7350 N Via Paseo Del Sur #P108, Scottsdale, AZ 85258

Page 1

LIMITATION OF LIABILITY FOR INFORMATIONAL REPORTS

IMPORTANT -- PLEASE READ CAREFULLY:

This report is not an insured product or service or a representation of the condition of title to real property. It is not an abst ract, legal opinion, opinion of title, title insurance commitment or preliminary report, or any form of Title Insurance or Guaranty. This report is issued exclusively for the benefit of the Applicant therefor and may not be used or relied upon by any other person. This report may not be reproduced in any manner without First American or Title Security's prior written consent. First American or Title Security does not represent or warrant that the information herein is complete or free from error, and the information herein is provided without any warranties of any kind, as-is, and with all faults. As a material part of the consideration given in exchange for the issuance of this report, recipient agrees that First American or Title Security's sole liability for any loss or damage caused by an error or omission due to inaccurate information or negligence in preparing this report shall be limited to the fee charged for the report. Recipient accepts this report with this limitation and agrees that First American or Title Security would not have issued this report but for the limitation of liability described above. First American or Title Security makes no representation or warranty as to the legality or propriety of recipient's use of the information herein.

Subject Property 7350 N Via Paseo Del Sur # P108 Scottsdale AZ 85258 APN: 177-03-578 Data Provided By: First American Title Ins Co © 2022 CoreLogic. All rights reserved

Disclaimer

This REiSource report is provided "as is" without warranty of any kind, either express or implied, including without limitations any warrantees of merchantability or fitness for a particular purpose. There is no representation of warranty that this information is complete or free from error, and the provider does not assume, and expressly disclaims, any liability to any person or entity for loss or damage caused by errors or omissions in this REiSource report without a title insurance policy.

The information contained in the REiSource report is delivered from your Title Company, who reminds you that you have the right as a consumer to compare fees and serviced levels for Title, Escrow, and all other services associated with property ownership, and to select providers accordingly. Your home is the largest investment you will make in your lifetime and you should demand the very best.

Data Provided By: First American Title Ins Co
© 2022 CoreLogic. All rights reserved

Subject Property :   7350 N Via Paseo Del Sur # P108 Scottsdale AZ 85258

Owner Information

Owner Name : Pettit Pamela A

Mailing Address : 6633 E Greenway Pkwy #1007, Scottsdale AZ 85254-2028 C080

Owner Occupied Indicator : A

Location Information

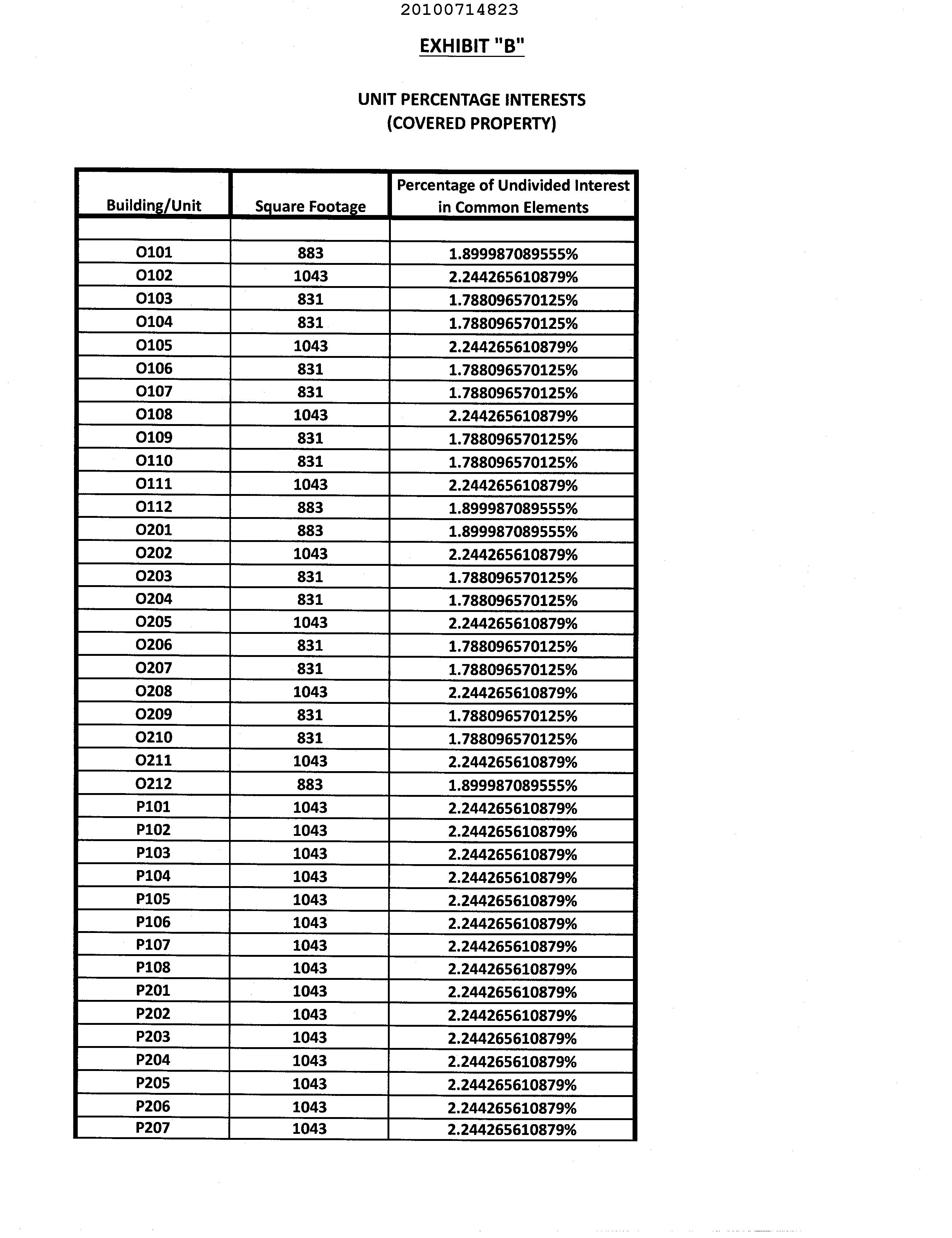
Legal Description : Lot 108 P Mccormick Place South Condominium Mcr 783-32 Unit 108 Bldg P Please Note : For Legal Description References Regarding The Percentage Of Ownership Of The Common Area(s) Please Refer To The Recorded Cov Enants, Conditions And Restrictions (cc R),associated With This Plat.

