
142
142
EDITORIAL CALENDARIO AAPRESID Fertilización: el pilar clave para un suelo saludable
Eventos del mes
NOTAS DESTACADAS
CIENCIA Y AGRO
SIEMBRA DIRECTA: Qué hay de nuevo
12
NUTRICIÓN DE CULTIVOS
La fertilización NO se negocia
34
PRODUCCIONES ALTERNATIVAS
La sociedad de la colmena: la importancia de las abejas para los cultivos y la humanidad
112
Un congreso Aapresid que dará que hablar CIENCIA
SIEMBRA DIRECTA: Qué hay de nuevo
Aapresid en el Foro Global de Alimentos y Agricultura: Siembra Directa y Huella de Carbono en el foco
La fertilización NO se negocia
Los suelos en tiempos del cambio climático
Tomando el pulso del suelo: el desafío de recolectar datos precisos
Fertilización y sustentabilidad: el enfoque tecnológico de Metalfor
BIOECONOMÍA
Nosotros también podemos comer sorgo
Los golpes de la vida la llevaron al campo y descubrió una nueva pasión gracias a Aapresid
Bioestimulantes en cultivos de grano de la región Pampeana: ¿moda o agregado de valor al agricultor?
Fertilizantes especiales, cultivos sin iguales
¿Es posible producir más con menos?
Plataforma Fieldview
PRODUCCIONES ALTERNATIVAS
La sociedad de la colmena: la importancia de las abejas para los cultivos y la humanidad
GANADERÍA
Fertilización de verdeos de invierno: ¿alquimia o agronomía?
La naturaleza constituye un sistema abierto que le permite diferentes niveles de organización, autorregulación y adaptación al entorno, lo que le otorga cierto grado de equilibrio y estabilidad a lo largo del tiempo.
Tras siglos de agricultura “tradicional”, el ser humano pasó a romper este equilibrio al disturbar el suelo mediante las labranzas y al exportar nutrientes del sistema mediante la cosecha de las estructuras vegetales generadas en ese ambiente para su consumo como alimento, energía y fibras. Es importante destacar que los elementos recolectados son nutrientes que dejan de formar parte del ciclo natural de degradación de residuos y su posterior reincorporación a la matriz de suelo, generando así un déficit en la dotación de nutrientes original del mismo.
Si este desequilibrio no es corregido, conlleva a una degradación progresiva del suelo, tanto
en su aspecto químico, físico como biológico. La reducción del contenido de materia orgánica (MO), el agotamiento y desbalance de nutrientes, etc., alteran las funciones del suelo, como su capacidad de retener agua, ciclar nutrientes y sostener una masa de microorganismos absolutamente necesarios para la constitución de un suelo sano.
Durante mucho tiempo, el enfoque principal en la fertilidad del suelo se centró en la disponibilidad y manejo de nutrientes, con prácticas como la fertilización mineral para corregir deficiencias específicas. Esto llevó al desarrollo de análisis de suelo y programas de fertilización basados en la reposición de elementos agotados por los cultivos.
Posteriormente, se reconoció que la fertilidad del suelo no se limitaba únicamente a la disponibilidad de nutrientes, sino que también estaba
influenciada por factores biológicos (por ejemplo, actividad microbiana, diversidad de la vida del suelo) y físicos (por ejemplo, estructura del suelo, capacidad de retención de agua). Esto llevó a un enfoque más holístico que reconoce la importancia de mantener la salud del suelo a largo plazo. Esta mirada incluye prácticas agrícolas regenerativas que promueven la biodiversidad, la conservación de la materia orgánica, la reducción del uso de fitosanitarios y la promoción de sistemas de manejo integrado que minimizan el impacto ambiental y maximizan la resiliencia. Se reconoce que un suelo saludable es fundamental para la seguridad alimentaria, la sustentabilidad ambiental y la salud de los ecosistemas en su conjunto
La aparición y enorme adopción del sistema de siembra directa, que tiene como condición de éxito la introducción del concepto de nutrición balanceada, diversidad, protección del suelo, y manejo integrado de adversidades, hizo que una parte de los productores incorporen en su manejo la fertilidad como uno de los pilares de la sustentabilidad del sistema de producción.
En esa misma dirección, surgieron nuevas herramientas de manejo, como la intensificación del sistema, que combina cultivos de renta con
cultivos de servicio. Este enfoque apunta a conceptos como “siempre verde” para, entre muchos otros beneficios ecosistémicos, ofrecer a esa vida del suelo alimento todo el año. El uso de cultivos de servicio es una gran herramienta que permite una visión más a largo plazo en la mejora de parámetros que afectan a la fertilidad del sistema.
Además, en respuesta a la demanda global de reducir el impacto ambiental en los sistemas de producción por el uso de insumos de origen químico, en los últimos años se potenció el desarrollo de nuevos productos con una menor huella. Hoy en día, hay disponibles en el mercado nuevas y mejoradas formulaciones conocidas como bioinsumos. Dentro de la categoría de fertilizantes, encontramos los biofertilizantes y/o bioestimulantes, los cuales aportan nutrientes o generan condiciones en la planta para absorber e interceptar más nutrientes. Aunque estos desarrollos vienen arrojando resultados positivos, se necesitarán más investigaciones y ensayos de larga duración para determinar si el microbioma puede llegar a compensar y reemplazar a los fertilizantes minerales. Actualmente, no disponemos de indicadores que midan el impacto real de los biofertilizantes en el sistema.
Desafíos y oportunidades
Al observar la situación en nuestro país, en términos generales, Argentina ha llevado a cabo históricamente una fertilización poco intensiva, claramente por debajo de los requerimientos del cultivo, lo que resulta en balances de nutrientes negativos. La visión de corto plazo, la escasa propensión a realizar análisis de suelo y las recurrentes crisis económicas (que encarecen y afectan la disponibilidad de los fertilizantes además de comprometer la rentabilidad del sistema productivo), son algunas de las razones que nos han llevado a la situación actual.
Ante estos desafíos, existen varios frentes en los que podemos avanzar:
Promocionar el uso de Buenas Prácticas Agrícolas (BPAs), que incluyen la nutrición balanceada como pilar productivo. Esto implica el uso de herramientas de diagnóstico como el análisis de suelo (una práctica clave para realizar un buen diagnóstico nutricional a muy bajo costo), mapeos, sensores remotos, drones, imágenes NDVI etc. Todo esto se debe integrar con otras variables que influyen en el sistema, como el estado físico del suelo. Este amplio abanico de herramientas permite delimitar am-
bientes para implementar agricultura de precisión y ser más eficiente.
Integrar el uso de fertilizantes de origen mineral y biológico para diversificar las fuentes, lo que maximiza y potencia los efectos sobre el sistema, reduce el impacto ambiental y promueve la sustentabilidad.
Intensificar y diversificar manejos y cultivos en nuestros lotes, incorporando rotaciones, nuevas especies, nuevas fechas de siembra y cultivos de servicio. Todo esto contribuye al concepto de regeneración permanente, aumenta la resiliencia de nuestros suelos y propicia las condiciones para poner al servicio de la producción toda la maquinaria viva del suelo en su máximo potencial.
Por último, es fundamental diseñar políticas públicas que brinden incentivos para promover e impulsar el uso de las BPAs y así capturar el potencial de nuestra producción, minimizando el impacto en nuestro ambiente.
Comisión Directiva Aapresid
EDITOR RESPONSABLE
Marcelo Torres Presidente de Aapresid
DIRECTORA ADJUNTA PROSPECTIVA SUBDIRECTORA ADJUNTA PROSPECTIVA
Paola Díaz
EDITOR EJECUTIVO
Rodrigo Rosso
REDACCIÓN Y EDICIÓN
Antonella Fiore
GESTIÓN DE CONTENIDO
María Eugenia Magnelli
CORRECCIÓN Y REDACCIÓN
Lucía Cuffia
DISEÑO Y MAQUETACIÓN
Daiana Fiorenza
Chiara Scola
GERENTE COORDINADOR
Tomás Coyos
PROGRAMA PROSPECTIVA
Rodrigo Rosso
Antonella Fiore
Lucía Morasso
Delfina Petrocelli
GENERACIÓN DE RECURSOS
Matías Troiano
Alejandro Fresneda
Carla Biasutti
Elisabeth Pereyra
Carolina Meiller
COMUNICACIÓN INTERNACIONAL
Victoria Cappiello
Matilde Gobbo
Florencia Cappiello
Elina Ribot
Magalí Asencio
Agustina Vacchina
Delfina Sanchez
MARKETING
Lucía Ceccarelli
SISTEMA CHACRAS
Andrés Madias
Suyai Almirón
Magalí Gutierrez
Lina Bosaz
Ramiro Garfagnoli
Solene Mirá
RED DE MANEJO DE PLAGAS
Eugenia Niccia
Juan Cruz Tibaldi
Ignacio Dellagiovanna
REGIONALES
Matías D’Ortona
Virginia Cerantola
Bruno De Marco
Mailén Saluzzio
Federico Ulrich
CERTIFICACIONES
Juan Pablo Costa
Rocío Belda
Eugenia Moreno
Cristian Verna
Vanesa Távara
Dana Camelis
María Laura Torrisi
Mariana López
Daniela Moscatello
Samanta Salleras
Julieta Voltattorni
Macarena Vallejos
RELACIONES INSTITUCIONALES
Lucía Muñoz
PROYECTOS ESTRATÉGICOS SECRETARÍA
María Florencia Accame
María Florencia Moresco
Karen Crumenauers
Investigaciones recientes arrojan nuevas luces sobre los desafíos y logros de la siembra directa en la agricultura sostenible. Desde preservar la biodiversidad hasta mejorar la calidad del suelo, esta práctica redefine el futuro agrícola. Además, sus altos rendimientos refuerzan su viabilidad económica, sembrando un futuro que promete.
Por: Dr. Hugo Permingeat
Comité de Prospectiva Tecnológica de Aapresid
La siembra directa (SD), altamente adoptada en la agricultura argentina, continúa siendo objeto de estudio e investigación a nivel mundial. A diferencia de los métodos tradicionales que implican la remoción del suelo antes de la siembra, la SD conlleva la no remoción del suelo. Este enfoque tiene el potencial de mejorar la sostenibilidad agrícola al reducir la erosión, conservar la humedad y promover la salud del ecosistema. Al mantener la cobertura vegetal y los residuos de cultivos en la superficie, la siem-
bra directa fomenta la biodiversidad del suelo y puede contribuir significativamente a la mitigación del cambio climático.
Este artículo resalta algunas investigaciones recientes que exploran aspectos claves de la SD y examinan sus beneficios tanto para los productores como para el ambiente.
A nivel mundial, la superficie agrícola abarca aproximadamente cinco mil millones de hectá-
reas, lo que representa alrededor del 38% de la superficie terrestre del planeta. El cultivo de secano cubre aproximadamente el 41% de la tierra cultivable mundial y es fundamental para sustentar la alimentación de más de dos mil millones de personas. Sin embargo, la degradación de la tierra y el agotamiento de la calidad del suelo han tenido un impacto significativo en la producción de cultivos y la seguridad alimentaria en las tierras cultivables.
Aumentar el carbono orgánico en el suelo (COS) es un desafío crucial para mantener la calidad del suelo, la productividad de los cultivos y otros servicios ecosistémicos. Los métodos de labranza convencionales que implican una labranza intensiva han resultado en una pérdida significativa de COS en las tierras cultivables. La labranza intensiva aumenta la alteración de los agregados, lo que incrementa la vulnerabilidad de los suelos a la erosión y la escorrentía. Además, conduce a la pérdida de servicios ecosistémicos importantes, como el ciclo y el almacenamiento de nutrientes, la retención y disponibilidad de agua en el suelo, y la productividad primaria neta, lo que amenaza la productividad del suelo y aumenta la desertificación (Thapa y col., 2023).
La estructura física del suelo es fundamental para indicar la salud del suelo y controlar varios procesos y funciones del perfil edáfico, al tiempo que sirve como un medio vital para el crecimiento de las raíces de las plantas. Los agregados del suelo, como unidades funcionales de la estructura física, son determinantes esenciales para la estabilización de la materia orgánica, lo que a su vez evita la pérdida de carbono y nitrógeno del suelo por mineralización. Las prácticas de labranza convencionales descomponen los agregados del suelo directa e indirectamente, exponiendo la materia orgánica al ataque microbiano. Por el contrario, la Siembre Directa favorece una mejor calidad física del suelo y la sostenibilidad del sistema agrícola. La adopción de la Siembre Directa ha
sido reconocida como una práctica eficaz para mejorar la salud del suelo y aumentar las reservas de carbono en las tierras de cultivo. Por lo tanto, es necesario comprender en profundidad cómo la SD influye en los agregados del suelo, el COS y en la concentración total de nitrógeno en las fracciones de agregados en los eco sistemas de tierras de cultivo (Li P y col., 2023).
A continuación, se destacan algunas investi
Aumentar el carbono orgánico en el suelo (COS) es un desafío
Li P y col. (2023) llevaron a cabo un meta-análisis para evaluar las respuestas de los agregados del suelo, el carbono orgánico del suelo (COS) y el nitrógeno total (NT) asociados con la Siembra Directa a escala global. Sus hallazgos indican que la Siembra Directa incrementó la agregación del suelo, especialmente los macroagregados, y promovió la acumulación de COS y NT en todas las fracciones de agregados en la tierra de cultivo.
En otro artículo reciente, Breil y col. (2023) demostraron que las prácticas de conservación pueden mejorar las reservas de COS. Específicamente, encontraron que la combinación de cultivos de servicio y SD mejoró significativamente el contenido de COS, especialmente en las capas superiores del suelo. Además, observaron que las prácticas de cultivos de servicio influyen en la respiración del suelo al mejorar la densidad de las raíces, especialmente en la primera capa del suelo, lo que promueve la acumulación de COS.
Las estrategias de manejo comúnmente empleadas en la conservación buscan minimizar las perturbaciones físicas y crear hábitats adecuados para la microbiota y la fauna del suelo, que desempeñan un papel fundamental en el ciclo de los nutrientes, lo que garantiza la producción de alimentos y la sostenibilidad del agroecosistema. La SD mejora la microbiota del suelo y su diversidad al reducir la perturbación física de su hábitat, mientras que el uso de rastrojos puede aumentar la disponibilidad de nutrientes. Además, la rotación de cultivos puede equilibrar los nutrientes del suelo y proporcionar un amplio espectro de recursos alimentarios para los organismos del suelo.
Los sistemas de SD a largo plazo bajo rotación exhiben condiciones similares a las del sistema de referencia natural, lo que promueve un ciclo constante de residuos, estimula la actividad biológica del suelo y mejora la productividad de los cultivos. Asimismo, al evaluar la descomposición de residuos en conjunto con otros atributos del suelo, se convierte en un indicador valioso para comprender la dinámica biológica en sistemas de conservación a largo plazo. Estas dinámicas están estrechamente relacionadas con los cambios en el manejo de las especies de cultivos.
La diversidad de especies de plantas en sistemas de SD aumenta la abundancia de la microorganismos del suelo y reduce la tasa de descomposición del rastrojo (Polesso y col., 2024). Estos autores sugieren combinar la SD con la rotación de cultivos utilizando múlti-
ples especies de plantas como una estrategia para implementar prácticas de conservación a largo plazo que imiten los sistemas naturales, promoviendo así la agricultura sostenible y fortaleciendo la salud del suelo.
La no perturbación del suelo proporciona una red continua de poros, lo que mejora la eficiencia de la porosidad para el movimiento de líquidos y gases.
Estudios recientes demuestran que la SD a largo plazo promueve mejoras en la calidad física del suelo, lo que resulta en un aumento en la productividad de los granos. En conclusión, la siembra directa se consolida como una práctica agrícola integral que ofrece beneficios significativos para el medioambiente y la pro-
ductividad agrícola. La retención y aumento de stocks de carbono y nitrógeno en el suelo ayuda a mitigar el cambio climático. La preservación y fomento de la biodiversidad en sistemas de siembra directa resalta su capacidad para crear entornos agrícolas equilibrados y resilientes. Además, los mayores rendimientos de cultivos obtenidos bajo este sistema refuerzan la viabilidad económica de la siembra directa, consolidándose como la mejor opción para el futuro de la agricultura sostenible.
