TASPILE_IR SEP2023

Page 1

Market dominance strategy of Tri-Axial Seismic pile

INVESTOR RELATIONS AUG 2023

CH1. SUMMARY

1. NEW MARKET 03

2. OBJECTIVES 04

3. COMPETITIVENESS 05

4. MARKET DOMINANCE(1) 06

5. MARKET DOMINANCE(2) 07

CH2. INTRODUCTION

1. GREETING 09

2. ABOUT US 10

3. HISTORY 13

4. MISSION & VISSION 14

5. TECHNOLOGY 15

6. APPLICATIONS 16

CH3. BUSINESS PLAN

1. PRODUCT DEVELOPMENT 17

2. MARKET STATUS 35

3. BUSINESS ROUND 42

4. MARKETING PLAN 44

CH4. FINANCIAL PLAN

1. INVESTMENT PLAN 62

2. FUNDING PLAN 63

3. ESTIMATED SALES 64

4. INCOME STATEMENT(E) 65

5. BALANCE SHEET(E) 66

5. VALUATION 67

CH5. APPENDIX

DISCLAIMER

This documentl has been prepared by TASPIL (the "Company") for the purpose of providing information at a presentation to investors and is prohibited from being taken out, copied or redistributed to others.

Please note that your attendance at this presentation constitutes your agreement to comply with the above restrictions and that any violation of the restrictions may violate applicable capital market and financial investment business laws. "Forward-looking information" contained in this document is information that has not been individually verified. It refers to the Company's expected future business and financial results that relate to future events rather than the past, and includes words such as "anticipate," "outlook," "plan," "expect," "E," and other expressions.

The above "forward-looking information" is subject to changes in the business environment in the future, and due to inherent uncertainties, actual future results may differ materially from those expressed or implied in the "forward-looking information." In addition, please note that the forward-looking information is made as of the date of presentation and takes into account current market conditions and the Company's management direction, and is subject to change due to changes in the market environment and strategy modifications in the future, and is subject to change without notice. The Company, its group companies, advisors and representatives shall not be liable for any losses arising from the use of this material (including in the event of negligence or otherwise).

Please be advised that this document does not constitute a solicitation for the offer or sale, purchase or subscription of Shares and no part of this document may form the basis for any related contract or arrangement or any investment decision. Any investment decision regarding the purchase of Shares should be made solely on the basis of the information provided in the securities registration statement filed with the Financial Supervisory Commission or the (preliminary) prospectus.

2 INVESTOR RELATIONS AUG 2023
Table of content
humbaba@taspile.co.kr
Email to :

SUMMARY

1. NEW MARKET

2. OBJECTIVES

3. COMPETITIVENESS

4. MARKET DOMINANCE(1)

5. MARKET DOMINANCE(2)

SUMMARY(1) Emerging New market; Foundation Seismic Piles

As of 2022, the foundation pile market is worth 1.5 trillion won per yearnote1), with 1 trillion won for PHC piles and 500 billion won for steel pipe piles and others. On October 11, 2022, the building foundation structure design standard (KDS 41 1900:2022) was revised, completing the legislation for seismic design of foundation piles. The Korean Institute of Architects' 'Building Foundation Pile Seismic Design Guideline Study (2022.8.30.)' and lectures on foundation pile

seismic design in architectural designers' remuneration education are processes to introduce the changed foundation structure seismic design standards into practice. If the existing foundation pile market is converted to the seismic reinforcement foundation pile market, it will explode into a market of approximately 5 trillion won per year

Note1) Korea Construction Association 2020 Construction Economy and Construction Material Outlook (Concrete Piles), Steel Pipe Market Status and Outlook for Construction (2021 Hyundai Steel Data)

View details ☞ Page 38 (Click)

Growth of the foundation pile market 0 1.25 2.5 3.75 5 t0 ti t1 5tn KRW 1.8tn KRW 1.5tn KRW
Pile Seismic Design Legislation 3 INVESTOR RELATIONS AUG 2023
Inflection Point:

SUMMARY

SUMMARY(2)

1. NEW MARKET

2. OBJECTIVES

3. COMPETITIVENESS

4. MARKET DOMINANCE(1)

5. MARKET DOMINANCE(2)

Objectives:Micro-pile market

437.5 billion won per year

Micropiles are piles made of steel pipe or steel bar with a diameter of 300 mm or less. The micropiles in the consultation are foundation piles made of steel rods (threaded bars) of ∅50mm, ∅60mm, and ∅75mm. The domestic micro pile market is estimated to be worth KRW 175 billion in sales of micro pile materials and KRW 262.5 billion in installing sales, totaling KRW 435.5 billion annually. Note2)

Note 2) Sales statistics for the boring, grouting and pipe work industry in the July 2023 issue of "Monthly Steel Bulletin" published by the Korea Iron and Steel Association, statistics provided by Nice Evaluation Information Co.

View details ☞ Page 41 (Click)

Materials Installing Sum 4 INVESTOR RELATIONS AUG 2023

SUMMARY

1. NEW MARKET

2. OBJECTIVES

3. COMPETITIVENESS

4. MARKET DOMINANCE(1)

5. MARKET DOMINANCE(2)

SUMMARY(3) Gain a competitive edge

The important factors of seismic piles for foundations are 1) seismic capacity and

2)cost-effectiveness. The cost of construction is calculated as the cost of constructability under objective and strict standards. The two construction methods, micropiles and triaxial seismic piles, share the advantage of being constructed with small equipment in a small area, but experiments have shown significant differences. The tri-axial seismic piles showed +260% seismic capacityNote3) and (- ) 33% municipal park price compared to micropiles, proving its overwhelming competitive advantage.

Note 3) Korea Institute of Construction Technology, Experimental Report (2022.12.30) / Korea Institute of Oriental Economics, Costing Report (2022.12.2)

View details ☞ Page 31~33 (Click)

Seismic capacity vs. Micro-pile

+260% -

33%

Construction cost vs. Micropyle

5 INVESTOR RELATIONS AUG 2023

SUMMARY

SUMMARY(4)

1. NEW MARKET

2. OBJECTIVES

3. COMPETITIVENESS

4. MARKET DOMINANCE(1)

5. MARKET DOMINANCE(2)

Market dominance by 2028

MS 40%, EV 380 billion KRW

Micro-piles and triaxial piles have in common the fact that they can be constructed with small equipment in small areas and have excellent constructability. Triaxial seismic piles have demonstrated excellent seismic resistance and economic efficiency compared to the existing micro-pile method in the revised seismic design standards for foundation piles.

As of 2022, the size of the micropile market is estimated to be 472.5 billion won. Based on this competitiveness, we will achieve market dominance in the micropile market by 2028, achieving a market share of 40% and an enterprise value of 380 billion won.

-75 0 75 150 225 300 2024 2025 2026 2027 2028 38.3 25.3 14.3 5.1 -0.7 256 174.6 105 48 13.1 Revenue COGS Operating Profit (Unit :Billion KRW) 6 Revenue & Operating profit - Micro-pile area INVESTOR RELATIONS AUG 2023

SUMMARY

1. NEW MARKET

2. OBJECTIVES

3. COMPETITIVENESS

4. MARKET DOMINANCE(1)

5. MARKET DOMINANCE(2)

SUMMARY(5) Whole seismic pile market

MS 15%, EV 1 trillion KRW

We will achieve market dominance in the targeted micro-pile market with our triaxial seismic piles and expand our market share in the overall seismic pile market through aggressive marketing to achieve a 15% market share and KRW 1 trillion in enterprise value by 2028.

Whole seismic pile market

View details ☞ Page 64~67 (Click) -225 0 225 450 675 900 2024 2025 2026 2027 2028 108 61 21.2 -23 -14.8 856.2 533.3 274.3 134.3 52.9 Revenue COGS Operating profit 6
INVESTOR RELATIONS AUG 2023
(Unit :Billion KRW)

CH.2 INTRODUCTION

1. GREEATINGS

2. ABOUT US

3. HISTORY

4. MISSION,VISSION

5. TEVHNOLOGY

6. APPLICATIONS

2 INVESTOR RELATIONS AUG 2023

Introduction

1. GREETINGS

2. ABOUT US

3. HISTORY

4. MISSION,VISSION

5. TEVHNOLOGY

6. APPLICATIONS

GREETINGS

In the fall of 2017, while performing seismic design for foundation piles at a new university building in Songdo, Incheon, we realized that seismic design for foundation piles is not strictly applied in Korean construction sites, even though seismic design standards are being legislated.

In particular, the Building Act, Enforcement Decree, and Architectural Design Standards strictly stipulate the 'seismic design of foundation piles' to protect people 's lives and property from disasters by preventing the collapse of buildings in the event of an earthquake.

TASPILE Inc. has developed the 'Tri-Axial Seismic PILE' as the ultimate solution for earthquake-resistant design of foundation piles and has completed several test construction, main construction, and performance verification experiments by the Korea Institute of Construction Technology. We will now supply the excellent performance of the tri-axial seismic pile to building owners, contractors, and all consumers.

Thank you.

8 INVESTOR RELATIONS AUG 2023

Introduction ABOUT US

1. GREETINGS

2. ABOUT US

3. HISTORY

4. MISSION,VISSION

5. TEVHNOLOGY

6. APPLICATIONS

Company Name TASPILE Inc.

CEO Sang Soon Shin

Est. Date 12 APR. 2021

Capital 224 Mil KRW

소재지 18, Jadongchasijang 1-gil, Seongdong-gu, Seoul, Republic of Korea

Seismic Pile Manufacturing and Sales

Manufacture and sale of ground-insertion structures

Business area

Manufacture and sale of construction materials

Boring, grouting, and tubular construction (new)

Sang Soon Shin : 41.07%

Sung Yull Ahn : 40.18%

Shareholder

Yu Jung Jung : 8.93%

Others : 10.71% ( Partnership and associate)

9 INVESTOR RELATIONS AUG 2023

Introduction

1. GREETINGS

2. ABOUT US

3. HISTORY

4. MISSION,VISSION

5. TEVHNOLOGY

6. APPLICATIONS

ORGANIZATION

CEO

Production Management

Outsourcing, Cost Management

Sales Support

Build a sales network, get members

Management Support

HR/Accounting, Sales Support, Planning

Technical support Seismic Pile Design, Structural Calculations

BOD

EAB

EAB(Engineering Advisory Board)

Category

Name/Organization

Technical Validation Korea Institute of Construction Technology (Research Fellow Dr. Jin Tae Han)

Architectural Design Standards

Soil Analysis

Design Verification

Field Validation

Dr. Kang-ju Lee| Professor of Architecture, Changwon National University

Dr. Won Je Lee | Stech Consulting Group (Soil & Foundation, Structural Design)

Dr. Kyung Sik Jung | Stech Consulting Group (Soil & Foundation, Structural Design)

Dr. Minchul Park | Korea Construction Information Institute(Load Test)

10 INVESTOR RELATIONS AUG 2023

Introduction

1. GREETINGS

2. ABOUT US

3. HISTORY

4. MISSION,VISSION

5. TEVHNOLOGY

6. APPLICATIONS

EXECUTIVES

⑤ ① ② ③

The board of directors

① Sang Hoon Shin · CEO , General Manager | Kookmin University (Civil Engineering),

② Sung Yull Ahn · CTO , Research Director | PhD, Chonbuk National University (Civil Engineering)

③ Woong Rae Roy · CCO , Communication | Sogang University (Economics)

④ Kyung-Cheol Ahn · ADV , Technical Support | KAIST Master of Science (Civil Engineering)

11 INVESTOR RELATIONS AUG 2023

Introduction

1. GREETINGS

2. ABOUT US

3. HISTORY

4. MISSION,VISSION

5. TEVHNOLOGY

6. APPLICATIONS

HISTORY

2021.04.