County : Maricopa, Az

Subdivision : Mccormick Place South Condo

Census Tract / Block : 2168.06 / 1 Map Reference : 78332

Township-Range- Sect : 02N-04E-01

Legal Lot : 108

School District : Scottsdale 48

Munic/Township : Scottsdale

Legal Block : P Neighbor Code : 05-007 APN : 177-03-578

Last Market Sale Information

Recording/Sale Date : 03/07/2022 / 02/08/2022

Sale Price : $380,000

Document # : 204558

1st Mtg Amount/Type : $342,000 / Cnv

1st Mtg Document # : 204559

1st Mtg Term : 30

Deed Type : Warranty Deed Price Per SqFt : $363.98

Title Company : First American Title

Lender : United Wholesale Mtg

Seller Name : Kobashi Kimi

Prior Sale Information

Prior Rec/Sale Date : 06/09/2021 / 06/03/2021

Prior Sale Price : $200,000

Prior Doc Number : 635250

Prior Deed Type : Warranty Deed

Customer Name : Jeremiah Stiffler

Customer Company Name : First American Prepared On : 12/06/2022

© 2022
All rights reserved
CoreLogic.

Property Characteristics

Gross Area : 1,044 Garage Capacity : 1 Patio Type : Covered Patio

Living Area : 1,044 Roof Material : Built-up Air Cond : Refrigeration

Total Rooms : 5

Heat Type : Forced Air Quality : Average Year Built / Eff : 1975 Cooling Type : Forced Air Condition : Average

# of Stories : 1 Exterior wall : Frame Wood Bath Fixtures : 6

Parking Type : Garage

Property Information

Land Use : Condominium Lot Size : 1,041 Sewer Type : Public Service

Zoning : RESIDENTIAL WITH 5 000SF MINMU Water Type : Type Unknown State Use : Condominiumstownhouse ( 3 )

Lot Acres : 0.02

Tax Information

Total Value : $190,600 Improve % : 80%

Current Assessed Year : 2023

Land Value : $38,100 Tax Year : 2022 Current Year Total Value : $23,720

Improvement Value : $152,500 Property Tax : $755.40

Total Taxable Value : $12,179

Tax Rate Area : 481400

Utility Tax : $13,416

Current Year Improvement Value :

$18,980

Assessed Year : 2022 Market Value : $190,600 Current Year Land Value : $4,740

Customer Name : Jeremiah Stiffler

Customer Company Name : First American Prepared On : 12/06/2022

© 2022 CoreLogic. All rights reserved
Sales Analysis Criteria Subject Property Low High Average Sale Price
Bldg/Living
Price
Lot
Bedrooms Bathrooms
Stories
Total
Value
Distance From Subject
Summary of Comparables # Address Sale Price Total Assessed Value Sale Date Bed Bath Living Area Lot Size Year Built Dist (Miles) Zoning S
1
2
3
4
5
Customer
© 2022 CoreLogic. All rights reserved
$380,000 $309,000 $430,000 $373,805
Area 1044 1000 1147 1079
Per Square Foot $363.98 $296 $389 $346.55 Year Built 1975 1966 2013 1985
Size 1,041 104 1,368 1,025
2 2 3 2
1 1 1 1
Assessed
$190,600 $154,000 $258,600 $190,958
0 0.05 1 0.73
7350 N Via Paseo Del Sur # P108 380,000 190,600 03/07/2022 2 1,044 1,041 1975 RESIDENTIAL WITH 5,000SF MINMU
7350 N Via Paseo Del Sur # M102 406,000 190,600 05/16/2022 2 1,044 1,024 1975 0.05 RESIDENTIAL WITH 5,000SF MINMU
7350 N Via Paseo Del Sur # M104 375,000 190,600 04/18/2022 2 1,044 1,027 1975 0.06 RESIDENTIAL WITH 5,000SF MINMU
7350 N Via Paseo Del Sur # M206 309,000 190,600 09/30/2022 2 1,044 1,026 1975 0.06 RESIDENTIAL WITH 5,000SF MINMU
7350 N Pima Rd # 134 377,300 154,000 08/04/2022 3 1,064 1,368 1966 0.56 RESIDENTIAL WITH 5,000SF MINMU
7350 N Pima Rd # 130 330,000 154,000 04/29/2022 3 1,064 1,368 1966 0.57 RESIDENTIAL WITH 5,000SF MINMU
Name : Jeremiah Stiffler Customer Company Name : First American Prepared On : 12/06/2022

6

7350 N Pima Rd # 128 343,000 154,000 10/19/2022 3 1,064 1,368 1966 0.58 RESIDENTIAL WITH 5,000SF MINMU 7 7350 N Pima Rd # 156 330,000 154,000 01/06/2022 3 1,064 1,368 1966 0.59 RESIDENTIAL WITH 5,000SF MINMU 8 6480 N 82nd St # 1107 350,000 173,800 04/19/2022 2 1,110 1,092 1984 0.92 RESIDENTIAL WITH 5,000SF MINMU 9 7601 E Indian Bend Rd # 1041 400,000 258,600 02/14/2022 2 1,093 1,095 2013 0.92 RESIDENTIAL WITH 5,000SF MINMU 10 6480 N 82nd St # 2204 349,000 173,800 03/18/2022 2 1,110 1,097 1984 0.93 RESIDENTIAL WITH 5,000SF MINMU 11 7601 E Indian Bend Rd # 3040 415,000 234,800 03/15/2022 2 1,093 1,123 2008 0.93 RESIDENTIAL WITH 5,000SF MINMU 12 8649 E Royal Palm Rd # 206 375,000 183,100 01/21/2022 2 1,147 1,039 1980 0.94 RESIDENTIAL WITH 5,000SF MINMU 13 7601 E Indian Bend Rd # 1032 425,000 234,800 05/13/2022 2 1,093 1,123 2008 0.94 RESIDENTIAL WITH 5,000SF MINMU 14 7609 E Indian Bend Rd # 1016 420,000 240,600 09/09/2022 3 1,093 104 2004 0.95 RESIDENTIAL WITH 5,000SF MINMU 15 6480 N 82nd St # 1133 340,000 173,800 04/19/2022 2 1,110 1,078 1984 0.96 RESIDENTIAL WITH 5,000SF MINMU 16 6480 N 82nd St # 1128 430,000 173,800 03/11/2022 2 1,110 1,080 1984 0.98 RESIDENTIAL WITH 5,000SF MINMU 17

7575 E Indian Bend Rd # 2133 390,000 212,200 02/02/2022 2 1,075 1,009 1994 0.99 RESIDENTIAL WITH 5,000SF MINMU

Customer Name : Jeremiah Stiffler Customer Company Name : First American Prepared On : 12/06/2022