REFERENCIAS
Consulte las referencias ingresando a www.aapresid.org.ar/blog/revista-aapresid-n-227
El Congreso Aapresid este año tendrá base en Buenos Aires para una edición sin precedentes. Bajo el lema “Todo está conectado”, el tradicional encuentro se propone conectar, acercar y extender las fronteras de la institución.
El Congreso Aapresid, uno de los eventos más importantes del sector agropecuario, se prepara para una edición sin precedentes en 2024. En el marco de Expoagro y con la presencia de autoridades de Aapresid, funcionarios del gobierno nacional y de la Ciudad de Buenos Aires, la institución brindó un anticipo de lo que se espera para este encuentro, revelando el lugar, la fecha y el lema para este año.
Tal como se conoció previamente, Aapresid y Exponenciar sellaron una alianza estratégica para llevar adelante el Congreso 2024. Esta sinergia potencia la excelencia en la organización de eventos relacionados con la agricultura y la tecnología aplicada a la agroindustria.
Exponenciar, reconocida como una de las principales empresas organizadoras de exposiciones agroindustriales, aporta su experiencia en la creación de espacios innovadores y la capacidad para atraer a diversos actores del sector agro. Por su parte, Aapresid, con su enfoque en la agricultura sustentable y la adopción de prácticas agronómicas de vanguardia, basadas en la creación de redes de innovación colaborativa y con un enfoque centrado en el productor, añade un
componente técnico y científico invaluable, con una perspectiva global llena de oportunidades.
Para esta edición, el XXXII Congreso Aapresid con la fuerza de Expoagro, se llevará a cabo en el Predio Ferial La Rural de Buenos Aires, los días 7, 8 y 9 de agosto. Bajo el lema “Todo está conectado”, el evento pondrá foco en la interconexión entre la producción sustentable, la seguridad alimentaria y el cuidado del medioambiente.
La agenda del Congreso, estará organizada en torno a cuatro ejes principales: 1. productivo-ambiental, 2. económico, 3. social y 4. tecnológico. Dentro de cada eje, las plenarias y demás modalidades de intercambio se organizarán bajo los siguientes 12 sub-ejes: Agricultura regenerativa y Agroecología, Salud del Suelo y Cambio Climático, Manejo de cultivos, Políticas Públicas, Bioeconomía, Manejo del Agua, Comunicación & Educación, Que Vadis, Sistemas Integrados, Maquinaria, Agtech & Digitalización, y Biotecnología.
“Desde hace tiempo, Aapresid considera que su congreso es una oportunidad para conectar con un público que tal vez no conoce cómo funciona el agro argentino y cómo hay muchos
productores que desde hace años apuestan a modelos de producción sustentables”, señaló Marcelo Torres, presidente de la institución “En esta edición, queremos llevar a la Capital Federal 31 años liderando un espacio que se sigue consagrando en la frontera del conocimiento y las tecnologías en agricultura sustentable, y donde se debaten los sistemas alimentarios del futuro”.
En esta línea, el presidente de Aapresid destacó también las distintas alianzas estratégicas que la institución viene promoviendo para posicionar la agricultura argentina en el mundo. “Junto con el Instituto Interamericano de Cooperación para la Agricultura (IICA), entendemos que la agricultura argentina - y de las Américas - puede ser aliada en la lucha contra el cambio climático a nivel global”, señaló Torres.
Paola Díaz, directora Adjunta del Programa Prospectiva de Aapresid, profundizó sobre el lema del Congreso: “Todo está conectado”, que busca reflejar la conexión entre los suelos sanos y los alimentos de cada día, y cómo nuestra agricultura es clave en la lucha contra el cambio climático. “Sabemos que para un agro más sustentable tenemos que imitar la naturaleza,
pero nunca dejar de lado las herramientas tecnológicas que nos ayudan a ser cada vez más eficientes. Esa conexión expresa la esencia de una agricultura regenerativa”.
Por su parte, Fernando Vilella, secretario de Bioeconomía de la Nación, destacó la baja huella ambiental del sistema productivo argentino y reconoció el papel fundamental de Aapresid en este logro. “Aapresid ha sido central en este punto, con la adopción del Sistema de Siembra Directo en el país. Éste es un sector que sigue siendo competitivo, aún con los vaivenes político-económicos, y tiene que ver con los productores, las tecnologías y con Aapresid”, señaló. En relación al lema del Congreso, Vilella lo consideró “un claro reflejo de
“Junto con el Instituto Interamericano de Cooperación para la Agricultura (IICA), entendemos que la agricultura argentina - y de las Américas - puede ser aliada en la lucha contra el cambio climático a nivel global”
la conexión entre el saber empresario, la ciencia y la tecnología”.
Jorge Macri, jefe de Gobierno de la Ciudad de Buenos Aires, celebró la realización del Congreso Aapresid 2024 en la ciudad. “Poder ayudar a conectar me parece muy importante; conceptos como ‘ciudad o campo’ ya quedaron anacrónicos”, afirmó. Macri se mostró entusiasmado con la oportunidad de trabajar en conjunto con Aapresid. “Será un honor recibir al Congreso Aapresid en Buenos Aires y trabajar en sintonía de cooperación para aprender como ciudad sobre lo que tienen para decir nuestros suelos”, concluyó.
22x13,5
Imbatible por producción y persistencia
Ideal para planteos de altísima producción de leche o carne
Líder indiscutida en su grupo
pggwrightsonseeds.ar
Alfalfa Grupo 9 Premium PGW 931 G969 Alfalfa Grupo 6 Premium G686Aapresid estuvo presente en el Global Forum for Food and Agriculture (GFFA) en Alemania destacando el modelo de agricultura sustentable argentina. Isabel Lizaso, socia y directiva de la institución, expuso sobre el modelo de Siembra Directa y su impacto en la mitigación del cambio climático, y compartió su experiencia en la producción con baja Huella de Carbono, destacando el rol de los cultivos de servicios.
NOS ACOMPAÑAN
Durante el primer mes del año 2024, Alemania fue escenario del Global Forum for Food and Agriculture (GFFA), un evento organizado por el Ministerio Federal de Alimentación y Agricultura (BMEL) en cooperación con el Senado de Berlín y Messe Berlin GmbH. En este encuentro, alrededor de 2000 invitados internacionales debatieron sobre los sistemas alimentarios del futuro y cómo fortalecer las colaboraciones para alcanzar los Objetivos de Desarrollo Sostenible de la Agenda 2030.
Dado que es fundamental que la voz de los productores esté presente en estos espacios de discusión, Aapresid impulsa una activa participación en foros internacionales para posicionar la agricultura argentina como aliada estratégica en el desarrollo de modelos productivos sustentables, capaces de contribuir a los desafíos globales vinculados a la producción de alimentos.
Junto a Isabel Lizaso, Aapresid se hizo presente en la GFFA en un panel sobre Desafíos y oportunidades para Sudamérica para establecer cadenas de abastecimiento resilientes. Del mismo participaron Ana Caroline Zimmermann, productora ganadera de Brasil, Jorge Sellare, economista de la Universidad de Wageningen y Hendrik Schulze-Düllon, Market research de CLAAS Group.
Como resultado de esta estrategia, la institución se hizo presente de la mano de Isabel M. Lizaso, productora Aapresid del Suroeste de Buenos Aires y miembro de la Comisión Directiva y Vocal Suplente de la institución. Durante su intervención ante un gran auditorio, Lizaso expuso las bases del Sistema de Siembra Directa y sus implicaciones en los modelos productivos de Argentina, así como su contribución a la mitigación del cambio climático.
Desde el programa Internacional de Aapresid (PAI), afirmaron que “ocupar un lugar en este tipo de eventos, en representación del agro argentino, es crucial para asegurar que las discusiones tengan en cuenta el rol de la agricultura como parte de la solución a los problemas globales y para reconocer al productor como un protagonista clave en la transición hacia sistemas alimentarios más sustentables”.
Además, la ampliación de las redes de innovación colaborativa con nuevos países es una acción estratégica para forjar alianzas entre agricultores, investigadores, empresas tecnológicas y la comunidad, promoviendo la adaptación de los sistemas productivos a las características ambientales y culturales de cada región; y contribuyendo a la creación de sociedades que aprenden.
Es importante señalar que el evento se llevó a cabo en un contexto de tensión entre los agricultores de varios países europeos, quienes se vienen manifestando en contra de regulaciones de la UE -como el Pacto Verde Europeo-, que imponen fuertes restricciones a la actividad sin contemplar herramientas y medios para que sean los propios agricultores quienes lideren la transición hacia una agricultura más sustentable.
“Llegué cuando finalizaban las protestas de tractores en Berlín. Creo que hay una visión sesgada y crítica del sector agropecuario en general. Me impactó la vehemencia con que se fomentan leyes y regulaciones muy difíciles de aplicar, aún con las tecnologías e innovaciones disponibles. Sobre todo, porque la población mundial aumenta fuertemente y tenemos la responsabilidad de producir más y mejores alimentos para satisfacer esa demanda”, advirtió Lizaso.
“Aapresid tiene mucho que aportar en agricultura sustentable. En un país con permanentes cambios en las reglas de juego cambiarias, legales, impositivas, el productor se ha transformado en un experto en producir en condiciones desfavorables. A esto debemos añadir que es el país con mayor adopción de Siembra
Directa”, señaló la socia y directiva de Aapresid.“Las regionales en las cuales nos reunimos los productores de Aapresid, son un intercambio permanente de información, innovación y tecnología. Esto nos permite tomar decisiones de manejo con más eficiencia. Es una metodología de trabajo que estamos seguros se podría replicar con éxito en otras partes del mundo”, agregó.
En esta línea, se destacan los compromisos que asumieron los distintos países en continuar la transformación necesaria hacia sistemas agrícolas y alimentarios sostenibles y, en consecuencia, resilientes. Además, en apoyar prácticas agrícolas que fortalezcan la producción sostenible de alimentos, que a raíz del cambio climático y la crisis de biodiversidad, han desestabilizado al mundo.
Instituciones que nos acompañan
Durante el panel, Isabel compartió con la audiencia su experiencia en la producción con baja Huella de Carbono, la cual lidera en su establecimiento en la zona de Guaminí, al Suroeste de Buenos Aires. Su campo está bajo siembra directa desde hace 20 años y, hasta hace 6 años, solo utilizaba cultivos de servicio en casos puntuales, con el objetivo de cubrir el suelo y evitar la evaporación de agua.
Isabel sabía que había mucho por mejorar y tomó medidas al respecto: “Mi primera acción fue contratar un servicio de ambientación y realizar muestreos de suelo georreferenciados. Más tarde, incorporé imágenes satelitales para evaluar la evolución de cultivos y hacer prescripciones de siembra y fertilización según el ambiente”.
Sin embargo, todo cambió cuando la invitaron a unirse a la Regional Guaminí -Carhué. “Por primera vez, escuché sobre Cultivos de Servicio (CS). Fueron años de mucha escucha y lectura: podcasts; intercambios con socios de la Regional, revista, jornadas y charlas”, agregó.
Este aprendizaje le permitió a Isabel aprovechar al máximo las herramientas que había incorporado, mejorando así la eficiencia y la toma de decisiones. “Aprendí que los cultivos de servicios tienen un potencial enorme, pero que es fundamental conocer previamente qué servicios les vamos a pedir”. Estos cultivos fueron aliados para intensificar rotaciones, pasando de la secuencia trigo/soja - maíz - soja a otra de trigo/soja - v. villosa+Cebada Forrajera o Centeno - maíz - soja.
Luego vinieron las siembras de estos CS con avión sobre maíces en pie, tempranos y tardíos. En los primeros años se sembró centeno o cebada forrajera. Este año se está llevando a cabo un ensayo para cambiar la gramínea por Vicia villosa, con el fin de balancear aún más la relación C/N del rastrojo.
“Los nutrientes que quedaban disponibles en el suelo después de que el maíz terminara su madurez, eran capturados por el CS, que funciona como una caja de ahorro para devolverlos en los cultivos posteriores. Seguía habiendo actividad biológica gracias al desarrollo de raíces vivas, mientras el maíz ya estaba entregado”, explicó la productora.
Los resultados de esta batería de mejoras fueron evidentes a los pocos años: mejor control de malezas, mayor aporte de nutrientes vía fertilización biológica, eficiencia en la inversión en semillas y fertilizantes, y cultivos de renta más estables y resilientes. “Un suelo estable y un cultivo bien nutrido son la combinación perfecta ante variaciones climáticas que no son controlables”, aseguró.
Sin embargo, Isabel decidió ir más allá y evaluar si esta optimización del manejo también tenía un impacto en lo ambiental. Con el respaldo de Carbon Group, midió el balance de emisiones de gases de efecto invernadero (GEI) y la huella de carbono de sus planteos productivos.
Los resultados mostraron que, en promedio durante 5 años y para todos los cultivos sembrados, se emitieron 50,6 kg CO2eq por cada tonelada de grano cosechado, lo que representa un 80% menos que la media obtenida en otro estudio realizado por la consultora.
Estos valores también se encuentran un 80% por debajo de la huella de C nacional para cultivos como soja, trigo y maíz (medida por organismos como CONICET-INTI-INTA, Maizar y Argentigo), si se consideran los aumentos en la captura de carbono en suelo logrados por la productora con sus planteos sin labranza y de actividad fotosintética casi permanente.
Cultivo de servicios de cebada forrajera sembrado con avión sobre maíz en pie.Nutrientes esenciales como el nitrógeno, fósforo, potasio y azufre impulsan el crecimiento y calidad de los cultivos así como la salud del suelo. El desafío: reponer nutrientes para asegurar la sustentabilidad de los sistemas agropecuarios en Argentina.
Por: Esteban Ciarlo, Gustavo Ferramondo y María Fernanda González Sanjuan FERTILIZAR Asociación Civil
La fertilización es un pilar fundamental en la producción agropecuaria, que consiste en la aplicación de nutrientes al suelo para reponer aquellos elementos que son extraídos en cada cosecha. De esta manera, se mejora el crecimiento y rendimiento de los cultivos. Los fertilizantes contienen una variedad de elementos esenciales, como nitrógeno, fósforo, potasio, magnesio y azufre, que son vitales para el desarrollo de las plantas.
Como herramienta estratégica de manejo, la fertilización aporta los siguientes beneficios a los sistemas de producción donde se aplica:
El aumento de la productividad es el efecto más directo y sencillo de medir. La fertilización adecuada contribuye al aumento de la producción de cultivos y forrajes. Los nutrientes suministrados a través de los fertilizantes contribuyen a la formación de tejidos y aumentan la actividad metabólica general, lo que permite que las plantas crezcan mejor y más rápido.
Los nutrientes también inciden en la calidad de los tejidos formados y en la cosecha obtenida. Por ejemplo, el fósforo es esencial para la formación de raíces, mientras que el potasio mejora la resistencia a enfermedades y el sabor de las frutas.
La fertilización adecuada acelera el crecimiento de las plantas, reduciendo los tiempos de crecimiento y permitiendo, en algunas especies, cosechas más tempranas y una rotación más rápida de cultivos.
La sanidad de los cultivos también es influenciada por la fertilización. Los nutrientes fortalecen las plantas y las hacen más resistentes a las enfermedades y ataques de plagas.
Más allá de los sistemas de producción, la fertilización puede ofrecer diversas soluciones a las amenazas actuales a las que el ambiente está expuesto:
Una fertilización bien gestionada, a través de la generación de una mayor biomasa y una mejor cobertura vegetal, ayuda a prevenir la erosión del suelo.
La fertilización balanceada, que implica la aplicación de varios nutrientes en las cantidades necesarias para las plantas, puede limitar la contaminación de las napas con nutrientes que son muy móviles, como el nitrógeno.
Una mayor productividad de los sistemas fertilizados puede reducir también la presión sobre ambientes naturales y más sensibles, como los montes nativos.
La mayor productividad derivada de una disponibilidad mejorada de nutrientes retorna al suelo en forma de mayores niveles de materia orgánica derivados de una mayor cantidad de residuos. Esto conlleva mejoras en diversos aspectos de la fertilidad química, física y biológica de los suelos.
