Modern Hydronics - Fall 2022

Page 1


MODERN HYDRONICS FALL 2022

DISTRICT ENERGY IN NWT

Pellet boiler fires up heating system in Yellowknife.

OPTIMIZING BRAZED PLATE HEAT EXCHANGERS

CIRCULATORS: TEMPERATURE OR PRESSURE CONTROL

TROUBLESHOOTING TIPS & LARGE PUMPS

MH6 SYSTEM DESIGN Differing Deltas

Both temperature control and pressure control of circulators can work when matching flow rate with heating demand, but there are important distinctions.

MH10 PUMPS

Bright Ideas – Troubleshooting 101

From home maintenance to commercial mechanical room operations, problem solving always requires a plan.

MH15 SHOW PREVIEW Modern Hydronics 2022 - The Summit

The sixth edition of the Summit returns as a one-day in-person event with new twists.

By HPAC Staff

MH20 DISTRICT HEATING Heating Yellowknife

New pellet boiler district energy system helps NWT government reduce its carbon footprint.

MH26 COOLING Dew Drop Inn

A quick lesson in condensation prevention when considering radiant cooling.

Curtis Bennett

MH28 HEAT EXCHANGERS Opposing Currents

When it comes to designing systems with brazed plate heat exchangers, stick with counterflow piping.

MODERN HYDRONICS

EDITOR

ASSOCIATE EDITOR

ASSOCIATE PUBLISHER

ACCOUNT COORDINATOR

MEDIA DESIGNER

CIRCULATION MANAGER

PUBLISHER

COO

Doug Picklyk (416) 510-5218 DPicklyk@hpacmag.com Logan Caswell (416) 728-6209 LCaswell@hpacmag.com

David Skene (416) 510-6884 DSkene@hpacmag.com

Kim Rossiter (416) 510-6794 KRossiter@hpacmag.com

Emily Sun esun@annexbusinessmedia.com

Urszula Grzyb (416) 442-5600, ext. 3537 ugrzyb@annexbusinessmedia.com

Peter Leonard (416) 510-6847 PLeonard@hpacmag.com

Scott Jamieson

HEATING UP TO 150,000 BTU/h DHW UP TO 210,000 BTU/h

NCB-H

High capacity, High performance combi-boilers

Navien NCB-H high efficiency combis bring the highest level of whole house comfort to any size home...big or small

• Highest DHW maximum BTUs in residential condensing combi-boilers... up to 210,000 per hour

• Highest DHW flow rate @ 70°F rise... up to 5.4 gallons per minute

• Highest number of BTU sizes for the North American residential combi-boilers

• Highest residential combi-boilers domestic hot water turndown ratio...15:1

• Highest residential combi-boilers heating turndown ratio... up to 11:1

• Highest number of built-in zone controls for valves or pumps... up to three

• Highest full lineup 2" venting lengths... up to 65 feet

• Highest number of cascade capable units with up to 15 tankless water heaters

• High altitude certification... up to 10,100 feet (NG or LP)

Aim high with Navien NCB-H combi-boilers... To learn more visit Navieninc.com

The leader in condensing technology...does it again.

DIFFERING DELTAS

Both temperature control and pressure control of circulators can work when matching flow rate with heating demand, but there are important distinctions.

Over the years I’ve had a lot of questions asking if I prefer to operate zoned hydronic systems based on a set temperature drop between supply and return water temperature (e.g., ∆T control), or a set pressure drop across the distribution system (e.g., ∆P control).

Both methods of speed control attempt to match the flow rate in the system with the current heating requirements of the building. The ultimate goal is to reduce electrical energy use without compromising comfort.

The choice between ∆T and ∆P control of a circulator has, at times, been the subject of rather “heated” debates. It’s almost as if a few Toronto Maple Leaf fans are disputing superior goaltending with some Calgary Flames fans.

There appears to be some strong opinions involved. Maybe it derives from selfjustification that refuses to believe any opposing view. Perhaps there’s a bit of brand loyalty mixed in, or some mathematical manipulation that “proves” what nature will surely do whenever the system being analyzed is put in operation.

Being someone who’s not ready for a fisticuffs defense of how a circulator operates, or interested in faceless banter on the Internet, I tried to look at this subject from a sterile engineering perspective.

I used software that is based on very accurate empirical models of heat emitters such as finned-tube baseboard to

see what happens to the heat output of a hydronic distribution that is forced to operate at an assigned (and fixed) ∆T as the supply water temperature is decreased. I refer to this as “constrained ∆T” operating logic.

IT WORKS WHEN…

What I found is that imposing a fixed ∆T between supply and return can work when the following conditions are all present:

1. Multiple heating zones are controlled

Imposing a fixed delta-T between supply and return requires certain conditions are present in the system. These two examples meet those conditions.

DESIGN

with valves, or multiple secondary circulators supplied from a common primary loop.

2. The system uses low thermal mass heat emitters.

3. The heat source maintains a constant supply water temperature, at the design load value, whenever any zone is calling for heat. Figure 1 shows examples of two systems that meet these criteria.

Consider a low thermal mass hydronic heating system that supplies design load heat output when all zones are active and the supply water temperature remains constant at the design load value. If the heat emitters were not oversized for the design load, all zones would, in theory, remain on until the design load condition subsided (or other factors such as internal gains or intentional thermostat setbacks began influencing the zone loads).

When design load is no longer present in one zone, and the associated thermostat turns off the zone valve or secondary circulator, less heat is being removed from the distribution system. This change reveals itself as an increase in return water temperature (assuming that the supply water temperature remains constant). The temperature difference (e.g., ∆T) between the beginning and end of the distribution system decreases.