© 2022 CoreLogic. All rights reserved
18 8649 E Royal Palm Rd # 201 343,000 169,100 10/07/2022 3 1,000 105 1980 0.99 RESIDENTIAL WITH 5,000SF MINMU 19 7575 E Indian Bend Rd # 1131 395,000 212,000 09/29/2022 2 1,073 989 1994 1 RESIDENTIAL WITH 5,000SF MINMU Distressed Sales = Map Customer Name : Jeremiah Stiffler Customer Company Name : First American Prepared On : 12/06/2022 © 2022 CoreLogic. All rights reserved

Details of Comparables

Subject Property: 7350 N Via Paseo Del Sur # P108 Scottsdale Az 85258

Owner Name: Pettit Pamela A / APN / Alternate APN: 177-03-578 / Deed Type: Warranty Deed Land Use: Condominium Subdivision / Tract: Mccormick Place South Condo / Lot Size: 1,041 Year Built / Eff: 1975 / Rec. Date / Price: 03/07/2022 / $380,000 Living Area: 1,044

# of units: Document #: 204558 Bedrooms: Pool: Total Tax Value: $190,600 Bath(F/H): /

#1   7350 N Via Paseo Del Sur # M102 Scottsdale Az 85258

Owner Name: 518893 B C L T D / APN / Alternate APN: 177-03-602 / Deed Type: Warranty Deed Land Use: Condominium Subdivision / Tract: Mccormick Place South Condo / Lot Size: 1,024 Year Built / Eff: 1975 / Rec. Date / Price: 05/16/2022 / $406,000 Living Area: 1,044

# of units: Document #: 422567 Bedrooms: Pool: Total Tax Value: $190,600 Bath(F/H): /

#2   7350 N Via Paseo Del Sur # M104 Scottsdale Az 85258

Owner Name: Kass Brian T /Kass Dona M APN / Alternate APN: 177-03-596 / Deed Type: Warranty Deed Land Use: Condominium Subdivision / Tract: Mccormick Place South Condo / Lot Size: 1,027 Year Built / Eff: 1975 /

Rec. Date / Price: 04/18/2022 / $375,000 Living Area: 1,044

# of units: Document #: 339936 Bedrooms: Pool: Total Tax Value: $190,600 Bath(F/H): /

#3   7350 N Via Paseo Del Sur # M206 Scottsdale Az 85258

Owner Name: Gentry Larry L / APN / Alternate APN: 177-03-660 / Deed Type: Warranty Deed Land Use: Condominium Subdivision / Tract: Mccormick Place South Condo / Lot Size: 1,026 Year Built / Eff: 1975 /

Rec. Date / Price: 09/30/2022 / $309,000 Living Area: 1,044

# of units: Document #: 746733 Bedrooms: Pool: Total Tax Value: $190,600 Bath(F/H): /

#4   7350 N Pima Rd # 134 Scottsdale Az 85258

Owner Name: Ppa 2 Llc / APN / Alternate APN: 174-08-408 / Deed Type: Warranty Deed

Land Use: Condominium Subdivision / Tract: Pima Inn Condo Ph 2 / Lot Size: 1,368 Year Built / Eff: 1966 / Rec. Date / Price: 08/04/2022 / $377,300 Living Area: 1,064

# of units:

Document #: 622401 Bedrooms: Pool: Total Tax Value: $154,000 Bath(F/H): /

Customer Name : Jeremiah Stiffler Customer Company Name : First American Prepared On : 12/06/2022

©
All rights reserved
2022 CoreLogic.

#5

7350

N Pima Rd # 130 Scottsdale Az 85258

Owner Name: Ppa 4 Llc / APN / Alternate APN: 174-08-410 / Deed Type: Warranty Deed Land Use: Condominium Subdivision / Tract: Pima Inn Condo Ph 2 / Lot Size: 1,368 Year Built / Eff: 1966 / Rec. Date / Price: 04/29/2022 / $330,000 Living Area: 1,064 # of units: Document #: 375656 Bedrooms: Pool: Total Tax Value: $154,000 Bath(F/H): /

#6

7350 N Pima Rd # 128 Scottsdale Az 85258

Owner Name: Ppa 6 Llc / APN / Alternate APN: 174-08-412 / Deed Type: Warranty Deed Land Use: Condominium Subdivision / Tract: Pima Inn Condo Ph 2 / Lot Size: 1,368 Year Built / Eff: 1966 / Rec. Date / Price: 10/19/2022 / $343,000 Living Area: 1,064 # of units: Document #: 786488 Bedrooms: Pool: Total Tax Value: $154,000 Bath(F/H): /

#7

7350 N Pima Rd # 156 Scottsdale Az 85258

Owner Name: Raymond E Moore Unified Credit Trust & Moore Ma / APN / Alternate APN: 174-08-415 / Deed Type: Warranty Deed Land Use: Condominium Subdivision / Tract: Pima Inn Condo Ph 2 / Lot Size: 1,368 Year Built / Eff: 1966 / Rec. Date / Price: 01/06/2022 / $330,000 Living Area: 1,064 # of units:

Document #: 16964 Bedrooms: Pool: Total Tax Value: $154,000 Bath(F/H): /

#8   6480 N 82nd St # 1107 Scottsdale Az 85250

Owner Name: Manbeck Lucas /Aliparo Raechel APN / Alternate APN: 174-12-482 / Deed Type: Warranty Deed Land Use: Condominium Subdivision / Tract: Lincoln Gardens Condo / Lot Size: 1,092 Year Built / Eff: 1984 / Rec. Date / Price: 04/19/2022 / $350,000 Living Area: 1,110 # of units: Document #: 344630 Bedrooms: Pool: Total Tax Value: $173,800 Bath(F/H): /

#9   7601 E Indian Bend Rd # 1041 Scottsdale Az 85250

Owner Name: Ronning Kirsten Elizabeth Mathison / APN / Alternate APN: 174-20-417 / Deed Type: Warranty Deed Land Use: Condominium Subdivision / Tract: Corriente Condo / Lot Size: 1,095 Year Built / Eff: 2013 / Rec. Date / Price: 02/14/2022 / $400,000 Living Area: 1,093 # of units: Document #: 133350 Bedrooms: Pool: Total Tax Value: $258,600 Bath(F/H): /

Customer Name : Jeremiah Stiffler Customer Company Name : First American Prepared On : 12/06/2022

© 2022 CoreLogic. All rights reserved

#10   6480 N 82nd St # 2204 Scottsdale Az 85250

Owner Name: Lott Christi & David /Lott Jade APN / Alternate APN: 174-12-519 / Deed Type: Warranty Deed Land Use: Condominium Subdivision / Tract: Lincoln Gardens Condo / Lot Size: 1,097 Year Built / Eff: 1984 / Rec. Date / Price: 03/18/2022 / $349,000 Living Area: 1,110