Adicionalmente, la generación de biomasa y su posterior transformación en materia orgánica estable del suelo puede aumentar el secuestro de C atmosférico, un elemento clave en los procesos de calentamiento global, extendiendo así sus beneficios a toda la sociedad.
La deficiencia en la disponibilidad de nutrientes en los suelos es un problema común en varias regiones de Argentina, afectando la productividad agrícola y la sustentabilidad del uso del suelo. La manifestación de estas deficiencias de nutrientes en los suelos de Argentina es generalizada en algunos casos, y en otros es muy marcada en algunas regiones en particular.
Las deficiencias de nitrógeno son generalizadas en todo el país, ya que es el principal nutriente que afecta el crecimiento de las plantas en todos los suelos del mundo. No obstante, estas deficiencias son marcadas en suelos con bajos niveles de materia orgánica (arenosos o con una extracción intensiva por muchos años), fríos (por una baja descomposición de la materia orgánica), o cuando hay una muy alta demanda que no llega a ser balanceada por la oferta del suelo, que es el caso típico de cereales como el trigo o el maíz creciendo a altas velocidades y generando grandes cantidades de biomasa.
Para el caso del fósforo, los suelos más propensos originalmente a sufrir deficiencias de este elemento (el segundo en importancia) son los suelos del Noreste argentino (NEA). Sin embargo, ya hay muchos estudios y mapas publicados que evidencian deficiencias casi generalizadas de este nutriente en la mayoría de las zonas productivas del país.
El caso del potasio, un nutriente que es absorbido en grandes cantidades, es particular, ya que aunque los suelos argentinos suelen estar bien provistos de este elemento (con excep-
ción de los suelos tropicales de la provincia de Misiones, por ejemplo), empiezan a aparecer deficiencias del mismo con consistencia en algunas zonas productivas, que fueron relevadas con claridad en un estudio de Fertilizar en las provincias de Entre Ríos y Corrientes.
El azufre suele mostrar deficiencias puntuales, comunes en sitios con larga historia de uso agrícola y niveles decrecientes de materia orgánica, siendo los primeros casos encontrados en el sur de la provincia de Santa Fe. Similar comportamiento se ha visto en micronutrientes como el Zinc y el Boro, especialmente en cultivos de alto potencial de producción.
Si consideramos todos los nutrientes en conjunto, observamos como la aparición de deficiencias nutricionales es cada vez más frecuente en las diversas zonas productivas. Si bien parte de este fenómeno puede explicarse por materiales genéticos diseñados para aumentar los niveles de biomasa y mejorar el índice de cosecha de la biomasa generada, es muy probable que un bajo nivel de reposición de los nutrientes exportados sea responsable de esta tendencia.
En Argentina, la evolución de los sistemas productivos ha llevado a una elevada extracción de nutrientes que no fueron repuestos en igual magnitud, lo que ha generado procesos de degradación y agotamiento que amenazan la sustentabilidad de los sistemas productivos. La aplicación de fertilizantes es la forma más directa y operativa de reponer los nutrientes extraídos por las cosechas. En los últimos años, la reposición de nutrientes en Argentina fue de alrededor del 58%, considerando todos los nutrientes y cultivos, lo que significa que por cada 100 kg de nutriente extraído, solo se repusieron 58 kg.
Más allá de las estimaciones de reposición globales, que indican un consumo extractivo intenso que debería ser interpretado como un deterioro del suelo (el principal insumo de la producción agropecuaria), existen diferencias importantes en lo que respecta al aporte de la fertilización entre los diferentes cultivos y nutrientes.
En los últimos años, la reposición de nutrientes en Argentina fue de alrededor del 58%, considerando todos los nutrientes y cultivos, lo que significa que por cada 100 kg de nutriente extraído, solo se repusieron 58 kg.
Entre los cultivos extensivos más relevantes, el trigo suele tener tradicionalmente los mayores porcentajes de reposición, mientras que el cultivo de soja, aún sin considerar al nitrógeno (que puede ser asimilado desde el aire por sus raíces), es el que menos responde, y por ende, presenta los menores valores de reposición. Considerando la superficie sembrada con esta oleaginosa, especialmente en esta campaña 2023-2024, es evidente la importancia en términos de conservación del suelo que esta baja reposición representa. En este contexto, la soja de segunda presenta un panorama aún más oscuro, ya que frecuentemente utiliza solo los nutrientes que provee el suelo y aquellos que no fueron utilizados por el cereal precedente.
En cuanto a los nutrientes más importantes, el fósforo suele ser el que registra los mayores niveles de reposición, probablemente debido a la generalidad de las respuestas que se observan en la disminución de los mapas regionales de fósforo extractable, el índice utilizado para estimar su disponibilidad. En la otra punta se sitúa el potasio, elemento que nunca fue considerado en los planes de fertilización en las principales zonas de Argentina, y cuya aplicación se limita casi exclusivamente a algunos productos regionales o con modalidades intensivas de producción.
Un caso particular es la estimación de la reposición global de N, dado que hay especies leguminosas de importancia comercial (soja, alfalfa) que aportan vía fijación biológica, lo cual no está lo suficientemente medido. Por lo tanto, el cálculo del balance global entre lo fijado y lo exportado permanece incierto. La incorporación del cultivo de vicia, otra especie leguminosa de gran difusión en los últimos años como cultivo de servicio, probablemente atenúe los balances negativos en relación al nitrógeno del suelo, aunque las condiciones hídricas de las últimas campañas pueden haber limitado los efectos benéficos de la inclusión de este tipo de cultivos que no se cosechan. En resumen, la reposición de nutrientes en los sistemas agropecuarios de Argentina es un desafío que requiere un manejo cuidadoso de todos los recursos para lograr estrategias verdaderamente sostenibles.
Desde hace varios años, el mercado de fertilizantes mantiene las mismas tendencias. Durante el año 2022 se despacharon 4,77 millones de toneladas, de las cuales un 55% fueron Nitrogenados, 38% Fosfatados, 4% Azufrados, 1% Potásicos (los micronutrientes tienen una baja proporción del volumen total de mercado, pero van tomando mayor relevancia relativa al analizar el mercado en facturación). Para 2023, se estima una caída del 3,9% respecto a 2022 con proporciones similares de cada grupo. Se dio la segunda caída consecutiva en el tamaño del mercado (el volumen del mercado de 2022 fue 16% inferior al de 2021)
Estas variaciones en el volumen despachado se explican principalmente por cuestiones climáticas, como sequías muy intensas, especialmente en el segundo semestre de 2022,
que se mantuvieron en el tiempo incluso hasta la actualidad en algunas zonas de Argentina. Además, los precios de los fertilizantes registraron una volatilidad muy fuerte, lo que generó mucha incertidumbre tanto para la compra por parte de la industria como para definir los márgenes de los cultivos por parte del productor. Por último, y no menos importante, las importaciones no tuvieron la misma fluidez que años anteriores, debido a las trabas impuestas por el gobierno (como SIRA´s y otros aspectos burocráticos), lo que generó una leve baja en la disponibilidad de fertilizantes, principalmente fosfatados.
Si mejoran las precipitaciones de forma generalizada, el mercado de fertilizantes podría superar el volumen máximo histórico registrado en 2021, ya que la reposición de nutrientes
En Argentina, aumentar las dosis por hectárea de fertilizantes genera incrementos de rinde que, en prácticamente todos los años, redundan en un mayor margen económico por hectárea para el productor.
es baja en Argentina en comparación con la región y al resto del mundo (nutrientes aplicados versus nutrientes removidos por los cultivos), y además, las brechas de rendimiento siguen siendo muy amplias en todos los cultivos.
En Argentina, aumentar las dosis por hectárea de fertilizantes genera incrementos de rinde que, en prácticamente todos los años, redundan en un mayor margen económico por hectárea para el productor.
En FERTILIZAR Asociación Civil estamos convencidos de que no es viable una producción agropecuaria productiva ni sostenible si no se conservan los distintos aspectos de la fertilidad de los suelos, muchos de los cuales se relacionan directamente con una correcta nutrición de las plantas y organismos que crecen en ellos.
Las proyecciones climáticas en los escenarios de dinámica global señalan una tendencia hacia un ciclo hidrológico más intenso, lo que podría provocar un aumento en la degradación de los suelos a nivel nacional y mundial.
Autores: Carfagno Patricia¹; Imhoff Silvia²; Duval Matias³, Landriscini María Rosa⁴; Castiglioni Mario⁵.
¹ Instituto de Suelo, CIRN INTA Castelar - AACS
² ICiAgro Litoral-UNL-CONICET-FCA - AACS
³ Universidad Nacional del Sur. Centro de Recursos Naturales Renovables de la Zona
Semiárida (CERZOS-CONICET) -AACS
4 Asociación Argentina de la Ciencia del Suelo (AACS)
⁵ Cátedra de Manejo y Conservación de Suelos, Facultad de Agronomía, UBA - AACS Mail de contacto: carfagno.patricia@inta.gob.ar
Uno de los elementos más complejos del agroecosistema y esencial para la producción de alimentos, es el suelo. Dentro del mismo, infinidad de organismos interactúan y contribuyen a los ciclos globales que hacen posible la vida. Durante el siglo XXI, el suelo recuperó su protagonismo en la agenda mundial debido a su contribución en la mitigación del cambio climático. Sin embargo, los procesos de degradación de este recurso natural, como la erosión, la pérdida de carbono orgánico, el desequilibrio de nutrientes, la acidificación, la contaminación, el anegamiento, la compactación, la salinización y la pérdida de biodiversidad, han ido en aumento.
La erosión causa la pérdida de suelo debido a la acción de agentes externos, ya sea por el viento (erosión eólica) o el agua (erosión hídrica), lo que resulta en la disminución de la capa superficial. La pérdida de suelo por erosión hídrica representa uno de los principales problemas que afectan la sustentabilidad de los sistemas productivos, con un impacto económico anual estimado en 30 millones de dólares por la caída de los rendimientos de soja, maíz y trigo. Se estima que la pérdida acumulada ascendería a 1.645 millones de dólares en una década, según el libro “Estimación de la pérdida de suelo por erosión hídrica en la República Argentina” (Gaitán et al., 2017).
Este estudio científico, realizado por el INTA a escala nacional, es el primero realizado en los últimos 30 años y busca contribuir al ordenamiento y manejo sustentable de los suelos. Según esta investigación, alrededor del 26% del territorio argentino, equivalente a 72 millones de hectáreas, presenta niveles de erosión hídrica que superan las tasas de tolerancia, lo que tiene un impacto negativo en la salud de los ecosistemas. Esto refleja un agravamiento del problema, ya que el último estudio realizado en 1988 estimó que la superficie afectada por este proceso era de 25 millones de hectáreas, lo que representa un aumento de 47 millones de hectáreas en la actualidad.
Además de las pérdidas económicas, la erosión conlleva otros costos que no pueden ser cuantificados en términos monetarios, como los "costos ambientales". Estos están relacionados con la pérdida o disminución de los servicios ecosistémicos que proporcionan los suelos. Por ejemplo, durante el proceso de erosión, el agua arrastra partículas del suelo junto con los contaminantes asociados, lo que afecta la calidad de los cuerpos de agua.
Para estimar la erosión hídrica, se han desarrollado diversos modelos, siendo el más utilizado
el modelo empírico conocido como USLE (Ecuación Universal de Pérdida de Suelo, según sus siglas en inglés). La USLE es un método para predecir la tasa de pérdida de suelo en cualquier combinación de suelo, topografía, clima, cobertura y prácticas de manejo. A partir de este modelo, utilizando imágenes satelitales, información climática de base, características de suelos, modelos digitales de terreno y relevamiento de datos de campo, se ha podido estimar y cartografiar la erosión hídrica actual y potencial de los suelos a escala nacional (Figura. 1)
Desde la década del 90, como consecuencia del proceso de erosión de los suelos y la remoción de nutrientes por los cultivos agrícolas, con escasa reposición mediante fertilización, los suelos empezaron a mostrar síntomas de empobrecimiento en nutrientes y una reducción en su contenido de materia orgánica. En este sentido, en el último Congreso de Suelos se destacó que en Argentina sólo se repone el 30% de los nutrientes extraídos. Aunque el consumo de fertilizantes alcanzó un récord en 2020, en nuestro país aún se subfertiliza, lo que resulta en un balance de nutrientes negativo. Este desbalance implica un deterioro del suelo y de los servicios ecosistémicos que brinda, generando en algunos casos daños irreversibles.
La intensificación en la producción ganadera, con la cosecha mecánica de forraje y el traslado de los animales a corrales, triplicó la tasa de extracción de algunos nutrientes en los lotes, lo que gradualmente reduce su fertilidad química y, al mismo tiempo, genera una acumulación de efluentes que contaminan los recursos suelo, agua y aire. La salinización de los suelos y la contaminación de la capa freática con nitritos, nitratos y diversas formas orgánicas e inorgánicas de fósforo constituyen serios
En el último Congreso de Suelos se destacó
que
en Argenti-
na sólo se repone el
30% de los nutrientes extraídos. Aunque el consumo de fertilizantes alcanzó un récord en 2020, en nuestro país aún se subfertiliza, lo que resulta en un balance de nutrientes negativo.
problemas que requieren una atención inmediata en Argentina para evitar la degradación de los suelos más productivos del país.
Otro proceso de degradación de los suelos que se ha agravado en los últimos años es el deterioro de las propiedades físicas. La fuerte disminución del contenido de materia orgánica y de nutrientes como el calcio, que son los principales agentes agregantes de la estructura del suelo en la mayoría de las regiones de Argentina, aumenta su susceptibilidad a la compactación. En la actualidad, la compactación es el proceso de degradación física de los suelos más importante en el mundo, y en Argentina está alcanzando niveles preocupantes en extensas áreas. La pérdida de agentes agregantes, asociada al aumento de tamaño de los equipos agrícolas y al tránsito de la maquinaria en condiciones inadecuadas de humedad, causa compactación y, como resultado, afecta negativamente propiedades edáficas como la captación y almacenaje del agua de lluvia, la resistencia a la penetración de las raíces, la disponibilidad de aire y nutrientes, lo que conduce a sistemas productivos más frágiles frente a condiciones climáticas extremas.
Ante estos escenarios, es importante destacar que resulta más fácil mantener la salud de un suelo que recuperar uno degradado, lo que a menudo afecta la rentabilidad. La clave para contrarrestar el impacto negativo de la degra-
dación y, al mismo tiempo, contribuir a la salud del suelo, radica en lograr que los sistemas productivos sean sustentables y sostenibles Esto constituye un gran desafío, ya que implica compatibilizar objetivos que tienen impacto en diferentes escalas y no siempre dependen del productor. Sin embargo, existen alternativas para lograr sistemas sustentables. Para ello, es fundamental respetar la capacidad de uso de las tierras, implementando rotaciones con cultivos de renta y de servicio adecuados a cada situación para generar un balance positivo de carbono. Esto implica, entre otras cosas, lograr cultivos con rendimientos elevados para generar cobertura y raíces que aporten suficientes residuos para favorecer la formación de materia orgánica, aplicar técnicas de fertilización ajustadas a las necesidades de los cultivos, corregir la acidez edáfica si es necesario, aplicar dosis adecuadas de enmiendas orgánicas y realizar prácticas de control de la erosión. Para evitar esto, es importante ser eficientes en las aplicaciones y realizar monitoreo continuo a través del análisis de las propiedades químicas y físicas del suelo.
El manejo correcto de los suelos permite, sin duda, mejorar su calidad, lo que se traduce en planteos menos riesgosos y más rentables para el productor frente al cambio climático, además de reducir el impacto sobre la salud ambiental, que en última instancia afecta a todos los seres vivos.
El clima y los cambios en el uso de la tierra están estrechamente relacionados. El efecto directo del cambio climático en términos de intensidad, duración y magnitud de las precipitaciones, junto con el cambio en el uso de la tierra, que incluye la expansión urbana, la deforestación y otras actividades humanas, conducen a un aumento en las pérdidas de suelo por erosión y la consiguiente pérdida de carbono y nutrientes. Los suelos, como el segundo mayor sumidero de carbono del planeta después de los océanos, son fundamentales para poner freno a algunos de los efectos negativos del cambio climático. Sin embargo, para que los suelos puedan cumplir con este servicio ecosistémico, es crucial que se encuentren sanos y sean gestionados de manera sostenible y responsable.
