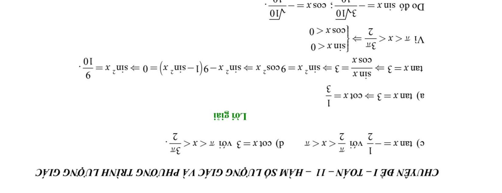
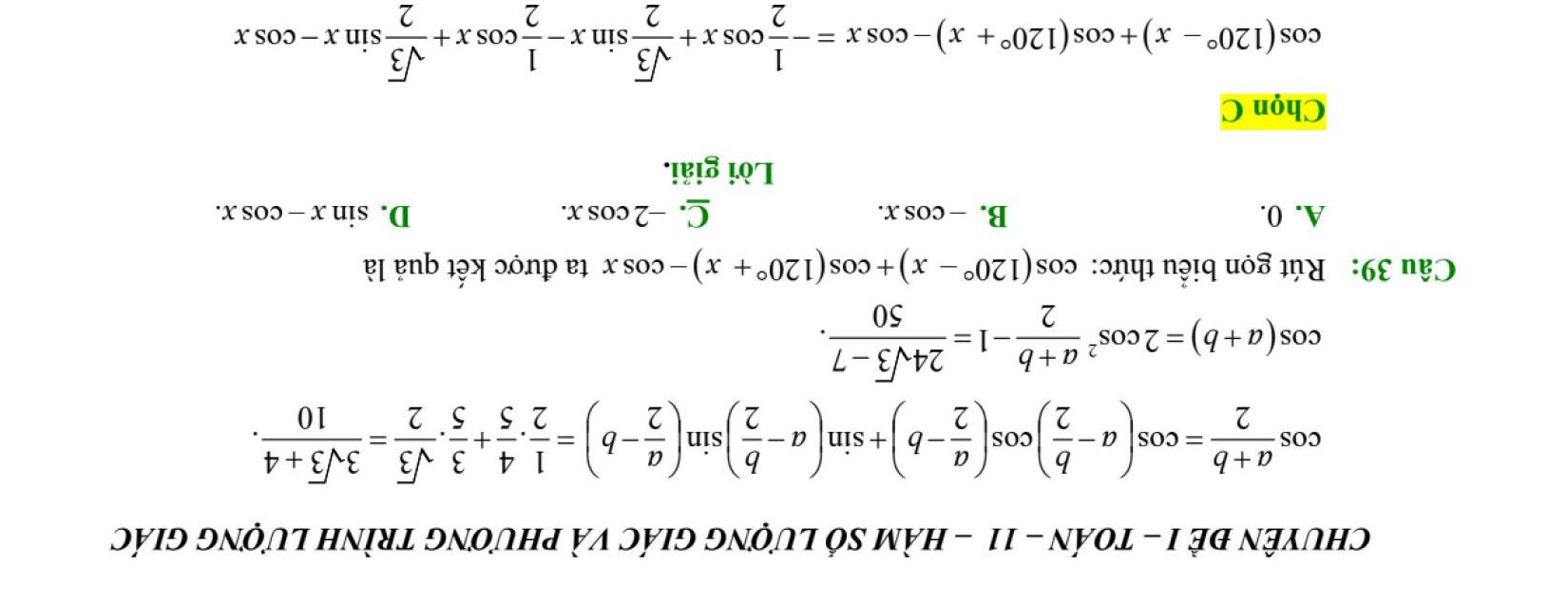
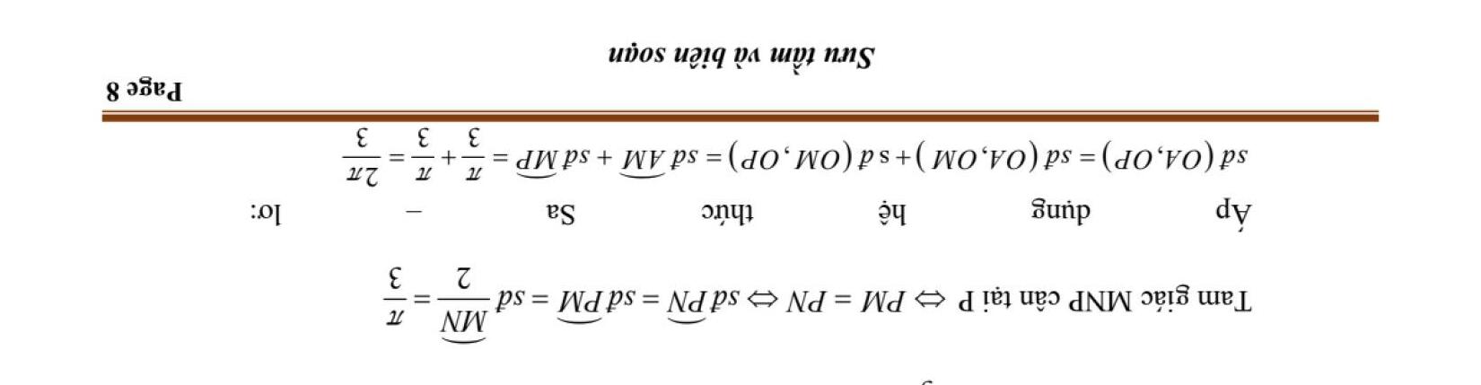
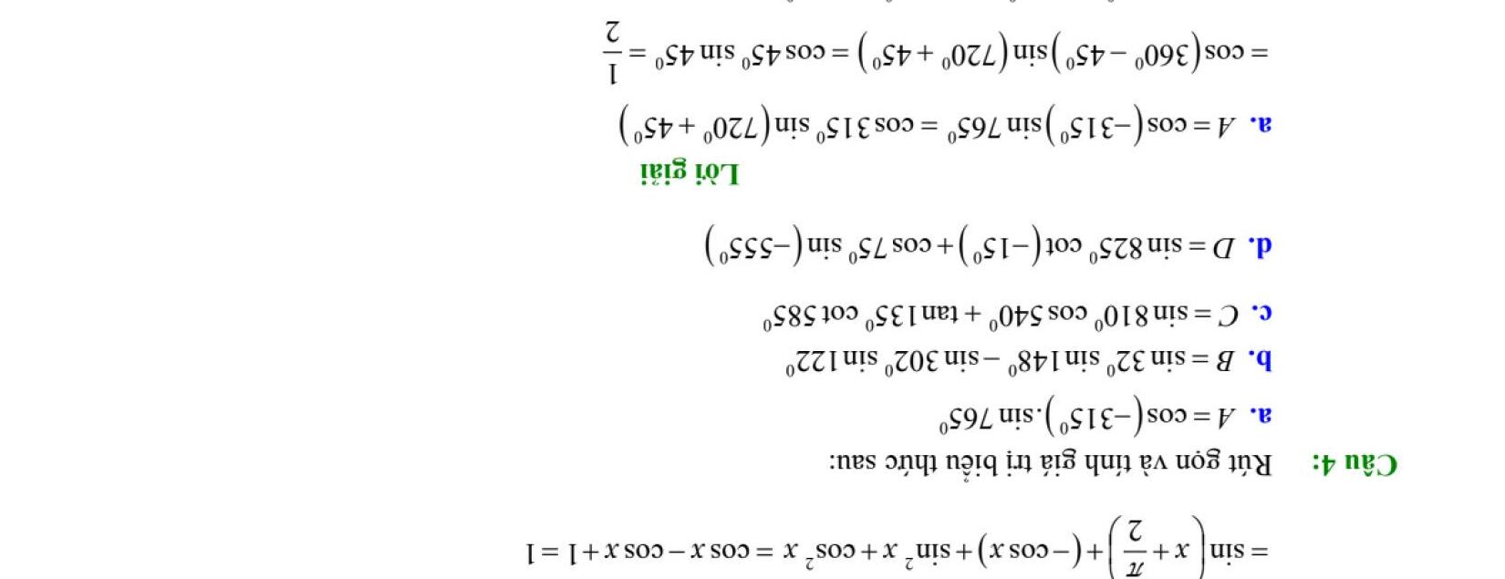
BÀI TẬP DẠY THÊM TOÁN 11 - KẾT NỐI TRI THỨC - CHƯƠNG 1 HÀM SỐ LƯỢNG GIÁC VÀ PHƯƠNG TRÌNH LƯỢNG GIÁC

Page 1

Turn static files into dynamic content formats.

Create a flipbook
Issuu converts static files into: digital portfolios, online yearbooks, online catalogs, digital photo albums and more. Sign up and create your flipbook.
BÀI TẬP DẠY THÊM TOÁN 11 - KẾT NỐI TRI THỨC - CHƯƠNG 1 HÀM SỐ LƯỢNG GIÁC VÀ PHƯƠNG TRÌNH LƯỢNG GIÁC by Dạy Kèm Quy Nhơn Official - Issuu