A circulator operating based on constrained ∆T logic would sense this decrease and respond by reducing speed so that the design load ∆T was reestablished for the zones that remain active. This process would repeat when another zone turned off. This method of control reduces circulator energy use during partial load conditions.

When a zone turned on, and the supply water temperature remains fixed at the design load value, the return water temperature decreases because more heat is being removed from the distribu -

“∆P control does require the installer to set the circulator for the required ∆P (or in some cases the required head) of the distribution system at design load conditions.”

tion system. A circulator operating based on constrained ∆T logic would sense this increase in ∆T and respond by increasing speed to reestablish the design load ∆T.

MASS MATTERS

The requirement that the distribution system have low thermal mass heat emitters implies that the temperature changes on the return side of the system would appear quickly as zones turn on and off.

A high thermal mass distribution system, such as a heated concrete floor slab, could significantly delay these temperature changes due to heat being absorbed into or released from the thermal mass.

The mounting of the temperature sensors could also affect how quickly the electronics in the circulator respond to the change in temperature.

The constrained ∆T method of control forces the active portion of the system to operate as if it is always at design load conditions. When a zone doesn’t require design load heat input the thermostat for that zone would have to cycle the zone valve or zone circulator on and off to avoid overheating the space.

This, in effect, directs “pulses” of heat into each zone whenever its thermostat calls for heat. The rate of heat delivery during each pulse remains at the design load rate. The duration of each pulse is the time that the zone valve or zone circulator is on.

The design load heat transfer rate multiplied by the “on-time” of the zone determines the total heat added to the space during each pulse.

This method of heat delivery has been

used in millions of North American hydronic systems over many decades. It is generally acceptable if the thermostat differential and boiler high limit differential are reasonable.

It’s important to understand that not all hydronic systems meet the three previously stated constraints.

Many modern systems use outdoor reset control to vary the water temperature supplied to the distribution system based on outdoor temperature. When outdoor reset control is combined with a circulator operating on constrained ∆T logic, the heat output from the distribution system decreases faster than it should based on outdoor reset control theory. This could lead to a reduction in building comfort under partial load conditions.

For this reason, I recommend that circulators using constrained ∆T control only be used in systems that meet all three of the previously stated constraints.

∆P CONTROL

Differential pressure (e.g., ∆P) speed control is intended for use in hydronic systems that use any type of valvebased zoning (e.g., zone valves, thermostatic radiator valves, or manifold valve actuators).

A ∆P circulator operates by continually comparing its pressure differential against some reference condition. The latter could be a fixed value (e.g., constant ∆P control), or a calculated value based on flow rate (e.g., proportional ∆P control).

Constant ∆P is preferred when most of the head loss of the distribution system occurs in the branch (e.g., zone) piping, rather than the “common piping” through

which all system flow passes. This is typical for “homerun” distribution systems.

Proportional ∆P control is preferred when the head loss in the piping mains (rather than the branches) is a large portion of the overall head losses. The latter is typical for “2-pipe” direct-return or reverse-return systems.

A ∆P circulator determines its current ∆P based on the electrical load on the motor, specifically the position of the rotor shaft relative to the magnetic field applied to stator coils.

It uses this information along with a “mapping” of motor operating characteristics to infer both its flow rate and ∆P. It then adjusts motor speed up or down to bring its operating condition as

ducers or variable frequency drives. Response time is short—a few seconds. This is an advantage over ∆T control that depends on the temperature response of two sensors.

∆P control does require the installer to set the circulator for the required ∆P (or in some cases the required head) of the distribution system at design load conditions.

Some installers balk at this requirement, claiming they have no way of determining it.

My response is:

How do you know what size circulator is needed if you haven’t attempted to estimate its operating point when all zones are operating?

IN SUMMARY

Both ∆T and ∆P methods of circulator speed control can work, given the right application and adherence to the constraints mentioned above. Both have been used in the field for several years. Looking ahead, it’s likely that even more refined methods of circulator speed control will be developed, based on multiple sensed inputs, as well as coordination with other hardware in the system, such as boilers or heat pumps. <>

John Siegenthaler, P.E., is a professional engineer with more than 40 years of experience designing hydronic heating systems.

BRIGHT IDEAS –TROUBLESHOOTING 101

From home maintenance to commercial mechanical room operations, problem solving always requires a plan.

We have all had opportunities to do troubleshooting.

It seems as though I have been in the troubleshooting business the majority of my professional career. I am often asked, “What is troubleshooting? Where do I start? And what do I do?

In its purist form, troubleshooting is the process we go through to solve a problem. As for where to start? My response is always: start at the beginning.

And when it comes to, “What do I do?”, the answer is, “Develop a plan.”

I’m going to share a simple example of my thought process when it came to solving a small problem at home, and then I will provide you with a real pump troubleshooting situation that I was asked to solve not too long ago.

So, earlier this year I left the office on my way home. The commute is little over an hour. When I first got on the road, I called my wife to give her an estimate as to my arrival time. She informed me that one of the lamps in the living room was no longer working.

She also said that she replaced the light bulb with a new one that she knew was working because she tested it in another lamp. The new bulb did not illuminate. I told her that I had about an hour or so of driving and would think about it on my way home.

Following my own advice, I started at

the beginning and started to list the things that I knew and those that I did not know.

I knew there was electric power available because my wife tested a bulb in another lamp. I also knew there were two lamps in the living room. One lamp was activated by a wall switch and the other lamp was plugged into a live electrical outlet. I know that the lamps are about 26 years old which is the same age as the circuit breaker, the wiring and the receptacle.

What I did not know was which lamp was not working, the wall switched lamp or the live receptacle lamp.

Time to do some interviewing. I called my wife and asked several questions. Her answers revealed the following: the lamp in question is connected to the live receptacle, and that the lamp was working fine the day before.

