VERNACULAR ARCHITECTURE: HOT AND DRY CLIMATE

Page 1

SCHOOL OF ARCHITECTURE & LANDSCAPE DESIGN SHRI MATA VAISHNO DEVI UNIVERSITY VERNACULARSessionKATRA2022-23ARCHITECTURE:HOTANDDRYCLIMATE A Dissertation Submitted In Partial Fulfillment of the Requirements for Award of Degree of BACHELOR OF ARCHITECTURE By 1Chanchal8BAR007 Guide Ar. Vinod Kumar

i Chanchal Vernacular Architecture: Hot and Dry Climate Bachelor of Dissertation:Architecture202223 School of Architecture and Landscape Design Shri Mata Vaishno Devi University Entry No.: 18BAR007 Guide : Ar. Vinod Kumar, Assistant Professor, SoALD SMVDU

ii Intentionally Left Blank

CERTIFICATE

Recommended By: Ar.Vinod Kumar Ar.Sourovee Dutta (Dissertation Guide) (Dissertation Coordinator) Accepted By: (Head SoALD) Jury Members: (1) (2) (3) Left Blank

iii

Intentionally

This is hereby certified that this Dissertation entitled Vernacular Architecture: Hot and Dry climate, has been submitted by Chanchal, Entry No. 18BAR007 in the partial fulfillment of the requirements for the award of the degree of Bachelor of Architecture,Session2022 23

iv DECLARATION

This Dissertation, entitled Vernacular architecture: Hot and Dry Climate is being submitted as partial requirements of B. Arch. Study during ninth (9th) semester by me for evaluation. The contents in this Dissertation are either my own work or compilation of data / information as gathered from case studies / survey as indicated/referenced and permitted as per rules. No contents of this Dissertation have been copied from any other dissertation / thesis report in part or full. If at any stage it is found that this is significantly copied from any other resource, the evaluation of this report and accordingly grade award shall automatically stand

(Signaturecancelled.ofStudent)

Chanchal Entry No.: 18BAR007 B. Arch., Session: 2022 23 School of Architecture & Landscape Design Shri MataVaishno Devi University

The originality of this Thesis has been checked using appropriate plagiarism checker / software and following parameters are compiled (tick one).

1 VERNACULAR ARCHITECTURE: HOT AND DRY CLIMATE

Originality / Uniqueness: More than 90% (Certificate attached as Annexure 1).

Name: Ar.Vinod Kumar Date:

Name: Chanchal Date: Counter29-June-2022signed

Plagiarism / Copied Contents: Not more than 10%

(Signature of Guide/Supervisor)

(Signature of Student)

2 VERNACULAR ARCHITECTURE: HOT AND DRY CLIMATE PREFACE

My love and passion for culture and how it affects architecture led to the completion of this project. In my research, I had found that culture was a crucial and immersive instrument for architectural design. Nature makes culture and art unavoidable, and they have a significant influence on architecture in many ways. From the floor plan to the building proportions and orientation, they have an impact on the interior and outside architecture. Therefore, culture is undoubtedly a source of awareness and actualization for everyone in some form; nevertheless, it necessitates genuine sensitivity and attention towards all the aspects and subtleties present in the environment, as well as a deep and introspective understanding of oneself and nature. It is also the only tool that can record the aura that existed at the time. For me, culture is a means of communication with the outside world since it helps me see the world more clearly and appreciate my surroundings.

In order to build a spatial configuration, the dissertation suggests a means to further develop the design approach and analysis. The major goal of this dissertation is to give human activity a framework. by creating a spatial arrangement that uses culture as a visual appreciation tool.

3 VERNACULAR ARCHITECTURE: HOT AND DRY CLIMATE Intentionally Left Blank

4 VERNACULAR ARCHITECTURE: HOT AND DRY CLIMATE

Kakryal, July 2022 Chanchal

I also want to express my gratitude to my friend Sadhana and Bhuvana Reddy for their helpful advice and remarks throughout the road. Finally, I want to express my deep gratitude to my family for their unwavering love and support throughout this difficult time. I appreciate you prodding me occasionally to reach the project's conclusion. And I wouldn't be where I am today without the encouragement of my parents and close friends.

ACKNOWLEDGEMENT

I owe the greatest debt of appreciation to my mentor Ar. Vinod Kumar, who has patiently supported this dissertation with advice and helpful criticism. Without his support and inspirational words, this dissertation would not have been finished. A simple "thank you" would be inadequate.

5 VERNACULAR ARCHITECTURE: HOT AND DRY CLIMATE Intentionally Left Blank

6 VERNACULAR ARCHITECTURE: HOT AND DRY CLIMATE TABLE OF CONTENT INTRODUCTION91.1Synopsis101.1.1Needofthe Study10 1.1.2 Aim of Dissertation10 1.1.3 Objective10 1.1.4 Scope and limitations10 1.1.5 Methodology10 1.2 Case studies targeted10 1.3 2.LITERATURERemarks11STUDY122.1IntroductionofVernacular architecture13 2.1.1 Indian vernacular architecture in a hot & dry climate14 2.2 Climatic analysis of Jaisalmer14 2.3 Passive design strategies15 2.3.12.3.1.1Planning15Settlement pattern15 2.3.1.2 Street pattern16 2.3.1.3 Orientation16 2.3.1.4 Generic house17 2.3.2 Section details18 2.3.3 Building envelope19 2.3.3.1 Texture19 2.3.3.2 Uneven Building form20 2.4 Passive cooling techniques21 2.5 Building Construction22 2.5.1 Construction details22 2.6 Thermal performance of buildings24 2.7 Built structure and micro climate24 3.CASE STUDIES26 3.1 Streetscape27 3.2 Nathmal ki Haveli29 3.3 Patwaon ki haveli33 3.4 Rajkumari Ratnavati Girl’s school37 4.COMPARATIVE ANALYSIS42 5. INFERENCE45

7 VERNACULAR ARCHITECTURE: HOT AND DRY CLIMATE 5.1 Results and discussions46 5.2 Recommendation46 5.3 Limitations/ Challenges47 5.45.4.25.4.1Conclusion47Basedonstudy47Comment48 6. REFRENCES...................................................................................................................... 49

8 VERNACULAR ARCHITECTURE: HOT AND DRY CLIMATE

Intentionally Left Blank

INTRODUCTION

These buildings provide a climate responsive way of living and address the need for housing in the area while being resource and naturally conscious. Currently, green architecture and architects are rediscovering the advantages of vernacular architecture. We must first learn from the past and apply these techniques as a well balanced, methodical whole to attain the highest level of energy efficiency if we are to advance in design and sustainable building in the future.

