Skip to main content

CO - 5763 Pelican Shores Dr

Page 1


Hi, I’m Seri Williams, a Colorado native and Realtor® with eXp Realty, LLC, specializing in homes throughout Northern Colorado. Being born and raised in Colorado has given me a deep appreciation for everything this beautiful state has to offer — from its homes to its communities. My passion for real estate started at a young age, growing up in a family with deep ties to the housing industry. My grandfather worked in demolition, my mom studied interior design and architecture before becoming a demolition estimator, and my dad owned Mile High Roll Off, a successful commercial and residential waste company serving Colorado for nearly 30 years. Watching their work gave me an appreciation for every step that goes into creating a home — from the ground up.

While I have a passion for luxury homes, I’m just as passionate about helping anyone find a home they love — no matter the size or price. Whether you’re buying your first home or selling your forever home, I’m here to guide you every step of the way with dedication, care, and a genuine love for helping others.

seri.williams@exprealty.com

Connect!

seriwilliams.exprealty.com

DISCLAIMER

This Homebook is provided “as is” without warranty of any kind, either express or implied, including without limitations any warrantees of merchantability or fitness for a particular purpose. There is no representation of warranty that this information is complete or free from error, and the provider does not assume, and expressly disclaims, any liability to any person or entity for loss or damage caused by errors or omissions in this book.

The information contained in the REiSource report is delivered from your First American Title Insurance Company, who reminds you that you have the right as a consumer to compare fees and serviced levels for Title, Escrow, and all other services associated with property ownership, and to select providers accordingly. Your home is the largest investment you will make in your lifetime and you should demand the very best.

First American, the eagle logo, First American Title, and firstam.com are registered trademarks or trademarks of First American Financial Corporation and/or its affiliates.

Subject Property :   5763 Pelican Shores Dr Longmont CO 80504

Owner Information

Owner Name : Williams

Mailing Address : 7320 W 118th Pl, Broomfield CO 80020-6911 C004

Vesting Codes : / / Revocable Trust

Owner Occupied Indicator : A

Location Information

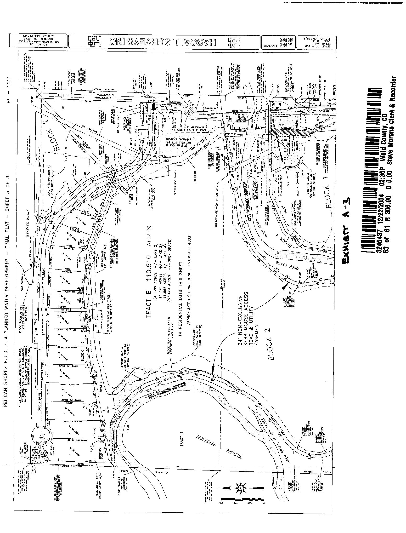
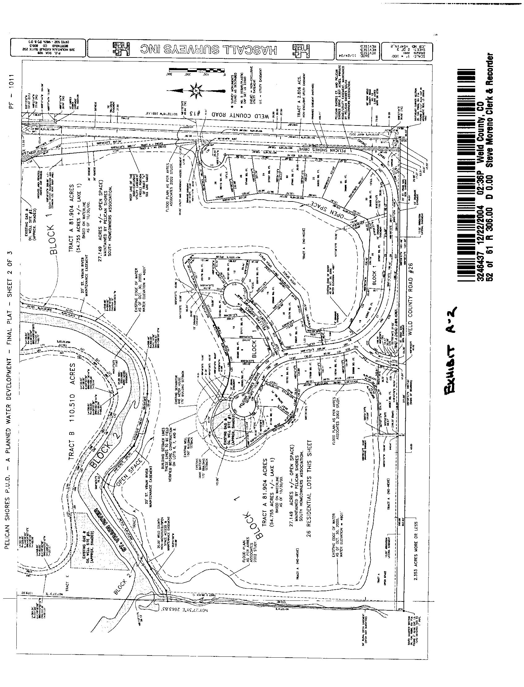
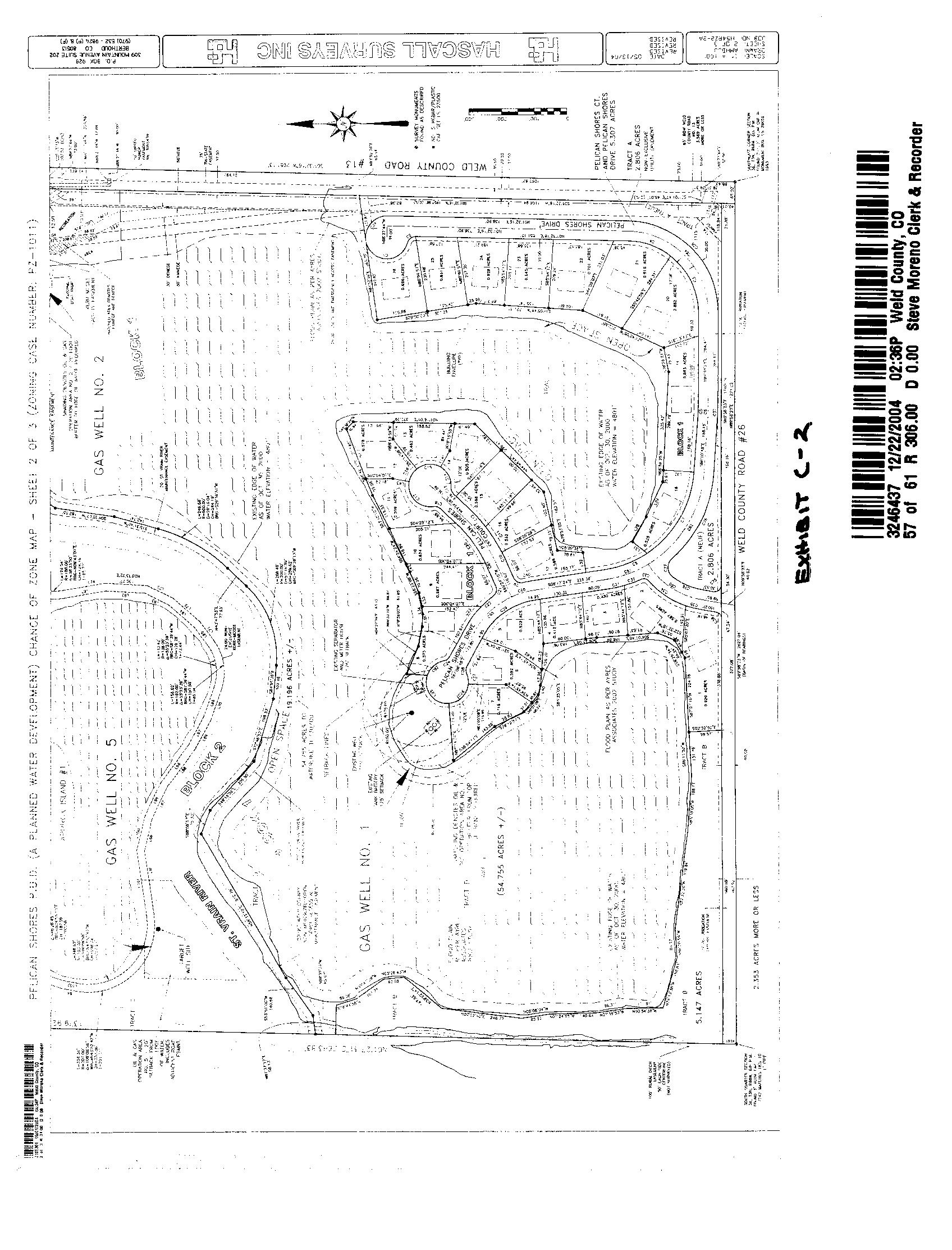
Legal Description : Lot 4 Block 1 Pelican Shores Pud 2nd Amd Pudf20-0005

County : Weld, Co

Census Tract / Block : 20.19 / 1

Township-Range- Sect : 03-68-36

Legal Lot : 4

Legal Block : 1

Owner Transfer Information

Recording/Sale Date : 03/16/2015 / 03/12/2015

Document # : 4090746

Last Market Sale Information

Recording/Sale Date : 06/25/2013 / 06/21/2013

Sale Price : $270,000

Document # : 3942914

Title Company : Land Title Guarantee

Seller Name : Flatiron Mortgage Lending Llc

Prior Sale Information

Prior Rec/Sale Date : 08/06/2012 / 07/31/2012

Prior Sale Price : $237,500

APN : R8973192

Alternate APN : 120736403004

Subdivision : Pelican Shores Pud 2nd Amd Pudf20-0005

School District : St Vrain Valley Re 1j

Deed Type : Quit Claim Deed

Deed Type : Special Warranty Deed

Price Per SqFt : $39.34

Prior Doc Number : 3864261

Prior Deed Type : Special Warranty Deed

Customer Name : De Anna Harwood

Customer Company Name : First American Title Prepared On : 02/27/2025

Property Characteristics

Gross Area : 7,971 # of Stories : 2

Living Area : 6,864

Above Grade : 4298

Bedrooms : 5

Bath(F/H) : 6

Year Built / Eff : 2015

Property Information Land Use : Sfr

County Use : Residential

Tax Information Total Value : $2,150,000

Parking Type : Attached Garage

Garage Area : 1,029

Basement Area : 2,644

Finish Bsmnt Area : FINISHED

Roof Material : Composition Shingle

Exterior wall : Frame/stucco

Interior Wall : Drywall

Porch Type : Porch

Patio Type : Patio

Basement Type : Partial Finished Air Cond : Central

COLORADO NoCo

SPORTS TEAMS:

NOCO RAIN - SOCCER

For their schedule, tickets and more info: nocorainfc.com

NOCO HAILSTORM - SOCCER

For their schedule, tickets and more info: hailstormfc.com

NOCO OWLZ - BASEBALL

For their schedule, tickets and more info: northerncoloradoowlz.com

GREELEY GRAYS – BASEBALL

For their info: greeleygrays.com

NORTHERN COLORADO BEARS

For their schedule, tickets and more info: uncbears.com

COLORADO EAGLES

For their schedule, tickets and more info: coloradoeagles.com

CSU RAMS

For their schedule, tickets and more info: csurams.com

COLORADO GRIT – HOCKEY

For their schedule, tickets and more info: coloradogrithockey.com

GOLF:

PELICAN LAKES

1620 Pelican Lakes Point Windsor, CO 80550 (970) 674-0930 pelicanlakeswindsor.com

HIGHLAND MEADOWS GOLF COURSE

6300 Highland Meadows Pkwy Windsor, CO 80550 (970) 204-4653 highlandmeadowsgolfcourse.com

MARIANA BUTTE GOLF COURSE

701 Clubhouse Dr Loveland, CO 80537 (970) 667-8308 golfloveland.com

MOUNTAIN VISTA GREENS GOLF COURSE

2808 NE Frontage Rd Fort Collins, CO 80524 (970) 482-4847 mountainvistagreens.com

COLLINDALE GOLF COURSE

1441 E Horsetooth Rd Fort Collins, CO 80525 (970) 221-6651 fcgov.com

PTARMIGAN COUNTRY CLUB

5416 Vardon Way Fort Collins, CO 80528 (970) 226-8555 ptarmigancc.com

BOOMERANG LINKS

Book a tee time or your next event: golfingreeley.com

HARMONY GOLF CLUB

4176 Club Dr Timnath, CO 80547 (970) 482-4653 golfingreeley.com

CITY PARK NINE GOLF COURSE

411 S Bryan Ave Fort Collins, CO 80521 (970) 221-6650 fcgov.com

OLDE COURSE

2115 W 29th St

Loveland, CO 80538 (970) 667-5256 golfloveland.com

SOUTHRIDGE GOLF COURSE

5750 S Lemay Ave Fort Collins, CO 80525 (970) 416-2828 fcgov.com/golf

CATTAIL CREEK GOLF COURSE

2116 W 29th St Loveland, CO 80538 (970) 663-5310 golfloveland.com

HIGHLAND HILLS GOLF COURSE

2200 Clubhouse Dr Greeley, CO 80634 (970) 353-4653 golfingreeley.com

TPC COLORADO

2375 Tpc Pkwy Berthoud, CO 80513 (303) 522-5711 tpc.com/colorado

MAD RUSSIAN GOLF CLUB

2100 Country Club Pkwy

Milliken, CO 80543 (970) 587-5157 trpr.org

ESTES PARK GOLF COURSE

1480 Golf Course Rd

Estes Park, CO 80517 (970) 586-8146

evrpd.colorado.gov/estes-park-18hole-golf-course

RAINDANCE

RainDance National Resort & Golf

1775 RainDance National Dr Windsor, CO 80550 (970) 833-1720

raindancenational.com

COLORADO

SPORTS TEAMS & FACILITIES:

DENVER METRO

DENVER BRONCOS

Empower Field at Mile High 1701 Bryant Street, Denver, CO 80204 denverbroncos.com

DENVER NUGGETS

Ball Arena

1000 Chopper Cir., Denver, CO 80204 nba.com/nuggets

COLORADO AVALANCHE

Ball Arena

1000 Chopper Cir., Denver, CO 80204 avalanche.nhl.com

COLORADO ROCKIES

Coors Field

2001 Blake St., Denver, CO 80205 coloradorockies.com

COLORADO RAPIDS

&

Dick’s Sporting Goods Park 6000 Victory Way, Commerce City, CO 80022 • coloradorapids.com

COLORADO MAMMOTH Ball Arena

1000 Chopper Cir., Denver, CO 80204 coloradomammoth.com

UNIVERSITY OF COLORADO cubuffs.com

DENVER UNIVERSITY denverpioneers.com

NATIONAL BALLPARK MUSEUM

140 Blake Street – Denver, CO (303)974-5835 ballparkmuseum.com

NORTHERN COLORADO

COLORADO EAGLES

Blue FCU Arena 5290 Arena Cir., Loveland, CO 80538 coloradoeagles.com

NORTHERN COLORADO HAILSTORM FC

Future Legends Complex 950 Owlz Way, Windsor, CO, 80550 hailstormfc.com

COLORADO STATE UNIVERSITY csurams.com

UNIVERSITY OF NORTHERN COLORADO - BEARS uncbears.com

COLORADO NATIONAL SPEEDWAY

4281 Co Rd 10, Dacono, CO 80514 coloradospeedway.com

SOUTHERN COLORADO

COLORADO SPRINGS SWITCHBACKS FC

Weidner Field 111 W. Cimarron St., Colorado Springs, CO 80903 • switchbacksfc.com

AIR FORCE ACADEMY goairforcefalcons.com

PIKES PEAK INTERNATIONAL RACEWAY

16650 Midway Ranch Rd., Fountain, CO 80817 ppir.com

MUSEUMS:

DENVER METRO

DENVER ART MUSEUM

720.865.5000

100 W. 14th Ave. Pkwy., Denver, CO 80204 • denverartmuseum.org

DENVER MUSEUM OF NATURE & SCIENCE

303.370.6000

2001 Colorado Blvd., Denver, CO 80205 dmns.org

HISTORY COLORADO CENTER

303.447.8679

1200 Broadway, Denver, CO 80203 historycolorado.org

MOLLY BROWN HOUSE

303.832.4092

1340 Pennsylvania St., Denver, CO 80203 • mollybrown.org

COLORADO RAILROAD MUSEUM

303.279.4591

17155 W. 44th Ave., Golden, CO 80403 coloradorailroadmuseum.org

KIRKLAND MUSEUM OF FINE DECORATIVE ART

303.832.8576

1201 Bannock St., Denver, CO 80204 kirklandmuseum.org

FORNEY MUSEUM OF TRANSPORTATION

303.297.1113

4303 Brighton Blvd., Denver, CO 80216 forneymuseum.com

COLORADO

MUSEUMS Cont.

MUSEUM OF CONTEMPORARY ART

303.298.7554

1485 Delgany St., Denver, CO 80202 mcadenver.org

THE CHILDREN’S MUSEUM OF DENVER

303.433.7444

2121 Children’s Museum Dr., Denver, CO 80211 • mychildsmuseum.org

DENVER FIREFIGHTERS MUSEUM

303.892.1436

1326 Tremont Pl., Denver, CO 80204 denverfirefightersmuseum.org

BUFFALO BILL MUSEUM & GRAVE

720.865.2160

987 1/2 Lookout Mountain Rd, Golden, CO 80401• buffalobill.org

MUSEUM OF MINIATURES, DOLLS & TOYS

303.322.1053

830 Kipling St., Lakewood, CO 80215 dmmdt.org

CLYFFORD STILL MUSEUM

720.354.4880

1250 Bannock St., Denver, CO 80204 clyffordstillmuseum.org

MORRISON NATURAL HISTORY MUSEUM

303.697.1873

501 CO-8, Morrison, CO 80465 morrisonco.us

NATIONAL BALLPARK MUSEUM

303.974.5835

1940 Blake St., Denver, CO 80202 ballparkmuseum.com

BOULDER MUSEUM OF CONTEMPORARY ART

303.443.2122

1750 13th St., Boulder, 80302 bmoca.org

WINGS OVER THE ROCKIES AIR & SPACE MUSEUM

303.360.5360

7711 E Academy Blvd., Denver, CO 80230 • wingsmuseum.org

AMERICAN MOUNTAINEERING MUSEUM

303.996.2747

710 10th St., Golden, CO 80401 mountaineeringmuseum.org

NORTHERN COLORADO

FORT COLLINS MUSEUM OF DISCOVERY

970.221.6738

408 Mason Ct., Fort Collins, CO 80524 fcmod.org

LOVELAND MUSEUM

970.962.2410

503 N Lincoln Ave., Loveland, CO 80537 cliffdwellingsmuseum.com

COLORADO MODEL RAILROAD MUSEUM

970.392.2934

680 10th St., Greeley, CO 80631 cmrm.org

FORT COLLINS MUSEUM OF ART

970.482.2787

201 S College Ave., Ft. Collins, CO 80524 moafc.org

GREELEY HISTORY MUSEUM

970.350.9220

714 8th St., Greeley, CO 80631 greeleymuseums.com/locations/greeley-history-museum

SOUTHERN COLORADO

MANITOU CLIFF DWELLINGS

719.685.5242

10 Cliff Rd., Manitou Springs, CO 80829 cliffdwellingsmuseum.com

FINE ARTS CENTER

719.634.5581

30 W Dale St., Colorado Springs, CO 80903 • fac.coloradocollege.edu

PRORODEO HALL OF FAME & MUSEUM

719.528.4764

103 Pro Rodeo Dr., Colorado Springs, 80919 prorodeohalloffame.com

U.S. OLYMPIC MUSEUM

719.497.1234

200 S Sierra Madre St., Colorado Springs, CO 80903 • usopm.org

MIRAMONT CASTLE

719.685.1011

9 Capitol Hill Ave., Manitou Springs, CO 80829 • ballparkmuseum.com

GHOST TOWN MUSEUM

719.634.0696

400 S 21st St., Colorado Springs, CO 80904 • ghosttownmuseum.com

STATE PARKS:

cpw.state.co.us/placestogo/parks

DENVER METRO

BARR LAKE Brighton, CO

CHERRY CREEK Aurora, CO

ELDORADO CANYON Boulder, CO

COLORADO

STATE PARKS cont.

