204-14-205

Page 1

Subject Property 730 W Taylor Ave Coolidge AZ 85128 APN: 204-14-205 Data Provided By: First American Title Ins Co © 2022 CoreLogic. All rights reserved

LIMITATION OF LIABILITY FOR INFORMATIONAL REPORTS

IMPORTANT -- PLEASE READ CAREFULLY:

This report is not an insured product or service or a representation of the condition of title to real property. It is not an abst ract, legal opinion, opinion of title, title insurance commitment or preliminary report, or any form of Title Insurance or Guaranty. This report is issued exclusively for the benefit of the Applicant therefor and may not be used or relied upon by any other person. This report may not be reproduced in any manner without First American or Title Security's prior written consent. First American or Title Security does not represent or warrant that the information herein is complete or free from error, and the information herein is provided without any warranties of any kind, as-is, and with all faults. As a material part of the consideration given in exchange for the issuance of this report, recipient agrees that First American or Title Security's sole liability for any loss or damage caused by an error or omission due to inaccurate information or negligence in preparing this report shall be limited to the fee charged for the report. Recipient accepts this report with this limitation and agrees that First American or Title Security would not have issued this report but for the limitation of liability described above. First American or Title Security makes no representation or warranty as to the legality or propriety of recipient's use of the information herein.

Provided By:

Disclaimer

This REiSource report is provided "as is" without warranty of any kind, either express or implied, including without limitations any warrantees of merchantability or fitness for a particular purpose. There is no representation of warranty that this information is complete or free from error, and the provider does not assume, and expressly disclaims, any liability to any person or entity for loss or damage caused by errors or omissions in this REiSource report without a title insurance policy.

The information contained in the REiSource report is delivered from your Title Company, who reminds you that you have the right as a consumer to compare fees and serviced levels for Title, Escrow, and all other services associated with property ownership, and to select providers accordingly. Your home is the largest investment you will make in your lifetime and you should demand the very best.