9 VERNACULAR ARCHITECTURE: HOT AND DRY CLIMATE

Over the course of its lifespan, reduced utility and maintenance costs demonstrate the success of climate sensitive architecture. When it comes to resources, a poorly planned building that ignores environmental or vernacular considerations might ultimately cost the occupant more than a correctly constructed building, in addition to the environment.

Buildings developed employing local technology, craftsmanship, and locally available construction materials to provide climatic comfort to consumers using traditional technologies are referred to as vernacular architecture. Over five millennia, India's vast and diversified architectural traditions have evolved in response to the population's socio cultural, economic, and thermal demands. They have a remarkable ability to adjust to changes in temperature. Basic green architectural principles, such using local resources and energy efficient materials, are followed in vernacular building. These structures are designed using local expertise in the use of local resources and materials, as well as practical and efficient building design. The local microclimate is among the most important determinants of vernacular architecture.

For example, white marble stone, which offers a cool surface for the feet as one walks on it, can be advantageous for a home constructed in the hot deserts of Rajasthan, but the same white marble can be a source of extreme discomfort for the occupants of a home in Ooty, which experiences much lower ambient temperatures.

1.1.1SynopsisNeedof the Study

The latest technologies, construction methods, and manufactured and processed materials became the norm with the advent of contemporary architecture, yet they are energy drainers and have a significant environmental impact. Vernacular architecture, on the other hand, takes a sustainable approach to design and incorporates green building practices into its plans. It focuses on strategies that reduce carbon footprints, hence lowering environmental stress.

1.1.3

To study the concept of vernacular architecture.

To study parameters for understanding spaces and architectural elements in hot and dry climate (in context of Jaisalmer) To assess and evaluate design principles by comparative analysis To recommend modern construction techniques to achieve similar traditional values.

Aim of Dissertation

Objective

 The

10 VERNACULAR ARCHITECTURE: HOT AND DRY CLIMATE

1.1

1.1.2

1.1.5 Methodology 1.2 Case studies targeted  Streetscape  Nathmal ki haveli  Patwaon ki haveli ofSelectiontopic AbstractDessertation collectionData eLiteraturstudy studyCase eComparativanalysis ConclusionInference

Architecture has developed over time and will continue to do so in the future. Designs that are genuine to the land will be preserved, and existing architectural features will be modified to meet our changing demands. This way, the unique character of a location can be kept while yet meeting the needs of people. It is critical to construct a typology that takes into account both vernacular and contemporary architecture. People should become conscious of the functionality and genuine purpose of a structure rather than following trends impulsively.

The aim is to understand the vernacular design principles and values in hot and dry climate.

1.1.4 and limitations research is primarily focused on Jaisalmer's vernacular architecture (Rajasthan).

Scope

While we live in a period where goods may be imported and exported both domestically and globally over the phone, we also raise the project's cost, which in turn slows the nation's economic progress. Why not adopt a more regional strategy when, introspectively, vernacular architecture uses locally produced materials to save expenses associated with processing, manufacturing, transportation, and sophisticated building processes for its application. Depending on the locality, different materials may be used, such as brick and clay in hot and humid climates and timber structures in areas prone to earthquakes.

Rajkumari Ratnavati Girl’s school

Remarks

1.3

11 VERNACULAR ARCHITECTURE: HOT AND DRY CLIMATE 

12 VERNACULAR ARCHITECTURE: HOT AND DRY CLIMATE 2.LITERATURE STUDY

13 VERNACULAR ARCHITECTURE: HOT AND DRY CLIMATE

2.1 Introduction of Vernacular architecture

Figure 1: Climatic Zone map of India (Bera, n.d. a)

The phrase "vernacular construction" describes work done by locals utilizing conventional methods and locally accessible materials while taking into account the surrounding environment. It provides a good response to the climatic restrictions. The implementation of passive solar design can result in savings of 1 5% without incurring additional costs for adaption of such design (building orientation, shape, form, layout, size, aspect ratio, daylight and natural ventilation). (N. Gupta, 2017). Passive cooling is the removal of excess heat from a building through convection, evaporative cooling, air movement, cool breezes, earth coupling, reflection of radiation, etc. Through convection, evaporative cooling, air movement, cool breezes, earth coupling, radiation reflection, etc., excess heat from a building can be removed passively. Reduced solar heat gains can be achieved through the use of sun shading devices, insulation, and appropriate building materials and colors. Reduced thermal heat gains can also be achieved through the use of lighting controls.

“A predominantly warm country, India has about 80% of the land under warm humid and composite climates. Hot dry and cold climates form the rest. A few pockets have temperate climate.”(Indraganti, 2018).

14 VERNACULAR ARCHITECTURE: HOT AND DRY CLIMATE

2.2 Climatic analysis of Jaisalmer Jaisalmer was established as a fort city by Maharwal Jaisal Singh in 1156 AD on a steep outcrop of the Arawali range called as "Trikut" because of its triangle shape. (Krishan et al., n.d.) At 241.7M above mean sea level, it is situated at 26055' North Latitude and 75055' East Longitude. The area is characterized by sparse vegetation and severe water scarcity; the surroundings are level, stony, and barren. In the area, water is a precious resource. Water is often unavailable for miles at a time during draughts. Due to the presence of subsurface water, this location was chosen.

The annual average precipitation is only 200 mm, which is relatively small and inconsistent. There are primarily two seasons: summer and winter. Summer temperatures can range from 25°C at night to 45°C during the day (some peak circumstances have been reported at 50°C).

2.1.1 Indian vernacular architecture in a hot & dry climate

The temperature in the wintertime fluctuates between 25°C and 5°C. Between 15°C and 20°C is the daily temperature range. Less than 10% relative humidity is possible during the daytime in the summer. Most of the time, the sky is clear, and the sun is always shining brightly. May and June frequently experience dust storms, and summer wind speeds are frequently high.

Hot and dry climatic zone, includes Jaisalmer, Jodhpur, and the Thar Desert, is in the northwest of India (Rajasthan and partly Gujarat). Flat, sandy, and rocky, this area has little vegetation, including cacti and spiky plants. The climate is dry here because of the low humidity. Sand storms are very frequent in this area during the summer months when winds are blowing quite hotly. The climate and culture of the desert region are artistically expressed in the building. Rajasthan's Kuccha and Pukka vernacular architecture clearly differ from one another. The haveli style of structures predominates in Pukka architecture. Typically, havelis have two or three stories. Those are constructed around a courtyard, which serves as the home's central hub. The courtyard, which serves as the major source of light and ventilation, is surrounded by the rooms. Each structure has a narrow street frontage to reduce heat gain. Buildings that are close together cast shadows on one another, keeping the streets cool. In order to ensure cross ventilation, hot air rises by convection from the courtyard and cool air is directed from the street. “Women can keep their privacy while watching the street from the upper floor's Jharokha, which has beautiful jaali work projecting to the sidewalk.” (Bera, n.d. b) The facade is intended to be shaded by Jharokha and Chajjas.

