Psiara juliol 2023

Page 1

SUSANA JIMÉNEZ-MURCIA I RAQUEL

CUEVAS: NEIXEN ELS DOS PRIMERS SERVEIS DE PSICOLOGIA CLÍNICA EN HOSPITALS

Editorial Entrevista

L’ePsicologia: nous reptes de la psicologia digital

Per què els pilots no sol·liciten atenció psicològica?

Ressenya

Mindfulsex: el sexe que revolucionarà la teva vida Emma Ribas

6 4 JULIOL 2023
La revista digital del COPC 48
PSIARA

La Psiara és el suport en què el Col·legi Oficial de Psicologia de Catalunya comparteix reflexió, anàlisi i opinió amb totes les persones col·legiades i no col·legiades que tenen interès en el món de la psicologia.

La revista permet la participació de psicòlegs i psicòlogues i reflecteix al màxim la realitat de la professió. S’hi publiquen els següents tipus de textos: articles sobre qüestions professionals, articles d’opinió, entrevistes i resums d’activitats.

Si fruit de la teva praxi professional o acadèmica vols compartir un article amb els teus companys i companyes psicòlegs, si us plau, envia’ns-el a comunicacio@copc.cat.

Esperem la teva aportació!

Sumari

L’ePsicologia: nous reptes de la psicologia digital - Per Toni Baena

¿Por qué los pilotos no solicitan atención psicológica? - Luis Santiago Oviedo

“Neixen els dos primers serveis de psicologia clínica en hospitals“- Susana Jiménez-Murcia i Raquel Cuevas

Suïcidis i la seva evolució 1980-2022 - Per Josep Pascual i Bardají

“La psicologia coaching hauria de convertir-se en una branca a la universitat, com la clínica“- Yolanda Artero

Salut mental materna: quins són els reptes actuals? - Per Lola

Rosa

“Un proceso de mentoring del COPC es una experiencia de crecimiento y aprendizaje única” - F. Solano Romero y M. Romeo

el sexo que revolucionará tu vida - Emma Ribas

Márquez, Anaïs
Arjona i Mireia Lanaspa En contra de la guerra a Ucraïna!
Farrero
Barcelona,
Alonso, Jessica
- Per Pau Martínez
Teoría del apego y crianza natural en los juzgados de familia
Martina Morell Editorial Entrevista 6 Entrevista 12 18 Entrevista 24 29 38 Entrevista 42 Ressenya 48 50 4 Ressenya Reflexió i practica Reflexió i practica Reflexió i practica
Mindfulsex:
-

L’EPSICOLOGIA: NOUS REPTES DE LA PSICOLOGIA DIGITAL

Per antoni baena, Coordinador del Grup de Treball en ePsicologia del copc

Arreu del món, la tecnologia s’ha convertit en la primera o fins i tot en l’única opció per a moltes activitats quotidianes. En altres paraules, no fer servir Internet no és una alternativa realista. De fet, el 91,8% de la població espanyola utilitza internet freqüentment per comunicar-se, encendre el llum, comprar entrades per al cinema, obrir portes o gestionar la salut, entre moltes altres coses. Per això la nostra salut i benestar mai han estat tan supeditats a la constant innovació tecnològica.

Els i les professionals de l’ePsicologia o la psicologia digital no només haurien de ser capaços de fer servir la tecnologia, sinó d’adquirir la formació suficient que els permeti reflexionar sobre el seu ús (en quin context i quines condicions, quines problemàtiques, per a qui, com, etc.) i sobre com les tecnologies condicionen la seva pràctica professional, cosa que afecta, lògicament, les persones que atenen. L’ePsicologia no és simplement utilitzar tecnologia per usar-la, sinó també per millorar l’aspecte professional i la salut mental dels nostres usuaris i usuàries. És, igualment, convertir-nos en referents generadors de coneixement en la salut mental en línia perquè, si no hi ha cap dubte, la innovació i l’ús de la tecnologia en salut mental es farà, però sense l’alfabetització adequada la faran altres.

Clarament, estem davant d’una autèntica revolució digital, accelerada per les necessitats de la

4 PSIARA Editorial

pandèmia, enmig de la qual l’ePsicologia ha de ser encara ben definida, gestionada, recolzada i fins i tot regulada, des del mateix col·legi professional. Per això creiem que la creació d’un grup de treball en ePsicologia del COPC ha arribat en el moment ideal, en el moment de la definició. Les seves funcions i objectius principals són: la creació d’un espai, no només de reflexió sobre els usos, límits o possibilitats de les TIC, sinó un espai crític, consultiu, avaluatiu i formatiu que recomani, analitzi i obri el camí cap a un ús de la tecnologia en psicologia. Com a resultat de la implementació d’aquests objectius, s’espera que els i les professionals de la psicologia aprofitin les oportunitats que la tecnologia ofereix: capacitat de personalització, ubiqüitat, reducció de cost, augment d’accessibilitat en espai, en temps i en nombre de persones, etc., i ho implementin en la seva pràctica professional diària. I això no s’aconseguirà sense aprendre a superar els obstacles que l’ús de la tecnologia pugui comportar. Dues de les principals preocupacions serien la baixa alfabetització i el domini de les competències digitals generals.

A partir d’aquest escenari, podem mirar cap a una altra banda, tot esperant que se’ns indiqui què és practicar ePsicologia (clínica, escolar, social, forense, etc.) o que sigui una cosa passatgera. L’ePsicologia no necessàriament resoldrà vells problemes de la disciplina, sinó que ens en presentarà de nous que haurem de gestionar i solucionar com més aviat millor, en un marc teòric nou i en contínua reinvenció. Va tan ràpid que encara no ha donat temps a discutir sobre els chatbots i el llenguatge natural i ja estem parlant de la IA i la destrucció de la realitat, si més no, tal com la coneixem actualment.

En aquest context de necessitat i afrontament, el Grup de Treball d’ePsicologia del COPC s’ha marcat uns objectius principals ambiciosos, relacionats amb el diagnòstic de la situació (competències i usos de TIC) i la promoció i formació de l’ús crític de la tecnologia que han cristal·litzat en tres accions inicials concretes. La primera ha consistit en la creació i posada en marxa d’una enquesta que té com a objectiu conèixer els usos i les competències digitals específiques dels i les professionals de la psicologia de Catalunya,

enquesta que iniciarem un cop passat l’estiu, al setembre. La segona activitat consisteix en una sèrie de taules rodones divulgatives, la primera de les quals tindrà lloc el 26 de setembre amb la participació del Dr. Manuel Armayones (UOC) i portarà per títol “Psicologia en temps de la IA generativa: un canvi d’era a la pràctica professional?”, una taula durant la qual també aprofitarem per presentar el Grup de Treball, els seus membres, objectius i activitats. Finalment, hem organitzat diferents activitats formatives de les quals us informarem àmpliament molt aviat.

Us convido a participar i aportar el màxim a aquestes activitats, i també a gaudir d’aquest número d’estiu de la Psiara, ple d’entrevistes i articles amb la mirada posada en un futur amb més coneixement i millor praxi, que farà avançar la nostra professió.

Antoni

Coordinador del Grup de Treball en ePsicologia del COPC i director del Màster universitari de Salut Digital de la UOC.

PSIARA 5

¿POR QUÉ LOS PILOTOS NO SOLICITAN ATENCIÓN PSICOLÓGICA?

Estigma, miedo a perder la licencia… Los pilotos profesionales no acuden a consulta psicológica siempre que lo necesitan. Nos lo cuenta Luis Santiago Oviedo Millán, piloto y coordinador del programa Peertopeerde la compañía Vueling. Adela González Marín, presidenta de la Asociación Española de Psicología de la Aviación (AEPA), y Montserrat Lucas, coordinadora del Grupo de Trabajo Psicología

Aeuronáutica del COPC*, analizan esta reveladora entrevista y proponen soluciones.

Psiara: ¿Cómo de importante dirías que es la salud mental en la vida laboral de un piloto?

Luis Santiago Oviedo: Tan importante como la salud física.

P: Pero no son muchos los que van al psicólogo a lo largo de su carrera…

L: Estimo que entre un 15% y un 20%. Pero los pilotos no se lo cuentan a los compañeros. No es como ir al podólogo o al dentista, que todo el mundo lo explica. Ir al psicólogo se lleva más escondido.

P: ¿Por qué crees que este porcentaje es tan bajo?

L: Por dos motivos. El primero es que nos entrenan 2 días cada 6 meses con un simulador para que podamos estar preparados para cualquier emergencia: fuego, volar con los dos motores parados, turbulencias, aterrizar sin visibilidad… Este entrenamiento tan específico e intenso hace que cuando un piloto tiene un problema de salud mental o una adversidad en la vida, piense que está igualmente preparado para afrontarlo.

El segundo motivo es que hay miedo a perder la licencia porque, a diferencia de la suspensión médica, en la suspensión psicológica no está parametrizado cuándo se recupera. Si te ha salido el colesterol alto a la analítica te dicen: 6 meses de baja y, cuando tengas la analítica en orden, vuelve y te devolvemos la licencia.

Entrevista 6 PSIARA

P: ¿Crees que en el ambiente, en la cultura que se respira en vuestro entorno, ir al psicólogo forma parte del cuidado y la mejora personal? ¿Sentís que tenéis libertad para hacerlo?

L: La mayoría de pilotos de más edad, de 50 para arriba, nunca te dirán que van al psicólogo porque es un signo de debilidad. Son bastante “machos”. En esta profesión hay un porcentaje muy bajo de mujeres (en torno al 10%), y en el hombre mostrar esta debilidad emocional no está muy bien visto. Pero yo creo que está cambiando, que es una cosa generacional. La gente cada vez opone menos resistencia a ir al psicólogo y explicarlo.

P: ¿Qué crees que os podría hacer cambiar para poder acercaros más a los profesionales de la psicología cuando los necesitáis?

L: Hacen falta testigos. Lo que los pilotos se creerían más son testigos de compañeros que estuvieran dispuestos a decir: “Mira, yo he estado tres semanas de baja porque me estaba divorciando y he tenido que tomar medicación para dormir, pero he recuperado la licencia. He

ido al psicólogo aeronáutico y al médico, me ha dado medicación porque la necesitaba, pero ya estoy trabajando normalmente”. Esto daría confianza al colectivo.

P: ¿Y ayudaría saber que aproximadamente un 85% de los pilotos que han sido inhabilitados han podido volver a su trabajo una vez recuperados?

L: Sí, definitivamente.

P: ¿Qué es el nuevo programa Peer to peer que está instaurado en compañías como Vueling? ¿Qué te parece? ¿Por qué crees que se lleva a cabo?

L: Viene de una normativa europea. La agencia que regula la seguridad aérea europea (EASA) publicó en 2018 un reglamento que obligaba a todas las compañías aéreas a tener este programa para todos los compañeros que llevan pasajeros. Y, a partir de agosto 2020, debíamos implementar este programa de apoyo psicológico que se conoce como Peer to peer. Pero con la covid no empezó hasta febrero de 2021.

La licencia suspendida por un tema psicológico, ¿cuándo se recupera? Esta incertidumbre genera poca confianza
PSIARA 7
También ayudaría concienciar sobre el hecho de que, cuanto antes pides ayuda, antes sales

Son pilotos, compañeros, a los que se les da una formación de escucha activa para que puedan ser capaces de reconocer sintomatología. Tienen muy claro que no son psicólogos y no pueden dar ninguna recomendación ni pauta, pero sí que pueden ayudar escuchando y a veces gestionando algo administrativamente. Por ejemplo, si el piloto le explica que su mujer, quien normalmente se encarga de los hijos, se ha roto una pierna y esto ha hecho caer toda la logística familiar, le puede pedir un día libre para que se organice y pueda volar tranquilamente. En este caso no habría que llegar al psicólogo. El compañero le escucha y le entiende porque es compañero y le puede ofrecer algún apoyo logístico. Su formación le permite saber si el piloto necesita unos días de reposo o si lo que está explicando es grave y necesita ayuda profesional y que lo deriven al equipo de psicólogos y psicólogas clínicos aeronáuticos que suele haber a las compañías.

Estos peers reciben 4 días de formación. Y, cada 3 meses (aunque depende de la compañía), los psicólogos aeronáuticos del programa les amplían esta formación, sobre estrés, ansiedad, duelos, divorcios…

Así, este programa protege a las compañías y ayuda a estos pilotos con problemas a salir de esta situación más rápidamente.

P: ¿Sabes de algún compañero al que le haya ayudado?

L: Sí, conozco muchos casos. Muchos pilotos se han beneficiado del programa.

P: ¿Y crees que esta figura puede sustituir al psicólogo?

L: No, porque no tienen la formación. Son un primer contacto para pilotos reticentes a ir al psicólogo. Pero un primer contacto esencial. Por ejemplo, los controladores aéreos desde 2018 tenían un psicólogo aeronáutico que los podía atender por teléfono, pero recibía muy pocas llamadas. Y cuando cambiaron el programa al peer to peer y pusieron compañeros controladores aéreos dentro de los centros de control para apoyar, empezó a funcionar.