Data
First American Title Ins Co
© 2022 CoreLogic. All rights reserved

Subject Property :   730 W Taylor Ave Coolidge AZ 85128

Owner Information

Owner Name : Estero Dev Partners Lp

Mailing Address : 259 Textile Way #102, Fort Mill SC 29715-4550 R054

Vesting Codes : / / Limited Partnership

Owner Occupied Indicator : A

Location Information

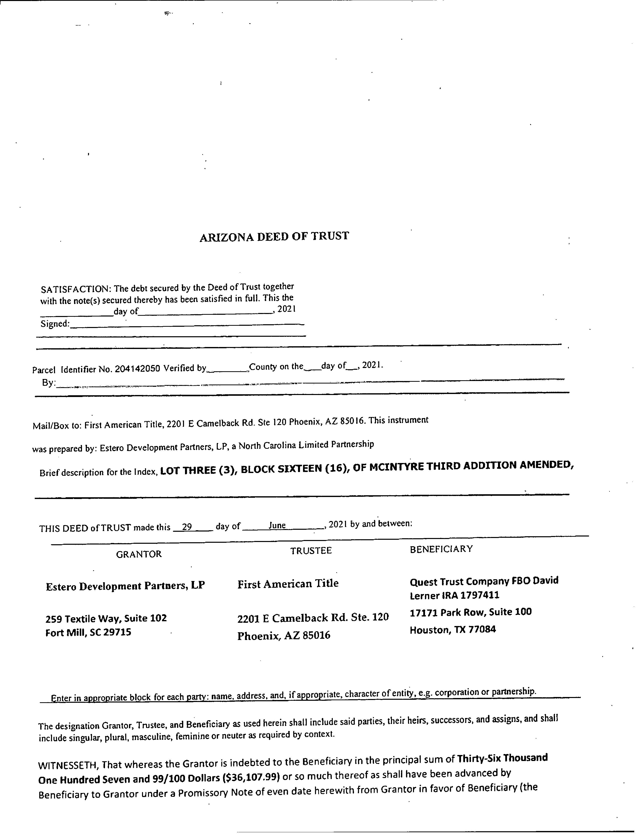
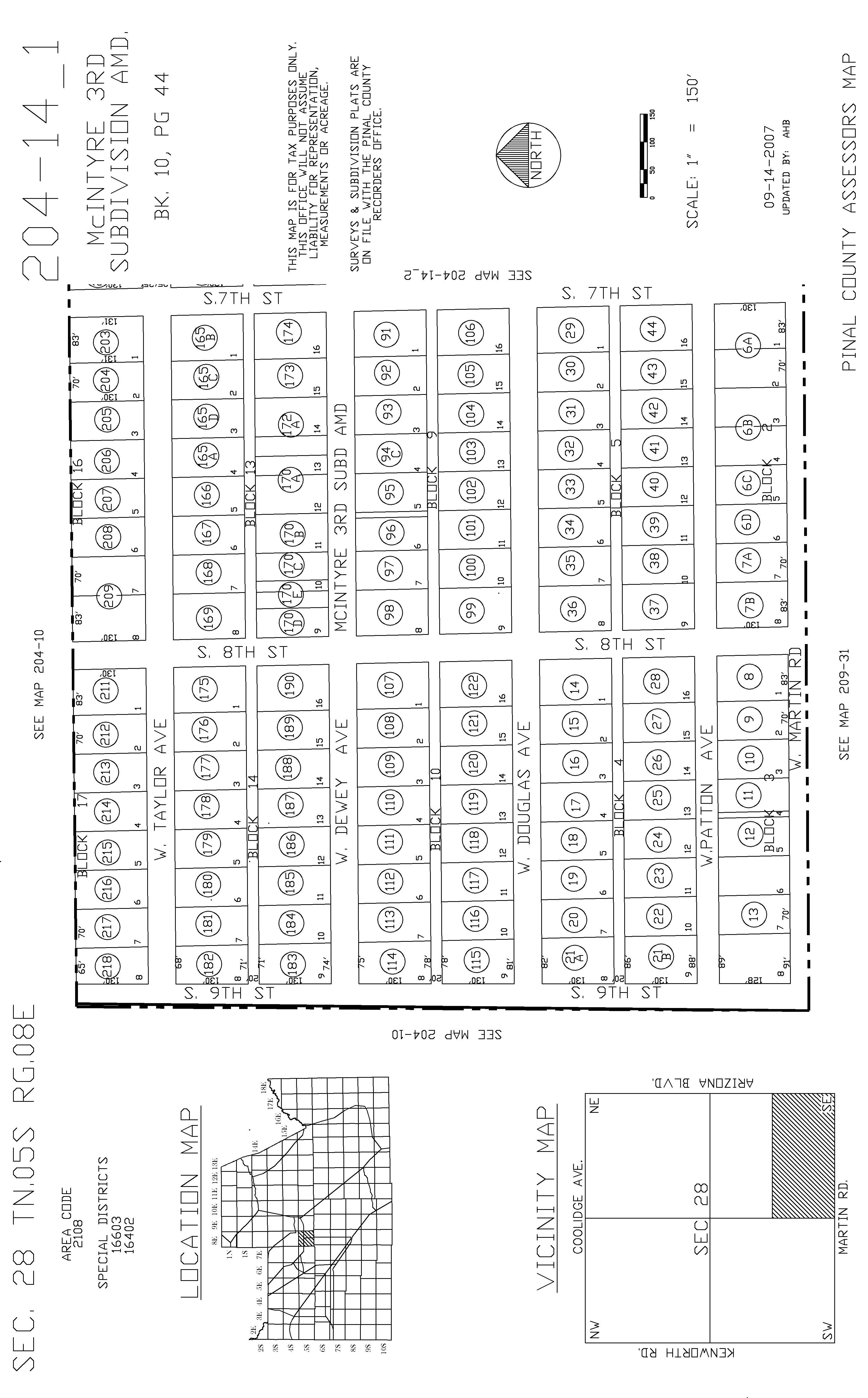
Legal Description : Mcintyre 3rd Subd Cool Lot 3 Blk 16

County : Pinal, Az

Census Tract / Block : 11.00 / 3

Township-Range- Sect : 05S-08E-28

Legal Block : 16

APN : 204-14-205

Subdivision : Mc Intyre 03

Legal Lot : 3 Map Reference : 2805S08E

Last Market Sale Information

Recording/Sale Date : 07/09/2021 / 07/02/2021

1st Mtg Amount/Type : $36,107 / Pp Sale Price : $35,000

Document # : 86342

Deed Type : Warranty Deed

Title Company : First American Title Insurance

Seller Name : Parks Ginger E

Prior Sale Information

Prior Rec/Sale Date : 11/16/2018 / 11/14/2018

Prior Sale Price : $10,000

Property Information

1st Mtg Document # : 86343

Price Per SqFt : $3.82

Prior Doc Number : 86093

Prior Deed Type : Warranty Deed

Land Use : Residential Lot Lot Size : 9,148 State Use : Vac Res-urban Subd

Lot Acres : 0.21

Customer Name : Kariann Keomaka

Customer Company Name : First American Title Insurance Company Prepared On : 10/06/2022

© 2022 CoreLogic. All rights reserved

Tax Information

Total Value : $7,458 Tax Year : 2022

Current Assessed Year : 2023

Land Value : $7,458 Property Tax : $118.66 Current Year Total Value : $2,098

Total Taxable Value : $820 Tax Rate Area : 2106

Assessed Year : 2021 Market Value : $7,458

Current Year Land Value : $2,098

Customer Name : Kariann Keomaka Customer Company Name : First American Title Insurance Company Prepared On : 10/06/2022 © 2022 CoreLogic. All rights reserved

