Insanally Foundation exemplifies his commitment to using his talents and influence for the greater good.
In recognition of his exceptional contribution to the field of The Arts, the Theatre Guild of Guyana recently awarded him the 2023 Icon of the Arts Award for Marketing and Promotion of the Creative Spirit. In 1998, he was conferred with the Cacique Crown of Honour for his outstanding services to the country. He will receive an honorary doctorate for Excellence in the fields of Business and Entrepreneurship.
Eze Rockcliffe, Musician and Cultural Icon
Eze Rockcliffe is a cultural icon. He is the lead for the Yoruba Singers band, formerly known as the “Kitty Young Ascrians”. Due to
Rockcliffe’s exceptional talent and leadership, the band has achieved many significant successes for over half a decade. Owing to the fact that the band has never broken up, it is by far the longest continuing ensemble of its kind in the country. It is the first to have played at almost every version of the Caribbean Festival of Creative Arts (Carifesta), and the first musical group

or outfit from Guyana to have had the honour to perform at the world-famous Maddison Square Garden alongside the Mighty Sparrow and the late Lord Kitchener back in 1983. Rockcliffe and the Yoruba Singers have more than 100 recorded songs, the majority of which are originals. Rockcliffe will be awarded an honorary doctorate degree for Excellence in Performing Arts, Music and Culture.
Pauline Thomas, Folklorist and Performance Artist
Pauline Thomas—affectionately known as “Auntie Comesee” is a living legend at one hundred and two years old. Her name resonates deeply within the realms of storytelling, folklore and cultural preservation. Her legacy has not only enriched the artistic community in
Guyana but has also influenced the wider Caribbean diaspora.
Thomas’s captivating performances at the Theatre Guild of Guyana set the standard for stage acting in the country, earning her widespread admiration for her ability to blend humour, pathos, and cultural nuance in her roles. However, it was her work as “Auntie Comesee” on the radio that truly solidified her status as a national icon.
Thomas’s contributions to Guyanese arts have been celebrated through numerous prestigious awards and recognitions, both locally and internationally. Some of her most notable accolades include: The African Canadian Achievement Award in Arts (2000), the Guyana Folk Festival Award

from the Guyana Cultural Association of New York (2007), the Guyanese Artistic Music Awards (GAMA) Storyteller and Actor Award (2008) and the Guyana Awards (Canada) for Media and Culture. At the remarkable age of 79, she earned a Bachelor of Arts Degree in World Religion and Fine Arts Studio from the University of Toronto. Thomas will receive an honorary degree for
Excellence in Performance, Arts and Letters.
These awardees join only 21 other honorary doctorates ever awarded by the University in its 61-year his-
tory. The public is invited to view the conferral of awards at this year’s ceremonies at 9 am and 4pm from November 7 to 9th for Georgetown and November 16th in Berbice.
(Feature written by the Department of Events of Events, Conferences and Communication (DECC), Office of the Vice-Chancellor, University of Guyana)


Wealthy nations appeared to hit a limit with how much they are willing to pay to conserve nature around the world, instead shifting their focus at the two-week United Nations biodiversity summit toward discussions of private money filling the funding gap.
At the COP16 negotiations in Cali, Colombia, countries failed to figure out how they would mobilise US$200 billion annually in conservation funding by 2030, including US$30 billion that would come directly from rich nations.
That money, pledged two years ago as part of the landmark KunmingMontreal Global Biodiversity Framework agreement, is meant to finance activities that boost nature, such as sustainable farming or patrolling wildlife reserves.
But there was no consensus as talks dragged on beyond the summit's scheduled end on Friday, during which dozens of delegations departed. By Saturday morning's roll call, there was no longer