15 VERNACULAR ARCHITECTURE: HOT AND DRY CLIMATE 2.3 Passive design strategies 2.3.1 Planning 2.3.1.1

Settlement pattern

The triangular fortification and the city of Jaisalmer's twisting, narrow lanes with substantial buildings on either side set them apart. It offers a good number of spacious open areas that can be used as gathering places. A court yard with an underground level is a defining feature of the home's planning and design. Through a series of spaces that serve as the interaction between the house and the street, the house opens into tiny streets. Jaisalmer stone, which is essentially formed of sand and is locally accessible, is used to build the entire city, from the smallest residences to the Royal Palace. (V. Gupta, n.d.)

Figure 2: Eco chart of Jaisalmer (Krishan, 1996)

Orientation

Figure 3: Settlement pattern of Jaisalmer (Krishan et al., Figuren.d.)4:Street layout (Source author)

16 VERNACULAR ARCHITECTURE: HOT AND DRY CLIMATE

2.3.1.3

2.3.1.2

Nearly in an East West alignment, all main roadways are practically perpendicular to the direction of dust storms. These streets are home to the well known havelis with jharokas and ornamental façade. The streets are winding and fairly narrow. The height of the structure is greater than the width of the street, which creates a pleasant, shaded environment for people walking and engaging in other street activities.

Since the primary east west street orientation should have solar exposure on the street from 9:30 am to 2:30 pm with matching solar altitude ranging from 54 ° to 86 °, small projections can help completely shade the surface. Radiation will hit the north face of the building across the street before 8 am and after 4 pm when the solar altitude is less than 35 degrees. Buildings on the adjacent streets shade the north face as a result.

Street pattern

17 VERNACULAR ARCHITECTURE: HOT AND DRY CLIMATE

An open verandah enclosing the courtyard, a closed off chamber, and an underground living and storage area make up the classic Jaisalmer home design. Simple single story homes and ornate havelis are both examples of courtyard house variations. Figure 5: Sun path diagram (Source: TERI, Rajasthan)

2.3.1.4 Generic house

In the summer, minor streets with a north south orientation may have a solar exposure on the east face up to 11.30 am and on the west face until 12.30 pm. Due to the 0° to 79° solar altitude during these times, the buildings' winding streets are shaded before 10:30 am and after 1:30 pm. Because of this, thick walls were constructed on the east and west sides, limiting the sun radiation influence to one hour.

Figure Gupta, Gupta,

Figure

8: Typical haveli (Krishan, 1996)

18 VERNACULAR ARCHITECTURE: HOT AND DRY CLIMATE 2.3.2 Section details

6: Small houses in Jaisalmer (V.

1985) Figure 7: Middle income houses in Jaisalmer (V.

1985)

19 VERNACULAR ARCHITECTURE: HOT AND DRY CLIMATE

The usage of texture in Jaisalmer is a fascinating aspect. At three separate organizational levels, this occurs. At the scale of the town, the buildings are of varying heights, and wind pavilions and towering parapet walls skew the skyline and cast shadows over one another. The building facades include several projections, such as sunshades and balconies, on the second

Texture

Figure 10: Typical section of homes in Shahjahanabad. A lightweight structure is built above the huge main building. (Source author)

Figure 9: Shahajahanabad House's typical section. Parapets are not constructed toward the courtyard in order to facilitate the passage of cold air into the house. (Source author)

2.3.3 Building envelope 2.3.3.1

In Jaisalmer, the urban design made sure that no structures were directly exposed to the sun. Buildings close together reduce heat gain and keep hot breezes at bay while allowing cooler air to flow through the structures and open spaces. (Krishan et al., n.d.)

Uneven Building form

The amount of heat that radiates from a building to the sky can also be affected by its uneven shape. The radiative component is often neglected in calculations of heat loss from walls since it is anticipated that walls will "see" other walls at the same temperature and that the amount of radiative heat loss will be extremely little. This assumption is not necessarily true, as shown by the fact that the additional wall area of an uneven building mass emits more heat to the sky, keeping it colder than a more compact mass. It follows that the Jaisalmer's huge wall sections and uneven architectural design should aid in keeping the structure cool. (V. Gupta, 1985)

2.3.3.2

20 VERNACULAR ARCHITECTURE: HOT AND DRY CLIMATE floor. The flat portions of the building façade are deeply cut to create finned surfaces at the lowest level. These uneven surfaces and structures can be thought of as extended surfaces.

As a result of their consistent ability to promote convective heat transmission to air, such surfaces are frequently employed in engineering applications where a higher heat transfer rate is required. Extended surfaces increase the amount of heat lost from buildings, which is undesirable in cold climates. (V. Gupta, 1985) However, in a hot area where the sun is the main source of heat, sunlight exposed areas will be cooler than basic surfaces. In the evening, as the ambient air begins to cool, the expanded surface will cool down more quickly than a simple surface. A lengthy, continually shadowed surface will, however, warm up more quickly than a plain surface under the same conditions. In Jaisalmer, textured surfaces are only present on the upper portion of building facades, which is most likely to be exposed to sunlight. The east and west facades, which are shaded, are made up entirely of plain walls, as are the lower portions of the north and south facades. In a town, there will inevitably be exceptions when ornate carved surfaces are used in completely shadowed locations just for their decorative effect. Clearly, the use of decoratively carved surfaces is not constrained just by the requirement for sun protection. It should be noted that thin walls are the only ones for whom the cooling impact of surface texture is beneficial. Due to their ability to level out thermal loads, thick walls constructed of materials like brick, stone, or mud can limit heat uptake from solar radiation even in the absence of surface texture. The texture covered walls of Jaisalmer are barely 50 mm thick, compared to the 450 mm to 600 mm thick huge walls.(HImanish Das, 2013)

21 VERNACULAR ARCHITECTURE: HOT AND DRY CLIMATE 2.4 Passive cooling techniques

2.5.1 Construction details

No mortar is utilized in Jaisalmer's havelis; instead, the structure's support came from the friction and gravity between the column and floor, beam, and column. Tenon and mortise or dowel joints were used on columns (similar to construction of Gujarat havelis in timber). Sandstone is utilized to construct the structure, and limestone is used for sculpting. Yellow Figure 11: Typical roof section

22 VERNACULAR ARCHITECTURE: HOT AND DRY CLIMATE

2.5 Building Construction

There are two types of stone that are frequently utilized in construction in Jaisalmer. Walls that are at least 0.45 meters thick are constructed from light yellowish sandstone. Better quality construction uses correct, mortar free joints and stone that has been dressed. Iron cramps or stone keys carved into the blocks themselves hold the individual stones together. The stone is stripped and the partitions are built with dust mortar and finished with dust, plaster withinside the houses of the much less fortunate. Limestone panels 50 mm thick are used as wall elements at top ground levels in which the constructing facade protrudes. These have intricated geometric carvings that, when viewed from the exterior of the building, resemble latticework (jali). Both the sandstone used in building and the limestone used for carving are light in color and offer a long lasting natural gloss.

