TỔNG HỢP ĐỀ CHÍNH THỨC VÀ ĐỀ XUẤT KÌ THI HSG KHU VỰC DUYÊN HẢI BẮC BỘ MÔN HÓA HỌC KHỐI 11 NĂM 2022

Page 1

ĐỀ CHÍNH THỨC VÀ ĐỀ XUẤT DUYÊN HẢI BẮC BỘ Ths Nguyễn Thanh Tú eBook Collection TỔNG HỢP ĐỀ CHÍNH THỨC VÀ ĐỀ XUẤT KÌ THI HSG KHU VỰC DUYÊN HẢI VÀ ĐỒNG BẰNG BẮC BỘ MÔN HÓA HỌC KHỐI 11 NĂM 2022 TỔ CHỨC TẠI HẢI PHÒNG THÁNG 7/2022 WORD VERSION | 2023 EDITION ORDER NOW / CHUYỂN GIAO QUA EMAIL TAILIEUCHUANTHAMKHAO@GMAIL.COM Hỗ trợ trực tuyến Fb www.facebook.com/DayKemQuyNhon Mobi/Zalo 0905779594 Tài liệu chuẩn tham khảo Phát triển kênh bởi Ths Nguyễn Thanh Tú Đơn vị tài trợ / phát hành / chia sẻ học thuật : Nguyen Thanh Tu Group

TRƯỜNGTHPTCHUYÊN CHUVĂNAN–BÌNH ĐỊNH Đề đề xuất ĐỀ THICHỌNHSGKHUVỰCDUYÊNHẢIBẮCBỘ NĂMHỌC2021–2022 Môn:Hóahọc–Lớp11 Thời gian làm bài 180 phút (không kể thời gian phát đề) Câu1 (2 điểm): Tốc độ phản ứng Người ta nghiên cứu phản ứng nhiệt phân etanal: CH3CHO → CH4 + CO. Cơ chế phản ứng được đề nghị như sau: 1 2 3 4 k 33 k k 332 k 33 33 CHCHO CH CHO (1) CHO CO+H (2) CHCHO H CHCO+H (3) CHCO CH +CO (4) CHCHO+CH →+ → +→ → 5 6 k 34 k 326 CHCO +CH (5) 2CH CH (6) → → a) Tìm phương trình tốc độ của sự phân hủy etanal. Cho biết bậc của phản ứng. b) Tìm phương trình tính tốc độ tạo thành sản phẩm. c) Nếu coi phần lớn chất phản ứng bị phân hủy theo phương trình tạo sản phẩm chính thì phản ứng có bậc hay không? Cho biết biểu thức tính năng lượng hoạt hóa của phản ứng theo năng lượng hoạt hóa của các giai đoạn trong trường hợp này. Câu2 (2 điểm): Cân bằng và phản ứng trong dung dịch, pin điện, điện phân. 2.1. Trộn 5 ml dung dịch H2C2O4 0,8M với 5 ml dung dịch NaHCO3 0,4M thu được dung dịch A. Thêm 10 ml dung dịch (CH3COO)2Ba 0,6M vào dung dịch A được hỗn hợp B. a) Xác định thành phần giới hạn của B. b) Hỏi có BaC2O4 và BaCO3 tách ra không? Khi đó pH của hệ là bao nhiêu? c) Nếu có kết tủa BaC2O4 hoặc BaCO3, hãy tính độ tan của chúng trong hỗn hợp thu được. Biết H2C2O4 có: 12 aapK1,25; pK4,27== ; H2CO3 có 12 aapK6,35; pK10,33== CH3COOH có 1a pK4,76 = ; BaC2O4 có s pK6,8 = ; BaCO3 có s pK8,3 = . Độ tan CO2 bão hòa là 3.10-2 M. 2.2. Nhỏ 100 ml dung dịch HCl 0,82M vào 2,32 gam bột Fe3O4 thu được dung dịch X. Một pin điện gồm điện cực Pt nhúng trong dung dịch X với điện cực Ag nhúng trong dung dịch ban đầu có Na2SO4 0,10M; NaCl 0,05M; AgNO3 0,25M. a) Viết sơ đồ pin, nửa phản ứng, phương trình phản ứng khi pin hoạt động. Tính suất điện động của pin.b) Tính thế cần đặt vào để dung dịch X bắt đầu xảy ra điện phân và đến khi hết một cation trong dung dịch X. (coi như ion bị điện phân hết khi nông độ ion còn lại trong dung dịch là 10-6M; áp suất của Cl2 chấp nhận bằng 1 atm) Cho: Eo(Fe3+/Fe2+) = 0,771V; Eo(Ag+/Ag) = 0,799V; Eo(Cl2/2Cl ) = 1,359V; *βFe(OH)2+ = 10-2,17; *βFe(OH)+ = 10-5,92; KS(AgCl) = 10-10,00; KS(Ag2SO4) = 10-4,83 .

Câu3 (2 điểm): Nhiệt độnghọc–Cânbằnghóahọc Cho bảng giá trị nhiệt động của phản ứng H2 + ½ O2 → H2O ở 298,15K như sau: Chất H2(k) O2(k) H2O(k) H2O(l) ∆H0tt (kJ.mol-1) 0 0 -241,82 -285,84 ∆S0 (J.K-1.mol-1) 130,59 205,03 188,83 69,94 Ở 373,15K và 100 kPa, nhiệt hóa hơi của nước là ∆Hhóa hơi = 40,64 kJ.mol-1 ; Nhiệt dung đẳng áp của nước trong khoảng nhiệt độ từ 298,15K – 373,15K là 75,6 J.K-1.mol-1 . a) Quá trình trên được sử dụng trong việc tạo ra pin nhiên liệu. Hiệu suất lý thuyết của pin nhiên liệu là năng lượng cực đại của pin có thể sản sinh so với anthalpy ( HGη ∆ = ∆ ). Hãy tính hiệu suất lý thuyết của pin nhiên liệu đối với sự tạo thành nước lỏng và nước hơi khi đốt cháy 1 mol H2. Giải thích sự khác biệt giữa hai trường hợp. b) Tính hiệu suất lý thuyết khi pin nhiên liệu làm việc ở 473,15K và 100 kPa. Cho rằng entropy và enthalpy không phụ thuộc nhiệt độ. c) Hãy giải thích vì sao hiệu suất lý thuyết thay đổi theo nhiệt độ? Câu4(2 điểm):Hóanguyêntố (Kimloại,phikimnhómVA,IVA) 4.1. Nêu hiện tượng và viết phương trình hóa học của phản ứng xảy ra trong các thí nghiệm sau: a) Sục từ từ khí clo (đến dư) vào dung dịch NaBr. b) Cho một ít bột MnO2 vào dung dịch H2O2. c) Cho dung dịch SnCl2 vào dung dịch FeCl3, sau đó cho thêm K3[Fe(CN)6] d) Cho dung dịch KI vào dung dịch FeCl3. 4.2. Canxi xyanamit được điều chế theo phản ứng (1) và (2), nó phản ứng với nước và axit sunfuric theo phản ứng (3) và (4) dưới đây: CaO + 3C → CaC2 + CO (1) CaC2 + N2 → CaCN2 + C (2) CaCN2 + 3H2O → CaCO3 + 2NH3 (3) CaCN2 + H2SO4 → CaSO4 + H2N – CN (4) a) Hãy trình bày ngắn gọn về ảnh hưởng của áp suất và nhiệt độ đến chiều diễn biến của phản ứng (1) và (2). b) Dựa vào các phản ứng đã cho, hãy giải thích và viết cấu tạo hóa học (có ghi đầy đủ các electron hóa trị) của CaCN2.

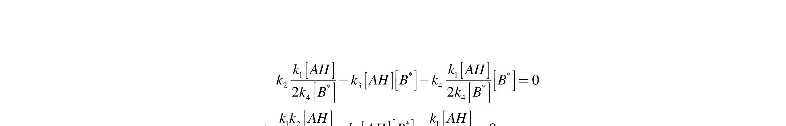
c) Hãy viết cơ chế phản ứng để giải thích sự tạo thành NH3 ở phản ứng (3) và H2N–CN (xyanamit) ở phản ứng (4). d) Viết công thức Liuyt của các đồng phân ứng với công thức phân tử CH2N2. Câu5(2 điểm):Phứcchất. 5.1.Các chất A, B, C có cùng công thức phân tử CrCl3.6H2O. Trong dung dịch nước tồn tại cân bằng: [Cr(H2O)6]Cl3 [Cr(H2O)5Cl]Cl2.H2O [Cr(H2O)4Cl2]Cl.2H2O. (A) (B) (C) Trong một thí nghiệm người ta cho dung dịch chứa 0,32 gam CrCl3.6H2O đi qua một lớp nhựa trao đổi cation dưới dạng H+. Cần 28,8 ml dung dịch NaOH 0,125M để chuẩn độ hết lượng H+ đã chuyển vào dung dịch. a) Gọi tên các phức chất A, B và C. b) Phức chất nào có đồng phân hình học? Viết công thức biểu diễn cấu trúc đồng phân đó. c) Xác định công thức của phức trong dung dịch. 5.2. Phản ứng khử phức của Fe(III) ([FeL6]3+ ) thành phức của Fe(II) ([FeL6]2+) bằng axit ascobic (H2Asc) được mô tả bởi PTHH: 2[FeL6]3+ + H2Asc → 2[FeL6]2+ + Asc + 2H+ (*) Cơ chế của phản ứng được đề nghị như sau: H2Asc 1 1 k k → ← H+ + HAsc (1) và (-1) [FeL6]3+ + HAsc 2k → [FeL6]2+ + HAsc• (2) HAsc• 3 3 k k → ← H+ + Asc• (3) và (-3) [FeL6]3+ + Asc• 4k → [FeL6]2+ + Asc (4) (1) và (-1) là các phản ứng nhanh so với các phản ứng khác. a) Tìm biểu thức tính hằng số cân bằng K1 (của các phản ứng (1) và (-1)) theo k1 và k-1 b) Chỉ ra các tiểu phân trung gian phản ứng trong cơ chế trên và cho biết có thể áp dụng nguyên lí nồng độ dừng cho những tiểu phân nào ? Tại sao ? Câu6(2 điểm): Đạicươnghữucơ.

6.2. Theobromine (theo tiếng Hy Lạp, theobroma có nghĩa là "thức ăn của các vị thần") là một thành phần của ca-cao. Melamine là một chất nhũ hóa.

6.1. Tropon (Tên hệ thống: xiclohepta-2,4,6-trienon) có momen lưỡng cực (μ) = 4.17 D; phản ứng của tropon với axit có hằng số cân bằng K = 31.2. Trong khi đó, μ của xicloheptanon chỉ là 3.04 D, và phản ứng của xicloheptanon với axit có hằng số cân bằng chỉ khoảng 10-5. Giải thích ngắn gọn các giá trị thực nghiệm trên.

a) Hãy cho biết nguyên tử nitơ có lực base mạnh nhất và yếu nhất trong phân tử theobromine. Giải thích ngắn gọn. b) So sánh lực base của hai nguyên tử nitơ trong phân tử melamine. Giải thích ngắn gọn. 6.3. Như đã biết, nhóm t-Bu rất cồng kềnh nên thường chiếm liên kết biên (equatiorial, viết tắt là e). Tuy nhiên, nghiên cứu cho thấy ở 1,3,5-tri-tert-butylhexahydro-1,3,5-triazine, cấu dạng A – với cả ba nhóm t-Bu biên – lại kém bền hơn so với cấu dạng B – có một nhóm t-Bu chiếm liên kết trục (axial, viết tắt là a). Ở điều kiện thường, cấu dạng B chiếm tới 85%. Giải thích sự bất thường này. N N N t-Bu t-Bu t-Bu N N N t-Bu t-Bu t-Bu B (85%)A (15%) Câu7(2 điểm):Cơ chế phản ứnghóahữucơ. Viết cơ chế giải thích sự tạo thành các sản phẩm ở mỗi phản ứng sau: 7.1. 7.37.2.

7.4. Câu8(2 điểm):Sơ đồ tổnghợphữucơ. Viết công thức của các hợp chất ở các dãy phản ứng sau: 8.1.8.2 .

Câu8.4.8.3.9(2 điểm):Xác địnhcấutrúccácchấthữucơ. 9.1. Hợp chất A bền, có đồng phân quang học và có công thức phân tử C12H12O3. Cho A phản ứng với 1,3-dioxolane (B) có mặt benzoic peroxyanhydride (Bz2O2, (C)) trong điều kiện chiếu sáng thu được hợp chất D (C15H18O5). Đun nóng D với H2, có xúc tác Pd/C, thu được hợp chất E (C8H12O5). Khử E bằng LiAlH4 tạo thành F (C8H16O5). Trong dung môi tetrahydrofuran (THF) khan và có mặt xúc tác acid p-toluenesulfonic (p-TsOH), F chuyển hóa thành hợp chất G (C6H10O3) dạng bis-tetrahydrofuran là một chất trung gian trong tổng hợp dược phẩm kháng HIV. G phản ứng được với Ac2O/pyridine tạo thành sản phẩm monoacetate. a) Xác định công thức cấu tạo của các hợp chất từ A đến G trong dãy tổng hợp trên. b) Giải thích sự chuyển hóa F thành G bằng cơ chế phản ứng. 9.2. Khuấy đều một hỗn hợp gồm đietyl malonat (CH2(CO2Et)2) và 1,2-đibromoetan trong dung dịch NaOH 50% (có trietylbenzylamoni clorua làm xúc tác chuyển pha) ở 25 oC rồi trung hòa bằng dung

dịch HCl đặc thì thu được hợp chất A (C5H6O4). Khi có xúc tác H2SO4 đặc, A phản ứng với prop-1-en2-yl acetate tạo thành hợp chất B (C8H10O4). Ở nhiệt độ thường, B tác dụng với anilin tạo thành hợp chất C (C11H11NO3). Khi dùng EtONa/EtOH và tiến hành phản ứng ở nhiệt độ thường, đietyl malonat và 1,2đibromoetan tạo thành dẫn xuất D (C9H14O4) của A. Đun nóng D với đietyl malonat có EtONa/EtOH ở 100 oC trong 8 h thu được hợp chất E (C16H26O8). a) Hãy xác định công thức cấu tạo các hợp chất từ A đến E. b) Giải thích sự hình thành C bằng cơ chế phản ứng. Câu10(2 điểm):Hoáhọccáchợpchấtthiênnhiên 10.1. Monosaccarit A (đặt là glicozơ A) có tên là (2S,3R,4S,5R)–2,3,4,5,6–pentahidroxihexanal. Khi đun nóng tới 1000C, A bị tách nước sinh ra sản phẩm B có tên là 1,6–anhidroglicopiranozơ. D–glucozơ không tham gia phản ứng này. Từ A có thể nhận được các sản phẩm E (C5H10O5) và G (C5H8O7) theo sơ đồ phản ứng: A Br2 H2O C CaCO3 HNO3 DEG H2O2 a) Viết công thức Fischer của A và B. b) A tồn tại ở 4 dạng ghế (D-glicopiranozơ). Viết công thức của các dạng đó và cho biết dạng nào bền hơn cả? c) Dùng công thức cấu dạng biểu diễn phản ứng chuyển hoá A thành B. Vì sao D–glucozơ không tham gia phản ứng tách nước như A? d) Viết công thức cấu trúc của E và G. Hãy cho biết chúng có tính quang hoạt hay không? 10.2. Bạch quả là một trong những loài cây sống lâu đời nhất có niên đại hơn hơn 200 triệu năm. Các thành phần hữu ích nhất của cây bạch quả là flavonoid, chất chống oxy hóa mạnh mẽ, giúp cải thiện lưu thông bằng cách làm giãn mạch máu và giảm "độ dính" của tiểu cầu. Do vậy, cao bạch quả đã có trong sản phẩm thực phẩm bảo vệ sức khỏe cũng như thuốc để tăng cường máu lên não, tăng trí nhớ… Ngoài các flavonoid ra, trong bạch quả còn có hoạt chất bilobanone (chứa vòng furan), có tiềm năng lớn để sử dụng làm nước hoa. Nó có thể được tổng hợp như sau: Biết giai đoạn (5) sang (6) là quá trình đồng phân hóa nhóm -OH ở vị trí allyl. Xác định cấu trúc các chất chưa biết.

GV ra đề: Nguyễn Thị Xuân Vinh

TRƯỜNGTHPTCHUYÊN CHUVĂNAN–BÌNH ĐỊNH ĐA- Đề đề xuất ĐA- ĐỀ THICHỌNHSGKHUVỰCDUYÊNHẢIBẮCBỘ NĂMHỌC2021–2022 Môn:Hóahọc–Lớp11 Thời gian làm bài 180 phút (không kể thời gian phát đề) Câu1 (2 điểm): Tốc độ phản ứng Người ta nghiên cứu phản ứng nhiệt phân etanal: CH3CHO → CH4 + CO. Cơ chế phản ứng được đề nghị như sau: 1 2 3 4 k 33 k k 332 k 33 33 CHCHO CH CHO (1) CHO CO+H (2) CHCHO H CHCO+H (3) CHCO CH +CO (4) CHCHO+CH →+ → +→ → 5 6 k 34 k 326 CHCO +CH (5) 2CH CH (6) → → a) Tìm phương trình tốc độ của sự phân hủy etanal. Cho biết bậc của phản ứng. b) Tìm phương trình tính tốc độ tạo thành sản phẩm. c) Nếu coi phần lớn chất phản ứng bị phân hủy theo phương trình tạo sản phẩm chính thì phản ứng có bậc hay không? Cho biết biểu thức tính năng lượng hoạt hóa của phản ứng theo năng lượng hoạt hóa của các giai đoạn trong trường hợp này. Câu1 Nộidung Điểm a) 3 1333533 d[CHCHO] vk[CHCHO]k[CHCHO].[H]k[CHCHO].[CH] dt =−=++ (*) Áp dụng nguyên lí nồng độ ổn định ta có: 132 3...2 134353363 233 3 3343533 d[CHO] k[CHCHO]k[CHO] = 0 (I) d[CH]dt k[CHCHO]k[CHCO]k[CHCHO][CH]-2k[CH]0 (II) d[H]dt k[CHO]k[CHCHO] [H]0 (III) d[CHCO]dt k[CHCHO][H]-k[CHCO]k[CHCHO][CH] = dt =− =+−= =−= =+ 0(IV) 0,5 Từ (I) và (III) => 1323 k[CHCHO]k[CHO]k[CHO][H] (1')== Từ (II) + (IV) và (1’) => .2. 11/2 136333 6 k k[CHCHO]k[CH][CH]= [CHCHO] (2')k ==> Thay (2’) và (1’) vào (*) ta được: 0,25

13/2 1353 6 k v2k[CHCHO] k k[CHCHO]=+ Vậy phản ứng không có bậc. 0,25 b. 3 4 226 COCHCHO 13/2 CH53 6 HCH13 vv vvk[CHCHO]vk[CHCHO]kk = = == 0,5 c. Nếu chỉ có sản phẩm chính thì 4 13/2 puCH53 6 vvk[CHCHO]kk == Khi đó bậc phản ứng là 1,5. Ta có: a1 aa5 a6 E/RT1/2 1E/RTE/RT 1 55 E/RT 6 6 kkA.eA.e.kAekAe ==>=   => 16 5 EE EE 22 =+− 0,5 Câu2 (2 điểm): Cân bằng và phản ứng trong dung dịch, pin điện, điện phân. 2.1. Trộn 5 ml dung dịch H2C2O4 0,8M với 5 ml dung dịch NaHCO3 0,4M thu được dung dịch A. Thêm 10 ml dung dịch (CH3COO)2Ba 0,6M vào dung dịch A được hỗn hợp B. a) Xác định thành phần giới hạn của B. b) Hỏi có BaC2O4 và BaCO3 tách ra không? Khi đó pH của hệ là bao nhiêu? c) Nếu có kết tủa BaC2O4 hoặc BaCO3, hãy tính độ tan của chúng trong hỗn hợp thu được. Biết H2C2O4 có: 12 aapK1,25; pK4,27== ; H2CO3 có 12 aapK6,35; pK10,33== CH3COOH có 1a pK4,76 = ; BaC2O4 có s pK6,8 = ; BaCO3 có s pK8,3 = . Độ tan CO2 bão hòa là 3.10-2 M. 2.2. Nhỏ 100 ml dung dịch HCl 0,82M vào 2,32 gam bột Fe3O4 thu được dung dịch X. Một pin điện gồm điện cực Pt nhúng trong dung dịch X với điện cực Ag nhúng trong dung dịch ban đầu có Na2SO4 0,10M; NaCl 0,05M; AgNO3 0,25M. a) Viết sơ đồ pin, nửa phản ứng, phương trình phản ứng khi pin hoạt động. Tính suất điện động của pin.b) Tính thế cần đặt vào để dung dịch X bắt đầu xảy ra điện phân và đến khi hết một cation trong dung dịch X. (coi như ion bị điện phân hết khi nông độ ion còn lại trong dung dịch là 10-6M; áp suất của Cl2 chấp nhận bằng 1 atm) Cho: Eo(Fe3+/Fe2+) = 0,771V; Eo(Ag+/Ag) = 0,799V; Eo(Cl2/2Cl ) = 1,359V; *βFe(OH)2+ = 10-2,17; *βFe(OH)+ = 10-5,92; KS(AgCl) = 10-10,00; KS(Ag2SO4) = 10-4,83

Câu2 Nộidung Điểm 2.1 a) Cân bằng trong dung dịch A: 5,1 224324221 HCOHCOHCOCOHOK10 +++= ⇌ 0,4M 0,2M 0,2M - 0,2M 3.10-2M TPGH dung dịch A: H2C2O4: 0,2M; CO2: 3.10-2M; HC2O4 0,2M. - Sau khi trộn 10ml (CH3COO)2Ba 0,6M vào dung dịch A được hỗn hợp B: H2C2O4: 0,1M; HC2O4 0,1M; H2CO3: 1,5.10-2M; CH3COO : 0,6M; Ba2+: 0,3M. * Cân bằng trong B: 3,51 22433242 HCOCHCOOCHCOOH + HCOK10+ =⇌ 0,1M 0,6M 0,1M - 0,5M 0,1M 0,2M 2 7,29 2432433 BaHCOCHCOOBaCOCHCOOHK10 +−− ++↓+= ⇌ 0,3M 0,2M 0,5M 0,1M 0,1M - 0,3M 0,3M TPGH của hệ B: BaC2O4; Ba2+ 0,1M; CH3COOH 0,3M; CH3COO 0,3M; H2CO3 1,5.10-2M 0,250,25 b) Cân bằng trong hệ: 1 2 4,76 33a 6,35 233a 2 10,33 33a 14 2 w CHCOOHCHCOOH(1)K10 HCOHHCO(2)K10 HCOHCO(3)K10 HOHOH(4)K10 −+− +−− −+− +− += += += += ⇌ ⇌ ⇌ ⇌ 9,24 323bCHCOOHOCHCOOH + OH(5)K10+= ⇌ Bỏ qua (2), (3), (4); Áp dụng hệ đệm ta có: b Ba a C pHpKlg4,76 C =+= 22 23 33 22 33 9 HCO COCO BaCOs(CaCO) C'C.1,01.10M. C'.C'K +− =α= =>< Chỉ có kết tủa BaC2O4, không có kết tủa BaCO3 tách ra. 0,25 c) Dung dịch B: 226,8 2424s BaCOBaCOK10 +−− +=⇌ (s + 0,1) s

2 21 21 2424a 2 11 24224aa COHHCOK CO2HHCOK.K −+−− −+−− + + ⇌ ⇌ [Ba2+] = 2Ba C + = (0,1 + s); ==++ =++ =>= ++ 2 24 212 212 2 CO2424224 21112 24aaa 2 24 1112 aaa sC[CO][HCO][HCO] [CO].(1K.hK.K.h) [CO]s (1K.hK.K.h) =+= ++ =>= 212 6,8 s 1112 aaa 6 s K(0,1s).10 (1K.hK.K.h) s2,1.10 0,25 2.2 a) Fe3O3 + 8H+ → 2Fe3+ + 2Fe2+ + 4H2O no 0,01 0,082 ns 0 0,002 0,02 0,01 => Dung dịch X gồm Fe3+ 0,20M; Fe2+ 0,1M; H+ 0,02M. Tínhthế khử ở mỗi điệncực: + Điện cực Pt Fe3+ 0,20M; Fe2+ 0,10M; H+ 0,02M. Cân bằng chủ yếu trong dung dị Fech: 3+ + H2O ⇌ Fe(OH)2+ + H+ *βFe(OH)2+ = 10-2,17 0,2 0,02 0,2-y y 0,02 + y → y = 0,026M → [Fe3+] = 0,174M; [Fe2+] = 0,10M; [H+] = 0,046M. Vậy: E(Fe3+/Fe2+) = 0,77 + 0,0592lg(0,174/0,1) = 0,785V 0,25 + Xét cân bằng trong hệ có AgNO3 0,25M; NaCl 0,05M; Na2SO4 0,10M: Ag+ + Cl ⇌ AgCl K1 = 1010 CM 0,25 0,05 0,22Ag+ + 2 4SO ⇌ Ag2SO4 K2 = 104,83 CM 0,2 0,1 -Do Ks(Ag2SO4) > Ks(AgCl) nên [Ag+] trong dung dịch được tính theo cân bằng: Ag2SO4 ⇌ 2Ag+ + 2 4SO Ks = 10-4,83 2x x → (2x)2.x = 10-4,83 Tính ra được [Ag+] = 0,031M. 0,25

Vậy: E(Ag+/Ag) = 0,799 + 0,0592lg0,031 = 0,710V Do E(Ag+/Ag) = 0,710V < E(Fe3+/Fe2+) = 0,785V, ta có sơ đồ pin: A(-) Ag,Ag2SO4,AgCl | Na2SO4, NaCl || Fe2+0,1M; Fe3+0,2M; H+ 0,02M | Pt (+)K Các quá trình khử mỗi điện cực: Tại anot: 2Ag + 2 4SO ⇌ Ag2SO4 + 2e Tại katot: Fe3+ + 1e ⇌ Fe2+ Phản ứng xảy ra khi pin hoạt động: 2Fe3+ + 2Ag + SO42- ⇌ 2Fe2+ + Ag2SO4 => Suất điện động của pin là: Epin = 0,785 – 0,710 = 0,075(V) 0,25 Khib) điện phân dung dịch X gồm Fe3+ 0,2M, Fe2+ 0,1M; H+ 0,02M, có thứ tự xảy ra là Ở điện cực anot (+) Ở điện cực catot (-) 2Cl ⇌ Cl2 + 2e (1) Fe3+ + e ⇌ Fe2+ (2) 2H+ + 2e ⇌ H2 (3) + Khi bắt đầu điện phân: 2 22 0Cl Cl/2ClCl/2Cl2 EElg0,0592p2[Cl] =+ = 1,359 + 2 0,05921 lg 2[0,82] =1,364V 32Fe/Fe E0,785V ++ = → U = 2 Cl/2Cl E - 32Fe/Fe E ++ = 1,364 – 0,785 = 0,579V + Khi ion Fe3+ hết: 3Fe n + đã điện phân = ne trao đổi = 0,02 mol [Fe3+] = 10-6M → 32 6 Fe/Fe E0,770,0592lg(10/0,3)0,4458V ++ =+= [Cl ] = 0,62M → 2 Cl/2Cl2 E1,359lg0,0592120,62 =+ = 1,3713V → U = 2 Cl/2Cl E - 32Fe/Fe E ++ = 1,3713 – 0,4458 = 0,9255V 0,25 Câu3 (2 điểm): Nhiệt độnghọc–Cânbằnghóahọc Cho bảng giá trị nhiệt động của phản ứng H2 + ½ O2 → H2O ở 298,15K như sau:

Chất H2(k) O2(k) H2O(k) H2O(l) ∆H0tt (kJ.mol-1) 0 0 -241,82 -285,84 ∆S0 (J.K-1.mol-1) 130,59 205,03 188,83 69,94 Ở 373,15K và 100 kPa, nhiệt hóa hơi của nước là ∆Hhóa hơi = 40,64 kJ.mol-1 ; Nhiệt dung đẳng áp của nước trong khoảng nhiệt độ từ 298,15K – 373,15K là 75,6 J.K-1.mol-1 . a) Quá trình trên được sử dụng trong việc tạo ra pin nhiên liệu. Hiệu suất lý thuyết của pin nhiên liệu là năng lượng cực đại của pin có thể sản sinh so với anthalpy ( HGη ∆ = ∆ ). Hãy tính hiệu suất lý thuyết của pin nhiên liệu đối với sự tạo thành nước lỏng và nước hơi khi đốt cháy 1 mol H2. Giải thích sự khác biệt giữa hai trường hợp. b) Tính hiệu suất lý thuyết khi pin nhiên liệu làm việc ở 473,15K và 100 kPa. Cho rằng entropy và enthalpy không phụ thuộc nhiệt độ. c) Hãy giải thích vì sao hiệu suất lý thuyết thay đổi theo nhiệt độ? Câu3 Nộidung Điểm a. * Trường hợp phản ứng sinh ra H2O lỏng: H2(k) + ½ O2(k) → H2O(l) Ta có: ∆H0 = -285,84 kJ.mol-1 ∆S0 = 69,94 – 130,59 – ½.205,03 = - 163,17 J.K-1.mol-1 Suy ra: ∆G0 = ∆H0 – T. ∆S0 = -237,19 kJ.mol-1 . Vậy hiệu suất lý thuyết của pin nhiên liệu ứng với trường hợp này là: 0 0 237,19 .100%83% 285,84 G Hη ∆− === ∆− 0,5 * Trường hợp phản ứng sinh ra H2O hơi: H2(k) + ½ O2(k) → H2O(k) Ta có: ∆H0 = -241,82 kJ.mol-1 ∆S0 = 188,83 – 130,59 – ½.205,03 = - 44,28 J.K-1.mol-1 Suy ra: ∆G0 = ∆H0 – T. ∆S0 = -228,63 kJ.mol-1 Vậy hiệu suất lý thuyết của pin nhiên liệu ứng với trường hợp này là: 0 0 228,63 .100%94,5% 241,82 G Hη ∆− === ∆− 0,25 * Có sự khác nhau về hiệu suất lý thuyết giữa hai trường hợp trên (sinh ra H2O lỏng và H2O hơi) là do phản ứng tạo t∆hành H2O lỏng ở 298,15K phải tính đến quá trình hóa hơi theo chu trình sau: H2O(l, 298,15K, p) H∆ → H2O(k, 298,15K, p) ∆H1 ∆H3 H2O(l, 298,15K, p) 2H∆ → H2O(k, 298,15K, p) Ta có: Nhiệt của quá trình hóa hơi là ∆H = ∆H1 + ∆H2 + ∆H3 = 40,64 kJ.mol-1 . 0,5

Như vây, chính quá trình này làm cho nhiệt của quá trình hóa hơi ∆H tăng nên làm cho hiệu suất lý thuyết của quá trình tạo thành nước lỏng giảm đi. b. Ở 473,15K thì nước ở trạng thái hơi nên khi đó ta có: ∆H0 = -241,82 kJ.mol-1 ∆S0 = 188,83 – 130,59 – ½.205,03 = - 44,28 J.K-1.mol-1 . Suy ra: ∆G0 = ∆H0 – T. ∆S0 = -220,88 kJ.mol-1 . Vậy hiệu suất lý thuyết của pin nhiên liệu ứng với trường hợp này là: 0 0 220,88 .100%91,3% 241,82 G Hη ∆− === ∆− 0,5 c. Do đại lượng T.∆S có giá trị âm nên việc tăng nhiệt độ sẽ dẫn đến việc giảm hiệu suất làm việc của pin nhiên liệu, tức là nếu nhiệt độ càng thấp thì pin làm việc sẽ càng hiệu quả. 0,25 Câu4(2 điểm):Hóanguyêntố (Kimloại,phikimnhómVA,IVA) 4.1. Nêu hiện tượng và viết phương trình hóa học của phản ứng xảy ra trong các thí nghiệm sau: a) Sục từ từ khí clo (đến dư) vào dung dịch NaBr. b) Cho một ít bột MnO2 vào dung dịch H2O2 c) Cho dung dịch SnCl2 vào dung dịch FeCl3, sau đó cho thêm K3[Fe(CN)6] d) Cho dung dịch KI vào dung dịch FeCl3 4.2. Canxi xyanamit được điều chế theo phản ứng (1) và (2), nó phản ứng với nước và axit sunfuric theo phản ứng (3) và (4) dưới đây: CaO + 3C → CaC2 + CO (1) CaC2 + N2 → CaCN2 + C (2) CaCN2 + 3H2O → CaCO3 + 2NH3 (3) CaCN2 + H2SO4 → CaSO4 + H2N – CN (4) a) Hãy trình bày ngắn gọn về ảnh hưởng của áp suất và nhiệt độ đến chiều diễn biến của phản ứng (1) và (2). b) Dựa vào các phản ứng đã cho, hãy giải thích và viết cấu tạo hóa học (có ghi đầy đủ các electron hóa trị) của CaCN2. c) Hãy viết cơ chế phản ứng để giải thích sự tạo thành NH3 ở phản ứng (3) và H2N–CN (xyanamit) ở phản ứng (4). d) Viết công thức Liuyt của các đồng phân ứng với công thức phân tử CH2N2.

2 Câu Nộidung Điểm 4.1 a) Cho từ từ Cl2 vào dung dịch NaBr:Cl2 + 2NaBr → 2NaCl + Br2 Hiện tượng: dung dịch từ không màu chuyển thành màu vàng nâu. Khi Cl2 dư: 5Cl2 + Br2 + 6H2O → 10HCl + 2HBrO3 Hiện tượng: khi Cl2 dư, dung dịch mất màu vàng nâu. 0,25 b) Cho một ít bột MnO2 vào dung dịch H2O2; 2H2O2 2 H2O + O2 Hiện tượng khí O2 thoát ra mạnh. 0,25 c)Cho dung dịch SnCl2 vào dung dịch FeCl3, sau đó cho thêm K3[Fe (CN)6]: SnCl2 + 2FeCl3 → SnCl4 + 2FeCl2 FeCl2 + K3[Fe(CN)6] → KFe[Fe(CN)6]↓ xanh + 2KCl Hiện tượng: có kết tủa màu xanh (xanh Tuabin). 0,25 d)Cho KI vào dung dịch FeCl3: 2FeCl3 + 2KI → 2FeCl2 + I2 + 2KCl I2 + KI → KI3 Hiện tượng: dung dịch có màu vàng nâu (màu của dung dịch KI3). 0,25 4.2 a) Áp suất tăng bất lợi cho phản ứng (1) nhưng có lợi cho phản ứng (2). Cả hai phản ứng đều cần tiến hành ở nhiệt độ cao. Phản ứng (1) sinh ra chất khí từ các chất rắn, tức là tăng entropy. Do đó, ∆G (= ∆H-T∆S) của phản ứng (1) giảm nên phản ứng xảy ra dễ hơn. Phản ứng (2) sinh ra chất rắn từ chất khí, tức là làm giảm entropy, nên ∆G của phản ứng tăng, bất lợi cho phản ứng. 0,25 b) Các phản ứng trên cho thấykhi cộng thêm 2H+ từ H2SO4 thì sinh ra H2N-CN. Vậy CaCN2 là hợp chất ion cấu tạo từ cation Ca2+ và anion CN2- (cấu tạo mà mỗi điện tích âm ở một nguyên tử N có xác suất lớn hơn so với cấu tạo mà cả 2 điện tích âm cùng ở trên 1 nguyên tử N): 0,25 c)Khi cho CaCN2 tác dụng với nước:CaCN2 + 2H2O→ HN=C=NH + Ca2+ + 2OH HN=C=NH không bền nên phản ứng ngay với nước thành H2NCONH2 rồi thành NH3 và CO32HN=C=HN không bền nên hỗ biến ngay thành H2N-CN bền hơn do liên hợp 0,25 d) Viết 8 công thức Liuyt của các đồng phân ứng với công thức phân tử CH2N2. 0,25 Câu5(2 điểm):Phứcchất.

5.1.Các chất A, B, C có cùng công thức phân tử CrCl3.6H2O. Trong dung dịch nước tồn tại cân bằng:[Cr(H2O)6]Cl3 [Cr(H2O)5Cl]Cl2.H2O [Cr(H2O)4Cl2]Cl.2H2O. (A) (B) (C) Trong một thí nghiệm người ta cho dung dịch chứa 0,32 gam CrCl3.6H2O đi qua một lớp nhựa trao đổi cation dưới dạng H+. Cần 28,8 ml dung dịch NaOH 0,125M để chuẩn độ hết lượng H+ đã chuyển vào dung dịch. a) Gọi tên các phức chất A, B và C. b) Phức chất nào có đồng phân hình học? Viết công thức biểu diễn cấu trúc đồng phân đó. c) Xác định công thức của phức trong dung dịch. 5.2. Phản ứng khử phức của Fe(III) ([FeL6]3+ ) thành phức của Fe(II) ([FeL6]2+) bằng axit ascobic (H2Asc) được mô tả bởi PTHH: 2[FeL6]3+ + H2Asc → 2[FeL6]2+ + Asc + 2H+ (*) Cơ chế của phản ứng được đề nghị như sau: H2Asc 1 1 k k → ← H+ + HAsc (1) và (-1) [FeL6]3+ + HAsc 2k → [FeL6]2+ + HAsc• (2) HAsc• 3 3 k k → ← H+ + Asc• (3) và (-3) [FeL6]3+ + Asc• 4k → [FeL6]2+ + Asc (4) (1) và (-1) là các phản ứng nhanh so với các phản ứng khác. a) Tìm biểu thức tính hằng số cân bằng K1 (của các phản ứng (1) và (-1)) theo k1 và k-1. b) Chỉ ra các tiểu phân trung gian phản ứng trong cơ chế trên và cho biết có thể áp dụng nguyên lí nồng độ dừng cho những tiểu phân nào ? Tại sao Câu Nộidung Điểm 5.1 a)A: Hexaaquacrom (III) clorua B: Cloro pentaaqua crom (III) clorua hiđrat C: Đicloro tetraaqua crom (III) clorua hiđrat 0,25 b) C có đồng phân hình học 0,25

c) [Cr(H2O)6 –nCln]Cl3 –n.nH2O → [Cr(H2O)6 –nCln]3 –n + (3 –n) Cl – + n H2O 1,20.10 –3 1,20.10 –3 [Cr(H2O)6 –nCln]3 –n + (3 –n) R –COOH → ... + (3 – n) H+ 1,20.10 –3 1,20.10 –3 (3 – n) H+ + OH – → H2O 3,60.10 –3 mol Có: nH+ = 1,20.10 –3 (3 – n) = 3,60.10 –3 → n = 0; Vậy phức trong dung dịch là [Cr(H2O)6]Cl3 (phứcA) 0,5 5.2 a) Ta có: 112 vk[HAsc] = ; 11 vk[H][HAsc] +− = Phản ứng đạt cân bằng khi 11121 vvk[HAsc]k[H][Asc] +− =  =  1 1 21 k[H][Asc]K [HAsc]k +− == 0.5 b)Các tiểu phân trung gian phản ứng: HAsc , HAsc• và Asc• - Có thể áp dụng nguyên lí nồng độ dừng cho các tiểu phân HAsc• và Asc• vì chúng là các gốc tự do, là các tiểu phân có hoạt tính cao nên nồng độ của chúng rất nhỏ so với các chất phản ứng và sản phẩm và gần như không đổi trong quá trình phản ứng. - Không áp dụng được nguyên lí nồng độ dừng cho HAsc vì (1) và (-1) là các giai đoạn nhanh nên nó nằm cân bằng với H2Asc và do đó có nồng độ tương đối lớn. 0.5 Câu6(2 điểm): Đạicươnghữucơ. 6.1. Tropon (Tên hệ thống: xiclohepta-2,4,6-trienon) có momen lưỡng cực (μ) = 4.17 D; phản ứng của tropon với axit có hằng số cân bằng K = 31.2. Trong khi đó, μ của xicloheptanon chỉ là 3.04 D, và phản ứng của xicloheptanon với axit có hằng số cân bằng chỉ khoảng 10-5. Giải thích ngắn gọn các giá trị thực nghiệm trên. 6.2. Theobromine (theo tiếng Hy Lạp, theobroma có nghĩa là "thức ăn của các vị thần") là một thành phần của ca-cao. Melamine là một chất nhũ hóa.

a) Hãy cho biết nguyên tử nitơ có lực base mạnh nhất và yếu nhất trong phân tử theobromine. Giải thích ngắn gọn. b) So sánh lực base của hai nguyên tử nitơ trong phân tử melamine. Giải thích ngắn gọn. 6.3. Như đã biết, nhóm t-Bu rất cồng kềnh nên thường chiếm liên kết biên (equatiorial, viết tắt là e). Tuy nhiên, nghiên cứu cho thấy ở 1,3,5-tri-tert-butylhexahydro-1,3,5-triazine, cấu dạng A – với cả ba nhóm t-Bu biên – lại kém bền hơn so với cấu dạng B – có một nhóm t-Bu chiếm liên kết trục (axial, viết tắt là a). Ở điều kiện thường, cấu dạng B chiếm tới 85%. Giải thích sự bất thường này. N N N t-Bu t-Bu t-Bu N N N t-Bu t-Bu t-Bu B (85%)A (15%) Câu Nộidung Điểm 6.1 Tropon tồn tại ở một vài dạng công thức cộng hưởng, trong đó, dạng (II) chứa vòng tropolium 7 cạnh là một vòng thơm. Do đó, công thức cộng hưởng (II) bền, đóng góp đáng kể vào dạng tồn tại thực của tropon; dạng này gồm phần vòng tropolium (cation) và anion O , do đó, nó có μ lớn hơn đáng kể so với xicloheptanon vốn chỉ có sự phân cực ở liên kết cộng hóa trị C=O do sự chênh lệch về độ âm điện của C và O. - Ở dạng “phenolat” tropon phản ứng tương đối dễ dàng với axit. 0,25 6.2 a) - Lực base yếu nhất: Nguyên tử Na, vì cặp e-n của Na nằm trên orbital p đã tham gia tạo hệ thơm. - Lực ba mạnh nhất: Nguyên tử Nb, vì cặp e-n của Nb nắm trên orbital lai hóa sp2 không chịu ảnh hưởng của hệ liên hợp. b) - Lực bazơ: Nguyên tử Nx < Nguyên tử Ny, vì ở nguyên tử Nx, vì cặp e-n của Nx nằm trên orbital p đã chịu ảnh hưởng (-C) mạnh của dị vòng triazine; còn ở nguyên tử Ny, cặp e-n của Ny nắm trên orbital lai hóa sp2 không chịu ảnh hưởng của hệ liên hợp. 0,5

6.3 1.3. Ở cấu dạng A có sự siêu liên hợp của σC-N với σ*C-N, ở cấu dạng B có sự siêu liên hợp của cặp electron không liên kết của nguyên tử nitơ nN với σ*C-N. - Sự siêu liên hợp σC-N → σ*C-N ở cấu dạng A yếu hơn sự siêu liên hợp nN → σ*C-N ở cấu dạng B (xem giản đồ năng lượng bên phải hình). - Tương tác 1,3-diaxial giữa nhóm t-Bu trục với hai cặp electron không liên kết trên N là không đáng kể. - Ngoài ra, cấu dạng B bền hơn vì có momen lưỡng cực nhỏ hơn vì momen lưỡng một cặp e-n ở hướng liên kết biên ngược hướng với hai cặp e-n ở hướng liên kết trục. - Do đó, cấu dạng B bền hơn cấu dạng A. 0,25 Câu7(2 điểm):Cơ chế phản ứnghóahữucơ. Viết cơ chế giải thích sự tạo thành các sản phẩm ở mỗi phản ứng sau: 7.1

77.37.2. .4. Câu Nộidung Điểm 7.1 0,5 7.2 0,5

7.3 0,5 7.4 0,5 Câu8(2 điểm):Sơ đồ tổnghợphữucơ. Viết công thức của các hợp chất ở các dãy phản ứng sau: 8.1.

8.4.8.3.8.2

Câu Nộidung Điểm 8.1 0,5 8.2 0,5

8.3 0,5 8.4 0,5

Câu9(2 điểm):Xác địnhcấutrúccácchấthữucơ (môtả sơ đồ tổnghợpbằnglờidẫn). 9.1. Hợp chất A bền, có đồng phân quang học và có công thức phân tử C12H12O3. Cho A phản ứng với 1,3-dioxolane (B) có mặt benzoic peroxyanhydride (Bz2O2, (C)) trong điều kiện chiếu sáng thu được hợp chất D (C15H18O5). Đun nóng D với H2, có xúc tác Pd/C, thu được hợp chất E (C8H12O5). Khử E bằng LiAlH4 tạo thành F (C8H16O5). Trong dung môi tetrahydrofuran (THF) khan và có mặt xúc tác acid p-toluenesulfonic (p-TsOH), F chuyển hóa thành hợp chất G (C6H10O3) dạng bis-tetrahydrofuran là một chất trung gian trong tổng hợp dược phẩm kháng HIV. G phản ứng được với Ac2O/pyridine tạo thành sản phẩm monoacetate. a) Xác định công thức cấu tạo của các hợp chất từ A đến G trong dãy tổng hợp trên. b) Giải thích sự chuyển hóa F thành G bằng cơ chế phản ứng. 9.2. Khuấy đều một hỗn hợp gồm đietyl malonat (CH2(CO2Et)2) và 1,2-đibromoetan trong dung dịch NaOH 50% (có trietylbenzylamoni clorua làm xúc tác chuyển pha) ở 25 oC rồi trung hòa bằng dung dịch HCl đặc thì thu được hợp chất A (C5H6O4). Khi có xúc tác H2SO4 đặc, A phản ứng với prop-1en-2-yl acetate tạo thành hợp chất B (C8H10O4). Ở nhiệt độ thường, B tác dụng với anilin tạo thành hợp chất C (C11H11NO3). Khi dùng EtONa/EtOH và tiến hành phản ứng ở nhiệt độ thường, đietyl malonat và 1,2đibromoetan tạo thành dẫn xuất D (C9H14O4) của A Đun nóng D với đietyl malonat có EtONa/EtOH ở 100 oC trong 8 h thu được hợp chất E (C16H26O8). a) Hãy xác định công thức cấu tạo các hợp chất từ A đến E b) Giải thích sự hình thành C bằng cơ chế phản ứng. Câu Nộidung Điểm

9.1 a) Hợp chất A phản ứng với 1,3-dioxolane theo cơ chế cộng gốc tự do, nên A có liên kết đôi -C=C. D (C15) phản ứng với H2, Pd/C tạo thành E (C8) ứng với việc mất đi một nhóm bảo vệ benzyl (dạng ete). - Khử E bằng LiAlH4 tạo thành F không làm thay đổi số nguyên tử cacbon, nên E là lacton, A ở dạng cacbonyl-α,β-không no. - Cấu tạo của các chất trong quy trình tổng hợp G như sau: 0.5 - Sơ đồ chuyển hóa chung của quy trình tổng hợp G: 0.25 b) Cơ chế phản ứng hình thành G: 0.25

9.2 a) Xác định công thức cấu tạo các hợp chất từ A đến E: 0,5 b) Giải thích sự hình thành C bằng cơ chế phản ứng. 0,5 Câu10(2 điểm):Hoáhọccáchợpchấtthiênnhiên 10.1. Monosaccarit A (đặt là glicozơ A) có tên là (2S,3R,4S,5R)–2,3,4,5,6–pentahidroxihexanal. Khi đun nóng tới 1000C, A bị tách nước sinh ra sản phẩm B có tên là 1,6–anhidroglicopiranozơ. D–glucozơ không tham gia phản ứng này. Từ A có thể nhận được các sản phẩm E (C5H10O5) và G (C5H8O7) theo sơ đồ phản ứng: A Br2 H2O C CaCO3 HNO3 DEG H2O2 a) Viết công thức Fischer của A và B. b) A tồn tại ở 4 dạng ghế (D-glicopiranozơ). Viết công thức của các dạng đó và cho biết dạng nào bền hơn cả? c) Dùng công thức cấu dạng biểu diễn phản ứng chuyển hoá A thành B. Vì sao D–glucozơ không tham gia phản ứng tách nước như A? d) Viết công thức cấu trúc của E và G. Hãy cho biết chúng có tính quang hoạt hay không? 10.2. Bạch quả là một trong những loài cây sống lâu đời nhất có niên đại hơn hơn 200 triệu năm. Các thành phần hữu ích nhất của cây bạch quả là flavonoid, chất chống oxy hóa mạnh mẽ, giúp cải thiện lưu thông bằng cách làm giãn mạch máu và giảm "độ dính" của tiểu cầu. Do vậy, cao bạch quả đã có trong sản phẩm thực phẩm bảo vệ sức khỏe cũng như thuốc để tăng cường máu lên não, tăng trí nhớ… Ngoài các flavonoid ra, trong bạch quả còn có hoạt chất bilobanone (chứa vòng furan), có tiềm năng lớn để sử dụng làm nước hoa. Nó có thể được tổng hợp như sau:

Biết giai đoạn (5) sang (6) là quá trình đồng phân hóa nhóm -OH ở vị trí allyl. Xác định cấu trúc các chất chưa biết Câu Nộidung Điểm 10.1 a) CHOOHOHHOHO CH2OH 1000C CHOHHOHOO-CH2 O + H2O 0,25 b) O O HO HO OHOH OH HO HO OHOHOH C1 - β 1 C - β O O HO HO OHOH HO HO OH OH 1 CHO OH αC1 - α 1 C - α Bền nhất vì số liên kết e – OH nhiều nhất 0,25

c) OHO HO OHOHOH OHO HO OH O + H2O 1000C 3. D- Glucozơ không phản ứng tách nước vì các nhóm – OH ở C1 và C6 luôn ở xa nhau. 0,25 CHO OH OH HO CH2OH COOH OH OH HO COOH 4. Quang hoạt Không quang hoạt 0,25 10.2 0,5

GV ra đề: Nguyễn Thị Xuân Vinh

ĐỀ THI DHBB MÔN HÓA HỌC – LỚP 11 - NĂM 2022 TRƯỜNG THPT CHU VĂN AN Câu 1 (2 điểm): Tốc độ phản ứng. Phản ứng A: S2O82-(dd) + 3I-(dd) → 2SO42-(dd) + I3 (dd) I3 hình thành phản ứng tức thời với axit ascorbic Phản ứng B: I3 (dd) + C6H8O6(dd) → 3I (dd) + C6H6O6(dd) + 2H+(dd) Khi toàn bộ lượng axit ascorbic đã phản ứng hết, sẽ xảy ra phản ứng: I3 (dd) + tinh bột → Phức màu xanh Thời gian từ lúc trộn các chất phản ứng đến lúc xuất hiện màu xanh phụ thuộc vào lượng I3 sinh ra trong phản ứng A. Ở 25oC, người ta trộn 5,0 mL dd C6H8O6 0,02 M, 5,0 mL dd hồ tinh bột với 25 mL dd (NH4)2 S2O8 và 25 mL dd KI với các nồng độ khác nhau và thu được các giá trị của thời gian bắt đầu xuất hiện màu xanh cho trong bảng dưới đây: TN số [(NH4)2 S2O8]0 (mol/L) [KI]0 (mol/L) t(s) 4321 0,2000,0500,1000,200 0,1000,2000,2000,200 41,082,041,020,5 Xem phản ứng B là tức thời thì thời gian xuất hiện phức màu xanh sẽ càng nhỏ nếu tốc độ phản ứng A càng lớn. Vì thế tốc độ phản ứng tỉ lệ nghịch với t: a) Tìm biểu thức của định luật tốc độ của phản ứng A. b) Tính hằng số tốc độ của phản ứng A. Câu 2 (2 điểm): Cân bằng và phản ứng trong dung dịch, pin điện, điện phân.

Một ắc qui Niken – Cadimi được tạo thành từ một điện cực cadimi và một điện cực kim loại trơ phủ kết tủa Ni2O3 nhúng trong dung dịch KOH đặc. a) Chỉ rõ điện cực âm và điện cực dương của ắc qui? Viết các bán phản ứng ở mỗi điện cực và phản ứng toàn phần xảy ra khi ắc qui phóng điện? Tính sức điện động của ắc qui. b) Làm thế nào để nạp lại ắc qui? Viết các bán phản ứng ở mỗi điện cực và phản ứng toàn phần xảy ra khi nạp lại ắc qui. Xác định giới hạn điện thế khi nạp ắc qui. Cho: các giá trị thế chuẩn: 2 23 0 NiO/Ni E + = 1,74 V; 2 0 /CdCd E + = - 0,40 V; 22 0 O/H OE = 1,23 V. Các tích số tan: 2 (())sCdOHK = 10-14; 2 (())sNiOHK = 10-16 Câu 3 (2 điểm): Nhiệt động học và cân bằng hoá học. 1. Người ta có thể làm tuyết nhân tạo bằng cách nén hỗn hợp hơi nước và không khí đến áp suất cao rồi cho hỗn hợp khí đó phụt nhanh ra khỏi bình nén vào khí quyển. Hãy dùng nhiệt động học giải thích quá trình đó. 2. Trên đỉnh núi cao vào một buổi sáng mùa đông lặng gió, có sương tuyết tạo thành. ở mặt phía Tây của đỉnh núi, nhiệt độ hạ xuống đến - 60C, áp suất của hơi nước trong khí quyển là 2,20 Torr. ở mặt phía Đông của đỉnh núi, nhiệt độ hạ xuống đến - 30C, áp suất của hơi nước trong khí quyển là 3,80 Torr. Hãy cho biết trong điều kiện như vậy các hạt sương tuyết có tồn tại hay không? Biết rằng: entanpi nóng chảy của nước đá là 6,008 kJmol-1; entanpi bay hơi của nước lỏng là 44,016 kJmol-1; áp suất không khí ở đỉnh núi là 0,6 atm; khối lượng riêng của nước lỏng là 0,9999 gcm-3, của nước đá là 0,9150 gcm-3; H = 1,0079; O = 15,9994. Câu 4 (2 điểm): Hóa nguyên tố (Kim loại, phi kim nhóm VA, IVA) A là muối của kim loại X. Kết quả phân tích muối A bằng phương pháp phân tích nguyên tố được tóm tắt trong bảng sau: Nguyên tố Cl C O S N H

% khối lượng 0,00 0,00 57,38 14,38 0,00 3,62 Kết quả theo dõi sự thay đổi khối lượng theo nhiệt độ khi nung nóng muối A cho thấy, trước khi bị nhiệt phân hủy hoàn toàn, khối lượng muối A bị giảm 30%. Mặt khác từ A có thể thực hiện được các phản ứng trong dung dịch nước theo sơ đồ sau: AB DC dd NH3 NaOHH 2 O 2 /OH khôngkhí E F GHI + ↓ (trắng) PbO 2/H+ CN (NH4)2CO3 BaCl2 (NH4 )2 S Trong đó B, C, D, E, F, G, H, I, là các chất hoặc ion có chứa kim loại X. a) Xác định kim loại X và công thức thực nghiệm của muối A, biết trong phân tử A chỉ chứa 1 nguyên tử X. b) Tính toán để đưa ra công thức phân tử của A và gọi tên A. c) Chỉ ra các chất hoặc ion tương ứng với các kí hiệu từ B đến I trong sơ đồ. Viết PTHH của các phản ứng theo sơ đồ này. Câu 5 (2 điểm): Phức chất. Hòa tan hoàn toàn 0,0429 gam một mẫu thép bằng axit và chuyển hết lượng Fe có trong mẫu thành Fe3+ loại bỏ tạp chất trơ, rồi định mức thành 1,0 lít dung dịch A. Tiến hành 2 thí nghiệm sau: TN1: Lấy 10,00 mL A, thêm axit sunfosalixilic (H2SSal) dư và thêm NH3 đến pH = 10, rồi định mức thành 25,00 mL. Đo quang dung dịch thu được (với dung

dịch so sánh) ở λmax = 510 nm được giá trị A1 = 0,579. TN2: Lấy 10,00 mL A, thêm 1,00 mL dung dịch Fe3+ chuẩn 5.103-M vào rồi cho tạo phức màu tương tự như TN1, cuối cùng định mức thành 25,00 mL dung dịch B. Đo quang dung dịch B thu được giá trị A2 = 0,965. Hãy: a) Đề xuất thành phần cho dung dịch so sánh (phông). b) Tính % khối lượng Fe trong mẫu thép đã cho. c) Tính ε của phức sắt. Biết trong cả hai thí nghiệm đều được đo trong cuvet 1,00 d)cm.Pha loãng 25,00 mL B bằng nước cất đến thể tích 250,0 mL. Tính độ hấp thụ quang của dung dịch thu được nếu đo trong cuvet có bề dày l = 10,0 cm. Rút ra nhận xét và giải thích? Biết: Trong điều kiện trên, phức tạo thành là Fe(SSal)3 3- có hằng số bền điều kiện là lgβ3 = 17,0. Dung dịch B có nồng độ thuốc thử dư là 0,02M. Các cấu tử H2SSal và NH3 không hấp thụ bức xạ ở λ = 510 nm. MFe = 56 g.mol-1. Câu 6 (2 điểm) Đại cương hữu cơ. Cho các công thức cấu tạo sau: EtO Me O Me Me O 124 5 3C(CH=CHF)2 CH O OH Me O 2N N N NH2 COOH (B () A) (C)(D)(E) CH2F H OH O Me O 2N 1. Hãy vẽ công thức các đồng phân lập thể ứng với cấu tạo A. 2. Ứng với công thức cấu tạo B có bao nhiêu đồng phân lập thể, vì sao? Dùng các kí hiệu thích hợp để chỉ rõ cấu hình của mỗi đồng phân đó. 3. Hãy viết cơ chế phản ứng để giải thích vì sao C và D khi tương tác với dung dịch NaOH thì đều tạo thành natri 3-metyl-4-nitrobenzoat.