Sale Price

Bldg/Living Area

Price Per Square Foot

Year Built

$17,000 $1,550,000 $162,453

$11 $4.53

Lot Size 9,148 6,500 40,260 10,317

Bedrooms

Total Assessed Value $7,458 $5,200 $42,630 $9,896

Subject

0.69

Summary

S 730 W Taylor Ave 35,000 7,458 07/09/2021 9,148

1 820 W Taylor Ave 395,000 7,360 05/17/2022 9,148 0.11

2 630 W Patton Ave 35,000 9,739 07/15/2022 12,197 0.25

3 466 W Spruell Ave 225,000 42,630 06/10/2022 20,473 0.34

4 408 W Taylor Ave 25,000 5,200 05/02/2022 6,500 0.42

5 359 W Spruell Ave 1,550,000 32,208 03/10/2022 40,260 0.47

6 393 W Seagoe Ave 30,000 5,600 08/11/2022

7,000 0.75

7 457 W Lincoln Ave 32,000 5,600 08/05/2022 7,000 0.76

8 459 W Lincoln Ave 32,000 5,600 08/05/2022 7,000 0.77

9 379 W Lincoln Ave 27,750 5,600 12/01/2021

7,000 0.82

10 380 W Lincoln Ave 25,000 5,600 08/11/2022 7,000 0.85

11 792 S Main St 81,000 5,200 12/15/2021

12 303 W Lincoln Ave 31,500 5,600 03/16/2022

6,500 0.86

7,000 0.88

13 332 W Lincoln Ave 30,000 5,600 03/01/2022 7,000 0.89

14 252 W Lincoln Ave 38,000 5,600 06/08/2022

7,000 0.93

Sales Analysis Criteria Subject Property Low High Average
$35,000
$3.82 $2
Bathrooms Stories
Distance From
0 0.11 0.99
of Comparables # Address Sale Price Total Assessed Value Sale Date Bed Bath Living Area Lot Size Year Built Dist (Miles) Zoning
Customer Name : Kariann Keomaka Customer Company Name : First American Title Insurance Company Prepared On : 10/06/2022 © 2022 CoreLogic. All rights reserved
15 109 W Seagoe Ave 17,000 5,600 09/23/2022 7,000 0.96 16 131 W Lincoln Ave 25,000 5,600 10/06/2021 7,000 0.99 Distressed Sales = Map Customer Name : Kariann Keomaka Customer Company Name : First American Title Insurance Company Prepared On : 10/06/2022 © 2022 CoreLogic. All rights reserved

Details of Comparables

Subject Property: 730 W Taylor Ave Coolidge Az 85128

Owner Name: Estero Dev Partners Lp /

APN / Alternate APN: 204-14-205 / Deed Type: Warranty Deed

Land Use: Residential Lot

Year Built / Eff: / Rec. Date / Price: 07/09/2021 / $35,000 Living Area:

Subdivision / Tract: Mc Intyre 03 / Lot Size: 9,148

# of units: Document #: 86342 Bedrooms: Pool:

Total Tax Value: $7,458 Bath(F/H): /

#1   820 W Taylor Ave Coolidge Az 85128

Owner Name: Beltran Maria Z /

APN / Alternate APN: 204-14-212 / Deed Type: Warranty Deed

Land Use: Residential Lot Subdivision / Tract: Mcintyre 03 / Lot Size: 9,148 Year Built / Eff: / Rec. Date / Price: 05/17/2022 / $395,000 Living Area:

# of units: Document #: 58332 Bedrooms: Pool:

Total Tax Value: $7,360 Bath(F/H): /

#2   630 W Patton Ave Coolidge Az 85128

Owner Name: Ramirez Jose /Ramirez Christina

APN / Alternate APN: 204-14-060 / Deed Type: Warranty Deed

Land Use: Residential Lot Subdivision / Tract: Mcintyre Add / Lot Size: 12,197 Year Built / Eff: / Rec. Date / Price: 07/15/2022 / $35,000 Living Area:

# of units: Document #: 79516 Bedrooms: Pool:

Total Tax Value: $9,739 Bath(F/H): /

#3   466 W Spruell Ave Coolidge Az 85128

Owner Name: Abc & 123 Small Blessing Ctr L /

APN / Alternate APN: 205-17-022 / Deed Type: Special Warranty Deed

Land Use: Residential Lot Subdivision / Tract: Spruell Sub / Lot Size: 20,473

Year Built / Eff: / Rec. Date / Price: 06/10/2022 / $225,000 Living Area:

# of units: Document #: 67558 Bedrooms: Pool: Total Tax Value: $42,630 Bath(F/H): /

#4   408 W Taylor Ave Coolidge Az 85128

Owner Name: Grau Garter /Avila Marabella B APN / Alternate APN: 205-18-009 / Deed Type: Special Warranty Deed Land Use: Residential Lot Subdivision / Tract: Mcintyre Second Sub / Lot Size: 6,500

Year Built / Eff: / Rec. Date / Price: 05/02/2022 / $25,000 Living Area:

# of units: Document #: 52601 Bedrooms: Pool: Total Tax Value: $5,200 Bath(F/H): /

Customer Company

Customer Name : Kariann Keomaka

: First American Title Insurance Company

: 10/06/2022

Name
Prepared On
© 2022 CoreLogic. All rights reserved

#5   359 W Spruell Ave Coolidge Az 85128

Owner Name: Crs Spruell Avenue Llc /

APN / Alternate APN: 205-17-052 / Deed Type: Special Warranty Deed Land Use: Residential Lot