Roofs and floors are built using two different methods. The traditional method is putting wooden beams tightly spaced apart (Fig. 10), overlaying them with a layer of reed or grass matting, after which masking that with a thick layer of dirt (between 0.45 and 0.60 meters). In some later homes, stone slabs have taken the place of beams because it is difficult to find wood in the desert. In every instance, only mud plaster is used to finish the roof and floor. Given the low rainfall, there is no issue with water seepage.

Reference ((N. Gupta, 2017), (Thakur et al., 2021), (kaur, n.d.))

23 VERNACULAR ARCHITECTURE: HOT AND DRY CLIMATE sandstone possesses qualities that are similar to those of wood, and it even has a texture akin to wood. (Shikha Jain, 2004) Similar red sandstone and lime mortar construction may be seen in the havelis in Bikaner and Jodhpur. The large yellow sandstone blocks used to build the Jaisalmer havelis are replaced with thinner panels of limestone in the regions with more complex Prefabricatedcarvings.panels are put together without the need of mortar using iron cramps or stone keys. Building components can easily be changed thanks to this construction style. It is simple to swap out the prefabricated unit for another one. The limestone portions are around 2" thick, while the masonry panels can be up to 1'6" thick. The ceilings are made out of wood. The masonry columns support the beams, which have a ten to twelve foot span. Masonry brackets that project from the columns is used to extend spans. While the base floor is made of sandstone, the upper stories' flooring is lined with cow dung and mud plaster. (Shikha Jain, The2004)side and back walls are made of plane ashlar, while the foundations are made of random rubble. These spans impose a bay structure that is the same size as a timber building. The havelis in Patwa and Nathmal were built by Muslim locals. Geometric designs, foliated scrolls, and bird motifs are a few examples of variations in stone carving. In the Marwar region, the plinths are frequently tall and include storage spaces at their bases. For cooling purposes, the timber covering in Jaisalmer has a foot of sand on top. The majority of havelis include wooden ceilings and rafters. For timber work, kejri and babul wood were used. Internal walls are finished with sweet lime. Lattice work contains geometric shapes including octagons, hexagons, and checks.

Figure 12: Sketch of section of wall (Referred from (Shikha Jain, 2004))

 Even in calm weather, airflow is maintained throughout the structure thanks to the courtyard system.

2.7 Built structure and micro climate

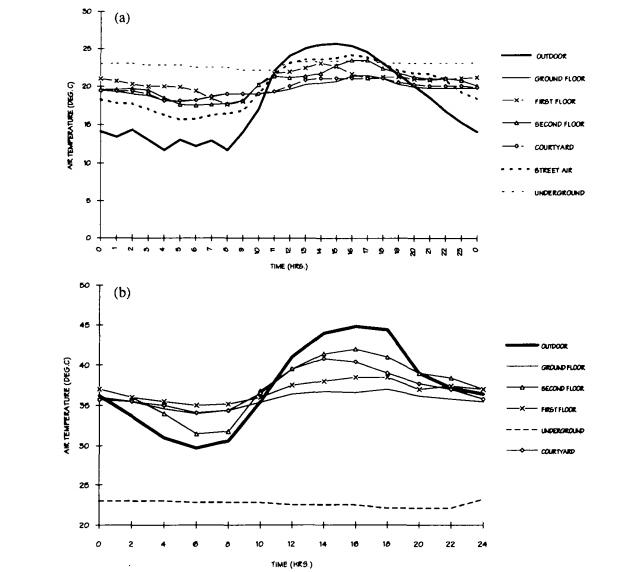
2.6 Thermal performance of buildings Building thermal performance, the observed temperature variations for summer and winter conditions as shown in Figures 12. (a) and (b) serve as a depiction for the thermal performance of the typical haveli building (b) (Krishan, 1996) The outcomes are:

24 VERNACULAR ARCHITECTURE: HOT AND DRY CLIMATE

The haveli has excellent thermal performance; In a building of this type, the maximum temperature variation on the ground floor was 3.0°C, while the outdoor temperature variation was in the range of 15°C. The highest indoor temperature was 8 to 9 degrees Celsius cooler than the corresponding outdoor temperature.

The building warms up as a result of the ventilation fenestrations, which are typically left open all day, but they enhanced air flow, giving a more sensible level of comfort.

Interaction exists among the constructed surroundings and the microclimate. As much as the microclimate can affect the structures' thermal performance, the buildings also have an impact on the microclimate around them. According to the ambient daytime temperature, Figure 13: “(a) Winter temperature profile: typical (Vyas) house. (b)Summer temperature profile: typical (Vyas) house, Jaisaimer.”(Source (Krishan, 1996))

The heat flux coming into the structure is reduced because of the mixed results of an extended time lag and a minor decrement factor.

The buildings receive the least amount of radiation from direct solar exposure because of shadow patterns. This helps to lower the height heat flow into the building within the summer. Even once the sun' lower height prevents direct daylight penetration throughout the winter, the structure maintains a snug temperature.

This demonstrates how the street's response to the environment affects the microclimate in a positive way both in summer and in the winter. The high velocity and high temperature daytime wind are eliminated by the tightly packed street's small looping design and direction.