• Established Taspile Inc. (Capitalization of 100 million won) 2021.05.

• Capital increase (Registered capital 2.24 million won)

• OEM production contract (F1,F2,F3)

2021.07.

• POSCO INNOVILT Certification (Tri-axial seismic pile) 2021.08.

• Registering a Patent Goodwill License (Lattice Seismic Piles)

2022.04.

• Korea Institute of Construction Technology "Family Business" designation 2022.07.

• Exhibiting at KoreaBuild 2022 (KOEX)

2023.03.

• Spring Conference of the Korean Society of Geotechnical Engineers (Paper title: Design method and application of slope reinforcement using high-performance small-diameter steel pipe piles)

• Registered a defense patent (Composite foundation line load structure and method for reducing residual subsidence and improving support performance)

2021.05.

• First installation of tri-axial seismic piles (Anyang-dong 528-3 office building)

2021.09

• First installation of lattice seismic piles (512-22 Anyang-dong Office Building)

2021.10.

• Fire Station Seismic Pile Design (Seotan Fire Department, Songtan City)

2022.12.

• Korea Institute of Construction Technology report (A study on the improvement of triaxial seismic piles to secure the seismic performance of buildings(1/2))

2023.07.

• Signed a construction new technology agreement (Korea Institute of Construction Technology and 5 other companies)

• Registered a defense patent (bracing tie 3-axis seismic pile structure)

12 INVESTOR RELATIONS AUG 2023

Introduction

1. GREETINGS

2. ABOUT US

3. HISTORY

4. MISSION,VISSION

5. TEVHNOLOGY

6. APPLICATIONS

MISSION,VISION

MISSION

Serving humanity with innovative technology

VISION

Seismic Piles Market Leader by 2028

Taspile Inc. is a manufacturer specializing in seismic piles.

We supply innovative products with the mission of creating products that contribute to the safety of the people and society.

We aim to fulfill the role of a market leader that provides the best satisfaction to buyers of various products, consumers of buildings that reflect our products in their designs, and partners in the supply chain with products that meet strict standards of quality and affordability.

We promise to be a social enterprise that shares profits with shareholders, partners, and consumers.

13 INVESTOR RELATIONS AUG 2023

Introduction

1. GREETINGS

2. ABOUT US

3. HISTORY

4. MISSION,VISSION

5. TEVHNOLOGY

6. APPLICATIONS

TECHNOLOGY

1 Triaxial seismic pile structures and methods

2 Column structure with reinforcement structure using lattice material

3 Construction method of underground structure consisting of vertical sphere and horizontal sphere using vertical sphere emergency construction using steel pipe, and underground structure consisting of vertical sphere and horizontal sphere constructed thereby

4 Composite foundation shoring structures and methods to reduce residual settlement and improve bearing capacity

5 Bracing Tie 3-Axis Seismic Pile Construction

6 Lattice girder type seismic reinforcement piles and foundation construction method using them

7 How to measure the horizontal resistance of a submersible pile using a suction pile 10-1462566

Seq
Patent Registration Number
Name of the patent
Note
10-2014125 Registered
10-1866317 Registered
10-1872327 Registered
10-2515848 Registered
10-2552985 Registered
Goodwill Rights
10-2288036
Goodwill
Rights
14 INVESTOR RELATIONS AUG 2023

Introduction

1. GREETINGS

2. ABOUT US

3. HISTORY

4. MISSION,VISSION

5. TEVHNOLOGY

6. APPLICATIONS

APPLICATIONS

• Foundation Piles for New Construction

• Seismic Reinforcement Piles for Existing Buildings

• Reinforcement of existing structures

• Foundation Piles for Stormwater Detention Basins

• Seismic Piles for Bridge Foundations

• Railway rail foundation piles

Others

• Slope Stabilization Shoring Piles

• Seismic piles for harbor foundations

Plant

• Museum Foundation Piles

• Museum Foundation Piles

• Data Center Foundation Piles

• Shoring Adjacent Excavations

• Soft ground subsidence prevention

• Fault Protection

Construction

Engineering

• Foundation piles for general factory construction

• Foundation piles for fixing large facilities

• Power plant foundation piles

• Soft Ground Settlement Prevention

• Ground Reinforcement

• Movement and Deformation Prevention

15 INVESTOR RELATIONS AUG 2023

CH.3 BUSINESS PLAN

1. PRODUCT DEVELOPMENT
2. MARKET STATUS
3. BUSINESS ROUND
INVESTOR RELATIONS AUG 2023
4. MARKETING PLAN

Business plan

PROUDUCT DEVELOPMENT ( R&D)

1. PRODUCT DEVELOPMENT

2. MARKET STATUS

3. BUSINESS ROUND

4. MARKETING PLAN

1. The significance of triaxial seismic piles

Seismically proven piles

• 260% better horizontal bearing capacity than ordinary micropiles

• 'Research on Improvement of Triaxial Seismic Piles to Secure Seismic Performance of Buildings' 2022.12. Korea Institute of Construction Technology

Piles with considered lateral bearing capacity

• "Piles must be laterally supported in all directions. Three or more piles connected by a rigid head shall be considered to be transversely supported."

• Design Criteria for Building Foundations (KDS 41 19 00:2022) Clause 4.5.2.2 Stability (1)

Piles certified by POSCO

• For products made of POSCO superior steel, the POSCO INNOVILT brand committee deliberated on the technical and marketability of the product and granted INNOVILT certification.

• (Certification No.)POSCO INNOVILT No. 21-060

17 INVESTOR RELATIONS AUG 2023

Business plan

2. Features of triaxial seismic pile construction and methods

1. PRODUCT DEVELOPMENT

2. MARKET STATUS

3. BUSINESS ROUND

4. MARKETING PLAN

Structure and names of triaxial seismic piles

• Tri-axial seismic piles are a foundation type developed to effectively resist lateral loads received by buildings during earthquakes by installing them in a tri-footed format under the foundation of a building (Patent 10-2014125).

Specifications

① Triaxial Coupling STP550, D165.2, 4t

② Steel Pipe Pile (head) STP550* D89.1*6t /D114.3*6t

③ Steel Pipe Pile (Center) STP550* D89.1*6t /D114.3*6t

④ Steel Pipe Pile (End) STP550* D89.1*6t /D114.3*6t

⑤ RFID Tag Protocol : ISO 18000 6C/ EPC Gen2

Steel Pipe Raw Materials: STP550(POSCO)

Basic Specifications(TAS114-A15-A type)

STP550, a steel pipe material, is a steel pipe made of POSCO's highstrength material PosH690 (POSCO High strength 690), which has a tensile strength of 550N㎣, which is twice as strong as that of ordinary steel pipe (STP275). POSCO's STP550 is an environmental labeled product, and the triaxial seismic pile contributes to a low-carbon virtuous cycle ecosystem by reducing CO2 emissions.

2 5 1 2 3 4 5 구분
18 INVESTOR RELATIONS AUG 2023

Business plan

2. Features of triaxial seismic pile construction and methods

1. PRODUCT DEVELOPMENT

2. MARKET STATUS

3. BUSINESS ROUND

4. MARKETING PLAN

Assembly

2nd Grout Inlet R/B Insert

4. 말뚝 중앙부를

Digging a foundation Installing the Pile Guide

Rebar Insert Guideway

1. Check the position and level of the head and secure the R/B to the ground to engage with the head.

2. Drill through the guide pipe (drill 50cm more than the design length).

3. After drilling, insert the steel pipe pile and fasten the high tensile bolts (M20-F10T).

4. Grout from the bottom through the center of the pile.

5. Perform secondary grouting through the secondary inlet of the guide pipe.

Drilling Seismic Piles Installing seismic piles

Grouting, Site Clearing Reinforcing steel and foundation

A 3 4 5 3 4 5 F A B C D E F Technical reference Created by Approved by Document type Document status Title DWG No. Rev. Date issue Sheet 2021-06-08 1/1 TAS89-A Sanghoon Shin 설치순서 1. 헤드의 위치와 레벨를 확인하고 R/B를 지면에 고정 시켜 헤드와 체결한다.
and construction sequence
2. 가이드관을 통해 천공한다.(설계길이 보다 50cm 더 천공한다.) 3. 천공 후 강관말뚝을 삽입하고 고장력 볼트 (M20-F10T)를 체결한다.
통해 저면 부터 그라우팅을 한다. 5. 가이드관의 2차 주입구를 통해 2차 그라우팅을 한 다 R/B 삽입구 2차 그라우트 주입구
19 INVESTOR RELATIONS AUG 2023

Business plan

2. Features of triaxial seismic pile construction and methods

3.

1.

Resist lateral loads equally in all directions

• In seismic loads, considering the irregularity of seismic motion source and propagation, it is not possible to specify the main axis direction to resist the load as in normal loads.

• By introducing a three-axis structure to the pile as shown in the figure, the seismic pile method with excellent seismic performance by securing the performance of resisting horizontal load equally in all directions.

• Proven to have 260% better horizontal bearing capacity than existing micropiles through test construction, main construction, and experimental studies.

Review displacements for 360º in all directions

Axial force distribution under 360º loading

3-Axis Structure Triaxial Seismic Pile Plane
20 INVESTOR RELATIONS AUG 2023
PRODUCT DEVELOPMENT 2. MARKET STATUS BUSINESS ROUND 4. MARKETING PLAN

1. PRODUCT DEVELOPMENT

2. MARKET STATUS

3. BUSINESS ROUND

4.

2. Features of triaxial seismic pile construction and methods

Outperforms the competition in earthquake resistance and affordability

Validate seismic capabilities

① Static numerical analysis (pile load test) shows that triaxial seismic piles can support 360% of ordinary micropiles in horizontal load test.

② Dynamic numerical analysis (dynamic centrifugal model test) shows that triaxial seismic piles have more than 3 times the seismic capacity of ordinary micropiles.

③ (Source) Korea Institute of Construction Technology Research Report, 'Research on Improvement of Triaxial Seismic Piles to Secure Seismic Performance of Buildings' 2022.12.

Compare construction cost bills

① Based on the cost calculation assuming the same seismic performance, the triaxial seismic pile has excellent economic performance at 67% of the competing technology.

② (Source) Dongyang Economic Research Institute, Costing Report (2022.12.2)

Category Unit Q’ty Cost(KRW) Ratio Micro-pile Set 1 15,659,472 100% Triaxial pile Set 1 10,538,131 67%
21 INVESTOR RELATIONS AUG 2023
MARKETING PLAN Business plan

Business plan

1. PRODUCT DEVELOPMENT

2. MARKET STATUS

3. BUSINESS ROUND

4. MARKETING PLAN

2. Features of triaxial seismic pile construction and methods Ease of construction

• Optimized construction method for small urban homes

• Designed to construct piles with small equipment, it can be constructed in narrow places

• It has low vibration and noise during the construction process, and can be efficiently applied and responded to sites where it is difficult to apply the existing piling method, such as small sites (difficulty in securing access roads, narrow work space, difficulty in operating large equipment).