Subdivision / Tract: / Lot Size: 40,260 Year Built / Eff: / Rec. Date / Price: 03/10/2022 / $1,550,000 Living Area:

# of units:

Document #: 28934 Bedrooms: Pool:

Total Tax Value: $32,208 Bath(F/H): /

#6   393 W Seagoe Ave Coolidge Az 85128

Owner Name: Desert Vista Rentals Llc /

APN / Alternate APN: 205-15-083 / Deed Type: Warranty Deed

Land Use: Residential Lot

Year Built / Eff: / Rec. Date / Price: 08/11/2022 / $30,000 Living Area:

Subdivision / Tract: Seagoe 4th Add / Lot Size: 7,000

# of units:

Document #: 88335 Bedrooms: Pool:

Total Tax Value: $5,600 Bath(F/H): /

#7   457 W Lincoln Ave Coolidge Az 85128

Owner Name: Carrillo Jose R /

APN / Alternate APN: 205-15-068 / Deed Type: Warranty Deed

Land Use: Residential Lot Subdivision / Tract: Seagoe 3rd Add / Lot Size: 7,000 Year Built / Eff: / Rec. Date / Price: 08/05/2022 / $32,000 Living Area:

# of units:

Pool: Total Tax Value: $5,600 Bath(F/H): /

Document #: 86487 Bedrooms:

#8   459 W Lincoln Ave Coolidge Az 85128

Owner Name: Estopellan Juan G /

APN / Alternate APN: 205-15-069 / Deed Type: Warranty Deed

Land Use: Residential Lot Subdivision / Tract: Seagoe 3rd Add / Lot Size: 7,000 Year Built / Eff: / Rec. Date / Price: 08/05/2022 / $32,000 Living Area:

Document #: 86496 Bedrooms:

Total Tax Value: $5,600 Bath(F/H): /

#9   379 W Lincoln Ave Coolidge Az 85128

Owner Name: Estero Dev Partners Lp /

# of units:

Pool:

APN / Alternate APN: 205-15-044 / Deed Type: Warranty Deed

Land Use: Residential Lot Subdivision / Tract: Nowlin Add / Lot Size: 7,000 Year Built / Eff: / Rec. Date / Price: 12/01/2021 / $27,750 Living Area:

# of units: Document #: 151681 Bedrooms:

Pool:

Total Tax Value: $5,600 Bath(F/H): /

#10   380 W Lincoln Ave Coolidge Az 85128

Owner Name: Desert Vista Rental Llc / APN / Alternate APN: 205-15-019 / Deed Type: Warranty Deed

Land Use: Residential Lot Subdivision / Tract: Seagoe 2nd Add / Lot Size: 7,000

Year Built / Eff: / Rec. Date / Price: 08/11/2022 / $25,000 Living Area:

# of units: Document #: 88339 Bedrooms:

Pool:

Total Tax Value: $5,600 Bath(F/H): /

Customer Name : Kariann Keomaka

Customer Company Name : First American Title Insurance Company Prepared On : 10/06/2022

© 2022 CoreLogic. All rights reserved

#11   792 S Main St Coolidge Az 85128

Owner Name: Provident Homes Llc /

APN / Alternate APN: 205-14-086 / Deed Type: Warranty Deed

Land Use: Residential Lot Subdivision / Tract: Mcintyre Add / Lot Size: 6,500 Year Built / Eff: / Rec. Date / Price: 12/15/2021 / $81,000 Living Area:

# of units: Document #: 158618 Bedrooms: Pool:

Total Tax Value: $5,200 Bath(F/H): /

#12   303 W Lincoln Ave Coolidge Az 85128

Owner Name: Diaz Heriberto A /Diaz Alma R

APN / Alternate APN: 205-15-054 / Deed Type: Warranty Deed

Land Use: Residential Lot Subdivision / Tract: Nowlin Add / Lot Size: 7,000 Year Built / Eff: / Rec. Date / Price: 03/16/2022 / $31,500 Living Area:

# of units: Document #: 31704 Bedrooms: Pool:

Total Tax Value: $5,600 Bath(F/H): /

#13   332 W Lincoln Ave Coolidge Az 85128

Owner Name: Jms Dev Llc /

APN / Alternate APN: 205-15-014 / Deed Type: Warranty Deed

Land Use: Residential Lot Subdivision / Tract: Seagoe 2nd Add / Lot Size: 7,000 Year Built / Eff: / Rec. Date / Price: 03/01/2022 / $30,000 Living Area:

# of units: Document #: 31112 Bedrooms: Pool: Total Tax Value: $5,600 Bath(F/H): /

#14   252 W Lincoln Ave Coolidge Az 85128

Owner Name: Morales Ana L C /

APN / Alternate APN: 205-14-037 / Deed Type: Warranty Deed

Land Use: Residential Lot Subdivision / Tract: Seagoe Add / Lot Size: 7,000 Year Built / Eff: / Rec. Date / Price: 06/08/2022 / $38,000 Living Area:

Document #: 66853 Bedrooms:

Total Tax Value: $5,600 Bath(F/H): /

#15   109 W Seagoe Ave Coolidge Az 85128

Owner Name: Desert Vista Rentals Llc /

# of units:

Pool:

APN / Alternate APN: 205-14-088 / Deed Type: Warranty Deed

Land Use: Residential Lot Subdivision / Tract: Mcintyre Add / Lot Size: 7,000

Year Built / Eff: / Rec. Date / Price: 09/23/2022 / $17,000 Living Area:

# of units: Document #: 101084 Bedrooms:

Pool:

Total Tax Value: $5,600 Bath(F/H): /

#16   131 W Lincoln Ave Coolidge Az 85128

Owner Name: Estero Dev Partners /

APN / Alternate APN: 205-14-053 / Deed Type: Warranty Deed

Land Use: Residential Lot Subdivision / Tract: Seagoe Add / Lot Size: 7,000

Year Built / Eff: / Rec. Date / Price: 10/06/2021 / $25,000 Living Area:

Document #: 126804 Bedrooms:

Total Tax Value: $5,600 Bath(F/H): /

# of units:

Pool:

Customer Name : Kariann Keomaka

Customer Company Name : First American Title Insurance Company

Prepared On : 10/06/2022

© 2022 CoreLogic. All rights reserved
Subject Property :   730 W Taylor Ave Coolidge AZ 85128 Customer Name : Kariann Keomaka Customer Company Name : First American Title Insurance Company Prepared On : 10/06/2022 © 2022 CoreLogic. All rights reserved
Customer Name : Kariann Keomaka Customer Company Name : First American Title Insurance Company Prepared On : 10/06/2022 © 2022 CoreLogic. All rights reserved
Arizona Schools For detailed information and statistics on Arizona schools please go to https://azreportcards.azed.gov/ First American Title Insurance Company, and the operating divisions thereof, make no express or implied warranty respecting the information presented and assume no responsibility for errors or omissions. First American, the eagle logo, First American Title, and firstam.com are registered trademarks or trademarks of First American Financial Corporation and/or its affiliates. ©2021 First American Financial Corporation and/or its affiliates. All rights reserved. NYSE: FAF 05117910421

Public

Elementary Schools

West Elementary School Distance 0.81 Miles

460 S 7th St Coolidge AZ 85128

Telephone : (520) 723-2703

Lowest Grade : Pre-K

School District : Coolidge Unified District (4442)

Highest Grade : 6th

Kindergarten : Yes School Enrollment :

Enrollment : 682

Total Expenditure/Student : 340

Heartland Ranch Elementary School Distance 1.74 Miles

1667 W Caroline St Coolidge AZ 85128

Telephone : (520) 424-2100

Lowest Grade : K

School District : Coolidge Unified District (4442)

Highest Grade : 6th

Kindergarten : Yes School Enrollment : Enrollment : 394

Total Expenditure/Student : 340

Imagine Coolidge Elementary Distance 1.9 Miles

1290 W Vah Ki Inn Rd Coolidge AZ 85128

Telephone : (520) 723-5391

Lowest Grade : K

School District : Imagine Coolidge Elementary Inc. (89786)

Highest Grade : 5th

Kindergarten : Yes School Enrollment : Enrollment : 633

Total Expenditure/Student :

Schools :
Customer Name : Kariann Keomaka Customer Company Name : First American Title Insurance Company Prepared On : 10/06/2022 © 2022 CoreLogic. All rights reserved

Middle Schools

Coolidge Junior High School

800 N 9th St Coolidge AZ 85128

Telephone : (520) 723-2305

Lowest Grade : 6th

Distance 1.57 Miles

School District : Coolidge Unified District (4442)

Highest Grade : 8th

Kindergarten : No School Enrollment : Enrollment : 392

Total Expenditure/Student : 340

High Schools

Cavit - Coolidge High School

450 W. Arizona Blvd. Coolidge AZ 85228

Telephone : (928) 645-2737

Distance 1.31 Miles

School District : Central Arizona Valley Institute Of Technology (79385)

Highest Grade : 12th School Enrollment : Enrollment : 0

Lowest Grade : 9th

Total Expenditure/Student : Advanced Placement : No

Coolidge High School

800 W Northern Ave Coolidge AZ 85128

Telephone : (520) 723-2305

Distance 1.31 Miles

School District : Coolidge Unified District (4442)

Lowest Grade : 9th Highest Grade : 12th School Enrollment : Enrollment : 627

Total Expenditure/Student : 340 Advanced Placement : No

Customer Name : Kariann Keomaka Customer Company Name : First American Title Insurance Company Prepared On : 10/06/2022 © 2022 CoreLogic. All rights reserved

Cavit - Central Arizona Valley Institute Of Technology

1789 W Coolidge Ave Coolidge AZ 85128

Telephone : (928) 645-2737

Distance 1.33 Miles

School District : Central Arizona Valley Institute Of Technology (79385)