Cuando los pilotos se van a volar con estos problemas en la cabeza, pueden cometer algún error con consecuencias graves
8 PSIARA
Si un compañero, que conoce tu profesión, después de escucharte 2 o 3 veces te dice “Mira, yo creo que necesitarías ayuda profesional”, le haces más caso

Después te la puedes buscar fuera del programa o internamente con los psicólogos del programa, eso ya es voluntario de la persona.

P: ¿Qué porcentaje de compañeros dirías que necesitarían ayuda psicológica?

L: Los especialistas calculan que sobre un 5%. Pero un 5% de 6.000 que somos en Vueling son 300. Son muchos. ¿Y de estos 300 van todos? Probablemente todos no.

P: ¿Piensas que, si no tuvierais este miedo a perder la licencia, muchos decidiríais pasar por el psicólogo?

L: Sí, ofrecerían menos resistencia, irían más fácilmente. Piensa que la licencia es su modus vivendi. Si te la suspenden, es un drama. Cualquier piloto lo primero que te pregunta cuándo lo derivas al psicólogo es: “¿Esto tiene consecuencias?, ¿esto se apunta en algún lugar de mi expediente?, ¿puede repercutir en mi licencia?”

Creo que en estos programas de apoyo la confidencialidad es fundamental, porque permite que las personas, cuando salen del bache, expliquen que la experiencia ha sido positiva. El boca a boca es lento pero es lo más efectivo.

P: ¿Crees que la mentalidad está cambiando?

L: Sí, la percepción de los pilotos está cambiando gracias a estos programas que están en todas las compañías, y estamos muy contentos. La experiencia de dos o tres años que llevamos con este programa es muy positiva, pero todavía hay que cambiar más la mentalidad.

Uno de los puntos más importantes es concienciar de que, cuanto antes se reconozcan estos síntomas y antes pidan la ayuda, más corto será el tiempo que, por ejemplo, se tenga que parar de volar, y más rápida será la recuperación. He visto muchos casos y sé que la gente que apura mucho y ya llega muy tocada, diciendo “he tocado fondo”, luego igual están 1 o 2 meses de baja para poder recuperar el sueño, el ritmo de vida, etc.

Quizás hay otros modelos, pero que un compañero te escuche y te acompañe y sepa los problemas que tienes –la familia fuera, tú de viaje, la madre enferma… – es el que te hace sentir más entendido y confiar más.

El análisis de las psicólogas

El miedo a perder la licencia es un miedo real y de siempre, pero el psicólogo o la psicóloga aeronáutico no emite bajas médicas, estas solo las conceden los Médicos Examinadores Aéreos (AME). Los casos relacionados con la psicología se pueden solucionar sin necesitar una baja y, en el caso extremo de necesitarla, no podemos saber el tiempo en solucionarla, porque no es exacta en ninguna patología y depende de muchas variables.

Los peers están formados y actúan como personal de primeros auxilios, apoyan al compañero y se comunican con el psicólogo o la psicóloga aeronáutico. Y el psicólogo o psicóloga participa tutorizando al peer y, en caso necesario, asistirá directamente al piloto.

PSIARA 9
Adela González Marín, presidenta de AEPA

Montserrat Lucas, coordinadora del Grupo de Trabajo Psicología Aeronáutica del COPC

Tras la entrevista es evidente la necesidad, tantas veces subrayada, de hacer una campaña de sensibilización sobre la relación pilotos-psicólogos.

Desde mi punto de vista, sería interesante elaborar un documento en el que se tabulen los tiempos estándar de recuperación de los problemas psicológicos más habituales, a fin de poder contribuir a disminuir la ansiedad que pueda representar el desconocimiento del tiempo de suspensión de la licencia.

Las emociones se han relacionado con debilidad, pero forman parte de todo ser humano. Quizá entender este proceso, lo que es y para qué sirven las emociones para nuestra salud mental, mejoraría la manera en que cualquier persona, y también los pilotos, se enfrentan a ellas.

Evidentemente, en estos estándares estarían contempladas las variaciones personales que pudieran existir. Y, por supuesto, hay que desmitificar la idea de que acudir al psicólogo no es sinónimo de perder la licencia.

Respecto a la campaña de sensibilización, yo creo que tanto AESA, SEMA y AEPA como SEPLA deberían de implicarse en dar la publicidad a la misma, en los centros de trabajo, en las salas de briefing y en los centros de las compañías aéreas, así como en las escuelas de pilotos.

* Con la colaboración de las psicólogas Mar Casas y Mercè Mondéjar, del Grupo de Trabajo Psicología Aeronáutica del COPC, y Carmen Reguant, doctora examinadora de AESA.

10 PSIARA

PARAULA DE PSICO

“Tot i que hi ha una càrrega genètica en la personalitat, s’està veient que és molt menys important del que es creia i que el que la constitueix són més aviat les experiències. No té sentit dir que jo he nascut així”.

Carme Guillén, La Vanguardia, 12/7/2023

“Porto 20 anys aprenent sobre sexualitat per poder ser millor sexòloga. I la impostora, de vegades, sovint, se’m menja. Hi ha qui, en pocs mesos, es forma per a una marca i ja és experta en salut, dermatologia, alimentació, estat d’ànim, empoderament, psicologia...”.

Elena Crespi, diari Ara, 14/6/2023

“Cada vegada hi ha més joves que no tenen apetència sexual perquè ja l’han consumit abans”.

Júlia Pascual, El Pentàgon, 8TV, 9/6/2023

“Està en les mans de l’entorn familiar i escolar traslladar als joves una imatge sòlida, positiva i realista d’ells mateixos perquè puguin consolidar una identitat amb un bon autoconcepte i projectar-se cap al futur amb èxit emocional”.

Sílvia Bataller, Diari de Girona, 6/7/2023

“Tenim moltes dificultats per trobar professionals, ni sanitaris ni clínics, amb l’expertesa necessària. Hi ha hagut places que s’han declarat desertes, i per això, tot i que prioritzem els professionals amb l’especialitat, si no els trobem agafaríem a sanitaris, perquè necessitem cobrir aquestes places”.

Raquel Cuevas, Psiara, 28/7/2023

“Si destinessin els recursos d’una manera més sensata i coordinada, pactant què fem amb les persones, com les ajudem a millorar el conjunt de malestars que genera aquesta societat, probablement els recursos ens conduirien, a dos anys vista, a tenir una lectura més sensata de la salut mental i unes respostes una mica més coherents i útils”.

Jaume Funes, Racó Català, 10/5/2023

“Pensa què necessites, realment, per vacances. De debò et ve de gust fer això que faràs? Pots descansar, llegir, aprendre fent algun curs… Fuig del que s’espera que tothom faci, per sort hi ha opcions molt diverses”.

Roser Claramunt, Rac1, 19/7/2023

PSIARA 11

SUSANA JIMÉNEZMURCIA I RAQUEL CUEVAS: Neixen els dos primers serveis de psicologia clínica en hospitals

Aquest 2023, la psicologia ha vist fer-se realitat una de les seves grans fites: obrir serveis propis de psicologia clínica als hospitals públics. Els primers a fer-ho, no només a Catalunya sinó també en l’àmbit estatal, han estat l’Hospital de Bellvitge i l’Hospital General de Granollers. Hem parlat amb Susana Jiménez-Murcia i Raquel Cuevas, les psicòlogues clíniques caps d’aquests dos serveis, respectivament, sobre el camí fet, la situació actual i els seus pròxims reptes de futur.

Psiara: L’enhorabona a les dues! Ja era hora que els hospitals comencessin a tenir serveis propis de psicologia clínica.

Susana Jiménez-Murcia: Va ser una iniciativa molt valenta per part de l’Hospital de Bellvitge que ens permetrà donar resposta a moltes necessitats que hi ha als hospitals, com ara malestar emocional, dolor crònic, adherència a tractaments, acceptació de situacions vitals traumàtiques… Tenir aquesta independència ens facilitarà molt les coses. Que la psicologia clínica pugui tenir el seu paper com una disciplina independent és una passa de gegant.

Raquel Cuevas: Per fi se’ns equipara a altres professions sanitàries, amb molta més història en l’àmbit de la salut pública. Cada cop més, estem on hem d’estar.

P.: Per què creieu que ha passat justament ara?

S. J.: Per la confluència de molts factors: hem passat una pandèmia, hem vist com el valor de la psicologia clínica ha crescut molt i la població l’ha reclamat, i l’hospital ha vist la necessitat de cuidar no només dels pacients, sinó també dels seus professionals.

Entrevista
12 PSIARA

R. C.: Ara és un bon moment per les professions sanitàries, de fer palesa la seva necessitat, molt especialment en l’àmbit de la salut mental. És un moment conjuntural per a fidelitzar professionals, tenir projectes i poder-nos implicar més en els nostres centres, i crec que forma part d’aquesta estratègia de futur de l’hospital de fidelitzar els seus professionals.

A més, cada vegada hi ha més interconsultes. Si fem l’anàlisi de totes les que hem rebut al llarg dels anys, després de la covid potser hem passat de 300 a 1.500.

Cada vegada més, totes les altres professions veuen la necessitat que el pacient estigui atès a nivell psicològic, i fins i tot hi ha un tema d’eficiència, i és que potser aquest pacient surt abans d’alta, perquè està menys angoixat i es troba millor.

I d’alguna manera, aquesta lluita de la visibilitat en l’atenció al pacient per la qual sempre he lluitat, és el que ha acabat donant com a fruit aquest servei de psicologia.

Cuevas

P.: Com va ser el moment en què us van comunicar la notícia?

S. J.: La petició va venir de Gerència i Direcció Mèdica de l’hospital. Ens van reunir i ens van dir: “Aquesta activitat, assistencial, de recerca, docent que esteu fent per les unitats, la volem de forma transversal a tot l’hospital. O sigui, volem que també pugueu estar presents a la unitat bàsica de prevenció, que respongueu a la interconsulta de pacient ingressat, al pacient ambulatori de diferents serveis mèdics i quirúrgics de l’hospital, a l’UCI… Prepareu una memòria, mireu com es podria fer i, si vosaltres penseu que

Susana Jiménez-Murcia i Raquel Cuevas, caps dels nous serveis de psicologia de l’Hospital de Bellvitge i l’Hospital General de Granollers, respectivament.
“Que existeixi el servei de psicologia per a mi és una recompensa personal i un avenç per la professió” – R.
PSIARA 13

és possible, creiem que la millor forma és que sigueu independents. Què us sembla?”. I nosaltres -jo i el meu company Fernando Fernández Aranda, que era director de la Unitat de TCAvam dir: “Molt bé!”. Primer amb incredulitat, no ens ho esperàvem en absolut!

R. C.: En el nostre cas era una lluita que fèiem juntament amb altres unitats. Ens van convocar des de Direcció de Persones i Direcció Mèdica i ens van dir: “Finalment, des d’aquest mes, passeu a tenir totes les atribucions de cap de servei, les vostres unitats són serveis, i tindreu les mateixes prestacions que qualsevol altre servei”. I tots els que estàvem allà vam estar molt contents. Jo sí m’ho esperava, però potser no ara.

P.: Feia molt de temps que ho reclamàveu?

S. J.: Honestament, no. Era un escenari que no podíem ni imaginar, tot i que a l’Hospital de Bellvitge ja teníem la unitat de TCA i la unitat d’addiccions comportamentals, amb molt volum assistencial i de recerca, que ja estaven liderades per professionals de la psicologia clínica i no per psiquiatres. Però és veritat que feia molts anys que anàvem rebent peticions d’interconsulta en l’àmbit de la psicologia, que llavors es redirigien al servei de psiquiatria i des d’aquí es reorientaven a la Direcció Mèdica de l’hospital.

R. C.: A l’Hospital General de Granollers sí que feia temps que demanàvem poder ser servei, perquè teníem tota l’autonomia necessària per fer-ho. De fet, les interconsultes ja anaven dirigides a nosaltres directament i teníem la capaçitat de resoldre qualsevol visita de manera independent. A totes les unitats els passava el mateix, i per això totes havíem fet bloc per passar a ser serveis: reumatologia, endocrinologia, neurologia… M’ha agradat poder créixer junts i que entenguessin que jo era tan necessària com ells.

P.: Què diríeu que mancava als vostres hospitals abans que naixés el vostre servei?

R. C.: Abans no teníem autonomia, estàvem sota el “paraigua” jeràrquic del servei de psiquiatria del Complex Assistencial en Salut Mental Benito Menni. I ara vaig a les juntes de directors de servei, som un servei més amb les seves necessitats i les seves contraprestacions, i espero a la llarga poder tenir també un cap clínic. A més, des que som servei podem tenir una prospecció en el temps més àmplia, a anys vista, i espero que puguem oferir una cartera de serveis cada vegada més àmplia.