25 VERNACULAR ARCHITECTURE: HOT AND DRY CLIMATE temperatures have been recorded in various locations in Jaisalmer. These measurements show that the summertime street temperatures were lower during the day and at night. In contrast to winter, when it was 2 °C hotter, the highest street temperature was 2.5 to 3.5 °C lower than the surrounding conditions. Winter nighttime temperatures were reduced by 3 to 5 °C, while summer nighttime temperatures were reduced by 1.5 to 3.5 °C. (Krishan, 1996)

26 VERNACULAR ARCHITECTURE: HOT AND DRY CLIMATE 3.CASE STUDIES

27 VERNACULAR ARCHITECTURE: HOT AND DRY CLIMATE 3.1 Streetscape Location: Jaisalmer Figure 14: City layout(Source (Krishan, 1996) Figure 15: Fort Street layout (Source (Krishan, 1996) Figure 16: Streets of Jaisalmer (Source Author)

In order to offer a shaded, cool environment for pedestrians and social activities at the streets, constructing heights is often better than roadway widths. In order to offer a shaded, cool environment for pedestrians and social activities at the streets, building heights are often better than roadway widths.

28 VERNACULAR ARCHITECTURE: HOT AND DRY CLIMATE

Figure 17: Illustration of typical characteristicsstreets of Jaisalmer (Source Author)

Figure 18: Streets of Jaisalmer (Source Author)

Figure

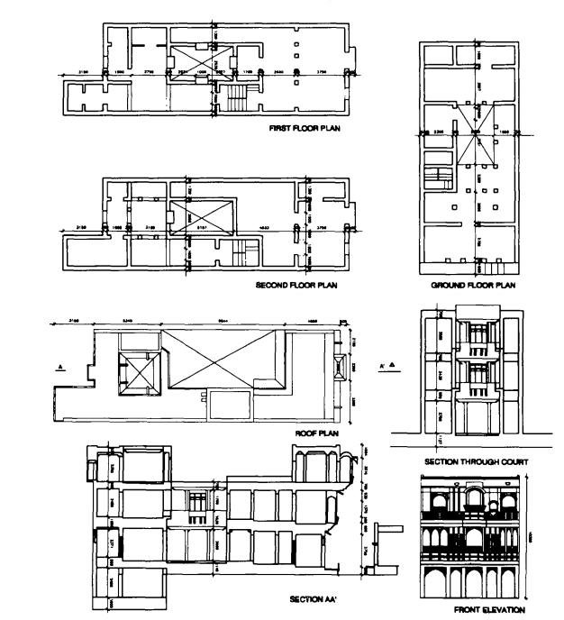
29 VERNACULAR ARCHITECTURE: HOT AND DRY CLIMATE 3.2 Nathmal ki Haveli

19: Back entrance Nathmal ki haveli (Source author) Figure 20: Entrance of Nathmal ki haveli (Source Google (n.d))

Figure

21: Conceptual Plan Nathmal ki haveli (Source author) Figure 22: Conceptual Section Nathmal ki haveli (Source author)

About the Plan: The structure is divided into two patios; the patio depicted on the façade is much smaller than the actual patio. The core living cottage is located in the three story initial component of the structure. The additional adaption is included in the two story tall back portion.

Figure 23: Depiction of windows functionality (Source author)

30 VERNACULAR ARCHITECTURE: HOT AND DRY CLIMATE

Building Materials: Light sandstone is commonly used for curbs in havelis, with limestone being applied for the top memories and the front in which it could be fantastically carved. The stone joints are built without mortar and are firmly held, demonstrating iron tension. Wide solid walls and clay cement reduce the building's thermal burden.

Building Form: The entire structure has a concave roof and skewed ceilings with tall parapet walls and a sweeping wind canopy. Sunshades and balconies are kept in the Eaves at the forward lay. The external flush units of the structure are sharply carved with flared fins at the base levels. Spotty building plans also made clear how much heat is lost through walls. The lumpy building mass scatters more heat to the sky along its elevated wall areas, keeping it cooler than a more homogenous mass.

Air duct: Perpendicular ducts and stair shafts lessen the quantity of wind that enters the house and direct air flow over the courtyards. The Yards provides all of the backdrop areas with the essential lighting & ventilation. During the summer, the back courtyard receives no shade at all, while the façade receives little sunshine. The sun is completely blocked out from the trail and thin shafts. The vertical channel's differential heating ensures continuous movement over the home.

Windows: Jallis or lattice windows are often properly fitted in windows and balconies. Windows can be covered with curtains for privacy and to decrease dust, but they can let in wind at the same time. Stone flounce is used to make doors and is matched with timber doors.

Spaces: The family's study space is situated above the doorway on the first level. This lavishly decorated room has two stories. A great number of little ventilation pockets are located in the uppermost portion of the space, along with window apertures with wooden shutters facing the street. Create these apertures to ensure heat expulsion through ventilation. The lower floor was designed with a strong sway for assets. Due to the fast destruction of the ambient heat curl in the soil, the coldness of several degrees remained stable throughout the year.

Roofing: A coat of reed or grass is applied to the ceiling along with separated timber beams, and the tip is then secured with a strip of soil. These are then polished with mud plaster or stone floor. The inside's cool air conditioning is controlled by the way the dirt and grass are covered. Without the use of carved mortar details, stone joints are kept together by panel mounted iron cramps. (Sofia & Manisha, 2021)

courtyard Zenana and Mardana

Figure factors that can in building (SourceFigureauthor)26:Internal of Nathmal ki haveli (Source author)

be observed

31 VERNACULAR ARCHITECTURE: HOT AND DRY CLIMATE Figure 24: Conceptual section of front portion (Source author)

25: Social

32 VERNACULAR ARCHITECTURE: HOT AND DRY CLIMATE

Figure 27: Detailing in Nathmal haveli (Source author)

33 VERNACULAR ARCHITECTURE: HOT AND DRY CLIMATE 3.3

Patwaon ki haveli

Figure 29: Plan and section of haveli showing wind pavilion and shaft (Source author)

Figure 28: Patwaon ki haveli (Source author)

The havelis were essentially enormous residences for both the public and employees. These are airy buildings that were built around one or more courtyards. To block the glaring sun and sweltering wind and to preserve the privacy inside, the front façade of the havelis had modest apertures. There are no outside windows on the havelis except for the front façade, reflecting the introverted nature of the society's traditional needs. To protect the privacy, there was typically a courtyard for men and the general public and another for women.

Figure 31: ki 32: sketch

Figure 30: Sections showing radiation control and night ventilation author)

Views in Patwaon

34 VERNACULAR ARCHITECTURE: HOT AND DRY CLIMATE

(Source

The haveli is rectangular in shape and is aligned from north west to south east. Three main floors, two wind pavilions, and a basement floor make up the six stories of the havelis. A central courtyard exists. A wind shaft is created by the two linked stairs. Stone makes comprised the havelis' roof, walls, and interior spaces. The lower stories have balconies and jharokha to give shade. For directing wind away from the built form, there are small vertical ducts and staircase shafts available.

haveli (Source author) Figure

Conceptual

of courtyard (Source author)

A wall with a dark texture has a shadow on a part of the surface. This keeps the sunlit surface cooler and cools faster at night.