En países cómo Argentina, es fundamental adoptar medidas de mitigación que promuevan el aumento del secuestro de carbono, entre otras cosas. El secuestro de carbono se
refiere a la toma de CO2 atmosférico por parte de las plantas y su almacenamiento como materia orgánica en el suelo. Por lo tanto, aquellas prácticas que favorezcan al aumento de C en los suelos (como los cultivos de servicio, las rotaciones, la fertilización balanceada, el pastoreo racional, etc) o que conduzcan a la reducción de la pérdida de carbono del suelo (como la siembra directa, la intensificación de cultivos, etc), son estrategias que contribuyen al control de la degradación del suelo y, de manera indirecta, a la mitigación del cambio climático.
Un ejemplo de cómo las prácticas de manejo que promueven la presencia de cobertura vegetal viva y las rotaciones asociadas a la descompactación son beneficiosas es que ayudan a disipar la energía del impacto de las gotas de lluvia, lo que a su vez aumenta la retención de agua y controla el escurrimiento. En este sentido, la relación entre la infiltración y el escurrimiento en los primeros centímetros de la superficie del suelo cobra gran importancia (Figura 2)
suelos compactados y descompactados (Eiza y Carfagno, 2018).
Otras prácticas de manejo conservacionistas para el control de la erosión hídrica incluyen sembrar cortando la pendiente o siguiendo las curvas de nivel, así como implementar sistemas de terrazas para acortar la pendiente. Estas medidas no solo ayudan a controlar la erosión, sino que también mantienen los suelos bien estructurados y sanos para el almacenamiento de carbono. Muchas de estas prácticas se “abandonan” durante los períodos secos, ya que los signos de erosión o la ocurrencia de surcos y cárcavas (Figura 3), dejan de ser tan visibles.
Figura 2. Curvas de infiltración para ensayos en la EEA INTA Oliveros (Santa Fe), con microsimulador de lluvias. Secuencias de monocultivo de soja y bajo rotación con cereales, enEn conclusión, según las proyecciones futuras (Borrelli et al. 2020), se espera un aumento en los procesos erosivos asociados al aumento de la erosividad (intensidad) de las precipitaciones en escenarios de cambio climático. Estos estudios sugieren que, al comparar múltiples escenarios, un cambio hacia ciclos hidrológicos más agresivos podría ser el principal impulsor de futuros incrementos en la erosión del suelo, lo que resultaría en una pérdida de carbono. Se estima que para el año 2070, la erosión hídrica podría aumentar de un 30% a un 66% según el modelo utilizado.
Por lo tanto, desde la Asociación Argentina de la Ciencia del Suelo (AACS) enfatizamos en la importancia de no relajar las medidas de protección de los suelos y seguir aplicando prácticas conservacionistas, incluso durante los períodos de sequía.
Consulte las referencias ingresando a www.aapresid.org.ar/blog/revista-aapresid-n-227
La brecha entre el rendimiento potencial y el real de los cultivos destaca la necesidad de una fertilización precisa. El muestreo riguroso del suelo se presenta como una herramienta clave para tomar decisiones acertadas y lograr sistemas de producción sustentables.
Por: F. Mateos Inchauspe¹, N. Diovisalvi¹, F.O. Garcia²,³ y N.I.
Reussi Calvo³,⁴*
¹FERTILAB¹ ²Consultor privado, ³Unidad
Integrada Balcarce EEA INTA Balcarce - Fac. Ciencias Agrarias (UNMdP), ⁴ CONICET *mail: reussicalvo.nahuel@mdp.edu.ar.
En Argentina, la brecha entre el rendimiento potencial y el logrado por los productores puede llegar a alcanzar hasta el 50% en los principales cultivos como trigo, maíz y soja. La nutrición juega un papel fundamental en la reducción de esta brecha. Actualmente, se observa una mayor demanda de nutrientes debido al incremento en el rendimiento de los cultivos, mientras que la oferta natural de nutrientes en los lotes agrícolas disminuye debido a la pérdida de materia orgánica y, por ende, de fertilidad.
En la región pampeana, donde se encuentra la mayoría de los suelos bajo producción, la reducción de la brecha de rendimiento puede explicarse por el efecto combinado de la disponibilidad de nutrientes y la mejora de la salud edáfica. Por lo tanto, una nutrición balanceada es esencial para lograr no solo un
rendimiento óptimo, sino también un uso sustentable del suelo. En ensayos realizados en distintas zonas del país se demostró que una nutrición balanceada con nitrógeno (N), fósforo (P) y azufre (S) puede contribuir entre un 15% a un 47% al rendimiento de cultivos como soja, maíz o trigo.
A pesar del aumento en el consumo de fertilizantes en los últimos años (Figura 1), el nivel actual de fertilización no es suficiente para disminuir la brecha de rendimiento. Los balances parciales de nutrientes de los principales cultivos son negativos para N-P-S, lo que indica que la extracción de nutrientes del suelo supera a la reposición. Además, sólo el 21% de los productores realizó análisis de suelo en la campaña 2021/22 (Figura 2). Aunque hasta la campaña 2019/20 se observaba una tendencia positiva en la adopción de esta práctica, en los últimos años ha habido una leve disminución (Informes ReTAA, https://www.bolsadecereales. com/tecnologia-informes). Esto significa que se está fertilizando poco y, en algunos casos, sin contar con la información necesaria para determinar las dosis adecuadas, es decir, “a ciegas”.
Una nutrición balanceada es esencial para lograr no solo un rendimiento óptimo, sino también un uso sustentable del suelo
de suelo en Argentina (% de productores).
Fuente: Informe ReTAA de la Bolsa de Comercio de Buenos Aires.
El diagnóstico de la fertilidad del suelo y la recomendación de fertilización de cultivos conlleva varias etapas: 1- Muestreo de suelo, 2- Análisis de la muestra y 3- Interpretación de los resultados. El muestreo de suelos es la etapa más importante de todo el proceso. No existe análisis y/o recomendación que mejore la representatividad de la muestra que se haya tomado. En los últimos años se han observado que los errores en el muestreo de suelo son de 3 a 6 veces superiores a los errores durante el análisis de laboratorio. Para entender la importancia de esta etapa, hay que considerar que el estrato 0-20 cm de un lote de 50 ha
ne un peso aproximado de 120 mil toneladas.
Evidentemente, sólo es posible remitir una pequeña fracción del mismo al laboratorio, generalmente 500 gr de suelo por muestra. Por lo tanto, se deben tener en cuenta una serie de pautas de manera de obtener una muestra representativa del ambiente o lote.
tie- Figura 2. Evolución del porcentaje de productores que realizó análisisLo primero que se debe hacer es definir la profundidad (0-20, 20-40, 40-60 cm, etc.) y el momento de muestreo (pre-siembra, durante el cultivo, post-cosecha, etc.) según el nutriente y el objetivo del análisis (Tabla 1). Además, es crucial asegurarse de utilizar un calador apropiado para el muestreo. No se aconseja tomar la muestra con una pala, ya que esto dificulta, entre otras cosas, la homogeneización de la profundidad del muestreo y la toma de varias submuestras.
La importancia en la profundidad de la muestra radica en que algunos nutrientes poco móviles en el suelo, como el fósforo (P), tienden a estratificarse en los primeros 20 centímetros del perfil. Por lo tanto, el resultado del análisis podría variar si la muestra se toma de zonas del perfil más o menos profundas. Además, la mayoría de los modelos de recomendación de fertilización para nutrientes de baja movilidad se basan en la determinación del contenido en muestras 0-20 cm, por lo que un error en la profundidad de la muestra afectará el resultado del análisis y la recomendación de fertilización.
(Nan); Zn: zinc; B: boro; CE: conductividad eléctrica; DDP: días después de plantación.
Además de la estratificación, algunos nutrientes presentan variabilidad espacial. El caso más común es el P, que tiende a concentrarse cerca del surco del cultivo antecesor en sistemas de siembra directa (sin remoción del suelo) y fertilización en línea. Por lo tanto, se recomienda evitar el muestreo en la línea de siembra del cultivo antecesor, así como en zonas cercanas a aguadas, alambrados, deyecciones animales, esquinas, etc., que podrían tener una mayor concentración que el promedio general.
Además, se sugiere extraer 25-30 submuestras (o “piques”) por muestra, independientemente del área que se esté muestreando. De esta manera, cualquier error en la tarea puede diluir el resultado final. Asimismo, la muestra será representativa al asegurarnos de que esas
submuestras estén distribuidas por toda el área. Una vez tomada la muestra, es importante homogeneizar bien antes de remitir al laboratorio aproximadamente 500 gramos de suelo.
Otro aspecto a considerar es la variabilidad dentro del lote. Si un potrero tiene ambientes con diferente potencial productivo, se puede optar por realizar un muestreo por ambientes (Figura 3), siempre y cuando el área de cada uno de ellos sea lo suficientemente grande como para justificar un manejo diferenciado. Caso contrario, si un lote tiene algunos sectores con diferente nivel productivo (por ejemplo, bajos anegables) que no representan un porcentaje significativo de la superficie, se debería muestrear el área más representativa del mismo.
Por último, un aspecto muy importante es la identificación de la muestra. Se recomienda identificar las muestras externamente utilizando un fibrón indeleble, tarjetas externas o doble bolsa. La información mínima que debe proporcionarse incluye el nombre del lote y ambiente, si correspondiera, así como también la profundidad muestreada. Nunca colocar la identificación dentro de la bolsa de la muestra. Una opción útil al momento de evitar errores es incluir una numeración progresiva en la identificación de las muestras. Incluso, es posible identificarlas únicamente con números y luego registrar la información detallada de cada muestra en una planilla de envío de muestras, la cual debería adjuntarse al remitir las muestras al laboratorio.
“Checklist” de pautas de muestreo:
Definir la profundidad y el momento según el nutriente y el objetivo del análisis.
Realizar el muestreo con un muestreador apropiado.
Evitar la línea de siembra del cultivo antecesor, así como zonas cercanas a aguadas, alambrados, deyecciones animales, esquinas, etc.
Extraer 25-30 submuestras (o “piques”) por muestra.
Muestrear por ambientes o el área más representativa del mismo.
Identificar las muestras externamente.
Los resultados de los análisis de las muestras brindarán una parte significativa de la información necesaria para la interpretación y la toma de decisiones. El análisis que se realiza en un laboratorio de servicios ofrece un resultado confiable de la muestra recibida, respaldado por la calidad de los insumos, equipamiento, patrones y testigos utilizados. No debería haber diferencias entre los resultados de diferentes laboratorios para una misma muestra; sin embargo, si existieran, podría deberse al 1) acondicionamiento de la muestra (fraccionamiento, mezclado, homogeneización, secado y molienda), 2) metodología de análisis o 3) calidad analítica del laboratorio. En relación con este último punto, existen rondas interlaboratorios (SAMLA, PROINSA, entre otros) que contribuyen a mejorar la calidad de los análisis de los resultados.
Nitrógeno
El diagnóstico de N consiste en determinar cuál será la demanda del cultivo y la oferta que proveerá el suelo. La demanda puede calcularse en función del requerimiento de N por tonelada, que varía según la especie cultivada y el rendimiento objetivo. La estimación del rendimiento debe contemplar, además del potencial genético del material utilizado, las limitaciones físicas y químicas de los ambientes dentro del lote, las condiciones climáticas, como el régimen de precipitaciones y temperatura, entre otras.
Por otro lado, los principales componentes de la oferta de N son el N disponible a la siembra
La etapa final de interpretación tiene como objetivo tomar decisiones sobre el manejo de la fertilización de los cultivos. Para lograr esto, además de considerar los resultados de los análisis de las muestras de suelo, es necesario conocer la zona donde se ubica el lote, el ambiente y su potencial productivo, la dinámica del nutriente a diagnosticar, etc. Actualmente, la mayoría de los métodos de diagnóstico cuantifican fracciones inorgánicas lábiles o índices que intentan extraer una fracción proporcional de nutrientes similar a la que toman las plantas. Dentro de los nutrientes que con mayor frecuencia limitan el rendimiento de los cultivos, se encuentran N y P, seguidos por S y, más recientemente, el zinc y el boro.
y el N mineralizado del suelo, que pasa de la materia orgánica a estar disponible para las plantas, y de los residuos del cultivo antecesor durante el ciclo del cultivo. La diferencia entre la demanda y la oferta deberá ser suministrada a través de la fertilización.
Para evaluar la disponibilidad de N inicial, se recomienda el muestreo de suelo a la siembra del cultivo, tanto en los estratos superficiales (0-20 cm) como en los subsuperficiales (2050 o 20-40 y 40-60 cm). En años o regiones con excesos hídricos durante la pre-siembra y/o con antecesores que permiten un corto periodo de barbecho (por ejemplo, soja, espe-
cialmente de segunda), es conveniente realizar un segundo control de N en estadios vegetativos, antes de que aumente la demanda del cultivo (por ejemplo, en el macollaje, 3-4 hojas). Existen modelos que proponen umbrales de N a la siembra (N sueIo 0-60 cm + N fertilizante), que varían según la zona, el cultivo y el rendimiento objetivo.
El N mineralizado desde la materia orgánica durante el ciclo de crecimiento del cultivo se puede estimar a partir de la determinación del N anaeróbico (Nan). Este índice refleja el potencial de mineralización que varía entre lotes o ambientes dentro de un mismo lote, debido al manejo previo y/o a las características del suelo. El muestreo de Nan se puede realizar en cualquier época del año, solo en el estrato 0-20 cm, y se recomienda monitorearlo cada 3-4 años. Sin embargo, si el muestreo no se realiza correctamente, respetando los ambientes dentro de cada lote, pueden observarse variaciones entre años en los valores de Nan. Además, en lotes con vicia o trébol como cultivo antecesor, los valores de Nan pueden cambiar de un año a otro.
Según más de 5000 muestras analizadas por FERTILAB para el sudeste bonaerense, el valor promedio de Nan fue de 60 ppm, con un 25% de los lotes con valores inferiores a 45 ppm y superiores a 75 ppm. Los valores promedio de Nan tienden a ser menores hacia el norte y oeste de la región pampeana, con promedios de 40-45 ppm en el oeste de Buenos Aires, sur de Santa Fe y norte de Buenos Aires. En general, para el cultivo de trigo, el aporte de N por mineralización es de 2,0 a 2,4 kg N/ha por cada ppm de Nan, valor que varía según la zona, fecha de siembra y textura del suelo. Para cultivos de verano, como el maíz, el aporte puede alcanzar valores entre 3,2 y 4 kg N/ha. Existen varios trabajos sobre esta temática disponibles en la página web de FERTILAB (https://www.laboratoriofertilab.ar/newsletters.php).
La recomendación de fertilización fosfatada se basa en el diagnóstico de fertilidad a partir del análisis de suelo del P extractable (P Bray) a 0-20 cm. Aunque el fósforo es un nutriente estable y puede muestrearse en cualquier momento del año, lo ideal es hacerlo previo a la siembra, siguiendo las pautas enumeradas anteriormente. Los niveles de P en el suelo varían según el balance entre la extracción por parte de los cultivos y el aporte mediante fertilizantes. En lotes con agricultura continua que han sido fertilizados con una dosis única, se detectan diferencias en los niveles de P-Bray según el potencial de rendimiento de cada ambiente.
En rotaciones que incluyen trigo, es ideal ubicarse por encima del rango crítico de 15-20 ppm P Bray. La recomendación a partir del análisis puede orientarse a satisfacer las necesidades del cultivo, también conocida como Suficiencia, o a mejorar/mantener los niveles de P Bray del suelo, denominado Construcción y Mantenimiento. En este último caso, se debe considerar que el requerimiento promedio para elevar 1 ppm P-Bray en los suelos de la región pampeana es de 3 a 5 kg de P/ ppm, además de compensar la extracción por parte del cultivo. Si el nivel de P-Bray es bajo, se recomienda fraccionar el aporte de reconstrucción a lo largo de varios años durante la rotación, aplicando en cada ciclo una dosis de P superior a la extracción del cultivo.