4. Hãy chỉ rõ trạng thái lai hóa của từng nguyên tử N ở cấu tạo E và ghi giá trị pKa (ở 25 oC): 1,8; 6,0; 9,2 vào từng trung tâm axit trong công thức tương ứng với E, giải thích. Câu 7 ( 2 điểm): Cơ chế phản ứng hóa hữu cơ. a) Đề xuất cơ chế cho phản ứng sau: b) Đề xuất công thức cấu tạo sản phẩm và cơ chế cho phản ứng sau: 1. OH KHSO4 2. Câu 8 (2 điểm): Sơ đồ tổng hợp hữu cơ. Các -amino acid vòng với hai nhóm thế ở vị trí , là nhóm amino acid phi tự nhiên quan trọng. Một trong những phương pháp hiệu quả nhất để tổng hợp các amino acid như vậy là dùng chuyển vị allyl cyanate thành isocyanate theo sơ đồ dưới đây: Cụ thể, phương pháp này được dùng để tổng hợp hợp chất Z, là chất ức chế hiệu quả trong tổng hợp cathepsinC và có hiệu quả cao trong điều trị chứng giãn phế quản và viêm mạch máu.

Câu 9 (2 điểm): Xác định cấu trúc các chất hữu cơ (mô tả sơ đồ tổng hợp bằng lời dẫn). Muscimol (E) là một trong các hợp chất vòng, độc và gây ảo giác, có trong thành phần nấm tán bay đỏ. Muscimol có thể được tổng hợp từ 3-chloroprop-1-yne (A) theo sơ đồ dưới đây. Trong giai đoạn đầu tiên, alkyne bị deproton hoá. Sau đó xảy ra phản ứng thế ở nguyên tử carbon của nhóm carbonyl, tạo thành hợp chất B (C6H7O2Cl). Từ ester B thu được amide C (C4H4O2NCl), sau đó tự diễn ra phản ứng đóng vòng tạo thành chất D. Phản ứng của D với ammonia trong methanol tạo thành chất E. a) Trình bày cơ chế phản ứng thế ở nguyên tử carbon của nhóm carbonyl trong môi trường acid với ví dụ của CH3OH và CH3COCl. b) Vẽ cấu tạo của các hợp chất A - C và E. c) Vẽ cấu tạo dạng tautomer của hợp chất D. Ở giai đoạn cuối của tổng hợp này, các sản phẩm phụ tạo thành là hợp chất F (M = 211 gam/mol), với 2 nhóm hydroxyl và một lượng nhỏ hợp chất G (M = 308 gam/mol), với 3 nhóm hydroxyl.

d) Vẽ cấu tạo của các hợp chất F và G. e) Đề xuất một cách để giảm tỉ lệ các sản phẩm phụ F và G trong tổng hợp muscimol từ D. Câu 10 (2 điểm): Hoá học các hợp chất thiên nhiên (Cacbohidrat và hợp chất hữu cơ chứa Nitơ đơn giản). Axit turgorinic (PLMF1) là một hormon thực vật đóng vai trò điều khiển sự cử động của lá cây. Chẳng hạn nó điều chỉnh sự cụp lại của lá cây xấu hổ khi ta chạm vào. Hợp chất PLMF1 có tính axit, không phản ứng với thuốc thử Felinh. Khi thuỷ phân PLMF1 bằng β-glucoziđaza, thu được hợp chất A (C6H12SO9, có tính axit, phản ứng được với thuốc thử Felinh) và hợp chất B. Khi đun nóng B, thấy CO2 tách ra và thu được pirogalol. Khi metyl hoá hoàn toàn PLMF1, thu được hợp chất C. Thuỷ phân hoàn toàn C bằng axit vô cơ, thu được metyl 3,5-đimetoxi-4hiđroxibenzoat và hợp chất D (C9H18SO9). Oxi hoá D bằng axit nitric, thu được sản phẩm chính là axit 2,3,4-trimetoxipentanđioic. a) Hãy xác định công thức của các hợp chất A, B, D và PLMF1. b) Trong tự nhiên, nhóm cacboxyl của PEMF1 bị este hoá bằng nhóm OH ở vị trí số 3 của B tạo ra hợp chất E thuộc nhóm depsides (tiếng Hy Lạp có nghĩa là có tính thuộc da). Xác định công thức của ------------HE.ết---------GV ra đề: Trịnh Thị Kim Thu

ĐỀ THI DHBB MÔN HÓA HỌC – LỚP 11 - NĂM 2022 TRƯỜNG THPT CHU VĂN AN Câu 1 (2 điểm): Tốc độ phản ứng. Phản ứng A: S2O82-(dd) + 3I-(dd) → 2SO42-(dd) + I3 (dd) I3 hình thành phản ứng tức thời với axit ascorbic Phản ứng B: I3 (dd) + C6H8O6(dd) → 3I (dd) + C6H6O6(dd) + 2H+(dd) Khi toàn bộ lượng axit ascorbic đã phản ứng hết, sẽ xảy ra phản ứng: I3 (dd) + tinh bột → Phức màu xanh Thời gian từ lúc trộn các chất phản ứng đến lúc xuất hiện màu xanh phụ thuộc vào lượng I3 sinh ra trong phản ứng A. Ở 25oC, người ta trộn 5,0 mL dd C6H8O6 0,02 M, 5,0 mL dd hồ tinh bột với 25 mL dd (NH4)2 S2O8 và 25 mL dd KI với các nồng độ khác nhau và thu được các giá trị của thời gian bắt đầu xuất hiện màu xanh cho trong bảng dưới đây: TN số [(NH4)2 S2O8]0 (mol/L) [KI]0 (mol/L) t(s) 4321 0,2000,0500,1000,200 0,1000,2000,2000,200 41,082,041,020,5 Xem phản ứng B là tức thời thì thời gian xuất hiện phức màu xanh sẽ càng nhỏ nếu tốc độ phản ứng A càng lớn. Vì thế tốc độ phản ứng tỉ lệ nghịch với t: a) Tìm biểu thức của định luật tốc độ của phản ứng A. b) Tính hằng số tốc độ của phản ứng A. a)

v = k[(NH4)2 S2O8]a[KI]b = α/t 112 21 2 1 41,0.(0,200)(0,200) 1 20,5.(0,100)(0,200) ab ab vttk vtk t ==== → a = 1 41 14 20,5.(0,200)(0,100)41,0.(0,200)(0,200)b b vtk vtk ==== → b = 1 Biểu thức của định luật tốc độ: v = k[(NH4)2 S2O8][KI] Tính tốc độ đầu của phản ứng A Lượng I3 sinh ra cho tới lúc bắt đầu xuất hiện màu xanh chính là lượng I3 phản ứng hết với axit ascorbic trong phản ứng B. n(I3 ) = n(C6H8O6) = 5.10-3x0,02 mol = 0,1 mmol Lượng I- tiêu thụ cho phản ứng A: 0,1mmolx3 = 0,3 mmol v =1[I]1[I]0,1.1000 3dt3t60.20,5 ∆ == ∆ d = 8,1.10-5 M.s-1 8,1.10-5 M.s-1 = k(0,2x25/60) (0,2x25/60) = k.6,94.10-3 M2 → k= 8,1. 10-5 M.s-1 / 6,94.10-3 M2 = 1,17.10-2 M-1.s-1 d) Người ta đề nghị cơ chế sau đây cho phản ứng A: S2O82-(dd) + I-(dd) 1k → IS2O83-(dd) IS2O83-(dd) 2k → 2SO42-(dd) + I+(dd) I+(dd) + I-(dd) 3k → I2(dd) 0,50,5

I2(dd) + I-(dd) 4k → I3 (dd) Hãy rút ra định luật tốc độ từ cơ chế trên khi chấp nhận sự gần đúng về trạng thái dừng đối với các sản phẩm trung gian và nhận xét về sự phù hợp với thực nghiệm của cơ chế đó v = tốc độ hình thành sản phẩm I3 = k4[I2][ I-] (1) 2 [I] dt d = k3[I+][ I-] – k4[I2][ I-] = 0 (2) + [I] dt d = k2[IS2O83-] - k3[I+][ I-] = 0 (3) 328 [ISO] dt d = k1[S2O82-][ I-] - k2[IS2O83-] = 0 (4) (2) + (3) → [I2] = k2[IS2O83-]/ k4[ I-] (5) Từ (4) → [IS2O83-] = k1[S2O82-][ I-]/ k2 (6) Thay (6) vào (5) → [I2] = k1[S2O82-]/ k4 (7) Thay (7) vào (1) → v = k4[I2][ I-] = k1[S2O82-][ I-] (8) Cơ chế đề nghị phù hợp với định luật động học thực nghiệm k = A.e-Ea/RT → k và A có cùng đơn vị ∆G0 = -RTlnK → K =e ∆G0/RT 0,50,5 Câu 2 (2 điểm): Cân bằng và phản ứng trong dung dịch, pin điện, điện phân. Một ắc qui Niken – Cadimi được tạo thành từ một điện cực cadimi và một điện cực kim loại trơ phủ kết tủa Ni2O3 nhúng trong dung dịch KOH đặc.

a) Chỉ rõ điện cực âm và điện cực dương của ắc qui? Viết các bán phản ứng ở mỗi điện cực và phản ứng toàn phần xảy ra khi ắc qui phóng điện? Tính sức điện động của ắc qui. b) Làm thế nào để nạp lại ắc qui? Viết các bán phản ứng ở mỗi điện cực và phản ứng toàn phần xảy ra khi nạp lại ắc qui. Xác định giới hạn điện thế khi nạp ắc qui. Cho: các giá trị thế chuẩn: 2 23 0 NiO/Ni E + = 1,74 V; 2 0 /CdCd E + = - 0,40 V; 22 0 O/H OE = 1,23 V. Các tích số tan: 2 (())sCdOHK = 10-14; 2 (())sNiOHK = 10-16 a) Để xác định được điện cực nào đóng vai trò điện cực âm, điện cực nào đóng vai trò điện cực dương cần xác định thế của các cặp oxi hóa – khử của Cd và Ni trong môi trường bazo. * Xét cặp Cd2+/Cd: - Để bắt đầu kết tủa Cd(OH)2 → [OH ] ≥ 2 (()) 2 [] sCdOHK Cd + = 10-7 (M) ( vì điều kiện chuẩn [Cd2+] = 1M) → Với pH < 7: 2 /CdCd E + = 2 0 /CdCd E + = - 0,40 (V) Với pH > 7: 2 /CdCd E + = 2 ()/CdCdOHE = 2 0 /CdCd E + + 0,0592 2 lg[Cd2+] = 2 0 /CdCd E + + 0,0592 2 lg 2[] s K OH = 2 0 /CdCd E + + 0,0592 2 lg 2 142 [] (10) s KH + → 2 /CdCd E + = 0,0144 – 0,0592pH (V) * Xét cặp Ni2O3/Ni2+: - Để bắt đầu kết tủa Ni(OH)2 → [OH ] ≥ 2 (()) 2 [Ni] sNiOHK + = 10-8 (M) (vì điều kiện 0,5

chuẩn [Ni2+] = 1M) Có bán phản ứng khử: Ni2O3 + 6H+ + 2e → 2Ni2+ + 3H2O → Với pH < 6: 2 23 NiO/Ni E + = 2 23 0 NiO/Ni E + + 0,0592 2 lg 6 22 [] [] H Ni + + = 1,74 + 0,1776pH Với pH > 6: 2 23 NiO/Ni E + = 232 NiO/Ni(OH)E = 2 23 0 NiO/Ni E + + 0,0592 2 lg 6 22 [] [] H Ni + + = 2 23 0 NiO/Ni E + + 0,0592 2 lg 2 6 2 (()) 2 [] [] sNiOH H K OH +    → 2 23 NiO/Ni E + = 1,0296 – 0,0592pH (V) * Nhận xét: ắc qui hoạt động trong môi trường bazo → pH > 7 Có thể thấy với mọi pH > 7 → 2 23 NiO/Ni E + = (1,0296 – 0,0592pH) > 2 /CdCd E + = (0,0144 – 0,0592pH )  cực dương của ắc qui là điện cực kim loại trơ phủ Ni2O3; cực âm là điện cực Cadimi  Các phản ứng xảy ra khi ắc qui phóng điện: (+) Ni2O3(r) + 3H2O + 2e → 2Ni(OH)2(r) + 2OH (-) Cd(r) + 2OH → Cd(OH)2(r) + 2e Ni2O3(r) + Cd(r) + 3H2O → 2Ni(OH)2(r) + Cd(OH)2(r) → Sức điện động của pin: Eắc qui = 2 23 NiO/Ni E + - 2 /CdCd E + = (1,0296 –0,5

0,0592pH) - (0,0144 – 0,0592pH)  Eắc qui = 1,0152 (V) (không phụ thuộc pH hay không phụ thuộc nồng độ KOH trong ăc qui) 0,5 *b)Để nạp lại ắc qui phải nối nó với nguồn điện một chiều có sức điện động cao hơn sức điện động của ắc qui; khi đó sẽ xảy ra một sự điện phân ngược trở lại với phản ứng khi ắc qui phóng điện: - Điện cực kim loại trơ phủ Ni2O3 sẽ nối với cực dương của nguồn điện (+)(anot):2Ni(OH)2(r) + 2OH → Ni2O3(r) + 3H2O + 2e - Điện cực Cadimi sẽ nối với cực âm của nguồn điện (catot) (-) Cd(OH)2(r) + 2e → Cd(r) + 2OH  Phản ứng toàn phần khi nạp điện ắc qui là: 2Ni(OH)2(r) + Cd(OH)2(r) → Ni2O3(r) + Cd(r) + 3H2O 0,5 * Xác định giới hạn điện thế khi nạp ắc qui: - Để phản ứng điện phân có thể xảy ra trên các điện cực: + Ở catot (cực âm) phải có thế catot Vc < 2 /CdCd E + + Ở anot (cực dương) phải có thế anot Va > 2 23 NiO/Ni E + → Điện thế của nguồn điện dùng để nạp ắc qui tối thiểu là: E = Va – Vc ≥ 1,0152 (V) 0,5

2. Trên đỉnh núi cao vào một buổi sáng mùa đông lặng gió, có sương tuyết tạo thành.

ở mặt phía Tây của đỉnh núi, nhiệt độ hạ xuống đến - 60C, áp suất của hơi nước trong khí quyển là 2,20 Torr. ở mặt phía Đông của đỉnh núi, nhiệt độ hạ xuống đến - 30C, áp suất của hơi nước trong khí quyển là 3,80 Torr. Hãy cho biết trong điều kiện như vậy các hạt sương tuyết có tồn tại hay không? Biết rằng: entanpi nóng chảy của nước đá là 6,008 kJmol-1; entanpi bay hơi của nước lỏng là 44,016 kJmol-1; áp suất không khí ở đỉnh núi là 0,6 atm; khối lượng riêng của nước lỏng là 0,9999 gcm-3, của nước đá là 0,9150 gcm-3; H = 1,0079; O = 15,9994. 1. - Hỗn hợp khí bị nén đến áp suất cao phụt nhanh khỏi bình nên sinh công mà không kịp trao đổi nhiệt với môi trường do đó được coi như quá trình 0,5

- Điện thế của nguồn điện sử dụng không được phép quá lớn, để tránh xảy ra sự điện phân nước: (+) 2OH → ½ O2 + H2O + 2e (-) 2H2O + 2e → 2OH + H2 H2O → H2 + ½ O2 → Sự điện phân nước xảy ra khi E = Va – Vc ≥ 22O/H OE2H/H E + = 1,23 (V)  Giới hạn điện thế nạp ắc qui:1,0152 (V) ≤ ≤≤ ≤ E ≤ ≤≤ ≤ 1,23 (V) Câu 3 (2 điểm): Nhiệt động học và cân bằng hoá học. 1. Người ta có thể làm tuyết nhân tạo bằng cách nén hỗn hợp hơi nước và không khí đến áp suất cao rồi cho hỗn hợp khí đó phụt nhanh ra khỏi bình nén vào khí quyển. Hãy dùng nhiệt động học giải thích quá trình đó.

đoạn nhiệt: q = 0 ∆U = W + q = W Hệ dãn nở sinh công chống áp suất khí quyển: W < 0 do đó ∆U < 0, tức là nội năng của khí giảm. - Nội năng của khí phụ thuộc nhiệt độ: nhiệt độ càng cao nội năng càng lớn. Khi nội năng giảm nhiệt độ của khí giảm xuống. - Công do khí sinh ra khi dãn nở có trị số lớn do áp suất giảm mạnh nên nhiệt độ khí giảm mạnh xuống dưới 00C rất nhiều, do đó hơi nước trong hỗn hợp khí bị ngưng tụ thành tuyết. 2. Xét khả năng nóng chảy và thăng hoa của sương tuyết. a. Khả năng nóng chảy: ở áp suất 1 atm: Tnc(H2O, r) = 273,15 K (hay 0,000C). ở áp suất 0,6 atm: Tnc(H2O, r) = ? áp dụng phương trình Claperon ∆T/ ∆p = T∆V/ ∆H với T > 0 ∆H > 0 ∆V = 67,10 915 18 9999 18 31 =∝∠ cmmol nên (∆T/ ∆p) < 0 → khi áp suất giảm thì Tnc tăng nên sương tuyết ở cả hai mặt đỉnh núi đều không bị nóng chảy 0,5 b. Khả năng thăng hoa: 0,5

- áp dụng phương trình Clausius- Claperon 1) 1 2 1 ( ( ln( RTT H pT pT ∆ = Cho T1 = 273,16 K và p (T1) = 4,58 Torr . - ở mặt phía đông: T2 = 270,15K ( = - 30C) ) 27316, 1 27015, 1 3145( 50024 58,4 ln(270) = p = - 0,7824. p(270,15) = 3,583 Torr < 3,80 Torr, do đó hơi nước từ không khí ngưng tụ thành sương tuyết, nghĩa là sương tuyết dày thêm. - ở mặt phía Tây: T2 = 267,15K ( = -60C) )4947 27316, 1 26715, 1 3145( 50024 58,4 ln(26715,) == p p(267,15) = 2,793 Torr > 2,2 Torr, do đó sương tuyết bay hơi, trời trở lên trong sáng. 0,5 Câu 4 (2 điểm): Hóa nguyên tố (Kim loại, phi kim nhóm VA, IVA) A là muối của kim loại X. Kết quả phân tích muối A bằng phương pháp phân tích nguyên tố được tóm tắt trong bảng sau: Nguyên tố Cl C O S N H % khối 0,00 0,00 57,38 14,38 0,00 3,62

lượng Kết quả theo dõi sự thay đổi khối lượng theo nhiệt độ khi nung nóng muối A cho thấy, trước khi bị nhiệt phân hủy hoàn toàn, khối lượng muối A bị giảm 30%. Mặt khác từ A có thể thực hiện được các phản ứng trong dung dịch nước theo sơ đồ sau: AB DC dd NH3 NaOHH 2 O 2 /OH khôngkhí E F GHI + ↓ ↓↓ ↓ (trắng) PbO 2/H+ CN (NH4)2CO3 BaCl2 (NH4 )2 S Trong đó B, C, D, E, F, G, H, I, là các chất hoặc ion có chứa kim loại X. a) Xác định kim loại X và công thức thực nghiệm của muối A, biết trong phân tử A chỉ chứa 1 nguyên tử X. b) Tính toán để đưa ra công thức phân tử của A và gọi tên A. c) Chỉ ra các chất hoặc ion tương ứng với các kí hiệu từ B đến I trong sơ đồ. Viết PTHH của các phản ứng theo sơ đồ này. a) Ta có: %X = (100% - (3,62 + 57,38 + 14,38)% = 24,62%. HOS 3,6257,3814,38 n:n:n::3,59:3,59:0,4488:8:1 1,0081632,07 === Phân tử A chỉ chứa 1 nguyên tử X  A có dạng: X(H8O8S)n (với n nguyên). Với n = 1  X 24,62 M54,95 0,448 ==  X là Mn. 0,5

Với n = 2  X 24,62 M109,9 0,448/2 ==  không có kim loại thỏa mãn. Với n = 3  X 24,62 M164,9 0,448/3 ==  X = Ho, tuy nhiên kim loại này không có các phản ứng như sơ đồ  loại. Vậy công thức thực nghiệm của A là MnH8O8S. b) Từ sơ đồ chuyển hóa ta thấy: A + BaCl2 → I + ↓ mầu trắng  A chứa gốc sunfat ( 2 4SO )  có thể viết A dưới dạng: MnH8O4SO4. Mặt khác trước khi A bị phân hủy có sự giảm 30% khối lượng  A phải chứa H2O và sự giảm khối lượng này ứng với 4 phân tử H2O đã tách ra từ một phân tử A: 2 4.(2.1,0081.16).100% %HO30% 54,958.1,0088.161.32,07 + == +++ Vậy A là MnSO4.4H2O: Mangan (II) sunphat ngậm 4 phân tử nước. Các chất và ion từ B đến I: B: [Mn(NH3)6]2+ C: Mn(OH)2 D: MnO(OH)2 E: MnS F: MnCO3 G: 4MnO H: [Mn(CN)6]4- I: MnCl2 Các PTHH:MnSO4 + 6NH3 → [Mn(NH3)6]2+ + 2 4SO MnSO4 + 2NaOH → Mn(OH)2 + Na2SO4 Mn(OH)2 + 1/2O2 → MnO(OH)2 0,50,50,5

MnSO4 + H2O2 + 2OH → MnO(OH)2 + 2 4SO + H2O MnSO4 + (NH4)2S → MnS + (NH4)2SO4 MnSO4 + (NH4)2CO3 → MnCO3 + (NH4)2SO4 2MnSO4 + 5PbO2 + 4H+ → 2 4MnO + 5Pb2+ + 2 2 4SO + 2H2O MnSO4 + 6CN → [Mn(CN)6]4- + 2 4SO MnSO4 + BaCl2 → MnCl2 + BaSO4↓ Câu 5 (2 điểm): Phức chất. Hòa tan hoàn toàn 0,0429 gam một mẫu thép bằng axit và chuyển hết lượng Fe có trong mẫu thành Fe3+, loại bỏ tạp chất trơ, rồi định mức thành 1,0 lít dung dịch A. Tiến hành 2 thí nghiệm sau: TN1: Lấy 10,00 mL A, thêm axit sunfosalixilic (H2SSal) dư và thêm NH3 đến pH = 10, rồi định mức thành 25,00 mL. Đo quang dung dịch thu được (với dung dịch so sánh) ở λmax = 510 nm được giá trị A1 = 0,579. TN2: Lấy 10,00 mL A, thêm 1,00 mL dung dịch Fe3+ chuẩn 5.10-3M vào rồi cho tạo phức màu tương tự như TN1, cuối cùng định mức thành 25,00 mL dung dịch B. Đo quang dung dịch B thu được giá trị A2 = 0,965. Hãy: a) Đề xuất thành phần cho dung dịch so sánh (phông). b) Tính % khối lượng Fe trong mẫu thép đã cho. c) Tính ε của phức sắt. Biết trong cả hai thí nghiệm đều được đo trong cuvet 1,00 d)cm.Pha loãng 25,00 mL B bằng nước cất đến thể tích 250,0 mL. Tính độ hấp thụ

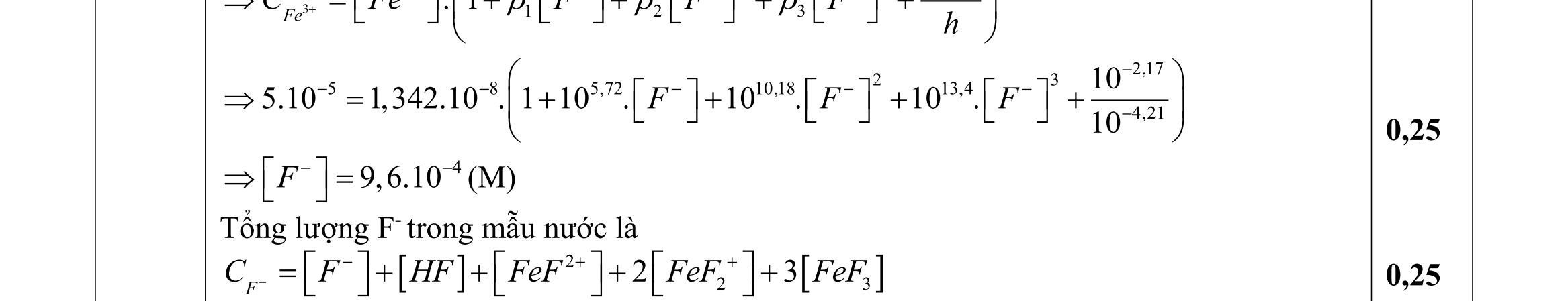
quang của dung dịch thu được nếu đo trong cuvet có bề dày l = 10,0 cm. Rút ra nhận xét và giải thích? Biết: Trong điều kiện trên, phức tạo thành là Fe(SSal)33-có hằng số bền điều kiện là lgβ3 = 17,0. Dung dịch B có nồng độ thuốc thử dư là 0,02M. Các cấu tử H2SSal và NH3 không hấp thụ bức xạ ở λ = 510 nm. MFe = 56 g.mol-1. a Dung dịch so sánh chứa các chất tan là H2SSal và NH3 (ở pH=10) 0,25 b Gọi Cx là nồng độ Fe3+ trong dung dịch A. Theo kết quả thí nghiêm 1 và 2 ta có: x 1 x4 33x xx 2 10C Al0,579250,57910C C7,50.10M Al0,96510C1.5.100,96510C1.5.10 25  =ε=   =  = ++ =ε=  4 Fe 7,5.10.56 %m.100%97,90% 0,0429 == 0,75 c 11 4 A0,579 1930L.molcm 1.10.7,5.10lC 25 ε=== 0,25 d d. Dung dịch B bị pha loãng 10 lần nên: 3 3 43 5 Fe(SSal) 10.7,5.105,10 C5.10M 250 + == 33217 3kb 5 5 1720 kb 5 5 2 Fe(SSal)Fe3SSalK10 5.100,02 5.10xx0,023x x(0,023x) K10x2,5.10 5.10x A'l'C1930.10.5.100,965A −+−− += −+ + ==  = =ε=== Vậy pha loãng dung dịch phức trên không gây ra sai số (do phức bền). 0,75