35 VERNACULAR ARCHITECTURE: HOT AND DRY CLIMATE

By compressing the air that passes through the holes in the jali, the temperature is lowered. It is created by variety of patterns and textures Figure 33: Conceptual sketch

author)Jharokha(SourceofFigure34:Walltexture(Sourceauthor)Figure35:Airmovementthroughjali(Sourceauthor)

Jharokha are utilized to provide shade and lessen the intensity of the sun. Jali is added to it for the air circulation in order to improve performance. The intake of solar radiation into the building is decreased by shade mechanisms like chajjas. The section provides an example of how solar radiation enters a building during the summer and winter solstices.

The courtyard is a crucial tool for reducing the heat inside the house. In the summer and winter, it behaves differently.

37:

Figure Internal courtyard Figure View from street corner Interior of Patwaon ki haveli (Source author)

36 VERNACULAR ARCHITECTURE: HOT AND DRY CLIMATE

36:

Figure 38:

39:

the world's maximum economically difficult, distant, or disenfranchised places, CITTA commissioned Diana

Location: of

Figure Rajkumari Ratnavati school Top view (Source Vinay Pajwani)

Rajkumari Ratnavati Girl’s school

Figure 40: Rajkumari Ratnavati school Bird eye view (Source Vinay Pajwani)

Salkha, Rajasthan Project type: School Area: 9000 square feet Architect: Diana Kellogg Architects Client: CITTA Foundation A non profit agency that helps improvement in a number

37 VERNACULAR ARCHITECTURE: HOT AND DRY CLIMATE . 3.4

Given the excessive barren region environment, Kellogg's layout group focused on sustainable additives and dependent on the ellipse formed construction to dam sunlight, maximize air waft and wind throughout the collection of 10 classrooms, and additionally make use of a passive solar cooling technique. The team additionally constructed a rooftop sun cover with a metallic framework that powers the indoors lighting fixtures and enthusiasts and doubles as a jungle fitness center for the children with the use of conventional local water harvesting strategies to assist the school harness treasured rainwater.

Kellogg of Diana Kellogg Architects to create the architectural marvel known as the Rajkumari Ratnavati Girl's School.

Figure 42: AXO view of Rajkumari Ratnavati school (Source Dkarchitects)

38 VERNACULAR ARCHITECTURE: HOT AND DRY CLIMATE

Figure 41: Plan of Rajkumari Ratnavati school (Source Dkarchitects)

Figure 45: Wall Details Rajkumari Ratnavati school (Source Vinay Pajwani)

Figure 46: Internal View Rajkumari Ratnavati school (Source Vinay Pajwani)

Figure 44: South Elevation of Rajkumari Ratnavati School (Source Dkarchitects)

39 VERNACULAR ARCHITECTURE: HOT AND DRY CLIMATE

Figure 43: West Elevation of Rajkumari Ratnavati School (Source Dkarchitects)

40 VERNACULAR ARCHITECTURE: HOT AND DRY CLIMATE

The Rajkumari Ratnavati Girl's School was constructed entirely from hand carved Jaisalmer sandstone by regional artisans. For Kellogg, it was crucial that the community be represented in a structure created for the community. Infrastructure made from locally sourced materials reduced carbon emissions, and Kellogg decided to install a solar canopy on the roof to provide cooling when temperatures near 120 degrees. The elliptical shape of the building contributes to sustainability by bringing elements that create a cooling panel of airflow while also keeping the heat out thanks to the canopy and jalis.

Figure 49: Internal view of courtyard Rajkumari Ratnavati school (Source Vinay Pajwani)

Every attempt was made to create an economically sound shape as it turned into built for a non income business enterprise that helps the training of girls, consistent with a assertion from Kellogg. In line with the Jaisalmer sandstone, she tells RECORD, "I knew I desired to make a constructing that each included and advanced out of the herbal landscape. I changed into additionally committed to sustainability and using the stone in a current way to spotlight the neighborhood artisans."

Figure 47: Staircase Details of Rajkumari Ratnavati school (Source Vinay Pajwani)

Figure 48: Courtyard Partition Wall of Rajkumari Ratnavati school (Source Vinay Pajwani)

Figure 52: Roof View of Rajkumari Ratnavati School (Source Vinay Pajwani)

41 VERNACULAR ARCHITECTURE: HOT AND DRY CLIMATE

Figure 53: Future plan of Rajkumari Ratnavati School (Source Diana Kellogg Architects)

Figure 51: Side View of Rajkumari Ratnavati school (Source Vinay Pajwani)

Figure 50: Front View of Rajkumari Ratnavati school (Source Vinay Pajwani)

42 VERNACULAR ARCHITECTURE: HOT AND DRY CLIMATE 4.COMPARATIVE ANALYSIS

43 VERNACULAR ARCHITECTURE: HOT AND DRY CLIMATE

44 VERNACULAR ARCHITECTURE: HOT AND DRY CLIMATE

45 VERNACULAR ARCHITECTURE: HOT AND DRY CLIMATE 5. INFERENCE

5.2

Vernacular building techniques can assist in maintaining thermal comfort while using fewer resources, both environmentally and economically. The following psychrometric chart shows the relationship between human comfort zone and dew point, dry bulb, wet bulb and relative humidity. The graph illustrates climatic conditions where traditional building techniques such as solar heating, evaporative cooling, natural ventilation and high mass cooling would be most efficient. (Szoboszlai, 2015)

 Trombe's outer walls (thick thermal mass) cause the decrement factor to decrease, resulting in a time lag. Old structures have strong structures suitable for passive cooling. This mass serves as a heat storage medium and as an insulator. (N. Gupta, 2017)

The main proposal of this dissertation is to integrate vernacular building techniques and design principles into contemporary architecture and future creations and to focus research less on the historical context of vernacular structures and more on the aspects of environmental sustainability that these principles help to enhance. There needs to be a social shift in how individuals live in their homes. Involvement and control over their thermal comfort must increase. According to the new urbanism movement, for instance, "people do not want to feel that their homes are technology instruments to live in, but rather special spaces that stimulate social contact, connection with the environment, and proximity to facilities." Restoring social elements to housing entails making streets smaller, eliminating isolation as seen in the suburbs, and encouraging direct connection between Neighbour's. People become more attached to homes and their sense of place is strengthened by designing buildings that make better use of the vernacular.