CASTLEWOOD CANYON

Franktown, CO

ROXBOROUGH

Littleton, CO

CHATFIELD

Littleton, CO

GOLDEN GATE CANYON

Golden, CO

NORTHERN COLORADO

STATE FOREST

Walden, CO

BOYD LAKE

Loveland, CO

LORY

Fort Collins, CO

ST. VRAIN

Firestone, CO

SOUTHERN COLORADO

CHEYENNE MOUNTAIN

Colorado Springs, CO

LAKE PUEBLO

Pueblo, CO

MUELLER

Colorado Springs, CO

OTHER PARKS:

DENVER METRO

RED ROCKS PARK AND AMPHITHEATRE

720.865.2494

18300 W Alameda Pkwy., Morrison, CO 80465 • redrocksonline.com

SOUTHERN COLORADO

GARDEN OF THE GODS

719.634.6666

1805 N. 30th St., Colorado Springs, CO 80904 • gardenofgods.com

CAVE OF THE WINDS

MOUNTAIN PARK

719.685.5444

100 Cave of the Winds Rd. Manitou Springs, CO 80829 caveofthewinds.com

ROYAL GORGE BRIDGE & PARK

719.275.7507

4218 CO RD 3A, Cañon City, CO 81212 royalgorgebridge.com

SANCTUARIES

& ZOOS: DENVER METRO

DENVER ZOO

720.337.1400

2300 Steele St., Denver, CO 80205 denverzoo.org

DENVER AQUARIUM

303.561.4450

700 Water St., Denver, CO 80211 aquariumrestaurants.com

BUTTERFLY PAVILION

303.469.5441

6252 W 104th Ave., Westminster, CO 80020 • aquariumrestaurants.com

EASTERN COLORADO

THE WILD ANIMAL SANCTUARY

303.536.0118

2999 CO RD 53, Keenesburg, CO 80643 wildanimalsanctuary.org

SOUTHERN COLORADO

CHEYENNE MOUNTAIN ZOO

719.633.9925

4250 Cheyenne Mtn. Zoo Road Colorado Springs, CO 80906 cmzoo.org

PUEBLO ZOO

719.561.1452

3455 Nuckolls Ave., Pueblo, CO 81005 pueblozoo.org

COLORADO WOLF & WILDLIFE CENTER

719.687.9742

4729 Twin Rocks Rd., Divide, CO 80814 wolfeducation.org

AMUSEMENT PARKS:

DENVER METRO

ELITCH GARDENS

303.595.4386

2000 Elitch Cir., Denver, CO 80204 elitchgardens.com

WATER WORLD

303.427.7873

8801 N Pecos St., Federal Heights, CO 80260 • waterworldcolorado.com

LAKESIDE AMUSEMENT

PARK

303.477.1621

4601 Sheridan Blvd., Denver, CO 80212 lakesideamusementpark.com

NORTHERN COLORADO

RIDE-A-KART

970.586.6495

2250 Big Thompson Ave. • Estes Park, 80517 www.rideakart.com

COLORADO

AMUSEMENT PARKS cont.

NORTHERN COLORADO

ESTES PARK RIDE-A-KART

970.586.6495

2250 Big Thompson Ave., Estes Park, CO 80517 • rideakart.com

SOUTHERN COLORADO

NORTH POLE CO SANTA’S WORKSHOP

719.684.9432

5050 Pikes Peak Highway, Cascade, CO 80809 • northpolecolorado.com

TOURS:

DENVER METRO

UNITED STATES MINT

303.572.9500

320 W. Colfax Ave., Denver, CO 80204 usmint.gov

COLORADO STATE CAPITOL BUILDING

NORTHERN COLORADO

BUDWEISER BREWERY EXPERIENCE

970.490.4691

2685 Busch Dr., Fort Collins, CO 80524 budweisertours.com

PERFOMING ARTS:

DENVER METRO

DENVER CENTER FOR THE PERFORMING ARTS

303.893.4100

1101 13th St., Denver, CO 80204 denvercenter.org

ARVADA CENTER

720.898.7200

6901 Wadsworth Blvd., Arvada, CO 80003 • arvadacenter.org

NORTHERN COLORADO

THE LINCOLN CENTER

970.221.6730 417 W Magnolia St., Fort Collins, CO 80521 • lctix.com

DENVER METRO

DENVER BOTANIC GARDENS

720.865.3500

1007 N York St., Denver, CO 80206 botanicgardens.org

SOUTHERN COLORADO

THE BROADMOOR SEVEN FALLS

855.923.7272

1045 Lower Gold Camp Rd., Colorado Springs, CO 80905 broadmoor.com/adventures/seven-falls/tickets

PIKES PEAK COG RAILWAY

719.685.5401

515 Ruxton Ave., Manitou Springs, CO 80829 • cograilway.com

&

303.866.2604

200 E. Colfax Ave., Denver, CO 80203 capitol.colorado.gov

HAMMOND’S CANDIES

303.333.5588

5735 Washington St., Denver, CO 80216 hammondscandies.com

COORS BREWERY TOUR

303.277.2337

502 14th Street, Golden, CO 80401 millercoors.com

CELESTIAL SEASONINGS FACTORY TOUR

303.530.5300

4600 Sleepytime Dr., Boulder, CO 80301 celestialseasonings.com

UNION COLONY CIVIC CENTER

970.356.5000 701 10th Ave., Greeley, CO 80631

SOUTHERN COLORADO

PIKES PEAK CENTER FOR THE PERFORMING ARTS

719.477.2100

190 S Cascade Ave., Colorado Springs, CO 80903 • pikespeakcenter.com

(Call for hours)

COLORADO

SKI RESORTS:

ARAPAHOE BASIN SKI AREA

970.468.0718 arapahoebasin.com

ASPEN MOUNTAIN

970.923.1227 aspensnowmass.com

BEAVER CREEK RESORT

970.754.4636 beavercreek.com

BLUE SKY BASIN

970.754.8245 vail.com

BRECKENRIDGE SKI RESORT

970.453.5000 breckenridge.com

BUTTERMILK SKI RESORT

855.496.9219 aspensnowmass.com

COPPER MOUNTAIN RESORT

970.968.3025 coppercolorado.com

CRESTED BUTTE MOUNTAIN RESORT

970.251.7021 skicb.com

ECHO MOUNTAIN echomntn.com

ELDORA MOUNTAIN RESORT

303.440.8700 eldora.com

HESPERUS SKI AREA

970.385.2199 ski-hesperus.com

HOWELSEN HILL SKI AREA

970.879.8499 steamboatsprings.net

KENDALL MOUNTAIN

970.387.5522 skikendall.com

KEYSTONE RESORT

970.754.0001 keystoneresort.com

LOVELAND SKI AREA

720.405.6455 skiloveland.com

MONARCH MOUNTAIN

719.530.5000 skimonarch.com

POWDERHORN RESORT

970.268.5700 powderhorn.com

PURGATORY RESORT

800.525.0892 purgatory.ski

SILVERTON MOUNTAIN

970.387.5706 silvertonmountain.com

SKI COOPER

719.486.2277 skicooper.com

STEAMBOAT SKI RESORT

970.879.6111 steamboat.com

SUNLIGHT MOUNTAIN RESORT

970.945.7491 sunlightmtn.com

TELLURIDE SKI RESORT

800.778.8581 tellurideskiresort.com

VAIL MOUNTAIN RESORT

970.476.3600 vailresorts.com

WINTER PARK SKI RESORT

970.726.5514 winterparkresort.com

WOLF CREEK SKI AREA

970.264.5639 wolfcreekski.com

GRANDBY RANCH

888.850.4615 granbyranch.com

SNOWMASS gosnowmass.com

ASPEN HIGHLANDS

800-525-6200 aspensnowmass.com

RESORTS, SNOW REPORT AND PASSES VISIT: coloradoski.com

COLORADO

• Colorado contains 75% of the land area of the U.S. with an altitude over 10,000 feet.

• Colfax avenue is the longest continuous street in America.

• Every year Denver hosts the worlds largest rodeo, the Western Stock Show.

• Denver has the largest city park system in the nation with 205 parks in the city limits and 20,000 acres of parks in nearby mountains.

• Colorado has more microbreweries per capita than any other state.

• The highest suspension bridge in the world is over the Royal Gorge near Canon City. The Royal Gorge Bridge span the Arkansas River at a height of 1,053 feet.

• The world’s largest natural hot springs pool is located in Glenwood Springs.

• “Beulah red” is the name of the red marble that gives the Colorado State Capitol its distinctive splendor. Cutting, polishing and installing the marble in the Capitol took six years from 1894 to 1900. All of the Beulah red marble in the world went into the Capitol.

• The highest paved road in North America is the road to Mt. Evans off of I-70 from Idaho Springs. The road climbs up to14,258 feet above sea level.

• The United States Federal Government owns more than 1/3 of the land in Colorado.

• The 13th step of the state capitol building in Denver is exactly one mile high above sea level.

• The Dwight Eisenhower Memorial Tunnel between Clear Creek & Summit counties is the highest auto tunnel in the world. Bored at an elevation of 11,000 feet under the Continental Divide, it is 8,960 feet long and the average daily traffic exceeds 26,000 vehicles.

• Katherine Lee Bates wrote “America the Beautiful” after being inspired by the views from Pikes Peak.

• In Denver, you can attend sporting events for the NFL (Broncos), MLB (Rockies), NHL (Avalanche), and the NBA (Nuggets) all within a three-mile radius!

• Colorado was the first state to legalize the recreational use of marijuana in 2012.

COLORADO

• The highest point in Colorado is Mount Elbert at 14,433 feet

• The Dwight Eisenhower Memorial Tunnel between Clear Creek and Summit counties is the highest auto tunnel in the United States. “When originally opened in the 1970s, the tunnel was not only the highest vehicular tunnel in the US, but at that time it was also the highest in the world. Since then, higher tunnels have been built across the globe,” the Colorado Department of Transportation said.

• Trail Ridge Road, the highest continuous U.S. highway, leaves Rocky Mountain National Park on the east and soars to 12,183 feet as it crosses the Continental Divide to the Western Slope. The highest paved road in North America is the road to Mount Evans off of I-70 from Idaho Springs. The road climbs up to 14,258 feet above sea level.

• Colorado has the highest mean altitude of all the states.

• Louis E. Ballast invented the cheeseburger in 1935 at his restaurant, the Humpty Dumpty Barrel Drive In, in Denver.

• Four-state corner - Colorado’s southwest corner is the only place in the United States where the corners of four states meet: Arizona, New Mexico, and Utah.

• Colorado River - The river was named by Spanish explorers for its muddy, red hue, which means “colored red” in Spanish.

• Colorado Trail - This 500-mile hiking trail runs from Durango to Denver, crossing five river systems, six wilderness areas, seven national forests, and eight mountain ranges.