Câu 6 (2 điểm) Đại cương hữu cơ. Cho các công thức cấu tạo sau: EtO Me O Me Me O 124 5 3C(CH=CHF)2 CH O OH Me O 2N N N NH2 COOH (B () A) (C)(D)(E) CH2F H OH O Me O 2N 1. Hãy vẽ công thức các đồng phân lập thể ứng với cấu tạo A. 2. Ứng với công thức cấu tạo B có bao nhiêu đồng phân lập thể, vì sao? Dùng các kí hiệu thích hợp để chỉ rõ cấu hình của mỗi đồng phân đó. 3. Hãy viết cơ chế phản ứng để giải thích vì sao C và D khi tương tác với dung dịch NaOH thì đều tạo thành natri 3-metyl-4-nitrobenzoat. 4. Hãy chỉ rõ trạng thái lai hóa của từng nguyên tử N ở cấu tạo E và ghi giá trị pKa (ở 25 oC): 1,8; 6,0; 9,2 vào từng trung tâm axit trong công thức tương ứng với E, giải thích. 1. Hãy vẽ công thức các đồng phân lập thể ứng với cấu tạo A. F F F (A1) F F F (A3) F F F (A2) F F F (A4) 2. Ứng với công thức cấu tạo B có bao nhiêu đồng phân lập thể, vì sao? Dùng các kí hiệu thích hợp để chỉ rõ cấu hình của mỗi đồng phân đó. B có 3C bất đối, không có mặt phẳng và tâm đối xứng nên có 8 đồng phân lập thể. ví dụ: Cấu hình của B1 như chỉ ra trong bảng, viết gọn là (1R)-(2R)-(4R). O MeEt O Me Me O 1 2 4 5 3 B1 B2 B3 B4 B5 B6 B7 B8 C R S S R S R R S 0,50,5

2C1 R S R S S R S R 4C R S R S R S R S 3. Hãy viết cơ chế phản ứng để giải thích vì sao C và D khi tương tác với dung dịch NaOH thì đều tạo thành natri 3-metyl-4-nitrobenzoat. C , C1 , D và D1 là những đồng phân hỗ biến, xúc tác kiềm làm thuận lợi cho sự hỗ biến đó: HO O Me NO2 O O Me NO2 OH /-H2O O O Me NO2 O O Me NO2 O O Me NO2 O O Me NO2 O O Me NO2 H2O/-OH O OH Me NO2 (C) (D) (C1) (D1) H2O/-OH Xuất phát từ C , C1 , D hoặc D1 qua phản ứng chuyển vị benzylic rồi tự mất nước đều chuyển thành hợp chất thơm bền vững, đều dẫn đến cùng một sản phẩm, ví dụ: O OH Me NO2 O O Me NO2 O O Me NO2 OH OH Me NO 2 OCOOH Me NO 2 HOCOO H Me NO 2 COO (D) -H2O 0,75

4. Hãy chỉ rõ trạng thái lai hóa của từng nguyên tử N ở cấu tạo E và ghi giá trị pKa ở 25 oC: 1,8; 6,0; 9,2 vào từng trung tâm axit trong công thức tương ứng với E, giải thích. 0,5 điểm: N N NH2 COOH (E) sp 2 sp 2 H sp 3 N N NH3 COOH H 6,0H 1,8 9,2 - Nguyên tử N nhóm NH ở trạng thái lai hóa sp2, cặp e chưa chia ở obitan p xen phủ với 5 obitan p khác tạo thành hệ thơm được lợi về mặt năng lượng nhưng “mất” tính bazơ. - Nguyên tử N thứ hai ở trạng thái lai hóa sp2, cặp e chưa chia ở obitan sp2 không tham gia vào hệ thơm nên còn tính bazơ. - Nguyên tử N nhóm NH2 ở trạng thái lai hóa sp3 . - Nhóm NH3+ là axit liên hợp của nhóm H2Nsp3 , nhóm NH+ là axit liên hợp của nhóm Nsp2 . - Bazơ càng mạnh thì axit liên hợp càng yếu, vì thế giá trị 9,2 là thuộc nhóm NH3+ còn giá trị 6,0 thì thuộc nhóm NH+ . 0,25 Câu 7 ( 2 điểm): Cơ chế phản ứng hóa hữu cơ. a) Đề xuất cơ chế cho phản ứng sau: b) Đề xuất công thức cấu tạo sản phẩm và cơ chế cho phản ứng sau:

1. OH KHSO4 2. a)b)1.Cơ chế phản ứng tạo ra sản phẩm: Không thể tạo ra sản phẩm theo hướng: Do H liên kết với cacbon ở cầu chung không tách ra được và hệ vòng bixiclo chứa cacbon ở cầu chung tạo liên kết π sẽ rất kém bền, sức căng vòng lớn. 0,51,0

2.Cơ chế phản ứng: 0,5 Câu 8 (2 điểm): Sơ đồ tổng hợp hữu cơ. Các -amino acid vòng với hai nhóm thế ở vị trí , là nhóm amino acid phi tự nhiên quan trọng. Một trong những phương pháp hiệu quả nhất để tổng hợp các amino acid như vậy là dùng chuyển vị allyl cyanate thành isocyanate theo sơ đồ dưới đây: Cụ thể, phương pháp này được dùng để tổng hợp hợp chất Z, là chất ức chế hiệu quả trong tổng hợp cathepsinC và có hiệu quả cao trong điều trị chứng giãn phế quản và viêm mạch máu. 1. 1,0

2.

1,0 Câu 9 (2 điểm): Xác định cấu trúc các chất hữu cơ (mô tả sơ đồ tổng hợp bằng lời dẫn). Muscimol (E) là một trong các hợp chất vòng, độc và gây ảo giác, có trong thành phần nấm tán bay đỏ. Muscimol có thể được tổng hợp từ 3-chloroprop-1-yne (A) theo sơ đồ dưới đây. Trong giai đoạn đầu tiên, alkyne bị deproton hoá. Sau đó xảy ra phản ứng thế ở nguyên tử carbon của nhóm carbonyl, tạo thành hợp chất B (C6H7O2Cl). Từ ester B thu được amide C (C4H4O2NCl), sau đó tự diễn ra phản ứng đóng vòng tạo thành chất D. Phản ứng của D với ammonia trong methanol tạo thành chất E.

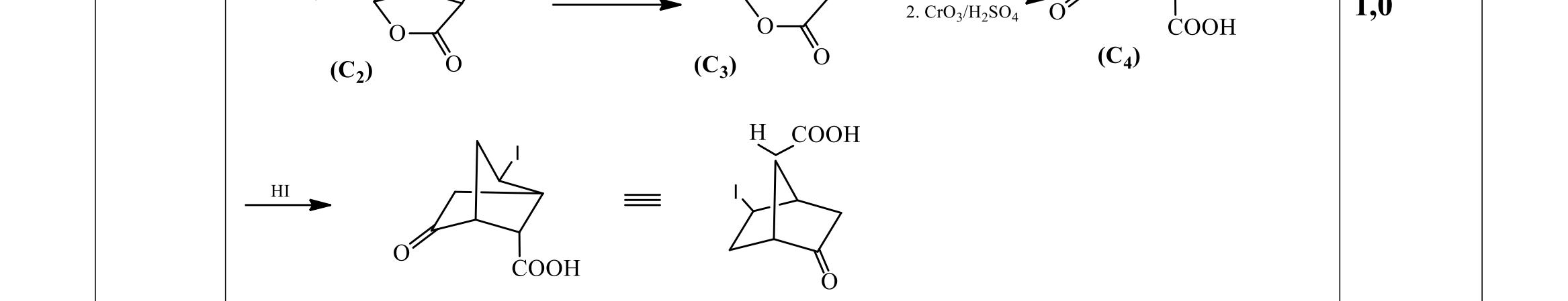
a) Trình bày cơ chế phản ứng thế ở nguyên tử carbon của nhóm carbonyl trong môi trường acid với ví dụ của CH3OH và CH3COCl. b) Vẽ cấu tạo của các hợp chất A - C và E. c) Vẽ cấu tạo dạng tautomer của hợp chất D. Ở giai đoạn cuối của tổng hợp này, các sản phẩm phụ tạo thành là hợp chất F (M = 211 gam/mol), với 2 nhóm hydroxyl và một lượng nhỏ hợp chất G (M = 308 gam/mol), với 3 nhóm hydroxyl. d) Vẽ cấu tạo của các hợp chất F và G. e) Đề xuất một cách để giảm tỉ lệ các sản phẩm phụ F và G trong tổng hợp muscimol từ D. a) Trình bày cơ chế phản ứng thế ở nguyên tử carbon của nhóm carbonyl trong môi trường acid với ví dụ của CH3OH và CH3COCl. b) Vẽ cấu tạo của các hợp chất A - C và E. c) Vẽ cấu tạo dạng tautomer của hợp chất D. 0,250,5

Ở giai đoạn cuối của tổng hợp này, các sản phẩm phụ tạo thành là hợp chất F (M = 211 gam/mol), với 2 nhóm hydroxyl và một lượng nhỏ hợp chất G (M = 308 gam/mol), với 3 nhóm hydroxyl. d) Vẽ cấu tạo của các hợp chất F và G. e) Đề xuất một cách để giảm tỉ lệ các sản phẩm phụ F và G trong tổng hợp muscimol từ D. Sử dụng một lượng lớn ammonia. Thêm D vào dung dịch amoniac trong thời gian dài (nhỏ giọt). 0,50,25

0,5 Câu 10 (2 điểm): Hoá học các hợp chất thiên nhiên (Cacbohidrat và hợp chất hữu cơ chứa Nitơ đơn giản). Axit turgorinic (PLMF1) là một hormon thực vật đóng vai trò điều khiển sự cử động của lá cây. Chẳng hạn nó điều chỉnh sự cụp lại của lá cây xấu hổ khi ta chạm vào. Hợp chất PLMF1 có tính axit, không phản ứng với thuốc thử Felinh. Khi thuỷ phân PLMF1 bằng β-glucoziđaza, thu được hợp chất A (C6H12SO9, có tính axit, phản ứng được với thuốc thử Felinh) và hợp chất B. Khi đun nóng B, thấy CO2 tách ra và thu được pirogalol. Khi metyl hoá hoàn toàn PLMF1, thu được hợp chất C. Thuỷ phân hoàn toàn C bằng axit vô cơ, thu được metyl 3,5-đimetoxi-4hiđroxibenzoat và hợp chất D (C9H18SO9). Oxi hoá D bằng axit nitric, thu được sản phẩm chính là axit 2,3,4-trimetoxipentanđioic. a) Hãy xác định công thức của các hợp chất A, B, D và PLMF1. b) Trong tự nhiên, nhóm cacboxyl của PEMF1 bị este hoá bằng nhóm OH ở vị trí số 3 của B tạo ra hợp chất E thuộc nhóm depsides (tiếng Hy Lạp có nghĩa là có tính thuộc da). Xác định công thức của E. a) Khi thuỷ phân PLMF1 bằng β-glucoziđaza, chứng tỏ trong PLMF1 có liên kết β-glucozit. Từ dữ kiện: Khi đun nóng chất B thấy tách ra CO2, cho pirogalol (l,2,3-trihiđroxibenzen) và khi thuỷ phân hoàn toàn chất C bằng axit vô cơ, thu được metyl 3,5-đimetoxi-4-hiđroxibenzoat chứng tỏ B là axit 3,4,5-trihiđroxibenzoic. 0,5

Khi oxi hoá D (C9H18SO9) bằng axit nitric, thu được axit 2,3,4trimetoxipentanđioic. Vậy D có công thức như sau: Từ các dữ kiện trên suy ra công thức của PLMF1 b) Công thức của E là 0,50,5

0,5 -----------Hết----------GV ra đề: Trịnh Thị Kim Thu

1 SỞ GIÁO DỤC VÀ ĐÀO TẠO BẮC GIANG TRƯỜNG THPT CHUYÊN BẮC GIANG -----***----ĐỀ THI ĐỀ XUẤT DUYÊN HẢI BẮC BỘ Năm 2022 Môn: HÓA HỌC – LỚP 11 Thời gian làm bài: 180 phút Câu 1. (2,0 điểm) Tốc độ phản ứng Cho phản ứng pha khí: N2O5 (k)→ 2NO2 (k)+ 1 2 O2 (k) . Thực nghiệm chứng tỏ rằng biểu thức định luật tốc độ của phản ứng trên có dạng v = k[N2O5] với hằng số tốc độ k = 3,46.10-5 s-1 ở 25oC. Giả thiết phản ứng diễn ra trong bình kín ở 25oC, lúc đầu chỉ chứa N2O5 với áp suất p(N2O5) = 0,100 atm. 1. Tốc độ đầu của phản ứng bằng bao nhiêu? 2. Tính thời gian cần thiết để áp suất tổng cộng trong bình phản ứng bằng 0,175 atm ở nhiệt độ không đổi (25oC). 3. Phản ứng phân hủy của dinitơ pentoxit diễn ra theo cơ chế sau: Sử dụng nguyên lý trạng thái dừng đối với NO và NO3 hãy chứng minh cơ chế trên là phù hợp với luật tốc độ của phản ứng. 4. Năng lượng hoạt động hóa của phản ứng ở 300K là EA = 103kJ Ở nhiệt độ nào thì hằng số tốc độ phản ứng tăng gấp đôi. Biết nồng độ ban đầu của các chất là như nhau, EA và A không đổi trong suốt bài toán. Câu 2: (2,0 điểm) Cân bằng và phản ứng ion trong dung dịch,pin điện, điện phân 1. Axit HCN là một axit yếu có hằng số phân li Ka = 4.93×10–10. Biết CN – có khả năng tạo phức bền với nhiều cation kim loại, trong đó có Ni2+ . a) Tính cân bằng trong dung dịch mạ điện chứa Ni(ClO4)2 0,010M và KCN 1,00 M và tính điện áp cần áp lên catot để quá trình mạ điện được thực hiện. Biết bình điện phân có catot là vật cần mạ và anot là Ni; 2 4Ni(CN)lg β = 30,22; 2 0 Ni/Ni E + = - 0,257 V. b) Người ta mạ niken lên mẫu vật kim loại bằng phương pháp mạ điện trong bể mạ chứa dung dịch cho ở trên. Điện áp được đặt lên các điện cực của bể mạ là 2,5 V. Cần mạ 10 mẫu vật kim loại hình trụ; mỗi mẫu có bán kính 2,5cm, cao 20cm. Người ta phủ lên mỗi mẫu một lớp niken dày 0,4mm. - Tính khối lượng niken cần để phủ lên 10 mẫu vật trên? - Tính điện năng (theo KWh) phải tiêu thụ ? (1) N2O5 NO2 + NO3 (2) NO2 + NO3 NO2 + O2 + NO (3) NO + N2O5 3 NO2 k1 k2 k3 k 1

2 Cho biết: Niken có khối lượng riêng D = 8,9 g/cm3; khối lượng mol nguyên tử là 58,7 (g/mol): hiệu suất dòng bằng 90%; 1KWh = 3,6.106J. 2. Dung dịch A gồm FeSO4 0,020 M; Fe2(SO4)3 và H2SO4 Ghép cực Pt nhúng trong dung dịch A (qua cầu muối) với cực Ag nhúng trong dung dịch AgNO3 0,0190 M có thêm K2CrO4 cho đến nồng độ 0,0100 M (coi thể tích được giữ nguyên).Hãycho biết anot, catot và viết phương trình phản ứng xảy ra khi pin hoạt động. Tính sức điện động của pin. Cho pKa: HSO4 1,99; Fe3+( Fe3+ + H2O → ← FeOH2+ + H+) 2,17; Fe2+ ( Fe2+ + H2O → ← FeOH+ + H+) 5,69. Biết: E0(Fe3+/Fe2+)=0,771V; E0(Ag+/Ag)=0,799V và pH =1,07. Chỉ số tích số tan pKs của Ag2CrO4 là 11,89 Câu 3: (2,0 điểm) Nhiệt động học và cân bằng hóa học 1. Một ống hình trụ có dung tích 90 L, thành ống được làm bằng vật liệu không truyền nhiệt, được chia làm 2 phần bằng nhau bằng một piston không ma sát, không truyền nhiệt. Trong mỗi phần đều chứa cùng một khí lí tưởng đơn nguyên tử ở 300K và 1,75 bar. Cung cấp nhiệt cho phần bên trái một cách từ từ, piston chuyển sang bên phải cho đến khi áp suất phần bên phải đạt 4 bar thì dừng lại. a) Hãy tính nhiệt độ cuối cùng của nửa phải và công thực hiện bên nửa phải trong quá trình trên . b) Tính lượng nhiệt đã truyền từ ngoài vào nửa trái và nhiệt độ cuối cùng nửa bên trái 2. Một bình có thể tích 1,5L, ban đầu chỉ chứa 1g cacbon và strontri cacbonnat (coi thời điểm ban đầu bình là chân không). Nung nóng bình đến 880o C, các phản ứng sau xảy ra: SrCO3(r) → ← SrO(r) + CO2(k) (1) C(r) + CO2(k) → ← 2 CO(k) (2) Khi hệ đạt cân bằng, áp suất do được trong bình là 24kPa Cho các thông số nhiệt động chuẩn của một số chất liên quan: Chất SrCO3(r) SrO(r) CO2(k) ∆ Hf o(kJ/mol) -1220,1 -592,0 -393,5 So (J/K.mol) 97,0 55,5 218,8 a) Xác định các hằng số phản ứng (1) và (2). b) Xác định hàm lượng phần trăm theo các chất rắn khi hệ cân bằng. c) Giữ nguyên nhiệt độ và áp xuất .Xác định thể tích bình tối thiểu để một trong hai chất rắn ban đầu biến mất.

3 d) Lượng cacbon ban đầu không đổi , xác định khối lượng SrCO3 tối thiểu cần thêm vào để khi hệ đạt cân bằng , chất rắn chỉ còn lại SrO, thể tích bình đạt min. Câu 4: (2,0 điểm) Hóa nguyên tố Một nguyên tố X, nguyên tử có ba lớp electron (K, L, M) có các giá trị năng lượng ion hoá I (tính theo kJ/mol) như sau: I1 I2 I3 I4 I5 I6 1012 1903 2910 4956 6278 22230 1. Viết cấu hình electron của X. 2. Xác định công thức phân tử , viết tên gọi các chất trong sơ đồ và viết PTHH thực hiện mỗi chuyển hóa theo sơ đồ sau: (A) X (B) (C) (D) (E) (F) (G) (H) (1) (2) (3) (4) (5)(10) (11) (12) (6)(14) (7) (9) (8) (13) (15) Biết: Trong các hợp chất A, B, C, D, E, F, G, H thì X có mức oxi hóa cao nhất. B, D, E tạo dung dịch làm đỏ quỳ tím. Dung dịch F, G phản ứng với axit mạnh và bazơ mạnh. Các chất F, G, H khi đốt cho ngọn lửa màu tím. 3. Cho 0,1mol mỗi axit H3XO2 và H3XO3 tác dụng với dung dịch KOH dư thì thu được hai muối có khối lượng lần lượt là 10,408g và 15,816g. Xác định công thức cấu tạo và gọi tên hai phân tử axit trên. Câu 5: (2,0 điểm) Phức chất. a)1. Thêm CN vào dung dịch Ni2+ , đầu tiên xuất hiện kết tủa màu xanh, khi CN dư thì kết tủa tan, tạo thành dung dịch trong suốt màu vàng, sau đó khi CN rất dư thì dung dịch chuyển sang màu đỏ. Hãy giải thích các hiện tượng trên. b) Nếu cho dung dịch màu vàng ở trên phản ứng với Na trong NH3 lỏng thì tạo thành một sản phẩm A có màu đỏ, nghịch từ, không bền trong không khí. Hãy cho biết A là hợp chất nào? a)2. Thêm dần dung dịch KCN vào dung dịch CoSO4 lúc đầu thu được kết tủa mầu đỏ nâu X, sau đó kết tủa này tan ra tạo thành dung dịch màu vàng, sau đó đỏ dần và cuối cùng tạo ra tinh thể màu tím Y. Hợp chất này bền trong điều kiện không có không khí, dễ tan trong nước cho dung dịch màu đỏ, khi đun nóng (không có không khí) dung dịch bị nước oxi hóa. Nếu cho Y tác dụng với axit có mặt chất oxi hóa thu được chất màu vàng Z. Hãy viết các phương trình phản ứng xảy ra trong thí nghiệm này.

4 b) Cho biết Z nghịch từ, dựa theo thuyết liên kết hóa trị (VB), hãy dự đoán cấu trúc phân tử của Z? c) Xét các phức sau: [Co(CN)6]3-, [Co(CO3)2(NH3)2] , [Co(CO3)3]3- và [Co(NO2)6]3Màu của các ion phức này là xanh, vàng, cam và da trời. Hãy cho biết tên của từng phức và xác định màu của chúng? Câu 6 (2 điểm) Đại cương hữu cơ. 1. Hãy cho biết hợp chất nào dưới đây có tính axit mạnh nhất 2. So sánh lực bazơ (NH2)2C=NH, (NH2)2C=O, (MeNH)2C=NH, (NH2)2C=S. Giải thích ngắn gọn. 3. Gọi tên các hợp chất sau theo danh pháp pháp IUPAC: H H a) b) OH Câu 7 ( 2 điểm) Cơ chế phản ứng hóa hữu cơ Đề nghị cơ chế cho các phản ứng sau: 2.1.3.

5 Câu4. 8 (2 điểm) Sơ đồ tổng hợp hữu cơ 1. Hợp chất P, C15H25O, là một tecpen có mùi thơm, được sử dụng làm nước hoa. Hãy hoàn thành sơ đồ tổng hợp P (theo Yamad, 1984) dưới đây: 2. Viết công thức cấu trúc các chất từ A đến K hoàn thành sơ đồ phản ứng sau: CH3COOEt 1.LDA 2. O 3.PCC A O O EtONa/EtOH B (C11H18O4) 1.(CH2OH)2,H+ 2.NaBH4 C 1.MsCl 2.NaI D 1.Li/NH3 2.Mei 1.H3O+ 2.HCCNa F PhSH,AIBN F1 (C23H32SO3) POCl3,pyridine G O EH (C17H28O4) Câu 9 (2 điểm) Xác định cấu trúc các chất hữu cơ (mô tả sơ đồ tổng hợp bằng lời dẫn). Hợp chất A (C7H12) chứa vòng năm cạnh. Cho A phản ứng với O3 sau đó xử lý hỗn hợp phản ứng bằng Me2S tạo thành aldehyde B (C7H12O2). A phản ứng với dung dịch KMnO4 trong kiềm lạnh tạo thành C (C7H14O2) không quang hoạt. C phản ứng với COCl2/pyridine cho hợp chất D (C8H12O3). Mặt khác, khi oxi hoá C bằng dung dịch

6 KMnO4, đun nóng thì thu được E (C7H12O4). Clo hoá E thu được hỗn hợp chỉ gồm 3 đồng phân F, G, H (C7H11ClO4) trong đó G và H là đối quang, còn F không quang hoạt. Nếu đem A phản ứng với RCO3H thu được I và J đối quang, có cùng công thức phân tử C7H14O2 và là đồng phân lập thể không đối quang của C. Xác định công thức cấu tạo các chất từ A đến J. Câu 10 (2 điểm) Hoá học các hợp chất thiên nhiên (Cacbohidrat và hợp chất hữu cơ chứa Nitơ đơn giản). 1. Hợp chất X (C17H13NO2) không phản ứng với TsOH. Ozon phân oxi hóa X thu được X2 (C8H6O3) và X3 (C9H9NO3). Đun nóng X2 thu được chất lỏng không màu, phản ứng thế với HNO3 và có CTPT là C6H6. Thủy phân X3 trong môi trường axit thu được X4 và X5. Đun nóng X 4 với NaOH thu được C6H6 chất lỏng không màu, phản ứng thế với HNO3. X5 (C2H5NO2) phản ứng với HNO2, đun nóng đươch X6 (C2H4O3). Xác định công thức các chất. 2. X (C17H30N2O6) là hợp chất trung tính (không tính axit, không có tính bazo). Ozon phân X, khử hóa ozonnit thu được isobutanal và X1. Thủy phân X1 bằng kiềm thu được Lysin và X2 (C7H12O7). Cho X2 phản ứng với CH3OH/HCl thu được X3 (C8H14O7). Oxi hóa X3 bằng HIO4 sau đó thủy phân thu được các sản phẩm (2R, 3R)-3-hidroxi-2metoxi-4-oxobutanoic, etandial và metanol. Xác định cấu tạo các chất X đến X3. -----Hế Giáot-----viên ra đề Nguyễn Thị Hoa Nguyễn Thị Hường

7 SỞ GIÁO DỤC VÀ ĐÀO TẠO BẮC GIANG TRƯỜNG THPT CHUYÊN BẮC GIANG -----***----ĐÁP ÁN ĐỀ THI ĐỀ XUẤT DUYÊN HẢI BẮC BỘ Năm 2022 Môn: HÓA HỌC – LỚP 11 Thời gian làm bài: 180 phút Câu1.(2,0 điểm) Tốc độ phản ứng Cho phản ứng pha khí: N2O5 (k)→ 2NO2 (k)+ 1 2 O2 (k) . Thực nghiệm chứng tỏ rằng biểu thức định luật tốc độ của phản ứng trên có dạng v = k[N2O5] với hằng số tốc độ k = 3,46.10-5 s-1 ở 25oC. Giả thiết phản ứng diễn ra trong bình kín ở 25oC, lúc đầu chỉ chứa N2O5 với áp suất p(N2O5) = 0,100 atm. 1. Tốc độ đầu của phản ứng bằng bao nhiêu? 2. Tính thời gian cần thiết để áp suất tổng cộng trong bình phản ứng bằng 0,175 atm ở nhiệt độ không đổi (25oC). 3. Phản ứng phân hủy của dinitơ pentoxit diễn ra theo cơ chế sau: Sử dụng nguyên lý trạng thái dừng đối với NO và NO3 hãy chứng minh cơ chế trên là phù hợp với luật tốc độ của phản ứng. 4. Năng lượng hoạt động hóa của phản ứng ở 300K là EA = 103kJ Ở nhiệt độ nào thì hằng số tốc độ phản ứng tăng gấp đôi. Biết nồng độ ban đầu của các chất là như nhau, EA và A không đổi trong suốt bài toán. Câu1 NỘIDUNG Điểm 1 Số mol có trong bình N2O5: n(N2O5) = pV/RT = 0,10.atm.V (L) /0,082L.atm.mol-1.K-1.298 K = 4,1.10-3.V [Nmol. 2O5] = 25 ()nNO V = 25 ()pNO RT = 0,1 (/) 0,082.298 molL = 4,1.10-3 mol/L v = 3,46.10-5 s-1. 4,1.10-3.mol/L = 1,42.10-7 mol.L-1.s-1 0,5 2 N2O5 → 2NO2 + (1/2)O2 Po 0 0 Po -x 2x x/2 Ptổng = Po -x + 2x + x/2 = Po +(3/2)x = (7/4)Po→ x = Po/2 và Po - x = Po/2. Ở cùng nhiệt độ, khi thể tích bình phản ứng không thay đổi, sự giảm áp suất riêng phần tỉ lệ với sự giảm số mol. Trong phản ứng bậc 1, thời gian cần thiết để nồng độ chất phản ứng giảm đi một nửa bằng: t1/2 = ln2/k = 0,693/3,46.10-5 s-1 = 2.104 s 0,5 (1) N2O5 NO2 + NO3 (2) NO2 + NO3 NO2 + O2 + NO (3) NO + N2O5 3 NO2 k1 k2 k3 k 1