La deficiencia de S se generalizó en numerosas zonas, especialmente en cultivos como trigo y soja. La principal reserva de S del suelo es la materia orgánica, al igual que sucede con el N y una gran parte del P. El análisis de suelo se puede realizar en pre-siembra en muestras tomadas a 0-20 cm, pero también resulta interesante conocer la distribución de este nutriente en el perfil del suelo analizando los estratos de 20-40 y 40-60 cm.
El diagnóstico para este nutriente se basa en identificar los lotes deficientes a partir de las siguientes observaciones:
Suelos con bajo contenido de materia orgánica, suelos arenosos.
Sistemas de cultivo más intensivos, que pueden causar una disminución del contenido de materia orgánica original.
Análisis de S-sulfato: niveles críticos por debajo de 10 ppm (0-20 cm).
Presencia de napa o uso de riego: las napas freáticas y las aguas de riego a menudo pueden contener altos niveles de sulfato. Se observó algo similar en suelos con tosca debido a la acumulación de sulfato.
Al igual que con el N, la aplicación de S se puede realizar a la siembra o en estadios avanzados del cultivo debido a la absorción demorada de dicho nutriente.
Para la región pampeana, trabajos realizados por INTA determinaron un umbral crítico a la siembra del cultivo de 45 kg S ha-1 (0-60 cm), con un 79% de precisión en el diagnóstico en los casos estudiados en esta región. Además, para el sudeste bonaerense, el análisis de Nan podría contribuir a identificar lotes con problemas de S, siendo el nivel crítico de 62 ppm.
Finalmente, el análisis de grano se puede utilizar para caracterizar el estatus azufrado que tuvo el cultivo y programar la fertilización para los cultivos subsiguientes en la rotación. En cualquier caso, la dosis de S busca lograr balances neutros o ligeramente positivos.
Al igual que con el N, la aplicación de S se puede realizar a la siembra o en estadios avanzados del cultivo debido a la absorción demorada de dicho nutriente. Además, dado su efecto residual, todo el S de la secuencia trigo/soja de segunda puede aplicarse al fertilizar el trigo.
En síntesis, para lograr sistemas de producción sustentables, es clave realizar un adecuado manejo de la nutrición del cultivo, comenzando con un correcto muestreo de suelo y la posterior interpretación de los resultados.
En los últimos años, se observa un aumento muy significativo de la demanda de biofertilizantes y bioestimulantes en la agricultura global y regional, siendo América Latina una de las regiones con mayor adopción. El objetivo de este artículo es describir las principales características y beneficios de los productos biológicos con impacto nutricional en Argentina, aportando una perspectiva científica para su uso sustentable en agroecosistemas.
Por Ing. Agr. Martín Torres Duggan Tecnoagro; Docente regular invitado en la Escuela para Graduados (EPG) de la FAUBA; Coordinador Red Temática de Nutrición Biológica (Aapresid).
1. Concepto de “biofertilizante” y “bioestimulante”
Los bioestimulantes o promotores del crecimiento, se caracterizan por presentar microorganismos vivos y/o metabolitos derivados de éstos y/o sustancias (i.e. componentes bioactivos) que, al ser aplicados a los cultivos mediante tratamientos de semilla o vía foliar, estimulan el crecimiento de sus raíces, su biomasa aérea, y el rendimiento en grano. Si bien existen dis-
tintos criterios clasificatorios para los promotores del crecimiento, en general se los define por lo que hacen más que por lo que tienen. Así, cuando, por ejemplo, existen productos biológicos que contienen determinadas bacterias que fijan N del aire (e.g. rizobios) o solubilizan nutrientes específicos (varias especies de bacterias y/o consorcios microbianos), pueden clasificarse como “biofertilizantes”, ya que contribuyen al aporte y/o a la asimilación de nutrientes. Desde este punto de vista,
los biofertilizantes son un caso particular de bioestimulante. Sin embargo, existen algunas bacterias que además de solubilizar nutrientes, también estimulan el crecimiento de las raíces o incluso presentan acción de biocontrol (supresión de enfermedades fúngicas), por lo que, bajo un criterio más amplio, es posible definirlos como bacterias de la rizosfera que promueven el crecimiento de las plantas (i.e. PGPR´s en su acrónimo en inglés).
Otro criterio utilizado habitualmente para caracterizar o analizar mercados de bioestimulantes es clasificarlos en bioestimulantes “microbianos” (aquellos que contienen principalmente microorganismos vivos) o “no microbianos”, cuando su efecto se debe a la presencia de componentes o sustancias bioactivas. Dentro de este último grupo, existe una muy diversa cantidad de formulaciones que combinan una o más sustancias (e.g. aminoácidos, péptidos, extractos botánicos, ácidos fúlvicos, fitohormonas, etc.). Asimismo, en el mercado se pueden encontrar todas las combinaciones posibles de ingredientes microbianos y no microbianos, que pueden tener o no macro o micronutrientes agregados.
La gran complejidad en cuanto a tipo de formulaciones, componentes microbianos y no microbianos que caracterizan a los bioestimulantes representa un desafío para el desarrollo de marcos regulatorios adecuados. En muchos casos, existe un desacople entre lo que se conoce sobre bioestimulantes (sus efectos)
Una de las principales diferencias entre los “fertilizantes propiamente dichos” y los biofertilizantes y bioestimulantes es que los efectos de éstos últimos no se asocian con la concentración de nutrientes, sino con el tipo de ingrediente activo y su impacto en la fisiología del cultivo (i.e. bioestimulación). Así, adquiere relevancia el aspecto funcional del producto biológico y, sobre todo, el contexto de uso, como se explicará más adelante.
en base a evidencia científica y las normas que se terminan definiendo. Por esta razón, en la mayoría de los países de América Latina, salvo algunas pocas excepciones, los bioestimulantes se terminan registrando inadecuadamente como fertilizantes, enmiendas, acondicionadores de suelo, etc.
En cuanto a los bioplagicidas, no tratados en el presente escrito, estos permiten el biocontrol de patógenos, como insectos, hongos o bacterias. Así, aparecen los términos “bioinsecticida”, “biobactericida o biobacterioestático”, “biofungicida” o “biofungistático”, dependiendo del tipo de organismo controlado. Un ejemplo interesante de microorganismo que presenta propiedades de biofungicida y también PGPR (i.e. promoción del crecimiento de las plantas) es Trichoderma sp., del cual existe abundante evidencia científica sobre sus efectos en diversos cultivos, inclusive también combinada con otras bacterias promotoras del crecimiento vegetal.
Como se puede apreciar en la Figura 1, que detalla los principales efectos de los bioinsumos en base a una extensa revisión de bibliografía y consulta a expertos realizada por la FAO recientemente y publicada en un libro, los beneficios de los bioinsumos dependen del tipo de
producto. Así, los beneficios con mayor evidencia científica de los biofertilizantes son su capacidad de fijar N o solubilizar otros nutrientes, estimular el crecimiento de las plantas y también mejorar moderadamente el rendimiento.
Los biofertilizantes también pueden mejorar las características de fertilidad del suelo así como disminuir la contaminación del ambiente (e.g. suelo, aguas subterráneas, etc.) o mitigar gases de efecto invernadero (GEI), entre otros impactos.
Los principales beneficios de los bioestimulantes respaldados por evidencia experimental son la tolerancia al estrés abiótico de los cultivos y la mejora en la calidad o salud del suelo. Otros efectos o beneficios presentan un grado variable de impacto y de evidencia científica (Figura 1).
3. Respuesta a la aplicación de biofertilizantes y bioestimulantes
Al analizar información experimental sobre aplicación de bioestimulantes, se recomienda conocer bien el tipo de producto, los métodos de aplicación adecuados, como así también considerar el tipo de investigación o experimentación utilizada para generar la información. En este sentido, es relevante tener en cuenta que los resultados obtenidos en condiciones controladas como experimentos en invernáculo o en cámaras de crecimiento, no siempre se terminan detectando en ensayos a campo en condiciones extensivas de producción. Los avances en el desarrollo de formulaciones comerciales mejoraron notablemente en los últimos tiempos, sobre todo en lo que respecta al uso de aditivos y/o protectores microbianos.
3.1. Resultados de la inoculación con Azospirillum brasilense en el mundo y en la Región Pampeana de Argentina
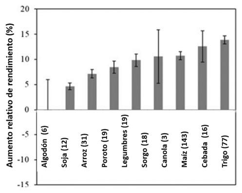
Dentro del universo de las bacterias constituyentes de bioestimulantes microbianos, el género Azospirillum es el más estudiado a nivel mundial. La especie Azospirillum brasilense (cepa del INTA Az 39) es la que ha sido extensamente estudiada y evaluada a nivel regional tanto en Brasil (donde fue aislada y caracterizada), como en Argentina y otros países de América Latina. En la Figura 2 se muestra la respuesta media a la inoculación con Azospirillum sp. en diferentes cultivos, derivada de una revisión de datos experimentales de 47 estudios a nivel internacional.
Para las condiciones de la Región Pampeana y en el cultivo de trigo, Diaz Zorita et al. (2013) reportaron un aumento medio de 22% en la producción de materia seca, del 12,9% en la materia seca aérea y del 8% en el rendimiento en grano, analizando 297 sitios experimentales en los que se inoculó el cultivo con una formulación líquida portadora de Azospirillum brasilense. Las respuestas fueron independientes de la selección de genotipos, fertilización, etc. Asimismo, la frecuencia de respuesta se relacionó positivamente con el rendimiento potencial del
sitio, reflejando que el tratamiento biológico actúa complementando el manejo agronómico, mejorado la capacidad del cultivo para aprovechar recursos disponibles en el suelo (e.g. agua o nutrientes). Resultados similares fueron observados en el cultivo de maíz en la misma región basados en alrededor de 280 experimentos establecidos durante un gran número de campañas (Figura 3).
de
Figura 3. Respuesta a la inoculación con Azospirillum brasilense en el cultivo de maíz en condiciones extensivas producción de la región Pampeana.En este conjunto de ensayos, el aumento medio a la aplicación de Azospirillum brasilense fue de 6%, aunque los autores observaron mayor magnitud de respuesta en contextos de sequía estival y una mayor frecuencia de respuesta cuando se evidenció limitación hídrica en el momento de la implantación en planteos de maíz temprano.
Como corolario de los resultados internacionales y locales mencionados previamente, disponemos de información experimental consistente sobre el efecto significativo y rentable de la inoculación con Azospirillum sp. tanto en la biomasa de raíces, la materia seca aérea, y el rendimiento en grano (rangos esperados entre 5-10% para la biomasa de grano).
Como se indicó anteriormente, existe una muy amplia gama de formulaciones comerciales de bioestimulantes no microbianos, tanto para aplicación a suelo (e.g. vía fertirriego, tratamiento de semilla o bien aplicación localizada en el surco como arrancador líquido, etc.) como para aplicación foliar. Entre los ingredientes o combinación de ellos presentes dentro de las formulaciones comerciales de bioestimulantes no microbianos se encuentran:
Hidrolizados proteicos, péptidos y/o aminoácidos libres
Extractos botánicos, incluyendo algas u otras plantas
La baja adopción local en el uso de Azospirillum sp., tanto en trigo como en otros cultivos en donde también se esperarían efectos de promoción del crecimiento (e.g. soja), se debe principalmente al desconocimiento y la falta de acciones de divulgación y/o comunicación sobre el impacto productivo, económico y ambiental de la inoculación con estas bacterias. Asimismo, en el caso del maíz, donde se comercializan semillas híbridas, se debería contar con sistemas que permitan que las propias empresas comercializadoras de semillas de maíz puedan ofrecer servicios profesionales con PGPR´s o bien que las empresas proveedoras de semilla permitan al productor realizar inoculaciones sin perder garantías por el uso de las mismas.
Ácidos orgánicos, incluyendo húmicos y fúlvicos
Macro y/o micronutrientes presentes o agregados ad hoc
Fitohormonas
En los últimos avances se progresó considerablemente en el conocimiento sobre los mecanismos y modos de acción de varios de los ingredientes bioactivos mencionados anteriormente, aunque este aspecto no será tratado en detalle en el presente escrito. Recientemente, Rouphael et al. (2023) recopilaron y revisaron la evidencia científica vigente y los vacíos de conocimiento que aún existen en relación a los modos de acción de bioestimulantes microbianos y no microbianos. Vale la pena resaltar que, más allá de la gran complejidad experimental que requiere estudiar aisladamente el efecto de determinados componentes de un determinado bioestimulante y más aún combi-
naciones de éstos, existe consenso en que la mayoría de los constituyentes de bioestimulantes no microbianos como aminoácidos libres, ácidos húmicos y fúlvicos, extractos botánicos, etc. promueven el crecimiento de las raíces (a veces modificando su arquitectura y capacidad de absorción) y, en algunos casos, mitigando limitaciones abióticas como sequía o salinidad del suelo, entre otros efectos.
En la Tabla 1 se muestra el resultado de un metaanálisis realizado por Li et al. (2022) a partir de experimentos llevados a cabo en diferentes regiones del mundo. Este metaanálisis indica la respuesta media a la aplicación de diferentes componentes de bioestimulantes no microbianos (e.g. quitosano, extractos de plantas, áci-
dos húmicos y fúlvicos, fosfitos, silicatos, etc.) y el intervalo de confianza de dicha respuesta. Este tipo de investigaciones aporta información experimental robusta, proveniente de artículos científicos, que ayudan a entender la magnitud de las respuestas, sus rangos, etc.
En términos generales, los aumentos de rendimiento determinados en este metaanálisis se ubican en niveles superiores a los que se vienen reportando para bioestimulantes microbianos. Sin embargo, la variabilidad en las respuestas suele ser alta, tanto en productos con base microbiana como no microbiana. Los autores observaron que las mayores respuestas al uso de bioestimulantes no microbianos se presentaron bajo condiciones subóptimas de
Tabla 1. Respuesta al agregado de bioestimulantes no microbianos basado en una revisión global de datos experimentales (fuente: Li et al. 2022).crecimiento (e.g. sequía), asociada con suelos de pobre fertilidad, baja capacidad de intercambio catiónico o MO, y baja disponibilidad de nutrientes. Por esta razón, y en coincidencia con la mayor parte de las investigaciones, se postula que la mayor oportunidad de agregar valor mediante la bioestimulación de cultivos ocurre en contextos de alta variabilidad climática y estrés abiótico. No obstante, intere-
santemente, en estos estudios también se detectaron efectos significativos en condiciones óptimas de disponibilidad de nutrientes. Esto permitiría inferir que, en éstas últimas situaciones, la aplicación de bioestimulantes no microbianos aumentaría el aprovechamiento de agua o nutrientes, o promovería sinergias con la nutrición, aumentando la capacidad de capturar estos recursos.
4. Perspectivas sobre el desarrollo de bioestimulantes y su uso en la agricultura extensiva
Personalmente, creo que la gran disrupción e innovación en productos de bioestimulación vegetal está por llegar y debería emerger del trabajo colaborativo de científicos y tecnólogos provenientes de disciplinas en las que no siempre se trabaja en equipo. Algunos de estos campos incluyen: microbiología y biotecnología vegetal, genética vegetal, metagenómica, bioestadística, fisiología vegetal, fertilidad de suelos, nutrición vegetal, economía, sociología, inteligencia artificial, entre otras. Tal como ha pasado en la historia de la ciencia, la disrupción aparece cuando alguien o un conjunto de personas combinan conocimientos (o tecnologías) ya disponibles para desarrollar un producto tecnológico que “incorpora” décadas de generación de conocimiento fundamental. Por ello, soslayar el rol de la investigación básica en el desarrollo tecnológico suele deberse a la falta de comprensión sobre cómo se hace ciencia de la buena.
Cabe destacar que también se evidencia una tendencia a sobre valorar el rol de la biología del suelo en la fertilidad del suelo, soslayando los principios químicos, geoquímicos y físicos
de los cuales contamos con décadas de investigación y un corpus de conocimiento muy significativo. Así, resulta muy evidente y ya es parte de debates entre quienes trabajamos en fertilidad de suelos y nutrición de plantas, la necesidad de reconciliar e integrar a los biólogos de suelos (o a la biología de suelos como disciplina) con los conocimientos fundamentales de la química, geoquímica y física de suelos. En pocas palabras sería deseable que los biólogos de suelos adquieran un conocimiento más profundo de la pedología, geología, geoquímica, micro morfología, física y química de suelos, y que los especialistas en fertilidad de suelos y fertilización de cultivos aprendieran más sobre biología de suelos para aprovechar el conjunto de conocimientos y no los silos estancos generados en cada campo disciplinario.