# of units: Document #: 246509 Bedrooms: Pool: Total Tax Value: $173,800 Bath(F/H): /

#11   7601 E Indian Bend Rd # 3040 Scottsdale Az 85250

Owner Name: Baloun Kyle Brady / APN / Alternate APN: 174-20-544 / Deed Type: Warranty Deed Land Use: Condominium Subdivision / Tract: Corriente Condo / Lot Size: 1,123 Year Built / Eff: 2008 / Rec. Date / Price: 03/15/2022 / $415,000 Living Area: 1,093 # of units: Document #: 233125 Bedrooms: Pool: Total Tax Value: $234,800 Bath(F/H): /

#12

8649 E Royal Palm Rd # 206 Scottsdale Az 85258

Owner Name: Mahmood Bushra /Chughtai Rehman APN / Alternate APN: 174-04-894-A / Deed Type: Warranty Deed Land Use: Condominium Subdivision / Tract: Villa De Vallarta Ph 1 / Lot Size: 1,039 Year Built / Eff: 1980 / Rec. Date / Price: 01/21/2022 / $375,000 Living Area: 1,147 # of units: Document #: 63715 Bedrooms: Pool: Total Tax Value: $183,100 Bath(F/H): /

#13   7601 E Indian Bend Rd # 1032 Scottsdale Az 85250

Owner Name: Ridder Alessandra / APN / Alternate APN: 174-20-408 / Deed Type: Warranty Deed Land Use: Condominium Subdivision / Tract: Corriente Condo / Lot Size: 1,123 Year Built / Eff: 2008 / Rec. Date / Price: 05/13/2022 / $425,000 Living Area: 1,093 # of units: Document #: 419583 Bedrooms: Pool: Total Tax Value: $234,800 Bath(F/H): /

#14   7609 E Indian Bend Rd # 1016 Scottsdale Az 85250

Owner Name: Macaw Harold G /Macaw Ingrid APN / Alternate APN: 174-20-360 / Deed Type: Warranty Deed Land Use: Condominium Subdivision / Tract: Paradise View Villas Condo Amd / Lot Size: 104 Year Built / Eff: 2004 / Rec. Date / Price: 09/09/2022 / $420,000 Living Area: 1,093

# of units: Document #: 700377 Bedrooms: Pool: Total Tax Value: $240,600 Bath(F/H): /

Customer Name : Jeremiah Stiffler Customer Company Name : First American Prepared On : 12/06/2022

© 2022 CoreLogic. All rights reserved

#15   6480 N 82nd St # 1133 Scottsdale Az 85250

Owner Name: 6480 Llc / APN / Alternate APN: 174-12-508 / Deed Type: Warranty Deed Land Use: Condominium Subdivision / Tract: Lincoln Gardens Condo / Lot Size: 1,078 Year Built / Eff: 1984 / Rec. Date / Price: 04/19/2022 / $340,000 Living Area: 1,110

# of units: Document #: 342979 Bedrooms: Pool: Total Tax Value: $173,800 Bath(F/H): /

#16

6480 N 82nd St # 1128 Scottsdale Az 85250

Owner Name: Minnick Thomas Jr /Minnick Ellen APN / Alternate APN: 174-12-503 / Deed Type: Warranty Deed Land Use: Condominium Subdivision / Tract: Lincoln Gardens Condo / Lot Size: 1,080 Year Built / Eff: 1984 / Rec. Date / Price: 03/11/2022 / $430,000 Living Area: 1,110 # of units: Document #: 223796 Bedrooms: Pool: Total Tax Value: $173,800 Bath(F/H): /

#17   7575 E Indian Bend Rd # 2133 Scottsdale Az 85250

Owner Name: Wjs 3 Az Holding Llc / APN / Alternate APN: 174-20-340 / Deed Type: Warranty Deed Land Use: Condominium Subdivision / Tract: Sienna Condo / Lot Size: 1,009 Year Built / Eff: 1994 / Rec. Date / Price: 02/02/2022 / $390,000 Living Area: 1,075 # of units: Document #: 100477 Bedrooms: Pool: Total Tax Value: $212,200 Bath(F/H): /

#18   8649 E Royal Palm Rd # 201 Scottsdale Az 85258

Owner Name: Obluck Alyssa / APN / Alternate APN: 174-04-905-A / Deed Type: Warranty Deed Land Use: Condominium Subdivision / Tract: Villa De Vallarta Ph 1 / Lot Size: 105 Year Built / Eff: 1980 / Rec. Date / Price: 10/07/2022 / $343,000 Living Area: 1,000 # of units: Document #: 763321 Bedrooms: Pool: Total Tax Value: $169,100 Bath(F/H): /

#19   7575 E Indian Bend Rd # 1131 Scottsdale Az 85250

Owner Name: Wong Family Trust / APN / Alternate APN: 174-20-208 / Deed Type: Warranty Deed Land Use: Condominium Subdivision / Tract: Sienna Condo / Lot Size: 989 Year Built / Eff: 1994 / Rec. Date / Price: 09/29/2022 / $395,000 Living Area: 1,073 # of units: Document #: 743626 Bedrooms: Pool: Total Tax Value: $212,000 Bath(F/H): /

Customer Name : Jeremiah Stiffler Customer Company Name : First American Prepared On : 12/06/2022

© 2022 CoreLogic. All rights reserved
Subject Property :   7350 N Via Paseo Del Sur # P108 Scottsdale AZ 85258 Customer
Customer
Prepared
12/06/2022 © 2022 CoreLogic. All rights reserved
Name : Jeremiah Stiffler
Company Name : First American
On :

Customer Name : Jeremiah Stiffler Customer Company Name : First American Prepared On : 12/06/2022

©
All rights reserved
2022 CoreLogic.

Customer Name : Jeremiah Stiffler Customer Company Name : First American Prepared On : 12/06/2022

©
All rights reserved
2022 CoreLogic.