a quorum among the nearly 200 nations for an agreement to pass, forcing organisers to abruptly suspend the meeting.
"I am both saddened and enraged by the non-outcome of COP16," said Shilps Gautam, chief executive of project finance firm Opna.
"The wild thing about the nature financing discussions
is that the numbers discussed are already a pittance."
Human activities such as farming, mining, and urban development are increasingly pushing nature into crisis, with one million or so plant and animal species thought to be at risk of extinction.
Climate change, a result of fossil fuel burning, is also adding to nature's woes
Brazilian President Luiz Inácio Lula da Silva, who sustained a head injury last month, underwent imaging tests on Sunday in Brasilia, with the medical report saying his condition has remained stable.
Lula can perform his usual activities, and his sit-
uation will be reassessed in a week, the report issued by the Sirio-Libanes Hospital in Brasilia showed.
In late October, Lula fell at home and suffered a small brain haemorrhage and trauma to the back of his head that required stitches, his personal doctor Roberto Kalil has said.
The Brazilian leader has been working from the Presidential Palace, but cancelled international travel, including to the upcoming Asia-Pacific Economic Cooperation leaders' forum in Lima and United Nations summit COP29 in Azerbaijan. (Reuters)
More than 66,000 persons have been evacuated in Cuba’s easternmost province Guantanamo, ahead of heavy rains that threaten a region already badly hit by Hurricane Oscar, local television announced on Sunday.
The majority of evacuees are in the municipalities San Antonio del Sur and Imias, where Oscar caused historic flooding and killed eight persons a fortnight ago, according to the TV station.
Cuba’s Meteorological Institute warned on Sunday of “showers, rains and thunderstorms towards the eastern end” of the country. In addition, an area of low pressure south of Jamaica was also being monitored, it added.
“We are constantly monitoring the meteorological situation over Cuba and its

possible evolution,” wrote Cuban President Miguel Diaz-Canel on X. Oscar, a Category 1 hurricane that hit Cuba on October 20, left Guantanamo with saturated soils and draining reservoirs, increasing the risk of flooding in several municipalities in the province.
According to official figures, more than 12,000
homes, as well as roads and almost 20,000 hectares of crops – mainly coffee – were damaged by the storm.
Cuba is going through its worst economic crisis since the 1990s, marked by shortages of medicines and fuel, frequent power cuts and a wave of migration unprecedented since the 1959 Castro revolution. (AFP)
European Governments, including Germany and the Netherlands, have slashed their foreign aid budgets over the last year, while France and the United Kingdom are also cutting back.
Government development money specifically targeted at nature conservation abroad fell to US$3.8 billion in 2022 compared with US$4.6 billion in 2015, according to the Organisation for Economic Co-operation and Development.
At COP16, UN Secretary General Antonio Guterres demanded that countries make significant new contributions to the Global Biodiversity Framework Fund.
by raising temperatures and disrupting weather cycles.
Countries will meet again in Azerbaijan next week for the UN's COP29 climate summit, which again will be focused on the steep need for funding from wealthy nations to their poorer counterparts to help shoulder climate costs.
Little money from rich nations
Even before the talks broke down, developed nations had signalled an unwillingness to offer large amounts of cash.
The response was muted. Nations at COP16 pledged US$163 million in contributions to the fund, bringing total contributions to roughly US$400 million – far from a major contribution to the US$30 billion target from nations by 2030.
The United States, which is not a party to UN Convention on Biological Diversity, has not contributed.
"The public money is already leveraged as much as we can," Florika FinkHooijer, the European Union's Director General of Environment, told reporters at the summit.
"We now have to look at other sources of funding."
Private cash When it came to going after private capital, delegates at the COP16 summit agreed to a plan to charge pharmaceutical and other companies for their use of genetic information in the research and development of new commercial products.
Pharmaceutical companies Pfizer, Merck, AstraZeneca, and Sanofi did not respond to request for comment on the deal.
Experts estimate the plan could generate about US$1 billion annually. That still doesn't cover the billions needed to halt the collapse of ecosystems, like the Amazon rainforest or coral reefs. The world will need to devise ways for enticing private investment in nature-friendly projects, said Marcos Neto, director of global policy at the UN Development Program. Some tools include green bonds or debt-for-nature swaps, whereby countries refinance their debt at lower interest rates in order to spend the savings on conservation. The World Economic Forum estimates that debtfor-nature swaps could generate US$100 billion in nature funding. (Reuters)
Abusiness group has denounced as unfair claims by criminologist Dr Daurius Figueira that an upsurge in extortions in central Trinidad is linked to businesses that are using drug money to fund their operations.
Figueira said it was not by coincidence that kidnappings were occurring in central Trinidad following the collapse of an illicit business operation.
However, the Chaguanas Chamber of Industry and Commerce (CCIC) denied Figueria’s claims in a strongly-worded statement, saying they were unfair to all businessmen.
CCIC President Baldath Maharaj described the criminologist’s comments as unfortunate.
“While I understand the importance of examining all factors contributing to crime, I must emphasise that the vast majority of business people in our community are honest, hardworking individuals striving to grow their businesses, support their

families, and contribute to our economy by creating much-needed jobs,” he said.
“It is both inaccurate and unfair to paint all businessmen as complicit in their victimization. Many local entrepreneurs are operating within a challenging economic landscape, facing real issues such as limited access to affordable financing, high operational costs, and a pervasive threat of crime.”
Head of the T&T Police Service’s Extortion Unit Senior Superintendent Richard Smit said he had no information to suggest that some businessmen who are being extorted are linked to the drug trade. Smith said, he doesn’t know everyone’s business and he can’t say if the information the criminologist has is correct or incorrect, as he would have his sources. (Excerpt from Trinidad Guardian)