• Denver records an average of over 300 days of sunshine per year--more than San Diego or Miami Beach.

• At an elevation of 5,280 feet, Denver is nicknamed the “Mile High City” because it sits exactly one mile above sea level.

• The U.S. Air Force Academy was built in Colorado Springs in 1958.

• Jolly Rancher Candies started in Golden, also home to Coors Brewery.

COLORADO

ADMISSION TO STATEHOOD: August 1, 1876

AREA:

Colorado has a total of 104,100 Sq. Miles (8th largest in the US)

HIGHEST POINT: Mt. Elbert; 14,433 feet

LARGEST CITY: Denver

LOWEST POINT: Arikaree River; 3,315 feet

MAJOR INDUSTRIES:

Agriculture (wheat, cattle, sheep), Tourism(especially skiers), Mining (gold, silver), Oil, Finance, and Manufacturing

ORIGIN OF THE NAME “COLORADO:”

The word Colorado is spanish for “color red” and refers to the muddy Colorado River

POPULATION:

5,914,181 (2024 estimate)

STATE ABBREVIATION: CO

STATE ANIMAL: Rocky Mountain Big Horn Sheep

STATE BIRD: Lark Bunting

STATE CAPITAL: Denver

STATE DANCE: Square Dance

STATE FISH: Greenback Cutthroat Trout

STATE FLOWER: Rocky Mountain Columbine

STATE FOSSIL: Stegosaurus

STATE GEMSTONE: Aquamarine

STATE GRASS: Blue Grama Grass

STATE INSECT: Colorado Hairstreak Butterfly

STATE MOTO: Nil sine Numine (“Nothing Without Divine Will or Providence”)

STATE NICKNAME: Centennial State / Colorful Colorado

STATE SOIL: Seitz

STATE SONG: “Where the Columbines Grow”

STATE TREE: Blue Spruce

NORTHERN COLORADO

Larimer & Weld Counties

SCHOOL DISTRICT:

ST VRAIN DIST RE 1J

SCHOOLS:

MEAD ELEMENTARY

MEAD MIDDLE MEAD HIGH

NORTHERN COLORADO

Larimer & Weld Counties

NORTHERN COLORADO

NORTH CENTRAL REGION SCHOOL

DISTRICTS:

AULT HIGHLAND RE-9

Ault www.weldre9.org

BRIGGSDALE RE-10

Briggsdale www.briggsdaleschool.org

BRUSH RE-2(J)

Brush www.brushschools.org

EATON RE-2

Eaton www.eaton.k12.co.us

FORT MORGAN RE-3

Fort Morgan www.morgan.k12.co.us

GREELEY 6

Greeley www.greeleyschools.org

ESTES PARK RE-3

Estes Park www.estesschools.org

PAWNEE RE-12

Grover www.pawneeschool.org

PLATTE VALLEY RE-7

Kersey www.plattevalley.k12.co.us

POUDRE R-1

Fort Collins www.psdschools.org

PRAIRIE RE-11

New Raymer www.prairieschool.org

Larimer & Weld Counties SCHOOL

ST. VRAIN RE-1J

Longmont www.svvsd.org

THOMPSON R-2J Loveland www.thompsonschools.org

WELD COUNTY RE-1

Gilcrest www.wcsdre1.org

WELD COUNTY RE-5J

(JOHNSTOWN-MILLIKEN)

Milliken www.weld5j.k12.co.us

WELD COUNTY RE-8

Fort Lupton www.weld8.org

WELD COUNTY SCHOOL

DISTRICT RE-3J

Keenesburg www.re3j.com

WELDON VALLEY RE-20(J)

Weldona www.weldonvalley.org

WIGGINS RE-50(J) Wiggins www.wiggins50.k12.co.us

WINDSOR RE-4

Windsor www.weldre4.org

2024 Final School Performance Framework

5726: Mead Elementary School | 0470: St Vrain Valley RE1J

Governor’s Distinguished Improvement Award Performance Plan

86.6/100 Points Earned

The performance framework evaluates district and school performance on Academic Achievement, Academic Growth, and Postsecondary & Workforce Readiness indicators The percentage of points earned across all indicators determines the final accreditation rating for a district or the final plan type for a school, which is displayed above The cut points for final ratings established by the State Board of Education are shown at the right of this page Failure to meet test participation, safety, and finance assurances may result in a rating being lowered by one level Refer to the scoring guide near the end of this report for more details on how ratings are determined

InsufficientStateData: No reportable achievement and growth data

(-) No Reportable Data

*Under state accountability policy, 95% of students must participate in state assessments Students who are excused from testing by a parent or guardian do not impact the Accountability Participation Rate that is used to determine whether the overall rating is reduced by one level Districts or schools

total participation in ELA and Math receive a "Low Total Participation" descriptor to help readers when interpreting accountability data The descriptor does not impact framework calculations Multilingual Learners in their first year in the U S who were eligible to take the

ACADEMIC ACHIEVEMENT

2024 Final School Performance Framework

ACADEMIC GROWTH

This page displays the performance indicator data for the elementary school level For the 1-year report, calculations are based on 2024 state assessment results Multi-year reports include 2022 through 2024 results

Academic Achievement: mean scale scores represent outcomes for designated subjects and student groups; participation rates included on this page count parent excusals as non-participants Cut-scores for the CMAS Science metric were re-normed based on 2024 results

Academic Growth: median student growth percentiles and percentages of students on track to meet targets represent outcomes for designated subjects and student groups

For additional information regarding Academic Achievement and Academic Growth points, cut-points, and ratings, refer to the scoring guide at the end of this document. Additional resources are available at http://www.cde.state.co.us/accountability/accountability-resources

Multilingual Learners describes students that are Non-English Proficient (NEP), Limited

1, Monitor Year 2, Exited Year 1, & Exited Year 2 (*) Not Applicable; (-) No Reportable Data

(LEP), and Fluent

- Monitor

5726: Mead Elementary School | 0470: St Vrain Valley RE1J

Scoring Guide for 2024 District/School Performance Frameworks

2024 Final School Performance Framework

5730: Mead Middle School | 0470: St Vrain Valley RE1J

Plan Type

Performance Plan

Official Rating based on SINGLE-YEAR SPF Report

79.3/100

Points Earned

The performance framework evaluates district and school performance on Academic Achievement, Academic Growth, and Postsecondary & Workforce Readiness indicators The percentage of points earned across all indicators determines the final accreditation rating for a district or the final plan type for a school, which is displayed above The cut points for final ratings established by the State Board of Education are shown at the right of this page Failure to meet test participation, safety, and finance assurances may result in a rating being lowered by one level Refer to the scoring guide near the end of this report for more details on how ratings are determined

InsufficientStateData: No reportable achievement and growth data

(-) No Reportable Data

*Under state accountability policy, 95% of students must participate in state assessments Students who are excused from testing by a parent or guardian do not impact the Accountability Participation Rate that is used to determine whether the overall rating is reduced by one level Districts or schools with

total participation in ELA and Math receive a "Low Total Participation" descriptor to help readers when interpreting accountability data The descriptor does not impact framework calculations Multilingual Learners in their first year in the U S who were eligible to take the

5730: Mead Middle School | 0470: St Vrain Valley RE1J

ACADEMIC ACHIEVEMENT

ACADEMIC GROWTH

This page displays the performance indicator data for the middle school level For the 1-year report, calculations are based on 2024 state assessment results Multi-year reports include 2022 through 2024 results

Academic Achievement: mean scale scores represent outcomes for designated subjects and student groups; participation rates included on this page count parent excusals as non-participants Cut-scores for the CMAS Science metric were re-normed based on 2024 results

Academic Growth: median student growth percentiles and percentages of students on track to meet targets represent outcomes for designated subjects and student groups

For additional information regarding Academic Achievement and Academic Growth points, cut-points, and ratings, refer to the scoring guide at the end of this document. Additional resources are available at http://www.cde.state.co.us/accountability/accountability-resources

Multilingual Learners describes students that are Non-English Proficient (NEP), Limited English Proficient (LEP), and Fluent

(FEP) - Monitor Year 1, Monitor Year 2, Exited Year 1, & Exited Year 2 (*) Not Applicable; (-) No Reportable Data

Scoring Guide for 2024 District/School Performance Frameworks

5722: Mead High School | 0470: St Vrain Valley RE1J

Performance Plan

2024 Final School Performance Framework

61.7/100

Points Earned

The performance framework evaluates district and school performance on Academic Achievement, Academic Growth, and Postsecondary & Workforce Readiness indicators The percentage of points earned across all indicators determines the final accreditation rating for a district or the final plan type for a school, which is displayed above The cut points for final ratings established by the State Board of Education are shown at the right of this page Failure to meet test participation, safety, and finance assurances may result in a rating being lowered by one level Refer to the scoring guide near the end of this report for more details on how ratings are determined

InsufficientStateData: No reportable achievement and growth data

Summary of Ratings by EMH Level

(-) No Reportable Data

*Under state accountability policy, 95% of students must participate in state assessments Students who are excused from testing by a parent or guardian do not impact the Accountability Participation Rate that is used to determine whether the overall rating is reduced by one level Districts or schools

total participation in ELA and Math receive a "Low Total Participation" descriptor to help readers when interpreting accountability data The descriptor does not impact framework calculations Multilingual Learners in their first year in the U S who were

2024 Final School Performance Framework

5722: Mead High School | 0470: St Vrain Valley RE1J High School

ACADEMIC GROWTH

This page displays the performance indicator data for the high school level For the 1-year report, calculations are based on 2024 state assessment results Multi-year reports include 2022 through 2024 results

Academic Achievement: mean scale scores represent outcomes for designated subjects and student groups; participation rates included on this page count parent excusals as non-participants Cut-scores for the digital PSAT/SAT and CMAS Science metrics were re-normed based on 2024 results

Academic Growth: median student growth percentiles and percentages of students on track to meet targets represent outcomes for designated subjects and student groups

For additional information regarding Academic Achievement and Academic Growth points, cut-points, and ratings, refer to the scoring guide at the end of this document. Additional resources are available at http://www.cde.state.co.us/accountability/accountability-resources

Multilingual Learners describes students that are Non-English Proficient (NEP),

1, Monitor Year 2, Exited Year 1, & Exited Year 2 (*) Not Applicable; (-) No Reportable Data

(LEP), and Fluent

POSTSECONDARY AND WORKFORCE READINESS

REFERENCE TABLE: DISAGGREGATED GRADUATION RATES

CO SAT: represent outcomes for designated subjects and student groups; participation rates count parent excusals as non-participants For the 1-year report, calculations are based on 2024 state assessment results Multi-year reports include 2022-2024 results Cut-scores were re-normed based on 2024 results

Dropout Rates: represent percentages of students enrolled in grades 7-12 for districts and 9-12 for schools at any time during the year who left and did not subsequently enroll in another Colorado school 1-Year calculations are based on the 2023 End of Year (EOY) data submission Multi-year reports include 2021 through 2023 records

Matriculation Rates: represent percentages of high school graduates with a qualifying credential, enrollment, or enlistment status in a Career & Technical Education (CTE) program, a 2- or 4-year institute of higher education, a branch of the military, or a postsecondary program Beginning in 2024, high school graduates who were enrolled in ASCENT, P-TECH, or TREP programs (i.e., Postsecondary Program) during their 5th year of high school count as successes. 1-Year calculations are based on the 2023 graduation cohort. Multi-year reports include 2021 through 2023 records.