Arizona Schools

For detailed information and statistics on Arizona schools please go to https://azreportcards.azed.gov/ First American Title Insurance Company, and the operating divisions thereof, make no express or implied warranty respecting the information presented and assume no responsibility for errors or omissions. First American, the eagle logo, First American Title, and firstam.com are registered trademarks or trademarks of First American Financial Corporation and/or its affiliates. ©2021 First American Financial Corporation and/or its affiliates. All rights reserved. NYSE: FAF 05117910421

Public Schools : Elementary Schools

Great Hearts Academies - Archway Cicero Distance 0.78 Miles 3102 N 56th St Phoenix AZ 85018

Telephone : (480) 424-1790

School District : Archway Classical Academy Cicero (92314)

Lowest Grade : K Highest Grade : 5th Kindergarten : Yes School Enrollment : Enrollment : 533 Total Expenditure/Student :

Pueblo Elementary School Distance 0.98 Miles 6320 N 82nd St Scottsdale AZ 85250

Telephone : (480) 484-3100

School District : Scottsdale Unified District (4240)

Lowest Grade : Pre-K Highest Grade : 6th Kindergarten : Yes School Enrollment : Enrollment : 464 Total Expenditure/Student : 115

Cochise Elementary School Distance 1.88 Miles 9451 N 84th St Scottsdale AZ 85258

Telephone : (480) 484-1100

School District : Scottsdale Unified District (4240)

Lowest Grade : Pre-K Highest Grade : 5th Kindergarten : Yes School Enrollment : Enrollment : 630 Total Expenditure/Student : 115

Customer Name : Jeremiah Stiffler
© 2022 CoreLogic. All rights reserved
Customer Company Name : First American Prepared On : 12/06/2022

Noah Webster Schools-pima

Distance 2.07 Miles 5399 N Pima Rd Scottsdale AZ 85250

Telephone : (480) 291-6900

School District : Noah Webster Schoolspima (92374)

Lowest Grade : K Highest Grade : 6th Kindergarten : Yes School Enrollment : Enrollment : 487 Total Expenditure/Student :

Middle Schools

Mohave Middle School Distance 1.88 Miles 8490 E Jackrabbit Rd Scottsdale AZ 85250

Telephone : (480) 484-5200

School District : Scottsdale Unified District (4240)

Lowest Grade : 6th Highest Grade : 8th Kindergarten : No School Enrollment : Enrollment : 904 Total Expenditure/Student : 115

Cocopah Middle School Distance 3.69 Miles 6615 E Cholla St Scottsdale AZ 85254

Telephone : (480) 484-4400

School District : Scottsdale Unified District (4240)

Lowest Grade : 6th Highest Grade : 8th Kindergarten : No School Enrollment : Enrollment : 903 Total Expenditure/Student : 115

Customer Name : Jeremiah Stiffler

Customer Company Name : First American Prepared On : 12/06/2022

© 2022 CoreLogic. All rights reserved

High Schools

Great Hearts Academies - Cicero Prep Distance 0.72 Miles

7205 N Pima Rd Scottsdale AZ 85258

Telephone : (480) 424-1790

School District : Cicero Preparatory Academy (92316)

Lowest Grade : 6th Highest Grade : 12th School Enrollment : Enrollment : 486

Total Expenditure/Student : Advanced Placement : No

Saguaro High School Distance 1.15 Miles 6250 N 82nd St Scottsdale AZ 85250

Telephone : (480) 484-7100

School District : Scottsdale Unified District (4240)

Lowest Grade : 9th Highest Grade : 12th School Enrollment : Enrollment : 1245

Total Expenditure/Student : 115 Advanced Placement : No

Evit - Saguaro High School Distance 1.22 Miles 6250 N 82nd St Scottsdale AZ 85250

Telephone : (480) 484-7100

School District : East Valley Institute Of Technology (4516)

Lowest Grade : 9th Highest Grade : 12th School Enrollment : Enrollment : 0

Total Expenditure/Student : Advanced Placement : No

Evit - Chaparral High School Distance 2.83 Miles 6935 E Gold Dust Ave Scottsdale AZ 85253

Telephone : (480) 484-6500

School District : East Valley Institute Of Technology (4516)

Lowest Grade : 9th Highest Grade : 12th School Enrollment : Enrollment : 0

Total Expenditure/Student : Advanced Placement : No

Customer Name : Jeremiah Stiffler

Customer Company Name : First American Prepared On : 12/06/2022

© 2022
All rights reserved
CoreLogic.

Local Business

Attractions / Recreation

Name Address

Pagnini Pilates, Llc

Telephone Distance (Miles)

7158 N Via De Alegria Scottsdale Az (480) 363-8031 0.16

Golftroop 8155 E Indian Bend Rd # 1 Scottsdale Az (480) 290-1024 0.41

Team One Tickets & Sports Tours Inc 8121 E Indian Bend Rd Scottsdale Az (480) 894-9494 0.43

Modern Yoga, Llc 7750 E Pleasant Run Scottsdale Az (480) 332-7776 0.43

Banks / Financial

Name Address Telephone Distance (Miles)

Jpmorgan Chase Bank, National Association 8200 Via Paseo Del N Scottsdale Az (480) 970-7116 0.11

Citywide Home Loans 7025 N Via De Paesia Scottsdale Az (602) 402-7520 0.42

Provider Funding Solutions, Llc 6929 N Hayden Rd Ste C4 Scottsdale Az (602) 616-5377 0.57

Guild Mortgage Company 7975 N Hayden Rd Ste C101 Scottsdale Az (480) 397-3000 0.72

Eating / Drinking

Name Address Telephone Distance (Miles)

Starbucks Corporation

7369 N Via Paseo Del Sur Scottsdale Az (480) 991-9803 0.2

Deng Corporation 7353 N Via Paseo Del Sur Scottsdale Az (480) 991-6400 0.2

One Stop Nutrition

7353 N Via Paseo Del Sur Scottsdale Az (480) 948-1215 0.2

Vig Rest 7345 N Via Paseo Del Sur Scottsdale Az (480) 758-5399 0.2

Health Care Services

Name Address

Telephone Distance (Miles)

John R. Warfield, Md, L.l.c. 8250 N Via Paseo Del Scottsdale Az (480) 437-4723 0.08

Chiropractic Village Dc 8344 E Via De Risa Scottsdale Az (480) 990-0004 0.14

Bill Moore Llc 8329 E Via De Dorado Scottsdale Az (480) 443-3339 0.15

Customer Name : Jeremiah Stiffler Customer Company Name : First American Prepared On : 12/06/2022

© 2022 CoreLogic. All rights reserved

Reform Psychology, P.l.l.c. 8325 E Via De Encanto Scottsdale Az (303) 859-5341 0.19

Hospitality

Name Address Telephone Distance (Miles)

Scottsdale Resort And Athletic Club 8235 E Indian Bend Rd Scottsdale Az (480) 344-0600 0.4

Zenith Asset Company, Llc 7330 N Pima Rd Scottsdale Az (480) 948-3800 0.66

Zenith Arizona, Inc. 7330 N Pima Rd Scottsdale Az (480) 948-3800 0.66

Gwr Arizona Llc 7333 N Pima Rd Scottsdale Az (608) 662-4710 0.67

Organizations / Associations

Name Address Telephone Distance (Miles)

New Vision Spiritual Growth Ce 8233 N Via Pseo Del N Scottsdale Az (602) 787-8888 0.08

Seventh Willow, Llc 7508 N Via Del Elemental Scottsdale Az (602) 418-8293 0.33

World Of One Fellowship 8556 E Via De Risa Scottsdale Az (480) 607-9192 0.43

Faith Good Casting 7860 N Hayden Rd Ll101 Scottsdale Az (310) 689-6352 0.56

Personal Services

Name Address Telephone Distance (Miles)