Highest Grade : 12th School Enrollment : Enrollment : 26

Lowest Grade : 9th

Total Expenditure/Student : Advanced Placement : No

Coolidge Alternative Program

450 N Arizona Blvd Coolidge AZ 85128

Telephone : (520) 723-2115

Distance 1.57 Miles

School District : Coolidge Unified District (4442)

Lowest Grade : 6th Highest Grade : 12th School Enrollment : Enrollment : 182

Total Expenditure/Student : 340 Advanced Placement : No

Customer Name : Kariann Keomaka Customer Company Name : First American Title Insurance Company Prepared On : 10/06/2022

© 2022 CoreLogic. All rights reserved

Attractions / Recreation

Name Address Telephone Distance (Miles)

Chb Entertainment, Llc 1263 S 4th St Coolidge Az (520) 250-0480 0.51

Indian Skies R V Park 1050 S Arizona Blvd Coolidge Az (520) 723-7831 0.57

Michael Harrison 650 W Iroquois Dr Coolidge Az (520) 251-3059 0.68

Banks / Financial

Name Address Telephone Distance (Miles)

Fast Auto Loans Inc. 345 S Arizona Blvd Coolidge Az (520) 723-1036 0.93

Eating / Drinking

Name Address Telephone Distance (Miles)

Klairville Llc 717 W Gibson Ave Coolidge Az (480) 388-1191 0.23

Galloping Goose 1980 S Arizona Blvd Coolidge Az (520) 723-0300 0.36

Jalapenos H2 Restaurant 620 S Arizona Blvd Coolidge Az (520) 723-4344 0.74

Twiceasnicethriftstore 106 W Martin Rd Coolidge Az (520) 582-5681 0.82

Health Care Services

Name Address Telephone Distance (Miles)

Pinal Hispanic Council Incorporated 556 S Arizona Blvd Coolidge Az (520) 723-7405 0.78

Az Development Services Llc 3274 W Coolidge Ave Coolidge Az (480) 740-1203 0.8

Mellow Touch Home Care Llc 1208 W Sullivan Ave Coolidge Az (520) 723-3144 0.85

April L Estes Do 660 S Main St Coolidge Az (520) 868-1400 0.92

Organizations / Associations

Name Address Telephone Distance (Miles)

Iglesia Apostolica La Hermosa De La Fe En Cristo Jesus Inc

624 W Taylor Ave Coolidge Az (520) 723-1167 0.14

Jehovahs Witnesses Kingd 300 W Palo Verde Ave Coolidge Az (520) 723-9447 0.74

The Advisory Board Of The Arizona District Church Of The Nazarene Inc 1101 W Coolidge Ave Coolidge Az (520) 723-7761 0.88

Customer Name : Kariann Keomaka Customer Company Name : First American Title Insurance Company Prepared On : 10/06/2022

Local Business
© 2022 CoreLogic. All rights reserved

New Hope Community Church Of God

Personal Services

707 S Main St Coolidge Az (520) 723-7512 0.91

Name Address

Moiselle's Hair Spa

Shopping

Dolgencorp, Llc

Telephone Distance (Miles)

490 W Coolidge Ave Apt B Coolidge Az (520) 723-9766 0.84

Name Address

Shope Enterprises

Circle K Stores Inc.

Carniceria El Torito

Telephone Distance (Miles)