I could now focus my attention on the lamp connected to the live receptacle which allowed me to develop a plan.

I had about 45 minutes of commuting left, plenty of time to develop a comprehensive plan. I now knew that the problem was either with the house electrical system or the lamp. The house electrical system consisted of the circuit breaker, the house wiring and the receptacle. The lamp consisted of the electrical cord, the lamp switch and perhaps the light bulb.

To eliminate the house electrical system, my plan upon arriving home was to turn off and on the electrical breaker at the electrical panel. The next step was to inspect the lamp switch, the lamp wiring and the receptacle. I have a digital volt/ohm meter, which would make testing the receptacle, the lamp wiring and the lamp switch a breeze.

By this time I was almost home, and I felt confident that I had worked out a comprehensive plan to diagnose and solve the problem.

Upon arrival I asked my wife to put the

Working Smarter Not Harder with Air-to-Water

The latest innovations in air source technology + the clean and efficient characteristics of hydronics = the most capable and highest performing heat pumps available

SpacePak’s Inverter Series of Solstice Air-to-Water Heat Pumps

Heating and cooling for your green building goals, fit for even the coldest of climates.

• Industry leaders of air-to-water technology since 2011

• The most complete line-up on the market for residential and light commercial applications

• Industry proven for reliability, performance, & longevity

• Thousands of installations across the US and Canada

• All-in-one solution for year-round whole house heating, cooling, and DHW offset

• All the advantages of a hydronic system without the use of fossil fuels

• High performance heating capabilities down to -20°F

• Perfect match for radiant and solar applications

• Industry leading 10-year compressor warranty and 5-year parts for certified contractors

Solstice Inverter Monobloc SIM
Solstice Inverter Split SIS
Solstice Inverter Extreme ILAHP

wall switched lamp on so that I could check the circuit breaker. I went into the basement, walked over to the electrical panel and identified the breaker for the living room. Fortunately for me the breakers were well labeled, and I immediately found the appropriate switch.

On and off went the breaker, and on and off went the wall switched lamp. The breaker was not the problem.

I grabbed my volt/ohm meter and went upstairs to the living room. Before proceeding any further, I decided to replace the lamp bulb just in case. I removed the illuminated bulb from the wall switched operating lamp and installed it in the offending lamp. Just as my wife indicated earlier, the bulb did not light up.

The next step was to use my volt/ohm meter and test the receptacle that the lamp cord was plugged into. In order to access the receptacle, I had to move the sofa away from the wall because the receptacle was hidden by the sofa. As soon as I moved the sofa to reveal the receptacle, I had my answer.

At this point you might have guessed that the lamp cord was not plugged into the wall. But you would be wrong.

You see, several years earlier, I purchased a digital timer which can be programmed to activate and deactivate a device such as a lamp based on the time of day. The digital timer has an override switch (or on switch) which allows the digital timer’s outlet to be on continuously. I removed the digital timer and plugged the lamp directly into the wall receptacle and the lamp bulb immediately illuminated.

Problem solved. The digital timer failed and no longer provided power to the lamp.

My troubleshooting steps were correct, and I followed my plan. However, I could have determined the problem earlier if I had been more comprehensive during the interview process.

I should have asked my wife to look behind the sofa to see if the lamp was plugged in. That simple request would

have revealed another possible course of action and I would have modified my plan. Lesson learned.

As promised, let me walk you through a real-life pump troubleshooting problem that I was asked to solve.

I received a call from one of our customers regarding what was perceived to be a pump problem. I asked the customer to provide a brief verbal description of the issue. He revealed the following:

1. The pumps were installed about 10 years ago and have been in service since.

2. The customer is concerned that the flow is less than the original design (approximately 850 GPM) and that the flow may have been less than design for the entire 10 years.

3. There are five pumps installed, four operating in parallel one standby.

4. The original design flow was 1,200 GPM and 25 FT for each pump.

5. The pumps serve a condenser water system with an open cell cooling tower.

6. The cooling towers use an indoor sump.

7. The flow was estimated by measuring the pressure drop across the chiller condenser water barrel with one pump running.

8. The pressure differential was measured across the pump at approximately 25 FT.

I asked for some additional information, including:

1. One line diagram of the piping system.

2. Photos of the piping and pumping system.

3. Water level in the sump relative to the centerline of the pump.

4. Photos of the pump and motor name plates.

5. Pump speed in RPM.

6. Water temperature.

7. Suction pressure with the pumps off measured at pump suction flange.

8. Suction pressure with the one pump running at pump suction flange.

9. Discharge pressure with the one pump running at pump discharge flange.

10. Voltage and amperage at the VFD input with motor operating at design load.

After my initial interview on the phone, while waiting for him to send along his information, I collected some documentation including pump data, motor data and drive data.

Now it was time for me to develop a plan.

I decided to create a four-step plan. The first was to review the published data along with the drawings, and the second was to review the information provided by the customer. I needed to evaluate the data before moving on to steps three and four.

The line diagram along with the photographs indicated that the suction header was at the same elevation as the pump suction connection. In other words, the centerline of the suction header was at the same elevation as the centerline of the pump suction.

The photos also revealed that the discharge gage was reading 11 PSIG (approximately 25 FT) and the suction gage was reading 0 PSIG (0 FT) for a differential pressure of 25 FT at 60 Hz.

The elevation of the water level in the sump was 4 FT above the centre line of the pump. At this point I had a hunch that the suction gauge may not be giving us the actual suction pressure. I contacted the customer and asked for a short video of the suction gauge while the pump was running. The video revealed that gauge dial was resting on the gauge pin at 0 PSIG with no movement.

Time to do some calculations.

