








Manhattan 66502


Manhattan-Ogden USD 383
Lee Elementary School
Dwight D. Eisenhower Middle Manhattan High School


HOA(Y/N) No
HOADues
INTERIORAMENITIES Appliance Garage,Attic Fan, Eat-in Kitchen, Eating Bar, Prim Bdrm-Walk-in Closet, Vaulted Ceiling, Wood Floors, Ceiling Fan, Formal Dining, Storm Shelter
FIREPLACE Two, Gas, Wood
EXTERIORAMENITIES In Ground Sprinkler Sys, Patio, Sprinkler System, Storage Shed, Wooded Lot OUTBUILDINGS One FENCING None
NEIGHBORHOODAMENITIES Wooded Lot 14'10" x 30'6" 14'4" x 9'2" 14'1" x 10'10" 13'5" x 20' 14'2" x 21'6" 12'7" x 13'5" 14'2" x 9'1"
Remodeled Family and rec room
Bookshelf & Wood FP Original hardwoods
This charming, updated mid-century modern home sits on more than an acre, offering privacy & convenience in one of Manhattan’s most desirable locations. You’ll love the character of interior limestone walls, the original front door & rich hardwood floors that highlight the home’s timeless design.The open living room, added in 2000, features a gas fireplace & large picture windows overlooking the expansive lawn.Athoughtfully remodeled kitchen connects the mudroom & laundry The owner’s suite includes French doors, built-in bookshelves & a cozy wood-burning fireplace. The lower level provides a versatile family or rec room with space for guests or storage. The sprinkled yard includes a garden shed & offers a peaceful setting that’s a wildlife watcher’s dream. Located just a short walk to K-State, you can even hear the band practicing from the Old Stadium. Recent updates include a new roof, gutter guards, garage doors, exterior paint, window replacements & hot water heater
PERSONALPROP. INCLUDED Dishwasher, Garbage Disposal, Oven/Range, Refrigerator Pers.Prop.Included Detail Refrigerator, dishwasher, stove/oven, microwave, window coverings. Water softener is leased and can convey if buyer wants to continue service
EXTERIOR Hardboard, StoneAccent
CONSTRUCTION TYPE Site Built
BASEMENT/FINISH Partial-Partial Finished
BASEMENT LIGHT EXPOSURE Window Wells
ROOF Asphalt Composition, New, Less than 5 years
WATER TYPE/SEWER TYPE City Water, City Sewer
FUEL Natural Gas
HEATING TYPE ForcedAir
COOLING TYPE Ceiling Fan(s), Central
GARAGE TYPE Double
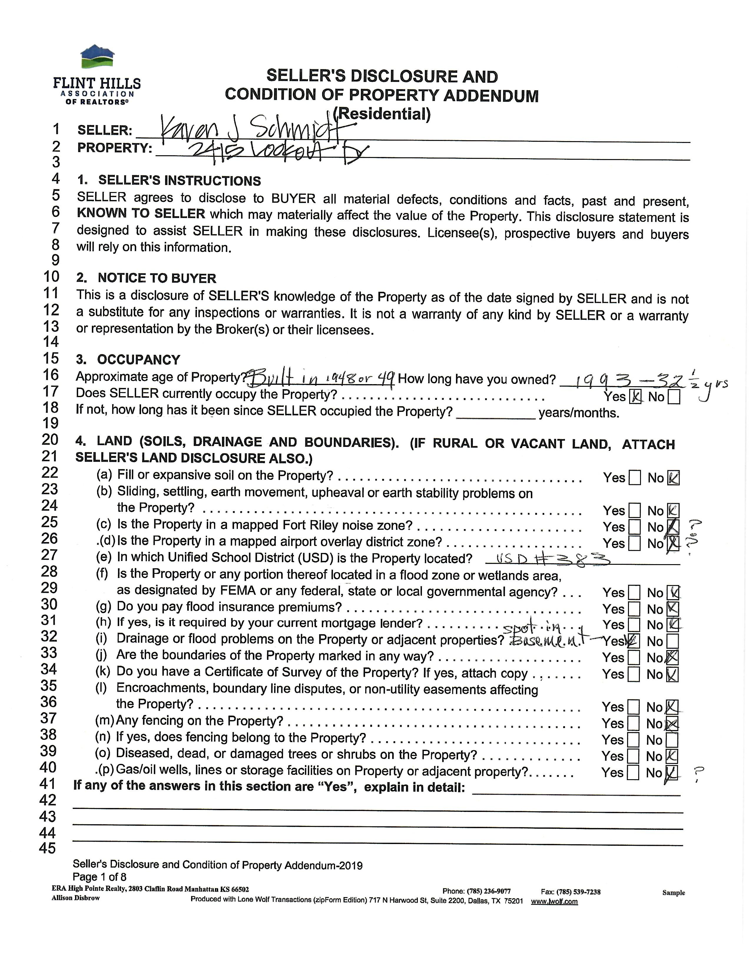
SELLER agrees to disclose to BUYER all material defects, conditions and facts,past and present, KNOWN TO SELLER which may materially affect the value of the Property. This disclosure statement is designed to assist SELLER in making these disclosures. Licensee(s), prospective buyers and buyers will rely on this information.
This is a disclosure of SELLER'S knowledge of the Property as of the date signed by SELLER and is not
a substitute for any inspections or warranties. It is not a warranty of any kind by SELLER or a warranty
or representation by the Broker(s) or their licensees.