8 3 [ ] [][][][][] 125123325 25 kNOkNONOkNONO dt dNO v ==+ (1) [ ] [][][][][] kNOkNONOkNONO0 dt dNO 125123223 3 == (2) [ ] [][][][] kNONOkNONO0 dt dNO 223325 == (3) từ (2): [] [ ] []122 125 3 k)NO kNO NO + = từ (3): [] [ ][ ] [] [ ] [ ] [][] kk) kk kNOk)NO kNOkNO kNO kNONO NO 312 21 325122 22125 325 223 + = + == Thay vào (1) dẫn đến: [ ] [][] [ ] [] [] 25 31 21 3 122 125 12512 25 NO kk kk k k)NO kNO kNOkNO dt dNO v + + == [ ]25vkNO = phản ứng bậc 1 với N2O5 0,5 4 Ta có: 693 T 1 T 1 R E T(k) lnT(k) 12 A 1 2 =        = vì: k(T2) = 2k(T1) . Thay số vào và giải phương trình trên ta tính được: T2 = 305 K 0,5 Câu2:(2,0 điểm) Cân bằng và phản ứng ion trong dung dịch,pin điện, điện phân 1. Axit HCN là một axit yếu có hằng số phân li Ka = 4.93×10–10. Biết CN – có khả năng tạo phức bền với nhiều cation kim loại, trong đó có Ni2+ . a) Tính cân bằng trong dung dịch mạ điện chứa Ni(ClO4)2 0,010M và KCN 1,00 M và tính điện áp cần áp lên catot để quá trình mạ điện được thực hiện. Biết bình điện phân có catot là vật cần mạ và anot là Ni; 2 4Ni(CN)lg β = 30,22; 2 0 Ni/Ni E + = - 0,257 V. b) Người ta mạ niken lên mẫu vật kim loại bằng phương pháp mạ điện trong bể mạ chứa dung dịch cho ở trên. Điện áp được đặt lên các điện cực của bể mạ là 2,5 V. Cần mạ 10 mẫu vật kim loại hình trụ; mỗi mẫu có bán kính 2,5cm, cao 20cm. Người ta phủ lên mỗi mẫu một lớp niken dày 0,4mm. - Tính khối lượng niken cần để phủ lên 10 mẫu vật trên? - Tính điện năng (theo KWh) phải tiêu thụ ? Cho biết: Niken có khối lượng riêng D = 8,9 g/cm3; khối lượng mol nguyên tử là 58,7 (g/mol): hiệu suất dòng bằng 90%; 1KWh = 3,6.106J. 2. Dung dịch A gồm FeSO4 0,020 M; Fe2(SO4)3 và H2SO4. Ghép cực Pt nhúng trong dung dịch A (qua cầu muối) với cực Ag nhúng trong dung dịch AgNO3 0,0190 M có thêm K2CrO4 cho đến nồng độ 0,0100 M (coi thể tích được giữ nguyên).

9 Hãy cho biết anot, catot và viết phương trình phản ứng xảy ra khi pin hoạt động. Tính sức điện động của pin. Cho pKa: HSO4 1,99; Fe3+( Fe3+ + H2O → ← FeOH2+ + H+) 2,17; Fe2+ ( Fe2+ + H2O → ← FeOH+ + H+) 5,69. Biết: E0(Fe3+/Fe2+)=0,771V; E0(Ag+/Ag)=0,799V và pH =1,07. Chỉ số tích số tan pKs của Ag2CrO4 là 11,89 Câu2 Nộidung Điểm 1 a)– Trong bình điện phân (bể mạ) có quá trình: Ni2+ + 4CN – → ← Ni(CN)42 –4β = 1030,22 0,01 1,00 – 0,96 0,01 4β lớn nên coi phản ứng tạo phức hoàn toàn và nồng độ CN – lớn nên quyết định môi trường: CN – + H2O → ← HCN + OH – Kb = 2,03.10 –5 Tính theo cân bằng được: [OH –] = [HCN] = 4,40.10 –3 M; [CN –] = 0,9556 M [Ni2+] = 0,01. 2Ni +α = 4 4 1 0,01. 1.CN+β  = 7,23.10 –33 << 0,01. Trong dung dịch chứa: Ni(CN)42 – 0,01 M. Phản ứng điện cực để xảy ra quá trình mạ: Tại catot: Ni(CN)42 – + 2e ⇄ Ni + 4CN –Tại anot: Ni + 4CN – ⇄ Ni(CN)42 – + 2e Nên thành phần dung dịch không đổi. Vậy 2 o2 33 C Ni Ni 0,05920,0592 EElgNi0,227lg7,23.101,117V 22+ +  ≤+=−+=−  0,250,25 b)Thể tích của 1 mẫu vật kim loại hình trụ là: V = πr2h = 3,14 × (2,5)2 × 20 = 392,5 (cm3). Lớp phủ niken ở mỗi mẫu vật có bề dày 0,4 mm nên ở mỗi mẫu vật này bán kính tăng tới 2,5 + 0,04 = 2,54 (cm); chiều cao tăng tới 20,0 + (0,04×2) = 20,08V(cm). ậy thể tích của mỗi mẫu vật này tăng thêm một lượng là: ∆V = V ' V = [ 3,14. (2,54)2. 20,08] – 392,5 ⇒ ∆V = 14,281(cm3) Tổng số thể tích tăng thêm cuả cả 10 mẫu vật là: V = 10 ∆V = 10 × 14,281cm3 = 142,81 cm3 . Đây cũng chính là thể tích niken phải phủ lên 10 mẫu vật cần mạ; khối lượng tương ứng là: 0,25

10 Câu2 Nộidung Điểm m = V.D =142,81.8,9 = 1271,01 (gam) hay 1271,01 58,7 = 21,6526 T(mol) ừ biểu thức của định luật Farađay: m = 96500 AIt n  It =(m/A).96500n (1) Số điện năng tương ứng là: w = ItU = m A × 96500n.U (2) Với Ni ta có n = 2; theo trên đã có m A = 21,6526 (mol); theo đề bài U = 2,5 V. Thế các trị số này vào (2), ta có w = 21,6526.96500.2.2,5 = 10447379,5 (J) Vì hiệu suất dòng điện là 90% và 1 kWh = 3,6.106J nên số điện năng thực tế cần dùng là: W = 90 W × 100 × 6 1 3,610 × = 90 W × 100 × 6 1 3,610 ×  W = 3,2245kWh. 0,25 2 EPt = 32Fe/Fe E ++ = 32 0 Fe/Fe E ++ + 0,0592 log 3 2 Fe Fe + + Fe3+ + 2 H2O FeOH2+ + H3O+ 10-2,17 C 0,03089 [ ] 0,03089 – x x 10-1,07 1,07 1,07x.10 10 0,03089x = → x = 0,002273 → [Fe3+] = 0,03089 – 0,002273 = 0,02862 M → [Fe2+] = CFe 2+ = 0,020 M (vì Ka1 rất bé). Vậy: EPt = 0,771 + 0,0592 log 0,0862 0,020 = 0,780 V. 2 Ag+ + CrO 2 4 → Ag2CrO4↓ 0,019 0,010 - 5. 10-4 Ag2CrO4↓ → 2 Ag+ + CrO 2 4 Ks = 10-11,89 C 5.10-4 [ ] 2x 5.10-4 + x 2411,89(2x)(5.10x)10 += → 4x3 + 2,0.10-3x2 - 10-11,89 = 0 → x = 2,08.10-5 Có: [Ag+] = 2x = 4,96.10-5 M. EAg = E / o AgAg + + 0,0592 log [Ag+] = 0,799 + 0,0592 lg (4,96.10-5) = 0,544 V. Vì EAg< EPt nên cực Ag là anot; cực Pt catot. Phản ứng trong pin: anot 2 Ag + CrO 2 4 Ag2CrO4↓ + 2e 0,250,250,25

11 Câu3:(2,0 điểm) Nhiệt động học và cân bằng hóa học 1. Một ống hình trụ có dung tích 90 L, thành ống được làm bằng vật liệu không truyền nhiệt, được chia làm 2 phần bằng nhau bằng một piston không ma sát, không truyền nhiệt. Trong mỗi phần đều chứa cùng một khí lí tưởng đơn nguyên tử ở 300K và 1,75 bar. Cung cấp nhiệt cho phần bên trái một cách từ từ, piston chuyển sang bên phải cho đến khi áp suất phần bên phải đạt 4 bar thì dừng lại. a) Hãy tính nhiệt độ cuối cùng của nửa phải và công thực hiện bên nửa phải trong quá trình trên . b) Tính lượng nhiệt đã truyền từ ngoài vào nửa trái và nhiệt độ cuối cùng nửa bên trái 2. Một bình có thể tích 1,5L, ban đầu chỉ chứa 1g cacbon và strontri cacbonnat (coi thời điểm ban đầu bình là chân không). Nung nóng bình đến 880o C, các phản ứng sau xảy ra: SrCO3(r) → ← SrO(r) + CO2(k) (1) C(r) + CO2(k) → ← 2 CO(k) (2) Khi hệ đạt cân bằng, áp suất do được trong bình là 24kPa Cho các thông số nhiệt động chuẩn của một số chất liên quan: Chất SrCO3(r) SrO(r) CO2(k) ∆ Hfo(kJ/mol) -1220,1 -592,0 -393,5 So (J/K.mol) 97,0 55,5 218,8 a) Xác định các hằng số phản ứng (1) và (2) b) Xác định hàm lượng phần trăm theo các chất rắn khi hệ cân bằng. c) Giữ nguyên nhiệt độ và áp xuất .Xác định thể tích bình tối thiểu để một trong hai chất rắn ban đầu biến mất d) Lượng cacbon ban đầu không đổi , xác định khối lượng SrCO3 tối thiểu cần thêm vào để khi hệ đạt cân bằng , chất rắn chỉ còn lại SrO, thể tích bình đạt min Câu3 Nộidung Điểm 1 a) +Do điều kiện ống và bài cho => nửa phải là quá trình đoạn nhiệt thuận nghịch Khí đơn nguyên tử lí tưởng γ=5/3 11 1122 PTPT γγγγ ×=× => 11 11221,753004 T γγγγ ×=×  T2=417,57 K + n= 35 45.10.1,75.10 3,1573 8,314.300 = (mol) A=∆U= 3 3,1573(417,57300)4629,28() 2 RJ×−= 0,25đ 0,25đ Câu2 Nộidung Điểm catot 2x│ Fe3+ + e Fe2+ 2 Ag + CrO 2 4 + 2Fe3+ Ag2CrO4↓ + 2 Fe2+ Epin = EPt - EAg = 0,780 – 0544 = 0,236V. 0,25

12 b) Thể tích nửa trái 3 5 3,15738,314417,57 0,090.0626() 4.10traiV m ×× =−= 5 2 0,06264.10 953,1923 8,3143,1573trai TTK × === × ∆Utrai=3,1573.3/2.(953,1923-300)=25647,6(J) Atrai =Aphai=-4629,28 J Qhe hap thu= ∆U- Atrai= 30376,88 (J) 0,25đ 0,25đ 2 a) 11111 1 234,6;177,3;.115330,173 0.04295ar G RT p HKJSJGHSKJ Keb ===−= == △ △△△△△ PCO2=KP1=0,04295 bar=4,295 kPa PCO=Phệ -PCO2=24-4,295=19,705 kPa Kp2= 2 2 CO CO P P =0,904 bar b) nCO=3,083.10-3 mol nCO2=6,73.10-4 mol nC dư =1/12-1/2. 3,083.10-3 = 0,0818 mol nSrCO3=0,01806 mol nSrO=2,2145.10-3mol mhỗn hợp = 3,885g % SrCO3=68,8%;%SrO=5,93%;%C=25,27% c) nCO2 max=nSrCO3=0,0202 mol <nC => SrCO3 hết trước vì nhiệt độ và áp suất không đổi. Khi SrCO3 vừa hết thì cx vẫn đk diễn ra. => tỉ lệ số mol SrCO3 phân hủy tỉ lệ thuận với thể tích bình gọi V là thể tích SrCO3 phân hủy hoàn toàn 3 o SrO o SrCO n V nV = => 3 1,5 3/14 2,2145.10 8 V = V=13,73L d) khi cân bằng được thiết lập 3 / / SrCOpu Cpu m m không đổi 3 / / SrCOpu Cpu m m = 3 3 2,2145.10.148 117,72 .3,083.10.12 2 = Để phản ứng với 1 gam C cần 17,72 gam SrCO3.vậy cần thêm 14,72 gam SrCO3 0,25đ 0,25đ 0,25đ 0,25đ Câu4:(2,0 điểm) Hóa nguyên tố Một nguyên tố X, nguyên tử có ba lớp electron (K, L, M) có các giá trị năng lượng ion hoá I (tính theo kJ/mol) như sau:

13 I1 I2 I3 I4 I5 I6 1012 1903 2910 4956 6278 22230 1. Viết cấu hình electron của X 2. Xác định công thức phân tử , viết tên gọi các chất trong sơ đồ và viết PTHH thực hiện mỗi chuyển hóa theo sơ đồ sau: (A) X (B) (C) (D) (E) (F) (G) (H) (1) (2) (3) (4) (5)(10) (11) (12) (6)(14) (7) (9) (8) (13) (15) Biết: Trong các hợp chất A,B,C,D,E,F,G,H thì X có mức oxi hóa cao nhất. B,D, E tạo dung dịch làm đỏ quỳ tím. Dung dịch F,G phản ứng với axit mạnh và bazơ mạnh. Các chất F, G, H khi đốt cho ngọn lửa màu tím. 3. Cho 0,1mol mỗi axit H3XO2 và H3XO3 tác dụng với dung dịch KOH dư thì thu được hai muối có khối lượng lần lượt là 10,408g và 15,816g. Xác định công thức cấu tạo và gọi tên hai phân tử axit trên. Câu4 Nộidung Điểm 1 Ta thấy có bước nhảy đột ngột về năng lượng ion hóa sau khi tất cả các e hóa trị đã bị tách ra. Ở đây sau I5 có sự tăng đột biến, như vậy X có 5 e hóa trị, do đó thuộc nhóm VA, X có 3 lớp e nên thuộc chu kì 3. Vậy X là photpho (P). Cấu hình e của X: 1s22s22p63s23p3 . 0,25 2 Lập luận xác định được kết quả như sau: A B C D Ca3(PO4)2 H3PO4 P2O5 H4P2O7 Canxi photphat Axit orthophotphoricphotphoricAxi Photpho(V)oxitAnhidritphotphoric Axit điphotphoric E F G H HPO3 KH2PO4 K2HPO4 K3PO4 metaphotphoricAxit Kali đihidrophotphat hidrophotphatKali hotphatKali 0,25 -Các PTHH: (1) Ca3(PO4)2 + 3H2SO4 → 3CaSO4↓ + 2H3PO4 (2) 2H3PO4 0t → H4P2O7 + H2O (3) H4P2O7 + H2O → 2H3PO4 (4) H4P2O7 0t → 2HPO3 + H2O (5) 2HPO3 + H2O → H4P2O7 (6) Ca3(PO4)2 + 3SiO2 + 5C 01200 C → 3CaSiO3 + 2P + 5CO (7) P + 5HNO3 (đặc) → 34HPO + 5NO2 + H2O 0,75

14 (8) 4 P + 5 O2 0t → 2 P2O5 (9) P2O5 + 3H2O → 2H3PO4 (10) H3PO4 + KOH → KH2PO4 + H2O (11) P2O5 + 2KOH + H2O → 2KH2PO4 (12) KH2PO4 + KOH → K2HPO4 + H2O (13) P2O5 + 4KOH → 2K2HPO4 + H2O (14) K2HPO4 + KOH → K3PO4 + H2O (15) P2O5 + 6KOH → 2K3PO4 + 3H2O 3 Từ 0,1 mol H3PO2 phản ứng với KOH tạo ra 0,1 mol muối  M muối = 10,408/ 0,1 mol = 104,08g/mol KxH3-xPO2 có M = 39,09 x + 1, 008 (3-x) + 30,97 + 32 = 104,08 M = 38,08 x + 65,994 = 104, 08  x = 1 Công thức của muối là KH2PO2 → phân tử axit có 1 nguyên tử H có tính axit 0,25 Từ 0,1 mol H3PO3 → 0,1 mol muối KyH3-y PO3  khối lượng muối = 15,86g  M muối = 158,16g/mol 39,09 y + 1, 008 (3-y) + 30,97 + 48 = 158,16 38,08 y + 81,994 = 158, 16  38,08 y = 76,166  y = 2 Công thức của muối là K2HPO3 → phân tử axit có 2 nguyên tử H axit 0,25 Các nguyên tử H axit phải liên kết với O để bị phân cực mạnh nên hai axit có công thức cấu tạo: H3PO2 H3PO3 axit hypophotphorơ axit photphorơ 0,25 Câu5:(2,0 điểm) Phức chất. a)1. Thêm CN vào dung dịch Ni2+ , đầu tiên xuất hiện kết tủa màu xanh, khi CN dư thì kết tủa tan, tạo thành dung dịch trong suốt màu vàng, sau đó khi CN rất dư thì dung dịch chuyển sang màu đỏ. Hãy giải thích các hiện tượng trên. b) Nếu cho dung dịch màu vàng ở trên phản ứng với Na trong NH3 lỏng thì tạo thành một sản phẩm A có màu đỏ, nghịch từ, không bền trong không khí. Hãy cho biết A là hợp chất nào? a)2. Thêm dần dung dịch KCN vào dung dịch CoSO4 lúc đầu thu được kết tủa mầu đỏ nâu X, sau đó kết tủa này tan ra tạo thành dung dịch màu vàng, sau đó đỏ dần và cuối cùng tạo ra tinh thể màu tím Y. Hợp chất này bền trong điều kiện không có không khí, dễ tan trong nước cho dung dịch màu đỏ, khi đun nóng (không có không khí) dung dịch bị nước oxi hóa. Nếu P HOH O H P O O O H HH

15 cho Y tác dụng với axit có mặt chất oxi hóa thu được chất màu vàng Z. Hãy viết các phương trình phản ứng xảy ra trong thí nghiệm này. b) Cho biết Z nghịch từ, dựa theo thuyết liên kết hóa trị (VB), hãy dự đoán cấu trúc phân tử của Z ? c) Xét các phức sau: [Co(CN)6]3-, [Co(CO3)2(NH3)2] , [Co(CO3)3]3- và [Co(NO2)6]3-. Màu của các ion phức này là xanh, vàng, cam và da trời. Hãy cho biết tên của từng phức và xác định màu của chúng ? Câu5 Nộidung Điểm 1 a) Ni2+ tạo thành với CN các hợp chất có thành phần khác nhau tùy theo tỉ lệ các chất phản ứng: Ni2+ + 2CN + xH2O → Ni(CN)2.xH2O ↓ (màu xanh) Ni(CN)2.xH2O + 2CN → [Ni(CN)4]2 (tan, màu vàng) [Ni(CN)4]2 + CN → [Ni(CN)5]3 (tan, màu đỏ) 0,5 b) Khi cho dung dịch [Ni(CN)4]2 phản ứng với Na trong amoniac lỏng sẽ xảy ra phản ứng khử Ni2+: 2[Ni(CN)4]2− + 2Na → [Ni2(CN)6]4− + 2Na+ + 2CN Hoặc [Ni(CN)4]2 + 2Na → [Ni(CN)4]4 + 2Na+ [Ni2(CN)6]4− và [Ni(CN)4]4 đều nghịch từ (CN là phối tử trường mạnh), dễ bị oxi hóa lên Ni2+ . 0,250,25 2 2a. Các phản ứng xảy ra: CoSO4 + 2KCN Co(CN)2↓ (X, nâu đỏ) + K2SO4. Co(CN)2 + 4KCN K4[Co(CN)6] ↓ (Y, màu tím) 2K4[Co(CN)6] + 2H2O 2K3[Co(CN)6] +2KOH + H2↑ 4K4[Co(CN)6] + 4HCl + O2 4K3[Co(CN)6] (Z, màu vàng) + 4KCl + 2H2O 0,5 b. K3[Co(CN)6] (Z) chứa Co3+ cấu hình d6, ion phức chất [Co(CN)6]3 nghịch từ do vậy sẽ lai hóa trong, 4 e độc thân sẽ ghép đôi. Với số phối trí 6 sẽ phù hợp với dạng d2sp3, cấu trúc bát diện. Học sinh có thể suy luận do CN là phối tử trường mạnh.  3d6 4s 4p 6 cặp e nhận từ 6 CN 0,25 c. Côngthức Têngọi Màusắc [Co(CN)6]3 Hexaxianocobantat (III) Vàng [Co(NO2)6]3 Hexa N nitritocobantat (III) Cam [Co(CO3)3]3- Tricacbonatocobantat (III) Xanh [Co(CO3)2(NH3)2] Dicacbonatodiamincobantat Xanh da 0,25

16 Câu6(2 điểm) Đại cương hữu cơ. 1. Hãy cho biết hợp chất nào dưới đây có tính axit mạnh nhất 2. So sánh lực bazơ (NH2)2C=NH, (NH2)2C=O, (MeNH)2C=NH, (NH2)2C=S. Giải thích ngắn gọn. 3. Gọi tên các hợp chất sau theo danh pháp pháp IUPAC: H H a) b) OH Câu6 Nộidung Điểm 1 Chất (2) có tính axit mạnh nhất: Vì khi phân li ra H+ tạo anion được bền hóa bởi nhiều công thức cộng hưởng và có công thức cộng hưởng có cấu trúc thơm bền. OHH -H+ Thom ben 0,5 2 + Các chất được sắp xếp theo chiều tính bazơ giảm dần như sau: (MeNH)2C=NH > (NH2)2C=NH.)>(NH2)2C=O, (NH2)2C=S 0,25 + Giải thích: (0,75 điểm) Chất CH3 NH NH NH CH3 NH H2N NH2 O H2N NH2 S H2N NH2 Giả thíchi + TT Tĩnh: +C mạnh hơn của 2 nhómCH3NH +TT động: Khi bị proton hóa tạo cation +Ccủa2nhómNH2 +TT động: Khi bị proton hóa tạo cation điện tích dương được giải tỏa vì có nhiều công thức cộng hưởng: +C, O có độ âm điện lớn nên giữ proton +C yếu, S có độ âm điện nhỏ hơ nhn, ưng bán

17 điện tích dương được giải tỏa vì có nhiều công thức cộng hưởng: CH3NH NHNHCH3 + H+ CH3HN NHNH2CH3 CH3HN NH2 NHCH3 H2N NHNH2 + H+ H2N NHNH3 H2N NH2 NH2 kính lớn hơn , khó nhận e hơn 3 H H a) 1 2 3 4 5 6 7 8 9 10 E S S (4S, 5S, 2E)-4,5-dietyldec-2-en-8-in b) OH OH H (1R, 4R)-bixiclo[2.2.1]-2-en-1-olRR 0,250,25 Câu7(2 điểm) Cơ chế phản ứng hóa hữu cơ Đề nghị cơ chế cho các phản ứng sau: 3.1.2.4.