Democrat Kamala Harris made her closing pitch for the US presidency at a historically Black church and to Arab Americans in battleground Michigan on Sunday, while her Republican rival Donald Trump embraced violent rhetoric at a rally in Pennsylvania.
Opinion polls show the pair locked in a tight race, with Vice President Harris, 60, bolstered by strong support among female voters while former President Trump, 78, gains ground with Hispanic voters, especially men.
Voters overall view both candidates unfavourably, according to Reuters/Ipsos polling, but that has not dissuaded them from casting ballots.
More than 77 million Americans have already done so ahead of Tuesday's Election Day, according to the University of Florida's Election Lab, approaching half the total 160 million votes cast in 2020, in which US voter turnout was the highest in more than a century.
Control of Congress is also up for grabs on Tuesday, with Republicans favoured to capture a majority in the Senate while Democrats are seen as having an even chance of flip-

ping Republicans' narrow majority in the House of Representatives. Presidents whose parties have not controlled both chambers have struggled to pass major legislation over the past decade.
"In just two days we have the power to decide the fate of our nation for generations to come," Harris told parishioners at Greater Emmanuel Institutional Church of God in Christ in Detroit. "We must act. It's not enough to only pray; not enough to just talk. We must act on the plans He has in store for us, and we must make them real through our works, in our daily choices, in services to our communities, in our democracy."
Later in a rally in East Lansing, Michigan, she addressed the state's 200,000 Arab Americans, starting her speech with a nod to civilian victims of Israel's con-
Unprecedented air pollution in the Pakistani city of Lahore has forced authorities to close all primary schools for a week.
From today, 50 per cent of office workers will also work from home, as part of a "green lockdown" plan. Other measures include bans on engine-powered rickshaws and vendors that barbecue without filters.
"This smog is very harmful for children, masks should be mandatory in schools," Punjab Senior Minister Marriyum Aurangzeb said.
Lahore, Pakistan's second-largest city, topped the world list of cities with the most polluted air for a second time on Sunday.
The air quality index, which measures a range of pollutants, exceeded 1000 on Saturday, well above the benchmark of 300 considered "dangerous" by the World Health Organisation, according to data from IQAir.
The level of fine particulate matter in the air, the most damaging to health, also soared well into hazardous levels.
Raja Jehangir Anwar, a senior environment official, said the "biggest head-
ache" causing the smog was the practice of burning crop waste, known as stubble, across the Indian border.
Aurangzeb said the fumes were “being carried by strong winds into Pakistan”.
"This cannot be solved without talks with India," she said, adding that the provincial government would initiate such discussions through the foreign ministry.
The Government is urging people to stay indoors and avoid unnecessary travel.
Vehicles equipped with pumps are spraying water into the air to help control the smog level. Construction work has been halted in certain areas.
The situation will be assessed again next Saturday to establish whether schools should remain shut.
Inhaling toxic air can have catastrophic health consequences, including strokes, heart disease, lung cancer and some respiratory diseases, according to the WHO.
Last month pupils were banned from outdoor exercise until January and school hours were adjusted to prevent children from travelling when pollution levels are the highest. (Excerpt from BBC News)
flict with Hamas in Gaza and Hezbollah in Lebanon.
"This year has been difficult, given the scale of death and destruction in Gaza and given the civilian casualties and displacement in Lebanon, it is devastating. And as President, I will do everything in my power to end the war in Gaza," Harris said to applause.
She faces scepticism from some who are frustrated that Harris has not done more to help end the war in Gaza
and scale back aid to Israel. Trump visited Dearborn, Michigan, the heart of the Arab American community, on Friday and vowed to end the conflict in the Middle East without saying how.
Samah Noureddine, 44, a Lebanese American from Grosse Ile, a town near Detroit, said she voted for Biden in 2020 but was casting a ballot for Jill Stein of the Green Party this year.
"I'm upset because Harris is funding the genocide and if we get Trump we're going to suffer too," she said. "I'm sick of both of them."
Trump, at his first of three rallies on Sunday, frequently abandoned his teleprompter with off-the-cuff remarks in which he denounced opinion polls showing movement for Harris. He called Democrats a "demonic party", ridiculed Democratic President Joe Biden and complained about the price of apples. (Excerpt from Reuters)