• It can be constructed in a narrow space under the basement of existing buildings, so it can be used for various types of seismic performance securing projects.

• Can be constructed without foundation excavation in the city center, solving complaints when excavating adjacent areas

Compare Drilling and Rig Equipment INVESTOR RELATIONS AUG 2023

① Large steel pipe ·PHC pile construction equipment

The T4 equipment, which is commonly used for the construction of large steel pipe piles and PHC piles, is a large equipment with a length of 8.1 meters, a width of 4.9 meters, and a height of 38 meters, making it impossible to work in narrow spaces or basements..

② Construction equipment for triaxial seismic piles

① ②
삼Since it can be constructed at small construction sites using small-scale equipment for anchor construction during triaxial seismic pile construction, it is possible to secure seismic performance even in buildings where existing large-scale and large-scale seismic piles cannot be applied, and it can be constructed in a narrow space in the basement of existing buildings, so it is highly useful for securing seismic performance of various types of buildings. 22

Business plan

R&D HISTORY

1. PRODUCT DEVELOPMENT

2. MARKET STATUS

3. BUSINESS ROUND

4. MARKETING PLAN

1 Determine the need for seismic piles for building foundations 2017.10

2 Seismic Piles for Building Foundations Market Research and Fact Sheet 2018.06

3 Initiated seismic pile product design and technology development 2019.01 ~2019.05

4 Patent Registration

Seismic pile design analysis for Inha University in Songdo, South Korea SYTEC INC.

Status of foundation piles, laws and regulations, overseas case studies

Product design (dimensions, materials, performance)

2019.06 ~ 2019.08

Patent name: Triaxial seismic pile structure and construction method Patent No.: 10-2014125

5 Trial Construction

2020.10

Construction at 189, Ganhyeon-ri, Jijeong-myeon, Wonju-si (load-test report)

INC.

ENG

6 Triaxial seismic piles in practice

2020.12

Korea Institute of Construction Technology SME Support Project Report: Practicalization, Design, Manufacturing, Field Test and Performance Evaluation of Triaxial Seismic Piles

7 Full scale construction

8 POSCO INNOVILT Product Certification

9 A study on the improvement of triaxial seismic piles to secure the seismic performance of buildings(1/2)

2021.06

528-3, Anyang-dong, Anyang-si (25 units)

2021.07 Certification of Excellent Products Using POSCO Steel TASPILE INC.

2022.01 ~2022.12

Performance Evaluation Comparison of Triaxial Seismic Piles (Report) KICT

Period Development Executing Authority
Seq Development Items
~ 2017.12
~ 2018.12
SYTEC INC.
SYTEC INC. Hyochang
ENG
SYTEC
Hyochang
INC.
ENG
SYTEC
Hyochang
SYTEC
INC.
GI
DEVELOP INC.
23 INVESTOR RELATIONS AUG 2023

R&D COSTS

Seq Items Year Development Cost(Mil. KRW) 1 Seismic Piles for Building Foundations Market Research , Research 2018 Status of foundation piles, laws and regulations, overseas case studies 20 2 Initiated seismic pile product design and technology development 2019 Product design (dimensions, materials, performance, prototyping) 100 3 Patent Registration 2019 Patent name: Triaxial seismic pile structure and construction method Patent No.: 10-2014125 2 4 Trial Construction 2020 Construction at 189, Ganhyeon-ri, Jijeong-myeon, Wonju-si (load-test report) 80 5 Triaxial seismic piles in practice 2020 Korea Institute of Construction Technology SME Support Project Report: Practicalization, Design, Manufacturing, Field Test and Performance Evaluation of Triaxial Seismic Piles 50 6 Full scale construction 2021 528-3, Anyang-dong, Anyang-si (25 units) 70 7 POSCO INNOVILT Product Certification 2021 Certification of Excellent Products Using POSCO Steel 10 8 A study on the improvement of triaxial seismic piles to secure the seismic performance of buildings(1/2) 2022 Performance Evaluation Comparison of Triaxial Seismic Piles (Report) 318 9 New Technologies in Construction and Disaster Safety 2023 New Technology Certification 500 Sum 1,150 24 INVESTOR RELATIONS AUG 2023 1. PRODUCT DEVELOPMENT 2. MARKET STATUS 3. BUSINESS ROUND 4. MARKETING PLAN Business plan

Business plan

3. Patented triaxial seismic piles (August 2020)

1. PRODUCT DEVELOPMENT

2. MARKET STATUS

3. BUSINESS ROUND

4. MARKETING PLAN

• Patent Name: Triaxial seismic pile structure and method

• Patent Application : June 3, 2019

• Patent registration: August 20, 2019

4. Trial construction of triaxial seismic piles (October 2020)

• Adoption of the Construction Technology Institute's SME Support Program

• Location: Housing construction site in Buron-myeon, Wonju-si, Gangwon-do

• Awarded by the President of Korea Institute of Construction Technology

5. Full construction at 528-3 An-dong (June 2021)

• Number of construction : 25 triaxial seismic piles

• Verification of seismic performance by load test after construction

✓ Vertical load: Allowable load 225.0kN (Design load 180.0kN)

✓ Horizontal load: Allowable load 30.0kN (Design load23.0kN)

25 INVESTOR RELATIONS AUG 2023

Business plan

6. POSCO INNOVILT Product Certification (July 2021)

2. MARKET STATUS

3. BUSINESS ROUND

4. MARKETING PLAN

• ININNOVILT is a unified brand for premium steel construction products utilizing POSCO's superior steel.

• Selected through "INNOVILT Brand Committee" review

• Products utilize steel from POSCO or POSCO Group companies, have excellent technical and marketability, and pass the review of the manufacturer's financial stability and management capabilities.

7. MOLIT Smart Construction Innovator program (November 2021)

• Selected for the project "Prototyping, Construction, and Verification Evaluation for Advanced Building Seismic Pile Products and Improved Field Applicability Using Smart Platform"

• Confirmation of construction applicability through on-site construction of seismic piles

• Testing the feasibility of pile information management system using RFID smart technology

26 INVESTOR RELATIONS AUG 2023
1. PRODUCT DEVELOPMENT

Business plan

8. Adopted seismic retrofit design for Fire Station(October 2021)

1. PRODUCT DEVELOPMENT

2. MARKET STATUS

3. BUSINESS ROUND

4. MARKETING PLAN

Construction Name Seismic performance evaluation service for 42 fire stations in Gyeonggi-do in 2020

Location 241, Seotan-ro, Seotan-myeon, Pyeongtaek-si

Scale Basement Level 1 / Ground Level 2

Building height 10.45m

Structure format Reinforced concrete structure

Administrator Gyeonggi-do Fire and Disaster Headquarters

Building Area 240.02m2

Area 458.69m2

Year Built May 4, 1994

• Earthquake and Volcanic Disaster Countermeasures Act [Enacted 2020.12.10.], Articles 14~16, requires seismic retrofitting of existing buildings.

• Seismic retrofitting projects for government offices such as schools and fire stations are underway.

• 'Existing building seismic reinforcement pile (Patent No. 10-2294532)', which applies triaxial seismic piles, is optimal for seismic reinforcement of existing building foundations.

• Demand is expected to exceed the seismic piles required for foundation seismicity of new buildings in the future.

Fire Station Existing Building Design FEM Model design

Seismic Pile Delivery Performance

Displacement

Site Delivery time Seismic Pile Types Note

Ganhyeon-ri, Wonju-si 2020.12. Triaxial seismic pile

528-3, Anyang-dong 2021.06 Triaxial seismic pile

512-22, Anyang-dong 2021.08 Lattice seismic pile

Yongin Yangji 573-8 2022.04 Lattice seismic pile

Sutan Fire Station 2021.12 Triaxial seismic pile Adopt a design

Siheung Bridge 2022.08 Hybrid seismic pile

Samcheon temple 2023.07 Triaxial seismic pile

27 INVESTOR RELATIONS AUG 2023
Pile member forces Building

Business plan

9. Seismic Design Guidelines for Building Pile Foundations research published

• Published by the Korean Institute of Architects (2022.08.)

• Based on the recently changed standards in Korea, it presents a reasonable and engineering method for seismic design of pile foundations.

• Research on related laws and regulations

• Investigate the behavior of the ground during an earthquake and the theory of interaction between the foundation and the building

• Introduction of pile construction methods suitable for earthquakes and methods for selecting construction methods

• Analysis and explanation of national standard codes

• Create design examples for foundations

• 'Triaxial seismic pile' is introduced as an example of foundation pile earthquakeresistant design (☞ p. 330)

(August 2022)

28 INVESTOR RELATIONS AUG 2023
1. PRODUCT DEVELOPMENT 2. MARKET STATUS 3. BUSINESS ROUND 4. MARKETING PLAN

Business plan

10. Selected for KICT's Technology Commercialization and Support Project (October 2022)

1. PRODUCT DEVELOPMENT

2. MARKET STATUS

3. BUSINESS ROUND

4. MARKETING PLAN

• Research on solving difficulties and improving performance of triaxial seismic piles (318 Million won in experimental research)

✓ Verification of stability against earthquake loads

✓ Establishment of design process through mechanism analysis

✓ Institutionalization of design guidelines

• Improving the seismic performance of building foundations through technological improvements to enhance applicability

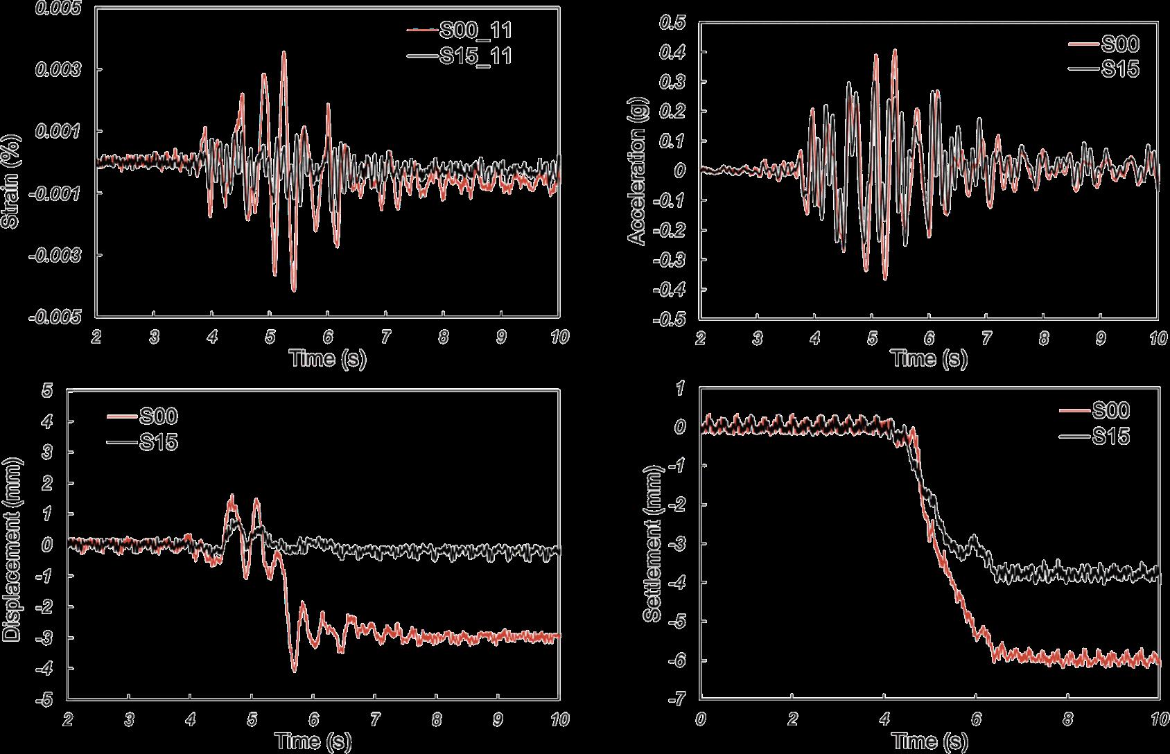
• Verification of triaxial seismic pile mechanism through dynamic centrifugal model experiment)