18 Câu7 Nộidung điểm 1.0,5 điểm Cl OMe Me Et3N, Me O Li -78-25 oC Me H OLi MeC O [2+2] Me OLi H2O Me H O [3,3] 2.0,5 điểm 3.0,5 điểm 4.0,5 điểm 2,0 Câu8(2 điểm) Sơ đồ tổng hợp hữu cơ. 1. Hợp chất P, C15H25O, là một tecpen có mùi thơm, được sử dụng làm nước hoa. Hãy hoàn thành sơ đồ tổng hợp P (theo Yamad, 1984) dưới đây:

19 2. Viết công thức cấu trúc các chất từ A đến K hoàn thành sơ đồ phản ứng sau: CH3COOEt 1.LDA 2. O 3.PCC A O O EtONa/EtOH B (C11H18O4) 1.(CH2OH)2,H+ 2.NaBH4 C 1.MsCl 2.NaI D 1.Li/NH3 2.Mei 1.H3O+ 2.HCCNa F PhSH,AIBN F1 (C23H32SO3) POCl3,pyridine G O EH (C17H28O4) Câu8 Nộidung điểm 1 (CH2OH)2,H+ E MeO HOH2C MeO C PCC D O MeO O O Li/NH3 l 1,0

20 Zn(Hg) HCldac I O H (C13H20O2) OH O OH PCC Câu29(2 điểm) Xác địnhcấutrúccácchấthữucơ (môtả sơ đồ tổnghợpbằnglờidẫn). Hợp chất A (C7H12) chứa vòng năm cạnh. Cho A phản ứng với O3 sau đó xử lý hỗn hợp phản ứng bằng Me2S tạo thành aldehyde B (C7H12O2). A phản ứng với dung dịch KMnO4 trong kiềm lạnh tạo thành C (C7H14O2) không quang hoạt. C phản ứng với COCl2/pyridine cho hợp chất D (C8H12O3). Mặt khác, khi oxi hoá C bằng dung dịch KMnO4, đun nóng thì thu được E (C7H12O4). Clo hoá E thu được hỗn hợp chỉ gồm 3 đồng phân F, G, H (C7H11ClO4) trong đó G và H là đối quang, còn F không quang hoạt. Nếu đem A phản ứng với RCO3H thu được I và J đối quang, có cùng công thức phân tử C7H14O2 và là đồng phân lập thể không đối quang của C. Xác định công thức cấu tạo các chất từ A đến J Câu9 Nộidung Điểm Chất CTCT Điểm

21 A 0,25 B 0,25 C 0,25 D 0,25 E 0,125 F 0,125 G 0,125 H 0,125 I 0,25

22 J 0,25 Câu10(2 điểm) Hoá học các hợp chất thiên nhiên (Cacbohidrat và hợp chất hữu cơ chứa Nitơ đơn giản). 1. Hợp chất X (C17H13NO2) không phản ứng với TsOH. Ozon phân oxi hóa X thu được X2 (C8H6O3) và X3 (C9H9NO3). Đun nóng X2 thu được chất lỏng không màu, phản ứng thế với HNO3 và có CTPT là C6H6. Thủy phân X3 trong môi trường axit thu được X4 và X5. Đun nóng X 4 với NaOH thu được C6H6 chất lỏng không màu, phản ứng thế với HNO3. X5 (C2H5NO2) phản ứng với HNO2, đun nóng đươch X6 (C2H4O3). Xác định công thức các chất. 2. X (C17H30N2O6) là hợp chất trung tính (không tính axit, không có tính bazo). Ozon phân X, khử hóa ozonnit thu được isobutanal và X1. Thủy phân X1 bằng kiềm thu được Lysin và X2 (C7H12O7). Cho X2 phản ứng với CH3OH/HCl thu được X3 (C8H14O7). Oxi hóa X3 bằng HIO4 sau đó thủy phân thu được các sản phẩm (2R, 3R)-3-hidroxi-2-metoxi-4-oxobutanoic, etandial và metanol. Xác định cấu tạo các chất X đến X3. Câu10 Nộidung điểm 1 Theo giả thiết X5 (C2H5NO2) HNO2 H2O, toC X6 (C2H4O3) => X5: COOHNH2 ; X6: COOHOH X3 (C9H9NO3) H3O+ X4 + X5 (C2H5NO2) NaOH, to => X4 có số nguyên tử cacbon =9-2= 7 CTCT của X4: COOH => CTCT X3: OC NH COOH X2 (C8H6O3, a= 6) to X2 là sản phẩm của phản ứng ozon phân oxi hóa=> CT của X2 là: O COOH Hợp chất X (C17H13NO2) không phản ứng với TsOH: X có 2 O, a= 12) sản phẩm ozon phân sinh ra 2 nhóm COOH Vậy CT của X là: 1,0

23 O NH O 2 Tóm tắt: X(C17H30N2O6) 1. O3 2. [H] CH3 CHC3 CHO + X1 H OH Lys + X2(C7H12O7) => X2: OMeOHOHO COOH MeO => X1: OMeOHOHO MeO O NH COOH NH2 ON H N H O OH MeO HO HO X: 1,0 ----HẾT-----Giáoviênra đề NguyễnThị Hoa NguyễnThị Hường

TRƯỜNG THPT CHUYÊN BẮC NINH ĐÁP ÁN ĐỀ THI ĐỀ XUẤT CHỌN HSG KHU VỰC ĐBDHBB NĂM HỌC 2021 - 2022 Môn: Hóa học – Lớp 11 Thời gian làm bài 180 phút (không kể thời gian phát đề) Câu 1 (2,0 điểm) Động học Peroxit hữu cơ được sử dụng rộng rãi làm chất khơi mào cho các chuỗi phản ứng gốc. Rất nhiều các công trình được công bố trong các nghiên cứu động học cho quá trình phân hủy nhiệt. Một thí nghiệm xác định tốc độ đầu của quá trình phân hủy benzoyl peroxit (P) trong dòng benzen hồi lưu (80oC) cho các giá trị tuân theo định luật tốc độ bậc nhất với hằng số tốc độ k. Tuy nhiên, thí nghiệm độc lập khác lại chỉ ra hằng số tốc độ phụ thuộc vào nồng độ của benzoyl peroxit [P] như sau: [P] (mol/L) 0,0205 0,083 0,156 0,225 0,283 k (10-5×s-1) 3,85 5,3 6,35 7,10 7,70 Để giải thích cho các kết quả này, các nhà nghiên cứu đã giả sử cơ chế phân hủy đơn phân tử tạo ra các gốc tự do trung gian (thực ra là gốc phenyl và gốc điphenylhiđryl có ảnh hưởng trong quá trình này). Một sơ đồ phân hủy đơn giản được đề nghị như sau: a) Biểu diễn cấu trúc sản phẩm tái kết hợp (phản ứng tắt mạch). b) Phân hủy benzoyl peroxit có phải là chuỗi phản ứng gốc không. (chọn câu trả lời đúng).  Đúng, đây là chuỗi phản ứng gốc.  Không, đây không phải là chuỗi phản ứng gốc.  Dữ liệu cho ở trên chưa đủ để khẳng định. c) Bằng phương pháp gần đúng “nồng độ ổn định”, chỉ ra tốc độ phản ứng 1 bằng tốc độ phản ứng 4. (tốc độ tạo thành các gốc hoạt động bằng với tốc độ mất đi của các gốc). d) Từ dữ liệu thực nghiệm, xác định hằng số tốc độ bậc nhất k1 của quá trình phân hủy trong cơ chế e) Giả sử sự tái kết hợp các gốc tự do là một quá trình khuếch tán với k4 = 1010 L.mol-1.s-1 . i) Nồng độ benzoyl peroxit là 0,1 mol/L. Tính nồng độ 66 [PhCH]. • ii) Xác định hằng số tốc độ cho quá trình phân hủy cảm ứng của benzoyl peroxit k3. Nộidung Điểm a) Sản phẩm chính: H H H 2 Ngoài ra gồm các sản phẩm phụ: ortho ortho; ortho para cũng có thể thu được. 0,25 b) Là chuỗi phản ứng gốc. 0,25 c) Áp dụng gần đúng NĐỔĐ cho các gốc Ph• và 66PhCH• ta có: 66 66 PhCH d[] dt12663 d[] 6 Ph 2 2663 66d4 t6 PPh 2k[]k[][CH]k[][]0(1) k[][CH]k[][]hP2k[]0(2) hCH PhCHPhCH • • • •• • • =−+= =−−= PP P Cộng (1) và (2), ta có: 2k1[P] – 2k4[PhC6H6 .] = 0 =>k1[P] = k4[PhC6H6 .]2 => Đ d)pcm0,5 Tốc độ phản ứng được tính: d[] dt1313 66vvvk[ PhC ]k[[] H ]• =−=+=+ P PP

Từ ý c), thu được: 1 4 k 1/2 66k [][] PHhC, • = P thay vào phương trình tốc độ, ta có: 1 1 1 4 4 4 kk1/21/2k 1/2 1313obob13 kk k vk[]k[][](kk[])[]k[]kkk[] =+=+=  =+ PPPPPPP Từ bảng số liệu, thu được sự phụ thuộc k theo [P]1/2: 551/2 k2,447.109,859.10[] =+ P Vậy ta thu được k1 = 2,447.10-5 s-1 . 0,5 e) 5 1 10 4 k 1/21/28 2,447.10 6 k 610 i)[][](0,1)1,564.10M PhCH• === P ii) Từ ý d) ta có: 5 1 10 4 k 5 2,447.10511 33k3 10 k9,859.10k9,859.10k1993,04M.s =  =  = 0,250,25 Câu2 (2,0 điểm) Cânbằngtrongdungdịch Acqui chì được nhà hóa học Pháp Louis Gaston Plante phát minh vào năm 1859. Ở trạng thái nạp điện, điện cực bên trái của acqui (với thế điện cực âm hơn) tạo thành từ chì kim loại, còn điện cực bên phải là chì(IV) oxit. Chất điện li là dung dịch axit sulfuric nồng độ phần trăm C% ≈ 20 - 30%. a) Xây dựng sơ đồ pin đơn giản nhất ứng với acqui chì. b) Cho các thế điện cực chuẩn: 2 2 2 44 244 oo o PbSO,SO/PbPbO,H,SO/PbSOPb/Pb E0,359;E1,682vàE0,126V. +− + =−==− 1. Viết phương trình phản ứng tổng cộng xảy ra trong pin. 2. Tính sức điện động chuẩn của pin điện hóa. 3. Xác định năng lượng Gibbs chuẩn của phản ứng tổng cộng. 4. Tính hằng số cân bằng của phản ứng tại 25oC. c) Tại mặt phân cách “Pb|chất điện li”, xảy ra tương tác hóa học tạo ra chì(II) sulfat. Viết phương trình phản ứng xảy ra. d) Tại điện cực “PbO2|chất điện li”, xảy ra phản ứng hình thành chì(IV) sulfat là một chất kém bền, ít tan và có thể phân hủy giải phóng oxi trong sự có mặt của chì(IV) oxit, sản phẩm phụ là chì(II) sulfat. Viết phản ứng hình thành chì(IV) sulfat và phản ứng giải phóng oxi. e) Trong một pin đã được nạp đầy ở 25oC, nồng độ cation chì(II) trong dung dịch là 9,3.10-7 M. Xác định thế của điện cực Pb|H2SO4 ở trạng thái này. f) Dung dịch tương ứng 376 g axit sulfuric trong 1000 g nước, với hệ số hoạt độ axit 24HSO 0,165γ= và hoạt độ của nước 2 1 HO a0,7mol.kg. = Xác định sức điện động của acqui chì tại 25oC. Nộidung Điểm a) Sơ đồ pin: Pb, PbSO4|H2SO4| PbO2, Pb+ 0,25 b) 1) Pb + PbO2 + 2H2SO4 → 2PbSO4 + 2H2O 2) ooo pinca EEE1,682(0,359)2,041V. =−=−−= 3) oo 3 pinpin GzFE2964852,041393,852.10J ∆=−=−××=− o393,852.103 pin 8,314298G/RT 694)Kee1,092.10 ×−∆ === 0,5 c) Pb + H2SO4 → PbSO4↓ + H2↑ 0,25 d) PbO2+ 2H2SO4 → Pb(SO4)2↓+ 2H2O PbO2+ Pb(SO4)2 → 2PbSO4+ O2↑ 0,25 e) 2 0,05927 Pb/Pb2 E0,126lg9,3.100,305V. + =−+=− 0,25 f) Nồng độ molan của axit: 24 3761 HSO 98 c3,836mol.kg == Vậy, hoạt độ của axit: 24 1 HSO a0,1653,8360,6331mol.kg =×= Từ phản ứng tổng cộng khi pin hoạt động, ta có: 2 HSO2 24 2 2 HO 2 a o0,05920,05920,6331 pinpin 22a0,7 EElg2,041lg2,0384V. =+=+= 0,5 Câu3: (2,0 điểm) Nhiệt độnglựchọc-cânbằnghoáhọc

ất ngoài Png = 1,2 bar, coi quá trình trào khí là giãn đoạn nhiệt. Sau khi áp suất khí trong bình bằng với áp suất bên ngoài, nhanh chóng đậy nắp bình. Khí còn lại trong bình được làm ấm từ từ tới 325 K. Xác định áp suất cuối cùng trong bình theo bar. HDC Nộidung Điểm 1. Nhiệt độ sôi của R32 ở áp suất 5 atm và 10 atm Áp dụng phương trình claperon – claudius với sự sôi ∆ ∆ ⇒ ln ∆ Tại P1= 1 atm thì nhiệt độ sôi T1=221,199 K ⇒ln , , ⇒ Khi P2 = 5 atm thì T2 =260,017K và khi P2 = 25 atm thì T2 =315,359K 0,5 Nén đoạn nhiệt thuận nghịch: 0,5

dụ nước lưu chuyển trong bộ trao đổi nhiệt và có nhiệt độ thấp, ~ 7 oC). Do đó, do sự truyền nhiệt từ nước, R32 có thể bị bay hơi. Ở dạng hơi, R32 được nạp vào máy nén, thiết bị này nén đoạn nhiệt khí R32 đến áp suất cao, khi đó nhiệt độ khí R32 được tăng lên khoảng 60oC. Khí R32 này được cho tiếp xúc với chất làm lạnh của hệ thống sưởi ấm, được làm lạnh và ngưng tụ từ từ. Sau đó, R32 lỏng ở trạng thái nén được dẫn qua một ống hẹp (van tiết lưu), áp suất giảm về ban đầu và R32 lỏng được làm lạnh sâu (nhiệt độ cũng giảm về ban đầu). Giai đoạn này khép kín, năng lượng không được cung cấp vào. Sau đó, chu trình lặp lại. Nguồn năng lượng cung cấp cho cả quá trình này là sự vận hành của máy nén khí. R32 có công thức là CH2F2, có nhiệt độ sôi ở 1 atm là -51,801 oC, nhiệt hóa hơi là 19,826 kJ.mol-1 , CP,R32 khí = 65,86 J.mol-1.K-1. Giả sử R32 là khí lí tưởng. 1) Tính nhiệt độ sôi của R32 ở áp suất 5 atm và 25 atm. 2) Nếu nén đoạn nhiệt thuận nghịch khí R32 từ 0oC; 5atm đến 25 atm thì nhiệt độ của khí sau khi nén là bao nhiêu? Tính công của quá trình này. 3) Khí R32 sau khi nén ở ý2, sẽ được trao đổi nhiệt đến nhiệt độ ngưng tụ ở 25 atm. Hãy tính nhiệt lượng mà vật chất trao đổi nhiệt nhận được với quá trình này cho 1 mol R32 4) Tính hệ số chuyển đổi đ

Trong các thiết bị làm ấm, máy bơm nhiệt là một thiết bị tách nhiệt từ nguồn nhiệt có nhiệt độ thấp (không khí, đất, nước ngầm, …) và chuyển nhiệt sang bộ làm lạnh với nhiệt độ cao hơn (chất làm mát đi vào hệ thống sưởi ấm gia đình). Quá trình này diễn ra theo một chu trình. Ở thời điểm đầu chu trình, chất làm lạnh điflometan dạng lỏng (tên công nghiệp R32) trong thiết bị bay hơi ở nhiệt độ thấp hơn một chút so với nhiệt độ của nguồn nhiệt có nhiệt độ thấp bên ngoài (ví iện năng thành nhiệt năng (Kchuyển đổi = ), giả sử rằng điện năng chủ yếu được sử dụng cho việc vận hành máy nén (bỏ qua năng lượng tiêu tốn cho sự vận hành bơm tuần hoàn để bơm chất lỏng từ các đường bao bên ngoài và bên trong; cũng như các mất mát năng lượng có thể có trong quá trình vận hành thiết bị điện; hay do sự thiếu hoàn hảo của các thiết bị; …). Sự vận hành của máy bơm nhiệt có vi phạm nguyên lí thứ nhất của nhiệt động lực học hay không? 5) Một bình kín chứa khí R32 ở 325 K và 1,625 bar. Nắp bình được mở khí trong bình trào ra dưới áp su

Áp dụng phương trình Poisson có T1 ⇒ ⇒ khi T1 = 273 K; P1= 5 atm; P2 = 25 atm và , , , ; thì T2 =334,502K Công thực hiện trong quá trình này là A = ∆U , = (65,86-8,314).(334,502-273) = 3539,1941J.mol-1 . 3. Nhiệt lượng mà 1 mol R32 giải phóng ra trong quá trình là: = Cp.(315,359- 334,512) + ∆ngưng tụH = 65,86. (315,359- 334,512) – 19,826.103 =21087,42J=-21,09kJ Nhiệt mà vật chất trao đổi nhiệt nhận được là Q = 21087,42J=21,09kJ 0,25 4. Kchuyển đổi = nhiệtlượngnhậnđược điệnlượngtiêuthụ = , , = S5,958 ự vậnhànhcủamáybơmnhiệtkhôngviphạmnguyênlíthứ nhấtcủanhiệt động lựchọc,vìngoàinănglượng điệntừ máynén,máybơmcònsử dụngnguồnnhiệttừ tự nhiên(nước, đất)quaR32thôngqua đường ốngbaobênngoài. 0,25 5. Số mol khí no (mol) Quá trình trào khí là quá trình đoạn nhiệt bất thuận nghịch Cần xác định nhiệt độ cuối Tc, thể tích cuối (tưởng tượng) Vcuối của bình khí. ∆U = no.( 65,86-8,314)(Tc- 325) = -Pngoài.( . . đ đ ) ⇒ ( 65,86-8,314)(Tc- 325) = -(R.Tc, , .325 ) ⇒ Tc =314,2698K ⇒ Vđầu = ố . đ ố . đ . Vcuối = 0,7637.Vcuối ⇒ ì ố = 0,7637 = í ò ì Khi nhiệt độ tăng lên 325 K thì Psau = . . , . . ì = 0,7637.Pđầu= 1,241bar 0,5 Câu4 (2,0 điểm) Hoánguyêntố Ba hợp chất hai nguyên tố A1, A2 và A3 của kim loại X, cùng chứa 25% số nguyên tử X trong mỗi hợp chất. Cả ba hợp chất đều có cấu trúc ion, dễ phân hủy cho sản phẩm chứa ít nhất một đơn chất. A1 có thể thu được khi cho hiđroxit của X phản ứng với một đơn chất, biết rằng cứ đi từ 14,6 g hiđroxit của X sẽ thu được 17,62 g A1 X′ ′ là kim loại nhẹ nhất cùng phân nhóm với X, X′ ′ phản ứng trực tiếp với nitơ ở điều kiện chuẩn cho hợp chất , ′′ 33BB có hợp chất “gương” là B3 có công thức tương tự với A3 (B3 cùng anion với A3). Trong A2 chứa 25,86% X theo khối lượng. Các hợp chất ion D1 và D2 có cùng anion với A1, bền nhiệt động học hơn A1, mỗi phân tử chỉ chứa một loại nguyên tử hiđro. D1 chứa 39,33% cacbon; 9,9% hiđro và 11,47% nitơ; D1 bị phân hủy hoàn toàn sau hai ngày ở điều kiện chuẩn. D2 không chứa cacbon, một lượng D2 bị phân hủy hoàn toàn ở nhiệt độ trên 100oC cho sản phẩm rắn có khối lượng giảm 1,65 lần so với D2. a) Xác định X và các hợp chất A1, A2, A3, D1 và D2 và viết tất cả các phương trình phản ứng. b) Xác định ba hợp chất quen thuộc có thành phần định tính giống với A1. c) Biểu diễn cấu trúc các anion trong A1, A2 và A3 Nộidung Điểm a) X’ là kim loại nhẹ nhất trong nhóm, X’ phản ứng trực tiếp với nitơ ở điều kiện chuẩn. Vậy X’ là Li  B3’ là Li3N  B3 là LiN3.

A1, A2 và A3 đều chứa 25% số nguyên tử X; A3 có cùng anion với B3  A3 là XN3. X là kim loại kiềm, A1 thu được khi cho hiđroxit phản ứng với đơn chất, nên A1 là XO3. Từ 14,6 g XOH thu được 17,62 g XO3  X = 132,88  X: Cs  A1: CsO3 và A3: CsN3 A2 có công thức XY3, A2 chứa 25,86% X theo khối lượng  Y = 127 (I)  A2: CsI3 D1 chứa 39,33% cacbon; 9,9% hiđro và 11,47% nitơ; giả sử lượng còn lại là oxi. %oxi = 39,3%  C:H:N:O = 4:12:1:3 (C4H12NO3). D1 chứa anion O3 , nên cation C4H12N có điện tích +1  (CH3)4N+  D1: (CH3)4NO3 D2 chứa anion O3 , D2 bền nhiệt động học hơn CsO3, nên D2 chứa cation lớn hơn Cs+ Các nguyên tử H trong D2 là tương đương, D2 phân hủy cho hợp chất ion (rắn). Vậy D2 là muối amoni (hoặc amin), D2 không chứa cacbon  D2 là NH4O3 0,0,55Các phương trình phản ứng: Các chất: X: Cs; X’: Li; A1: CsO3; A2: CsI3; A3: CsN3; D1: (CH3)4NO3; D1: NH4O3 b) Các hợp chất quen thuộc giống A1: Cs2O; CsO2; Cs2O2 0,25 c) Cấu trúc các anion: 0,75 Câu5 (4,0 điểm) Phứcchất 1) Viết các đồng phân lập thể của các phức chất vuông phẳng sau và gọi tên: a) Pt(py)(NH3)Br2 và chỉ ra đồng phân cis/trans (trong đó py = pyridin, C5H5N). b) Pt(NH2CH2CH2OH)BrCl 2) Viết các đồng phân lập thể của các phức chất bát diện coban(III): a) [Co(ox)2(H2O)2] và chỉ ra đồng phân cis/trans (trong đó ox = ion oxalat). b) [Co(NH2CH2CH2OH)3]3+ 3) Sử dụng thuyết trường tinh thể hãy xác định cấu hình electron của Fe2+ trong các phức spin cao và spin thấp. 4) Tính năng lượng bền hóa trường tinh thể (CFSE, theo đơn vị kJ mol-1) của [Fe(CN)6]4 và [Fe(H2O)6]2+ , xác định cấu hình electron d đặc trưng của các phức chất này. Cho biết rằng: Δo([Fe(CN)6]4 ) = 32800 cm 1 , Δo([Fe(H2O)6]2+) = 10400 cm-1, năng lượng ghép đôi của Fe2+: P = 229,1 kJ mol-1 . 5) Trong đa số trường hợp, dạng hình học của các phức bát diện không tương ứng với hình bát diện đối xứng lí tưởng, mà sẽ bị biến dạng. Hiện tượng này được giải thích bởi hiệu ứng JahnTeller, lí thuyết này phát biểu rằng phân tử với các orbital có năng lượng bằng nhau có xu hướng bị biến dạng hình học và do đó năng lượng của phân tử sẽ giảm khi cấu hình electron thay đổi. Trong hình dưới đây, δ1 và δ2 là năng lượng tách mức biến dạng trong các orbital của các nhóm eg và t2g. a) Trong hình bên, hãy gán các obitan d của kim loại vào mỗi giản đồ tương ứng. b) Bằng việc tính năng lượng bền hoá khi biến dạng (so với khi chưa biến dạng), hãy cho biết các phức bát diện nào sau đây có xu hướng biến dạng và cho biết sự rút ngắn hoặc kéo dài liên kết theo trục z xảy ra với các phức này: i) [CrCl6]4- (spin cao). ii) [Mn(CN)6]4− (spin thấp). iii) [Mn(H2O)6]2+ (spin cao). HDC 2CsO3 2CsO2 +O2 CsI3 CsI +I2 2CsN3 2Cs +3N2 2CsOH +5O3 2CsO3 +H2O +5O2 4NH4O3 2NH4NO3 +4H2O +O2 O O O Chữ V II I thẳng NN N thẳng Sự rút ngắn hoặc kéo dài liên kết theo trục z trong phức bát diện

Nộidung Điểm b).1)a) 0,50,5 a.2. đồng phân cis b) 0,50,5 3) Vẽ giản đồ tách mức năng lượng trong trường bát diện Cấu hình Fe2+ trong phức 0,25

- spin cao: (t2g)4(eg)2 spin thấp: (t2g)6 4) *) Δo([Fe(CN)6]4−) = 32800 cm-1 = 6,0223.1023. 6,626.10-34.2,9979.1010. 32800= 392378,139 J/mol = 392,378 kJ.mol-1 Δo([Fe(H2O)6]2+) = 10400 cm-1= 6,0223.1023. 6,626.10-34.2,9979.1010. 10400 = 124412,581 J.mol-1 = 124,413 kJ.mol-1 . *) Thấy Δo([Fe(CN)6]4−) > P nên phức Fe(CN)6]4− là phức spin thấp. còn Δo([Fe(H2O)6]2+) < P nên [Fe(H2O)6]2+ là phức spin cao. *) Năng lượng làm bền của Fe(CN)6]4 là CFSE1 = 6.(-2/5. 392,378) + (3-1).229,1 = -483,5072kJ.mol-1 [Fe(H2O)6]2+ là CFSE2 = 4.(-2/5.124,413) + 2.(3/5.124,413) + (1-1).229,1 = -49,7652 kJ.mol-1 . 0,250,250,25 b)a)5). Nếu phức biến dạng theo trục z kiểu rút ngắn liên kết thì theo vế trái của giản đồ trên; còn nếu kéo dãn thì theo nửa phải của giản đồ. Nên *) [CrCl6]4- là phức spin cao có cấu hình e kiểu (t2g)3(eg)1 có Năng lượng làm bền khi biến dạng rút ngắn là: E1 = 1.(-21/3) + 2.(+1/3) + 1.(-2/2) = -2/2 Năng lượng làm bền khi biến dạng kéo dãn là: E2 = 2.(-1/3) + 1.(+2.1/3) + 1.(-2/2) = -2/2. Phức chất [CrCl6]4- có xu hướng bị biến dạng. Cả hai xu hướng kéo dài và rút ngắn đều có ưu thế như nhau. *) [Mn(CN)6]4- là phức spin thấp có cấu hình e kiểu (t2g)5 có Năng lượng làm bền khi biến dạng rút ngắn là: E1 = 2.(-21/3) + 3.(+1/3) = -1/3 Năng lượng làm bền khi biến dạng kéo dãn là: E2 = 4.(-1/3) + 1.(+2.1/3) = -22/2. Phức chất [Mn(CN)6]4-có xu hướng bị biến dạng kéo dãn vì thuận lợi hơn về mặt năng lượng. *) [Mn(H2O)6]2+ là phức spin cao có cấu hình e kiểu (t2g)3(eg)2 có Năng lượng làm bền khi biến dạng rút ngắn là: E1 = 1.(-21/3) + 2.(+1/3) + 1.(-2/2) + 1.(2/2) = N0 ăng lượng làm bền khi biến dạng kéo dãn là: E2 = 2.(-1/3) + 1.(+2.1/3) + 1.(-2/2) + 1.(2/2) = 0 Phức chất [Mn(H2O)6]2+ không có xu hướng bị biến dạng. Vì khi biến dạng năng lượng không thấp hơn ban đầu. 0,250,250,250,25

Câu6 (2 điểm) ĐạiCương Cho các hợp chất từ X1 tới X8 sau: a) Một trong hai chất X1 và X2 bị khử bởi LiAlH4, giải thích và viết sản phẩm thu được sau khi khử và xử lý với nước? b) So sánh tính bazơ của X3 và X4. c) So sánh tính axit của X5 và X6 d) So sánh tốc độ phản ứng với H2O trong xúc tác axit của X7 và X8. NộiDung Điểm a) Thông thường LiAlH4 không khử được liên kết C=C anken, tuy nhiên khi X1 cộng hưởng tạo ra một cacbocation và một hệ thơm vòng 5, do đó hệ này được làm bền bởi năng lượng thơm hoá, cacbocation sẽ tồn tại đủ lâu để bị khử bởi Nucleophile là hidrua trong LiAlH4. Trường hợp của X2 hay các anken thông thường thì rất khó tồn tại ở dạng cộng hưởng do không được làm bền. 0,5 b) Tính bazơ của X4 sẽ cao hơn do trạng thái axit liên hợp tạo được liên kết hidro nội phân tử và bền hơn axit liên hợp của X3. 0,5 c) Tính axit của X5 lớn hơn X6 do bazơ liên hợp của X5 được làm bền bởi hiệu ứng liên hợp xen phủ vào Orbital 3d của nguyên tử Clo, còn bazơ liên hợp của X6 chỉ được làm bền bởi hiệu ứng cảm ứng -I của Flo do Flo ở chu kỳ 2 và không có AO 3d. 0,5

d) Tốc độ phản ứng của X7 lớn hơn X8 khoảng 105 lần do ở X8, cấu trúc không gian đã ngăn cản nguyên tử O ở cầu không có bất kỳ sự làm bền nào tới cacbocation trung gian. Mặt khác, nguyên tử O ở X7 vừa đẩy e liên hợp vào liên kết đôi, vừa làm bền cacbocation trung gian tốt nên tốc độ phản ứng nhanh hơn. 0,5 Câu7 (2 điểm) Cơ chế phản ứng Đề xuất cơ chế phản ứng cho các chuyển hoá: Câub)a)c)d) NộiDung Điểm

a 0,5 b 0,5 c 0,5

d 0,5

Câu8 (2 điểm) Dãychuyểnhoá 8.1. Năm 2014, một hợp chất đơn vòng H được tổng hợp từ Adamantan như sơ đồ dưới đây. Vẽ cấu trúc các hợp chất A-G, H và I. biết rằng: (i) Hợp chất H có hai loại hidro, với số lượng mỗi loại bằng nhau. (ii) Hợp chất H có 3 loại Cacbon trong phân tử. 8.2. Thực hiện sơ đồ chuyển hoá sau: Viết công thức cấu trúc các hợp chất từ A-N, biết rằng: K và L là các đồng phân hình học của nhau. K, L, M, N trong phân tử có chứa vòng lớn hơn 6C. Câu NộiDung Điểm 8.1 Mỗi công thức đúng 0,125 điểm(0,125x8=1) 1,0 8.2 Mỗi công thức đúng 1/14 điểm(có thể hoán đổi K, L và M, N tương ứng). 1,0