Palestinians
October 26, 2024 (Reuters/Stringer)
Israeli airstrikes killed at least 31 persons in the Gaza Strip on Sunday, Palestinian medics said, with nearly half of the deaths in northern areas where the army has waged a monthlong campaign it says is aimed at preventing Hamas from regrouping.
Palestinians said the new aerial and ground offensives and forced evacuations were "ethnic cleansing" aimed at emptying two northern Gaza towns and a refugee camp of their population in order to create buffer zones. Israel denies this, saying it is fighting Hamas militants who launch attacks from there.
Medics said at least 13 Palestinians were killed in separate attacks on houses in Beit Lahiya town and Jabalia, the largest of the enclave's eight historic camps and the focus of the army's new offensive.
The rest were killed in separate Israeli airstrikes in Gaza City and in southern areas, including one in Khan Younis, which health officials said had killed eight, includ-

Russian forces on Sunday attacked Kharkiv, Ukraine's second largest city, and the surrounding region, injuring at least five persons, Kharkiv Regional Governor Oleh Syniehubov said.
Syniehubov, writing on the Telegram messaging app, said a Russian guided bomb hit a supermarket in Kharkiv's Shevchenkivskyi district, near the city centre. Four persons were injured.
Mayor Ihor Terekhov said the supermarket was located next to residences.
An earlier strike had hit a forested area of the city, he said. Syniehubov, in a separate post on Telegram, also said Russian forces had badly damaged a five-storey apartment building in Kivsharivka, a small town near Kupiansk, east of Kharkiv.
He said one person was injured and some residents could be trapped in the rubble from a destroyed entrance to the building. A woman had already been rescued, but rescue efforts were being hampered by Russian shelling. (Reuters)
ing four children.
Later on Sunday, health officials at the Kamal Adwan Hospital near Beit Lahiya said the facility came under Israeli tank fire and that one child hospitalised at the hospital was critically wounded.
Hussam Abu Safiya, the hospital's director said the incident took place after a delegation from the World Health Organisation visited the facility and evacuated some patients.
He said while evacuating the wounded was important, it was more important to dispatch specialised medical teams to north Gaza hospitals that have become overwhelmed by the number of casualties.
Abu Safiya said the tank fire hit the water supplies, the courtyard, and the neonatal intensive care unit.
COGAT, the Israeli army's Palestinian civilian affairs agency, said the explosion resulted from an explosive device planted by Palestinian militants and not an Israeli attack. (Excerpt from Reuters)
Hundreds of resi-
dents of a Valencia suburb badly hit by last week's deadly floods protested on Sunday during a visit by Spanish King Felipe, Queen Letizia, and Prime Minister Pedro Sanchez, with some throwing mud at them.
Chanting "Murderers, murderers!" they vented pent-up anger over what has been widely perceived by local residents as tardy alerts from the authorities about the dangers of Tuesday's flooding, and then a late response by the emergency services when disaster struck.
"Please, the dead are still in the garages, the families are looking for their relatives and friends. Please come, we only ask for help ... All we wanted was to be warned and we would have been saved," yelled one resident, Nuria Chisber, with tears in her eyes.
"It was known and nobody did anything to avoid it," a young man told the
king, who insisted on staying to talk to people despite the turmoil, while the prime minister had quickly withdrawn.
Spain is a parliamentary monarchy where the King is Head of State.
At one point in the visit to the stricken suburb of Paiporta, Felipe, wearing a simple dark raincoat, distinguishable from distance by his height and grey hair, held to his shoulder a man who was crying.
Online footage showed his wife, Letizia, crying as she hugged some residents. Her hair and face had traces of mud and one of her bodyguards had blood on his face, apparently from a hurled object.
Bodyguards had opened umbrellas to try to protect the royals.
The death toll from the country's worst flash floods in modern history edged higher to 217 on Sundayalmost all in the Valencia region and over 60 of them in Paiporta alone. (Excerpt from Reuters)