1797 S Arizona Blvd Coolidge Az (520) 233-7294 0.3

1940 S Arizona Blvd Coolidge Az (520) 723-4567 0.32

495 S Arizona Blvd Coolidge Az (520) 723-7590 0.85

470 S Arizona Blvd Coolidge Az (520) 723-1180 0.85

Customer Company

Customer Name : Kariann Keomaka

Name : First American Title Insurance Company Prepared On : 10/06/2022

© 2022 CoreLogic. All rights reserved

740 W TAYLOR AVE

Owner Name : Gilbeli Llc

Sale Date : 06/26/2013

Total Value : $43,247

Distance 0.01 Miles

Recording Date : 07/12/2013

Sale Price  : $47,000

Property Tax : $424.02

Land Use : Sfr Lot Acres : 0.21

Stories : 1

Yr Blt / Eff Yr Blt : 1952 /

Subdivision  : Mcintyre Add

720 W TAYLOR AVE

Owner Name : Dennis Ronald D

Sale Date : 02/12/2001

Total Value : $54,398

Living Area : 1,313

APN : 204-14-206

Distance 0.01 Miles

Subdivision : Mc Intyre 03

Recording Date : 02/28/2001

Property Tax : $451.90

Land Use : Sfr Lot Acres : 0.21

Stories : 1

Yr Blt / Eff Yr Blt : 1975 /

710 W TAYLOR AVE

Owner Name : Culbertson Robert G

Sale Date : 08/07/1992

Total Value : $99,840

Living Area : 1,400

APN : 204-14-204

Distance 0.03 Miles

Recording Date : 08/07/1992

Sale Price  : $25,000

Property Tax : $704.52

Land Use : Sfr Lot Acres : 0.25

Stories : 1

Yr Blt / Eff Yr Blt : 1980 /

Subdivision  : Mcintyre Add 03

Living Area : 1,512

APN : 204-14-203

709 W SPRUELL AVE Distance 0.03 Miles

Owner Name : Fullerton Gayle Mccray

Sale Date : 01/10/2013

Total Value : $135,577

Recording Date : 01/11/2013

Sale Price  : $91,979

Property Tax : $1,024.72

Land Use : Sfr Lot Acres : 0.13

Stories : 2

Yr Blt / Eff Yr Blt : 2005 /

Subdivision  : Landmark Ranch Prcl 1

Living Area : 2,060

APN : 204-37-065

Customer Name : Kariann Keomaka Customer Company Name : First American Title Insurance Company Prepared On : 10/06/2022 © 2022 CoreLogic. All rights reserved

705 W SPRUELL AVE

Owner Name : Ruiz Jose R

Sale Date : 10/00/2005

Total Value : $134,670

Land Use : Sfr

Stories : 2

Yr Blt / Eff Yr Blt : 2005 /

Subdivision  : Landmark Ranch Prcl 01

711 W SPRUELL AVE

Owner Name : Sandoval Gonzalo Delgadillo

Sale Date : 05/08/2017

Total Value : $115,973

Land Use : Sfr

Stories : 1

Yr Blt / Eff Yr Blt : 2005 /

Subdivision  : Landmark Ranch Prcl 01

725 W TAYLOR AVE

Owner Name : Ellsworth Lynda K

Sale Date : 06/00/2004

Total Value : $65,030

Land Use : Sfr

Distance 0.03 Miles

Recording Date : 10/11/2005

Sale Price  : $143,490

Property Tax : $1,161

Lot Acres : 0.13

Living Area : 2,020

APN : 204-37-063

Distance 0.03 Miles

Recording Date : 05/30/2017

Sale Price  : $115,000

Property Tax : $723.70

Lot Acres : 0.12

Living Area : 1,260

APN : 204-37-066

Distance 0.04 Miles

Recording Date : 06/16/2004

Sale Price  : $69,900

Property Tax : $537.48

Lot Acres : 0.21

Stories : 1 Living Area : 1,248

Yr Blt / Eff Yr Blt : 1972 /

Subdivision  : Mc Intyre 03

713 W SPRUELL AVE

Owner Name : Clinton David E

Sale Date : 07/29/2008

Total Value : $135,761

Land Use : Sfr

APN : 204-14-165D

Distance 0.04 Miles

Recording Date : 09/25/2008

Sale Price  : $100,000

Property Tax : $1,163.56

Lot Acres : 0.12

Stories : 2 Living Area : 2,060

Yr Blt / Eff Yr Blt : 2005 /

Subdivision  : Landmark Ranch Prcl 1

APN : 204-37-067

Customer Name : Kariann Keomaka

Customer Company Name : First American Title Insurance Company

: 10/06/2022

Prepared On
© 2022 CoreLogic. All rights reserved

715 W TAYLOR AVE

Owner Name : Mcdaniel-perez Debra

Sale Date : 07/13/2010

Total Value : $60,396

Land Use : Sfr

Stories : 1

Yr Blt / Eff Yr Blt : 1972 /

Subdivision  : Mcintyre 03

Distance 0.04 Miles

Recording Date : 07/15/2010

Sale Price  : $27,000

Property Tax : $497.42

Lot Acres : 0.21

Living Area : 1,175

APN : 204-14-165C

715 W SPRUELL AVE Distance 0.04 Miles

Owner Name : Robinson Arthur L

Sale Date : 07/18/2006

Total Value : $142,924

Land Use : Sfr

Stories : 2

Yr Blt / Eff Yr Blt : 2005 /

Subdivision  : Landmark Ranch Prcl 01

Recording Date : 08/30/2006

Sale Price  : $196,000

Property Tax : $1,024.52

Lot Acres : 0.12

Living Area : 2,060

APN : 204-37-068

Customer Name : Kariann Keomaka

: First American Title Insurance Company

: 10/06/2022

Customer Company Name
Prepared On
© 2022 CoreLogic. All rights reserved

Household

Population Population by Age

Count: 7,903 0 - 11

Estimate Current Year: 8,486 12 - 17

Estimate in 5 Years: 11,281 18 - 24 8.24%

Growth Last 5 Years: 12.43% 25 - 64 50.47%

Growth Last 10 Years: -200.14% 65 - 74 8.54% 75+

Household Size Household Income

Current Year: 2,195 0 - $25,000 19.73%

Average Current Year: 3.6 $25,000 - $35,000 12.67%

Estimate in 5 Years: 2,379 $35,000 - $50,000 13.21%

Growth Last 5 Years: -5.56% $50,000 - $75,000 23.74%

Growth Last 10 Years: 16.64% $75,000 - $100,000 11.66%

Male Population: 50.78% Above $100,000 19%

Female Population: 49.22% Average Household Income: $53,384

Married People: 49.44%

Unmarried People: 50.56%

Housing Median Mortgage Payments Home Values

Under $300: 14.38% Below $100,000: 37.69%

$300 - $799: 32.75% $100,000 - $150,000: 47.42%

$800 - $1,999: 51.13% $150,000 - $200,000: 10.24%

Over $2,000: 1.74% $200,000 - $300,000: 2.61%

Median Home Value: $114,100 $300,000 - $500,000: 1.16%

Unit Occupied Owner: 62.73% Above $500,000: 0.87%

Median Mortgage: $632

Census Tract / block: 11.00 / 3     Year: 2018
Customer Name : Kariann Keomaka Customer Company Name : First American Title Insurance Company Prepared On : 10/06/2022 © 2022 CoreLogic. All rights reserved