El principal desafío que aparece actualmente en el desarrollo de bioestimulantes es el vacío de conocimiento en cuanto a mecanismos y modos de acción de sus ingredientes bioactivos. También sabemos poco sobre el microbioma del suelo (sólo conocemos el 1% de los microorganismos vivos, principalmente por su ADN y no tanto por lo que hacen). Esta situación desafía la posibilidad de vincular el manejo de los bioestimulantes basándose en el microbioma del suelo, por lo menos actualmente.
Sin embargo, estas brechas de conocimiento pueden reducirse rápidamente, teniendo en cuenta que la tasa de generación de nuevo conocimiento ha aumentado notablemente en los últimos tiempos y se ha avanzado en un mejor entendimiento sobre los marcos de referencia y modos de acción de varios de los constituyentes de bioestimulantes microbianos y no microbianos, sobre todo en lo que respecta a sus efectos en la absorción de nutrientes, la expresión génica y los cambios en la morfología y crecimiento de las raíces, principalmente bajo condiciones de estrés abiótico y biótico.
Muchas de las innovaciones que se están ofreciendo hoy en día son “buenas promesas” pero aún no son una realidad. Además, no están claras cuáles serían las propuestas de valor para
Generar más conocimiento sobre
el microbioma del suelo, mecanismos y modos de acción de ingredientes bioactivos son uno de los grandes desafíos actuales.
los productores. Por ejemplo, existen referencias sobre la posibilidad de incluir sensores en formulaciones microencapsuladas que permitan accionar y/o liberar microorganismos para que cumplan determinadas funciones en algún momento particular del ciclo del cultivo. Si bien la tecnología de “liberación controlada” de nutrientes ya es una realidad hace décadas y se dispone en el mundo de “fertilizantes inteligentes” que presentan morfologías o aditivos especiales en los gránulos que regulan la tasa de disolución en el suelo y liberan nutrientes con mayor sincronía en relación a la demanda de las plantas, no parece existir actualmente un desarrollo homólogo para los biofertilizantes o bioestimulantes. Sin embargo, el ritmo de progreso del conocimiento hoy es asombroso y muchas disrupciones de este tipo pueden aparecer en pocos años.
Otro campo fascinante en el que ya existen formulaciones comerciales son los “consorcios microbianos”, que combinan diferentes microorganismos para ampliar el espectro de efectos sobre las plantas (e.g. biocontrol+bioestimulación) en un mismo tratamiento de semilla, por ejemplo. El abaratamiento de los equipos utilizados en estudios de microbiología y biotecnología permite “jugar” evaluando diferentes microorganismos en condiciones de laboratorio o cámara de crecimiento y detectar efectos sinérgicos (o antagonistas) de diferentes microorganismos.
Como hemos discutido anteriormente, los bioinsumos en general y los bioestimulantes en particular, amplían el espectro de herramientas con las que cuenta el productor agropecuario, no solo para mejorar el rendimiento de los cultivos sino para sumar otros beneficios que se vinculan con la sustentabilidad de los agroecosistemas. Estos últimos rasgos de los bioinsumos pueden ser más o menos considerados en las decisiones de compra de un determinado bioestimulante o biofertilizante en el marco de las decisiones empresariales. En este sentido, existen varios programas de “sustentabilidad” y “proyectos de carbono" ofrecidos por las empresas proveedoras de fertilizantes y fitosanitarios, donde a veces es posible monetizar parte de estos beneficios que van más allá de aumentar el rendimiento en grano de los cultivos.
Creo que lo mejor que puede hacer hoy un empresario agropecuario interesado en aumentar la productividad, rentabilidad y sustentabilidad de su empresa no es pensar en sustituir “fertilizantes químicos” por “biológicos” (salvo que se encuentre en sistemas de producción orgánica), sino más bien acoplar e integrar la bioestimulación al manejo de todas las fuentes de nutrientes disponibles que puedan agregar valor. Hoy sabemos que manejando bien la fertilidad
del suelo y la nutrición de los cultivos podemos mejorar entre un 15 y 30% el rendimiento de los cultivos en relación al “manejo habitual” del productor. En este marco, la aplicación de bioestimulantes microbianos y no microbianos nos permite sumar entre un 5 y 10% de mejora en rendimiento (como promedio y más también), sobre todo en contextos de variabilidad climática y estrés abiótico y biótico que ya no es un contexto excepcional, sino la norma en la mayor parte de los sistemas productivos de la Región Chaco Pampeana.
Esto es aún más importante si tenemos en cuenta que los suelos de esta región presentan deterioro físico frecuente y deficiencias nutricionales prevalentes. Es decir, los agrosistemas de la Región Pampeana no están sometidos a excesos de aplicación de fertilizantes o fenómenos de contaminación, sino por el contrario, buena parte de su deterioro se origina en su fertilización. Por lo tanto, bajo este marco, deberíamos considerar a los bioestimulantes como complemento y no como sustituto de la fertilización tradicional (i.e. aplicación de fertilizantes orgánicos o inorgánicos). Aunque, como todo en la vida, pueden haber excepciones que deben ser validadas por investigación científica local y confiable.
Desde biofertilizantes hasta bioestimulantes, los fertilizantes especiales están optimizando la productividad agrícola y reduciendo el impacto ambiental. Con datos recopilados de 290 ensayos sobre cultivos extensivos, este informe ofrece una visión completa de cómo estas tecnologías están transformando la agricultura argentina.
En los últimos años, ha habido un aumento sostenido en la oferta de fertilizantes especiales así como en la comercialización y participación en el mercado. Estos productos se consideran una alternativa más ecológica o sustentable debido a su menor impacto ambiental y su mayor eficiencia en el uso de insumos.
Por: Cesar Quintero¹,², María de los Angeles Zamero¹, Nicolás Rouillet¹ ¹Facultad de Ciencias Agropecuarias UNER ²Fertilizar AC
En este sentido, se viene observando un amplio y variado desarrollo de productos clasificados como fertilizantes “especiales”, con mejoras tecnológicas incorporadas en su formulación. Dentro de estas mejoras, se destacan alternativas que reducen el impacto ambiental, como una mayor eficiencia de uso del nutriente aportado, la reducción o limitación
de la fijación por el suelo de nutrientes como el fósforo (P) y la prevención de pérdidas de nitrógeno (N), un nutriente sujeto a importantes pérdidas.
Otra de las mejoras destacadas es la formulación de mezclas químicas que combinan varios elementos en un solo producto. Estas mezclas
químicas tienen la ventaja de proveer la misma concentración de elementos en cada gránulo de fertilizante. Por ejemplo, la incorporación de azufre (S) y cinc (Zn) a las fuentes tradicionales de (P) y (N) tuvo resultados significativos en Argentina.
También se consideran fertilizantes especiales a las formulaciones hidrosolubles y líquidas, que se pueden aplicar al suelo, de forma foliar o sobre semillas, o en fertirriego.
Un concepto distinto dentro de la categoría de fertilizantes especiales son los biofertilizantes y los bioestimulantes, que no contienen cantidades significativas de nutrientes en su formulación. Dado que se trata de productos que inducen un mayor crecimiento vegetal, logran mayor eficiencia de uso de los nutrientes.
Un biofertilizante es una sustancia que contiene microorganismos vivos que, al ser aplicados en semillas, plantas o suelo, colonizan la rizósfera o el interior de las plantas, promoviendo así su crecimiento al aumentar el suministro de nutrientes a la planta huésped. Además, mejoran la fertilidad del suelo al fijar el nitrógeno atmosférico, solubilizar fosfatos insolubles y producir sustancias promotoras del crecimiento vegetal en el suelo. Los biofertilizantes representan una opción económicamente atractiva y ecológicamente racional para aumentar el suministro de nutrientes.
Los bioestimulantes vegetales son sustancias o materiales que, al aplicarse en el follaje, semillas o sustratos en formulaciones específicas, tienen la capacidad de modificar los procesos fisiológicos en las plantas, ofreciendo beneficios potenciales para el crecimiento, el desarrollo o respuesta al estrés. Estos bioestimulantes estimulan los procesos naturales para mejorar o beneficiar la absorción de nutrientes, la eficiencia de uso de los nutrientes, la tolerancia al estrés abiótico o la calidad y rendimiento de los cultivos.
En este informe dejamos de lado los fertilizantes de liberación lenta o controlada debido a la mayor disponibilidad de información científica. Sin
embargo, a pesar de los conocidos beneficios enumerados sobre bioestimulantes, biofertilizantes y fertilizantes foliares, no existe una valoración clara y objetiva de sus efectos sobre la productividad de los cultivos extensivos.
El objetivo de este trabajo fue recopilar la información disponible de ensayos en cultivos extensivos realizados en Argentina para valorar la respuesta absoluta y relativa de los distintos fertilizantes especiales disponibles en el mercado actualmente.
Caracterización de los estudios involucrados
El comité de especialidades de Fertilizar AC realizó una revisión sistemática de trabajos de investigación sobre fertilizantes especiales realizados en Argentina. Se establecieron criterios para incluir los resultados en la base de datos, que incluían contar al menos con tres repeticiones siguiendo un diseño estadístico y brindar detalles suficientes como para interpretar los tratamientos.
En total, se recopilaron 161 trabajos o informes, con 290 ensayos, contabilizando más de 2300 observaciones. Estos ensayos fueron realizados por reconocidos profesionales del INTA, universidades o consultoras privadas, entre los años 2012 y 2023. Los cultivos y regiones analizadas se muestran en la Figura 1.
En cada estudio o informe, se prestó especial atención para identificar el tratamiento testigo o control respecto de los tratamientos con fertilizantes especiales. En la mayoría de los casos, el tratamiento testigo consistía en una fertilización tradicional utilizando fertilizantes commodities como MAP-DAP más UREA. Además, en cada caso se analizó el efecto de más de un producto especial aplicado cuando fue posible. Aquí se detallan algunos ejemplos:
A Testigo absoluto sin fertilizantes
B Fertilización tradicional
C Fertilización tradicional más Bioestimulante
D Fertilización tradicional más Herbicida
E Fertilización tradicional más Herbicida más Bioestimulante
F Fertilización tradicional más Fungicida
G Fertilización tradicional más Fungicida más Fertilizante Foliar
Respuesta a los Commodities = B - A.
Respuesta a Bioestimulante = C - B
Respuesta al Herbicida = D - B
Respuesta a Bioestimulante = E - D
Respuesta a Fungicida = D - B
Respuesta a Fertilizante Foliar = G - F
Se asumió que los efectos de cada aplicación fueron aditivos y atribuidos al producto adicionado. Por ejemplo:
1 Fertilización tradicional
2 Fertilización tradicional + tratamiento de semillas
3 Fertilización tradicional + tratamiento de semillas + Bioestimulante foliar.
4 Fertilización tradicional + tratamiento de semillas + Bioestimulante foliar + Fertilizante foliar
Figura 1. Origen de los datos disponibles por provincia y por cultivo.Respuesta a Tratamiento de semillas = 2-1
Respuesta a Bioestimulante = 3-2
Respuesta a Fertilizante Foliar = 4-3
Se registró el momento de aplicación (siembra, vegetativo, reproductivo), la forma (suelo, semilla, foliar) y la dosis.
Clasificación
Se utilizó la clasificación establecida por Fertilizar AC, la cual fue adaptada según los datos de los ensayos disponibles. En los casos en que se trató de mezclas de productos o cuando no se tenía un conocimiento claro sobre su com-
Biofertilizantes
Bioestimulantes
Fertilizantes Minerales Especiales
Bioestimulantes + Fertilizantes Minerales Especiales
Commodities
Fungicidas
posición, se nomenclaron como “Sin Clasificar”, tanto para el grupo como para el subgrupo correspondiente. A su vez, se añadió el efecto observado en herbicidas y fungicidas.
Bradirrizobium/Azospirillum
Micorrizas
Trichoderma
AA o derivados proteicos
Extractos de algas
Hormonas
Elicitores
Ácidos húmicos - Fúlvicos
OTROS (enzimas, polisacáridos, polifenoles)
Aplicado a Suelo
Aplicado a Semilla
Aplicado Foliar
Varias y diversas combinaciones
Fosfatados y Nitrogenados
Varios
Herbicidas Con efectos fitotóxicos sobre el cultivo
La figura 2 muestra todos los datos considerados en este informe. Se observa un muy amplio rango de rendimientos para todos los cultivos, provincias y productos. Además, se consideraron resultados tanto con respuestas negativas como positivas. Sin embargo, se observó que la línea entre los tratamientos testigos y los tratados se ubicó unos 200 kg/ha por encima de la línea 1:1, con una pendiente ligeramente positiva.
El promedio de respuesta absoluta para todas las observaciones fue de 226 kg/ha, con un desvío estándar de 441 kg/ha, lo que evidencia una gran variabilidad en los resultados.
La respuesta absoluta para cada cultivo y grupo de productos se muestra en la figura 3. Se destacan los fertilizantes tradicionales y los fungicidas, con respuestas mayores a 300 kg/ ha en diferentes cultivos, lo que representó un aumento del 7 al 15% de respuesta.
Por otro lado, los fertilizantes especiales mostraron respuestas medias de 100 a 300 kg/ha, lo que se tradujo en un incremento del 5 al 10% en el rendimiento en comparación con el cultivo no tratado.
El efecto de los herbicidas (mayormente Fomesafen o Benazolin en soja), fue negativo con una reducción promedio del rendimiento superior al 1.5%.
Figura 3. Respuesta absoluta promedio por cultivo y grupo de productos.Medias con una letra común no son significativamente diferentes (p > 0,05). Test:LSD Fisher Alfa= 0,05 DMS=203
Biofertilizantes
La respuesta a los biofertilizantes fue muy variable, con 126 observaciones y una respuesta promedio del 1.5%. Los casos más frecuentes correspondieron a Trichoderma (n=54) con una respuesta del 1.1% (74 +/-64 kg/ha) y Bacillus (n=51) con una respuesta del 1.9% y 35 +/- 66 kg/ha, ambos en trigo y cebada. Se registraron algunas respuestas interesantes con Trichoderma más Azospirillum (5.4%), Trichoderma más
(4.9%) y
Con un número importante de observaciones dentro de este grupo (n=1019), se registró una respuesta promedio de 310 kg/ha por encima de los testigos (Tabla 2). Estos datos incluyeron una serie de ensayos realizados en el cultivo de sorgo con rendimientos muy altos, donde algunos tratamientos mostraron respuestas negativas importantes. Sin considerar al sorgo, los otros cultivos mostraron respuestas absolutas positivas y significativas.
El efecto de los diferentes subgrupos de bioestimulantes se puede visualizar en la Tabla 3. Se observaron respuestas promedio que oscilaron entre 4 y 9%. Los formulados a base de extractos de algas mostraron una respuesta media de 130 kg/ha, mientras que el grupo “Otros”, mayormente compuesto por polifenoles, registró 156 kg/ha de respuesta. Los elicitores tuvieron una respuesta promedio de 155 kg/ha. Algunos productos con mezclas de diferentes componentes bioestimulantes, designados como “Sin Clasificar”, mostraron una respuesta de 166 kg/ha.
En cuanto al subgrupo de productos en base a aminoácidos o proteínas hidrolizadas, con 533 observaciones, presentó un promedio de respuesta de 240 kg/ha. Mientras que los bioestimulantes en base a Hormonas, con 27 observaciones, mostraron una respuesta de 429 kg/ ha, lo que representó un aumento del 8.9%.
Estos productos mostraron una consistente respuesta positiva en todos los cultivos. El incremento porcentual fue especialmente relevante en arvejas y girasol (Tabla 4).
La aplicación foliar durante las etapas vegetativa y reproductiva del cultivo, así como la suma de dos aplicaciones, mostraron respuestas que oscilaron entre el 5 y el 8%. Sin embargo, cuando se aplicaron únicamente en semillas, la respuesta fue menor (Tabla 5).
Cuatro ensayos realizados en sorgo, con rendimientos de 10.000 kg/ha, mostraron una respuesta media negativa a los tratamientos con bioestimulantes. En cebada y trigo, la respuesta en rendimiento absoluto fue de poca magnitud, mientras que en soja, girasol y maíz, particularmente, se registró una respuesta de 8 a 9% (Tabla 6).