Tune in to what’s happening around you. Observation and conversation will turn into an opportunity that can change your life forever. Physical and emotional changes will boost your morale.
Keep tabs on your expenditures. Impress people with your wisdom, ability to transition from one thing to another and hands-on approach to getting things done on time.
Agree only to the changes that benefit you. Open a dialogue that encourages addressing issues that require attention. Clear the air, breathe easy and follow through.
Embrace freedom and use your ingenuity to recognize what works best for you. Be open about what you want and how you plan to make your dreams come true. Don’t worry so much.
Go where the action is and step into the spotlight. An aggressive and colorful display will draw attention and encourage positive contributions from people eager to help you reach your goals. Networking events will open doors.
Keep your thoughts to yourself. Someone will be eager to use what you reveal against you. Dig in and work behind the scenes. Dedication and loyalty will bring the highest returns. Set big goals.
Stop procrastinating and start the ball rolling. If you hesitate, you’ll miss out on an opportunity or lose the chance to decide for yourself. Be proactive; weakness will attract scammers, liars and cheaters.
A positive transformation will attract attention. Revamping your approach to life, updating your style and appearance, and using your insight to achieve financial gains are all doable if you focus on what you want.


Take your time; display your skills, reach out to people who show interest or have something to contribute and explore the possibilities of a partnership. Go through the proper channels.


Size up situations and make changes that follow the path that leads to peace of mind. Distance yourself from anyone who doesn’t give back or tries to take advantage of you. Truth and trust matter.




An open mind will become the portal to something exciting. Get involved in events that encourage you to turn your findings into something unique to you, your situation and your prospects.
Take a step back, adjust your position and rethink your path. Let go of what’s draining you and embrace what offers peace of mind. Choose to put yourself first.






New Zealand withstood the sublime genius of Rishabh Pant to enter uncharted territory: a whitewash of India in India in a series of three Tests or more. Ajaz Patel and Glenn Phillips combined for nine wickets to defend 146 despite Pant's 64 off 57 that took them from 29 for 5 to 106 for 6. Ajaz ended up with an 11-wicket haul, becoming the most successful visiting bowler at a single Indian ground.
Apart from poor batting, of course, India were also left looking at a contentious DRS call from the third umpire Paul Reiffel. Pant had all the momentum with India taking six singles and two boundaries in the first two overs after lunch, but New Zealand managed to get a decision overturned in what appeared a desperate review. Pant had padded up to Ajaz after being beaten in the air, was given not-out on a batpad catch, the third umpire on first viewing seemed to be ruling that the murmur of UltraEdge came from the bat on the pad. Eventually, though, a possible deflection after the sound signature convinced the third umpire to overrule the on-field call.
Take nothing away from Ajaz, though. Born in

Mumbai, representing New Zealand, having taken an all10 on his previous trip, Ajaz was having an ordinary series when he came into the final Test. Even though he found his groove post lunch on day two, taking five wickets in the first innings, even though he had taken three early wickets in the second innings, he was playing a different Test against Pant.
At the moment of the Pant wicket, Ajaz had bowled 167 balls to rest of India for 112 runs and nine wickets, but 41 balls to Pant had gone for 75 runs. Pant was in the
(T: 147 runs)
b Patel 64
Sarfaraz Khan c Ravindra b Patel 1
Ravindra Jadeja c Young b Patel 6 Washington Sundar b Patel 12
Ravichandran Ashwin c †Blundell b Phillips 8 Akash Deep b Phillips 0 Mohammed Siraj not out 0 Extras (b 12) 12
middle of an audacious effort that defied the treacherous conditions, asked for by the team management and duly delivered to them.
The problem with batting on such tracks is the vast margin for errors bowlers have. Even if you bowl a rank long hop, you can protect the boundaries with in-

ward-defence from the batters without letting them reach the pitch of the ball.
Shubman Gill left one alone without covering the line of off, leaving himself open to the vagaries of the pitch. The ball didn't turn, and took the off stump out. Virat Kohli was a sitting duck as he defended