Recommendation

Designing a courtyard: As the temperature differential between the air and sky gets smaller, cooling power also gets smaller.

 Any building design should priorities natural ventilation since it produces a powerful passive cooling method. This promotes energy conservation by reducing the need on artificial cooling methods.

Results and discussions

 Because of the overhead sun, east and west walls should have vertical shadings while south facing walls should have horizontal shadings.

 Reducing the use of artificial lighting is achieved by allowing natural light into buildings. As a result, the heat produced by artificial illumination reduces, leading to an indirect kind of passive cooling.

46 VERNACULAR ARCHITECTURE: HOT AND DRY CLIMATE 5.1

 Longwave terrestrial radiation is unrelated to altitude, while incoming shortwave radiation decreases in proportion to the typical rate of change. As a result, radiant cooling becomes more valuable.

Lastly, architectural, geographic, and environmental education curricula have to consist of vernacular constructing techniques and their capability application in future cutting edge sustainable buildings. This will assist us younger experts apprehend the price of those techniques and shift their interest far from superior technological structures that use a whole lot of electricity to carry out fundamental cooling and heating functions.

47 VERNACULAR ARCHITECTURE: HOT AND DRY CLIMATE

 It has been determined that passive cooling techniques such as ventilation, window, and wall coverings, natural cross ventilation, trees, water features, courtyards, and Figure 54: Psychometric Chart displaying layout techniques in reaction to environmental conditions. (Source (Szoboszlai, 2015))

Limitations/ Challenges

5.3

A vernacular building's architectural shape and materials may be used to decide its climatic region; however, this doesn't continually mean that it gives a year spherical environmental performance. Houses, specifically the ones in hotter climates, can be well designed to live cool withinside the summertime season however now no longer as successfully withinside the winter, necessitating using different power sources. The fact that temperature is only one of many factors that have significantly influenced vernacular architecture over the course of centuries of evolution presents another major obstacle. It is therefore difficult to determine whether aspects were influenced by societal and cultural factors, technological limitations, material availability, or climate. (Szoboszlai, 2015) Furthermore, there are distinctions between architecture and buildings. There is an elitist attitude toward architecture and how it is used because it is more frequently seen as an art form. Through this architectural lens, many studies of vernacular buildings have been conducted, although these studies have only covered high class luxury residences and have excluded traditional peasant housing. (Szoboszlai, 2015)

5.4 5.4.1ConclusionBasedonstudy

48 VERNACULAR ARCHITECTURE: HOT AND DRY CLIMATE verandahs are in particular success at retaining the consolation stage of the indoor climate.

 Using a Trombe wall, thermal insulation, and cool roof collectively can bring about financial savings of 46% and 80% withinside the winter and summer, respectively.

 By 9.6 °C, evaporative cooling can lower the temperature inside.

 It has been found that integrating the evaporative cooling concept with wind towers can lessen the indoor room temperature through 12 17 C.

 The most common and powerful passive cooling strategies utilized in Indian vernacular structures encompass indigenous planning, courtyards, landscaping, neighborhood materials, sliding screens, and Trombe walls.

The room temperature can be lowered by 6 °C using only solar shading strategies. (Click here to enter text. N. Gupta, 2017) 5.4.2 Comment Instead of studying vernacular architecture from the perspective of environmental sustainability, researchers and scholars have a propensity to do it from a historical and anthropological perspective. Vernacular technologies' methods, forms, and designs were disregarded in Favour of climate inappropriate, energy intensive structures. The economic outcomes of incorporating vernacular building designs into current systems consist of a long time period of financial savings on aid expenses and application bills, the improvement of neighborhood markets to deliver neighborhood materials, the introduction of specialized jobs to aid the industry, possibilities for retrofitting present housing, and expanded tourism and assets values because of the addition of a cultural detail to systems. The benefits for the environment include tackling issues like resource depletion, land use, and greenhouse gas emissions. Expanding the tree canopy and creating additional green space around buildings will also increase their aesthetic value and lessen the urban heat island effect. The population may have to get the right of entry to cheaper and handy green homes, in addition to greater network integration, participation in outside activities, ties to cultural heritage, and feeling of area and identity.

Very few examples of those principles being implemented to modern "widespread buildings" may be found, that's unexpected given the quality and variety of vernacular architectural knowledge. This thesis advocates realistically turning to the past for guidance for the future. Additionally, it is understood that there are a few restrictions, along with how using dwellings has evolved over time. Today, people utilize them for many different things, including as sleeping, working, and unwinding. All year round, they're applied constantly and sporadically. People want and expect privacy, light, and sparkling air. Due to the consistent extrude in those needs and situations, vernacular techniques will nonetheless want to be more desirable with cutting edge technology. In conclusion, integrating suitable vernacular constructing strategies with current technology will keep resources, enhance culture, create a more experience of place, and make residing situations more comfortable for future generations.

49 VERNACULAR ARCHITECTURE: HOT AND DRY CLIMATE 6. REFRENCES

50 VERNACULAR ARCHITECTURE: HOT AND DRY CLIMATE

Bera, A. T. (n.d. a). THINK INDIA JOURNAL An Overview Of Vernacular Architecture In India. Bera, A. T. (n.d. b). THINK INDIA JOURNAL An Overview Of Vernacular Architecture In India. Gupta, N. (2017). Exploring passive cooling potentials in Indian vernacular architecture. In Journal of Buildings and Sustainability (Vol. 2, Issue 1). www.insightcore.com Gupta, V. (n.d.). INDIGENOUS ARCHITECTURE AND NATURAL COOLING VINOD GUPTA Assistant Professor of Architecture School of Planning & Architecture New Delhi Gupta, V. (1985). Natural cooling systems of Jaisalmer. Architectural Science Review, 28(3), 58 64. https://doi.org/10.1080/00038628.1985.9696577

HImanish Das. (2013). jasailmer haveli. Proquest LLC Indraganti, M. (2018). India: Bio climatism in vernacular architecture. In Sustainable Houses and Living in the Hot Humid Climates of Asia (pp. 47 58). Springer Singapore. https://doi.org/10.1007/978 981 10 8465 2_5 kaur, H. (n.d.). THINK INDIA JOURNAL RAJPUTANA STRUCTURES: A SYMBOL OF CLIMATE RESPONSIVE ARCHITECTURE. Krishan, A. (1996). The habitat of two deserts in India: hot dry desert of Jaisalmer (Rajasthan) and the cold dry high altitude mountainous desert of Leh (Ladakh). In Energy and Buildings (Vol. 23).