S. J.: Ara tenim més capacitat de decisió. I, alerta, que en el nostre servei les coses mai han estat complicades en aquest sentit, teníem auto-

14 PSIARA

nomia per tirar endavant les dues unitats que explicava abans. Però sí és veritat que ara tenim la independència per a poder decidir intervenir amb altres àrees i serveis medicoquirúrgics, poder ser una disciplina diferent a l’hospital, que no és medicina.

P.: Heu canviat gaire els processos? Varia, per exemple, l’itinerari dels pacients?

R. C.: No. És només un tema de projecció interna. Als pacients els és igual que sigui unitat, servei o àrea. És més un tema de nomenclatura, de sou, que també és important, però no afecta la clínica.

S. J.: Sí, hi ha hagut canvis. Les peticions d’interconsultes, de pacients ingressats en algun dels serveis de l’hospital, ara arriben directament, i el nombre ha crescut rapidíssimament, com també l’atenció als professionals a través de les unitats bàsiques de prevenció, la medicina del treball, l’avaluació i la intervenció i col·laboració amb diferents serveis: nefrologia, trasplantament renal, pacients amb problemes cardíacs, reumatologia… És a dir, des de diferents unitats es va aplaudir aquesta iniciativa perquè feia molt de temps que necessitaven la

figura d’un psicòleg clínic integrat o col·laborant amb l’atenció psicològica dels seus pacients. Per altra banda, algunes peticions han vingut més pels equips multidisciplinaris dels quals formem part, i altres on no col·laborem tan integrats ens deriven els pacients.

P.: També és molt destacable el fet que les dues caps d’aquests nous serveis sigueu dones. Des de la vostra experiència, sentiu que ho heu tingut més difícil per arribar al vostre càrrec actual?

S. J.: En absolut. Crec que en el nostre hospital ser dona és un factor positiu. Però és veritat que jo parlo més des des de la perspectiva clínica que des de la recerca. I també és una realitat que a les bases veiem moltes dones però, a mesura que pugem a l’escala de la responsabilitat, cada vegada hi ha més homes.

R. C.: De cara a la meva aspiració professional, no ho he notat. El que sí noto és que em diuen moltes coses que si fos d’un altre servei no me les dirien. Per exemple, tu veus que no li donen el mateix valor a una entrevista psicològica que a una prova de pneumologia. I aquí has de defensar que potser, si no se li fa la prova psicològica, no podran operar aquesta persona. És a dir, crec que he lluitat més com a psicòloga que com a dona.

PSIARA 15
“Realment ha estat molt ben acollit per tot l’hospital, per tots els serveis” – Susana Jiménez-Murcia

P.: Tots els hospitals haurien de seguir el vostre exemple?

R. C.: Jo espero que passi. La psicologia tindria més visibilitat i més prospecció de cara a assimilar-nos a altres serveis, com neurologia, psiquiatria, cardiologia o el que sigui, que en el fons és el que som.

S. J.: Jo tinc la sensació que això tindrà un efecte cascada. Per la psicologia suposaria progrés, avenç, creixement, evolució, un impuls a moltes iniciatives. És possible que molts hospitals, en l’àmbit de psiquiatria, siguin sensibles a tota la tasca que estan fent els psicòlegs i que estiguin absolutament integrats, no ho dubto en absolut, però el fet de ser independents vol dir poder decidir, tenir capacitat de planificació, autonomia i lideratge.

P.: Parlant de reptes, com esteu vivint el dèficit d’especialistes?

R. C.: Com tothom, ho vivim amb moltes dificultats per trobar professionals, ni sanitaris ni clínics, amb l’expertesa necessària. Hi ha hagut places que s’han declarat desertes, i per això, tot i que prioritzem els professionals amb l’especia-

litat, si no els trobem agafaríem a sanitaris, perquè necessitem cobrir aquestes places.

S. J.: Amb moltíssima preocupació. De fet, en aquests moments tenim la possibilitat de créixer com a plantilla però costa molt. Jo vaig preguntant, vaig enviant les ofertes de treball a companys i em diuen “No, si nosaltres estem igual: necessitem dos psicòlegs clínics, els podem contractar ara mateix, i no els trobem”. És un problema molt seriós.

P.: Quina creieu que seria la solució?

S. J.: Ampliar el nombre de places de psicòlegs clínics. Segur que hi ha moltes solucions diferents, però indubtablement s’han d’ampliar les places de PIR, perquè la demanda és importantíssima i no hi ha suficients especialistes.

R. C.: Exacte, s’haurien de crear més places. Si en lloc de les 231 que hi ha aquest any fossin 3.000, evidentment tindríem solucionat el problema. I ara que hi ha més consciència sobre la importància de la salut mental, és un bon moment per crear més places PIR i molta més bossa de professionals especialistes.

16 PSIARA

P.: Tornant als vostres serveis, quins objectius us heu marcat mitjà termini, posem, d’aquí a 5 anys?

S. J.: El mateix que hem aconseguit amb les unitats de TCA i addiccions comportamentals: portar una activitat de recerca molt important, en molts projectes competitius, tant nacionals com europeus i internacionals (el darrer any hem aconseguit una mitjana de 50 articles publicats). Volem una assistència basada en l’excel·lència i en l’evidència empírica, i que tot estigui suportat per una activitat de recerca important, i també docent, amb els nostres estudiants de pregrau i de postgrau. Per tant, aquestes tres potes són fonamentals: clínica, recerca per innovar i ser punters, i docència acompanyant-ho tot, evidentment.

R. C.: Almenys ser el doble dels que som i ampliar la nostra cartera de serveis. I en l’àmbit hospitalari, m’agradaria que el vincle amb la primària fos bidireccional perquè, d’aquesta manera, podem oferir una atenció integral i no acabem sent salut mental, és a dir, podem tractar per exemple un dol abans que es converteixi en patològic. Tenint en compte que tens 16 setmanes pel naixement d’un fill però només 3 dies si es mor… Una persona que hagi passat per això no té una malaltia, però en funció de l’atenció que li donis podrà acabar sent-ho. I, per últim, ara que per fi comencem a parlar del burnout dels professionals sanitaris, tenim una psicòloga incorporada a riscos laborals des de novembre de 2022.

P.: Teniu les coses molt clares!

S. J.: Quan et diuen “Els psicòlegs clínics liderareu aquest projecte” i són els primers a fer aquesta passa tan valenta, només pots dir que sí i tenir paraules d’agraïment, perquè ens podrien haver dit: “Volem la psicologia clínica transversal en tot l’hospital, però continueu amb les mateixes condicions”. A més, després ha vingut la coordinació del Pla de Salut Mental Territorial de la Metropolitana Sud, amb la qual cosa ja el compromís i el repte són molt importants, com també les ganes de fer-ho molt bé.

R. C.: Jo convido a sortir de la política de la

queixa i empoderar-nos en com som d’importants en l’atenció sanitària global en tot l’àmbit sanitari. Des de l’atenció a peu de llit fins a l’atenció de tipus més social, passant per la gestió més micro (hospitalària) i la més macro (presentar-te a un lloc de cap de Direcció Mèdica). Crec que tenim una visió molt global de les coses, una visió humanística, estadista, d’eficiència i eficàcia. Tenim molts conceptes integrats dins nostre, som una professió molt versàtil que pot fer moltes coses. I ens ho hem de creure més i tirar endavant. La gran majoria d’esforços acaben tenint el seu fruit. Almenys, que ningú ens pugui dir que no ho vam intentar.

Susana Jiménez-Murcia és psicòloga clínica, doctora en psicologia, professora agregada de la Facultat de Medicina i Ciències de la Salut de la UB i, des de fa uns mesos, cap del Servei de Psicologia Clínica de l’Hospital de Bellvitge i coordinadora del Pla de Salut Mental Territorial de la Metropolitana Sud. Prèviament va ser la directora de programa de la Unitat d’Addiccions Comportamentals de l’Hospital de Bellvitge. Raquel Cuevas és psicòloga clínica, neuropsicòloga de l’Hospital General de Granollers i responsable de l’Hospital de Dia Sant Jordi. Des de l’1 de juliol de 2023 treballa com a cap del Servei de Psicologia de l’Hospital General de Granollers. Prèviament va ser cap de la Unitat de Psicologia del mateix hospital i presidenta de la Comissió Deontològica del Col·legi Oficial de Psicologia de Catalunya.

PSIARA 17

SUÏCIDIS I LA SEVA EVOLUCIÓ 19802022

L’intent de suïcidi es defineix com un comportament autolesiu amb intenció inferida o real de morir. Cal diferenciar-ho dels comportaments autolesius en els quals no hi ha recerca de la mort, de les amenaces suïcides i de la ideació suïcida que si bé hi estan relacionades han de ser analitzades separadament.

En el risc de suïcidi s’ha hipotetitzat la interacció de factors biològics, psicològics, socials, culturals i ambientals, diferenciant entre factors predisponents i precipitants. Hi ha evidències de la transmissió genètica de la conducta suïcida (independent de la malaltia mental) i de modificacions epigenètiques com a resposta a experiències negatives en la infantesa. Determinats trets de personalitat (ansietat, impulsivitat – agressivitat), presència de psicopatologia, desequilibri entre recursos cognitius i exigències de l’entorn serien exemples del segon grup. En l’àmbit psicosocial trobem la pertinença a grups minoritaris i manca de xarxa social, la soledat percebuda i les dificultats econòmiques. La depressió, la comorbiditat física, els problemes de son i dolor i el deteriorament cognitiu es relacionen amb el risc de suïcidi en les persones grans (font).

Algunes variables sociodemogràfiques han mostrat tenir-hi influència, com són l’edat, sexe, grup ètnics, filiació religiosa, viure o no en parella i situació laboral. Tanmateix, la presència de discapacitat s’associa a major taxes de suïcidi (font). Neutralitzant la resta de variables s’observa que els majors riscos ajustats d’intent de suïcidi, respecte a la no discapacitat, es donen en limitacions cognitives i per a activitats complexes. Igualment augmenta per a cada limitació que s’afegeix a la persona (font). En el nostre entorn i en un seguiment de 10 anys es va observar que les ràtios de mortalitat ajustada per suïcidi va ser de 2,53 en dones i de 1,57 en homes respecte a no tenir discapacitat (font).

Donada aquesta vulnerabilitat més gran de les

Reflexió i pràctica 18 PSIARA

barreres per accedir als recursos existents.

L’Organització Mundial de la Salut considera el suïcidi un problema de salut pública d’abast mundial i el reconeix com a prioritari. D’altra banda, dins de les estratègies de prevenció, assenyala que hi ha diferències entre països en patrons, taxes i trets, i que cal que cadascun disposi de dades de qualitat. I tot per poder establir estratègies de prevenció adaptades a cada realitat (font).

És en aquest context que hem dut a terme una anàlisi de les dades del nostre entorn. En concret l’Instituto Nacional de Estadística (INE) proporciona dades sobre les causes de les defuncions des de l’any 1980. Aquestes inclouen els suïcidis i lesions autoinflingides, cosa que en permet una anàlisi per edat, sexe i any (font). Es tracta d’una primera aproximació i que hauria de servir de crida per disposar de dades d’igual qualitat per a la població amb discapacitat.

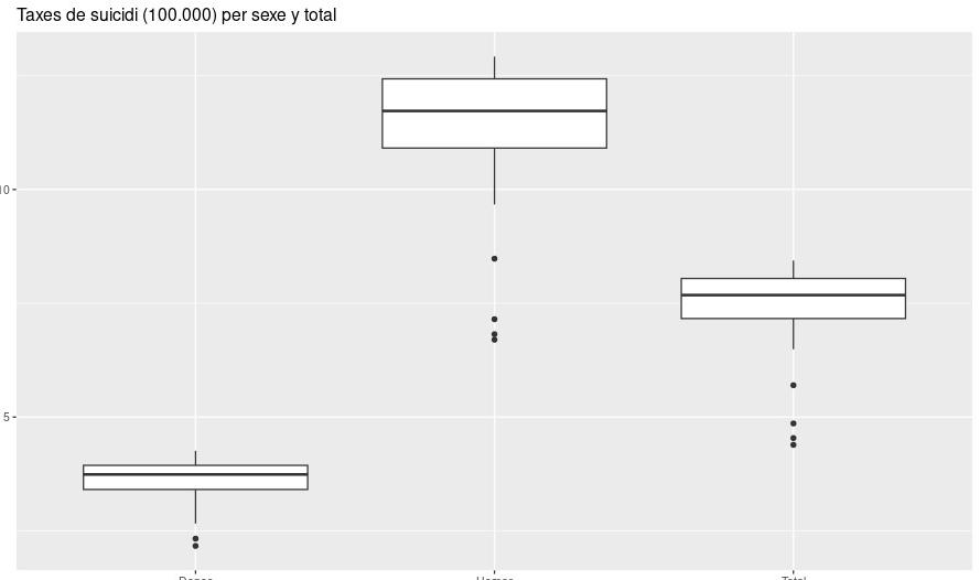
Hem analitzat el període 1980 a 2021, en què s’han registrat 15.276.831 defuncions, de les quals 132.486 van ser per suïcidi (0,87%). Els resultats acumulats per grups quinquennals mostren que el 75% de les defuncions per suïcidi es donen entre els 30 i 79 anys (gràfica I). Aquest grups mostren una forta variabilitat i valors out-

En relació amb el sexe observem que davant d’una mitjana de 7,4 suïcidis/100.000 persones – any (SD= 0,98) la d’homes és de 11,3 (SD=1,57) i de 3,65 (SD=0,48) en dones (gràfica III). L’índex de gènere (homes/dones) mostra un valor

Gràfica I. Gràfic de Pareto per a suïcidis acumulats. Gràfica II. Diagrama de caixa per taxes de suïcidi anual per grups d’edat.
PSIARA 19

mínim de 2,6 (any 1987) i un màxim de 3,5 (any 2010), fortes oscil·lacions i sense tendència (gràfica IV).

la baixa natalitat, envelliments de la generació baby boom i un significatiu nivell d’immigració que poden afectar els resultats.