Dynamic Centrifugal Model Experiment

• Analysis of Triaxial Seismic Pile Seismic Performance Mechanism through Inclined Pile Seismic Performance Evaluation

(Centrifugal Modeling Equipment: KAIST Geocentrifuge Center)

• To analyze the response of the structure with inclined piles, the responses of the model without inclined piles (IA62) and the model with inclined piles (IAI58) are compared.

• Reduced response of the superstructure and reduced bending moment and lateral displacement of the inclined piles when inclined piles are installed.

• The results of the centrifugal model of inclined piles confirm the potential of triaxial piles with inclined piles for seismic performance.

Dynamic Centrifugal Model Experiments

29 INVESTOR RELATIONS AUG 2023

Business plan

Research Reports

1. PRODUCT DEVELOPMENT

2. MARKET STATUS

3. BUSINESS ROUND

4. MARKETING PLAN

: A study on the improvement of triaxial seismic piles to secure the seismic performance of buildings(1/2) by KICT, DEC 2022

(Conclusion) 1. Triaxial seismic piles provide 360% more support than ordinary micropiles in horizontal load tests.

Lateral load test Vertical load test

Korea Institute of Construction Technology

Principal Investigator / Jin-Tae Han

Researcher / Joo-Hyung Kim, Jong-Kwan Kim, Senior Researcher, Junseo Jeon, and Gahyun Park, Tae-Young Kwak, Postdoctoral Researcher, Dong-Chan Kim, Student researcher Meron Alevachu Mekkonen

Pull-out load test

Bearing capacity test results of triaxial seismic piles (vs. micropiles)

• Lateral load test - 360% superior support

• Vertical load test - 140% superior support

• Pull-out test - 125% superior support

Horizontal bearing capacity is the same as seismic capacity, the ability to withstand lateral loads.

19.4 69.9 192 273 194 243 19.4 69.9 192 273 194 243 19.4 69.9 192 273 194
30 INVESTOR RELATIONS AUG 2023
Micro pile Triaxial seismic pile Micro pile Triaxial seismic pile Micro pile Triaxial seismic pile

Business plan

Research Reports

1. PRODUCT DEVELOPMENT

2. MARKET STATUS

3. BUSINESS ROUND

4. MARKETING PLAN

: A study on the improvement of triaxial seismic piles to secure the seismic performance of buildings(1/2) by KICT, DEC 2022

(Conclusion)

2. Triaxial seismic piles have 3 times more seismic capacity than ordinary micropiles (dynamic centrifugal model test results)

Korea Institute of Construction Technology

Principal Investigator / Jin-Tae Han Researcher / Joo-Hyung Kim, Jong-Kwan Kim, Senior Researcher, Junseo Jeon, and Gahyun Park, Tae-Young Kwak, Postdoctoral Researcher, Dong-Chan Kim, Student researcher Meron Alevachu Mekkonen

3x difference in pile head displacement

31 INVESTOR RELATIONS AUG 2023

Business plan

11. Triaxial seismic

pile design

program (estimated October 2023)

1. PRODUCT DEVELOPMENT

2. MARKET STATUS

3. BUSINESS ROUND

4. MARKETING PLAN

• Developing a Triaxial Seismic Pile Design Program for Construction Foundation Piles

• Lack of design program despite seismic design regulations for foundation piles

• Architects have difficulty designing due to lack of knowledge of design methods and seismic pile products

• Providing a free design program to encourage the adoption of triaxial piles in design

12. Construction New Technology (estimated October 2023)

• Organized a new technology partner groupnote4) and signed an agreement (2023.6.30)

• Certification of the technical characteristics (novelty, progress, field applicability, economy, and dissemination) of triaxial seismic piles

• Benefits of Technology Preference :

①Preferential use by ordering organizations, mandatory design reflection, and test construction

②Possibility of contracting (Article 21 (1), (2) of the Enforcement Decree)

③Funding support: The Minister of MOLIT requests relevant financial institutions to provide priority funding to new technology developers.

• New technology protection period: 8 years

• Submission in October 2023 - Certification in March 2024

NOTE4) New technology partners: Four companies, SYTEC Inc., Hyochang ENG, Daekyung LS, and Geotech Korea, which are the triaxial pile construction council, and the Korea Institute of Construction Technology and Taspile Inc., formed a partnership to cooperate on new construction and disaster safety technologies for triaxial seismic piles, and signed an agreement (2023.6.30) ☞ APPENDIX (page 77)

32 INVESTOR RELATIONS AUG 2023

Business plan

Production base

1. PRODUCT DEVELOPMENT

2. MARKET STATUS

3. BUSINESS ROUND

4. MARKETING PLAN

OEM factory

F1: Creative Industry 43-1, Yanggam-myeon Green-ro 210beon-gil, Hwaseong-si, Gyeonggi-do, Korea

F2: SEAN 597, Paju-eup Jeongmun-ro, Paju-si, Gyeonggi-do, Republic of Korea

F3: Woori 467-9, Iyeo-ro, Baeksa-myeon, Icheon-si, Gyeonggi-do, Republic of Korea

33 INVESTOR RELATIONS AUG 2023

MARKET ANALYSIS - External Factors

1. Political factor

(1) Legislation on seismic design of foundation piles finalized

① Mar.14, 2019 "KDS 41 20 00 Design Criteria for Building Foundations" (Seismic analysis of pile foundations)

② Dec.10, 2020 "Earthquake and Volcanic Disaster Countermeasures Act" (to establish seismic design standards by law)

③ Jan. 9, 2021 "Building Code Enforcement Ordinance" (stipulates the scope of buildings subject to seismic design)

④ Feb.18,2021 "KDS 14 20 64 Structural Reinforced Concrete Design Standards" (Restrictions on reinforced concrete design)

⑤ Feb.18,2021 "KDS 14 20 60 Design Criteria for Prestressed Concrete Structures" (Regulations for the design of compression members)

⑥ Aug. 27, 2021 "Rules on Structural Standards for Buildings" (defining structural members of buildings subject to seismic design)

⑦ Oct.11, 2022 "KDS 41 19 00 Design Criteria for Basic Structures of Buildings Note 5)”

(Regulations on the stability of transverse support piles)

(2) Guidelines for Confirmation of Seismic Design of Foundation Piles for Building Permits by the Ministry of Land, Infrastructure, and Transport (MOLIT) (2022.1)

(3) Maintaining government policies to stimulate the construction industry

(4) Maintaining the current government's '2.5 million housing units' policy

(5) August 2022, house and apartment permits increased by 11.1% and 21.4% YoY, respectively)

NOTE5) (KDS 41 19 00) Significance of building foundation design standards

The Design Criteria for Building Foundations (KDS 41 19 00:2022) 4.5.2.2 Stability stipulates that "Piles shall be laterally supported in all directions. Three or more piles connected by a rigid head are considered to be transversely supported."

☞ Triaxial seismic piles are considered laterally supported by the provisions of the design standards.

34 INVESTOR RELATIONS AUG 2023 1. PRODUCT DEVELOPMENT 2. MARKET STATUS 3. BUSINESS ROUND 4. MARKETING PLAN Business plan

Business

2. Economic factor

1. PRODUCT DEVELOPMENT

2. MARKET STATUS

3. BUSINESS ROUND

4. MARKETING PLAN

(1) Exchange rate instability, rising interest rates >>> Rising labor and material costs

(2) Construction PF canceled, delayed due to bond market unrest

(3) Demand for foundation piles plummets as real estate market slumps

3. Socio-cultural factor

(1) 100.7% housing coverage rate in 2008 or 60.6% self-sufficiency rate in 2020

(2) Households of 23,472,895 in 2021, a 1.6% increase from the previous year

(3) Social consensus on the importance of seismic design after earthquakes in Gyeongju, Pohang, and Turkiye

(4) Gwangju apartment collapse highlights importance of building safety

(5) LH - El Jizyah apartment building collapse spreads anxiety over apartment safety

(6) Increased need for seismic design of foundation piles

4. Technological factor

(1) Acquired patents for earthquake-resistant pile products (8 in total)

(2) Secured production efficiency through production cooperation networks

(3) Building a technology marketplace platform: building owners, contractors, designers, and manufacturers organically connect to distribute materials

(4) Securing construction efficiency through construction cooperation networks

5. Environmental factor

(1) POSCO STP550, the main material, is an environmentally labeled product that reduces CO2 emissions.

(2) No emission of environmental pollutants in product production

6. Legal factor

(1) Avoid discrimination, consumer, employment, and antitrust violations

(2) Prevent patent disputes by securing patent rights for earthquake-resistant piles

7. Ethical factor

(1) Mission to create products that contribute to the safety of people and society

(2) A social enterprise goal to share profits with shareholders, suppliers, and consumers.

35 INVESTOR RELATIONS AUG 2023
plan

Business plan

MARKET ANALYSIS-PESTEL IMPACT MAP

1. PRODUCT DEVELOPMENT

2. MARKET STATUS

3. BUSINESS ROUND

4. MARKETING PLAN

Negative

Strong Mid Weak

IMPACT

Positive

Weak Mid Strong

Political

Exchange rates, interest rates, inflation rates

Economical

Seismic regulations (building codes, design standards, licensing guidelines)

Socio-cultural

Emergence of competing new technologies

Technological

Environmental

Social interest in building safety

Patented Methods

Reduce Carbon

Legal

Ethical

Securing patents

Social enterprise mission

36 INVESTOR RELATIONS AUG 2023

Business plan

MARKET ANALYSIS-SWOT analysis

1. PRODUCT DEVELOPMENT

2. MARKET STATUS

3. BUSINESS ROUND

4. MARKETING PLAN

Internal capabilities ☞

External Environment

Strength

1.Technology Advantage (Unique Patents)

2. Advanced technical support (programs, manuals)

3. Seismic certification

Weakness

1. Outsourced Manufacturing

2. Lack of initial operating funds

3. Price competitiveness of the product

Opportunities

1. The Seismic Pile Market is Growing

2. Product Competitive Advantage

3. Marketing Strategy Advantage

Do it first(SO)

1.Selecting a Target Audience

2.Promoting Quality

3.Aggressive marketing

List solving(ST)

First Complement(WO)

1.Reduce Costs with Tight Delivery Management

2.Thorough process management

3.Prepare cost reduction measures

Threats

1. Rising raw material costs

2. Rising labor costs

3. Competitors entering the market

1.How to Reduce Costs

2.Strengthening quality control

3.Improve customer satisfaction

4.Strengthen promotional marketing

4.