wanted to get ahead of New Zealand while the roller's effect was still fresh after New Zealand refused to get the pitch rolled as their last wicket added three runs to the overnight lead of 143. Two boundaries came, but the third attempt was to a ball not short enough, and Phillips caught the top-edged pull at midwicket.
Phillips, who has far exceeded expectations as the second spinner of the side, continued the good work by not bowling any bad balls, and was duly rewarded by
a set of two bye boundaries. His reverse-sweeping got rid of short fine leg, and benefitted him when he top-edged a sweep precisely there.
After losing Jadeja, he found the boundary two times in the last two overs before lunch to bring up his fifty and leave India hopeful of a miracle. Post lunch, New Zealand sat back. Six singles in the first over. Two fours in the second. Then came the desperate review, which turned it around for New Zealand again. Tom Blundell found some-
45.5 ov) • DRS Bowling O-M-R-W Akash Deep 5-0-10-1 Washington Sundar 10-0-30-1
Ravichandran Ashwin 17-1-63-3
Ravindra Jadeja 13.5-3-55-5
Total 29.1 Ov (RR: 4.14) 121 Fall of wickets: 1-13 (Rohit Sharma, 2.6 ov), 2-16 (Shubman Gill, 3.6 ov), 3-18 (Virat Kohli, 5.3 ov), 4-28 (Yashasvi Jaiswal, 6.5 ov), 5-29 (Sarfaraz Khan, 7.1 ov), 6-71 (Ravindra Jadeja, 15.6 ov), 7-106 (Rishabh Pant, 21.4 ov), 8-121 (Ravichandran Ashwin, 28.4 ov), 9-121 (Akash Deep, 28.5 ov), 10121 (Washington Sundar, 29.1 ov) • DRS
O-M-R-W Matt Henry 3-0-10-1 Ajaz Patel 14.1-1-57-6 Glenn Phillips 12-0-42-3
out fields, because the ball comes off the pitch at varying pace. Pant's genius lay in still managing to manipulate shots enough to beat the deep fielders. A swivel almost onto the stumps to hit squarer. A collapse onto the knee to sweep finer. Almost always sweeping himself off his feet to impart that extra bit of power. All this while maintaining an 84 per cent control rate at lunch.
When Pant was not on strike, though, Ajaz was unplayable. Ever since lunch on day two, he bowled perfect lengths and carried it into the second innings. He bowled on a good length, drawing for-
and edged into the big mitts of Dary Mitchell at slip. Ravindra Jadeja, who earlier completed his third career 10-wicket match haul and added 42 with Pant, finally got one that turned too much and was caught at bat-pad. Only Sarfaraz Khan's wicket was a gift because of the gremlins in the minds. His two-ball innings consisted of two premeditated sweeps to what were otherwise boundary balls. One a single, and the other a full toss helped straight into deep midwicket's welcoming hands.
The openers fell to Matt Henry and Phillips. Rohit Sharma seemed like he

trapping Yashasvi Jaiswal lbw on the forward-defence.
Pant, though, was playing a different game. His first thought was a boundary, then running, and then defence. He opened his account with a flat six back over Ajaz's head. That forced Ajaz to bowl quicker and shorter to him, getting India
thing to celebrate with a superb catch off the R Ashwin glove on the reverse-sweep. Phillips found a moment to celebrate all the hard work when he bowled Akash Deep through the gate. Fittingly, Ajaz ended it all as Washington Sundar tried to slog him with not many options left. (ESPNcricinfo)

Gold is Money, North Ruimveldt, Stabroek Ballers, and North East secured their spots in the semifinals of the first Bent Street Champion of Champions Tournament, which was a hotbed of up-
sets as the quarterfinals concluded on Saturday at the National Gymnasium. With a 4-1 victory over

Barcelona continued their excellent early-season form under Hansi Flick as the La Liga leaders swept aside city rivals Espanyol to move nine points clear of Real Madrid. Fresh from thrashing Real in their El Clasico encounter last week, Barca's attacking play was again sensational at times, with teenage winger Lamine Yamal once more looking a class above his contemporaries. He bent in a wonderful cross with the outside of his foot which Dani Olmo turned in off the crossbar for the 12th-minute opener.
Another talented youngster, Marc Casado, then played an equally good ball in behind the Espanyol Defence 11 minutes later, where Captain Raphinha
timed his run perfectly to clip the ball home.
Defensively, Barca's incredibly high line once again made life interesting, with Espanyol having two goals ruled out for narrow offside calls.
Full-back Omar el Hilali squared for Jofre Carreras to sweep in, but the strike was ruled out by the Video Assistant Referee (VAR). Moments later, Olmo got his second with a thumping shot from the edge of the area to put Barca 3-0 up.
Early in the second half, Alvaro Tejero's effort for the visitors was also ruled out after another close offside call.
Captain Javi Puado, though, swept in at the far post 18 minutes after the break to reduce the deficit.
Espanyol improved as Barcelona shut down, but
the fourth-bottom side were second best throughout as their dismal derby record continued.
They have now gone 27 straight derbies without a win over Barcelona and have lost six of their last seven games in La Liga.
Flick's side have won 11 of their 12 league games under the German and, since their sole loss at Osasuna at the end of September, have won six in a row in all competitions, scoring 24 goals in the process.
They visit Red Star Belgrade in the Champions League on Wednesday and will look to maintain this wonderful run of form.
Earlier on Sunday, third-placed Atletico Madrid beat Las Palmas 2-0 to move to within a point of Real in the table.
(BBC Sport)
Team Cruel, North East became the first team to advance to the semi-finals. Kelvin Moore gave his side the lead by hitting the ball in the net in the third minute and Carl Griffith in the seventh. After Diquan of Team Cruel pulled one back for his side in the 17th minute, Griffith calmed Team Cruel with his double in the 26th, and an unlucky own goal from Markel in the 29th sealed North East’s victory.
Gold achieved a 4-3 victory over Mocha is Money, led by Shamar Koulen. Koulen's accuracy with the
ball at his feet allowed him to score the first goal of the evening in the second minute, followed by teammate Andrew Murray in the 6th. A short while later, Koulen added his second goal in the 15th and finished with a hat-trick in the 17th. The consolation goal for Mocha in the 19th was scored by Devon Padmore.
Strikes from Mark Jahlu in the 21st, Lionel Holder in the 13th, and Jamal Cozier in the 29th would be enough for Stabroek Ballers to advance with a dominating 3-0 win over California Square. North Ruimveldt proved
a point, defeating a dominant Back Circle 4-1. Stephon Walton gave his team a significant lead in the third minute, and Tyree Louis and Leandra Arthur scored goals in the 20th and 22nd of the second half, respectively, for North Ruimveldt. Back Circle’s Cecil Jackman's goal in the 25th gave his team some hope, but Louis's double in the 30th sealed the victory. The semi-finals of the inaugural Bent Street Champion of Champions Tournament will run down at the same venue on Saturday, November 9.