Per a la seva neutralització hem estandarditzat les taxes d’acord a la població europea estàndard. En aquest cas observem una disminució significativa (gràfic VIII) que es dona tant en homes (gràfic IX) com en dones (gràfic X).

En analitzar l’evolució temporal les dades crues mostren una tendència creixent significativa (gràfica V) amb un augment paral·lel entre homes i dones (gràfiques VI i VII).

En aquest període de temps s’han donat canvis en la piràmide poblacional relacionats amb

Gràfica III. Diagrama de caixa per a taxes de suïcidi anual per sexe. Gràfica IV. Evolució de l’índex de gènere en suïcidi. Gràfica V. Evolució de taxes de suïcidi no estandarditzada. Gràfica VI. Evolució de taxes de suïcidi no estandarditzada (homes). Gràfica VII. Evolució de taxes de suïcidi no estandarditzada (dones ).
20 PSIARA
“Hem analitzat el període de 1980 a 2021 en què s’han registrat 15.276.831 defuncions, de les quals 132.486 van ser per suïcidi (0,87%)”

Gràfica

crement del grup de 10 a 14 anys el 2021, però alhora podem veure que al 1986 es va donar un valor similar que es va autolimitar. Tot i això, val la pena estar-ne al cas, perquè són dos anys consecutius de creixement. Per a tal cosa hem consultat els resultats provisionals de gener a juny de 2.022 on s’observen 7 suïcidis en aquesta franja d’edat (font) front als 22 de tot el 2021 (gràfics XI i XII).

Gràfica

Hem analitzat la possible tendència per grups quinquennals d’edat. Els grups compresos entre 35 i 54 mostren tendència a lleuger creixement, per contra, s’observa una lleugera disminució del de 20-24 i el de 60 o més.

Així mateix, hem analitzat els grups de 10 a 19 anys, ja que en els darrers temps els mitjans de comunicació s’han fet ressò de la problemàtica del suïcidi en l’adolescència. S’observa un comportament erràtic. Visualment destaca el fort in-

VIII. Evolució de taxes de suïcidi estandarditzada. Gràfica IX. Evolució de taxes de suïcidi estandarditzada (homes). X. Evolució de taxes de suïcidi estandarditzada (dones). Gràfica XI. Evolució del suïcidi en població de 10 a 14 anys. Gràfica XII. Evolució del suïcidi en població de 15 a 19 anys.
PSIARA 21
“En aquest període de temps s’han donat canvis en la piràmide poblacional relacionats amb la baixa natalitat, envelliments de la generació baby boom i un significatiu nivell d’immigració que poden afectar els resultats”

Finalment hem obtingut les dades crues a Europa (2010 - 2019) que inclouen la Unió Europa i els països amb la taxa més alta i més baixa. En aquest rànquing Espanya se situa com el 5è amb la taxa més baixa (gràfic XIII).

IDEES CLAU:

1. El suïcidi és, sobretot, un fenomen d’adult. El 75% es donen entre el 30 i els 79 anys.

2. L’augment, en termes absoluts, està fortament relacionat amb l’envelliment de la població.

3. Per sexe, es relaciona fortament amb ser home. Fluctua al voltant de 3 homes per cada dona i en una sola ocasió ha sortit del marge de toleancia de 2 SD. Aquesta va ser el 2010, amb 3,58 homes per cada dona.

4. Per grups d’edat, en els casos que s’observa tendència estadística, és molt lleugerament creixent o decreixent.

5. L’adolescència (definida com el grup de 10 a 19 anys) no mostra tendència en el temps.

6. Tot i això l’increment en el 2021 per al grup de 10 a 14 anys s’ha de seguir de prop a l’espera dels resultats INE del 2022.

7. En la comparativa amb la Unió Europea s’observen unes bones dades, essent el país amb la cinquena taxa més baixa.

8. En el nostre entorn també es dona una major taxa de suïcidis en la població amb discapacitat. El creuament de dades entre INE i les Bases Estatales de Personas con Discapacidad hauria de permetre un coneixement més gran que guiï les polítiques preventives.

Gràfica XIII. Evolució del suïcidi a Xipre, Espanya, Lituània i UE.
22 PSIARA
PSIARA 23

YOLANDA ARTERO

El passat 22 de febrer es va constituir la nova Junta de la Secció de Psicologia Coaching del COPC, presidida per Yolanda Artero. Parlem amb la psicòloga coach i creadora del model de mindfulnessi coaching pel naixement, sobre la importància d’aquesta disciplina a la societat, la presentació oficial de la nova junta, i els il·lusionants plans de futur de la Secció.

Per què vas decidir fer-te psicòloga coach?

Soc una persona reflexiva, em motiva la introspecció i l’autoobservació, i ja de nena utilitzava, sense saber-ho, tècniques de suggestió o programació, per exemple, quan anava al dentista, perquè ho patia molt! Però vaig trigar a dedicar-m’hi perquè vaig tenir un negoci 30 anys que em donava tranquil·litat econòmica (sempre sense perdre el contacte amb la psicologia i sense deixar de formar-me).

Fins al 2011 que, durant el primer congrés de l’ISCP a Sant Pau, la Secció Psicologia de les Organitzacions i el Treball anava demanant sig-

natures per a crear la Secció de Psicologia Coaching. Vaig pensar: “Aquesta és la meva especialitat!”. Em va agradar molt perquè portava la psicologia a tota la ciutadania, feia que tothom se’n pogués servir, no només les persones amb psicopatologies.

“No cal una depressió ni un dol traumàtic. Una tristesa també necessita un acompanyament”
Entrevista
“La psicologia coaching hauria de convertir-se en una branca a la universitat, com la clínica”
24 PSIARA

Com a experta, per a quins casos diries que és més útil la psicologia coach?

Per a tots els àmbits de la vida, sobretot els canvis d’etapa: l’adolescència, la immersió laboral, quan vols ser mare o pare, per a l’educació o criança en parella, vellesa, jubilació, menopausa… Les etapes de la dona són importantíssimes. A mi m’agrada acompanyar en un pla emocional, mental, físic i amb un vessant espiritual, per connectar amb el nostre ser interior, que ara sembla que per fi s’accepta més.

Creus que el o la coach ha de ser obligatòriament psicòleg o psicòloga?

I tant. Mira, jo ara tinc un client que en principi va venir per demanar-me ajuda per a crear una empresa. Però parlant amb ell he vist que li passaven moltes coses: l’han canviat de lloc a la seva feina i ara està molt a disgust, aquesta situació propera a la depressió l’ha fet descuidar la parella, la seva dona l’ha deixat i ara li demana uns diners que ell no té… Total, que he vist

que ell, que no està bé econòmica ni emocionalment, en comptes de preocupar-se del que ell necessita, passa per davant el que necessita la seva exdona. Que està molt bé que li desitgis el millor i l’ajudis si pots, però no si tu t’ofegues. Doncs a una persona com aquesta només la pot atendre un psicòleg o una psicòloga que pugui identificar i abordar aquests problemes o derivar a un psicòleg clínic, arribat el cas.

Com hem d’abordar aquest intrusisme tan habitual?

Crec que el COPC està fent molt bones campanyes en aquest sentit, i que nosaltres ens hem d’enfocar a donar qualitat professional en l’atenció i explicar bé els beneficis d’ajuntar la psicologia i el coaching, molt més que tenir una acció persecutòria. La gent que fa ús del servei també té una responsabilitat i ha de saber que com més formació, més garantia.

D’altra banda, hem d’assegurar-nos que la nostra formació és de qualitat.

Yolanda Artero, psicòloga coach, nova presidenta de la Secció de Psicologia Coachig del COPC
PSIARA 25

Per què vas decidir presentar-te com a presidenta de la Secció? Què et motivava?

Em van informar que la Secció s’havia quedat buida de junta i ningú s’hi presentava, i vaig pensar: “Ostres, jo l’he vist néixer aquesta Secció, és la meva especialitat per excel·lència, té propòsit, té sentit, no vull que desaparegui”. Va aparèixer la meva part salvadora i li vaig preguntar a la Carolina Michavila, que ara és la secretària: “Escolta, tu t’apuntaries si em presento de presidenta?” (perquè, si hi vaig, hi vaig a totes!, i sé gestionar gent i ho faig amb carinyo). Després vaig contactar amb el Carles Ríos: “Carles, tu faries de tresorer? I creus que la Victoria Garcia Masip faria de vicepresidenta?”. Em va dir que sí, em va passar el telèfon de la Victoria i així és com vam fer una junta de dues delegacions, amb 7 persones del

GT Psicologia coaching i regulació emocional i 2 de la Delegació de Tarragona), que per atzar i alguna bona raó estàvem allà parlant d’aquell tema.

I per què creus que vau guanyar amb el 60% dels vots?

Per la proximitat. Sabem que la base de tot són les persones i les posem al centre. Són les que configuren els GT i les que tiren endavant les seccions i el COPC, i això s’ha de reconèixer i valorar. Això és el que ens hem proposat cuidar.

Quins són els vostres objectius a mitjà i llarg termini?

• A mitjà termini, elaborarem dos importants documents:

1. Un document que parlarà del valor afegit i diferencial dels processos de coaching, de les mans dels psicòlegs i psicòlogues coaching. És important perquè constatarem els beneficis, el valor afegit i diferencial de la psicologia coaching amb els altres coaches, i és la manera que s’apagui aquest intrusisme i la gent conegui que existeix una psicologia coaching. Servirà internament per penjar-lo a la Secció i per difondre entre tots els col·legiats i col·legiades, i precol·legiats/

26 PSIARA
“Hi ha universitats que ofereixen màsters en ‘coaching’ i per inscriure’t només et demanen el Batxillerat! No diré noms, però més d’una i més de tres ho estan fent”

ades, i també en vies de fer difusió externa, a través de mitjans de comunicació, les universitats…

2. Una nova edició de l’inventariat d’eines de coaching. La primera va ser publicada el 2015 pel GT Life coaching i ara farem una 2a edició des del GT Psicologia coaching i regulació emocional. No sé si rebrà el mateix nom i serà una actualització o serà una 2a edició amb noves eines. Farem un acte oficial per donar-ho a conèixer i a partir d’aquí en farem difusió.

• Des del GT Coaching & Mentoring executiu i d’equips en organitzacions, continuarem fent el projecte Atenea Mentoring, dirigit a psicòlegs i psicòlogues que inicien la seva carrera professional, amb l’objectiu de desenvolupar-la i guiar-la a mig/llarg termini.

• Oferirem més de 40 hores de formació de qualitat per al següent semestre. Així com taules rodones, presentació de llibres i eines…

• Farem una jornada de psicologia coaching.

• Motivarem la creació de grups de treball.

• Donarem suport a totes les iniciatives de membres de la secció. Si escriuen llibres, acompanyar-los, com vaig fer amb el llibre Mindfulsex (Ed. Plataforma) d’Emma Ribas, perquè ella havia treballat als GT. Ara presentarem el llibre Aikido y liderazgo empresarial (Ed. Libros de cabecera) del psicòleg César Fernández.

• El 2024 farem una formació teoricopràctica de 120 hores (80 teòriques i 40 pràctiques) des del Col·legi. Ja ho hem parlat amb Junta de Govern i està aprovat. Jo la posaria a l’àmbit universitari, hauria de ser un conveni entre el COPC i la universitat, per iniciativa nostra. I configurar una formació que poguem dir que aquesta és la formació de psicologia coaching per excel·lència.

• M’encantaria acabar la legislatura fent un congrés amb l’ISCP (International Society for Coaching Psychology).

Presentació del llibre Mindfulsex d’Emma Ribas, el passat 30 de març.

Creus que tot això serà possible?

Sí, crec que tot això es farà. Si jo parlo és amb un compromís. Si no, m’estimo més callar. En l’únic que crec que m’he avançat és en parlar d’aquesta formació oficial universitària, però vull posar la llavor. El primer és la ment i anar “regant” perquè això sigui una realitat i que hi hagi un conveni. Hi treballarem!