Approximate age of
Does SELLER currentlyoccupy the Property?
in 1948 or 49 How long haveyou owned?
If not, how long has it been since SELLER occupied the Property?
_years/months.
(b) Sliding, settling, earth movement, upheaval or earth stability problems on the Property?
(c) Is the Property in a mapped Fort Riley noise zone?
Is the Property in a mapped airport overlay district zone?
(e) In which Unified School District (USD) is the Property located?
(f) Is the Property or any portion thereof located in a flood zone or wetlands area,
as designated by FEMA or any federal, state or local governmental agency? (g) Do you pay flood insurance premiums?
(h) If yes, is it required by your current mortgage lender? Spot in..1 (i) Drainage or flood problems on the Property or adjacent properties? Baseme.n.t (j) Are the boundaries of the Property marked in any way?
(k) Do you have a Certificate of Survey of the Property? If yes, attach copy
(I) Encroachments, boundary line disputes, or non-utility easements affecting the Property?
(m)Any fencing on the Property?
(n) If yes, does fencing belong to the Property?
(o) Diseased, dead, or damaged trees or shrubs on the Property?
.(p)Gas/oil wells, lines or storage facilities on Property or adjacent property?
If any of the answers in this section are "Yes", explain in detail:
No?
No
No
No
No
No
(b) Any problems with the roof, flashing or rain gutters?
If so, what was the date of the occurrence?
(c) Any repairs to the roof,flashing or rain gutters? Date of and company performing such repairs
(d) Any roof replacement?
Ifyes, was it: Complete or Partial
(e) What is the number of layers currently in place:
layers, or Unknown.
If any of the answers in this section are "Yes", explain in 'detail below: (All available warranties and other documentation are attached)

(a) Any termites, wood destroying insects, or other pests on the Property?
(b) Any damage to the property by termites, wood destroying insects or other pests?
(c) Any termite, wood destroying insects or other pest control treatments on the
in the last five years?
an wtern
No
(d) Any warranty, bait stations or other treatment coverage by a licensed pest If yes, the annual cost of service renewal is $ The treatment system stays with the Property, or the treatment system is subject to removal by the treatment company if annual service fee is not paid.
No and the time remaining on the (Check One)
(a) Movement, shifting, deterioration, orother problems with walls, foundations, crawl space or slab?....f
(b) Any cracks or flaws in thewalls ceilings, foundations, concrete slab, crawl space, basement floor or garage?
(c)Any corrective action taken including, but not limited to piering orbracing?.
(d) Any water leakage or dampness in the house, crawl space or basement?...
(e) Any dry rot, wood rot or similar conditions on the wood ofthe Property?
(f) Any problems with driveways, patios, decks, fences or retaining walls on the Property?
(g) Any problems with fireplace and/or chimney? Yes No
Date of last cleaning?
(h) Does the Property have a sump pump? YesNo
(i) Any repairs or other attempts to control the cause or effect of any problem
described above? Yes No
If any of the answers in this section are "Yes", explain in detail. When describing repairs or control efforts, describe the location, extent, date, and name of the person who did the repair or control effort and attich evallabls,any pspction reports,etimatesorrecpts:Kenovetod bosement in 2008 - put in drainape vader flaor to lesd rainwater into somp pump
ADDITIONS AND/OR REMODELING:
(a) Are you aware of any additions, structural changes, or other material alterations to the Property?.... Yes No If "Yes", explain:
years
) (b) If "Yes",were all necessary permits and approvals obtained, and was all work in compliance with building codes? If "No", explain:
PLUMBING RELATED ITEMS:
(a) What is the drinking water source? Public Private Well Cistern If wellwater, state ty