Iga Swiatek began her bid to regain the world number one ranking with a comeback win over Barbora Krejcikova in the WTA Finals group stages.
Poland's Swiatek trailed the Wimbledon champion by a set and double break before regrouping to win 4-6 7-5 6-2.
This was the 23-year-
old's first match since her quarter-final US Open exit in September and first under new coach Wim Fissette.
"At the beginning, I felt a bit rusty, but I'm happy that I found a way to play a bit more solid," said Swiatek.
She and Aryna Sabalenka are in conten-
tion to finish the year as the top-ranked player.
Defending champion Swiatek will need to win the title to replace Sabalenka, while the Belarusian needs to win all three round-robin matches or reach the final.
Sabalenka began her campaign with victory over Zheng Qinwen on Saturday. Coco Gauff beat fellow American and doubles partner Jessica Pegula 6-3 6-2 in the second Orange Group match on Sunday.
The top two players from each group advance to the semi-finals, with Sabalenka, Zheng, Elena Rybakina and Jasmine Paolini in the Purple Group.
The tournament is being held in Saudi Arabia for the first time – a move which has been criticised by some because of the country's human rights record. (BBC Sport)
Also addressing attendees at the reception, Culture, Youth, and Sport Minister Charles Ramson Jr reiterated the Government’s commitment to enhancing the Golf Club’s facilities and its role in the community. Ramson Jr outlined plans to provide the club with upgraded equipment to improve the course, and mentioned initiatives aimed at integrating the club with the surrounding communities, including a vision to transform LGC into a country club that could offer additional amenities such as restaurants and other sports facilities.
“With the new communities developing in Lusignan, I will do my utmost to merge them with the Lusignan Golf Club, so the club may experience a transformation into a more inclusive and vibrant hub,” Ramson Jr stated, en-
couraging the LGC to begin preparing for the expected growth in membership.
The opening day of the Brava Guyana Open featured spirited performances from enthusiastic golfers who eagerly took to the course in the spirit of friendly competition. Feedback from both members and visitors has been overwhelmingly positive, with many praising the club’s welcoming environment and the high standard of the event’s organisation.
The Brava Guyana Open will continue throughout the weekend, offering participants a thrilling test of skill and sportsmanship. This record-breaking event is not only a celebration of golf but also a reflection of LGC’s dedication to fostering a community that values inclusivity, respect, and the shared enjoyment of the sport.