Tu que has estat a la Secció des dels inicis, què veus que s’ha aconseguit fins ara?

Ja som 525 membres a la Secció, un nombre important, i tenim 3 GT vigents i actius, cosa molt a valorar perquè hem passat una pandèmia. I, tot i això, ens hem vist i donat suport mensualment, hem potenciat les eines digitals, hem creat comunitat professional i família, perquè l’amistat és real, i això per a mi és un èxit.

Com t’imagines una psicologia coach ideal d’aquí a 5 anys?

M’agradaria que molta gent s’acostés a la psicologia coaching per potenciar la seva salut, el seu benestar i el seu rendiment en els diferents àmbits de la vida: personal, professional, domèstic, de criança, de parella…

M’agradaria que poguéssim estar tranquils perquè realment hi ha una constància i un cos teòric que ens avala científicament, molt més instaurat, contrastat, amb molta més investigació, i que en 5 anys aquesta formació oficial de

PSIARA 27

la psicologia coaching fos una altra branca que tota persona jove pogués escollir, com la psicologia clínica o la neuropsicologia.

I m’agradaria que tingués una llarga vida, perquè és una disciplina que, mentre altres tenen el focus en la malaltia, aquesta posa el focus en la salut i, per tant, en la prevenció. És una satisfacció haver-hi col·laborat amb el meu granet de sorra a enfocar la gent cap a la salut, i amb aquesta junta, de la qual estic molt contenta. Som treballadores, estem aprenent a treballar juntes i anem a l’una. Despleguem tot el potencial i l’heterogeneïtat en què estem formades, i això és molt bonic.

28 PSIARA
“Ara la ciutadania coneix els ‘coaches’ d’Eufòria, de Masterchef o de l’esport, però no els personals de la salut mental”

SALUT MENTAL MATERNA: QUINS SÓN

ELS REPTES ACTUALS?

Des del Grup de Treball de Psicologia

Perinatal del COPC ens sumem a la necessitat de conscienciar sobre els problemes de salut mental materna i fer propostes tant des de la prevenció com des de la intervenció perquè la dona pateixi menys.

Com crear consciència sobre els problemes de salut mental materna?

L’any 2021 l’Organització Mundial de la Salut (OMS) va declarar que totes les persones tenim dret a gaudir del més alt nivell possible de salut física i mental.

Tanmateix, existeix una alta incidència de problemes de salut mental i un dèficit en la seva atenció durant l’embaràs i de forma prèvia a aquest. Els efectes que això comporta es troben exposats en una revisió sobre l’anàlisi del risc de la malaltia materna no tractada (1). Segons la Sociedad Marcé Española (MARES) (2) més del 75% de dones no seran diagnosticades i no rebran ni el suport ni el tractament adequat. Aquesta dada ens indica que la salut mental materna no es té en compte tot i ser un important problema de salut pública amb conseqüències per a la mare durant l’embaràs (3) i també durant el postpart (4).

Tenint en compte els efectes dels trastorns mentals perinatals no tractats en la mare, en la família, a nivell obstètric i també en el nadó, la prevenció i comptar amb suport psicològic durant aquesta etapa de la vida de les dones resulta fonamental. Els efectes en la descendència poden donar-se a nivell físic, com ara pitjor salut general, retard del creixement, alteracions del pes i en el neurodesenvolupament, a nivell emocional en els nadons de gènere femení (5) i a nivell cognitiu i conductual en els nadons de gènere masculí (6).

Reflexió i pràctica PSIARA 29
Per Lola Márquez, Anaïs Barcelona, Rosa Alonso, Jessica Arjona i Mireia Lanaspa

També s’ha constatat que la salut mental materna no tractada té uns efectes en el vincle i en la díada mare-nadó.

Durant l’embaràs, es produeixen una sèrie de processos psíquics específics que estan destinats a facilitar la funció materna. Conèixer aquests processos permet comprendre’ls, atendre’ls i acompanyar-los amb l’objectiu de prevenir malestar i un possible trastorn mental.

El lema “Stronger together” ens porta a fer grup, fer tribu, a donar-nos suport entre les dones per transitar la maternitat amb el màxim benestar emocional possible. També a fer xarxa entre professionals que, per vocació, ens dediquem a visibilitzar que la salut mental materna és molt important i a donar suport emocional i cures a la díada mare-nadó i les seves famílies. Habría que añadir otro tipo de conocimiento reflexivo, que se refiere al conocimiento resultante que producimos cuando somos observadores de la interacción en la que estamos participando con el otro, una especie de tercera posición desde la que observamos la interacción en su conjunto.

L’evidència científica (7) mostra que es diagnostiquen més trastorns mentals en les dones a causa de factors biològics, culturals, socials i altres que amplifiquen les diferències de gènere de manera artificial (errors metodològics, infradiagnòstic o supradiagnòstic).

Com a psicòlogues perinatals sabem amb quines dificultats a nivell sociocultural i polític topa la maternitat, sobretot quan s’advoca per un discurs feminista que alhora sigui maternalista (8).

La família com a institució

Des d’un punt de vista ecosistèmic, la família nuclear i extensa representa un paper principal pel que fa a la salut mental materna. Comptar amb el suport del sistema més immediat del que forma part, es tradueix en benestar mental, físic i emocional. No obstant això, l’evolució i mobilització de la societat, tendent a la individualització i a la reducció significativa del nucli familiar, està dificultant cada vegada més que aquesta ajuda tan necessària sigui consolidada en moltes famílies.

La nostra tasca consisteix a crear consciència en les famílies sobre la importància de la participació de tots els membres en el suport a la mare i a la díada mare-bebè. Cal que l’entorn doni veu a la mare i atengui les seves necessitats. Resulta freqüent que, si reben ajuda, aquesta no coincideixi amb la que realment desitjarien en aquell moment. Per exemple, quan algú s’ofereix a cuidar al nadó per tal que la mare s’ocupi de les tasques de la llar seria més important fer-ho a la inversa.

Els serveis públics

Existeix atenció a la salut mental perinatal gratuïta també en altres comunitats com Madrid, Navarra, País Basc i Astúries.

Pel que fa a la salut mental perinatal a Catalunya, comptem amb les unitats d’atenció a la salut sexual i reproductiva (ASSIR) vinculades a l’atenció primària i a l’atenció especialitzada.

Són equips formats per professionals del camp de la llevadoria, la ginecologia-obstetrícia, la infermeria, la psicologia així com personal d’administració.

Els serveis que ofereixen inclouen l’assessorament a la població jove, el consell reproductiu, el control i seguiment de l’embaràs, el diagnòstic prenatal, la interrupció voluntària de l’embaràs, l’educació maternal, l’atenció al puerperi, la prevenció del càncer de coll uterí i del càncer de mama, l’atenció a les malalties de transmissió sexual i a la patologia ginecològica, l’activitat comunitària a persones adultes, l’educació afectiva i sexual i l’atenció a la violència vers les dones.

30 PSIARA

Comptem amb altres serveis públics com la Unitat de Salut Mental Perinatal de l’Hospital Clínic que disposa actualment de dos dispositius assistencials, la Consulta Externa i l’Hospital de Dia Mare-Bebè, que ofereix tractaments intensius i multidisciplinaris. L’Hospital de Dia disposa de 10 places per a mares i 10-12 bebès amb una estada aproximada de tres mesos. Per tal d’atendre el nombre més elevat de mares i adequar els horaris a les diferents necessitats, l’estada pot ser parcial o completa, amb el que s’amplia la capacitat fins a 15-18 places. Així, cada any es poden atendre 50-60 mares i els seus bebès.

nen les pacients ingressades durant l’embaràs o el puerperi. L’abast de l’especialitat és àmplia, tracta els trastorns de la gestació, del part i del postpart, l’avortament, el deslletament i l’adopció, i integra la recerca en la pràctica clínica.

El mercat laboral

Avui en dia, la discriminació cap a les dones en l’àmbit laboral encara succeeix i aquest fet augmenta quan es queden embarassades i molts contractes no es renoven per aquest motiu. En altres ocasions, les mares han de treballar fins a gairebé el final de l’embaràs per tal de minimitzar les pèrdues econòmiques que suposen les baixes per incapacitat temporal. Aquesta situació d’inseguretat i precarietat fa créixer el risc dels problemes de salut mental durant la gestació i en el postpart.

El gener de 2021 la prestació per naixement i cura de menor va substituir les antigues prestacions de maternitat i paternitat i es va igualar les setmanes de baixa que corresponen a cada progenitor. Tot i que existeix una demanda social per part de les mares per augmentar la durada del seu permís, aquesta no s’ha tingut en compte i les setmanes a què tenen dret són les mateixes des de 1989. Diàriament ens trobem amb moltes mares que expressen la seva angoixa quan s’apropa el moment de la seva reincorporació al món laboral perquè senten que el seu lloc és al costat del seu nadó, que encara no té quatre mesos quan han de tornar a la feina remunerada.

A l’Hospital Vall d’Hebron també hi ha una unitat d’atenció a la salut mental perinatal. La unitat es va crear per poder acompanyar dones amb problemes de salut mental i addiccions durant l’embaràs i el puerperi, d’una manera multidisciplinària i des d’una perspectiva feminista interseccional que garanteixi els drets humans de les dones. L’Equip de Salut Mental i Gestació està format per professionals de psiquiatria, psicologia, neonatologia, obstetrícia, infermeria i treball social. La Unitat disposa de consultes externes d’obstetrícia i psiquiatria, i també s’ate-

També manifesten que el seu desig de donar lactància materna exclusiva fins als sis mesos d’edat del seu bebè, tal com recomanen organismes com l’OMS, UNICEF i l’Asociación Española de Pediatría, es veu interromput per les dificultats que es troben amb l’extracció i la conservació de la llet materna en els seus llocs de treball.

Segons dades de 2022 de la Seguretat Social (9), actualment s’està destinant més diners públics als pares que a les mares perquè els primers tenen més i millors feines. Per altra banda, es calcula que un 32 % de mares no tenen dret a la prestació perquè no compleixen amb els requisits de cotització.

PSIARA 31
“A Catalunya, tot i que els serveis de psicologia perinatal públics són encara insuficients, comptem amb més assistència respecte a les altres comunitats autònomes”

Amb relació als efectes de les baixes parentals en la salut mental, en una revisió d’Heshmati et al. (2023) (10) es va observar que la durada més gran del permís generalment s’associava amb un menor risc de símptomes depressius, ansietat i esgotament en les mares.

Què es pot fer a nivell preventiu per tal de cuidar la salut mental materna?

És molt important atendre, acompanyar, cuidar i fomentar la salut mental en els processos vitals de preconcepció, embaràs, part, postpart i criança sense afegir connotacions negatives.

Com a psicòlogues perinatals sabem si allò que observem en les dones és allò “esperable” o bé s’apropa a la patologia.

Es pot fer una tasca psicoeducativa important de caire integral i multidisciplinari sobre el benestar emocional de les dones facilitant que rebin més informació, suport i comprensió en la responsabilitat d’esdevenir mares, un procés que només és de la mateixa dona.

Això es pot fer tot implementant:

Programes psicoeducatius liderats per psicòlogues perinatals i altres professionals en xarxa formades en salut mental perinatal i psicopatologia perinatal i amb dinàmiques per orientar, acompanyar, donar a conèixer informació sobre els seus drets, i dotar-les d’eines i recursos per prendre consciència de les decisions que volen escollir, per aprendre a escoltar i a confiar en el propi cos i els seus missatges, atendre la intuïció, i facilitar estratègies d’afrontament per mantenir-se amb benestar psicoemocional sobre tot allò que implica la maternitat, i que moltes mares reconeixem que ningú ens havia explicat:

• Que existirà una transició entre la no-maternitat i la maternitat, ja que l’embaràs, el part i el postpart suposa un viatge transcendental, una crisi evolutiva en la dona la qual comporta vulnerabilitat, reequilibri i adaptació a un procés de canvi, revisió de les relacions, canvi en les prioritats, etc.

• Que l’etapa de l’embaràs, part i postpart és un període on, en alguns casos, podria veure’s afectada la salut mental i on es farà necessari un reajustament sobre les expectatives.

• Que cada embaràs, part i postpart és di-

32 PSIARA

ferent i de com es visquin i acompanyem aquests processos determinarà la seva vivència i l’empremta a la seva memòria.

• Que les dones sàpiguen què han d’esperar d’aquesta etapa les ajudarà a gestionar pors, angoixes, tensions, culpes, i a fer un treball d’autoconeixement de les seves necessitats i circumstàncies, d’acceptació i de legitimació de la seva identitat -la qual serà una nova identitat en esdevenir mares-, i de com desitgen viure la maternitat, a decidir per elles mateixes què els convé i què no. Això afavorirà el seu empoderament i sentir-se respectades.

• Com afavorir el millor desenvolupament de les funcions parentals amb un acompanyament al llarg de la gestació i els primers anys de l’infant.

