Projet de fin d'études - MATERIA, vers une nouvelle filière bois

Page 1

Paul BESANÇON et Antoine LAFAYE

Materia, dérivé de mater

PRÉFACE CONSTAT PROCESSUS SITE PROJET ÉPILOGUE ÉCHANGES ANNEXE 4 6 10 17 19 26 27 28 SOMMAIRE

Où passe donc cette majorité de feuillus dans nos forêts ?

Les feuillus sont-ils de mauvais arbres pour la construction ?

ème
PRÉFACE
4
Poteaux en bois courbe source : du livre Maisons Japonaises Privées, tome 1 5
PRÉFACE

L’architecture des arbres actuels, n’utilise que 24 modèles architecturaux source : livre : Francis Hallé, Plaidoyer pour l’arbre, Actes Sud, Arles, 2006, 213 pages

CONSTAT
6
CONSTAT 7
CONSTAT 3 3 3 3 3 8

Partir de la matière, pour réinventer des matériaux.

CONSTAT
9
PROCESSUS
10
source : d’après une illustration de Duncan R Slater pour l’Université de Manchester
PROCESSUS 11

PROCESSUS

À
source : photographie personnelle Des photos au modèle 3D (Albert) source : photogtaphie et image personnelles
12
source : photogtaphies personnelles

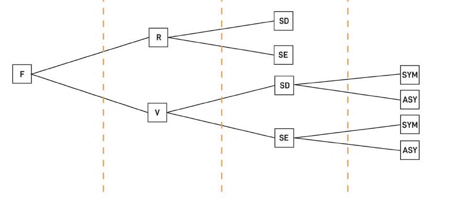
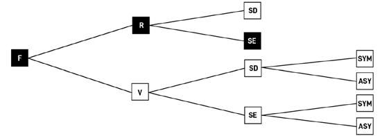
Chaque pièce porte un prénom («l’unique») et un code («le redondant»).

PROCESSUS
13

PROCESSUS

Classement fourches

Classement perches

source : images personnelles extraites de Rhino7 source : images personnelles extraites de Rhino7 14

PROCESSUS

FRSE-34

Fourche Archétype:

Albert

Symétriedelafourche:

À À technique permettant de la référencer par son nom, son code, son placement dans le catalogue et par toutes les autres données récupérées.

Données techniques

Données techniques

Famille : Forme : Droite Sections équivalentes Chêne rouge

Genre : x Identité

Essence :

Équivalencedessections: 65%

Anglefourche: 34°

Angledroite:

Anglegauche:

x 28°

Section tronc : 11.8 cm2

Section droite : 5.0 cm2

Sectiongauche:

6° 7.7 cm2

Hauteur : 43.8 cm

Largeur: 16.0 cm

Profondeur : 4.5 cm

Masse : 0.4 kg

PCS-6-1

Perche Archétype:

Fiche technique d’Albert source : document personnel

Augustine

Famille : Forme : Courbe Simple courbure Essence : Charme Identité

Flècheprincipale:

Hauteur : 83.3 cm

Largeur: 11.4 cm

Profondeur : 7.2 cm

Masse : 1.5 kg

source : document personnel source : présentoir en chêne et treillis soudé

5.6% 4.7 cm
1.0%
Flèchesecondaire :
Conicité : 1.2%
Sectionhaute : 0.8 cm 21.2 cm2
Sectionbasse : 30.2 cm2
Sectionmoyenne: 24.6 cm2
15

PROCESSUS

source : document personnel

source : document personnel

source : prototype en chêne rouge et tiges en charme

16

Dans ce territoire où les scieries ne transforment plus la diversité de la ressource locale en bois, notre projet se symbolisera par une fourche dans l’ensemble des documents présentés.

SITE
du projet 17
L’ancienne scierie Gerbois, site
SITE source : d’après IGN France 18

Dans cette optique, nous avons dessiné l’usine en faisant totalement abstraction de notre système constructif.

- L’écorçage et le séchage des pièces

- L’acquisition et le traitement numérique des données

- Le catalogage et stockage des pièces scannées

- La fabrication de structures à partir des pièces disponibles

PROJET
19
PROJET
source : photographies personnelles source : documents personnels
20
source : maquette au 1:10’000 en ciment teinté noir, résine et papier

Banc d’âne ou selle à planer

source : illustration personnelle

P

source : illustration personnelle

source : illustration personnelle

source : illustration personnelle

source : illustration personnelle

PROJET
1 2
4
21
3
5

ÉCORÇAGE / SÉCHAGE

source : d’après les données de meteoblue

PROJET
À
22

CATALOGAGE / STOCKAGE

PROJET
23

ATELIER / FABRICATION

PROJET
24

PROJET

NUMÉRIQUE / SHOWROOM

25

qu’il n’est pas nécessaire de tout réinventer et qu’utiliser des matériaux carbonés et performants avec parcimonie, ne nuit pas à un projet à faible empreinte carbone.

bois d’oeuvre feuillu, locale, qui s’adapte à la complexité et à la diversité de sa ressource en permettant de nouvelles architectures.

ÉPILOGUE
26

Nous avons pris le parti d’aller chercher des connaissances spéci ques auprès de ceux qui les détiennent. Nous avons ainsi décidé de mener une série de rencontres ou d’appels avec des intervenants extérieurs. À chaque avancée du projet, il nous tenait à coeur de véri er sa faisabilité, c’est pourquoi nous voulions des réponses précises et qui par leur détail, pouvait façonner l’architecture de notre projet.

Cette démarche qui a nalement mêlé plusieurs connaisseuses et connaisseurs du bois a porté ses fruits dans l’élaboration d’un projet spéci que et sensé, axé autour d’une nouvelle lière bois.

Christophe Ruth

Forestier, Responsable d’unité territoriale à l’ONF dans les Alpes

portrait : du site «Pays Grand Birançonnais»

Marie-Christine Trouy

Ingénieure bois, enseignante en biologie, anatomie, préservation et reconnaissance des bois

Laurent Bléron

direction de recherche), chercheur en mécanique

portrait : du site de l’ENSTIB

Eric Chauvier

Anthropologue, enseignant chercheur à l’ENSA Versailles et l’université Victor Segalen Bordeaux 2

portrait : du site «Stéphane Cordobes»

Jean-Claude Génot

Ingénieur écologue, vice-président de l’association

la coordination libre évolution, chargé de la protection de la nature du Parc naturel régional des Vosges du Nord

Franck Besançon

de la chaire partenariale d’enseignement et de recherche en architecture ; l’architecture et la construction en bois: du patrimoine au numérique

portrait : personnel

Marc de Fouquet

Nancy au MAP-CRAI

portrait : du site : «ResearchGate»

Gilles Duchanois

Ingénieur en sciences du bois, enseignant chercheur à l’ENSA Nancy au MAP-CRAI

ÉCHANGES
27
ANNEXE 3
28
Tableau de calculs source : données trouvées sur le site de karibati, internet ou par calcul
29

Turn static files into dynamic content formats.

Create a flipbook
Issuu converts static files into: digital portfolios, online yearbooks, online catalogs, digital photo albums and more. Sign up and create your flipbook.
Projet de fin d'études - MATERIA, vers une nouvelle filière bois by antoinelafaye - Issuu