Caption: Evin Lewis and Rashid Khan were teammates at St Kitts & Nevis Patriots last season

Spectators at the Ministry of Education (MoE) Ground on Saturday evening were enraptured by an exhilarating final of the Courts Optical Pee-Wee Under-11 Schools’s football tournament, which resulted in Santa Rosa Primary lifting their first championship trophy in what was their first time competing in the tournament.
The contest between Marian Academy and Santa Rosa was filled with thrills from minute one as both sides endured the heartache of near misses.
While Marian Academy’s Cristiano LaRose and Joshua Johnson were unable to connect at the top as they did in games prior, Santa Rosa’s Ethan John and Taz LaRose saw their advances stopped short by Marian’s defence.
After a deadlocked score for the entirety of regulation time and the first half of extra time, Santa Rosa’s Michael Harris capitalised on a lapse in Marian’s de-

fence to net the game winner.
The play started from a throw-in near the box, which sailed over the heads of Marian’s defenders. A good take, control and composure was all Harris needed to find the back of the net in the 62nd minute, as Marian’s
keeper reacted too late to the strike.
Earlier, 2023 champions
St Pius Primary surpassed St John the Baptist Primary 3-2, to clinch the third-place trophy.
St Pius netted all their goals in the first half in quick succession, with Emanuel

North Ruimveldt Ravens and Bounty Colts with their ability to conquer defences secured contrasting wins on the opening day of the Guyana Basketball Federation Elite 16 Knockout Basketball Tournament on Saturday at the National Gymnasium.
In the opening match-up, Bounty Colts annihilated New Amsterdam Warriors, despite the Warriors leading the first quarter with their ability to counter-attack as the scoreline read 19-17.
Bounty Colts showed their experience as they managed to overturn the lead as they swished the ball for 13 points to accumulate 30 points in the second quar-
ter while the Warriors did not make it to double figures scoring 9 for a total of 28.
The Colts would then go on to extend the points margin as they put the ball through the net for 35 points and their opposition was restricted to 17 with the scoreline reading 65-45, leaving the Colts with a major advantage going into the last quarter.
Not much was needed from the offensive end of Bounty Colts as they secured a 32-point victory, 8856, marking the end of the Warriors' journey in this year's tournament.
North Ruimveldt Ravens ended Meadowbrook Nets' quest for supremacy with a
26-point victory; dominating from the jump-ball, they led the first quarter 16-9 – setting the tone for the remainder of the game.
Ravens showcased their prowess with their defensive unit as they restricted the Nets to 8 points for a total of 17 points while the offensive unit scored 20 points, elevating their total to 36.
Scoring 17 points in the third quarter was the Ravens as their score accumulated to 53 points while the Nets scored 16 points for a total of 33 points at the end of the third quarter.
The Ravens secured the win in the fourth quarter as the scoreline read 67-41.

end of the first half.
However, the Region 7
St John the Baptist outfit fought back, with Kriston Chandler connecting a penalty opportunity in the 26th

minute and then,
was not enough to challenge their opponents.
Santa Rosa’s goalkeeper, Brandon James, who only conceded one goal in the entire tournament was adjudged both Most Valuable Player of the tournament and Best Goalkeeper. The highway goal scorer prize was shared by three players: Enterprise Primary’s Dontay Kowlessar, St John the Baptist Primary’s Kareem Welcome and St Pius’s Jovaine Wright, who all netted 10 goals in this year’s tournament.
In addition, Santa Rosa’s coach Earl Richards was adjudged the tournament’s best coach.
The Courts Optical Pee-Wee tournament was also supported by Stenna Drilling, Sterling Products under its Igloo brand, and MVP sports.
The Lusignan Golf Club (LGC) proudly inaugurated the Brava Guyana Open on November 2, 2024, drawing an unprecedented 104 golfers from the United States, Canada, Barbados, Trinidad, Fiji, Mexico, and Suriname among others. This event has set a new milestone for the club, reflecting LGC’s growing international reputation and commitment to promoting inclusivity, progress, and empowerment within the sport.
In her opening remarks at the preceding evening’s cocktail reception, LGC President Anasha Ally expressed her pride in the club’s achievement and acknowledged the collective dedication that made the event possible.
“This tournament has attracted a record total of 97 participants, and I’d like to express my deepest gratitude to the exceptional team that worked tirelessly to make this event a reality. This achievement is a testament to our club’s commitment to inclusivity, progress, and the empow-

erment of women in the sport of golf,” Ally noted.
She further emphasised LGC’s core values of sportsmanship, integrity, and respect, urging all members and participants to uphold these principles throughout the event.
The Brava Guyana Open marks the third year of partnership between LGC and Brava, a collaboration that has strengthened the club’s
mission and enhanced its stature within the regional golfing community.
Candacy Toney, Brava’s Public Sector Lead, reaffirmed the company’s support for the tournament and encouraged players to embrace the spirit of competition and camaraderie, saying, “To the players, I encourage you to have fun, and may the best man and woman emerge victorious.”