Atenció adequada per part dels professionals sanitaris

El 1985, l’Organització Mundial de la Salut (OMS) va decretar que tota dona té dret a:

• Una adequada atenció prenatal.

• Desenvolupar un paper central i actiu en la planificació, avaluació i execució de l’assistència sanitària rebuda.

Des d’aleshores, s’han encaminat esforços a nivell mundial per adequar les polítiques sanitàries als esmentats drets. Així i tot, avui dia continuen essent molts els casos de Violència Obstètrica (VO) arreu del món.

Des de l’Observatorio de Violencia Obstétrica, la VO es pot donar durant tot el cicle reproductor de la dona sent més freqüent durant l’etapa perinatal. Es defineix la VO com:

• L’acte de desconèixer l’autoritat i autonomia de les dones envers la seva sexualitat, els seus cossos, els cossos dels seus nadons i les seves experiències d’embaràs i part.

• Ignorar l’espontaneïtat, les postures, els ritmes i el temps que requereix el normal desenvolupament d’un part.

• No tenir en compte les necessitats emocionals de la dona o del nadó en qualsevol etapa.

També es considera VO les pràctiques i conductes realitzades per professionals de la salut a les dones durant l’embaràs, el part i el puerperi que per acció o omissió són violentes o poden ser percebudes com a violentes. Són freqüents situacions d’infantilització i humiliació. Es tracta d’una violència estructural que és molt difícil d’acceptar per part dels professionals que l’exerceixen perquè no la realitzen de manera intencionada.

Sabem que la VO té conseqüències en la salut física i mental de mares i nadons. Pot provocar depressió postpart, trastorn per estrès posttraumàtic (TEPT), quadres d’ansietat i dificultats en l’establiment del vincle amb el seu nadó.

També afecta altres esferes com la relació de parella, la sexualitat i les relacions socials. Moltes dones senten por excessiva a tornar a parir en un hospital i, en molts casos, no volen tenir més infants per por a haver d’enfrontar-se a un altre part.

A Espanya es calcula que dos de cada tres dones pateixen VO. Les que l’han patit poden trigar mesos, fins i tot anys, a ser-ne conscients. Segons Mena (11) i altres autors, el 2021 es va estimar la prevalença d’un 38,3% de casos de VO al nostre país.

La majoria de les dades fan referència als parts hospitalaris on encara avui dia hi ha un alt nivell d’intervencionisme, especialment a la sanitat privada.

PSIARA 33

El Comitè per a l’Eliminació de la Discriminació Contra la Dona (CEDAW) de l’ONU ja ha dictaminat en tres ocasions (el 2020, el 2022 i el 2023) que Espanya era responsable per VO. El CEDAW ha fet recomanacions específiques al respecte, com per exemple, proporcionar reparació plena a la víctima, realitzar estudis i estadístiques sobre VO i capacitar als professionals de l’àmbit jurídic i sanitari perquè puguin reconèixer les diferents manifestacions de la violència. L’OMS, al seu torn, proposa disminuir el nivell d’intervencionisme en els parts, tot estipulant percentatges màxims permesos d’algunes pràctiques habituals.

Com intervenir per a què la dona pateixi menys?

1. Tenir present la psicoteràpia individual, de parella i familiar sistèmica

És necessari oferir atenció especialitzada, assistència i acompanyament a la maternitat i a la criança per part de psicòlogues perinatals davant qualsevol malestar que pugui afectar la salut mental de la dona i la seva parella.

També és important l’assessorament en la gestió de diferents estats emocionals com ara l’ambivalència emocional, la culpa, les preocupacions, etc. per integrar la nova vivència d’esdevenir mares així com atendre les dificultats emocionals que pugui tenir la parella, si la mare en té. L’arribada d’un bebè implica una crisi i pot resultar tot un repte adaptar-se als canvis que aquest esdeveniment suposa en la dinàmica familiar, la constitució de nous rols, la reestructuració dels temps i la ubicació de la família d’origen i de la família extensa.

En el cas de patologia mental de la mare o de l’altre progenitor o bé quan el seu benestar emocional es troba en risc, on els seus recursos emocionals i psíquics poden veure’s compromesos, cal garantir que puguin ser sostinguts amb ajuda comunitària adequada. No sentir-se competents agreujaria la seva salut mental i és per això que és imprescindible que es garanteixi una correcta coordinació entre els serveis socials, sanitaris i educatius.

La formació en perspectiva de gènere, la sensibilització dels professionals sanitaris i de l’àmbit judicial i la posada en marxa de programes de suport per a les dones víctimes d’aquesta violència són imprescindibles per a erradicar-la.

Aquests programes han de focalitzar-se en què les dones puguin expressar i compartir els seus sentiments amb altres dones que hagin passat per la mateixa experiència, així com acompanyament psicològic per a superar el trauma en tots els casos que ho requereixin.

Existeixen proves de l’eficàcia de les teràpies psicològiques (força estudis en la depressió postpart; en grau més baix durant l’embaràs) que ens indiquen que amb el suport psicològic i el tractament adequat, les dones poden superar el seu malestar i/o la malaltia amb l’objectiu de normalitzar la seva vida, vincular-se de manera sana amb el seu bebè i tenir-ne cura.

Així, s’han mostrat eficaces teràpies (12) com: cognitivo-conductual, teràpia interpersonal, teràpia de suport no directiu, teràpies sobre la interacció mare-bebè i altres intervencions més innovadores.

“Malgrat que alguns col·lectius ho han negat, no hi ha dubte que la violència obstètrica existeix i que és necessari visibilitzar-la”
34 PSIARA

En alguns casos, resultarà necessari un tractament psicofarmacològic per part dels professionals de la psiquiatria perinatal. Aquests s’ocupen d’identificar la simptomatologia de descompensació i monitoritzar el tractament compatible amb l’embaràs i amb la lactància materna. Alhora, treballen en equip amb les psicòlogues perinatals per intervenir amb teràpies psicològiques basades en l’evidència científica. Aquestes es troben recollides a les Guies de Pràctica Clínica (GPC) de trastorns mentals en l’etapa perinatal, a nivell internacional hi ha disponibles tres guies GPC amb recomanacions específiques (13).

2. Tenir en compte variables socioculturals, com es viu la maternitat en el país d’origen de la dona

Vivim en una societat on els professionals sanitaris hem de tenir presents les variables socioculturals. Hi haurà diferents costums respecte a la maternitat en funció del país d’origen de la dona. Les dones immigrades conformen una població jove, trobant-se la majoria en edat reproductora, per la qual cosa l’atenció a la salut reproductiva constitueix una demanda prioritària.

pot ocórrer que durant l’atenció manifestin contradiccions amb les concepcions socioculturals interioritzades en els seus llocs d’origen. La influència de la cultura en els aspectes reproductius no sempre és entesa pels profession sanitaris, que des d’una actitud etnocèntrica,

L’atenció sanitària pot veure’s compromesa tant per barreres lingüístiques com culturals, atès que la reproducció i la maternitat constitueixen fenòmens biopsicosocials on es reflecteixen valors, sentiments i creences. Encara que la qualitat de la sanitat espanyola ofereix avantatges envers les dones immigrades, que veuen disminuir la morbi-mortalitat materna i neonatal respecte als seus països d’origen,

podem manifestar prejudicis, així com discursos d’incomprensió davant les diferències culturals i socials en les pràctiques sanitàries, la qual cosa pot conduir a desigualtats en l’atenció sanitària.

En aquest sentit, l’Associació Catalana de Llevadores (ACL) i Farmamundi han realitzat una sèrie de conferències sobre com es viu la maternitat i la criança en diferents cultures: Marroc, Senegal, Pakistan i la Xina. Es poden visualitzar al canal de YouTube de l’ACL.

3. Oferir espais i serveis de cures i sororitat com els grups de dones embarassades i noves mares de suport a l’embaràs, postpart i criança acompanyats per psicòlogues perinatals i altres professionals en xarxa a nivell públic

Abans es maternava en tribu (14); ara, la maternitat es viu molt sovint en soledat i aquest fet canvia radicalment l’experiència de ser mare (15). Es tracta d’espais de confiança, de complicitat i d’aprenentatge de vivències compartides on la dona parla en la seva llengua materna, on se sent acollida, escoltada, acceptada, no qüestionada i validada. La dona en aquests grups se sent autoritzada a portar la pròpia vida endavant des del simbòlic matern, com una nova manera de col·locar-se al món, alhora que es donen suport les unes a les altres.

PSIARA 35

L’acompanyament per part dels professionals i la verbalització de les preocupacions de la mare embarassada pot alleugerir una futura depressió postpart. També resulta important que pugui anar preparant-se tot observant a les noves mares i escoltant la seva vivència del postpart. La millor intervenció i suport psicosocial possible és fer que la mare se senti sostinguda perquè, al seu torn, pugui establir i sostenir el vincle amb el seu nadó durant l’embaràs, el postpart i la criança.

Stronger together (16): posem al centre la Salut Mental Materna perquè d’això en depèn la salut de la població, present i futura.

BIBLIOGRAFIA

• (1) Gentile, S. (2017). Untreated depression during pregnancy: Short- and long-term effects in offspring. A systematic review. Neuroscience, 342, 154–166. https://doi. org/10.1016/j.neuroscience.2015.09.001

• (2) Serrano Drozdowskyj, E.(2019). La salud mental materna es una prioridad. https:// www.sociedadmarce.org/IMAGES_35/diasmm-2019.pdf

• (3) Dunkel Schetter, C. y Tanner, L. (2012). Anxiety, depression and stress in pregnancy: implications for mothers, children, research, and practice. Current opinion in psychiatry, 25(2), 141–148. https://pubmed.ncbi.nlm.nih. gov/22262028/

• (4) Slomian, J., Honvo, G., Emonts, P., Reginster, J. Y., y Bruyère, O. (2019). Consequences of maternal postpartum depression: A systematic review of maternal and infant outcomes. Women’s health (Lond), 15, https://doi: 10.1177/1745506519844044

• (5) Goodman, S. H., Rouse, M.H., Connell, A.M., Broth, M.R., Hall, C.M., y Heyward, D. (2011). Maternal depression and child psychopathology: a meta-analytic review. Clin Child Fam Psychol Rev. Mar;14(1):1-27. https://doi: 10.1007/s10567-010-0080-1

• (6) Grace, S.L., Evindar, A. y Stewart, D.E. (2003). The effect of postpartum depression on child cognitive development and behavior: a review and critical analysis of the literature. Arch Womens Ment Health. Nov;6(4):263-74. https://doi: 10.1007/s00737003-0024-6

• (7) Bacigalupe, A., Cabezas, A. L., Bueno, M. B., y Martín, U. (2020). El género como determinante de la salud mental y su medicalización. Informe SESPAS 2020. Gaceta sanitaria, 34, 61-67. https://doi.org/10.1016/j. gaceta.2020.06.013

• (8) Vivas, E. (2019). Mamá desobediente. Una mirada feminista a la maternidad. Madrid: Capital Swing.

• (9) Ministerio de Inclusión, Seguridad Social y Migraciones. (2023, 27 de enero). La Seguridad Social tramitó 473.720 permisos por nacimiento y cuidado de menor en 2022. https://www.inclusion.gob.es/web/guest/w/ la-seguridad-social-tramito-473.720-per-

36 PSIARA

misos-por-nacimiento-y-cuidado-de-menor-en-2022

• (10) Heshmati, A. Honkaniemi, H. y Juárez, S. (2023) The effect of parental leave on parents’ mental health: a systematic review. The Lancet Public Health, 8, Issue 1, 57-75.

https://doi.org/10.1016/S2468-2667(22)003115

• (11) Mena-Tudela, D., Iglesias-Casás, S., González-Chordá, V. M., Cervera-Gasch, Á., Andreu-Pejó, L., y Valero-Chilleron, M. J. (2020). Obstetric Violence in Spain (I): Women’s perception and interterritorial differences. International Journal of Environmental Research and Public Health, 17, (7726), 1-14. https://doi.org/10.3390/ijerph17217726

• (12) García-Esteve, LL., y Valdés, M. (2017). Manual de psiquiatría perinatal. Guía para el manejo de los trastornos mentales durante el embarazo, postparto y lactancia. Madrid: Médica Panamericana.

• (13) National Institute for Health and Care Excellence [NICE], (2020). Postnatal Care [F] Content of postnatal care contacts. https:// www.nice.org.uk/guidance/ng194/documents/evidence-review-6

• (14) Zaballa, B. (Anfitriona) (2023, 3 de abril). Ai mare: Feminisme i maternitat, de l’ambivalència a la sororitat. [Podcats]. VilaWeb. https://www.vilaweb.cat/podcast/ ai-mare-feminisme-i-maternitat-de-lambivalencia-a-la-sororitat/

• (15) Del Olmo, C. (2013). ¿Dónde está mi tribu? Maternidad y crianza en una sociedad individualista. Madrid: Clave Intelectual.