Graduation Rates: represent percentages of students graduating high school within designated timeframes. Ratings are based on the best of the 4-, 5-, 6-, and 7-year graduation rates AYGs designate Anticipated Years of Graduation, which are defined as four years after the year that students initially enroll in 9th grade Calculations for 1-Year and Multi-Year reports are based on data for students with AYGs between 2020 and 2023

For additional information about ratings, refer to the scoring guide on the last page of this report. Additional resources are available at http://www.cde.state.co.us/accountability/accountability-resources

Multilingual Learners describes students that are Non-English

5722: Mead High School | 0470: St Vrain Valley RE1J

Scoring Guide for 2024 District/School Performance Frameworks

Public Schools :

Elementary Schools

Firestone Charter Academy Distance 0.89 Miles

5753 Twilight Avenue Firestone CO 80504

Telephone : (303) 772-3711

Lowest Grade : Pre-K

Kindergarten : Yes

Enrollment : 637

Centennial Elementary

10290 Neighbors Parkway Firestone CO 80504

Telephone : (720) 652-8240

Lowest Grade : Pre-K

Kindergarten : Yes

Enrollment : 468

School District : St. Vrain Valley School District No. Re1j

Highest Grade : 8th

School Enrollment :

Total Expenditure/Student : 69

School District : St. Vrain Valley School District No. Re1j

Highest Grade : 5th

School Enrollment :

Total Expenditure/Student : 69

Prairie Ridge Elementary School Distance 1.9 Miles

6632 St Vrain Ranch Boulevard Firestone CO 80504

Telephone : (720) 494-3641

Lowest Grade : Pre-K

Kindergarten : Yes

Enrollment : 424

School District : St. Vrain Valley School District No. Re1j

Highest Grade : 5th

School Enrollment :

Total Expenditure/Student : 69

Name : De Anna Harwood

Company Name : First American Title Prepared On : 02/27/2025

Middle Schools

Coal Ridge Middle School

6201 Booth Drive Firestone CO 80504

Telephone : (303) 833-4176

Lowest Grade : 6th

Kindergarten : No

Enrollment : 800

School District : St. Vrain Valley School District No. Re1j

Highest Grade : 8th

School Enrollment :

Total Expenditure/Student : 69

HIGHER EDUCATION

State of Colorado

FOUR YEAR INSTITUTIONS:

ADAMS STATE UNIVERSITY

719.587.7011

208 Edgemont Blvd. • Alamosa, 81101 www.adams.edu

COLORADO CHRISTIAN UNIVERSITY

303.963.3000 8787 W Alameda Ave. • Lakewood, 80226 www.ccu.edu

COLORADO COLLEGE

(719) 389-6344

14 E Cache La Poudre St. Colorado Springs, 80903 coloradocollege.edu/visit

COLORADO MESA

UNIVERSITY

970.248.1020

1100 North Ave. • Grand Junction, 81501 coloradomesa.edu

COLORADO SCHOOL OF MINES

303.273.3000

1500 Illinois St. • Golden, 80401 www.mines.edu

COLORADO STATE UNIVERSITY

(970) 491-5288

2545 Research Blvd. Fort Collins, CO 80526 www.colostate.edu

COLORADO STATE UNIVERSITY - PUEBLO

719.549.2100

SCHOOL

2200 Bonforte Blvd. • Pueblo, 81001 www.csupueblo.edu

COLORADO STATE UNIVERSITY GLOBAL

800.462.7845

585 Salida Way • Aurora, 80011 www.csuglobal.edu

COLORADO TECHNICAL UNIVERSITY

855.230.0555

1575 Garden of the Gods Rd. #100 Colorado Springs, 80907 www.coloradotech.edu

COLUMBIA COLLEGEDENVER

303.771.0176

15500 E. Centretech Pkwy. Aurora, 80011 www.ccis.edu

DEVRY UNIVERSITY

303.280.7400

1870 W 122nd Ave. Westminster, 80234 www.devry.edu

FORT LEWIS COLLEGE

877.352.2656

1000 Rim Dr. • Durango, 81301 www.fortlewis.edu

METROPOLITAN STATE UNIVERSITY OF DENVER

303.556.5740

890 Auraria Pkwy. • Denver, 80204 www.msudenver.edu

NAZARENE BIBLE COLLEGE

719.884.5000

2020 N Academy Blvd Suite 316 Colorado Springs, 80909 www.nbc.edu

NAROPA UNIVERSITY

303.444.0202

2130 Arapahoe Ave. • Boulder, 80302 www.naropa.edu

REGIS UNIVERSITY

800.388.2366

3333 Regis Blvd. • Denver, 80221 www.regis.edu

ROCKY MOUNTAIN COLLEGE OF ART & DESIGN

303.753.6046

1600 Pierce St. • Lakewood, 80214 www.rmcad.edu

UNITED STATES AIR FORCE ACADEMY

(719) 333-2025

2304 Cadet Dr, Suite 3100 Air Force Academy, CO 80840 www.usafa.edu

UNIVERSITY OF COLORADO BOULDER

303.492.1411

1125 18th St, Ste 221 • Boulder, 80309 www.colorado.edu

UNIVERSITY OF COLORADO - COLORADO SPRINGS

719.255.8227

1420 Austin Bluffs Pkwy Colorado Springs, 80918 www.uccs.edu

UNIVERSITY OF COLORADO - DENVER

303.315.5969

1201 Larimer St. • Denver, 80204 www.ucdenver.edu

UNIVERSITY OF DENVER

303.871.2000

2199 S University Blvd. • Denver, 80210 www.du.edu

UNIVERSITY OF NORTHERN COLORADO

970.351.1890

501 W 20th St. • Greeley, 80639 www.unco.edu

HIGHER EDUCATION

State of Colorado SCHOOL

FOUR YEAR

INSTITUTIONS Cont.

WESTERN COLORADO UNIVERSITY

970.943.2119

1 Western Way • Gunnison, 81231 www.western.edu

WILLIAM HOWARD TAFT UNIVERSITY

303.867.1155

1325 S Colorado Blvd Suite B-404, Denver, CO 80222 www.taft.edu

TWO YEAR INSTITUTIONS:

AIMS COMMUNITY COLLEGE

970.330.8008

5401 W. 20th St. • Greeley, 80634

260 College Ave. • Fort Lupton, 80621 104 E. Fourth Street • Loveland, 80537 1120 Southgate Dr. • Windsor, 80550 www.aims.edu

ARAPAHOE COMMUNITY COLLEGE

303.797.4222

5900 S. SantaFe Dr. • Littleton, 80120

4500 Limelight Ave. • Castle Rock, 80109 10035 Peoria St. • Parker, 80124 www.arapahoe.edu

COLORADO NORTHWESTERN COMMUNITY COLLEGE

(800) 562-1105

500 Kennedy Dr. • Rangely, 81648

2801 W 9th St • Craig, 81625 10035 Peoria St. • Parker, 80124 www.cncc.edu

COLORADO MOUNTAIN COLLEGE

970.945.8691

901 South Hwy 24 • Leadville, 80461

3000 County Road 114 • Glenwood Springs, 81601 1275 Crawford Avenue • Steamboat Springs, 80487

0255 Sage Way • Aspen, 81611

107 Denison Placer Rd. • Breckenridge, CO 80424

333 Fiedler Avenue • Dillon, CO 80435

690 Colorado Ave. • Carbondale, 81623

1402 Blake Ave. • Glenwood Springs, 81601

3695 Airport Rd. • Rifle, 81650

349 E 9th St. • Salida, CO 81201

150 Miller Ranch Rd. • Edwards, 81632 www.coloradomtn.edu

COMMUNITY COLLEGE OF AURORA

303.360.4700

710 Alton Way • Denver, 80230 www.ccaurora.edu

COMMUNITY COLLEGE OF DENVER (LOWRY CAMPUS)

(303) 365-8300

CCD Center for Health Sciences at, 1070 Alton Way, Lowry, CO 80230 www.ccd.edu

FRONT RANGE

COMMUNITY COLLEGE

303.404.5000

2190 Miller Dr. • Longmont, 80501 4616 S. Shields St. • Ft. Collins, 80526 3645 W. 112th Ave. • Westminster, 80031 www.frontrange.edu