The suction header was 20 inches in diameter and approximately 30 feet long and was connected directly to the cooling tower indoor sump. Calculations

Continued on MH14

with installers in mind...more powerful and user-friendly interface. • EZ Setup Wizard

• Wi-Fi, remote access to programming, monitoring, diagnostics and troubleshooting (including access to complete error log)

• Easy-to-read, 7'' touch screen with full color graphics

• Three Zones + DHW control. Expand to six zones with optional N-Link Control

backed by NTI’s legendary support, reliability, and technology. Contact your nearest NTI Distributor or visit ntiboilers.com

proved that with one pump operating, the pressure drop was negligible in the suction header. Therefore, the pressure at the pump suction pipe where it connected to the header should be + 4 FT.

Again, back to the drawings and the photos to determine what was between the pipe connection at the header and the pump suction connection. This revealed a butterfly isolation valve and a basket strainer. I now had enough information to complete my plan.

I asked the customer to replace the conventional suction gauge with a compound gauge. A compound gauge can read pressure values both above and below 0 PSIG.

I also asked the customer to take suction pressure readings with the basket strainer screen both in and out.

Here is what he recorded:

• With all the pumps off the suction

pressure at the pump flange read + 4 FT (basket strainer screen in)

• With one pump running at full speed (1760 RPM) the suction pressure at the pump flange read – 25 Inches of Hg (approximately – 12 PSIG with basket strainer screen in).

• With one pump running at full speed (1760 RPM) the suction pressure at the pump flange read + 3.5 FT (basket strainer screen out).

These new readings proved that the actual pump pressure differential was 25 FT – (-12 FT) or 37 FT.

At this pressure differential the pump curve indicated the flow to be approximately 850 GPM. The problem was not the pump but the unanticipated pressure drop of the basket strainer (with screen in).

I recommended that the customer investigate replacing and/or relocating

the basket strainer—problem solved. Admittedly not all troubleshooting problems will be this easy to solve, but the principals are the same.

First, identify the problem. Second, collect data including manufacturers data, drawings, diagrams, field measurements, photos and videos (you can never have too many photos and videos). Third, do some calculations (if appropriate), and finally develop a plan.

Have fun on your next troubleshooting adventure and drop me a line to let me know how you are making out. <>

Mike Miller is vice president of sales, Canada with Taco Comfort Solutions and a past chair of the Canadian Hydronics Council (CHC). He can be reached at hydronicsmike@tacocomfort.com.

MODERN HYDRONICS 2022 - THE SUMMIT

The Sixth edition of the Summit returns as a oneday in-person event.

Since 2013 HPAC Magazine has been hosting a one-day Modern Hydronics Summit every two years in the fall, with the event getting bigger and attracting larger crowds every time.

With the pandemic placing all live events on the sidelines in 2021 the HPAC Team made a pivot to hold a virtual two-day Modern Hydronics Summit in March of 2021 attracting viewers from across Canada – drawing the larg -

Continued on MH16

Schedule

The 2022 Modern Hydronics Summit includes five educational sessions delivered by industry experts on topics that will set contractors up for success. Location: Universal EventSpace (6250 Hwy 7, Vaughan, ON)

Thursday, September 15

9:30 am - 10:30 am Registration and Trade Show Floor Open

10:30 am - 11:30 am

11:30 am - 1:00 pm

KEYNOTE Part I: Hydronics for Net Zero Homes (John Siegenthaler)

Lunch & Trade Show

1:00 pm -1:45 pm Zone Circulators or Zone Valves? (Mike Miller, Dave Holdorf)

1:45 pm -2:00 pm Break/Trade Show

2:00 pm 2:45 pm

Critical Nature of Boiler Chemistry (Jeff House, Brian Morgan)

2:45 pm -3:00 pm Break/Trade Show

3:00 pm -3:45 pm

3:45 pm -4:00 pm

4:00 pm -5:00 pm

5:00 pm -5:15 pm

Regulatory Outlook – Boilers & Water Heaters (Tom Gervais)

Break/Trade Show

KEYNOTE Part II: Hydronics for Net Zero Homes (John Siegenthaler)

Sweet Heat Contest Results

5:15 pm -8:00 pm Dinner/Bar

est attendance in the event’s history.

This year, the 2022 Modern Hydronics Summit returns to a traditional one-day in-person format, Thursday, September 17 at the Universal Eventspace located in Vaughan, Ont., just north of Toronto.

THE LIVE EXPERIENCE

While the virtual Modern Hydronics Summit in 2021 provided access to industry professionals from coast to coast, there is no replacing the value of personal interactions at our live hydronics events. Meeting up in person with colleagues who share a passion for this industry, whether it’s sharing a laugh with an old friend or meeting up with new contracting pros, making connections and networking is how this segment of HVAC business continues to grow and prosper.

The trade show portion of the Modern

THANK YOU TO OUR SUMMIT SPONSORS

Platinum sponsor: Resideo.

Keynote sponsor: Caleffi

Hydronics 101 sponsor: NEXT Supply

Tool sponsor: Kane Canada

Event Sponsors: Lochinvar (AquaTech); Roth; Taco; Uponor; Viessmann

And over 60 exhibitors for the trade show featuring all you need for your next hydronics projects.

PLUS: Meet a line-up of HVAC social media influencers as they work on a live pre-fab boiler panel build. In attendance will be: Jess Bannister (@hvacjess); Aaron Bond (@bond_aaron); Terence Chan (@the_impetus); Gary McCreadie (@hvacknowitall1); Tyler Dynes (@dyneshvac); Kiefer Limeback (@toolaholic); Mike Flynn (@flynnstone1); George DeJesus (@Georgetheplumber).

Hydronics Summit will feature over 60 tabletop exhibitors, all specialists in the field featuring technology and services dedicated to this market niche.