• (16) World Maternal Mental Health Day. Raising awareness of maternal mental health issues, so that more women will get treatment and fewer will suffer. (2023, 20 de marzo). WMMH Day. https://wmmhday.postpartum. net/get-involved/

PSIARA 37

EN CONTRA DE LA GUERRA A UCRAÏNA!

[Leeelartículoencastellano]

Pau Martínez és doctor en psicologia, fa més de 30 anys que treballa com a psicòleg clínic i és tutor de Grau de Psicologia i de pràctiques.

És autor de diversos articles en revistes científiques i de dos llibres:

- Laincomunicaciónvirtual -Agorafobiaycrisisdeangustia. Causasydesencadenantes

[ReadthearticleinEnglish]

A la guerra d’Ucraïna, com en tots els enfrontaments armats, els rics posen les armes i els pobres posen els morts (1). La ciutadania russa no pot manifestar-se per demanar la pau, perquè si ho fan, són empresonats i una vegada dintre ja no saben quin serà el seu destí (2). A Europa sí que podem manifestar-nos per demanar la pau a Ucraïna, però poques persones ho han fet (3).

Res a veure amb les grans manifestacions en contra de la invasió d’Iraq l’any 2003, que van aplegar milions de ciutadans arreu del món (4). També és veritat que després de caure les primeres bombes sobre terra iraquiana, els manifestants van començar a disoldre’s. Aquesta va representar la primera victòria de la invasió d’Iraq, perpetrada per tres innombrables que el Tribunal internacional de la Haia no ha perseguit mai (5, 6, 7, 8).

Dintre d’un parell de segles, quan cerquin una fotografia que resumeixi el drama dels immigrants sud-africans i dels refugiats que han mort ofegats a la Mediterrània al segle XXI, segurament trobaran aquella feta l’any 2000 a Tarifa, Cadis, que mostra una parella de banyistes sota un para-sol, davant el cadàver d’un noi subsaharià ofegat en naufragar la pastera amb la qual volia arribar a Europa (9). O bé, la fotografia del cadàver d’Alan a la sorra d’una plaja de Turquia, el nen que va morir ofegat al mar quan

i pràctica 38 PSIARA
Reflexió

ell i la seva família fugien de la guerra de Síria l’any 2015 (10). Quan els nostres descendents contemplin aquestes fotografies segurament es preguntaran: I els nostres avantpassats, què feien quan tot això passava?

“Què feien quan tot això passava?” és la pregunta que moltes persones segueixen formulant-se per entendre la passivitat dels ciutadans alemanys a l’època del nazisme, quan els seus veïns eren assenyalats com a jueus, gitanos, homosexuals o discapacitats, i com a conseqüència, perseguits, empresonats i assassinats (11, 12).

A Rússia els ciutadans estan obligats a callar. A Europa ho fem per iniciativa pròpia. I tard o d’hora la història ens passarà la factura.

REFERÈNCIES

• 1. “El moviment del cossos celestes ha esdevingut més clar, però per al poble, els moviments dels poderosos continuen essent incomprensibles.” En Bertol Brecht (1997), Galileo Galilei (1949), Barcelona: Edicions de 1984, pàg. 197.

• 2. Guardian staff and agencies, 22.09.2022, Russia protests: more than 1,300 arrested at anti-war demonstrations, The Guardian. https://www.theguardian.com/world/2022/ sep/22/russia-protests-more-than-1300-arrested-at-anti-war-demonstrations-ukraine (Vist per última vegada, 18/04/2023).

• 3. Redacció, 24.02.2023, Manifestacions per tot el país contra la guerra d’UcraÏna en el primer aniversari de la invasió russa. VilaWeb. https://www.vilaweb.cat/noticies/manifestacions-pais-guerra-ucraina-invasio-russa/(Vist per última vegada, 18/04/2023).

PSIARA 39

• 4. Manifestacions mundials contra la guerra d’Iraq. Viquipèdia. https://ca.wikipedia. org/w/index.php?title=Manifestacions_mundials_contra_la_guerra_d%27Iraq&oldid=31264179 (Vist per última vegada, 18/04/2023).

• 5. Sobejano Agustín , DR., 16.03.2023, Veinte años después de la foto del Trío de las Azores, Elplural.com https://www.elplural.com/ politica/internacional/veinte-anos-despuesfoto-trio-azores_307707102 (Vist per última vegada, 18/04/2023).

• 6. Chomsky compara la invasió d’Ucraïna amb la d’Iraq. Vegeu: Baroud, R., 03.07.2022, Chomsky on the Root Causes of the Russia Ukraine War. Kashmirreader. https://kashmirreader.com/2022/07/03/chomsky-on-theroot-causes-of-the-russia-ukraine-war/ (Vist per última vegada, 18/04/2023).

• 7. Pel que sembla, envair un país donant com a motius arguments que són mentides, violant la Carta de les Nacions Unides i causant desenes de milers de morts i desplaçats, no es pot considerar un Crim contra la Humanitat. Vegeu: Invasión de Irak de 2003. Wikipedia. https://es.wikipedia.org/wiki/Invasi%C3%B3n_de_Irak_de_2003 (Vist per última vegada, 18/04/2023).

• 8. No es d’estranyar que el Tribunal Internacional de la Haia sigui motiu de burla en països que no pertanyen a la OTAN. Vegeu: Pjotr Sauer, 14/03/2023, Russia says it does not recognise Hague court amid reports of arrest warrants, The Guardian. https://www. theguardian.com/world/2023/mar/14/russiasays-it-does-not-recognise-hague-court-amidreports-of-arrest-warrants (Vist per última vegada, 18/04/2023).

• 9. Bauluz, J., 06.11.2020, 20 años después, ¿hemos cambiado?, lamarea.com. https:// www.lamarea.com/2020/11/06/20-anos-despues-hemos-cambiado/ (Vist per última vegada, 18/04/2023).Capital Swing.

• 10. Rovira, J., 04.09.2015, Què fem amb aquesta foto?, Report.cat, Setmanari d’anàlisi de periodisme i comunicació. https://www. report.cat/que-fem-foto-nen-siria-refugiatofegat/ (Vist per última vegada, 18/04/2023).

• 11. Ministerio de Educación de la Nación Argentina, Julio de 2010, Holocausto, Preguntas, respuestas y propuestas para su enseñanza, 2ª Edición. http://www.bnm.me.gov. ar/giga1/documentos/EL005100.pdf (Vist per última vegada, 18/04/2023).

• 12. El asesinato de los discapacitados, Enciclopedia del Holocausto. https://encyclopedia.ushmm.org/content/es/article/ the-murder-of-people-with-disabilities (Vist per última vegada, 18/04/2023

40 PSIARA
PSIARA 41

F. Solano Romero y M. Romeo: “Un proceso de mentoring del COPC es una experiencia de crecimiento y aprendizaje única”

Ayudan a recién graduados y graduadas en psicología a dirigir su carrera, y también a seniors a reorientar su camino profesional. Francisco Solano Romero y Marina Romeo, presidente y vicepresidenta de la Sección de Psicología de las Organizaciones y el Trabajo del COPC, tienen claro que su trabajo vocacional y el del resto de mentores y mentoras del proyecto Mentoring Atenea “no solo revierte en los mentees , sino en el avance de toda la profesión”.

Este julio se abre la 6ª convocatoria del proyecto Mentoring Atenea. ¿A quién le recomendaríais aprovechar esta oportunidad?

Francisco Solano Romero: A todos los nuevos colegiados y colegiadas que no tengan claro en qué ámbito o actividad quieren desarrollarse. Y también a los que, independientemente de su edad o años en la profesión, estén en un proceso de cambio personal y se estén replanteando su actividad y su desarrollo futuro.

Entrevista
42 PSIARA

Un proceso de mentoring es un acompañamiento para elaborar un plan de desarrollo de competencias y potencialidades profesionales.

¿Cuál es vuestro objetivo?

Marina Romeo: Ayudar, tanto al junior como al senior, a visibilizar y a tomar conciencia de sus competencias, y acompañarles en su plan estratégico.

¿Cómo surgió la idea?

F.S.R.: En el año 2016, por iniciativa del Consejo Social, se pidió a la Sección de Psicología de las Organizaciones y del Trabajo, antes siquiera de nuestra candidatura, que pensara en un proyecto que ayudara a facilitar el desarrollo a medio plazo de los y las jóvenes licenciados.

¿Y por qué decidisteis involucraros personalmente?

F.S.R.: Es nuestra profesión. Llevamos toda la vida trabajando en proyectos de ayuda, orientación, desarrollo del potencial… Para mí era una necesidad que había en el Colegio. ¡No entendía por qué aún no se había hecho!

M.R.: En mi caso fue porque me siento altamente comprometida con la profesión psicológica, y quería compartir mis conocimientos y experiencias con otros profesionales, en aras de su desarrollo personal y profesional.

Cuando el proyecto nació, en 2016, solo estaba abierto a profesionales con menos de 5 años de experiencia.

M.R.: Sí, pero la realidad nos ha evidenciado que algunos y algunas profesionales senior también requieren de este proyecto en el momento en que se replantean otras opciones o caminos la borales.

PSIARA 43
“Considero que todo aquello que de manera generosa podemos hacer por y para la profesión revierte en su mejora y profesionalización, y para mí ese es el leit motiv“

En estos casos, la mentoría les brinda la oportunidad de repensar sus futuros profesionales. Por lo que resulta importante señalar que, a lo largo de estos tres años, no solo hemos mejorado el proyecto en los aspectos procesuales, sino en los propios contenidos.

F.S.R.: Sí, el proyecto ha ido mejorando en cuanto a formato, convocatorias, prácticas… Actualmente se abren dos convocatorias anuales, y , para aquellas personas interesadas, la segunda de este año será ahora en julio.

Recibís más de 30 peticiones al año. ¿Cuáles son las demandas más frecuentes?

F.S.R.: Descubrir en qué ámbito pueden desarrollarse con más efectividad.

M.R.: También está el perfil más júnior, que inicialmente se ha formado en el ámbito sanitario por miedo a no poder ejercer profesionalmente si en el futuro se decidiera por ese sector, pero que no tiene muy claro a qué otros ámbitos puede dedicarse.

¿Cómo decidís a quién se le da plaza, es decir, quién se convierte en mentee?

F.S.R.: Se decide desde el Departamento de Desarrollo Profesional del COPC, priorizando a las personas que están buscando un plan de desarrollo, no un trabajo, no cómo abrir un gabinete,

sino “yo a qué podría dedicarme de acuerdo con mi perfil, y qué quisiera hacer”. El primer criterio es coger a alguien que esté buscando un plan de desarrollo.

¿Y por qué motivos soléis desestimar candidaturas?

M.R.: En general, cuando la persona está buscando soluciones a corto plazo (un business plan, cómo ser rentable, saber cuáles son las actividades que podría desarrollar dentro del gabinete, etc.) en lugar de un plan de desarrollo a medio plazo.

F.S.R.: Y cuando lo confunden con sistemas de supervisión. Por ejemplo, un psicoterapeuta que quiera supervisión para los casos que está llevando.

Hablemos ahora de los mentores. ¿Cómo se

44 PSIARA

eligen?

F.S.R.: Igual que los mentees: solicitan entrar en el proyecto. Y lo que les pedimos es que tengan experiencia en el rol de mentores, no como consejeros, asesores ni supervisores. Lo ideal es que haya pasado por varias etapas de desarrollo personal, incluso que haya experimentado dedicarse a diferentes ámbitos de la psicología,

M.R.: Sí. Es posible asignar un máximo de dos mentees por mentor.

F.S.R.: Cabe decir que este proyecto no solo se evalúa por los mentees, desde el punto de vista del grado de utilidad y eficacia para ellos, sino también por los propios mentores, desde el punto de vista de la eficacia del proceso de trabajo, de la metodología.

¿Y qué notas acaban poniendo?

F.S.R.: Altísimas, en un nivel de excelencia. 9 y pico sobre 10, a nivel de eficacia del proceso.

para estar en mejor posición de poder ampliar la visión del mentee.

M.R.: Y que tengan esa visión sistémica de la profesión, porque al final también pueden ayudar más a la visión del propio mentee

F.S.R.: Luego les convocamos a una reunión de trabajo y verificamos que estén enfocados y que no vengan, por ejemplo, a hacer supervisión, y empezamos a centrar las competencias claras que han de tener.

M.R.: Y además se hace un trabajo de supervisión del mentor –al inicio, a mitad y al final del proceso– para generar una visión compartida respecto a lo que es el proceso de mentoring, junto con todos los mentores, lo que ayuda a analizar posibles desajustes, o incluso compartir buenas praxis que pueden ser elementos de valor añadido para los mentores.

¿Cuántos mentores habrá en esta convocatoria de julio de 2023?

F.S.R.: Habrá unos 15 procesos en marcha.

¿Un solo mentor puede atender a varios mentees?

M.R.: La perspectiva de los mentees y la de los mentores nos permite tener una visión conjunta de todo el proceso de mentoría, y resulta muy gratificante ver que ambos valoran muy positivamente el objetivo y el procedimiento. Desde mi punto de vista, es importante señalar que el de los mentores es un grupo muy cohesionado e implicado, lo que ha facilitado que se haya generado un circuito de boca a boca que ha ayudado mucho a la promoción de la actividad.