Fairway Fitness 8601 E Indian Bend Rd Scottsdale Az (480) 483-8750 0.59

Atomic Fitness, Llc 7948 N Hayden Rd Apt D101 Scottsdale Az (602) 451-8553 0.68

Anderson Training, Llc 7784 E Pepper Tree Ln Scottsdale Az (602) 791-3155 0.69

Beautify Day Spa 8180 N Hayden Rd Scottsdale Az (480) 788-5418 0.88

Shopping

Name Address Telephone Distance (Miles)

Custom Dogs/deli Llc 8211 E Via De Viva Scottsdale Az (480) 948-2543 0.2

Albertson's Llc 6965 N Hayden Rd Scottsdale Az (480) 991-9707 0.55

Sav-on Pharmacy 6965 N Hayden Rd Scottsdale Az (520) 245-2175 0.56

Legend Produce, L.l.c. 8311 E Via De Ventura # 1 Scottsdale Az (623) 298-3782 0.73

Customer Name : Jeremiah Stiffler

Customer Company Name : First American Prepared On : 12/06/2022

© 2022
All rights reserved
CoreLogic.

7350 N VIA PASEO DEL SUR # P208 Distance

Owner Name : Raupach Elizabeth

Sale Date : 10/02/2020

7350

0 Miles

Subdivision : Mccormick Place South Condo

Recording Date : 10/09/2020

Total Value : $190,600 Sale Price  : $235,000

Bed / Bath : / 2 Property Tax : $755.40

Land Use : Condominium Lot Acres : 0.02

Stories : 1 Living Area : 1,044

Yr Blt / Eff Yr Blt : 1975 / APN : 177-03-638

N VIA PASEO DEL SUR # P107 Distance 0.01 Miles

Owner Name : Golden Susan Joy

Sale Date : 05/20/2010

Subdivision : Mccormick Place South Condo

Recording Date : 10/28/2010

Total Value : $190,600 Sale Price  : $180,450

Bed / Bath : / 2 Property Tax : $901.16

Land Use : Condominium Lot Acres : 0.02

Stories : 1 Living Area : 1,044

Yr Blt / Eff Yr Blt : 1975 / APN : 177-03-579

7350 N VIA PASEO DEL SUR # P207

Owner Name : Nelson Philip J

Sale Date : 01/07/2021

Distance 0.01 Miles

Subdivision : Mccormick Place South Condo

Recording Date : 11/08/2021

Total Value : $190,600 Sale Price  : $325,000

Bed / Bath : / 2 Property Tax : $901.16

Land Use : Condominium

Lot Acres : 0.02

Stories : 1 Living Area : 1,044

Yr Blt / Eff Yr Blt : 1975 / APN : 177-03-639

Customer Name : Jeremiah Stiffler

Customer Company Name : First American Prepared On : 12/06/2022

© 2022 CoreLogic. All rights reserved

7350 N VIA PASEO DEL SUR # P105 Distance 0.01 Miles

Owner Name : Premsatya Usa Llp

Sale Date : 07/20/2011

Subdivision : Mccormick Place South Condo

Recording Date : 07/29/2011

Total Value : $190,600 Sale Price  : $160,000

Bed / Bath : / 2 Property Tax : $901.16

Land Use : Condominium

Lot Acres : 0.02

Stories : 1 Living Area : 1,044

Yr Blt / Eff Yr Blt : 1975 / APN : 177-03-577

7350 N VIA PASEO DEL SUR # P205

Owner Name : Ewert Karen A

Sale Date : 10/02/2020

Distance 0.01 Miles

Subdivision : Mccormick Place South Condo

Recording Date : 10/16/2020

Total Value : $190,600 Sale Price  : $240,000

Bed / Bath : / 2 Property Tax : $755.40

Land Use : Condominium Lot Acres : 0.02

Stories : 1 Living Area : 1,044

Yr Blt / Eff Yr Blt : 1975 / APN : 177-03-637

7350 N VIA PASEO DEL SUR # P106 Distance 0.01 Miles

Owner Name : Peddie Carrie

Sale Date : 05/20/2010

Subdivision : Mccormick Place South Condo

Recording Date : 08/19/2010

Total Value : $190,600 Sale Price  : $178,450

Bed / Bath : / 2 Property Tax : $901.16

Land Use : Condominium Lot Acres : 0.02

Stories : 1 Living Area : 1,044

Yr Blt / Eff Yr Blt : 1975 / APN : 177-03-580

Customer Name : Jeremiah Stiffler

Customer Company Name : First American Prepared On : 12/06/2022

© 2022 CoreLogic. All rights reserved

7350 N VIA PASEO DEL SUR # P206 Distance

Owner Name : Smith Robert

Sale Date : 07/06/2018

0.01 Miles

Subdivision : Mccormick Place South Condo

Recording Date : 07/12/2018

Total Value : $190,600 Sale Price  : $195,000

Bed / Bath : / 2 Property Tax : $755.40

Land Use : Condominium Lot Acres : 0.02

Stories : 1 Living Area : 1,044

Yr Blt / Eff Yr Blt : 1975 / APN : 177-03-640

7350 N VIA PASEO DEL SUR # O102

Owner Name : Wise Michael Charles

Sale Date : 12/11/2020

Distance 0.01 Miles

Subdivision : Mccormick Place South Condo

Recording Date : 12/16/2020

Total Value : $190,600 Sale Price  : $275,000

Bed / Bath : / 2 Property Tax : $901.16

Land Use : Condominium Lot Acres : 0.02

Stories : 1 Living Area : 1,044

Yr Blt / Eff Yr Blt : 1975 / APN : 177-03-583

7350 N VIA PASEO DEL SUR # O202 Distance

Owner Name : Oligmueller Andrew

Sale Date : 09/18/2013

0.01 Miles

Subdivision : Mccormick Place South Condo

Recording Date : 10/01/2013

Total Value : $190,600 Sale Price  : $170,000

Bed / Bath : / 2 Property Tax : $755.40

Land Use : Condominium

Lot Acres : 0.02

Stories : 1 Living Area : 1,044

Yr Blt / Eff Yr Blt : 1975 / APN : 177-03-643

Customer Name : Jeremiah Stiffler Customer Company Name : First American Prepared On : 12/06/2022

© 2022 CoreLogic. All rights reserved

7350 N VIA PASEO DEL SUR # O205 Distance 0.02 Miles

Owner Name : Damour Raymond & Karen

Sale Date : 03/30/2012

Total Value : $190,600

Subdivision : Mccormick Place South Condo

Recording Date : 04/25/2012

Sale Price  : $172,400

Bed / Bath : / 2 Property Tax : $901.16

Land Use : Condominium

Stories : 1

Lot Acres : 0.02

Living Area : 1,044

Yr Blt / Eff Yr Blt : 1975 / APN : 177-03-644

Customer Name : Jeremiah Stiffler Customer Company Name : First American Prepared On : 12/06/2022

© 2022
All rights reserved
CoreLogic.