Long-term complement(WT)

1.Augmenting Outsourced Production Lines

2.Staffing

3.Cost reduction and profitability measures

4.Securing raw material (steel plate) costs

고객만족도 제고
37 INVESTOR RELATIONS AUG 2023

Business plan

MARKET STATUS

1. PRODUCT DEVELOPMENT

2. MARKET STATUS

3. BUSINESS ROUND

4. MARKETING PLAN

1.

1.5 trillion > $5 trillion per year market

• Seismic Design Regulations for Foundation Piles Completed: Building Code, Building License Guidelines

• Completed revision of detailed provisions of design standards and licensing guidelines

• Current market size 1.1 trillion won: 1 trillion won for PHC piles, 500 billion won for others Note8)

• Growing to 5 trillion won per year for seismic reinforcement

❖ When changing to seismic retrofit

• PHC piles increased 2-5 times : 3.5 trillion won

• Other piles increased by 2~5 times : 1.5 trillion won

200 billion >700 billion per year market

• The market for small steel pipe piles (micropiles, helical piles, etc.) under 300mm is 500 billion won per year (200 billion won in materials + 300 billion won in construction).

• Long-term market expected to reach 1.7 trillion won (700 billion won for materials, 1 trillion won for construction)

• Industry 2022 Annual Revenue 511 billion won

Note 8)

Seismic (reinforcement) piles

5 tn

Seismic retrofitting

Growth of the foundation pile market : 2. Micro pile market :
15% 15% 25% 25% 20% 내진보강
합성말뚝 대형강관말뚝 소형강관말뚝 기타
PHC
Pile market share estimates for seismic retrofits Small Steel Pipe Piles
38 INVESTOR RELATIONS AUG 2023
Korea Construction Association 2020 Construction Economy and Construction Material Outlook (Concrete Piles), Construction Steel Pipe Market Status and Outlook (2021 Hyundai Steel Data)

Business plan

MARKET STATUS

1. PRODUCT DEVELOPMENT

2. MARKET STATUS

3. BUSINESS ROUND

4. MARKETING PLAN

3. niche: features of the form and formulation of microfiles

• Drilling and installing small apertures of 300 mm diameter or less

Piles that can be constructed in areas where large equipment is difficult to enter and workspace is narrow or limited.

Purpose: Under pinning, foundation reinforcement, towers where compression and tensile forces act simultaneously, foundation piles for chimney transmission towers, and foundation pile construction for structures in noise control

High strength spiral steel bar (Thread Bar) is used as the main material

After drilling with small diameter drilling equipment, insert steel rods and inject cement grout to form piles.

• A method that can be used in various ground conditions by minimizing the drilling diameter while delivering high loads.

① ② ③ ④ 39 INVESTOR RELATIONS AUG 2023
①Micro pile ② Hellical pole, ③HAP pile ④Ductile pile

Business plan

MARKET STATUS

1. PRODUCT DEVELOPMENT

2. MARKET STATUS

3. BUSINESS ROUND

4. MARKETING PLAN

4. Niche Size Estimation - Microfile Annual Sales Volume

Sales of small steel bar

Estimated sales of micropile

Estimated sales of small steel bar and micropile in 2022 Note9)

Material sales Installing sales Sum

Sales of boring and grouting work industry

Sales of Micropile Material/Construction Estimating

Sales of boring and grouting work in 2022 Note 10)

• Material sales of micropile : 175 bn KRW

• Installing sales of micropile : 262.5bn KRW 437.5 bn KRW

Micropile market volume (E)

Note 9) Annual domestic demand for small steel rods: 107,320 tons (approx. KRW 110 billion) / July 2023 issue of "Monthly Steel Bulletin" published by the Korea Iron and Steel Association Data: APPENDIX (page 66). Estimated material sales=*1.5~2.0≒ Average value: KRW 175 billion

Note 10) F42122: Sales statistics for boring, grouting, and pipe work: KRW 511 billion in 2022, provided by Nice Evaluation Information Co. Estimated sales of materials + construction = KRW 4,375 billio

40 INVESTOR RELATIONS AUG 2023 17.5 bn KRW 11 bn KRW 18.0 bn KRW 13.5 bn KRW 9.0 bn KRW 4.5 bn KRW 0 bn KRW 550 bn KRW 440 bn KRW 330 bn KRW 220 bn KRW 110 bn KRW 0 bn KRW 500 bn KRW 375 bn KRW 250 bn KRW 125 bn KRW 0 bn KRW 175 bn KRW 262.5 bn KRW
1. Investment round Seed money IPO or M&A Series A Series B Series C,D Profit Time Angel investor Venture Capital) Securing Patent Rights Product development completed Pilot sales generated Sales Infrastructure Production and distribution infrastructure Scaling your business Primary expansion, including large-scale hiring Scaling your business Second and third expansion Phase I Phase III Phase IV Establishment Phase II 41 INVESTOR RELATIONS AUG 2023 1. PRODUCT DEVELOPMENT 2. MARKET STATUS 3. BUSINESS ROUND 4. MARKETING PLAN Business plan
BUSINESS LOUND

Business plan

2. Action Plan in PHASE II

① Recruitment : 5 sales executives, 4 technical supporters

2. MARKET STATUS

3. BUSINESS ROUND

4. MARKETING PLAN

② Advertising promotion : Broadcast / print / outdoor / new media advertising, events, etc. IMC

③ Material warehouse purchase : Seoul, Gyeonggi: 1 location, Gangwon, Chungcheong: 1 location, Yeongnam: 1 location, Honam: 1 location

Phase IV

• IPO /M&A

Phase III

Phase I

• Securing Patent Rights

• Product development completed

• Pilot sales

• Quality verification

Phase II

• Marketability Validation

• Ready for main production

• Recruitment

• Advertising ,publicity campaign

• Purchase of material warehouse

• Direct purchase of raw materials

• Scaling Your Business

• Recruitment

• Aggressive marketing

• R&D investment

• Stockpile production

• Bulk purchase of raw materials

• Marketability verification

42 INVESTOR RELATIONS AUG 2023
1. PRODUCT DEVELOPMENT

Business plan

MARKETING PLAN

2. MARKET STATUS

3. BUSINESS ROUND

1. Communication goals 15% MS in the seismic pile market
43 INVESTOR RELATIONS AUG 2023
1. PRODUCT DEVELOPMENT 4. MARKETING PLAN

2. Customer communication

Promote "Guidelines for Seismic Design of Foundation Piles" (published by the Korean Institute of Architects)

• Content: Introduction to foundation seismic design methods and foundation pile products

• Target : Architects, contractors, and city office permit holders

• Method : SNS advertisement and free download of brochure

• Expected effect : Promotion of foundation pile seismic design method

Promote the “Foundation Safety Map”

• Content : Checking the Seismic Capacity of a Building's Foundation

• Target : General consumers, Mass

• Method : SNS advertisement

• Expected effect : Raising awareness of the importance of foundation seismic capacity

Earthquake-related news

• Content: Utilizing articles about earthquake-prone areas such as Ulsan

• Target : General consumers, Mass

• Method : Commenting on articles

• Expected effect : Raising awareness of the importance of earthquake-resistant design

Survey of City Hall Permit Officers

• Content : MOLIT Guidelines Implementation Survey

• Target : City Office licensing officials, Community Safety Center

• Method : Survey through media organizations

• Expected effect: Raising awareness of seismic design permit standards among permit officials

Suggestions to implementers and contractors

• Content : Proposal for 'Safer Apartments with Foundation Earthquake Resistant Design'

• Target : Medium-sized construction companies (ex. Samsung C&T, GS Caltex, GS E&C)

• Method : Specialized sales team visits (in-person sales, acquaintance sales)

• Expected effect : Adoption of earthquake-resistant piles

44 INVESTOR RELATIONS AUG 2023
Business plan
1. PRODUCT DEVELOPMENT 2. MARKET STATUS 3. BUSINESS ROUND 4. MARKETING PLAN

Business plan

3.Offline exhibitions, trainings, seminars, and publishing

1. PRODUCT DEVELOPMENT

2. MARKET STATUS

3. BUSINESS ROUND

4. MARKETING PLAN

Exhibitions

• Content : Korea Build, Building Fire and Disaster Prevention Exhibition, Disaster Safety Exhibition, etc.

• Target : General consumers, architects, contractors, etc.

• Venue : COEX, KINTEX, SEO set up to be visible

• Expected effect: Raising awareness of the need for seismic piles among construction stakeholders

Architects' continuing education

• Content : Building foundation design systems and procedures applying the revised structural standards

• Target : Architects for continuing education

• Method : Video education through the Korean Architects Association education program

• Expected effect : Education can be reflected in design

Seismic Pile Seminar

• Content : How to design earthquake-resistant piles, free distribution of design program

• Target : Architects, structural engineers, soil and foundation engineers

• Method : Seminar-style event, 200 people per venue

• Expected effect : Increase the loyalty of architects

Publish an article

• Content : Presentation of papers to civil engineering societies, architectural societies, geotechnical societies, etc.

• Target : Society members

• Method : Delivering seismic pile design methods and effects through papers

• Expected effect : Raising the need for seismic piles and education on design methods

45 INVESTOR RELATIONS AUG 2023

Business plan

4.Develop and operate online outlets

1. PRODUCT DEVELOPMENT

2. MARKET STATUS

3. BUSINESS ROUND

4. MARKETING PLAN

Running a homepage

• Content : Introduction of seismic pile products, introduction of seismic design guidelines

• Target : General consumers, architects, contractors, city office permit holders

• Method : Setting SEO etc. to appear on the first screen when searching for keywords

• Expected effect: Provide information as the final destination of SNS ad respondents

Running Blogs

• Content : Naver, Google Blogger, Medium, Tistory, etc.

• Target : People searching for information on Naver, Google, etc.

• Method : Effective keywords #seismic piles, #foundation seismicity, #seismic design

• Expected effect: Inducing people interested in seismic piles Facebook, Instagram, Twitter(X)

• Content : Advertisement for free download of seismic design guidelines

• Target : General consumers, architects, contractors, city office permit holders

• Method : Paid advertisement for targeted users

• Expected effect : Maximizing product information reach

Direct mailing

• Content : Information on design guidelines, surveys, etc.

• Target : Architects, structural engineers, soil and foundation engineers

• Method : Utilizing architect DB

• Expected effect: Learning of changed design standards

Youtube

• Contents : Seismic pile product information, installation video

• Target : Youtube searchers

• Method : Posting video materials such as design criteria

46 INVESTOR RELATIONS AUG 2023

Business plan

5.Communication channels and methods by market audience

1. PRODUCT DEVELOPMENT

2. MARKET STATUS

3. BUSINESS ROUND

4. MARKETING PLAN

• For MASS: Online and offline communications, newspaper/magazine advertising, public service announcements, and PPL.