Todo empieza con una reunión virtual a la que puede ir cualquier persona interesada.

F.S.R.: Exacto. Si alguien está interesado en conocer el proyecto y saber si le puede servir, puede acudar a reunión informativa abierta virtual, con Marina y conmigo. Resolveremos todo tipo de dudas hasta ver si realmente esto es lo está buscando y se lo aconsejamos.

PSIARA 45
“Gracias a este proyecto, se está creando en el Colegio un equipo de mentores y mentoras muy cualificados y experimentados”

M.R.: El potencial mentee ha de salir con una idea clara de cuál va a ser el objetivo de este proceso, distinguirlo claramente de otros servicios que se están ofertando en el colegio: de supervisión, coaching…

F.S.R.: El feedback que estamos recibiendo es que esta reunión es muy valiosa, nos lo agradecen muchísimo, porque les aclara todas las dudas y quien entra al proyecto después de la reunión realmente ya entra sabiendo lo que busca.

¿Y cuando alguien ya sabe que está en el lugar correcto…?

F.S.R.: Entonces solicita entrar en el proceso, y desde el Colegio se busca cuál es el mentor más adecuado en función su situación y su perfil. Analizamos candidaturas de mentee y las propuestas de mentores para hacer el match El futuro mentee solo ha de esperar a que se le asigne un mentor, y este entra en contacto directamente con la persona: “Hola, soy tu mentor. Vamos a concretar un primer encuentro”.

¿Cuál es el trabajo del mentor?

F.S.R.: Son muchas horas de trabajo y mucha dedicación. Cada mentor tiene 4 sesiones con su mentee, que en total vienen a ser unas 5 horas. Detrás tiene otras 4 o 5 horas de preparación, más toda la formación, más las sesiones. Es decir, estamos hablando de que, para un mentor, formarse y llevar un proceso puede estar en torno a las 20-25 horas tranquilamente. Además, una de las ventajas que tiene este tipo de proyecto de mentoring es que tiene dos dimensiones: hacia el mentee y hacia el mentor. Los dos ganan, los dos aprenden, los dos se desarrollan.

¿Qué gana el mentor?

M.R.: Cuando tú ves que tu trabajo es útil, y que la persona a la que le has dedicado tiempo ha podido tomar una decisión que es estratégica para su vida, para ti es clave, te sientes recompensado, y como profesional estás incidiendo en el bien de la profesión y a un nivel individual.

F.S.R.: Hay personas colegiadas que han pasado por el rol de mentee y actualmente están muy implicadas en las Secciones y la estructura de trabajo del Colegio. Tenemos gente que, a partir de esa experiencia, ha empezado a formar parte de un grupo de trabajo, juntas directivas…

Contadnos algún otro caso de éxito.

M.R.: Una persona sobre los 40 años con una trayectoria exitosa en el ámbito organizacional decidió reorientar su actividad profesional al ámbito de la psicología forense.

F.S.R.: Otra persona en torno a los 28-29 años, que tenía una actividad de consultoría independiente, a partir de aquí se planteó integrarse en compañías grandes y ahora es responsable de formación y desarrollo de una multinacional.

Ganando más y más realizado.

F.S.R.: Evidentemente. Una persona que no tenía claro dónde ir, está desempeñando un rol directivo en una compañía multinacional, y eso es gracias a su plan de desarrollo.

M.R.: Pero es importante plantear que esto no son caminos finales, sino procesos y momentos temporales de encrucijada vital, sabiendo que uno a lo largo de una carrera profesional nos podemos encontrar en muchas encrucijadas.

“Este proyecto está generando una adherencia al Colegio importante, como agradecimiento”
46 PSIARA
“Hay que visualizarlo como la toma de decisiones en un momento de tu vida, la elección de un camino”

¿Hacia dónde creéis que ha de evolucionar el Mentoring Atenea?

F.S.R.: Lógicamente ha de crecer en volumen, dado que somos un colegio con 17.000 personas colegiadas y que se está haciendo muy poco uso de esta oportunidad tan buena. Ahora todos tenemos una oportunidad de ayudar a los nuevos colegiados y colegiadas, y a personas en momento de cambio, de aprovechar esta oportunidad de crecimiento. Porque creciendo este proyecto también crecerá el Colegio.

M.R.: Al final, cuanto mejor ajustemos cada persona a su puesto de trabajo, muchísimo más éxito en la profesión. Por tanto, a fin de cuentas, todo es en aras de la mejora y la profesionalización de la psicología.

¿Algún consejo final para aprovechar mejor la experiencia?

F.S.R.: Que aprovechen este proceso de altísima calidad a coste cero que les ofrece el COPC, que en el mercado no bajaría de los 1.000 o 1.500 euros. Solo con eso ya amortizan las cuotas de los 10 primeros años.

PSIARA 47

Ressenya

MINDFULSEX: EL SEXO QUE REVOLUCIONARÁ TU VIDA

El porno, las prisas, la sobrecarga de trabajo… Todo apunta a que la “vida moderna” y la frívola sociedad de consumo no nos ayudan precisamente a tener relaciones sexuales de calidad.

Editorial: Plataforma

Páginas: 328

ISBN: 978-84-19271-85-3

1.ª edición: enero de 2023

Así las cosas, quizá ha llegado el momento de aceptar una guía para volver a conectar con nuestra sexualidad, de manera más acorde con quienes somos y con nuestro yo interior, con nuestras preferencias íntimas y nuestra manera personal de entender el placer.

Y ese es el cometido de Mindfulsex, un libro que desde su portada nos invita a descubrir cómo “intensificar el placer, despertar la energía sexual y experimentar la sensación de éxtasis prolongado”.

“Se trata de aplicar el mindfulness al área de la sexualidad”, explica su autora, la doctora Emma Ribas, psicóloga general sanitaria, sexóloga clínica y experta en mindfulness. “Vi la gran potencia que tenían estas prácticas en las personas que venían a mi consulta con alguna disfunción sexual y que, hasta hace muy poco, las vivían en silencio”.

Autoría: Emma Ribas
48 PSIARA

Pero ¿qué nos pasa? ¿Qué estamos haciendo mal? “Nos hemos nutrido del porno mainstream, que es absolutamente coitocentrista, falocentrista y finalista, porque todo ha de acabar en orgasmo. Además, como estamos siempre en nuestra mente, nuestros cuerpos están dormidos”, destaca Ribas. ¿Y cómo salir de ese círculo? “Dejando de reproducir lo que inconscientemente nos indica el colectivo, conectando con la presencia en el aquí y el ahora, con el autoamor y con la otra persona, ver que esto va más allá de un ejercicio gimnástico para conseguir una sexualidad plena y nutritiva”.

El libro se divide en tres partes: “Mindfulsex y sexualidad” que establece las bases y los conceptos de partida, “Por un sexo satisfactorio y consciente” que nos invita a descubrir nuestros problemas y filias individuales, y “Pareja y mindfulsex“, dedicada a la experiencia en pareja. “El libro aporta un montón de prácticas, porque mindfulsex es experiencia. Por más que te lo expliquen, lo más importante es vivirlo”.

Un volumen dirigido a público general y también a profesionales -de la psicología, la sexología, el coaching, el mindfulness, la enfermería, la medicina… (de hecho, el mindfulsex ya se estudia en la universidad)-, con reflexiones, sugerencias y ejercicios prácticos que persiguen un claro objetivo: “Sanar las disfunciones y el sufrimiento a nivel sexual, evolucionar la sexualidad y conectar el sexo con el amor”.

Y ese es uno de sus puntos fuertes: además de hablar desde las neurociencias, la reflexión filosófica y la espiritual, lo hace, sobre todo, desde la práctica, desde los resultados satisfactorios de las personas que, en formaciones o en consulta con la doctora Ribas (hombres con miedo a “no estar a la altura”, mujeres con dispareunia o vaginismo, parejas con falta de deseo…), han conseguido una sexualidad más consciente, más autoestima sexual, y vivir desde el placer no solo la sexualidad, sino la vida al completo.

Emma Ribas, autora del libro.
“El libro aporta un montón de prácticas, porque mindfulsex es experiencia. Por más que te lo expliquen, lo más importante es vivirlo”
PSIARA 49
Libro disponible para todos los colegiados y colegiadas en la BIBLIOTECA DEL COPC

TEORÍA DEL APEGO Y CRIANZA NATURAL EN LOS JUZGADOS DE FAMILIA

Autoría: Martina Morell Gonzalo

Editorial: Publicacions URV

Páginas: 290

ISBN: 978-84-1365-044-9

1.ª edición: 2023

También disponible en e-book

“El apego, en el ámbito judicial, no solo es desconocido sino también vilipendiado, a pesar de ser tan ciencia como la ley de la gravedad. ¡La ley del apego, debería llamarse!”, reclama Martina Morell, autora de Teoría del apego y crianza natural en los juzgados de familia y miembro del Grupo de Trabajo de Psicología Forense en la práctica de la Delegación de Tarragona del COPC. “Porque es así como los niños se vinculan con sus progenitores. Es una necesidad innata del bebé. Y es injusto que se quede únicamente en el ámbito de la investigación, cuando es fundamental para tener niños sanos”, explica la psicóloga.

Este volumen también persigue acercar el concepto de apego a los y las profesionales de la psicología forense. “Muchos psicólogos ignoran la ley del apego y ningunean la necesidad de los niños y niñas de estar con sus cuidadores a la hora de recomendar custodias compartidas a edades muy tempranas.

Existen pocos conceptos en psicología tan probados metodológica y empíricamente como el de apego y, aun así, es un gran desconocido para la sociedad en general y para el ámbito judicial en particular.
Ressenya
50 PSIARA

El cliente te dice: “Quiero la custodia compartida”. ¡Pero el bebé tiene tres meses! Y hay muchos psicólogos y psicólogas que, ignorando completamente lo que sabemos de psicología evolutiva, aconsejan la custodia compartida, y eso no puede ser”, afirma rotunda.

Es por todo ello que la autora ha querido enfocar el libro tanto a madres que estén en crianza natural, “sobre todo si están en separación o divorcio”, como a profesionales que trabajan en ese ámbito y quieran informarse de qué es el apego y por qué no deberían ignorarlo. “La crianza natural es una tendencia al alza en la sociedad, y no es lógico que los juzgados la ignoren y traten a las madres como si fueran neuróticas o se inventaran las cosas.

nos de nuestros compañeros y compañeras de profesión; sabremos cómo funciona el ámbito judicial en la separación; y, sobre todo, sabremos qué es el apego y cómo es de importante a la hora de tomar decisiones en crianza”.

Se da por supuesto que quienes lo practican son madres acaparadoras, que no quieren dejar al niño con su padre, y que lo utilizan para quitárselo al otro progenitor. Y yo quería dar a conocer que no, que esto es una tendencia de la sociedad, que es lícita y tiene una base teórica y fundamentos. Yo no digo que sea lo único ni lo mejor que hay, pero tampoco estamos locas”, aclara Morell.

Y aunque en el libro se explican conceptos complejos, el lenguaje coloquial, el sentido del humor y un tono ágil hacen que el discurso penetre fácilmente.

“Me encanta poderlas contar en público, porque revelan problemas graves y frecuentes que nadie cuenta y parece que no existan”.

La psicóloga garantiza que, después de leer Teoría del apego y crianza natural en los juzgados de familia, “sabremos qué es un psicólogo forense, una profesión completamente desconocida para la gente común, incluso para algu-

Un libro que parte de la práctica desde sus cimientos, ya que la idea nació al poco de nacer el primer hijo de la autora quien, por cierto, protagoniza junto a ella la foto de portada. “Ahí me di cuenta de que lo que sabía hasta ese momento no era válido. Y, como en ese momento trabajaba haciendo informes para juzgados, lo acabé uniendo todo”, reconoce. Pero si hay una frase que para Morell resume el libro es la siguiente:

Libro disponible para todos los colegiados y colegiadas en la BIBLIOTECA DEL COPC.
M. Morell, experta en psicología forense, junto a su hijo.
“No exagero, en los juzgados ocurre: están muy mal vistas las prácticas de colecho y de lactancia”
PSIARA 51
“Un niño no es un jarrón, que lo pones y lo quitas. Los padres, hombres, pueden y deben implicarse en la crianza de bebés muy pequeños, pero sin que estos tengan que dividirse en dos”
52 PSIARA

Visita El web del Psiara, la revista digital del COPC

Col·legi Oficial de Psicologia de Catalunya

c/ Rocafort, 129 - 08015 Barcelona

Tel: 932 478 650 copc@copc.cat

Segueix-nos

Patrocini:

PSIARA 53

Turn static files into dynamic content formats.

Create a flipbook
Issuu converts static files into: digital portfolios, online yearbooks, online catalogs, digital photo albums and more. Sign up and create your flipbook.