Krishan, A., Jain, K., & Tewari, P. (n.d.). Indigenous Architecture of Two Indian Deserts and Modern Climatic Responsive Solutions Shikha Jain. (2004). Havelis living tradition of Rajasthan. Shubhi Publications. Sofia, M., & Manisha, M. (2021). Indigenous Architecture of Havelis in Rajasthan. International Research Journal of Engineering and Technology. www.irjet.net Szoboszlai, L. (2015). VERNACULAR BUILDING DESIGN STRATEGIES FOR MODERN SUSTAINABLE BUILDINGS IN HOT, TEMPERATE, AND COLD REGIONS. Thakur, N., Parashar, D., Chidambaram, C., & Dharwal, M. (2021). Climate responsive strategy matrix for designing buildings in India. Nature Environment and Pollution Technology, 20(3), 1021 1031. https://doi.org/10.46488/NEPT.2021.V20I03.009

Figure 14: City layout(Source (Krishan, 1996)........................................................................21

51 VERNACULAR ARCHITECTURE: HOT AND DRY CLIMATE

Figure 15: Fort Street layout (Source (Krishan, 1996) 21

Figure 10: Typical section of homes in Shahjahanabad. A lightweight structure is built above the huge main building. (Source author)..................................................................................13

Figure 1: Climatic Zone map of India (Bera, n.d. a) 7

Figure 8: Typical haveli (Krishan, 1996).................................................................................12

Figure 17: Illustration of typical streets characteristics of Jaisalmer (Source Author)............22

Figure 20: Entrance of Nathmal ki haveli (Source Google (n.d)) 23

Figure 11: Typical roof section................................................................................................16

Figure 4: Street layout (Source author) 10

Figure 16: Streets of Jaisalmer (Source Author) 21

Figure 6: Small houses in Jaisalmer (V. Gupta, 1985) 12

Figure 21: Conceptual Plan Nathmal ki haveli (Source author) 23

Figure 9: Shahajahanabad House's typical section. Parapets are not constructed toward the courtyard in order to facilitate the passage of cold air into the house. (Source author)...........13

Figure 3: Settlement pattern of Jaisalmer (Krishan et al., n.d.)................................................10

Figure 22: Conceptual Section Nathmal ki haveli (Source author) .........................................23

List Of Figures

Figure 2: Eco chart of Jaisalmer (Krishan, 1996) ......................................................................9

Figure 13: “(a) Winter temperature profile: typical (Vyas) house. (b)Summer temperature profile: typical (Vyas) house, Jaisaimer.”(Source (Krishan, 1996))........................................18

Figure 12: Sketch of section of wall (Referred from (Shikha Jain, 2004))..............................18

Figure 18: Streets of Jaisalmer (Source Author)......................................................................22

Figure 5: Sun path diagram (Source: TERI, Rajasthan) 11

Figure 19: Back entrance Nathmal ki haveli (Source author)..................................................23

Figure 7: Middle income houses in Jaisalmer (V. Gupta, 1985)..............................................12

Figure 30: Sections showing radiation control and night ventilation (Source author).............28

Figure 31: Views in Patwaon ki haveli (Source author) 28

Figure 47: Staircase Details of Rajkumari Ratnavati school (Source Vinay Pajwani) 34

Figure 33: Conceptual sketch of Jharokha(Source author) 29

Figure 41: Plan of Rajkumari Ratnavati school (Source Dkarchitects) 32

Figure 45: Wall Details Rajkumari Ratnavati school (Source Vinay Pajwani).......................33

Figure 23: Depiction of windows functionality (Source author) .............................................24

Figure 32: Conceptual sketch of courtyard (Source author) 28

Figure 50: Front View of Rajkumari Ratnavati school (Source Vinay Pajwani).....................35

Figure 46: Internal View Rajkumari Ratnavati school (Source Vinay Pajwani).....................33

Figure 52: Roof View of Rajkumari Ratnavati School (Source Vinay Pajwani) 35

Figure 51: Side View of Rajkumari Ratnavati school (Source Vinay Pajwani)......................35

Figure 29: Plan and section of haveli showing wind pavilion and shaft (Source author)........27

Figure 27: Detailing in Nathmal haveli (Source author) 26

Figure 44: South Elevation of Rajkumari Ratnavati School (Source Dkarchitects)................33

Figure 42: AXO view of Rajkumari Ratnavati school (Source Dkarchitects) 32

Figure 48: Courtyard Partition Wall of Rajkumari Ratnavati school (Source Vinay Pajwani)34

Figure 49: Internal view of courtyard Rajkumari Ratnavati school (Source Vinay Pajwani) .34

Figure 26: Internal courtyard Zenana and Mardana of Nathmal ki haveli (Source author) 25

Figure 35: Air movement through jali(Source author).............................................................29

Figure 37: View from street corner 30

Figure 34: Wall texture (Source author) ..................................................................................29

Figure 28: Patwaon ki haveli (Source author)..........................................................................27

52 ARCHITECTURE: HOT AND DRY CLIMATE

Figure 40: Rajkumari Ratnavati school Bird eye view (Source Vinay Pajwani).....................31

Figure 43: West Elevation of Rajkumari Ratnavati School (Source Dkarchitects) 33

Figure 36: Internal courtyard 30

Figure 24: Conceptual section of front portion (Source author)..............................................25

Figure 25: Social factors that can be observed in building (Source author)............................25

Figure 39: Rajkumari Ratnavati school Top view (Source Vinay Pajwani)............................31

Figure 38: Interior of Patwaon ki haveli (Source author) 30

VERNACULAR

53 VERNACULAR ARCHITECTURE: HOT AND DRY CLIMATE

Figure 54: Psychometric Chart displaying layout techniques in reaction to environmental conditions. (Source (Szoboszlai, 2015)) 42

Figure 53: Future plan of Rajkumari Ratnavati School (Source Diana Kellogg Architects)...36

54 VERNACULAR ARCHITECTURE: HOT AND DRY CLIMATE HOTARCHITECTUREVERNACULARIN-DRYCLIMATE by Vinod Kumar Submission date: 29 Jun 2022 10:49AM (UTC+0530) Submission ID: 1364317066 File name: report_complete.pdf (3.38M) Word count: 6942 Character count: 42685

55 VERNACULAR ARCHITECTURE: HOT AND DRY CLIMATE

56 VERNACULAR ARCHITECTURE: HOT AND DRY CLIMATE

Turn static files into dynamic content formats.

Create a flipbook
Issuu converts static files into: digital portfolios, online yearbooks, online catalogs, digital photo albums and more. Sign up and create your flipbook.