• Specialties: Specialty magazine advertising, online targeted advertising, offline events

• Competitiveness of triaxial seismic piles over micropiles (seismic capacity + construction cost)

• Piles with proven seismic capability, piles with deemed lateral bearing capacity, and piles certified by POSCO

구분 Article Promotion ○ ○ ○ ○ ○ ○ Newspaper, Magazine Ads ○ ○ ○ ○ ○ ○ Specialty Ads ○ ○ ○ ○ Online Advertising ○ ○ ○ ○ ○ ○ Education ○ Seminar ○ ○ Meeting ○ ○ ○
Message
Building contractors Builder,
Seismic Piles Technology Providers General consumers Local governments architect Geotechnical Engineer
Implementer
47 INVESTOR RELATIONS AUG 2023

1.

2.

3.

4.

• Online viral sources Instagram
Video viral sources(Youtube, Vimeo)
image ads 30”
image ads 1
image ads 2
image ads 3
About Us Video Tictok History Google blog Naver blog Facebook MEDIUM Linkedin Pinterest 48 INVESTOR RELATIONS AUG 2023
1.Corporate
2.Corporate
3.Corporate
4.Corporate
5.
Business plan
PRODUCT DEVELOPMENT
MARKET STATUS
BUSINESS ROUND
MARKETING PLAN

Business plan

6.Marketing strategy - Pricing

1. PRODUCT DEVELOPMENT

2. MARKET STATUS

3. BUSINESS ROUND

4. MARKETING PLAN

1) Short-term pricing strategies: Comparative advantage

• Competitive market is the micropile market

• The core performance of foundation seismic piles is the allowable horizontal force and allowable lateral load of the foundation piles.

• Based on the same horizontal force, the absolute price advantage over competing micropiles is maintained ( - 33% )

2) long-term strategy: strengthening purchasing power for key materials

• Standardization of STP550 216.3D*10T steel pipe for seismic piles

• Increase purchasing power when purchasing in bulk > Reduce product cost > Maintain cost advantage

• Prerequisite: Purchase of materials over a certain scale

3) Conditions for realizing a cost advantage strategy

• Increase your product's market share through promotional marketing

• Funding to secure STP550 216.3D*10T steel pipe

• Establishment of nationwide sales network, organization of professional sales team

49 INVESTOR RELATIONS AUG 2023

Business plan

7.Marketing Strategy - Local Government Sales

1. PRODUCT DEVELOPMENT

2. MARKET STATUS

3. BUSINESS ROUND

4. MARKETING PLAN

1. Local Government Sales

• Obtain a list of budgeted natural hazard improvement projects

• Visit local governments that have budgeted for sewage treatment plants, rainwater cisterns, and drainage pumping stations

• Direct contact with the Ministry of Trade, Industry and Energy's Administrative and Defense Budget Review Officer, Seoul Water Reclamation Planning Division, etc.

• Consulting with local governments such as Ulleungdo, Geumsan, Yeongdong, Yeoju, Hapcheon, Ulsan, etc. on the design of piles for reservoir foundations.

• Organized a local govern’t sales partners to visit local governments

2. Local Government Sales Partners

대경엘에스(주) 서울 강서구 마곡중앙로 165, 714호 Tel. 02-790-5253

(주)지오텍코리아

서울 노원구 동일로 198길 64, 2층 Tel. 02-974-5406,7

(주)에스와이텍 서울 성북구 안암로 145, 603-4호 Tel. 02-3437-6423

(주)효창이엔지 경기도 이천시 백사면 이여로 467-9 Tel. 02-6326-7795

타스파일(주) 서울 성동구 자동차시장1길 18, 310호 Tel. 02-1877-3781

3. Demand of Local Government Stormwater Detention Basin Foundations Seismic piles for pier foundations Seismic piles for slope reinforcement Seismic Piles for Harbor Foundations
50 INVESTOR RELATIONS AUG 2023
Seismic piles for railroad track foundations Seismic piles for building foundations

Business plan

8.Marketing strategy - selling to architects

1. PRODUCT DEVELOPMENT

2. MARKET STATUS

3. BUSINESS ROUND

4. MARKETING PLAN

1. Free distribution of seismic pile design program

• Developed a seismic design program for foundation piles

• Free distribution for the first 2-3 years to expand the base and increase loyalty

3. Host events such as seminars

• Seminar for Architects on Using Seismic Pile Design Program

• Held academic presentation on seismic pile design method for architects

2. Ongoing advertisement in specialized publications such as Architect's Monthly

• Maximized exposure in specialized architectural magazines and newspapers

• Publishing articles related to 'earthquake-resistant piles' along with advertisements

9.Marketing Strategy - Direct installing on a Small Scale

1. Specialty Contractor License Requirements

• Professional Construction Credit Union - 54 seats 50,294,844 KRW cost

• Capital: 150 million won or more for corporations

• Technical personnel: 2 or more (construction technology acquisition)

3. recruit members

• Benefits when incorporating triaxial seismic pile design Paid as a joint technology development fee for seismic piles

• Target market share when securing 1,000 members: up to 30%

2. Secure more partners and collaborate on construction with them

• Secured 30 construction councils (currently 5)

• Direct construction of small-scale projects

• If direct construction is difficult, cooperate with a partner organization

51 INVESTOR RELATIONS AUG 2023

SUPPLY CHAIN & SALES NETWORK

1. PRODUCT DEVELOPMENT

2. MARKET STATUS

3. BUSINESS ROUND

4. MARKETING PLAN

Private (corporate)

Resellers and partners

spile.kr

Government agencies public corporations

①Posco supplies raw materials to a steel pipe company

②Purchase steel pipe and supply it to a manufacturing partner

③ Manufacturing partners manufacture and deliver seismic piles

④ Sell seismic piles

⑤ Door-to-door sales by specialized sales teams (contractors, implementers)

⑥ Technology platforms that sell to MASS

⑦ Resellers and partners with government and public sector sales

⑧ Private sector, including contractors, general contractors, architects, designers, etc.

⑨ Government agencies and public corporations are also buyers of seismic piles

Manufacturing Partnerships

F1: Changjosanup

F2: Sean Inc.

F3: Woori Inc.

Pipe company

52 INVESTOR RELATIONS AUG 2023
① ② ③ ④ ⑦ ⑧ ⑨ Special sales unit ⑤
Business plan

Business plan

COOPERATIVE NETWORKS

1. PRODUCT DEVELOPMENT

2. MARKET STATUS

3. BUSINESS ROUND

4. MARKETING PLAN

• Construction Partners : JI Development, Sungho Technology, Hyochang Engineering, Geotech Korea, Daekyung L.S.

• Manufacturing Partners: Sean, Woori, Changjosanup, POSCO, Seah Steel, Hyundai Steel

• Sales Partners: SYTEC Inc., TNTech, Hyochang ENG, Geotech Korea, Daekyung LS

• Technical verification: Korea Institute of Construction Technology, POSCO Research Institute

53 INVESTOR RELATIONS AUG 2023

Business plan

SALES PLANNING BY SALES CHANNEL

1. PRODUCT DEVELOPMENT

2. MARKET STATUS

3. BUSINESS ROUND

4. MARKETING PLAN

(Assump.)

• Estimated target for reorganization and promotional marketing after investment of KRW 130 billion in December 2023

• The Plant Sales section was written with input from the GS Caltex design team, which serves as a major implementer in the gas chemical plant sector.

• Others include sales of lattice seismic piles and hybrid seismic piles

54 INVESTOR RELATIONS AUG 2023 SALES CHANNEL Expected Sales 2024 2025 2026 2027 2028 Special sales team 10 20 40 60 80 Local govern’t sales 9 11 14 16 18 Plant area sales 10 20 30 40 50 Sales by architect 10 60 100 250 450 Sales by partners 10 20 80 150 240 Others 4 3 10 17 18 Sum 53 134 274 533 856
(Unit:bn KRW)

Business plan

SALES PLANNING BY SALES CHANNEL

1. PRODUCT DEVELOPMENT

2. MARKET STATUS

3. BUSINESS ROUND

4. MARKETING PLAN

1.Special sales team

Activities

Hire 5 sales directors from construction and implementation companies (Dec. 2023)

Conducted training on seismic piles and design methods (Samsung C&T, Hyundai E&C, GS E&C)

Scheduled to register as a contractor (POSCO E&C, Hyundai E&C) partner company (Feb. 2024)

Seismic pile design proposal (Hanyang E&C, SJ E&C)

Build out regional distributors agency (have a presence in each region of the country)

Expected Sales

Average annual revenue per sales executive: KRW 2 bn (2024) > KRW 4 bn (2025) > KRW 6 bn (2026)

Sales executives receive an incentive of 5% of revenue in addition to base salary

Included sales forecasts for each regional distributor

55 INVESTOR RELATIONS AUG 2023

Business plan

SALES PLANNING BY SALES CHANNEL

1. PRODUCT DEVELOPMENT

2. MARKET STATUS

3. BUSINESS ROUND

4. MARKETING PLAN

2.Local govern’t sales

Established a local government sales team (with participation of a professor from Seoul National University and a reviewer from the Ministry of Public Administration) Secure a list of retention ponds in each local government's Natural Hazard Risk Improvement District maintenance project. In 2023, approximately 20 applicable projects for triaxial seismic piles, with a total project amount of 600 billion won

Activities

Decided on seismic design policy for the bottom of the retention basin foundation (Seoul Water Reclamation Planning Division is distributing the tri-axial seismic pile method to designers)

Registering the triaxial seismic pile on the Seoul Technology Market, Design of tri-axial seismic piles for stormwater retention works in Hapcheon (Civil Design - Doha)

Target 30% share of natural disaster risk improvement district maintenance projects (retention ponds) (2028)

Expected Sales

Stormwater Retention Tank Revenue - 2024 ($9 billion), 2025 ($11 billion), 2026 ($14 billion), 2027 ($16 billion), 2028 ($18 billion)

56 INVESTOR RELATIONS AUG 2023

Business plan

SALES PLANNING BY SALES CHANNEL

1. PRODUCT DEVELOPMENT

2. MARKET STATUS

3. BUSINESS ROUND

4. MARKETING PLAN

3.Plant area sales

Activities

Designed seismic piles for Masan POSCO plywood warehouse (passed the construction law review with Masan Shipping and Port Authority)

Presentation of seismic design for ground reinforcement work at GS Caltex plant in Yeosu

GS Caltex design team decides to apply triaxial seismic piles to refinery ground reinforcement and new construction site

S-Oil Ulsan Refinery (Shaheen Project, total construction cost of 9.258 trillion won) is expected to require 600 billion to 900 billion won in seismic piles.

GS Caltex and its partners Hyundai E&C and Lotte E&C participated in the construction.