Rent Payments Year Built

Unit Occupied Renter: 37.27% 1999 - 2000

Median Gross Rent: $1,043 1995 - 1998

Less Than $499 1.97% 1990 - 1994

$500 - $749 22.31% 1980 - 1989 2.82%

$750 - $999 20.03% 1970 - 1979 9.82%

$1000 and Over 55.69% 1900 - 1969 20.46%

Education Enrollment

Public Pre-Primary School: 0.15% Not Enrolled in School: 68.28%

Private Pre-Primary School: 0.15% Not A High School Graduate: 17.05%

Public School: 28.37% Graduate Of High School: 38.83%

Private School: 3.35% Attended Some College: 21.5%

Public College: 6.02% College Graduate: 15.98%

Private College: 1.97% Graduate Degree: 6.64% Workforce

Occupation: Manager/Prof: 32.44% Private Worker: 52.64%

Technical: Government Worker: 37.12%

Sales: 18.92% Self Employed Worker: 2.54%

Administrative: Unpaid Family Worker: 3.63%

Private House Hold: Farming: 11.59%

Service: 26.64% Skilled:

Protective Services: Blue-Collar: 22%

Commute Time

Less Than 15 Min: 32.94%

15 min - 28 min: 34.36%

30 min - 57 min: 26.83%

Over 60 min: 5.87%

Customer Name : Kariann Keomaka Customer Company Name : First American Title Insurance Company Prepared On : 10/06/2022 © 2022 CoreLogic. All rights reserved
Customer Name : Kariann Keomaka Customer Company Name : First American Title Insurance Company Prepared On : 10/06/2022 © 2022 CoreLogic. All rights reserved
Customer Name : Kariann Keomaka Customer Company Name : First American Title Insurance Company Prepared On : 10/06/2022 © 2022 CoreLogic. All rights reserved
Customer Name : Kariann Keomaka Customer Company Name : First American Title Insurance Company Prepared On : 10/06/2022 © 2022 CoreLogic. All rights reserved

SEARCH PARAMETERS

OWNER: ESTERO DEVELOPMENT PARTNERS

07/09/2021

LEGAL: MCINTYRE 3RD SUBD COOL LOT 3 BLK 16

CURRENT TAXES

LAND IMPR

PRIMARY  861

1,259

2022  TAX AMT TAX DUE

AREA SPECIAL DISTRICTS

11900 14613 14900 15625 24001

DATE PAID TOTAL DUE

+ FIRST AMERICAN TITLE, FC0, KWAL PINAL (PL), AZ 10/06/2022  11:10AM  TCI1  INVESTIGATIVE SEARCH RESULTS PAGE 1 OF 1
PARCEL:  204-14-2050 PARCEL: 204-14-2050 2 INSTRUMENT REC DATE
AFFIDAVIT    2021 86342
SITUS: 730 W TAYLOR AVE COOLIDGE  MAIL: 259 TEXTILE WAY
INFORMATION THROUGH 09/30/2022
EXEMPT RATE
0  0  11.3560  2106
SECONDARY
0  0  2.4277   30002  2022 TOTAL TAX BILLED 118.66
INTEREST
FIRST HALF  59.33  59.33  0.00  59.33  SECOND HALF  59.33  59.33  0.00  59.33  TOTAL CURRENT TAXES DUE 10/22 118.66 11/22 119.45 (ESTIMATED) IMPROVEMENTS BLDG SQFT  0 FULL CASH VALUE  8,390 YEAR BUILT  0 LAND USE  00 11 NUMBER OF STORIES LOT SIZE  9,322 FR FT STORIES HEIGHT  0 SCHOOL DISTRICT  2106 EXTERIOR WALLS LAND FULL CASH VALUE  8,390 GRADE MATERIALS IMPR FULL CASH VALUE  0 SALES SALE DATE SALE AMOUNT INSTRUMENT TYPE SELLER NAME VALIDITY 07/09/2021 35,000    2021 86342 WD PARKS GINGER E 11/16/2018 10,000    2018 86093 WD HARTZEL CHRISTI E ADDITIONAL PROPERTY INFORMATION STANDARD LAND USE: RESIDENTIAL LOT END SEARCH

Turn static files into dynamic content formats.

Create a flipbook
Issuu converts static files into: digital portfolios, online yearbooks, online catalogs, digital photo albums and more. Sign up and create your flipbook.
204-14-205 by FirstAmAZ - Issuu