Census Tract / block: 2168.06 / 1     Year: 2018

Household

Population Population by Age

Count: 3,354 0 - 11

Estimate Current Year: 3,331 12 - 17

Estimate in 5 Years: 3,241 18 - 24 4.47%

Growth Last 5 Years: 12.58% 25 - 64 56.59%

Growth Last 10 Years: -68.92% 65 - 74 14.01% 75+

Household Size Household Income

Current Year: 1,689 0 - $25,000 14.45%

Average Current Year: 1.98 $25,000 - $35,000 1.95%

Estimate in 5 Years: 1,847 $35,000 - $50,000 9.65%

Growth Last 5 Years: 16.46% $50,000 - $75,000 22.5%

Growth Last 10 Years: 14.94% $75,000 - $100,000 7.82%

Male Population: 46.33% Above $100,000 43.64%

Female Population: 53.67% Average Household Income: $76,361

Married People: 49.95%

Unmarried People: 50.05%

Housing

Median Mortgage Payments Home Values

Under $300: 3.86% Below $100,000: 1.77%

$300 - $799: 30.84% $100,000 - $150,000: 1.21%

$800 - $1,999: 26.01% $150,000 - $200,000: 0.56%

Over $2,000: 39.29% $200,000 - $300,000: 8.13%

Median Home Value: $430,400 $300,000 - $500,000: 65.38%

Unit Occupied Owner: 73.53% Above $500,000: 22.95%

Median Mortgage: $1,639

Customer Name : Jeremiah Stiffler

Customer Company Name : First American Prepared On : 12/06/2022

© 2022 CoreLogic. All rights reserved

Rent Payments Year Built

Unit Occupied Renter: 26.47% 1999 - 2000

Median Gross Rent: $1,682 1995 - 1998

Less Than $499 0% 1990 - 1994

$500 - $749 0% 1980 - 1989 14.07%

$750 - $999 10.34% 1970 - 1979 68.69% $1000 and Over 89.66% 1900 - 1969 3.97%

Education

Enrollment

Public Pre-Primary School: 0.33% Not Enrolled in School: 83.53%

Private Pre-Primary School: 0.57% Not A High School Graduate: 1.73%

Public School: 12.51% Graduate Of High School: 7.97%

Private School: 3.96% Attended Some College: 20.63%

Public College: 5.86% College Graduate: 47.78%

Private College: 2.84% Graduate Degree: 21.89%

Workforce

Occupation:

Manager/Prof: 61.7% Private Worker: 67.42% Technical: Government Worker: 7.71% Sales: 22.62% Self Employed Worker: 10.73%

Administrative: Unpaid Family Worker: 10.46%

Private House Hold: Farming: 2.48%

Service: 10.68% Skilled:

Protective Services: Blue-Collar: 5.01%

Commute Time

Less Than 15 Min: 16.2%

15 min - 28 min: 52.17%

30 min - 57 min: 30.94%

Over 60 min: 0.69%

Customer Name : Jeremiah Stiffler

Customer Company Name : First American Prepared On : 12/06/2022

© 2022 CoreLogic. All rights reserved

Customer Name : Jeremiah Stiffler

Customer Company Name : First American Prepared On : 12/06/2022

©
All rights reserved
2022 CoreLogic.

Customer Name : Jeremiah Stiffler Customer Company Name : First American Prepared On : 12/06/2022

©
All rights reserved
2022 CoreLogic.

Customer Name : Jeremiah Stiffler Customer Company Name : First American Prepared On : 12/06/2022