LAMAR COMMUNITY COLLEGE

719.336.2248

2401 S Main St. • Lamar, CO 81052 www.lamarcc.edu

MORGAN COMMUNITY COLLEGE

970.542.3100

920 Barlow Rd. • Fort Morgan, 80701 www.morgancc.edu

NORTHEASTERN JUNIOR COLLEGE

970.521.6600

100 College Ave. • Sterling, 80751 www.njc.edu

OTERO COLLEGE

(719) 384-6800

1802 Colorado Ave. • La Junta, 81050 www.otero.edu

PIKES PEAK STATE COLLEGE

719.502.2000

5675 S Academy Blvd. Colorado Springs, 80906 www.pikespeak.edu

PUEBLO COMMUNITY COLLEGE

(719) 549-3200

900 W Orman Ave. • Pueblo, 81004

51320 W Hwy 50 • Canon City, 81212 33057 Hwy 160 • Mancos, 81328 www.pueblocc.edu

RED ROCKS COMMUNITY COLLEGE

303.914.6600

13300 W 6th Ave. • Lakewood, 80228 www.rrcc.edu

TRINIDAD STATE COLLEGE

719.846.5011

600 Prospect St. • Trinidad, 81082 1011 Main St. • Alamosa, 81101 www.trinidadstate.edu

COLORADO MESA UNIVERSITY TECH

970.255.2600

2508 Blichmann Ave. Grand Junction, 81505 www.coloradomesa.edu

UTILITIES

NATURAL GAS: BLACK HILLS ENERGY (303) 568-3260

NATURAL GAS: UNITED POWER (303) 637-1300

WATER & SEWER: CENTRAL WELD COUNTY

WATER DISTRICT (970) 352-1284

SEWER: ST VRAIN SANITATION (303) 776-9570

• PELICAN SHORES SOUTH HOME OWNERS ASSOCIATION, INC. 700 N COLORADO BLVD. STE #419 DENVER, CO 80206 866-473-2573 • HOA COST: $1250.00 PER QUARTER, WITH A SPECIAL ASSESSMENT OF $290.000 PER QUARTER MATURING 10-31-2026

UTILITIES

PHONE SERVICE:

OOMA

(888) 711-6662 www.ooma.com

VOIPLY (Landline)

844-843-4175 www.voiply.com

PHONE AND INTERNET PROVIDERS:

ALLO FIBER

855.632.3154 allocommunications.com

AT&T

(800) 288-2747 att.com

CENTURY LINK

855.526.1062 centurylink.com

HUGHESNET (866) 963-2608 hughesnet.com

RISE BROADBAND (844) 816-9149 risebroadband.com

SPECTRUM

877-480-1322 spectrum.com

T-MOBILE

844.503.1423 t-mobile.com

VIASAT (855) 463-9333 viasat.com

XFINITY

800.934.6489 xfinity.com

NEXTLIGHT (Longmont) 303.774.4494 mynextlight.com

VERIZON

855.632.3154 allocommunications.com

VIAERO WIRELESS (government assistance program) 877-484-2376 www.viaero.com

SATELLITE & CABLE:

DIRECTV

855.897.4007 directv.com

DISH

844.221.5284 dish.com

XFINITY

800.934.6489 xfinity.com

SPECTRUM

877-480-1322 spectrum.com

RESIDENTIAL TRASH:

WASTE CONNECTIONS

844-708-7274 wasteconnections.com

WASTE MANAGEMENT

866.909.4458 wm.com

REPUBLIC SERVICES

877.692.9729 republicservices.com

5280 WASTE SOLUTIONS (720) 884-0300 • info@5280waste.com 5280waste.com

ALTITUDE WASTE SOLUTIONS

(Westminster, Adams County Unincorporated and Federal Heights) 303.487.1515 • altitudetrash.com

MOUNTAIN HIGH DISPOSAL (Aurora and Northern Colorado) 970.834.1144 mountainhighdisposal.com

MOUNTAIN WEST DISPOSAL (NoCo) 970.460.9842 mountainwestdisposal.com

HBS TRASH SERVICES (South Metro and SoCo) 720.547.8600 hbstrash.com

APEX WASTE SOLUTIONS (Metro and SoCo) apexwasteco.com

INFINITE DISPOSAL (Colorado Springs) 719.999.0500 infinitedisposal.com

CAREFREE DISPOSAL (Colorado Springs) 719.635.9999 carefreedisposal.com

SOCO WASTE (Colorado Springs) 719.357.8855 socowaste.com

UTILITIES

RESIDENTIAL TRASH cont:

WASTE SYSTEMS INC.

(Southern Colorado Springs) 719.390.5097 wastesysinc.com

ENERGY & GAS SERVICE:

ATMOS ENERGY

888.286.6700 atmosenergy.com

XCEL ENERGY

800.895.4999 xcelenergy.com

COLORADO NATURAL GAS

800-720-8193 coloradonaturalgas.com

BLACK HILLS ENERGY

888-890-5554 blackhillsenergy.com

COLORADO SPRINGS UTILITIES

(719) 448-4800 or (888) 278-6847 www.csu.org SOLAR PROVIDERS: INDEPENDENT POWER

720.741.7245 solarips.com

NAMASTE SOLAR

303.447.0300 namastesolar.com

APOLLO ENERGY

720.582.8258 harnessoursun.com

COMPLETE ENERGY SOLUTIONS (Arvada)

888.947.8626 densolar.com

SUNRUN

(Denver Metro)

720.464.6104 sunrun.com

CASCADE SOLAR & ELECTRIC

303.928.4123 cascadese.com

ROCKY MOUNTAIN SOLAR SERVICES (Denver Metro)

303.731.4098

GO GREEN ELECTRIC INC

303.731.5198 gogreenelectricinc.com

SMART WAVE SOLAR

(Denver Metro) smartwavesolar.com

BLUE RAVEN SOLAR

385.489.5552 blueravensolar.com

ENERGY ADVANTAGE ROOFING & SOLAR

720.306.9600

yourenergyadvantage.com/colorado

ION SOLAR ionsolar.com/colorado

COMPLETE ENERGY SOLUTIONS (Arvada)

888.947.8626 densolar.com

SOLAR POWER PROS

303.797.6527 solarpowerpros.com

Count on First American Title.

Count on us for service.

First American Title’s professionals are proud to provide the title insurance that assures people’s home ownership. Backed by First American Title Insurance Company, your transaction will be expertly completed in accordance with state-specific underwriting standards and state and federal regulatory requirements.

Count on us for stability.

First American Title is the principal subsidiary of First American Financial Corporation, and one of the largest suppliers of title insurance services in the nation. With roots dating back to 1889, we’ve served families for generations.

Count on us for convenience.

First American Title has a direct office or agent near you. We also have an extensive network of offices and agents throughout the United States, and internationally.

Count on us to meet your needs.

First American Financial Corporation offers more than title insurance and escrow services through its subsidiaries. Our subsidiaries also provide property data, title plant records and images, home warranties, property and casualty insurance, and banking, trust and advisory services.

Scan the QR code to learn more about your local First American Title.

Benefits of using a professional REALTOR®.

Congratulations on your decision to buy a home! It’s a challenging project, and there are many ways a professional can help. Here are some of the many ways you may benefit from working with a REALTOR®:

Many more home choices.

Your REALTOR® has thousands of homes to choose from through the Multiple Listing Service (MLS), so you’re more likely to find the home that’s just right for you and find it quicker. In fact, a majority of the homes for sale are listed by REALTORS® and aren’t available to you unless you are working with a REALTOR®

A number of transactions “fall out.”

Unfortunately, it’s true. Some transactions fall apart before closing. An experienced REALTOR® may be able to resolve problems and see your transaction through to a successful closing.

Knowledge of new home subdivisions.

New home subdivisions will welcome you and your REALTOR®. If you’re interested in buying a new home, take your agent with you on your first visit to each subdivision. Your professional REALTOR® is an important source of information who can supply background on the builder, nearby subdivisions, and the local community.

It’s a major investment.

You use a professional for your legal, financial and health needs. Why gamble on what may be your biggest investment without a professional at your side?

Help with FSBO’s.

If you consider a “For Sale By Owner,” take your REALTOR® along to help negotiate the contract.

There is less liability.

You may have more protection from legal and financial liability, especially as real estate transactions become more complicated.

The paperwork.

Your experienced REALTOR® will negotiate and prepare the purchase contract for you and assist you throughout the escrow process.

Key professionals involved in your transaction.

REALTOR®

A REALTOR® is a licensed real estate agent and a member of the National Association of REALTORS®, a real estate trade association. REALTORS® also belong to their state and local Association of REALTORS®

Real Estate Agent

A real estate agent is licensed by the state to represent parties in the transfer of property. Every REALTOR® is a real estate agent, but not every real estate agent has the professional designation of a REALTORS®

Listing Agent

A key role of the listing agent or broker is to form a legal relationship with the homeowner to sell the property and place the property in the Multiple Listing Service.

Buyer’s Agent

A key role of the buyer’s agent or broker is to work with the buyer to locate a suitable property and negotiate a successful home purchase.

Multiple Listing Service (MLS)

The MLS is a database of properties listed for sale by REALTORS® who are members of the local Association of REALTORS®. Information on an MLS property is available to thousands of REALTORS®.

Title Company

These are the people who carry out the title search and examination, work with you to eliminate the title exceptions you are not willing to take subject to, and provide the policy of title insurance regarding title to the real property.

Escrow Officer

An escrow officer leads the facilitation of your escrow, including escrow instructions preparation, document preparation, funds disbursement, and more.

Your escrow professional may:

Open escrow and, if instructed to do so, deposit your good faith funds in a separate escrow account.

Order a title search to determine ownership and status of the subject real property.

Issue a preliminary report and begin the process of eliminating the title exceptions you and your lender are not willing to take title subject to.

Request payoff information for the seller’s loans, other liens, homeowner’s association fees, etc.

Coordinate with the buyer’s lender on the preparation of the Closing Disclosure (CD).

Prorate fees, such as real property taxes, per the contract, and prepare the settlement statement.

Set separate appointments allowing the seller and you to sign documents and deposit funds.

Review documents ensuring all conditions and legal requirements are fulfilled; request funds from lender.

When all funds are deposited, record documents with the County Recorder’s Office to transfer the subject real property to you.

After the recordation is confirmed, close escrow and disburse\funds, including seller’s proceeds, loan payoffs, etc.

Prepare and send final documents to all parties involved.

Terms you should know.

Appraisal

An estimate of value of property resulting from analysis of facts about the property; an opinion of value.

Annual Percentage Rate (APR)

The borrower’s costs of the loan term expressed as a rate. This is not their interest rate.