And of course the line-up of educational sessions will once again set up attendees for success. Our featured keynote speaker, HPAC writer John

Siegenthaler, will be detailing how hydronic heating and cooling fit into modern Net Zero buildings. He’ll be identifying the advantages of hydronics systems for these applications and how to put the systems together with off-theshelf components to create simple, re -

Continued on MH18

peatable designs. Attendees will also be entered into a draw to win a signed copy of Modern Hydronic Heating for Residential and Light Commercial Buildings (4th edition) which was released this spring.

Other presentations will include: the pros and cons of zone valves and zone circulators; a dive into boiler chemistry; and a look at current and pending regulatory changes and how they will effect new and retrofit hydronic system design.

There will be draws for useful tools after each session, and there will also be Blue Jays tickets up for grabs. Along with a day of education and networking, registration also includes lunch, dinner and a post-event drink.

SOCIAL ENGAGEMENT

Also, live on-site a team of HVAC social media influencers including Gary McCreadie, Aaron Bond, Terence Chan, Jess Bannister, Tyler Dynes, Kiefer Limeback, Michael Flynn and George DeJesus will be working on prefabricating three boiler panels. These HVAC pros will be interacting and live streaming action from the event while also sharing their own tips and tricks using the latest products and tools available.

“There is no replacing the value of personal interactions at our live hydronics events.”

HYDRONICS 101

For the first time this year’s Modern Hydronics Summit is adding a special track for those who are new to the industry or looking to improve their knowledge on hydronic systems and the components that make them work.

This parallel track is being designed for HVAC or plumbing contractors who are considering adding hydronics to their repertoire, or those who want to get their technicians up to speed.

We have dedicated space at the Summit where industry experts will walk attendees through the basics of hydronic systems and help them understand why this technology is growing so rapidly. Each session will be hosted by a product expert and every session will be very interactive and a lively Q&A will be encouraged!

SWEET HEAT

In the Fall of 2020 HPAC magazine launched the first ever Sweet Heat contest, inviting hydronic contractors across Canada to get their cameras out and share their creativity, artistry and resourcefulness in delivering “Sweet Heat” to their customers.

The response was great with over 30 entries last year. For 2022 a generous sponsorship has been attached to the contest, with winners this year (one commercial and one residential project) will each be receiving a $3,000 spending spree courtesy of their local EMCO location.

In addition, the winning entries will be featured in the October 2022 edition of HPAC.

The Sweet Heat prizes will be awarded after the final session at this year’s Modern Hydronics Summit.

REGISTER NOW

The 2022 Modern Hydronics Summit takes place September 15th. Registration is $99 (plus tax & service charge, $119.84 incl.) for the main event, special pricing is available for groups and Hydronics 101. For more information and to register today visit: modernhydronicssummit.com. <>

You expect your boiler to provide enough hot water for both your kitchen and bathroom, as well as enough heat to make your home cozy and snug. Combining DHW & space heating in a single compact design featuring two independent copper waterways embedded in a cast aluminium heat exchanger, the SFC Combi is designed to do just that.

The SFC Combi contains cutting-edge, solid-state electronics to control its gas valve, fan and ignition. By doing so, we’ve succeeded in reducing the number of moving parts, made servicing simple, and increased reliability.

www.ibcboiler.com

HEATING YELLOWKNIFE

New pellet boiler district energy system helps NWT government reduce carbon footprint.

As more communities become aware of the benefits of using biomass to heat and power their buildings, more district energy systems are coming online in Canada. Remote northern areas in particular have recognized the opportunity to use bioenergy to reduce their reliance on fossil fuels and lower their greenhouse gas (GHG) emissions.

J&R Mechanical, a plumbing and heating contractor in Yellowknife, NWT, is one of the companies leading the charge. Last year the company began operating a new $1.1-million district energy system, called the Woolgar District Heating System, to provide heat to a government of NWT (GNWT) warehouse and three other private businesses, helping to reduce the government’s reliance on fossil fuels.

BRINGING BIOMASS NORTH

This is not the first time that J&R Mechanical has installed a district energy system. According to owner Ken Miller, the company, which was founded in 1977, has been installing biomass boilers for over 12 years. When these types of boilers started becoming popular in the NWT, the territorial government embraced the potential environmental benefits of using wood pellets instead of fossil fuels.

Consequently, “Our government contracts were specifying installations with biomass – in schools predominantly, at first – and that’s how we got involved in biomass,” Miller says. “In the years after

that, when tenders would come out for different systems, we focused on that as part of our regular scope of plumbing and heating. The heating became biomass, and we became a prominent installer of biomass boilers for the government and the private sector.”

Around the same time, J&R Mechanical began installing district heating systems for different government clients. Their first system was for an Indigenous government client in Behchok , NWT, installing a plant that

Continued on MH22

This 200-kW heat transfer station at the GNWT warehouse in Yellowknife allows J&R Mechanical to meter the heat for billing clients. It also provides a hydraulic disconnect between the client building heating system and the district heating system.

assistant

Introducing Viguide

Our new Viguide app connects to any Vitodens smart generation boiler to streamline and simplify each installation.

+ All-in-one app for installation, service, maintenance & monitoring

+ Enhanced customer experience maintenance reminders

with annual automated

+ Faster installation with guided step-by-step start-up and commissioning reporting

+ Simplified maintenance with replacement parts guide

+ Proactive monitoring with remote diagnostics & notifications

DISTRICT HEATING

provides heat to eight buildings from one biomass boiler.

“As we continued to do more and more of those, we had this opportunity to propose a project that was literally right in our backyard – the Woolgar District Heating System – and the main client is the GNWT warehouse,” Milller says. “They have a list of buildings they wanted to switch to biomass, and this one was on their list.”