Câu9 (2 điểm) Xác địnhcấutrúccácchấthữucơ (môtả sơ đồ tổnghợpbằnglờidẫn) 9.1. Hợp chất hữu cơ A dưới đây dùng hai bước chuyển hoá tạo thành lần lượt sản phẩm B và C. Hợp chất B (C10H15NO2) có cấu trúc 3 vòng, B cân bằng thuận nghịch với B’ giống như một hemiacetal. Khi đem B xử lý với axit TFA ở 90oC trong dung môi DCM tạo ra hợp chất spiro 2 vòng C, một lactam vòng 7 cạnh. Tìm cấu tạo của B, B’ và C. Giải thích cơ chế từng bước trong chuyển hoá. 9.2. Hợp chất Spiro[3.3]heptan-1-on đem xử lý với TsNHNH2 thu được hợp chất U có bộ khung cacbon không thay đổi. Đem U tác dụng với NaH cho hiệu suất 100% tạo thành muối V. Nhiệt phân muối V sinh ra cấu tử trung gian kém bền W, cấu tử này lần lượt chuyển hoá thành các hidrocacbon từ X1  X6 khác nhau có cùng công thức phân tử C7H10. Trong đó, X3 và X4 cùng xảy ra phản ứng mở vòng tương tự như xiclobuten dưới tác dụng của nhiệt độ, sinh ra các sản phẩm X5 và X6 tương ứng. Viết công thức cấu tạo của Spiro[3.3]heptan-1-on và các chất U, V, W, X1, X2, X3, X4, X5, X6. Biết rằng X2 và X3 đều chứa anken 4 nhóm thế. Câu NộiDung Điểm 9.1 Tìm đúng công thức B,B’ và C, mỗi công thức đúng 0,25 điểm(0,25x3) 1,0

Cơ chế tạothànhB(0,125 điểm) Cơ chế tạothànhC(0,125 điểm) 9.2 Mỗi công thức đúng được 0,1 điểm (0,1x10=1 ) 1,0

Ngườira đề: Phần Vô Cơ: Đỗ ThuHiền Phần Hữu Cơ: Trần ĐìnhHiếu

TRÝỜNG THPT CHUYÊN CAO BẰNG ÐỀ THI ÐỀ XUẤT CHỌN HỌC SINH GIỎI CÁC TRÝỜNG THPT CHUYÊN KHU VỰC DUYÊN HẢI VÀ ÐỒNG BẰNG BẮC BỘ NÃM 2022 ÐỀ THI MÔN: HÓA HỌC LỚP 11 Thời gian: 180 phút (Không kể thời gian giao ðề) (Ðề thi gồm 10 câu, 5 trang) Câu 1. (2 điểm) Tốc độ phản ứng Động học của phản ứng R-Br + H2O 2 221 11 ln() kEa kRTT =−− → ROH +HBr được nghiên cứu bằng cách theo dõi biến thiên nồng độ R-Br theo thời gian ở 2 nhiệt độ khác nhau. Kết quả thu được như sau t (phút) 0 8 24 32 50 CR-Br (M) ở 20oC 0,32 0,27 0,19 0,16 0,11 CR-Br (M) ở 40oC 0,32 0,16 0,04 0,02 0,005 1) Xác định bậc của phản ứng trong điều kiện nghiên cứu 2) Tính hằng số tốc độcủa phản ứng ở 20oC và 40oC 3) Tính hệ số nhiệt độ của tốc độ phản ứng. 4) Tính năng lượng hoạt hóa của phản ứng. Câu 2. (2,0 điểm) Cân bằng và phản ứng trong dung dịch, pin điện, điện phân. Acquy chì – axit được mô tả bởi sơ đồ: 42442 ()()()()()() PbrPbSOrHSOaqPbSOrPbOrPbr 1) Chỉ ra anot, catot trong quá trình nạp điện cho acquy và trong quá trình acquy xả điện. 2) Viết PTHH của các phản ứng xảy ra tại các điện cực và phản ứng tổng quát trong quá trình acquy xả điện và trong quá trình nạp điện cho acquy. 3) Biết PbSO4 có Ksp = 1,6.10-8 và giản đồ Latimer của chì trong môi trường axit như sau: a. 1,4540,126 2 2 VV PbOPbPb + →→ b. Tính toán và cho biết Pb2+ có thể tự oxi hóa khử trong môi trường axit hay không? 4) Tính thế mạch hở tiêu chuẩn ở 25oC của một pin gavani trong acqui khi nó được nạp đầy điện 5) Tính thế mạch hở ở 25oC của một pin gavani trong acqui khi nó được nạp đầy điện nếu dung dịch axit có nồng độ 4,5M. ĐỀ THI ĐỀ XUẤT

Câu 3 (2,0 điểm) Nhiệt động học và cân bằng hóa học OCA, một công ty chuyên sản xuất H2O2 ở Áo theo phương pháp Antraquinon. Điều quan trọng nhất của phương pháp này là việc điều chế hydro, nó được điều chế ở dạng rất tinh khiết từ metan và hơi nước (qúa trình cân bằng). Trong qúa trình này cacbon oxit được sinh ra và có khả năng phản ứng với nước ở bước tiếp theo. 1) Viết các phương trình phản ứng xảy ra và cân bằng với trạng thái vật chất đúng của các chất. Phản ứng giữa metan và hơi nước là phản ứng thuận nghịch. 2) Sử dụng các số liệu sau để tính Kp (đơn vị áp suất: bar) . Cho biết ở 100oC nước ở trạng thái hơi. Giả sử ∆Ho và ∆So không đổi ở khoảng nhiệt độ từ 298K đến 373K.H2 H2O CO CH4 ∆Ho(kJ/mol) 0 -242 -111 -75 ∆So(kJ/mol.K) 0,131 0,189 0,198 0,186 Cp (kJ/mol.K) 0,029 0,034 0,029 0,036 Bình phản ứng (V = 3,00m3) chứa 6,40kg CH4, 7,20kg H2O, 11,2kg CO và 2,4kg H2 ở 100oC. 3) Tính nồng độ mol phần của từng khí. 4) Tính áp suất chung và áp suất riêng phần của từng khí. 5) Xác định hằng số cân bằng vào lúc này và cho biết chiều dịch chuyển cân bằng của phản ứng. Metan và nước đem trộn với tỉ lệ 1:1 và cho vào một bình kín, đun nóng bình đến 900oC. Với sự có mặt của chất xúc tác phản ứng đạt nhanh đến cân bằng với áp suất chung là 20bar. 6) Tính Kp ở 900oC (Giả sử Cp không phụ thuộc nhiệt độ) 7) Tính % CH4 đã phản ứng. Câu 4. (2,0 điểm) Hóa nguyên tố 1) Cho kim loại X và các phi kim Y, Z. Ở điều kiện thường, Y tồn tại ở thể rắn, Z tồn tại ở dạng khí. Nung hỗn hợp gồm X và Y ở nhiệt độ cao, thu được hợp chất A. Khi A bị thuỷ phân thì tạo ra kết tủa B và một chất khí nặng hơn không khí. B tan trong NaOH dư tạo thành dung dịch C; thêm NH4Cl rắn vào dung dịch C và đun nóng, kết tủa B xuất hiện trở lại. X tác dụng với Z tạo thành chất rắn D màu trắng có độ cứng rất lớn. D cũng được tạo ra khi nung B ở nhiệt độ cao. X, Y và Z tạo thành muối E tan trong nước. Xác định A, B, C, D, E, X, Y, Z và viết các phương trình phản ứng (nếu có).

2) Oxit F (oxit của một kim loại lýỡng tính) có màu lục sẫm, khó nóng chảy, bền với nhiệt. F tác dụng ðýợc với K2S2O7 ở nhiệt ðộ cao, tạo thành dung dịch G có màu xanh lục. Nhỏ dung dịch KOH vào G ðến dý, thu ðýợc dung dịch H có màu xanh ve; thêm tiếp H2O2, ðýợc dung dịch I có màu vàng. Khi cho H2SO4 loãng vào I thì ðýợc dung dịch K có màu vàng da cam. Nếu cho dung dịch KOH vào K thì lại thu ðýợc dung dịch I. Xác ðịnh các chất F, G, H, I, K và viết phýõng trình ion thu gọn của các phản ứng xảy ra. Câu 5. (2,0 điểm) Phức chất Histidine là một amino axit thiết yếu trong cơ thể người, động vật và thực vật. Histidine có công thức cấu tạo như sau: Trong dung dịch nước histidine tồn tại ở dạng ion lưỡng cực ( trung hòa điện) kí hiệu là HA. Còn ở dạng proton hóa, histidine được coi như một axit 3 lần axit (được kí hiệu là H3A2-) có các hằng số phân li axit tương ứng: pKai = 1,82; 6,00 và 9,17. 1) Dung dịch X thu được do trộn 10,0 mL dung dịch HA 0,020M và 10,0 mL dung dịch HClO4 0,048M. Tính pH của dung dịch X. 2) Trộn 20,0mL dung dịch X với 20,0 mL dung dịch Cu2+ 0,010M rồi pha loãng bằng nước cất đến 50,0 mL, thu được dung dịch Y. Tính phần trăm ion Cu2+ tạo phức với histidinetrong dung dịch Y 3) Mặt khác, khi trộn 20,0 mL dung dịch X với 20,0 mL dung dịch Cu2+ 0,010M thêm từ từ cho đến hết 1,00 mL dung dịch NH3 0,680 M và pha loãng bằng nước cất đến 50,0 mL, thu được dung dịch Z. Chỉ ra vai trò của NH3 trong quá trình tạo phức của Cu2+ với histidine trong thí nghiệm trên. Cho biết : pKa(NH4 +) = 9,24; β(Cu(NH3)4 2+) = 1011,75; pKs(Cu(OH)2) = 19,8; pKw = 14,00. Cu2+ + H2O ⇌ Cu(OH)+ + H+ 18,01 2 2+2 10 Cu+2ACuA β = ⇌ β = 10−8,0; Ion Cu2+ và Histidine có thể tạo phức bền như sau: 2 CuACuA +−+ + ⇌ 10,11 1 10β = 2 22 CuACuA +− + ⇌ 18,01 2 10β =

Câu 6 (2,0 điểm) Đại cương hữu cơ 1) Xếp các hợp chất sau theo trình tự tăng dần tính bazơ 2) Vẽ công thức cấu trúc của các đồng phân ứng với 2,8-dibrom-5-clo-2,7đien 3) Vẽ các cấu dạng của cis-1-isopropyl-2-methylcyclohexane và cho biết cấu dạng nào bền hơn. Câu 7. (2,0 điểm) Cơ chế phản ứng 1) Đề xuất cơ chế cho các phản ứng sau: 2) Hãy chỉ ra cơ chế phản ứng và sản phẩm cuối của phản ứng cộng Br2 (1:1) với những chất sau: a) Acid maleic (1). b) Acid fumaric (2). c)bBut-2-inecc(3). Câu 8. (2,0 điểm) Sơ đồ tổng hợp hữu cơ 1) Hợp chất 2,2,4-trimethylpentane (A) được sản xuất với quy mô lớn bằng phương pháp tổng hợp xúc tác từ C4H8 (X) với C4H10 (Y). A cũng có thể được điều chế từ X theo hai bước: thứ nhất, khi có xúc tác acid vô cơ, X tạo thành Z và Q ; thứ hai, hydro hoá Q và Z. a. Viết các phương trình phản ứng để minh họa và tên các hợp chất X, Y, Z, Q theo danh pháp IUPAC. b. Ozone phân Z và Q sẽ tạo thành 4 hợp chất, trong đó có acetone và formaldehyde, trình bày cơ chế. 2) Từ benzene và các tác nhân không chứa vòng thõm, hãy ðề xuất sõ ðồ có ðủ ðiều kiện phản ứng tổng hợp hợp chất sau:

Câu 9 (2,0 điểm) Tổng hợp và xác định cấu trúc chất hữu cơ Đề xuất các điều chế: 1) Meso-C4H8D2 từ trans-but-2-ene và các tác nhân cần thiết khác. 2) Meso-hexanediol-3,4 từ acetylene, ethyl bromide và các tác nhân cần thiết Bikhác. ểu diễn công thức phối cảnh và công thức chiếu Fischer của các sản phẩm (đặt mạch cacbon nằm thẳng đứng). Kí hiệu các tâm bất đối xứng trong sản phẩm theo quy ước R, S. Câu 10. (2,0 điểm) Hợp chất thiên nhiên Phân tích 1 terpen A có trong tinh dầu chanh thu được kết quả sau: C chiếm 88,235% về khối lượng, khối lượng phân tử của A là 136 (đvC). A có khả năng làm mất màu dung dịch Br2 , tác dụng với Br2 theo tỉ lệ mol 1:2, không tác dụng với AgNO3/NH3. Ozon phân hoàn toàn A tạo ra 2 sản phẩm hữu cơ: anđehitfomic và 3-axetyl-6-on heptanal. Xác định công thức cấu tạo của A. Xác định số đồng phân lập thể. Người ra đề: Hà Thị Việt Hà

TRÝỜNGTHPTCHUYÊNCAOB ẰNG ÐÁPÁNÐỀ THIÐỀ XUẤTCHỌNHỌCSINHGIỎI CÁCTRÝỜNGTHPTCHUYÊNKHUVỰC DUYÊNHẢIVÀÐỒNGBẰNGBẮCBỘ NÃM2022 ÐỀ THIMÔN:HÓAHỌCLỚP11 Thời gian: 180 phút (Không kể thời gian giao ðề) (Ðápángồm13trang) Câu1.(2 điểm) Tốc độ phản ứng Động học của phản ứng R-Br + H2O 2 221 11 ln() kEa kRTT =−− → ROH +HBr được nghiên cứu bằng cách theo dõi biến thiên nồng độ R-Br theo thời gian ở 2 nhiệt độ khác nhau. Kết quả thu được như sau t (phút) 0 8 24 32 50 CR Br (M) ở 20oC 0,32 0,27 0,19 0,16 0,11 CR Br (M) ở 40oC 0,32 0,16 0,04 0,02 0,005 1) Xác định bậc của phản ứng trong điều kiện nghiên cứu 2) Tính hằng số tốc độcủa phản ứng ở 20oC và 40oC 3) Tính hệ số nhiệt độ của tốc độ phản ứng. 4) Tính năng lượng hoạt hóa của phản ứng. Hướng dẫn giải: Ý Nộidung Điểm 1 Giả sử phản ứngbậc1 1 ln Co k tC = • Ở 20oC: 1 1 10,32ln0,0212 80,27 kphut == 1 2 10,32ln0,0217 240,19 kphut == 1 3 10,32ln0,0216 320,16 kphut == 1 4 10,32ln0,0213 500,11 kphut == 1234 kkkk ≈≈≈  Giả sử ðúng Phản ứng ở 20oC là phản ứng bậc 1 • Ở 40oC: Từ bảng dữ liệu ta thấy Co = 0,32  C = 0,16  t1/2 = 8 phút Co = 0,04  C = 0,02  t1/2 = 8 phút t1/2 không phụ thuộc vào Co nên phản ứng bậc 1 0,251,0 2 Phản ứng bậc 1 1/2 ln2 k t =

1 20 ln2 0,0216 32o C kphut == 1 40 ln2 0,0866 8o C kphut == 0,25 3 Ta có qui tắc gần đúng Van’Hoff 10n Tn T k kγ + = 2 40 20 k kγ =  0,0866 2 0,0216γ =≈ 0,25 4 TacóphươngtrìnhArenius 2 121 11 ln() kEa kRTT =−− Ea = 52938,44 (J/mol) = 52,93844 (KJ/mol) 0,25 Câu2.(2,0 điểm) Cânbằngvàphản ứngtrongdungdịch,pin điện, điệnphân. Acquy chì – axit được mô tả bởi sơ đồ: 42442 ()()()()()() PbrPbSOrHSOaqPbSOrPbOrPbr 6) Chỉ ra anot, catot trong quá trình nạp điện cho acquy và trong quá trình acquy xả điện. 7) Viết PTHH của các phản ứng xảy ra tại các điện cực và phản ứng tổng quát trong quá trình acquy xả điện và trong quá trình nạp điện cho acquy. 8) Biết PbSO4 có Ksp = 1,6.10-8 và giản đồ Latimer của chì trong môi trường axit nhưa.sau: 1,4540,126 2 2 VV PbOPbPb + →→ b. Tính toán và cho biết Pb2+ có thể tự oxi hóa khử trong môi trường axit hay không? 9) Tính thế mạch hở tiêu chuẩn ở 25oC của một pin gavani trong acqui khi nó được nạp đầy điện 10)Tính thế mạch hở ở 25oC của một pin gavani trong acqui khi nó được nạp đầy điện nếu dung dịch axit có nồng độ 4,5M. Hướng dẫn giải: Ý Nộidung Điểm 1 42442 ()()()()()() PbrPbSOrHSOaqPbSOrPbOrPbr + Trong quá trình xả ðiện: Anot là ðiện cực Pb(r) ,PbSO4 (r) Catot là ðiện cực Pb(r), PbO2 (r) + Trong quá trình acquy nạp ðiện: Anot là ðiện cực Pb(r), PbO2 (r) Catot là ðiện cực Pb(r) ,PbSO4 (r) 0,25 2 Viết phương trình phản ứng trong quá trình acquy xả điện

2 4 2 4 4 / / / / 2 44 ()/ ()32 422 4 2ln2 ln 2 2() 2 0,05921 lg 2[][] o o PbSOPb PbPb oo PbSOPb PbPb oo bPbSOPb ooo b o FERTKsFE RT EKsE F PbSOePbSOb GFE GGG EE HSO + + +− −=−− =+ +→+ ∆=− ∆=∆+∆ =− 2 44 ()2 xa nap PbSOPbSOe → −++ ← 2 2442 ()42222 xa nap PbOHSOePbSOHO +− → +++++ ← PTTQ: 2 2442 4222 xa nap PbOPbHSOePbSOHO +− → +++++ ← 0,250,25 3 Xét phản ứng : 2 4224242 PbSOHOPbOPbHSO+−+→+++ (*) oG∆ 2 2 2422 PbOHePbHO ++ ++→+ (1) 2 2 1 / 2 oo PbOPb GFE +∆=− Pb2+ + 2e → Pb (2) 22 / 2 oo PbPb GFE +∆=− 22 44 PbSOPbSO+− +⇌ (3) 3 lno GRTKsp∆=− (*) là tổ hợp 2x(3) +(2) – (1) oG∆ = 393888,19(J) = 393,888 (KJ) >0 nên Pb2+ không thể tự oxi hóa khử trong môi trýờng axit. 0,250,25 4 2 2442 422() xa nap PbOHSOePbSOHOa +− → ++++ ← 24 /2 oo aPbOPbSOGFE∆=− (a) = (1) –(3) 0 13 oo a GGG ∆=∆−∆ 2 24 2 / / 22ln oo PbOPbSO PbOPbs FEFERTK + −=−+ 2 24 2 / / ln 2 oo PbOPbSO PbOPb RT EEKs F + =− = 1,684(V) 2 442() PbSOePbSOb +→+ 4 ()/ 2 oo bPbSOPbGFE∆=− (b) = (3) +(2) ()32 ooo b GGG ∆=∆+∆ 2 4 / / 2ln2 o o PbSOPb PbPb FERTKsFE + −=−− 2 4 / / ln 2 oo PbSOPb PbPb RT EKsE F +=+ = -0,356(V) 244 // ooo PbOPbSOPbSOPbEEE =− = 1,684 –(-0,356) = 2,04V 0,250,25 5 422 4 0,05921 lg 2[][] oEE HSO+− =− =2,912 (V) 0,25 Câu3(2,0 điểm) Nhiệt độnghọcvàcânbằnghóahọc OCA, một công ty chuyên sản xuất H2O2 ở Áo theo phương pháp Antraquinon. Điều quan trọng nhất của phương pháp này là việc điều chế hydro, nó được điều chế ở dạng rất tinh khiết từ metan và hơi nước (qúa trình cân bằng). Trong qúa trình này cacbon oxit được sinh ra và có khả năng phản ứng với nước ở bước tiếp theo.

3) Viết các phương trình phản ứng xảy ra và cân bằng với trạng thái vật chất đúng của các chất. Phản ứng giữa metan và hơi nước là phản ứng thuận nghịch. 4) Sử dụng các số liệu sau để tính Kp (đơn vị áp suất: bar) . Cho biết ở 100oC nước ở trạng thái hơi. Giả sử ∆Ho và ∆So không đổi ở khoảng nhiệt độ từ 298K đến 373K. H2 H2O CO CH4 ∆Ho(kJ/mol) 0 242 111 75 ∆So(kJ/mol.K) 0,131 0,189 0,198 0,186 Cp (kJ/mol.K) 0,029 0,034 0,029 0,036 Bình phản ứng (V = 3,00m3) chứa 6,40kg CH4, 7,20kg H2O, 11,2kg CO và 2,4kg H2 ở 100oC. 3) Tính nồng độ mol phần của từng khí. 4) Tính áp suất chung và áp suất riêng phần của từng khí. 5) Xác định hằng số cân bằng vào lúc này và cho biết chiều dịch chuyển cân bằng của phản ứng. Metan và nước đem trộn với tỉ lệ 1:1 và cho vào một bình kín, đun nóng bình đến 900oC. Với sự có mặt của chất xúc tác phản ứng đạt nhanh đến cân bằng với áp suất chung là 20bar. 6) Tính Kp ở 900oC (Giả sử Cp không phụ thuộc nhiệt độ) 7) Tính % CH4 đã phản ứng. Hướng dẫn giải: Ý Nộidung Điểm 1 Phýõng trình phản ứng CH4(k) + H2O(h) → CO(k) + 3 H2(k) H2O(h) + CO(k) → H2(k) + CO2(k) 0,25 2 Kp ở 100oC: ∆RH0298 = -111 + 242 + 75 = 206 kJ = ∆RH0373 ∆RS0298 = 3·0.131 + 0.198 – 0.186 – 0.189 = 0.216 kJ/K = ∆RS0373 ∆RG0298 = 206 – 373·0.216 = 125,432 kJ 314373 125.10 P 3 Ke = KP = 2.74·10-18 (p: bar) 0,250,25 3 Phần mol của từng khí: n(H2) = 1200 mol; n(CH4) = n(H2O) = n(CO) = 400 mol; Σn = 2400 mol x(H2) = 0.5 mol; n(CH4) = n(H2O) = n(CO) = 0.167 mol 0,25 4 Áp suất của hệ và áp suất riêng phần của từng khí: 6 G 4810 3 24008.314373 V nRT p ===⋅ pG = 24.8 bar 0,25

p(H2) = 12.4 bar; p(CH4) = p(H2O) = p(CO) = 4.14 bar 5 Chiều phản ứng và hằng số cân bằng ở ðiều kiện này: 0 lnRRGGRTQ∆=∆+⋅  K GRTlnQR ∆= 460 4.14 Q1214 2 3 = ⋅ = 5 18 460.5 8.314373ln1.4410 2.7410RG ∆=⋅=⋅ J Cân bằng chuyển dịch sang bên trái 0,25 6 KP ở 900°C: ∆CP = 3·0.029 + 0.029 – 0.036 – 0.034 = 0.046 kJ/K ∆RH01173 = 206 + (1173 – 298) ·0.046 = 246.25 kJ ∆RS01173 = 0.216 +0.046 ln(1173/298) = 0.279 kJ/K ∆RG01173 = 246.25 – 1173·0,279 = -81,017 kJ 3141173 81017 P Ke = KP = 2,52 (p : bar) 0,25 7 Lýợng chuyển hóa của metan: CH4 H2O H2 CO n(trýớc) 1 1 0 0 ∆n -x -x +3x +x neq 1-x 1-x 3x x xeq 22x 1x + 22x 1x + 22x 3x + 22x x + peq 20 22x 1x ⋅ + 20 22x 1x + 20 22x 3x + 20 22x x + CH).H(p)O KCO).p) 42 2 3 P = 344 3222 2 4054(3)(22)(22)2027400 (22)(22)(1)(1)20(22)(1) 63.675.220 (22)(1) xxxx xxxxxx x xx ++⋅ == ++−−+− ⋅ = +− 3.1835·(2+2x-2x-2x2) = 5.2 x2

6.367 – 6.367x2 = 5.2x2  x2 = 0.5504  x = 0.7419 Metan ðã chuyển hóa 74,2%. 0,25 Câu4. (2,0 điểm) Hóanguyêntố 1) Cho kim loại X và các phi kim Y,Z. Ở điều kiện thường, Y tồn tại ở thể rắn, Z tồn tại ở dạng khí. Nung hỗn hợp gồm X và Y ở nhiệt độ cao, thu được hợp chất A. Khi A bị thuỷ phân thì tạo ra kết tủa B và một chất khí nặng hơn không khí. B tan trong NaOH dư tạo thành dung dịch C; thêm NH4Cl rắn vào dung dịch C và đun nóng, kết tủa B xuất hiện trở lại. X tác dụng với Z tạo thành chất rắn D màu trắng có độ cứng rất lớn. D cũng được tạo ra khi nung B ở nhiệt độ cao. X, Y và Z tạo thành muối E tan trong nước. Xác định A, B, C, D,E,X, Y, Z và viết các phương trình phản ứng (nếu có). 2) Oxit F (oxit của một kim loại lýỡng tính) có màu lục sẫm, khó nóng chảy, bền với nhiệt. F tác dụng ðýợc với K2S2O7 ở nhiệt ðộ cao, tạo thành dung dịch G có màu xanh lục. Nhỏ dung dịch KOH vào G ðến dý, thu ðýợc dung dịch H có màu xanh ve; thêm tiếp H2O2, ðýợc dung dịch I có màu vàng. Khi cho H2SO4 loãng vào I thì ðýợc dung dịch K có màu vàng da cam. Nếu cho dung dịch KOH vào K thì lại thu ðýợc dung dịch I. Xác ðịnh các chất F, G, H, I, K và viết phýõng trình ion thu gọn của các phản ứng xảy ra. Ý Nộidung Điểm 1 X: Al; Y: S; Z: O2. A: Al2S3; B: Al(OH)3; C: NaAlO2; D: Al2O3; E: Al2(SO4)3. Các phýõng trình phản ứng: 2Al + 3S ot → Al2S3 Al2S3 + 6H2O → 2Al(OH)3↓ + 3H2S Al(OH)3 + NaOH → NaAlO2 + 2H2O NaAlO2 + NH4Cl + H2O ot → Al(OH)3↓ + NaCl + NH3 4Al + 3O2 ot → 2Al2O3 2Al(OH)3 ot → Al2O3 + 3H2O 0,250,250,250,25 2 Trong các oxit kim loại lýỡng tính, Cr2O3 có màu lục sẫm, khó nóng chảy, bền với nhiệt. Vậy F là Cr2O3, G là Cr2(SO4)3, H là KCrO2, I là K2CrO4 và K là K2Cr2O7 Cr2O3 + 3 2 27SO → 2Cr3+ + 6 2 4SO 0,25