La aplicación de extractos de algas en semillas y durante la etapa reproductiva, mostró las respuestas más altas (Tabla 7).
Tabla 6. Respuesta a la aplicación de Bioestimulantes en base a Extractos de AlgasValores entre paréntesis representan la respuesta relativa al testigo.
Bioestimulantes Elicitores
Estos productos, principalmente fosfitos, se ensayaron mayormente en combinación con fungicidas. Por lo tanto, en gran medida, la respuesta observada es el resultado de un efecto que se suma a los fungicidas. Se podría destacar el caso de la soja, donde se registró una respuesta significativa y un número considerable de casos (Tabla 8).
El momento más oportuno para la aplicación de estos bioestimulantes parece ser durante la etapa reproductiva del cultivo (Tabla 9).
Tabla 7. Respuesta a la aplicación de Bioestimulantes en base a Extractos de AlgasValores entre paréntesis representan la respuesta relativa al testigo.
Valores entre paréntesis representan la respuesta relativa al testigo.
Los fertilizantes minerales especiales mostraron una respuesta promedio de 256 kg/ha, con un total de 314 observaciones.
El subgrupo de tratamientos de Semilla, registró una respuesta media de 187 kg/ha (6.3%), posiblemente atribuida al aporte de Zn (dosis de 7 a 300 g/ha).
Por otro lado, los Fertilizantes Foliares mostraron una respuesta promedio de 242 kg/ha (6.8%), en base a una dosis media de Zn (225 g/ha), B (76 g/ha) y N (1.4 kg/ha) y menores cantidades de los otros elementos.
Los fertilizantes aplicados a suelo, principalmente microgranulados que aportaron P (5.5 kg/ha) y N (3 kg/ha), junto con Zn (350 g/ha) y S (2 kg/ha) -cantidades superiores a las aplicaciones de semilla o foliar- mostraron una respuesta promedio de 566 kg/ha (16.1%) que resultó ser altamente significativa.
Los fertilizantes foliares mostraron una respuesta consistente en trigo, girasol, soja y maíz de 6 a 9% (Tabla 10).. Las aplicaciones durante la etapa vegetativa, tuvieron una respuesta ligeramente superior en comparación con las aplicaciones durante la etapa reproductiva (Tabla 11).
Valores entre paréntesis representan la respuesta relativa al testigo.
Valores entre paréntesis representan la respuesta relativa al testigo.
Este informe o metaanálisis, basado en un número significativo de ensayos recientes realizados en la región pampeana, ha permitido sintetizar y dar valor a la respuesta de los distintos fertilizantes especiales y su variabilidad. Su utilización abre la posibilidad de aumentar los rendimientos de los cultivos, complementando la fertilización tradicional con los commodities.
Los bioestimulantes presentaron una respuesta media positiva y consistente de 200 +/-14 kg/ha, lo que representó un aumento general del 6%. El maíz registró una respuesta media de casi 400 kg/ha, mientras que el girasol, la arveja y la soja mostraron respuestas del 8 a 20%. Los bioestimulantes en base a hormonas, mostraron una respuesta superior a 400 kg/ha, muy consistente. Los productos derivados de proteínas y los extractos de algas también mostraron una respuesta significativa en todos los cultivos, especialmente en maíz, girasol y soja.
Los elicitores, con buena respuesta en soja aplicados en etapa reproductiva, complementaron la acción de los fungicidas con un aumento del rendimiento del 7 al 8%.
La fertilización mineral foliar en maíz, soja y girasol durante las etapas vegetativas mostró respuestas consistentes del 7 al 9%.
Es fundamental la selección adecuada de los productos, forma, momento y dosis de aplicación para lograr los mejores resultados. La respuesta a la aplicación de estos productos se explica mayormente por la estimulación del crecimiento y la reducción del estrés abiótico, más que por el aporte de elementos minerales.
Un especial agradecimiento a los miembros del comité de especialidades de Fertilizar AC y a las siguientes empresas por su generoso aporte de información: Yara, Stoller, Spraytec, Compo, Amauta, Rizobacter, Fertiglobal, Kioshi Stone, ACA, Fitoquímica y Tropfen.
La firma cordobesa es líder en la industria gracias a su constante innovación tecnológica y sus cambios sustanciales que impulsan la productividad.
Por: Metalfor
La empresa Metalfor se caracteriza por innovar constantemente, especialmente en el campo de la fertilización, donde se destaca como líder. Pero no lo hace sólo para producir más, sino también mejor. Por eso, tanto los directivos como los ingenieros de la empresa ponen énfasis en la sustentabilidad y el cuidado del suelo.
Fertilizadora neumática F7040N
Juan Pablo Rodríguez, ingeniero agrónomo de la División Fertilización de Metalfor, realizó un análisis de las ventajas de la fertilizadora neumática F7040N. Este equipo cuenta con la mayor tecnología y confiabilidad del mercado, y lleva más de 210 unidades vendidas en los últimos cinco años.
“Queremos destacar que al adquirir nuestros productos, también se accede a un paquete de soluciones de postventa, que incluye la capacitación sobre el uso y la regulación de nuestros equipos, así como la reposición de piezas y soporte técnico en todo el país a través de nuestra Red Servicap”, indicó Rodríguez.
Por supuesto, las modificaciones y la implementación de innovaciones tecnológicas conllevan una inversión. Es por eso que el ingeniero agrónomo hizo hincapié en la decisión de la firma cordobesa: “En un esfuerzo financiero importante para Metalfor, estaremos ofreciendo beneficios inmejorables para la adquisición de nuestras fertilizadoras”.
Metalfor tiene un compromiso muy grande y profundo con el cuidado del suelo. Es por ello que aprovecha las nuevas tecnologías, como bioestimulantes o biofertilizantes, instancia en que se destaca el papel de la maquinaria cordobesa.
“La responsabilidad de Metalfor consiste en desarrollar equipos más precisos y trabajar en la capacitación de los usuarios en la puesta a punto y calibración de nuestras máquinas. De esta manera, evitamos la generación de efectos colaterales en el medioambiente”, detalló Juan Pablo Rodríguez.
José Luis Dassie, director de Metalfor, destacó los desafíos de la empresa, con foco en “ofrecer herramientas tecnológicamente avanzadas para lograr una mayor productividad y ayudar a que la actividad sea cada día más sustentable”.
Al mismo tiempo, resaltó: “No tengo dudas de que tenemos que desarrollar nuevas habilidades en los operarios de maquinaria agrícola, ya que éstas están cada vez más equipadas con tecnología relevante tanto para su uso como para la generación de datos para futuras utilizaciones”.
Para cerrar, Juan Pablo Rodríguez subrayó: “La demanda de nuestros suelos por una nutrición más eficiente es cada vez mayor. Desde Metalfor, nos exigimos fuertemente para proveer al mercado de equipos que destaquen por su alta performance en la calidad de aplicación”.
“La demanda de nuestros suelos por una nutrición más eficiente es cada vez mayor. Desde Metalfor, nos exigimos fuertemente para proveer al mercado de equipos que destaquen por su alta performance en la calidad de aplicación”.
Nicolás Domesi, gerente de marketing de FieldView Cono Sur, detalla cómo una plataforma de Agricultura Digital puede convertirse en una gran aliada a la hora de buscar modelos de producción más sustentables, sin perder productividad.
La adopción de herramientas de agricultura digital por parte de los productores ha sido exponencial en los últimos cuatro años. FieldView, la plataforma desarrollada por Bayer, se testeó con productores en 2019 y luego fue lanzada comercialmente en 2020. Actualmente es utilizada en más de 17 millones de hectáreas en Argentina, lo que representa casi un 60% de las hectáreas agrícolas sembradas durante la
Por: FieldView
presente campaña. La agricultura digital sigue creciendo fuerte en Argentina, con FieldView emergiendo claramente como la plataforma abanderada. La utilización de FieldView a lo largo de toda la campaña permite tomar decisiones basadas en los propios datos, logrando así maximizar el rendimiento en cada hectárea y haciendo un uso más eficiente de los recursos.
“Los números hablan por sí mismos y en FieldView estamos convencidos de que reflejan la gran propuesta de valor de nuestra plataforma, que aporta simplicidad en su uso y, al mismo tiempo, una gran cantidad de información para tomar mejores decisiones”, analizó Nicolás Domesi, gerente de Marketing de la marca. “Sin dudas, esto fue posible gracias al cambio de nuestro modelo de negocio, donde el productor no tiene límites en cuanto al uso de la plataforma en términos de hectáreas”.
La Agricultura Digital llegó para quedarse, destacando la importancia de recopilar datos para convertirlos en información y poder, y así tomar decisiones productivas más eficientes y sustentables. Cuantos más datos históricos un productor tenga dentro de su plataforma, esta se perfecciona, mejorando continuamente la calidad de la información que devuelve a través de sus algoritmos, por ejemplo, en la ambientación de su campo. “Este aspecto es clave para poder producir más con menos”, afirmó Domesi.
¿Cuáles son las razones para tener los datos en FieldView?
Análisis completos desde la siembra hasta la cosecha. Los datos completos permiten un análisis más profundo y de mayor calidad, lo que conduce a conclusiones más asertivas y mejores resultados.
Base histórica disponible para la toma de decisiones. Cada cliente nuevo ingresa a un historial de tres años de imágenes satelitales de un lote en particular. Combinado con los datos de las operaciones con FieldView™ Drive, esto brinda una vista completa del cultivo en cada momento de la cosecha.
Más posibilidades de análisis. Se registran las condiciones de los lotes, las tasas de aplicación y el momento de manera simultánea a la realización de la labor. Durante la actividad, también se obtiene una vista en tiempo real de factores climáticos relevantes como la velocidad del viento y otros.
Mejores prescripciones. Se pueden utilizar las imágenes satelitales de FieldView ™ Diagnostics y los datos de cosecha para crear zonas de manejo con diferentes potenciales de rendimiento y así recibir una recomendación de densidad de semillas para cada zona en un lote en cuestión de pocos minutos. De esta manera, se puede optimizar el potencial de los híbridos en cada ambiente productivo del lote, de acuerdo con el objetivo de productividad, rentabilidad y costos de semilla.
Este sistema de producción logra un uso más eficiente de insumos y, al mismo tiempo, optimiza el tiempo invertido en monitoreo. “Por ejemplo, las plataformas detectan anomalías en el lote al instante y permiten eficientizar el tiempo para poder detectar antes plagas, malezas y/o enfermedades”, explicó Domesi.
De la mano de este monitoreo dirigido, tanto para el barbecho como para el cultivo en pie, el productor puede tomar la decisión de demarcar una zona que requiera una aplicación más precisa y eficiente. El poder se lo brinda la recopilación de datos y su análisis a través de FieldView. La recolección de datos se puede hacer utilizando FieldView™ Drive, un dispositivo que se conecta al puerto de diagnóstico CAN, permitiendo recolectar datos del campo y de la máquina. El Drive se conecta al IPad®
vía Bluetooth, generando mapas e informes en tiempo real que se almacenan en la app FieldView™ Cab.
Con FieldView™ Sync, todos los datos de las máquinas en el campo pueden transferirse de manera rápida y sencilla vía Bluetooth, y luego enviar esa información a la nube. De esta manera, cuando el dispositivo con el Sync se conecta a internet, se pueden sincronizar todos los datos ágilmente. Este proceso también se puede hacer llevando directamente el FieldView™ Cab a un lugar con conexión a internet.
El productor puede acceder a estos datos enviados a la nube cuando lo desee. Con aplicaciones para Android/iOS y una plataforma web, puede acceder a su cuenta desde cualquier lugar donde el productor se encuentre: en el campo, en la oficina o en la casa. El almacenamiento de los datos se realiza con seguridad y se puede elegir con quién compartirlos: asesores, empleados o socios.
“Es clave para nosotros poder acompañar al productor en esta curva de adopción, ofreciendo desde canales de soporte remotos y a campo, así como también capacitación -no solo de nuestra herramienta sino también de la Agricultura Digital en términos generales-. Esto permite un mejor aprovechamiento y uso de nuestra solución, FieldView, y un entendimiento más profundo para que los usuarios tengan mayor
autonomía”, afirmó Domesi, quien además considera que este es uno de los valores más importantes que tienen en la compañía. “Además, entendimos que el productor no trabaja solo, por eso lanzamos desde nuestra marca dos programas para capacitar a contratistas y asesores agronómicos, que son los brazos armados del productor durante la campaña”.
FieldView, la plataforma que brinda soluciones
Existe una necesidad de capacitación por parte del productor y su equipo de trabajo, y las distintas empresas son las que invierten en ayudar a reducir la curva de adopción a través del acompañamiento. “Entendemos que debemos ser una solución, y no algo que genere incertidumbre por no saber exactamente cómo usarlo”, señaló Domesi.
Cada campo es único, cada lote es distinto. Usando FieldView™ durante toda la campaña, se pueden tomar decisiones basadas en los propios datos, lo que permite maximizar el rendimiento en cada hectárea y hacer un uso más eficiente de cada uno de los recursos. La Agricultura Digital dio el gran paso al dejar de ser una herramienta aislada para convertirse en una solución dentro de modelos de negocios que buscan compartir riesgos y generar sistemas productivos más sustentables.
Es clave para nosotros poder acompañar al productor en esta curva de adopción, ofreciendo desde canales de soporte y capacitación.
Desde Advanta impulsan el consumo humano de sorgo, destacando su valor nutricional y versatilidad culinaria, así como su uso en la elaboración de cerveza sin gluten.
El sorgo es uno de los cinco principales cereales del mundo, un cultivo que viene expandiéndose y que presenta numerosas ventajas a la hora de producir alimentos.
La propuesta de Advanta consiste en introducir y proponer el cultivo de sorgo como una alternativa alimenticia para el consumo humano, en respuesta a la tendencia global hacia un consumo más consciente. Esta tendencia adoptada por millones de personas, busca conocer la trazabilidad del alimento, entendiendo qué se está consumiendo, dónde se elaboró y cuán sustentable es para el ecosistema y el planeta. Esta conciencia creciente es el motor que le imprime protagonismo a los cultivos sostenibles y beneficiosos para la salud, y a su vez, permite el desarrollo de un nuevo mercado y la expansión de los existentes.
“El cambio climático exige a las compañías enfocarse en cultivos inteligentes y más eficientes. Advanta es una de las tres compañías más importantes de sorgo en el mundo y elegimos este cultivo porque está científicamente comprobado que produce más biomasa, proporciona una mayor nutrición y requiere menos recursos, como agua y fertilizantes, en comparación con otros cultivos”, afirmó Bhupen Dubey, CEO global de Advanta.
El objetivo es claro: lograr que el sorgo, por ser un cultivo rico en antioxidantes, fuente de energía y nutrientes, sustentable y con un alto contenido de fibra, forme parte habitual de nuestra dieta diaria. Actualmente, en Argentina, la única forma de consumir sorgo es a través de su harina, que se utiliza para la elaboración de diversos productos como pastas, galletitas, pan, entre otros. Conociendo esta alternativa, la firma apunta a expandir las oportunidades explorando el uso del grano en otros platos, como hamburguesas, escabeche, falafel, tacos, arepas y más.
Para expandir este conocimiento, la compañía se asoció con el grupo gastronómico Nala, ubicado en la ciudad de Rosario. Advanta le proporcionó al equipo grano de sorgo de sus híbridos,
y el chef, con la base del grano, analizó las alternativas, exploró sus texturas, tomó recaudos en la limpieza y, finalmente, evaluó el sabor de este. Los resultados superaron ampliamente las expectativas, permitiendo desarrollar más de 9 recetas en las que el sorgo es el protagonista.
Advanta entiende que no es posible encontrar el grano de sorgo como tal en la góndola del supermercado, lo que dificulta la implementación de estas recetas. Por esta razón, la compañía pretende dar a conocer las diversas posibilidades culinarias del sorgo, con la intención de que el consumidor descubra su sabor y demande la presencia del producto en los supermercados. Aún así, los consumidores pueden encontrar harina de sorgo, que es ideal para cocinar productos sin TACC.