The territorial government agreed to their proposal to switch the warehouse over to a district heating system. J&R Mechanical also approached other businesses in the area that could benefit from the system, which led to 30% of the block coming on board.

The project took two years from proposing the idea to completion, including the planning and design, permits and installation.

J&R Mechanical ran into a few issues during the construction and installation process, mainly permitting issues, Miller says.

“You can only dig in the summer here, so we started the project too late to get everything – the permits and all of that – on time in the previous summer (2019),” he explains. “Even into the con -

struction season, in the summer of 2020, we were delayed because of permits. We didn’t have everything in place. So, it took us into the winter, which caused some issues for us and left us with some seasonal deficiencies.”

But, the system officially came online in March 2021, and has since been providing heat to the three businesses, the GNWT warehouse and a GNWT data centre that is connected to the warehouse.

FROM WOOD PELLETS TO HEAT

The system itself is fairly simple, with two main components: a shipping container housing a 1330 MBH (390-kW) Viessmann Vitoflex 300-UF boiler and a silo to store the wood pellets.

Fink Machine of Enderby, B.C., the supplier, assembled the boiler in the containerized plant, which was then shipped to J&R Mechanical, who installed it and connected it to their own systems. Meanwhile, the wood pellets came from a pellet plant in Alberta.

According to Miller, the system is very similar to any other hydronic heating system: “You heat water and you transfer the heat to buildings through various different types of heat exchangers, whether it be baseboard radiation or

unit heaters, radiant in-floor heaters or radiant panel heating.

“The process of burning wood pellets to create the heat source is the only real difference,” he continues. “We unload and load them, redistribute them to different silos in the community where these pellets are then extracted by augers or different devices to feed the boiler, based on the demand for heat.”

The boiler produces heat, water vapour, carbon dioxide and ash. The heat from the water vapour is transferred to each building’s space heating system through underground pipes, Miller explains.

Yellowknife, of course, is extremely cold in the winter, which means the system has to be able to operate in a harsh climate. So far, there have been no issues with the boiler, Miller says.

“The average design temperature here is to -45C; we’ve seen the boiler operate just perfectly in those tempera -

J&R Mechanical in Yellowknife has been installing biomass boilers for over 12 years.
The pellet boiler fired up.
PHOTOS COURTESY

tures,” he says. “It’s operating as it was designed to operate, with low maintenance and fairly high efficiencies. It’s worked out well.”

REDUCING FOSSIL FUEL RELIANCE

The system has also had a big impact on the NWT government’s fossil fuel use, as it has cut oil use for the warehouse by 92% – from 60,000 litres per year to just 4,800 litres. The system has also reduced the warehouse’s GHG emissions by 145 tonnes of carbon equivalent.

The project, which cost $1.1 million, was a big capital investment for J&R Mechanical. The NWT government gave the contracting business a $274,000 grant for the project, but the company footed the rest of the bill. However, Miller says their business plan calls for paying off that investment in four to five years of operations.

So far, the feedback from the community and the territorial government has been very positive, Miller says. He believes there are opportunities for other northern communities to develop simi -

“The average design temperature here is to -45C; we've seen the boiler operate just perfectly in those temperatures.”

lar district energy systems using woodburning boilers to reduce their reliance on fossil fuels.

“I think everyone is looking at them as a better solution – looking at biomass boilers to heat buildings – so I think it has been kind of proven that this is a good way to go,” he says.

Nevertheless, there are a few barriers to overcome when installing a system like this. One such challenge is understanding the potential impact on a community’s infrastructure.

“We bury pipes in the ground, and that can be very disruptive,” Miller explains. “There’s other stuff in the ground that you don’t see – power lines, water and sewer pipes, telephone lines and things like that, depending on where you’re trying to install it. So, engineering

design can be a big challenge.”

However, the benefits far outweigh the costs, and J&R Mechanical is looking at possibly expanding the Woolgar District Heating System.

“If our client base grows – and it potentially will with some new developments next year or the year after – we possibly will have to expand the size of the heating plant to accommodate,” he says.

For now, though, the company is already planning to add one or two more buildings to the system and continue running it as is. <>

This article originally appeared in Canadian Biomass (published by Annex Business Media, owners of HPAC). Ellen Cools served as Editor of Canadian Biomass.

PHOTO COURTESY J&R MECHANICAL
J&R Mechanical established Enterprise Pellets in 2009 to supply, install and maintain biomass boiler systems for residential and commercial heating application in the area. The company distributes pellets to silos in the community.

AutoFill™ is the original, automatic, fast-filling boiler valve, offering precise pressure control in hydronic or cooling systems. Set it and forget it with a simple dial set point adjustment, factory pre-set at 15 psi. The valve combines with optional ASSE 1012 dual check or ASSE 1013 reduced pressure zone backflow preventer to save time and reduce space requirements. An optional pressure gauge offers effortless adjustments as needed—no more guessing. CALEFFI GUARANTEED.

DEW DROP INN

A

quick lesson in condensation prevention when it comes to radiant cooling.

Ihave one distinct memory about my great grandparent’s homestead. At the entrance, where the two fences met between their land and the neighbour’s, there was a large rock with the words: “Dew Drop Inn”.

I always thought it was a really cool message. I have seen this little saying around in other places since, but I know that rock was there since around 1925, so they might have been the first. At least I like to think so.

Well, that saying leads me to the topic of the day: condensation.

Radiant cooling has been on the verge of being mainstream since I got into the hydronics industry 20 years ago. Working with geothermal heat pumps provides the capability, and we have the piping infrastructure for the heating system, so adding cold water into the mix should just work, shouldn’t it?