S-Oil Ulsan Refinery Revenue - 2024 (10 bn), 2025 (20 bn), 2026 (30 bn), 2027 (40 bn), 2028 (50 bn)

Revenue from 2025 to 2028 may be pulled forward based on field conditions

Expected Sales

In the case of oil and gas plants, replacement of existing facilities is accompanied by ground reinforcement work

Revenue from ground reinforcement work at the GS Caltex plant in Yeosu - KRW 380 million (based on design price)

57 INVESTOR RELATIONS AUG 2023

Business plan

SALES PLANNING BY SALES CHANNEL

1. PRODUCT DEVELOPMENT

2. MARKET STATUS

3. BUSINESS ROUND

4. MARKETING PLAN

4.Sales by architects

Activities

Proposed partnerships with architectural design firms (Hae-An, Samwoo, Now Architects, Yerim Architects, Stech Inc.), explained the changed standards

Contacting architects individually (secured a database of architects registered with the Korean Institute of Architects)

Provide free triaxial seismic pile design program (Nov. 2023) and hold educational seminars (Dec. 2023)

Provide lectures on revised foundation pile seismic standards and design methods to architect continuing education programs

Continuous advertisement in specialized publications such as monthly architects and architectural newspapers (from Dec. 2023)

Secure members in ‘2024 (300 members), ‘2025 (500 members), and ‘2026 (1,000 members)

Expected to generate KRW300Mil. in annual revenue per architect

Expected Sales

Sales of triaxial seismic piles per small office building (10th to 15th floor) range from 20 million won to 50 million won.

58 INVESTOR RELATIONS AUG 2023

Business plan

SALES PLANNING BY SALES CHANNEL

1. PRODUCT DEVELOPMENT

2. MARKET STATUS

3. BUSINESS ROUND

4. MARKETING PLAN

5.Sales by partners

Activities

① Construction partners: Geumcheon-gu (slope reinforcement), Samcheonsa (ground reinforcement) sales experience

Micropile specialized construction companies such as JI Development adopt triaxial seismic piles

②Sales partners: seismic pile design (SYTEC Inc.), local government architectural review committee sales(TNTech),

Sales for member companies of the Korean Association of Steep Slope (Geotech Korea)

Sales for member companies of the Korean Society of Geotechnical Engineers (Daekyung L.S.)

‘2024(10bn) > ‘2025(20bn) > ‘2026년(80bn) > ‘2027(150bn) > ‘2028년(240bn)

Estimated sales per partner: 2 billion won to 4 billion won per year

Expected Sales

Aim to increase the number of sales and construction partners to 200 by 2028

59 INVESTOR RELATIONS AUG 2023

CH.4 Financial plan

1. INVESTMENT PLAN

2. FUNDING PLAN

3. ESTIMATED SALES

4. INCOME STATEMENT(E)

5. BALANCE SHEET(E)

6. VALUATION

INVESTOR RELATIONS AUG 2023

FINANCIAL PLAN

INVESTMENT PLAN

1. INVESTMENT PLAN

2. FUNDING PLAN

3. ESTIMATED SALES

4. INCOME STATEMENT(E)

5. BALANCE SHEET(E)

6. VALUATION

(Unit:Billion KRW)

(Description)

• Wage : Dedicated sales executives (5*120M + 1*120M) + technical support staff (10*72M)

• Buying land: Warehouse site. Including construction. Costs. 4 warehouses nationwide (Gangwon + Chungbuk 1, Seoul + Gyeonggi 1, Yeongnam 1, Honam 1)

• Rent : Office rent deposit

• Advertising Spend : Includes online and offline media. Includes event costs such as seminars

• Steel Pipe Deposit : Purchase deposit to be deposited with POSCO for the purchase of raw materials (STP550) for steel pipes.

• Equipment: 10 sets of small equipment for steel pipe installing

Category 2024 2025 2026 2027 2028 비고 Wage 2 2 Buying land 20 Rent 1 Advertising Spend 20 20 Steel Pipe Deposit 20 Purchase equipments 5 Contingency 1 1 소계
69.1 23.4
61 INVESTOR RELATIONS AUG 2023

FINANCIAL PLAN

FUNDING PLAN

1. INVESTMENT PLAN

2. FUNDING PLAN

3. ESTIMATED SALES

4. INCOME STATEMENT(E)

5. BALANCE SHEET(E)

6. VALUATION

Required Funds

133 billion KRW(USD100M)

When to procure

By the end of December 2023

Procurement methods

Issuing new shares(222,167 shares, 49.79% ownership)

Or issuing redeemable convertible preferred stock (RCPS)

Negotiable terms

62 INVESTOR RELATIONS AUG 2023

FINANCIAL PLAN

ESTIMATED SALES

1. INVESTMENT PLAN

2. FUNDING PLAN

3. ESTIMATED SALES

4. INCOME STATEMENT(E)

5. BALANCE SHEET(E)

6. VALUATION

(Assump.)

• See page 39 for seismic pile market volume. Market volume assumed 30% annual growth starting in 2025.

• Installing revenue is only considered for the microfiche revenue segment.

• Gross profit margin fixed at 21%

View details ☞ Page 54~59 (Click)

구분 2024 2025 2026 2027 2028 Volume MS* Volume MS* Volume MS* Volume MS* Volume MS* Seismic piles 1,500 1,950 2,730 4,095 5,324 Installing 262.5 289 318 349 384 Sum 1,762.5 3.00% 2,239 6.00% 3,048 9.00% 4,444 12.00% 5,708 15.00% Sales 53 134 274 533 856 Sales profit 11 28 57 110 176 Sales profit ratio 21% 21% 21% 21% 21% (Unit: KRW bn) 63 INVESTOR RELATIONS AUG 2023

1. INVESTMENT PLAN

2. FUNDING PLAN

3. ESTIMATED SALES

4. INCOME STATEMENT(E)

(Unit: KRW bn) Items 2024 2025 2026 2027 2028 Note Sales 53 134 274 533 856 COGS 40 99 200 384 608 Gross profit 13 35 74 149 248 Sales profit ratio 0 0 0 0 0 SG&A expenses 28 37 53 88 140 Wage 2 2 3 3 3 Ads expenses 20 20 20 27 43 Commission 3 8 16 32 51 Others 3 7 14 27 43 SG&A expenses ratio 53% 28% 19% 17% 16% Operating income -15 -2 21 61 108 Operating income ratio -27.8% -1.7% 7.7% 11.4% 12.6% Non-operating Expenses 0.1 0.25 0.25 0.25 0.25 Income before tax expenses -14.8 -2.5 21 61 108 Tax 0 0 4 11 19 Net profit -14.8 -2.5 17 50 88 64 INVESTOR RELATIONS AUG 2023
ESTIMATED INCOME STATEMENT
5. BALANCE SHEET(E) 6. VALUATION FINANCIAL PLAN

FINANCIAL PLAN

ESTIMATED BALANCE SHEET

1. INVESTMENT PLAN

2. FUNDING PLAN

3. ESTIMATED SALES

4. INCOME STATEMENT(E)

5. BALANCE SHEET(E)

6. VALUATION

(Assump.)

• Capital: KRW133 bn in investments (simple total)

• Non-current liabilities: borrowings of $2 billion in 2024 and $5 billion in 2025

• Debt-to-equity ratio = debt/equity

• Current Ratio = Current Assets/Current Liabilities

Items 2024 2025 2026 2027 2028 Note Asset 129 141 180 268 405 Current asset 73 75 100 165 271 Non-current asset 56 66 79 103 134 Liabilities 10 25 46 85 133 Current liabilities 8 20 41 80 128 Non-current liabilities 2 5 5 5 5 Stockholder's Equity 119 116 133 183 271 Paid capital 134 134 134 134 134 Net profit -15 -3 17 50 88 Retained earnings 0 -15 -17 0 50 Total Liabilities & Stockholder's Equity 129 141 179 268 405 D/E Ratio 8.4% 21.6% 34.6% 46.4% 49.1% Current ratio 912.5% 375.0% 243.9% 206.3% 211.7% (단위:억원) 65 INVESTOR RELATIONS AUG 2023

FINANCIAL PLAN

1. INVESTMENT PLAN

2. FUNDING PLAN

3. ESTIMATED SALES

4. INCOME STATEMENT(E)

5. BALANCE SHEET(E)

6. VALUATION

Note 1) Reflects the capital increase of 222,167 shares at the end of 2023

Note 2) Stock value split at 100 won per share

Note 3) Enterprise value = EBITA * PER

Note 4) EBITA = Earnings before interest expense, income taxes, depreciation of tangible and intangible assets, and operating income

Note 5) Targeted IPO in the first half of 2028

(Unit: bn KRW/KRW) Item 2024 2025 2026 2027 2028* Sales 52.9 134.3 274.3 533.3 856.2 EBITA -15.0 -2.0 21.0 61.0 108.0 Enterprise Value -150.0 -20.0 210.0 610.0 1,080.0 Number of shares 446,167 446,167 4,461,670 4,461,670 4,461,670 EPS -₩4,483 ₩4,707 ₩13,672 ₩24,206 PER 10.0 10.0 10.0 10.0 10.0
VALUATION
66 INVESTOR RELATIONS AUG 2023 Note 3 ) Note 5) Note 4) Note 1) Note 2)

CH.4 APPENDIX

1. Focus group interview

2. Statistics (1)

3. Statistics (2)

4. Case study

5. New Technology Agreement

6. Glossary

INVESTOR RELATIONS AUG 2023

APPENDIX

Focus Group Interview

1. Focus group interview

2. Statistics (1)

3. Statistics (2)

4. Case study

5. New Technology Agreement

6. Glossary

The main advantage of triaxial seismic piles is that they have excellent horizontal support and can be constructed in small areas.

We visited several local governments, and it is the best alternative for stormwater retention tank foundation piles. It is expected to be adopted in many natural disaster risk improvement district maintenance projects by local governments.

As Typhoon Kanun makes landfall, local governments are issuing landslide warnings. Landslides and debris flows are common during the rainy season, typhoons, and winter thaw. Triaxial seismic piles are emerging as the best method for slope reinforcement and debris flow prevention projects. If it maintains its leadership in terms of earthquake resistance and economy, it can be seen as the optimal method for slope reinforcement and debris flow prevention.

Doctor of Engineering Vice President, Korea Slope Safety Association Adjunct Professor, Seoul National University of Science and Technology CEO / Geotechnical Survey Company
68 INVESTOR RELATIONS AUG 2023

APPENDIX

Focus Group Interview

1. Focus group interview

2. Statistics (1)

3. Statistics (2)

4. Case study

5. New Technology Agreement

6. Glossary

In 2023, construction investment is expected to increase due to the stabilization of the supply of construction materials and the government's housing supply policy, but the recovery will be limited due to the expansion of uncertainties related to the slowdown in the housing market and the failure of real estate project financing (PF) and the contraction of new construction. Investment in residential building construction is expected to increase due to the start of new cities and new government housing supply measures. The real estate sentiment index will gradually recover in 2023, indicating a weak but recovering construction economy.