©
All rights reserved
2022 CoreLogic.
+ FIRST AMERICAN TITLE, FC0, JSTI MARICOPA, AZ 12/06/2022  03:03PM  R9C8  INVESTIGATIVE SEARCH RESULTS PAGE 1 OF 1
DESCRIPTION REFERENCES REGARDING THE PERCENTAGE OF OWNERSHIP OF THE COMMON AREA(S) PLEASE REFER TO THE RECORDED COVENANTS, CONDITIONS AND RESTRICTIONS (CCR) ASSOCIATED WITH THIS PLAT.
LAND IMPR EXEMPT RATE AREA SPECIAL DISTRICTS
TAX DUE
0.00  0.00
TOTAL CURRENT TAXES DUE 12/22 0.00
RESIDENTIAL IMPROVEMENTS BLDG SQFT  1,044 COOLING  REFRIGERATION YEAR BUILT  1975 EXTERIOR WALLS  FRAME WOOD NUMBER OF STORIES
ROOF
NUMBER OF ROOMS CONSTRUCTION CLASS
NUMBER OF BATH FIXTURES  6 PHYSICAL CONDITION  OTHER PATIO (TYPE AND NUMBER)
LAND USE  07 30 GARAGE (TYPE AND NUMBER)
LOT SIZE  1,041 SQ FT POOL SQ FT SCHOOL DISTRICT  481400 HEATING LAND FULL CASH VALUE  38,100 IMPR FULL CASH VALUE 152,500 SALES SALE DATE SALE AMOUNT INSTRUMENT TYPE SELLER NAME VALIDITY 03/07/2022 380,000    2022 204558 WD KOBASHI KIMI & MARY PAT 06/09/2021 200,000    2021 635250 WD WALLACE RICHARD & BARBARA 12/17/2015 195,000    2015 889465 WD SHELTON JAMES F 01/13/2011 154,950    2011 40025 SD BELLEVIEW OF MCCORMICK RAN 05/21/2008 21,850,000    2008 449616 WD MCCORMICK PLACE M ADDITIONAL PROPERTY INFORMATION STANDARD LAND USE: CONDOMINIUM END SEARCH
SEARCH PARAMETERS PARCEL:  177-03-578 PARCEL: 177-03-578 7 INSTRUMENT REC DATE OWNER: PETTIT PAMELA     2022 204558 03/07/2022  SITUS: 7350 N VIA PASEO DEL UNIT P108 SCOTTSDALE  MAIL: 6633 E GREENWAY PKWY   PLAT: 783 -   32 LOT    108 BLOCK   P LEGAL: MCCORMICK PLACE SOUTH CONDOMINIUM MCR 783-32 UNIT 108 BLDG P PLEASE NOTE : FOR LEGAL
CURRENT TAXES INFORMATION THROUGH 12/02/2022
PRIMARY  12,179  0  0  5.2590  481400  13416 30001  SECONDARY  3,810  15,250  0  2.1402  2022 TOTAL TAX BILLED 755.40 2022  TAX AMT
INTEREST DATE PAID TOTAL DUE FIRST HALF  377.70
09/14/2022  0.00  SECOND HALF  377.70  0.00  0.00  09/14/2022  0.00
01/23 0.00
1.0
BUILT UP
R3
COVERED 1
CARPORT 1
MARICOPA, AZ Document:DED WAR 2022.204558 Page:1 of 3 Printed on:12/6/2022 4:09 PM Branch :FC0 User :JSTI
MARICOPA, AZ Document:DED WAR 2022.204558 Page:2 of 3 Printed on:12/6/2022 4:09 PM Branch :FC0 User :JSTI
MARICOPA, AZ Document:DED WAR 2022.204558 Page:3 of 3 Printed on:12/6/2022 4:09 PM Branch :FC0 User :JSTI
MARICOPA, AZ Document:DOT 2022.204559 Page:1 of 17 Printed on:12/6/2022 4:09 PM Branch :FC0 User :JSTI
MARICOPA, AZ Document:DOT 2022.204559 Page:2 of 17 Printed on:12/6/2022 4:09 PM Branch :FC0 User :JSTI
MARICOPA, AZ Document:DOT 2022.204559 Page:3 of 17 Printed on:12/6/2022 4:09 PM Branch :FC0 User :JSTI
MARICOPA, AZ Document:DOT 2022.204559 Page:4 of 17 Printed on:12/6/2022 4:09 PM Branch :FC0 User :JSTI
MARICOPA, AZ Document:DOT 2022.204559 Page:5 of 17 Printed on:12/6/2022 4:09 PM Branch :FC0 User :JSTI
MARICOPA, AZ Document:DOT 2022.204559 Page:6 of 17 Printed on:12/6/2022 4:09 PM Branch :FC0 User :JSTI
MARICOPA, AZ Document:DOT 2022.204559 Page:7 of 17 Printed on:12/6/2022 4:09 PM Branch :FC0 User :JSTI
MARICOPA, AZ Document:DOT 2022.204559 Page:8 of 17 Printed on:12/6/2022 4:09 PM Branch :FC0 User :JSTI
MARICOPA, AZ Document:DOT 2022.204559 Page:9 of 17 Printed on:12/6/2022 4:09 PM Branch :FC0 User :JSTI
MARICOPA, AZ Document:DOT 2022.204559 Page:10 of 17 Printed on:12/6/2022 4:09 PM Branch :FC0 User :JSTI
MARICOPA, AZ Document:DOT 2022.204559 Page:11 of 17 Printed on:12/6/2022 4:09 PM Branch :FC0 User :JSTI
MARICOPA, AZ Document:DOT 2022.204559 Page:12 of 17 Printed on:12/6/2022 4:09 PM Branch :FC0 User :JSTI
MARICOPA, AZ Document:DOT 2022.204559 Page:13 of 17 Printed on:12/6/2022 4:09 PM Branch :FC0 User :JSTI
MARICOPA, AZ Document:DOT 2022.204559 Page:14 of 17 Printed on:12/6/2022 4:09 PM Branch :FC0 User :JSTI
MARICOPA, AZ Document:DOT 2022.204559 Page:15 of 17 Printed on:12/6/2022 4:09 PM Branch :FC0 User :JSTI
MARICOPA, AZ Document:DOT 2022.204559 Page:16 of 17 Printed on:12/6/2022 4:09 PM Branch :FC0 User :JSTI
MARICOPA, AZ Document:DOT 2022.204559 Page:17 of 17 Printed on:12/6/2022 4:09 PM Branch :FC0 User :JSTI

Covenants, Conditions & Restrictions

Thank you for the opportunity to be of service.

Restrictions indicating a preference, limitation or discrimination based on race, color, religion, sex, handicap, familial status, or national origin are hereby deleted to the extent such restrictions violate 42 USC 3604(c).

This information is furnished without fee and without benefit of a complete title search. No liability is assumed by First American Title or Title Security. If it is desired that liability be assumed, you may apply for a policy of title insurance with First American Title Insurance Company.

MARICOPA, AZ Document:PLAT_MAP 783.32 Page:1 of 8 Printed on:12/6/2022 4:09 PM Branch :FC0 User :JSTI
MARICOPA, AZ Document:PLAT_MAP 783.32 Page:2 of 8 Printed on:12/6/2022 4:09 PM Branch :FC0 User :JSTI
MARICOPA, AZ Document:PLAT_MAP 783.32 Page:3 of 8 Printed on:12/6/2022 4:09 PM Branch :FC0 User :JSTI
MARICOPA, AZ Document:PLAT_MAP 783.32 Page:4 of 8 Printed on:12/6/2022 4:09 PM Branch :FC0 User :JSTI
MARICOPA, AZ Document:PLAT_MAP 783.32 Page:5 of 8 Printed on:12/6/2022 4:09 PM Branch :FC0 User :JSTI
MARICOPA, AZ Document:PLAT_MAP 783.32 Page:6 of 8 Printed on:12/6/2022 4:09 PM Branch :FC0 User :JSTI
MARICOPA, AZ Document:PLAT_MAP 783.32 Page:7 of 8 Printed on:12/6/2022 4:09 PM Branch :FC0 User :JSTI
MARICOPA, AZ Document:PLAT_MAP 783.32 Page:8 of 8 Printed on:12/6/2022 4:09 PM Branch :FC0 User :JSTI
MARICOPA, AZ Document:RES AMD 2015.767121 Page:1 of 6 Printed on:12/6/2022 4:19 PM Branch :FC0 User :JSTI
MARICOPA, AZ Document:RES AMD 2015.767121 Page:2 of 6 Printed on:12/6/2022 4:19 PM Branch :FC0 User :JSTI
MARICOPA, AZ Document:RES AMD 2015.767121 Page:3 of 6 Printed on:12/6/2022 4:19 PM Branch :FC0 User :JSTI
MARICOPA, AZ Document:RES AMD 2015.767121 Page:4 of 6 Printed on:12/6/2022 4:19 PM Branch :FC0 User :JSTI
MARICOPA, AZ Document:RES AMD 2015.767121 Page:5 of 6 Printed on:12/6/2022 4:19 PM Branch :FC0 User :JSTI
MARICOPA, AZ Document:RES AMD 2015.767121 Page:6 of 6 Printed on:12/6/2022 4:19 PM Branch :FC0 User :JSTI

Turn static files into dynamic content formats.

Create a flipbook
Issuu converts static files into: digital portfolios, online yearbooks, online catalogs, digital photo albums and more. Sign up and create your flipbook.