Well it’s not that simple.

Radiant cooling runs into a very big

problem, especially in areas with high humidity.

You know when you bring a can of Coke out of the fridge and put it on the counter, and those little beads of condensation form on the outside—it’s like the Coke is telling you that it’s perfect and ready for drinking. Well if that same

“I like radiant cooling, it just needs to be done correctly or you will have a very mad homeowner.”

condensation forms on the pipes running through your walls or on your radiant floors, then we have a big problem.

The condensation that forms is often called dew, or at least that’s what we call it when it forms on the grass and flowers in the yard—when the grass is

cold from the night and the morning sun warms up the atmosphere. The point at which the condensation starts to form is call the “Dew Point”. The dew point of an item is a calculation that involves the relative humidity of the air as well as the temperature of the item.

The calculation is a pretty math heavy, but don’t worry we won’t get into it. Well, ok, just a little bit. Relative humidity is actually a ratio. A ratio of how much humidity the air has in it to how much humidity it could hold at that temperature.

The dew point calculation tells us at what temperature that humidity starts to squeeze out of the air. This is where the problem for radiant cooling comes in.

Don’t get me wrong, I like radiant cooling, it just needs to be done correctly or you will have a very mad homeowner. In many cases it could be the flooring with pipes are running through it that will condense or some sort of radiant cooling panel.

So what do we need to do? We need to control, very precisely, the temperature of the fluid going into these areas.

Having said that how do we make sure?

It starts with the calculations. It is possible to have a different dew point in each room, so the dew point needs to be individually calculated from each room. That will mean each room must have a humidity sensor built into the thermostat.

These calculated values all need to be sent to a “CENTRAL” control. This is the important part. The system needs to communication as a “SYSTEM”, it can’t be individual rooms.

All the rooms have to know the information from the other. This way the system can determine the proper temperature that is required to be entering the system. It has to know dew point values in each room because it needs to go with the high-

est calculated temperature.

If we chose the lowest temperature, or just an average temperature, we could have condensation forming in some rooms but not others. This is bad.

When condensation forms on woods floors, it will eventually wreck them. If condensation forms on cooling panels that have been embedded in the ceiling. Well guess what, bad news as well. I think you see where this is going.

Once the control system has figured out the ideal temperature to be pushed out to the system, we need to get it there, so there will need to be some mixing to properly control the temperature.

Going even a touch colder than the dew point will lead to the formation of condensation, and it does not go away as soon as you push above that temperature. So it’s very important not to go below it in the first place.

Ok, I’ve kept this short and sweet, and hopefully to the point.

In future articles I may have to do a little elaboration and get into more of the math, because radiant cooling is getting bigger every year and it’s critical that we control for that dew point or installations could become homes with dew drops within. <>

Curtis Bennett C.E.T is product development manager with HBX Control Systems Inc. in Calgary. He formed HBX Control Systems with Tom Hermann in 2002. Its control systems are designed, engineered and manufactured in Canada to accommodate a range of hydronic heating and cooling needs commonly found in residential, commercial and industrial design applications.

Partner With Your Industry Experts.

AQUATECH™ offers innovative Lochinvar® commercial and residential building heating and hot water solutions that empower engineers, specifiers, builders and contractors to use solutions that dependably deliver.

A building is about more than just products. It’s about people. Your customers, who live, learn, or work in the facilities must have heating and hot water solutions that perform and give them peace of mind.

Turn to one of your best resources for heating and hot water solutions, value and people support. Grow your business with AQUATECH.

OPPOSING CURRENTS

When it comes to designing systems with heat exchangers, stick with counterflow piping.

Heat exchangers, in all their varied types and sizes, allow heat to move from one fluid to another without any contact between those fluids. They add considerable versatility to hydronic system design. Common applications include domestic water heating, snow melting and hydronic subsystems for garage floor heating.

Flat plate heat exchangers have captured much of the market. More specifically, “brazed plate” stainless steel flat plate heat exchangers (BPHX) are now available from several suppliers in a wide range of sizes. They are ideally suited for residential and light commercial applications.

This type of heat exchanger is made by assembling a stack of pre-formed stainless steel plates that have copper bonded to them around their perimeter, and at points of contact between adjacent plates. The concept is shown in Figure 1.

The stack is then compressed and heated in an oven to approximately 2,000F to braze the surfaces and perimeters together.

Most manufacturers of brazed plate heat exchangers have standardized plates sizes. Typical plate dimensions are 3 x 8 in., 5 x 12 in., and 10 x 20 in. For a given plate size, heat exchange ratings are increased by adding plates to the “stack” that become the overall heat exchanger. Brazed plate heat exchangers are commonly described by the nominal size of their plates and the number of plates in the stack. For example, a 5 x 12 x 40

brazed plate heat exchanger has 40 plates, of nominal dimension 5 x 12 in.

One unique plate forms the back of the heat exchanger (e.g, it has no holes through it). Another unique plate forms the front of the heat exchanger, and transitions to the four piping connections. Figure 2 shows examples of brazed plate stainless steel heat exchangers ranging from a 5 x 12 x 100 plate unit, to a relatively small 3 x 8 x 10 plate unit.

FLOW DIRECTION MATTERS

Assuming the channels between the plates were numbered, one fluid passes from one end of the heat exchanger to the other through the odd numbered channels (1,3,5,6, etc.). The other fluid passes from one end of the heat exchanger to the other through the even numbered channels (2,4,6,8, etc.).

There are two possible ways to pipe up a flat plate heat exchanger. The two entering fluids streams could be moving in the same direction, or in opposite directions. When the two streams flow in the same direction the configuration is called “parallel flow.” When the two streams flow in opposite directions the configuration is called “counterflow.” These two flow configurations, along with representative temperature changes of both fluid streams, are shown in Figure 3.