Beneficiary

The recipient of benefits, often from a deed of trust; usually the lender.

Closing Disclosure (CD)

Closing Disclosure form designed to provide disclosures that will be helpful to borrowers in understanding all of the costs of the transaction. This form will be given to the consumer three (3) business days before closing.

Close of Escrow

Generally the date the buyer becomes the legal owner and title insurance becomes effective.

Comparable Sales

Sales that have similar characteristics as the subject real property, used for analysis in the appraisal. Commonly called “comps.”

Consummation

Occurs when the borrower becomes contractually obligated to the creditor on the loan, not, for example, when the borrower becomes contractually obligated to a seller on a real estate transaction. The point in time when a borrower becomes contractually obligated to the creditor on the loan depends on applicable State law. Consummation is not the same as close of escrow or settlement.

Deed of Trust

An instrument used in many states in place of a mortgage.

Deed Restrictions

Limitations in the deed to a parcel of real property that dictate certain uses that may or may not be made of the real property.

Disbursement Date

The date the amounts are to be disbursed to a buyer and seller in a purchase transaction or the date funds are to be paid to the borrower or a third party in a transaction that is not a purchase transaction.

Earnest Money Deposit

Down payment made by a purchaser of real property as evidence of good faith; a deposit or partial payment.

Easement

A right, privilege or interest limited to a specific purpose that one party has in the land of another.

Endorsement

As to a title insurance policy, a rider or attachment forming a part of the insurance policy expanding or limiting coverage.

Hazard Insurance

Real estate insurance protecting against fire, some natural causes, vandalism, etc., depending upon the policy. Buyer often adds liability insurance and extended coverage for personal property.

Impounds

A trust type of account established by lenders for the accumulation of borrower’s funds to meet periodic payments of taxes, mortgage insurance premiums and/or future insurance policy premiums, required to protect their security.

Legal Description

A description of land recognized by law, based on government surveys, spelling out the exact boundaries of the entire parcel of land. It should so thoroughly identify a parcel of land that it cannot be confused with any other.

Lien

A form of encumbrance that usually makes a specific parcel of real property the security for the payment of a debt or discharge of an obligation. For example, judgments, taxes, mortgages, deeds of trust.

Loan Estimate (LE)

Form designed to provide disclosures that will be helpful to borrowers in understanding the key features, costs and risks of the mortgage loan for which they are applying. Initial disclosure to be given to the borrower three (3) business days after application.

Mortgage

The instrument by which real property is pledged as security for repayment of a loan.

PITI

A payment that includes principal, interest, taxes, and Insurance.

Power of Attorney

A written instrument whereby a principal gives authority to an agent. The agent acting under such a grant is sometimes called an “Attorney-in-Fact.”

Recording

Filing documents affecting real property with the appropriate government agency as a matter of public record.

Settlement statement

Provides a complete breakdown of costs involved in a real estate transaction.

TRID

TILA-RESPA Integrated Disclosures

Planning to sell.

A homeowner’s checklist to prepare your home.

So you’re planning to sell your home. You and your real estate broker have decided on a price, based on current market values, but your home may sell faster and bring a higher price if it shows well. Potential buyers will get the best impression if your home is clean, neat, uncluttered, in good repair, light, airy, fragrant, and quiet. This checklist will help you get your home ready to show.

Clean everything in you home.

Cleanliness signals to a buyer that the home has been well cared for and is most likely in good repair. A messy or dirty home will cause prospective buyers to notice every flaw.

Let the fresh air in.

Get rid of odors that may be unfamiliar or unpleasant. People are most often offended by odors from tobacco, pets, cooking, and musty or sour laundry. Fresh flowers and potpourri can be used to your advantage. Other smells that attract positive attention include fresh baked bread and cinnamon.

Painting your home.

There’s nothing that improves the value of a home for a lower cost than a fresh coat of paint. And it’s so often easier to paint a room than it is to scrub it. Stick with neutral colors - off-white is the safest. Be sure to avoid black, violet, and pink.

Keep the noise down.

Silence is a restful sound that offends no one. Turn off the TV and radio. Soft instrumental music is fine but avoid vocals. If necessary, close the windows to eliminate any street noise.

Unclutter your home before you show it.

Have a garage sale. Empty closets. Throw away what you can’t sell. The less “stuff” in and around a home, the roomier it will seem.

Fix anything that is broken.

This includes plumbing, electrical systems, switches, windows, TV antennas, screens, doors, and fences; if it can’t be fixed, replace it or get rid of it (no window screens are better than broken ones). A buyer will make a much lower offer if your house is in disrepair and will probably still insist that everything be fixed before taking occupancy. You’re better off if you leave potential buyers no reason to offer less than you are asking.

Send your pets away.

Send them away or secure them away from the house when prospective buyers are coming. You never know if people will be annoyed or intimidated by your pets or even allergic to them. And you never want a prospective buyer to have to avoid animal droppings.

Send the kids to Grandma’s.

Send them to Grandma’s or take them on a walk around the block. Children can be noisy and distracting to someone interested in looking at a home.

Make a great impression.

“Home

staging is no longer optional in this real estate market, it’s a must.”

Staging Tips

Grab them from the Curb

Make It Sparkle

Pay Attention to Color and Light

Depersonalize

Spruce Up Your Curb Appeal

Clean, Clean, Clean

Declutter

Neutralize

Remove All Big Clunky Furniture

Consider Replacing Furnishings

Invest in New Artwork

Make Repairs

Apply a Fresh Coat of Paint

Don’t Forget the Floors Spring for New Light Fixtures

Don’t Take it Personally

Don’t Do Major Renovations

Don’t Think the House Will Sell Itself

Don’t Run Out and Purchase All

New Furniture

Don’t Be Afraid to Ask For Help

Top 5 Dos
Top 5 Don’ts

This checklist will help you get your home ready to show.

Exterior

Clean around service areas/trash cans

Haul away rubbish

Straighten woodpile

Repair leaky faucets

Clean up pet droppings

Paint or varnish doors

Polish door hardware

Make sure doorbell/knocker works

Paint or replace street numbers on house

Make sure septic tank is odor free

Clean oil stains from driveway/street

Patch/reseal driveway if necessary

Replace, repair, and/or paint any damages:

Plaster

Wood siding

Trim

Rain gutters

Shutters

Doors

Window frames

Glazing

Screens

Hardware

Fences/gates

Outdoor lighting

Landscaping

Mow/edge lawn regularly

Aerate/feed lawn

Overseed bare spots in lawn

Water lawn regularly

Remove/replace dead plants

Prune overgrown/diseased/damaged shrubs

Prune or remove shrubs/trees blocking view from windows (unless view is undesirable)

Stake up any sagging trees/shrubs

Keep flower beds free of weeds

Trim around base of trees/walls/fences

Repair or remove any broken or damaged

landscape accessories such as:

Fences

Walls gazebos

Fountains

Trellises

Planters

Other

Replace any broken stepping stones

Adjust any sprinkler system; repair any broken/leaky heads

Install fences or shrubs to hide any unsightly views

Clean/Wash

Siding

Windows

Screen

Outdoor BBQ

AC unit

Pool/Spa

Put Light Bulbs In

Porch lights

Carport Garage

Closets

Keep closets clean and free of clutter

Throw out or pack away non-essentials

Adjust/repair sliding doors

Lubricate sliding door hardware

Paint, if needed

All Rooms, Clean especially around:

Doors

Windows

Light switches

Baseboards

Chair rails

Wash lace curtains and have draperies

cleaned if necessary

Remove or pull back dark curtains

Lubricate window slides (soap for wood

silicon or a candle stump for metal)

Make sure doors open smoothly

Clean ceiling light fixtures

Check for cobwebs in all corners

Fix any scratches in wooden floors

Replace worn/broken flooring

Remove or replace worn carpet

Use area rugs where needed

Empty wastebaskets

Make the beds

Fluff the pillows

Kitchen

Keep dishes and food out of sight

Clean appliances

Clean range hood, including light bulbs

Clean behind appliances

Keep floor clean

Clean light fixture

Make sure all electrical outlets work

Eliminate cooking odors

Deodorize garbage disposal, dishwasher, and refrigerator

Repair faucets

Put fresh shelf paper in cabinets

Organize cupboards

Clean out under sink

Replace garbage disposal gasket to reduce noise

Bathroom, Keep them spotlessly clean:

Shine mirrors

Keep wastebaskets empty and clean

Clean out cabinets and remove nonessentials

Keep fresh, clean towels on towel racks

Clean shower door – if sliding door, keep track well lubricated

Remove soap residue, mildew and mold from sink/tub/shower

Remove stains from porcelain sink tub toilet

Replace torn/moldy shower curtain

Bathroom (continued)

Clean tile grout

Make sure toilet flushes properly –replace mechanism if necessary

Clean exhaust fan/heater – replace if broken or noisy

Garage/Carport/Shed

Install 100-watt light bulb

Keep area clean/uncluttered

Hang up/put away tools

Clear away any cobwebs

Remove oil/paint stains from floor

Adjust tension rod to eliminate sag from overhead garage door

Lubricate/adjust/repair garage door opener

Paint if needed

Laundry Area

Clean out area behind washer/dryer

Eliminate any mildew odors

Basement

Eliminate any signs of dampness

Check for and eliminate cracks

Heating/Air Conditioning Unit

Vacuum

Replace filter

Clean intake vent

Remove any stored items

Make sure the temperature in your home is comfortable – keep it cooler in the summer and warmer in the winter. If it’s cooler outside and you have a fireplace, a nice fire will make your home seem cozy and inviting.

Provide an exhaustive written list of the features of your home.

Know the distance to schools and shopping centers.

Refer any prospect that calls or comes by to your broker for pre-screening and pre-qualification as well as for your own safety.

Tell your real estate agent all about the home-good and bad. Let the professional decide how to handle negatives and features or highlight the positives.

The life of an escrow.

Chooses a Real Estate Agent

Gets pre-approval letter from Lender and provides to Real Estate Agent.

Makes offer to purchase. Upon acceptance, opens escrow and deposits earnest money.

Finalizes loan application with Lender. Receives a Loan Estimate from Lender.