Jung Pyo Hong Reporter Deputy Director, MoneyS Industry Division 1 Young Wan Seo CEO / Real Estate Agency
69 INVESTOR RELATIONS AUG 2023

Focus Group Interview

In real estate finance, the cost method, comparable sales method, and income approach are used to value homes. The construction cost per unit area is determined by determining whether the structure of the building is reinforced concrete or masonry. In addition, the useful life of the building is set at 40 years and depreciated from the original value over the period of time. In the past, I have been thinking about how to reflect

whether a building is designed for earthquake resistance in the calculation of building value. It gets more complicated when you realize that seismic piles in the foundation are closely related to preventing the building from collapsing during an earthquake. Surprisingly, the relevant regulations are in place, but it is unfortunate that stakeholders, especially those in charge of construction and permitting, are slow to implement them. I wonder if seismic piles will emerge as a new concern nowadays when people are more interested in disaster safety such as apartment collapses and water disasters.

In general, when we think of civil engineering, we think of large-scale longterm facilities such as tunnels, ports, highways, and railroads. However, it is not uncommon to design tasks where large equipment cannot enter, such as foundation piles for footbridge piers in waterfront parks, foundation piles for reinforcing existing facilities in plants, foundation piles for buildings, and foundations for seismic

reinforcement of existing structures. When designing, it is preferred to keep constructability in mind and organize structural calculations neatly. In civil engineering, unlike architecture, the concept of earthquake-resistant piles or earthquakeresistant design is already commonplace. The design standards for foundation piles are increasingly defining their criteria in detail.

Seismic capacity is a concept directly related to the horizontal resistance of foundation piles. As long as the seismic resistance of the foundation piles is known, which has been verified through numerous test construction, main construction, and research experiments, the design process is solved.

Co.,Ltd.
70 INVESTOR RELATIONS AUG 2023
APPENDIX
1. Focus group interview 2. Statistics (1) 3. Statistics (2) 4. Case study 5. New Technology Agreement 6. Glossary

APPENDIX

Focus Group Interview

We believe that the development of platforms utilizing hyper-connected, hyperintelligent ICT convergence technologies will radically change the construction market from provider-driven to resident-driven. In the future, residents will want to know (and even demand) information about the piles installed in their buildings (or even brag about them), as they will be the most sensitive to damage to the building's foundation.

Building codes also require the seismic capacity of buildings to be listed on the building register. It is the responsibility of professionals to organize and manage the piles that have been neglected as buried in the ground and invisible, such as the name of the building, the performance of the piles, the seismic performance of the building, and the coordinates, to respond to the needs of residents. The first professional to take on this responsibility is the architect.

Although there are lectures on seismic design of foundation piles published by the Architectural Association of Korea and lectures on seismic design of foundation piles in the continuing education of architects, there are still some difficulties in designing seismic design of foundation piles or seismic piles for architects. The first is the lack of social awareness. Even though there is a standard for seismic design, there is still a practice of

comparing the cost with the substandard foundation piles used in the past. The second is the lack of design experience, which requires an understanding of design methods and seismic pile products to be incorporated into the design. Third, architects should have easy access to design software that can be used easily. With the recent earthquakes and apartment building collapses, disaster safety is gaining attention, so seismic design of foundation piles is like a test that architects must pass. I expect it will become commonplace in the coming years.

/ Department of Architecture, Changwon National University
71 INVESTOR RELATIONS AUG 2023
1. Focus group interview 2. Statistics (1) 3. Statistics (2) 4. Case study 5. New Technology Agreement 6. Glossary

Focus Group Interview

The Building Act (Article 32), its enforcement regulations, implementing rules, and design standards impose obligations not only on builders but also on architects and local government officials in charge of licensing. Default or violation is punishable by imprisonment for up to two years or a fine of up to 10 million won.

A decade ago, more than a hundred architects who submitted fake seismic design certificates to authorities and obtained building permits were criminally charged by the Supreme Prosecutors' Office. Six Seoul city mayors and a mayor in the central region were charged with dereliction of duty. The architects clearly violated building laws by arbitrarily writing the same results or not writing them at all on the seismic design certificate of the building.

Recently, the code added seismic design of foundation piles. With this addition, there will be another case of deception and punishment, just like 10 years ago.

If you're a homeowner, one of the most important things to consider when buying a home is the location of your children's schooling. If you still have children in school. It's a semiprofessional level, looking for things like whether it's a large complex, a backwater area, growth, south-facing, a royal building, interior finishes, etc. In addition, it is good because it has built-in furniture, the windows are special brand, there is no noise between floors, and the like.

Nowadays, in the era of flooding information, it has become an era to ask whether it is an earthquake-resistant building. It is said that all visible things such as columns, beams, lights, and windows have been designed for earthquakes, but if the foundation that supports the building is insufficiently designed for earthquakes, you should be scared and ask more. If the market price of a proper seismic pile is only about the price of a high-end refrigerator, I would check the seismic design under the foundation more carefully. This is the common sense of housewives.

Attorneys Shin Won Law Firm Eun Sook Choi Housewife / Gangdong-gu, Seoul
72 INVESTOR RELATIONS AUG 2023
APPENDIX
1. Focus group interview 2. Statistics (1) 3. Statistics (2) 4. Case study 5. New Technology Agreement 6. Glossary

1. Focus group interview

2. Statistics (1)

3. Statistics (2)

4. Case study

5. New Technology Agreement

6. Glossary

• Published by the Korea Iron and Steel Institute
73 INVESTOR RELATIONS AUG 2023
• "Monthly Steel Bulletin" July 2023 issue
APPENDIX

APPENDIX

• Statistics provided by Nice Evaluation Information Co.Ltd.

1. Focus group interview

2. Statistics (1)

3. Statistics (2)

4. Case study

5. New Technology Agreement

6. Glossary

74 INVESTOR RELATIONS AUG 2023

APPENDIX

1. Focus group interview

2. Statistics (1)

3. Statistics (2)

4. Case study

5. New Technology Agreement

6. Glossary

T-Share Construction Co.Ltd.

Featured Product: Micro Pile with Reinforced Head

Type of Industry: Drilling, grouting, and pipe work

Established : 2021

Sales : 4.4 billion won (2022), 900 million won (2021)

Employees : 5

Special Features : Increasing sales through active online marketing.

KH Construction Co.Ltd.

대Representative product: EXT-Pile, an extension plate attached to the leading edge of a PHC pile. Only sells expansion plates

Business type : Civil engineering, construction pile work and related technical advice and services

Established : 2004

Listed : 2017

Sales : 55 billion won (2022) 491 billion won (2021)

Special Features : A company that went public by selling only the longitudinal reinforcement plate that is attached to the end of the foundation pile, not the entire pile.

75 INVESTOR RELATIONS AUG 2023

APPENDIX

• Construction New Technology Joint Development Agreement

1. Focus group interview

2. Statistics (1)

3. Statistics (2)

4. Case study

5. New Technology Agreement

6. Glossary

When developing new technologies for construction and disaster safety, each partner company shares roles and costs, including materials, geotechnical investigation, construction, re-testing, design, technical support, and preparation of new technology verification reports. In particular, the Construction Technology Research Institute is responsible for the new technology verification report on the final experimental construction results (table below).

단위: 천원 VAT별도

구분 갑 타스파일 주 을1 대경엘에스(주) 을2 주)지오텍코리아 을3 (주 에스와이텍 을4 주)효창이엔지 을5 한국건설기술연구원 지급시기

자재

77
재난안전신기술 50,000 50,000 50,000 50,000 50,000 318,000 일정협의 건설신기술 50,000 50,000 50,000 50,000 50,000 계 100,000 100,000 100,000 100,000 100,000 318,000 현물출자내용
,행정관리 조사 재하시험 시공 설계 기술지원 시공 신기술검증보고서 권한 제조 시공 시공 시공 판매 시공 제조 시공 기술료, 위탁연구 해당특허 가 나 다 나 다 나 다 가 다,라 가 나 라
INVESTOR RELATIONS AUG 2023

Glossary APPENDIX

1. Focus group interview

2. Statistics (1)

3. Statistics (2)

4. Case study

5. New Technology Agreement

6. Glossary

Seismic Piles

① Earthquake-resistant foundation piles ② Earthquake-resistant foundation piles stipulated in the Building Code, Earthquake, Volcanic and Disaster Countermeasures Act, Building Bureau Enforcement Decree, Rules on Structural Standards for Buildings, and Basic Structural Design Standards for Buildings ③ Piles applied to earthquake-resistant foundation members in the MOLIT guidelines and the 'Priority Review Plan for Structural and Fire Safety in Building Permits'.

Tri-axial seismic pile

Earthquake-resistant foundation piles supplied by TASPIL. Patented method (3-axis earthquake-resistant pile structure and industrial patent (10-2014125) A foundation pile with excellent lateral support and vertical load due to the structure of three steel pipe columns connected to a rigid body head.

Micropile (construction method)

Micropiles are defined as non-displacement piles 30 cm or less in diameter used for structural foundations, foundation shoring, and remodeling (FHWA, 2005). Micropiles are constructed with minimal impact on surrounding structures, ground, and the environment, and can be installed in inaccessible areas and in most soil conditions.

STP550

STP550, a law material of triaxial seismic pile, is a steel pipe made of POSCO's high strength material PosH690 (POSCO High strength 690) with a tensile strength of 550N ㎣, which is twice as strong as general steel pipe (STP275). POSCO's STP550 is an environmentally labeled product that contributes to a low-carbon virtuous cycle ecosystem by helping to reduce CO2 emissions.

Construction cost bill

Referring to the specifications, construction data, and design details of a specific construction method, the cost bill is divided into material costs, labor costs, expenses, general management costs, and profit in accordance with the Ministry of Economy and Finance Contract Preliminary Regulation No. 577 (2021.12.1.),

"Scheduled

Price Standard" and "Standard for Application of Procurement Agency Construction Cost Calculation Proportion in 2022".

PESTEL IMPACT MAP

PASTEL analysis is an effective tool for identifying market growth and contraction, business positioning, business direction, etc. using macro environmental factors such as political, economic, socio-cultural, technological, environmental, legal, and ethical components of strategic management. Analysis table showing PASTEL analysis on a positive and negative scale.

80 INVESTOR RELATIONS AUG 2023

APPENDIX

Glossary

1. Focus group interview

2. Statistics (1)

3. Statistics (2)

4. Case study

5. New Technology Agreement

6. Glossary

SUPPLY CHAIN

A supply chain is a network of organizations and business processes for acquiring raw materials, transforming those raw materials into intermediate or final products, and distributing the final products to customers.

VALUATION

Valuation is the process of assessing the current value of a particular asset or company. There are many different valuation techniques, but we'll use PER * EBITA (earnings before interest, taxes, depreciation and amortization of tangible and intangible assets).

FGI(FOCUS GROUP INTERVIEW)

A market research method in which qualitative insights are gained by conducting interviews or sit-downs with consumers who meet certain criteria. In this case, we interviewed a sample of people in various roles related to seismic piles about their perceptions of foundation seismic piles.

81 INVESTOR RELATIONS AUG 2023
Taspile Inc. 18, Jadongchasijang 1-gil, Seongdong-gu, Seoul, Republic of Korea T.02-1877-3781. www.taspile.co.kr
Thank you!

Turn static files into dynamic content formats.

Create a flipbook
Issuu converts static files into: digital portfolios, online yearbooks, online catalogs, digital photo albums and more. Sign up and create your flipbook.