Cr3+ + 4OH → 2CrO + 2H2O 2 2CrO + 3H2O2 + 2 OH → 2 2 4CrO + 4H2O 2 2 4CrO + 2H+ → 2 27CrO + H2O 2 27CrO + 2OH → 2 2 4CrO + H2O 0,75 Câu5. (2,0 điểm) Phứcchất Histidine là một amino axit thiết yếu trong cơ thể người, động vật và thực vật. Histidine có công thức cấu tạo như sau: Trong dung dịch nước histidine tồn tại ở dạng ion lưỡng cực ( trung hòa điện) kí hiệu là HA. Còn ở dạng proton hóa, histidine được coi như một axit 3 lần axit (được kí hiệu là H3A2-) có các hằng số phân li axit tương ứng: pKai = 1,82; 6,00 và 9,17. 4) Dung dịch X thu được do trộn 10,0 mL dung dịch HA 0,020M và 10,0 mL dung dịch HClO4 0,048M. Tính pH của dung dịch X. 5) Trộn 20,0mL dung dịch X với 20,0 mL dung dịch Cu2+ 0,010M rồi pha loãng bằng nước cất đến 50,0 mL, thu được dung dịch Y. Tính phần trăm ion Cu2+ tạo phức với histidinetrong dung dịch Y 6) Mặt khác, khi trộn 20,0 mL dung dịch X với 20,0 mL dung dịch Cu2+ 0,010M thêm từ từ cho đến hết 1,00 mL dung dịch NH3 0,680 M và pha loãng bằng nước cất đến 50,0 mL, thu được dung dịch Z. Chỉ ra vai trò của NH3 trong quá trình tạo phức của Cu2+ với histidine trong thí nghiệm trên. Cho biết : pKa(NH4+) = 9,24; β(Cu(NH3)42+) = 1011,75; pKs(Cu(OH)2) = 19,8; pKw = 14,00. Cu2+ + H2O ⇌ Cu(OH)+ + H+ 18,01 2 2+2 10 Cu+2ACuA β = ⇌ β = 10−8,0; Ion Cu2+ và Histidine có thể tạo phức bền như sau: 2 CuACuA +−+ + ⇌ 10,11 1 10β = 2 22 CuACuA +− + ⇌ 18,01 2 10β = Hướng dẫn giải: Ý Nộidung Điểm 1 Thành phần giới hạn của dung dịch X H3A2-: 0,01M H+ : 0,004M Vì Ka1 >>Ka2>>Ka3 nên bỏ qua sự phân li nấc 2 và 3 Vì Ka1. C H3A2- >>KW nên bỏ qua sự phân li của H2O 2 32 HAHHA +++ +⇌ Ka1 = 10-1,82 Bð 0,01 0,0004 M CB 0,01 x 0,0004+x x

x = 6,0174.10-3 M [H+] = 0,01M  pH = 2 0,5 2 Thành phần giới hạn của dd Y: H3A2+ : 4.10-3M H+ : 1,6.10-3 M Cu2+ : 4.10-3 M Các CB: 2 32 2 22 3 22 32 22 3 6,88 4112.3 215,97 5212.3 2 2 *8 2 3 26 3 ..10 .(.)10 10 aaa aaa HAHHA HAHHA HAHHA CuHACuAH CuHACuAH CuHACuAH KKKK KKKK CuHOCuOHH HOHOH β β β +++ ++ ++++ +++ ++++ +++ +− + + + ++ ++ ++ == == ++ = + ⇌ ⇌ ⇌ ⇌ ⇌ ⇌ ⇌ ⇌ Ka1 (1) 2 HAHHA ++ +⇌ Ka2 (2) HAHHA +⇌ Ka3 (3) 22 3 3 CuHACuAH ++++ ++ ⇌ 6,88 4112.3..10 aaa KKKK β == (4) 22 32 26 CuHACuAH +++ ++ ⇌ 215,97 5212.3.(.)10 aaa KKKK β == (5) 2 2 CuHOCuOHH +++ ++ ⇌ *8 10β = (6) 2 HOHOH+− +⇌ KW= 10 -14 (7) Giả sử Cu2+ và H3A2+ tạo phức không ðáng kể Giả sử pH ðýợc quyết ðịnh bởi H3A2+: 4.10-3M và H+: 1,6.10-3 (M) Từ (1), (2), (3)  pH = 2,33 [Cu2+] = 4.10-3 (M) 3 123 32 1 26 1 2214 22 2,33 2 6 3 []4.10... [][][]4,905.10() [][][]4,55.10() 3[]6[]<<10() 4,905.10 4.10 aaa a KKK A hhK CuACuAM CuACuAM CuACuAM β β ++−− +−− +− = + == == + 3 123 32 1 []4.10...aaa a KKK A hhK = + = 9,52.10-14 26 1 [][][]4,905.10() CuACuAM β ++−− == 2214 22 [][][]4,55.10() CuACuAM β +−− == 3 2 [][]<<4.10() CuACuAM +− +  giả sử hợp lý 0,250,250,250,25

2,33 2 3[]6[]<<10() CuACuAM +− +  giả sử hợp lý %Cu2+ tạo phức = 6 3 4,905.10 4.10 .100% = 0,122% 0,25 3 Dung dịch Z: Thành phần giới hạn H3A2+ : 4.10-3M H+ : 1,6.10-3 M Cu2+ : 4.10-3 M NH3 : 0,0136MH + + NH3  NH4+ (K>>1) (8) Sau pư: 0,012 1,6.10-3 2 3342 HANHNHHA +++ +→+ (9) Sau pý: 8.10-3 5,6.10-3 234 HANHNHHA ++ +→+ (10) 4.10-3 9,6.10-3 4.10-3 2 34 CuHANHNHCuA +++ ++→+ (11) 0,0136 4.10-3 Sau phản ứng TPGH:CuA+ :4.10-3 NH4+: 0,0136M 0,25 Câu6. (2,0 điểm) Đạicươnghữucơ 4) Xếp các hợp chất sau theo trình tự tăng dần tính base 5) Vẽ công thức cấu trúc của các ðồng phân ứng với 2,8-dibrom-5-clo-2,7-ðien 6) Vẽ các cấu dạng của cis-1-isopropyl-2-methylcyclohexane và cho biết cấu dạng nào bền hõn. Ý Nộidung Điểm 1 Do hiệu ứng cảm ứng nên A và D có tính base cao hõn B và C; C có tính base lớn hõn B. Do hiệu ứng không gian của D lớn hõn A nên khả nãng phản ứng và solvat hoá của A với H+ cao hõn D. Bởi vậy, tính base tãng theo chiều sau: B < C < D < A 0,5 2 0,5

0,5 3 0,5 Câu7(2,0 điểm)Cơ chế phản ứng 2) Đề xuất cơ chế cho các phản ứng sau: 2) Hãy chỉ ra cơ chế phản ứng và sản phẩm cuối của phản ứng cộng Br2 (1:1) với những chất sau: a) Acid maleic (1). b) Acid fumaric (2). c)bBut-2-inecc(3). Ý Nộidung Điểm 1 0,5

2 Cõ chế cộng Bromine vào nối ðôi C=C xảy ra theo cõ chế cộng hợp electronphile AE, gồm 2 býớc: Trýờng hợp a, b xảy ra theo cõ chế AE nêu trên. a) Phản ứng tạo thành hỗn hợp raxemic gồm 2 acid: acid (2R)(3R)–2,3–dibromobutanedioic và acid (2S)(3S)–2,3–dibromobutanedioic b) Cả 4 cách tấn công ðều cho 1 sản phẩm duy nhất là acid (2R)(3S)–2,3–c)dibromobutanedioicC ũng týõng tự cõ chế AE nhýng sản phẩm là: (E)–2,3–dibromobut–2–ene. 0,250,50,50,25 Câu8. (2,0 điểm)Sơ đồ tổnghợphữucơ 1) Hợp chất 2,2,4-trimethylpentane (A) được sản xuất với quy mô lớn bằng phương pháp tổng hợp xúc tác từ C4H8 (X) với C4H10 (Y). A cũng có thể được điều chế từ X theo hai bước: thứ nhất, khi có xúc tác acid vô cơ, X tạo thành Z và Q ; thứ hai, hydro hoá Q và Z. a. Viết các phương trình phản ứng để minh họa và tên các hợp chất X, Y, Z, Q theo danh pháp IUPAC. b. Ozone phân Z và Q sẽ tạo thành 4 hợp chất, trong đó có acetone và formaldehyde, trình bày cơ chế. 2) Từ benzene và các tác nhân không chứa vòng thõm, hãy ðề xuất sõ ðồ có ðủ ðiều kiện phản ứng tổng hợp hợp chất sau: Ý Nộidung Điểm 1 Bước thứ nhất gồm tương tác giữa hai phân tử trong môi trường axit: 0,50,5

+ H2 + H2 H3C CHC3 CHH CCH3 CH3 CH2 Ni , to H H CHH3C CHC3 CH CH3 CH3 C CH3H3C CHC3 CH CH3 CH3 C 0,5 2 0,5 Câu9(2,0 điểm)Tổnghợpvàxác địnhcấutrúcchấthữucơ Đề xuất các điều chế: 3) Meso-C4H8D2 từ trans-but-2-ene và các tác nhân cần thiết khác. 4) Meso-hexanediol-3,4 từ acetylene, ethyl bromide và các tác nhân cần thiết khác. Biểu diễn công thức phối cảnh và công thức chiếu Fischer của các sản phẩm (đặt mạch cacbon nằm thẳng đứng). Kí hiệu các tâm bất đối xứng trong sản phẩm theo quy ước R, S. Ý Nộidung Điểm 1 1,0

2 1,0 Câu10. (2,0 điểm)Hợpchấtthiênnhiên Phân tích 1 terpen A có trong tinh dầu chanh thu được kết quả sau: C chiếm 88,235% về khối lượng, khối lượng phân tử của A là 136 (đvC). A có khả năng làm mất màu dung dịch Br2 , tác dụng với Br2 theo tỉ lệ mol 1:2, không tác dụng với AgNO3/NH3. Ozon phân hoàn toàn A tạo ra 2 sản phẩm hữu cơ: anđehitfomic và 3axetyl-6-on heptanal. Xác định công thức cấu tạo của A. Xác định số đồng phân lập thể Ý Nộidung Điểm Đặt A: CxHy x : y = (88,235:12) : 11,765 = 10 : 16  CT thực nghiệm (C10H16)n MA = 136  CTPT A : C10H16 (số lk π + số vòng = 3) A tác dụng Br2 theo tỉ lệ mol 1:2  A có 2 liên kết π và 1 vòng A không tác dụng với AgNO3/NH3  A không có nối ba đầu mạchOzon phân hoàn toàn A tạo ra 2 sản phẩm hữu cơ : anđehitfomic và 3-axetyl-6-on heptanal  CTCT A: CH3 * A có 1 C* nên số đồng phân lập thể là 2 0,250,250,250,250,50,5

--------------------- HẾT

HỘI CÁC TRƯỜNG CHUYÊN VÙNG DUYÊN HẢI VÀ ĐỒNG BẰNG BẮC BỘ ĐỀ ĐỀ XUẤT ĐỀ THI CHỌN HỌC SINH GIỎI MÔN HÓA HỌC - KHỐI 11 Thời gian làm bài: 180 phút (Đề này có 10 câu; gồm 04 trang) Câu 1 (2,0 điểm) Tốc độ phản ứng – cân bằng hóa học Phản ứng khử phức của Fe3+ ([FeL6]3+) thành phức của Fe2+ ([FeL6]2+) bằng axit ascobic (H2Asc) xảy ra theo phản ứng: 2[FeL6]3+ + H2Asc → 2[FeL6]2+ + Asc + 2H+ (*)Cơ chế của phản ứng được đề nghị như sau: H2Asc 1 1 k k → ← H+ + HAsc (1) và (-1) [FeL6]3+ + HAsc 2k → [FeL6]2+ + HAsc• (2) HAsc• 3 3 k k → ← H+ + Asc• (3) và (-3) [FeL6]3+ + Asc• 4k → [FeL6]2+ + Asc (4) (1) và (-1) là các phản ứng nhanh so với các phản ứng còn lại. 1. Tìm biểu thức tính hằng số cân bằng K1 (của các phản ứng (1) và (-1)) theo k1 và k-1. 2. Chỉ ra các tiểu phân trung gian phản ứng trong cơ chế trên và cho biết có thể áp dụng nguyên lí nồng độ dừng cho những tiểu phân nào? Tại sao? 3. Tốc độ phản ứng (*) được định nghĩa là tốc độ tạo thành sản phẩm Asc. Viết biểu thức định nghĩa tốc độ của phản ứng. Tìm biểu thức của tốc độ phản ứng từ cơ chế và cho biết phản ứng có bậc động học hay không? 4. Trong một số thí nghiệm người ta thấy tốc độ phản ứng có dạng: 3 6 vk.[FeL].[HAsc] + = . Hãy cho biết các điều kiện thí nghiệm để thu được biểu thức tốc độ như trên. Cho biết biểu thức của k và đơn vị của k (hệ SI) trong trường hợp này. Câu 2 (2,0 điểm) Pin điện – điện phân 1. Đồng có thể tạo thành các ion Cu+ và Cu2+ với thế chuẩn Eo(Cu2+/Cu+) = 0,153V; Eo(Cu+/Cu) = 0,521V. Những thế này có thể được biểu diễn bởi giản đồ Latimer: a) Sử dụng giản đồ này để tính x. b) Cho biết Cu+ bền hay bị phân hủy? Giải thích bằng tính toán. Đưa ra một quy tắc đơn giản dựa trên giản đồ Latimer nhờ đó bạn có thể nhận ra sự phân hủy diễn ra hay không.

Cho dù Cu+ có bền hay không, bạn có thể tính được hằng số cân bằng bất kể phản ứng không tự diễn biến. c) Tính hằng số cân bằng của sự phân hủy Cu+ . Bằng cách sử dụng CuI (với c(I ) = 1 mol/L) thay cho Cu+ trong giản đồ Latimer 0,147 CuICu → Hãy tìm: d) Tính tích số tan Ksp của CuI. Đối với phản ứng CuI → Cu+ + I bạn có thể tính ∆Go = - RTlnKsp. e) Tìm ∆Go của quá trình khử của Cu2+ bởi I để tạo thành CuI: Cu2+ + I + e → CuI (sử dụng trong trường hợp này Ksp = 4.10-12) f) Xác định hằng số cân bằng của phản ứng: 2Cu2+ + 4I → 2CuI + I2 Eo(I2/2I ) = 0,535 V. 2. Urani cũng có thể tạo ra các ion với các số oxi hóa khác nhau: UO2 2+ + 4H+ + 2e → U4+ + 2H2O E1 o = +0,32V UO2 2+ + 4H+ + 6e → U + 2H2O E2 o = -0,82 V UO2 2+ + e → UO2 + E3 o = + 0,06 V U4+ + e → U3+ E5o = -0,63 V g) Vẽ giản đồ Latimer và sử dụng nó để xác định Eo(U3+/U). Tiểu phân nào trong các tiểu phân trên sẽ bị phân hủy? Để tìm câu trả lời, bạn có thể sử dụng quy tắc ở phần b. Viết phương trình phản ứng. h) Tính hằng số cân bằng của sự phân hủy U3+ . Câu 3 (2,0 điểm) Nhiệt động học và cân bằng hóa học 1. Entanpi hình thành chuẩn của metallocene bis(benzen) crom được đo trong nhiệt lượng kế. Phản ứng : 662(r)(r)66(k) r(C)r2CH CHC→+ có ∆U° (583K) = 8,0 kJ.mol-1 . Tìm entanpi tương ứng của phản ứng này và tính entanpi hình thành chuẩn của hợp chất metallocene tại 583K. Nhiệt dung mol đẳng áp của benzen là 136,1 J.K-1.mol-1 ở pha lỏng và 81,67 J.K 1.mol-1 ở pha khí. Cho : C°p (H2,k) = 28,824 J.K-1.mol-1; C°p (graphit, r) = 8,527 J.K-1.mol-1 . 66CH66 66 0-10-1 si,CH,298K ôh,CH h=358K;ΔH=49,0kJ.mol;Δ TH=30,8kJ.mol 2. Nitơ đioxit là một trong số các oxit của nitơ được tìm thấy ở trong khí quyển. Nó có thể đime hóa cho N2O4 (k) : 2NO2(k) ⇌ N2O4(k) a. Tại 298K, ∆G° tạo thành của N2O4(k) là 98,28 kJ, còn của NO2(k) là 51,84 kJ. Bắt đầu với 1,0 mol N2O4 (k) tại 1,0 atm và 298K, tính % N2O4 bị phân hủy nếu áp suất tổng không đổi tại 1,0 atm và nhiệt độ được giữ nguyên 298K. b. Nếu ∆H° của phản ứng N2O4(k) ⇌ 2NO2 (k) là 58,03 kJ, tại nhiệt độ nào % N2O4 phân hủy sẽ gấp đôi ở phần 1.

Câu 4 (2,0 điểm): Nhóm VA, IVA và kim loại nhóm IA, IIA, Al, Cr, Mn, Fe Kim loại A hình thành nhiều dạng biến đổi. Sự chuyển hóa giữa chúng có thể được cho dưới dạng sơ đồ sau đây, trong đó hằng số mạng và khối lượng riêng được kèm theo: 7699101400 3 ()0,286?0,3560,293 (/)7,937,618,23? ooo CCC AAAA anm dgcm αβγδ −→−→−→− Đun nóng A trong dòng khí B ở 150oC và 15 atm, sinh ra chất lỏng dễ bay hơi màu vàng C. C không tan trong nước và bị phân hủy ở 300oC. Tính chất hóa học của C có thể được mô tả bởi các phản ứng sau đây: C + 2K → D + B C + 4KOH → D + E + 2H2O C + I2 → F + B 1. Xác định kim loại A và tìm các giá trị tương ứng với dấu “?” ở trên nếu α, β, δ là các dạng biến đổi với tế bào lập phương tâm khối. Dạng biến đổi γ có cấu trúc tế bào là gì? 2. Tìm tất cả các hợp chất, nếu biết rằng E và D là muối và phân tử B, ngược lại với phân tử G2 có cùng số electron, có momen lưỡng cực μ = 0,04.10-29 C.m (qe = 1,602.10-19 C). 3. Mô tả cấu trúc phân tử B bằng phương pháp oribtal phân tử (MO) và xác định điện tích trên các nguyên tử, nếu khoảng cách giữa các hạt nhân là 1,128 Ao 4. Cấu trúc của phân tử C là gì (chỉ rõ trạng thái lai hóa và oxi hóa của tất cả các nguyên tử, cấu hình electron và số lượng electron độc thân của nguyên tử trung tâm, hình dạng vật lí của phân tử)? Momen lưỡng cực của phân tử C là gì? Câu 5 (2,0 điểm): Phức chất – Trắc quang Mangan (M = 54,94) và crom (M = 52) trong thép có thể được xác định cùng lúc bằng phổ quang điện tử. Các ion pemanganat và đicromat trong axit sunfuric (c = 1 mol/L) hấp thụ ở 440 nm và 545 nm. Tại những bước sóng này, hệ số hấp thụ mol (molar extinction coefficient) của MnO4 lần lượt là ε1 = 95 L.mol-1.cm-1 và ε2 = 2350 L.mol-1.cm-1 và của Cr2O7 2- lần lượt là ε3 = 370 L.mol-1.cm-1 và ε4 = 11 L.mol-1.cm-1 . Một mẫu 1,374 g thép được hòa tan, sau đó Mn và Cr trong dung dịch thu được cho oxi hóa thành MnO4 và Cr2O7 2-. Dung dịch được pha loãng với axit sunfuric (c = 1 mol/L) đến 100,0 mL. Độ truyền qua của dung dịch này được đo với một lọ 1,0 cm (độ dày của dung dịch) và với axit sunfuric (c=1,0 mol/L) làm đối chứng. Độ truyền qua quan sát được tại 440 nm và 545 nm lần lượt là 0,355 (hoặc là 35,5%) và 0,166 (hoặc 16,6%).

Giả sử rằng định luật Beer đúng cho mỗi ion và độ hấp thụ do một ion này không bị ảnh hưởng bởi sự có mặt của ion còn lại. Các ion Fe3+ được xử lí bằng phương pháp thích hợp để chúng không ảnh hưởng đến kết quả đo. 1. Tính phần trăm khối lượng của mangan và crom trong mẫu thép từ những dữ kiện này (kết quả lấy 2 số sau dấu phẩy). Coban(II) tạo thành phức đơn nhân [CoL3 2+] với phối tử hữu cơ L. Phức này hấp thụ mạnh ở 560 nm. Cả Co(II) và L nếu không hấp thụ tại bước sóng này. Hai dung dịch có thành phần sau đây: Dung dịch 1: c(Co(II)) = 1,00.10-5 mol/L và c(L) = 5,00.10-5 mol/L. Dung dịch 2: c(Co(II)) = 3,00.10-5 mol/L và c(L) = 8,00.10-5 mol/L. Độ hấp thụ của dung dịch 1 và dung dịch 2 ở 560 nm, đo được với lọ có độ dày dung dịch 1 cm, lần lượt là 0,305 và 0,630. Có thể giả sử rằng trong dung dịch 1 tất cả Co(II) được sử dụng vào sự tạo thành của phức. 2. Tính hằng số cho sự tạo thành của [CoL3 2+]. Câu 6 (2,0 điểm): Đại cương hữu cơ 1. Mercury (II) axetat là một tác nhân oxi hóa nhẹ nhàng có thể oxi hóa hai muối ammonium bậc bốn I và II để tạo thành cation iminium tương ứng Ia và IIa Một điều thú vị là tốc độ của phản ứng oxi hóa I nhanh gấp 13 lần so với tốc độc của phản ứng oxi hóa II. = 13. Giải thích kết quả này a)2. Mặc dù penicillin G có 2 nhóm amide nhưng có 1 nhóm hoạt động mạnh hơn nhiều so với nhóm còn lại. Nhóm nào hoạt động mạnh hơn? Tại sao? b) Hợp chất sau là một “superbase”. Vậy đâu là lý do cho tính base cao bất thường của nó?

a)3. Tại sao pKa của proton Ha trong 1-axetylxyclohexen cao hơn pKa của các proton Hb? b) Tại sao 5,5-đimetyl-1,3-xyclohexanđion chủ yếu tồn tại ở dạng enol nhưng 2,2đimetyl-1,3-xyclohexađion thì không? Câu 7 (2,0 điểm): Cơ chế phản ứng hóa học hữu cơ 1. Đề xuất cơ chế phản ứng 2. Hoàn thành cơ chế phản ứng sau

Câu 8 (2,0 điểm): Sơ đồ tổng hợp hữu cơ Xác định các chất trong dãy chuyển hóa sau Câu 9 (2,0 điểm): Xác định cấu trúc các chất hữu cơ (mô tả sơ đồ tổng hợp bằng lời dẫn) 1. Toluen (A) phản ứng nitro hóa với HNO3/H2SO4 thu được hỗn hợp các đồng phân Bx. Từ hỗn hợp này, sản phẩm para B được tách riêng ra. Cho một nửa lượng chất B phản ứng với một đương lượng sunfuryl clorua cùng một lượng nhỏ azo bisisobutylnitrin (AIBN) làm chất tạo gốc thu được hợp chất C có khối lượng phân tử 171,5 đv.C. Chất C được chuyển hóa với triphenyl photphin cho muối photphonium D. Kế tiếp, cho D phản ứng với n-BuLi thu được chất ylid E. Một nửa lượng chất B còn lại được chuyển hóa với hai đương lượng sunfuryl clorua cùng một lượng nhỏ AIBN thu được hợp chất F có khối lượng phân tử bằng 206 đv.C. Khi có mặt axit mạnh, F chuyển thành G và giải phóng khí mùi hắc. Chất G có thể bị oxi hóa tiếp theo bằng thuốc thử Tollens. E và G tham gia phản ứng Wittig thu được H, trong các điều kiện thuận lợi đã cho sự tạo thành đồng phân dạng cis. Đồng phân này bị chiếu xạ bởi cường độ mạnh để thực hiện phản ứng đóng vòng oxi hóa cho hợp chất I có công thức thực nghiệm là C14H8N2O4. I bị khử bằng Fe trong HCl cho J. Tại 5℃, J phản ứng với NaNO2 trong dung dịch axit tạo thành muối điazoni. Tiếp theo thêm CuCl vào thu được chất K. K được chuyển hóa với Mg trong ete cho L, L phản ứng với HCHO tạo thành M, M phản ứng với HBr trong môi trường axit mạnh là H2SO4 cho hợp chất N có công thức thực nghiệm là C16H12Br2. Trong môi trường bazơ, N phản ứng với O cho hợp chất P và hai phân tử HBr. Công thức cấu tạo của O: HS SH

P được xử lí với H2O2 dư cho Q. Nhiệt phân Q ở nhiệt độ cao trong chân không tạo ra hợp chất X và giải phóng khí SO2. X có khối lượng phân tử là 308 đv.C và chỉ chứa các nguyên tố cacbon và hiđro. Xác định công thức cấu tạo các chất được kí hiệu bằng các chữ cái và viết các phương trình phản ứng đã xảy ra dưới dạng chuỗi phản ứng. 2. Codycepin (E) được tách ra từ nấm đông trùng hạ thảo có tác dụng ngăn ngừa ung thư do trong quá trình tổng hợp AND tế bào ung thư nhầm lẫn adenosin với codycepin, vì thế tế bào có nguy cơ ung thư sẽ chết. Codycepin được tổng hợp theo sơ đồ sau: a) Xác định cấu trúc các chất A, B, C, D và cordycepin, biết enzym reductase có vai trò khử hóa. b) Dưới xúc tác của enzym adenosin deaminaza, codycepin chuyển thành deoxynosin F (C10H14N4O4) không còn hoạt tính. Dưới xúc tác của enzym transaminaza, deoxynosin F chuyển về codycepin. Cho biết cấu tạo của F và mô tả cơ chế chuyển hóa E thành F. c) Mô tả cấu trúc một đoạn ADN lỗi được hình thành từ 1 phân tử cordycepin và 1 phân tử thymidin (liên kết qua este của axit photphoric giống trong chuỗi ADN bình thường). Thymidin Câu 10 (2,0 điểm): Hóa học các hợp chất thiên nhiên 1. Hợp chất thiên nhiên X (công thức phân tử C7H14O6) là một chất không có tính khử và không quay hỗ biến. Thủy phân X bằng dung dịch HCl sinh ra hợp chất Y (C6H12O6) là một monosaccarit có tính khử. Oxi hóa Y bằng HNO3 loãng nóng thu được một điaxit không có tính quang hoạt là M (C6H10O8). Làm giảm mạch monosaccarit Y để chuyển nhóm –CHOH – CH = O thành –CH = O thì được monosaccarit Z (C5H10O5), sản phẩm này bị oxi hóa bởi HNO3 loãng nóng cho điaxit N (C5H8O7) có tính quang hoạt. Cho X tác dụng với CH3Br trong môi trường bazo sinh ra hợp chất P, sản phẩm này tác dụng với dung dịch HCl loãng sinh ra Q. Oxi hóa Q bằng HNO3 loãng nóng thu được một hỗn hợp sản phẩm, trong số đó có axit 2,3 – đimetoxibutanđioic (V1) và axit metoxipropanđioic (V2). Hãy xác định công thức cấu trúc cuat X, Y, Z, M và N

2. Từ hạt tiêu, người ta tách được hợp chất A (C17H19NO3) là chất trung tính. Ozon phân A thu được các hợp chất: etadial, B, D. Thủy phân B thu được OHC – COOH và hợp chất dị vòng 6 cạnh piperiđin (C5H11N). Cho D tác dụng với dung dịch HI đặc thu được 3,4 –đihiđroxibenzanđehit. Hãy xác định công thức cấu tạo của A, B, D. Có bao nhiêu đồng phân lập thể của A?

Turn static files into dynamic content formats.

Create a flipbook
Issuu converts static files into: digital portfolios, online yearbooks, online catalogs, digital photo albums and more. Sign up and create your flipbook.