Completes and returns opening package from First American Title.

Schedules inspections and evaluates findings. Reviews title commitment/preliminary report.

Provides all requested paperwork to Lender (bank statements, tax returns, etc.) All invoices and final approvals should be to the lender no later than 10 days prior to loan consummation.

Lender (or Escrow Officer) prepares CD and delivers to Buyer at least 3 days prior to loan consummation.

Escrow officer or real estate agent contacts the buyer to schedule signing appointment.

Buyer consummates loan, executes settlement documents, & deposits funds via wire transfer.

Documents are recorded and the keys are delivered!

Accepts Buyer’s offer to purchase.

Completes and returns opening package from First American Title, including information such as forwarding address, payoff lender contact information and loan numbers.

Orders any work for inspections and/or repairs to be done as required by the purchase agreement.

Escrow officer or real estate agent contacts the seller to schedule signing appointment.

Documents are recorded and all proceeds from sale are received.

Upon receipt of order and earnest money deposit, orders title examination.

Requests necessary information from buyers and sellers via opening packages.

Reviews title commitment/ preliminary report.

Upon receipt of opening packages, orders demands for payoffs. Contacts buyer or seller when additional information is required for the title commitment/ preliminary report.

All demands, invoices, and fees must be collected and sent to lender at least 10 days prior to loan consummation.

Coordinates with lender on the preparation of the CD.

Reviews all documents, demands, and instructions and prepares settlement statements and any other required documents.

Schedules signing appointment and informs buyer of funds due at settlement.

Once loan is consummated, sends funding package to lender for review.

Prepares recording instructions and submits docs for recording.

Documents are recorded and funds are disbursed. Issues final settlement statement.

Accepts Buyer’s application and begins the qualification process. Provides Buyer with Loan Estimate.

Orders and reviews title commitment / preliminary report, property appraisal, credit report, employment and funds verification.

Collects information such as title commitment / preliminary report, appraisal, credit report, employment and funds verification. Reviews and requests additional information for final loan approval.

Underwriting reviews loan package for approval.

Coordinates with Escrow Officer on the preparation of the Closing Disclosure, which is delivered to Buyer at least 3 days prior to loan consummation.

Delivers loan documents to escrow.

Upon review of signed loan documents, authorizes loan funding.

The Buyer
The Escrow Officer
Chooses a Real Estate Agent
The Seller
The Lender

The Closing Process

We know the home buying process can be confusing. Let’s walk through a brief explanation of what happens after you sign the contract.

The signed contract and earnest money are delivered to the settlement agent (note: the title company often acts as the settlement agent). Now the title order begins and information such as taxes, loan payoffs, lien search, and other information is collected.

The title search will determine the legal owner of the property and any outstanding liens and/or assessments. This search is critical to making sure the property will transfer legally to the buyer.

Over the next few weeks the following will occur: inspections, repairs (if necessary), payoffs obtained from current lenders, HOA’s, lienholders, ect, and loan document preparation. It is important the buyers and sellers are responsive to requests for paperwork and information.

Once the invoices, payoffs, statements, and loan documents are received, the settlement statement is prepared. This document includes the closing calculations and is used to inform the buyer and seller of their bottom line figures.

The closing paperwork must then be signed by the buyer and the seller. This will include documents such as the deed, settlement statement, loan documents (if applicable), and others.

All payees, including the seller, payoff lenders, real estate professionals, and others are paid according to the settlement statement.

The final documents, including the deed and loan instrument, are sent to the county recorder’s office for recordation. After recording, the deed will be sent to the buyer. The title insurance policy is sent to the buyer and the lender.

Understanding title insurance.

The title industry and title insurance in brief.

Prior to the development of the title industry in the late 1800s, a home-buyer received a grantor’s warranty, attorney’s title opinion, or abstractor’s certificate as assurance of home ownership. The buyer relied on the financial integrity of the grantor, attorney, or abstractor for protection. Today, homebuyers look primarily to title insurance to provide this protection. Title insurance companies are regulated by state statute. They are required to post financial guarantees to ensure that any claims will be paid in a timely fashion. They also must maintain their own “title plants” which house duplicates of recorded deeds, mortgages, plats, and other pertinent county property records.

What is title insurance?

Title insurance provides coverage for certain losses due to defects in the title that, for the most part, occurred prior to your ownership. Title insurance protects against defects such as prior fraud or forgery that might go undetected until after closing and possibly jeopardize your ownership and investment.

Why is title insurance needed?

Title insurance insures buyers against the risk that they did not acquire marketable title from the seller. It is primarily designed to reduce risk or loss caused by defects in title from the past. A loan policy of title insurance protects the interest of the mortgage lender, while an owner’s policy protects the equity of you, the buyer, for as long as you or your heirs (in certain policies) own the real property.

When is the premium due?

You pay for your owner’s title insurance policy only once, at the close of escrow. Who pays for the owner’s policy and loan policy varies depending on local customs.

How title insurance differs.

Unlike other forms of insurance, title insurance emphasizes loss prevention for the insured. Title professionals perform labor-intensive work to find and address title issues that could threaten your homeownership. This upfront analysis gives you, as a policy holder, the peace of mind that your title risk has been effectively reduced. In contrast, insurance based on loss assumption (such as auto or property and casualty insurance) requires little upfront work because claims cannot be predicted or prevented, and premium funds are needed only in the event of an accident or other covered issue. These types of insurance also require annual coverage payments, unlike title insurance which is paid for only once upon the purchase of your home or establishment of a new mortgage.

The importance of title protection.

There are many title issues that could cause you to lose your real property or your mortgage investment. Even the most careful search of public records may not disclose the most dangerous threat: hidden risks. These issues may not be uncovered until years later. Without title insurance from a reputable and financially solvent company, the ownership of your home could be jeopardized.

Here are some examples of title issues that may occur:

Deeds by persons supposedly single, but secretly married.

Deeds in lieu of foreclosure given under duress

Marital rights of spouse purportedly, but not legally, divorced.

Impersonation of the true owner of the land.

Deeds by minors.

Deeds by persons of unsound mind.

Deeds to or from defunct corporations.

Defective acknowledgments by notaries.

Duress in execution of instruments.

Erroneous reports furnished by tax officials.

Forged deeds, releases, etc.

Mistakes in recording legal documents.

Surviving children omitted from will.

Administration of estate of persons absent but not deceased.

Birth or adoption of children after date of will.

Claims of creditors against real property sold by heirs or devisees.

Deed of community property recited to be separate property.

Deeds by foreign parties.

Seller’s Checklist

Prior to Closing:

Provide title company with current loan information so a payoff statement can be ordered from your lender. You will need to provide your Social Security Number and you may be required to sign a form authorizing your lender to provide the payoff to First American Title.

Complete a Confidential Information Statement if you have a common surname. Provide documentation of any change in marital status (divorce, marriage, death) during current ownership. If the property is inherited we will need a copy of the probated will.

Have your Power of Attorney approved prior to closing in the event you will not be present to sign documents.

Required at Closing:

Driver’s License Social Security Number

Bring extra house keys, garage door openers, warranties or operational manuals for appliances (heating, AC, stove, etc.) or let your real estate professional know where in the house they are located.

Avoiding Closing Delays:

Lenders and title insurers may require single owners who have married to have their spouse sign paperwork or a deed at closing. Discuss this with your escrow officer early in the transaction. The Confidential Information Statement should be completed and returned promptly. It will help clarify the identity of the actual person or persons named on judgments in the title search.

After Closing:

Cancel your homeowner’s insurance if you are moving from the property at closing. If you are remaining at the property after closing, you should notify your agent of this change.

Make sure your lender has your forwarding address. The lender will refund monies left in your escrow/impound account and send final paperwork regarding the paid loan.

Keep your final settlement statement with tax documents. You will need it when filing taxes.

Moving Address Change Checklist

Here’s a list of people, businesses and organizations who will need to know you’ve moved to a new location.

The Essentials:

Request a “Change of Address” form at a USPS post office

Friends and family

Financial Institutions:

Banks and credit unions

Credit card companies (including department store cards)

Lenders (mortgage, home equity, auto, student loan)

Insurance companies (health, renters, auto, home, medical, dental, disability, life)

Retirement (pension plans, 401K, retirement accounts, Social Security, Veterans Affairs)

Investments (investment agencies and brokers)

Utilities:

Phone services (cellular, land line)

Electric

Heating Oils (gas, oil, propane or other fuels)

Water (water delivery, water treatment)

Sewer

Waste Disposal

Internet (land line, wi-fi and satellite)

Television (cable or satellite TV)

Government Offices:

Department of Motor Vehicles

IRS

Passport Office

Veteran Affairs

Unemployment Office (if you are currently receiving unemployment benefits)

Jobs:

Notify the Human Resources department

Update your personal marketing materials (business cards, websites, resumes)

Employment agencies (temp agencies and recruiters)

Professional Memberships (licensing and certification boards)

Past employers (for W-2)

Health:

Physicians (doctors, dentists, optometrists, etc.)

Pharmacies

Health insurers (HMOs, DMOs, agencies and brokers)

Service Providers:

Cable company

Phone company

Housecleaning services

Delivery services

Accountants

Childcare (day-care center, baby sitters)

Lawn care service

Veterinarian (including pet groomer, pet sitters, and microchip service)

Pool services

Lawyers

Automobile:

Auto insurers (insurance agencies and brokers)

Auto lenders (car dealership, bank or loan place)

Department of Motor Vehicles (changing your vehicle registration)

Membership clubs (AAA or similar)

Parking permits

Warranty (if a car warranty is still in place)

Toll pass (Fast Lane, EZ Pass)

Memberships:

House of worship (churches, synagogues, mosques)

Health clubs

Community groups (PTA, neighborhood associations, civic clubs)

Children’s extracurricular activities (dance classes, music lessons, sport clubs)

Social clubs, community centers

Subscriptions:

Newspapers

Magazines (The USPS will only forward magazine subscriptions for two months)

Movie subscriptions (streaming services or other)

Book and music clubs

Mail order houses

Other:

Air miles reward program

Register to vote!

Update personal websites

Children’s schools