to
(b) If the drinking water source is a well, when was the water last tested and what was the result of the test? depth
(c) Is there a water softener on the Property? Yes No
(If so, is it: Leased Owned?)
(d) Is there a water purifier system?
(If so, is it: Leased Owned?) ,replaced seve rel trs. ag
No
(e) What type of sewage system serves the Property? Public Sewer, or Private Sewer, or
Septic System, or Cesspool, or Lagoon, or Other
(f) If there is a septic system, is there a sewage pump on the septic system?... Yes No
(g) Is there a grinder pump system?
No
(h) If there is a privately owned system, when was the septic tank, cesspool, or sewage system
last serviced? By whom?
(i) Is there a sprinkler system? Does sprinkler system cover fullyard?
If "No", explain:
Is there a back flow prevention device on the lawn sprinkling system, sewer or pool?
Are city/county compliance inspections required?
If yes,date of last inspection
NO
No
No
No
(k) Are you aware of any leaks,backups, or other problemsrelating to any of the plumbing, water, and sewage related systems?
(I) Type of plumbing material currently used in the Property:
(m) The location of the sewer line clean out trap is:

No
The location of the main watershut-off is If your answer to any of the questions in this section is "Yes", explain in detail and provide available documentation:
10. HEATING AND AIR CONDITIONING:
(a) Does the Property have air conditioning?
(b) Does the Property have heating systems?
(c) Are there rooms without heat or air conditioning? If yes, which room(s)?
(d) Does the Property have a water heater? Electric Gas
(e) Are you aware of any problems regarding these items?. If your answer to question 10(c) and/or 10(e) in this section is "Yes", explain in detail:
(a) Type of materialused: Copper Aluminum Unknown
(b) Type of electrical panel(s): Breaker Fuse te dfeatrtntpaatlni
room inement Size of electrical panel (total amps), if known:
(c) Are you aware of any problem with the electrical system? If "Yes", explain in detail:
No




Disclosure of Information on Lead-Based Paint and/or Lead-Based Paint Hazards
LeadWarning Statement
Every purchaser ofany interest in residential real property onwhich a residential dwelling was built prior to 1978 is notified that such property maypresent exposure to lead from lead-based paint that mayplace young children at risk ofdeveloping lead poisoning. Lead poisoning in young children may producepermanent neurological damage, including learningdisabilities, reduced intelligence quotient, behavioralproblems, and impaired memory. Lead poisoning also poses a particular risk to pregnant women. The seller of any interest in residential real property is required to provide the buyer with any information on lead-based paint hazards from risk assessments or inspections in the seller's possession and notify the buyer ofany known lead-based paint hazards. Arisk assessment or inspectionfor possible lead-based paint hazards is recommended prior to purchase.
Seller's Disclosure
(a) Presence of lead-based paint and/or lead-based paint hazards (initial (i) or (ii) below):
(i) Known lead-based paint and/or lead-based paint hazards are present in the housing. Describe what is known:
() Ks

Sellerhas noknowledge of lead-based paint and/or lead-based paint hazards in the housing.
(b) Records and reports available to the seller (initial (i) or (ii) below):
(i) Seller has provided the purchaserwith all available records and reports pertaining to lead-based paint and/or lead-based paint hazards in the housing. List documents below:
() KS
Seller has no reports or ecreds pertaining to lead-based paint and/or lead-based paint hazards in the housing.
Purchaser's Acknowledgment
(c) Purchaser has (initial (i) or (ii) below):
(d) (i) received copies ofall records and reports pertaining to lead-based paint and/ or lead-based paint hazards in the housing listed above.
(ii) not received any records and reports regarding lead-based paint and/ or lead-based paint hazards in the housing.
_ Purchaser has received the pamphlet Protect Your Family from Lead in Your Home (initial).
(e) Purchaser has (initial (i) or (ii) below):
(1) received a 10-day opportunity (or mutually agreed upon period) to conduct a risk assessment or inspection for the presence of lead-based paint and/or lead- based paint hazards; or




7/15/2025