You can see that the temperature difference between the hot fluid and cool fluid changes considerably depending on where it is measured within the heat exchanger. For the parallel flow heat exchanger the temperature difference at the left side, where both fluids enter, is

Figure 1. Example of typical brazed plate stainless steel flat plate heat exchanger (BPHX) assembly.
Figure 2. Examples of complete brazed plate stainless steel heat exchangers.
Figure 3. There are two ways to pipe up a flat plate heat exchanger: parallel flow or counterflow.

very large. But this difference decreases rapidly as the fluids exchange heat and move toward the outlet ports. There’s also a variation in the temperature difference between the fluids as they move through the counterflow heat exchanger.

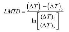
The rate of heat transfer depends on how the temperature differences at all locations along the fluid pathways “average out.” Heat transfer theory can be used to prove that this average temperature difference, which is more specifically called the “log mean temperature difference” (abbreviated at LMTD), can be calculated using Formula 1.

Formula 1:

Where:

LMDT = log mean temperature difference (F)

(∆T)1 = temperature difference between the two fluids at one end of the heat exchanger (F)

(∆T)2 = temperature difference between the two fluids at the other end of the heat exchanger (F)

ln [ ] = the natural logarithm of the quantity in the square brackets.

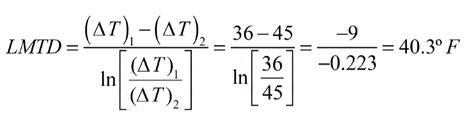
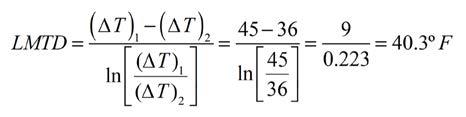
Here’s an example of how to use Formula 1: Calculate the LMTD of the heat exchanger shown in Figure 4 (next page).

Just carefully put the numbers into the formula. Let (∆T)1 be assigned to the top end of the heat exchanger. Thus (∆T)1 = 122-77 = 45F. This means that (∆T)2 is at bottom end of the heat exchanger. Thus (∆T)2 = 104-68 = 36F. Putting these values into Formula 1 yields:

Reversing the ends of the heat exchanger representing (∆T)1 and (∆T)2 would make (∆T)1 = 36F, and (∆T)2 = 45F. Putting these values into formula 1 yields the same result.

HEAT EXCHANGERS

MAXIMIZING LMTD

The higher LMTD at which any heat exchanger operates, the greater the rate of heat transfer, all other conditions being equal.

Heat transfer theory can also be used to prove a very important concept in the application of heat exchangers:

The LMTD of a heat exchanger configured for counterflow will always be higher than that of the same heat exchanger configured for parallel flow, and having the same entering and exiting conditions for both flow streams.

This implies that heat exchangers should always be configured for counterflow when the goal is to maximize the rate of heat transfer.

Figure 5 shows a piping schematic where the heat exchanger is configured for counterflow.

Always check your piping schematics, or schematics that you may be approving for others to use, to be sure that all heat exchangers are piped for counterflow.

Check any installations that you are inspecting, that include heat exchangers, to be sure that they are operating in counterflow.

LET SOFTWARE DO THE HARD WORK

Although it’s possible to manually estimate heat exchanger performance, the calculations are complex and time con -

“It's always a good idea to put a high efficiency dirt separator, preferably one with a magnet, up stream of both inlet ports of any heat exchanger.”

suming. Modern practitioners use one of several available heat exchanger software tools available from manufacturers to rapidly evaluate “what if” scenarios, which lead to a final model selection.

In most cases a brazed plate heat exchanger will be sized to pass a given rate of heat transfer when the difference between the entering hot fluid temperature and the leaving cooling fluid temperature is no more than 5F.

Here are a few final application points regarding heat exchangers:

1. “Cleanliness is next to godliness" when it comes to heat exchanger performance. It’s always a good idea to put a high efficiency dirt separator, preferably one with a magnet, up stream of both inlet ports of any heat exchanger. You can see these in Figure 5, along with isolation and purging valves. The latter can be used, if ever necessary, the isolate each side of the heat exchanger and chemically clean scaling from internal surfaces.

2. Always support heat exchangers to reduce stress on the connecting piping.

Several types of brackets are available and they range from a simple steel “shelf” bracket, to brackets that bolt directly to the threaded studs supplied on some heat exchangers.

3. Finally, if the heat exchanger will be operating with chilled fluids, which are lower than the interior dewpoint temperature, be sure it’s fully wrapped with elastomeric foam insulation or other vapour impermeable insulation material.

Stick with counterflow piping and the details mentioned above, and then stand back and be amazed at the incredible performance of modern brazed plate heat exchangers. <>

John Siegenthaler, P.E., is a licensed professional engineer with more than 40 years of experience in designing modern hydronic heating systems. Siegenthaler is the author of the textbooks Modern Hydronic Heating (4th edition available now) and Heating With Renewable Energy (see www.hydronicpros.com).

Figure 4.
Figure 5. Piping schematic configured for counterflow.

LINED-UP FOR DEPENDABILITY

With the latest innovations and long-lasting reliability, it’s the trusted product line.

ALWAYS INNOVATING LASTING RELIABLILITY

• Tank in Tank Technology

• 439 Stainless Steel Fire Tube Heat Exchanger

• Peace of Mind Warranty Program

• No Fault Forward Manufacturing

Turn static files into dynamic content formats.

Create a flipbook
Issuu converts static files into: digital portfolios, online yearbooks, online catalogs, digital photo albums and more. Sign up and create your flipbook.
Modern Hydronics - Fall 2022 by annexbusinessmedia - Issuu