Rico en nutrientes: el sorgo cuenta con las proteínas necesarias para el desarrollo saludable de huesos, músculos, piel y enzimas. Contiene Hierro, que contribuye al fortalecimiento del sistema inmunológico y a la capacidad de transporte de oxígeno en la sangre; Vitamina B6, esencial para sintetizar anticuerpos y mejorar la función nerviosa; Niacina, que mejora la circulación sanguínea; Magnesio, para la absorción de calcio y la regulación de la temperatura corporal; y Fósforo, para formar huesos sanos.
Salud digestiva: Su alto contenido de fibra promueve la salud digestiva al actuar como regulador para el sistema digestivo.
Presión arterial y circulación: Debido a su contenido elevado de potasio y bajo en sodio, el grano de sorgo contribuye a mantener una presión arterial saludable. Además, contiene hierro, cobre, zinc y magnesio, que mejoran la circulación.
Energía: el sorgo es un carbohidrato complejo, que proporciona energía sostenida. También contiene niacina o vitamina B3, que ayuda en la conversión de alimentos en energía.
Gluten free: el sorgo es 100% libre de gluten, lo que lo convierte en una opción segura para personas celíacas e intolerantes al gluten. Tanto la harina de sorgo como el sorgo integral son excelentes sustitutos en recetas a base de trigo.
Cerveza: un brindis sin TACC
Además de enfocarse en promover el sorgo como alimento, Advanta se interesó en el uso del cultivo en la elaboración de bebidas como la cerveza. Por ello comenzó a trabajar con Strauss, una compañía dedicada a producir cerveza a base de malta de sorgo en todas sus variedades: rubia, honey, IPA, red IPA, negra, entre otras.
Ubicada en Rosario, Santa Fe, Straus es pionera en la producción de cerveza a base de sorgo desde 2013. Actualmente, la empresa produce entre 5.000 y 7.000 litros mensuales, lo que equivale a 15.000 – 20.000 botellas de 355 ml. Sus fundadores son Jésica Espósito (bromatóloga) y Guillermo Lione (contador y comercial).
El primer contacto entre Advanta y Strauss tuvo lugar durante el lanzamiento de Igrowth en 2018. Desde entonces, han colaborado ocasionalmente para promocionar la cerveza de sorgo en diferentes eventos. En 2022, llevaron su colaboración un paso más allá al lanzar una edición limitada con un co-branding.
La cerveza de sorgo está disponible en diversas cervecerías del país, así como a través de distribuidores y Marketplace online. La demanda continúa creciendo debido a que el producto tiene un sabor muy rico.
Un sabor diferente presente en Expoagro
En la edición de Expoagro 2024, Advanta presentó su espacio gastronómico en el lote 330, con el objetivo de reforzar un mensaje que considera fundamental: “Nosotros también podemos comer sorgo”. En este espacio, los visitantes pudieron probar un menú integral de comidas calientes, frías, y dulces, todas elaboradas a base de sorgo para que pudieran deleitarse con su sabor único.
La compañía asegura que seguirá trabajando y explorando en este campo hasta que todos puedan incorporar este grano en su dieta diaria.
Las abejas potencian la productividad de las cosechas y contribuyen a la seguridad alimentaria mundial, siendo fundamentales en el proceso de polinización y en la diversidad de especies vegetales. Pero no nos adelantemos demasiado, a continuación profundizaremos en el papel crucial de estos insectos desde tiempos remotos.
Por: Ing. Agr. Antonella Fiore
Prospectiva - Aapresid“Si las abejas desaparecieran de la faz de la Tierra, a la humanidad le quedarían cuatro años de vida”.
Esta afirmación se le atribuye nada menos que a Albert Einstein, ganador del premio Nobel de Física en 1921. Aunque puede sonar fatalista, la intención de esta columna de este mes no es sembrar pánico sino tomar conciencia del papel fundamental que cumplen las abejas en la polinización, en la agricultura y, por ende, en la alimentación humana.
Según la FAO (www.fao.org.ar), cerca del 75% de los cultivos mundiales que producen frutas y semillas para consumo humano dependen, al menos en parte, de los polinizadores.
La seguridad alimentaria, la nutrición y la salud de nuestro medioambiente están estrechamente ligadas al trabajo de las abejas y otros polinizadores. Estos insectos contribuyen al 35% de la producción agrícola mundial, al polinizar alrededor de 85 de los 115 principales cultivos alimentarios a nivel mundial.
La polinización no solo beneficia a la agricultura, sino que también tiene un impacto positivo en el medioambiente en general, pues ayuda a mantener la biodiversidad y la vitalidad de los ecosistemas que sustentan la agricultura y la vida humana. De hecho, las abejas y otros polinizadores brindan un importante servicio ecosistémico al garantizar la polinización cruzada (esto es, el cruzamiento de genes), promoviendo así la reproducción de muchas plantas cultivadas y silvestres.
Además de estos datos, hay otras cuestiones interesantes sobre las protagonistas de este mes que llaman la atención. Las abejas han sido objeto de estudio durante décadas debido a que son una especie marcadamente social y pueden vivir agrupadas en colonias de hasta 50.000 individuos. Si, así como leíste. Estos grupos forman colmenas muy organizadas en las que cada miembro realiza una tarea específica y posee características físicas distintivas.
Las abejas son conocidas como las únicas y grandes productoras de miel, un alimento natural consumido por las personas desde tiempos antiguos. La apicultura, es decir, la crianza y el cuidado de las abejas del género Apis, ha sido practicada durante siglos, proporcionando no solo miel, sino también productos como jalea real, propoleo, cera y polen.
Argentina se ubica entre los tres principales productores de miel a nivel mundial, siendo el segundo mayor exportador con un volumen promedio superior a las 75.000 toneladas (tn) anuales, mientras que el consumo interno ronda las 6.000 tn promedio, según datos del sitio web oficial del gobierno argentino (www. argentina.gob.ar).
El Registro Nacional de Productores Apícolas (RENAPA online) indica que hay 15.306 apicultores en el país que manejan 33.477 apiarios y más de 3.500.000 colmenas. Además, el sector cuenta con un total de 1.209 salas de extracción de miel habilitadas por el Senasa.
El Mapa de Identidades de mieles de Argentina -fruto de una colaboración participativa- identifica las diferentes regiones productoras y sus mieles características, según la floración que visitan las abejas para recolectar néctar y polen. Créditos: https://magyp.gob.ar/apicultura/mapa.php
Gran parte del territorio argentino es apto para el desarrollo de la apicultura y presenta diferentes potenciales productivos tanto para la miel como para otros productos de la colmena; y la actividad se encuentra presente en numerosas localidades del país.
Las condiciones climáticas y los avances tecnológicos permiten obtener miel de alta calidad con diversas características que las distinguen a nivel internacional. Los productores más numerosos provienen de las provincias de Buenos Aires, Entre Ríos y Santa Fe. No obstante, la apicultura argentina es una actividad con marcado perfil federal, desarrollándose en 22 provincias (Jujuy, Salta, Catamarca; La Rioja, Tucumán, Santiago del Estero, San Juan, San Luis, Mendoza Córdoba, Santa Fe, Chaco; Formosa, Misiones, Corrientes, Entre Ríos, Buenos Aires, La Pampa; Rio Negro, Neuquén, Chubut y Santa Cruz) y generando impacto en las economías locales, dado que los productores suelen residir cerca de donde desarrollan sus actividades.
Nombre científico: Apis mellifera
Nombre común: Abeja Melífera (también conocida como abeja europea o doméstica)
Tipo: Invertebrados
Dieta: Herbívoro
Nombre del grupo: Colonia, enjambre
Tamaño: 1 a 1,5 centímetros (obreras).
Las abejas son insectos eusociales. La eusocialidad se define como el nivel más alto de organización social que se da en ciertos animales e insectos. Según un estudio de la Universidad de Florida, existen tres características que definen los niveles de sociabilidad en los insectos, y las abejas cumplen con los tres criterios:
División reproductiva del trabajo: cada colonia de abejas melíferas consiste de una reina (hembra reproductiva), obreras (hembras no reproductivas) y zánganos (machos; Figura 1). Cada casta tiene un papel claramente definido.
Cuidado cooperativo de la cría: las obreras cuidan a la descendencia de la reina. En la mayoría de los casos, los descendientes de la reina son hermanas de las obreras que los crían.
Generaciones superpuestas: las reinas de las abejas melíferas pueden vivir varios años y coexistir en la colonia con sus crías (obreras y zánganos).
Hay tres castas de abejas melíferas: zánganos, reinas y obreras (Figura 1)
A. Zánganos: son abejas melíferas macho. Su cabeza y tórax son más grandes que en las hembras. Los ojos grandes de los zánganos tocan la parte superior central de la cabeza, lo que los hace parecer a las "moscas". Su abdomen es grueso y redondeado al final, en lugar de puntiagudos como el de las hembras. Los zánganos son responsables de transmitir los genes de la colonia a la próxima generación al aparearse con reinas de otras colonias.
B. Reinas: son las hembras reproductoras de las abejas melíferas. Su cabeza y tórax son similares en tamaño a los de la obrera, pero tienen un abdomen más largo y grueso. Durante la mayor parte del ciclo de vida de la colonia, la reina es la única hembra reproductiva y se encarga de producir toda la cría dentro de la colmena.
C. Obreras: generalmente son hembras no reproductivas y son los individuos más pequeños de las tres castas. Sus cuerpos están especializados en la recolección de polen y néctar. Las obreras realizan todas las tareas de cuidado de la cría, mantenimiento de la colmena y defensa de su colonia. En lugar de especializarse en un solo trabajo, cada obrera pasa por una progresión predecible de tareas basada en su edad. Esta progresión se denomina polietismo temporal (o de edad).
El polietismo temporal es la división del trabajo relacionada con la edad que ocurre dentro de las colonias de abejas melíferas. A diferentes edades, las abejas obreras son más adecuadas para
realizar diferentes tareas. Cada obrera, a lo largo de su desarrollo, lleva a cabo tareas en la colonia de manera predecible en lugar de especializarse en una sola tarea.
En general, las obreras jóvenes realizan trabajos en el área central de la colmena, donde se encuentran las crías (abejas melíferas inmaduras). Sus labores incluyen limpiar las celdas de cría, alimentar y cuidar a las crías, y también a la reina. A medida que avanzan en edad, las obreras comienzan a asumir tareas en otras partes de la colmena y, eventualmente, en las regiones exteriores de la colmena. Estos trabajos incluyen, progresivamente, el aseo y la alimentación de las compañeras, la construcción de paneles y ventilación de la colmena, la recepción y el almacenamiento de néctar y polen, y el procesamiento del néctar en miel. Las abejas más viejas se dedican a tareas fuera de la colmena, como protegerla, eliminar las abejas muertas y buscar alimento (pecoreo) (Figura 2)
Se cree que el desarrollo de los trabajos por edad está regulado por la hormona juvenil (HJ). Los niveles de HJ varían dentro de una abeja obrera a lo largo de su vida, y estos cambios hacen que las glándulas se activen/desactiven, lo que a su vez cambia la actividad fisiológica de las obreras para adaptarse a sus trabajos actuales. Por ejemplo, las abejas jóvenes encargadas del cuidado de la cría tienen glándulas hipofaríngeas altamente desarrolladas para producir la dieta larvaria, mientras que las abejas más viejas que construyen panales tienen glándulas hipofaríngeas reducidas pero otras glándulas especializadas y altamente desarrolladas para producir cera.
En el sistema social de la colmena se han observado variaciones hormonales que explican por qué no todas las abejas seguirán el orden común de desarrollo de tareas. Por ejemplo, si muchas recolectoras mueren, las abejas más jóvenes avanzarán más rápidamente hacia tareas de recolección de polen y néctar para compensar la pérdida. Por el contrario, si una enfermedad de cría reduce drásticamente el número de abejas jóvenes emergentes, algunas abejas mayores retomarán las "tareas de abejas más jóvenes" para garantizar que se completen todos los trabajos.
Las abejas viven de miel almacenada y polen durante todo el invierno, y se agrupan en una bola para conservar el calor. Durante esta temporada, las larvas se alimentan de los depósitos almacenados, y para la primavera, la colmena está repleta de una nueva generación de abejas.
Todas las abejas de una colonia colaboran en la realización de tareas para construir y mantener el funcionamiento de la colmena. Algunos ejemplos incluyen la termorregulación (regulación de la temperatura de la colmena), la respiración (intercambio de aire dentro y fuera de la colmena) y la reproducción (creación de una nuevas colonias de abejas melíferas).
Termorregulación: Las abejas mantienen el área de cría de la colmena a una temperatura aproximada de 34 °C. Cuando la temperatura ambiente supera los 34 °C, las abejas obreras enfrían
el interior de la colmena al abanicar el aire con gotas de agua. Por el contrario, cuando la temperatura desciende por debajo de los 34 °C, las abejas obreras se agrupan alrededor del nido de cría y generan calor vibrando los músculos de sus alas.
Respiración: Las abejas prefieren anidar en cavidades cerradas (como las de los árboles), lo que limita el intercambio pasivo de aire. Por lo tanto, las obreras ventilan activamente el aire dentro y fuera de la colonia mediante inhalaciones y exhalaciones a través de la entrada de la colonia.
Reproducción: La reproducción no implica una sola reina que pone miles de huevos. Una colonia de abejas melíferas se reproduce mediante un proceso llamado enjambre, y por el cual se crea una nueva colonia. El enjambre se inicia cuando se producen reinas hijas. La reina residente y hasta dos tercios de las obreras abandonan la colmena en busca de una nueva cavidad para anidar. Esto resulta en la formación de una colonia hija (las abejas que permanecen en el nido original) y una colonia parental (las abejas que se fueron para encontrar un nuevo nido).
Manejo de la colmena y cuestiones a tener en cuenta
En una entrevista realizada por el periodista Juan Gonzalo Angel para Tv Agro, el apicultor argentino Horacio Usatorre compartió información sobre el manejo y cuestiones a tener en cuenta para el cuidado de las colmenas en Argentina.
Con respecto a las instalaciones de las colmenas, destacó dos aspectos fundamentales: conocer las características florales y sanitarias de la zona donde se instalarán las colmenas.
Usatorre también recomendó trabajar como las abejas, en colaboración con otros apicultores: “Lo primero es encontrar un grupo de apicultores, 2 o 3 personas con las que intercambiar ideas. No cerrarse ni aislarse. Cada día aparecen enfermedades y técnicas nuevas, por ende la información cumple un rol muy importante. No siempre todas las enfermedades están en internet”, dijo.
En apicultura, considerando que se trata de una actividad de cientos de años, existen dos factores que el hombre aún no ha podido alterar: el clima, que incide en la cantidad de alimentos de las abejas, y los hábitos o la biología de la misma.
“En otoño, invernamos las colmenas, es decir, le dejamos parte de la producción que éstas realizan para que tengan durante todo el invierno”, comentó el apicultor.
En cuanto al manejo de las colmenas durante el invierno, Usatorre señaló que casi no se realiza actividad y se las deja tranquila invernando. Las mismas abejas se arraciman, lo que significa que se forma una especie de bola, con las abejas pegándose cada vez más, generando calor y tomando la miel. “Así sobreviven las abejas durante el invierno en todo el mundo, incluso bajo la nieve, siempre y cuando tengan suficientes reservas de miel”
Cuando llega la primavera, la colmena comienza a desarrollarse lentamente. Las abejas viven en horas de vuelo; cuanto más vuelan menos viven, por eso en verano una abeja vive 50 días y en invierno puede llegar a vivir 90 días porque vuela menos y sufre menos desgaste.
“En la primavera se va a producir la renovación de esa abeja vieja que estuvo todo el invierno; se van a morir y tienen que nacer las abejas nuevas, las cuáles van a permitir el desarrollo exponencial de la colmena. Por ende, van a ir creciendo lentamente hasta llegar a cubrir 3 cuerpos de colmena y ahí tener una buena producción de miel”, comentó Usatorre.
En Argentina, la precipitación anual promedio en la Pampa Húmeda oscila entre 700 a 800 mm. “En los años de sequía, hay menos miel. Esto se debe a que las plantas dependen del agua; si no llueve durante un tiempo largo, liberan menos néctar y, por lo tanto, hay menos miel”, explicó el productor.
Durante el verano, se realiza la extracción de miel. En meses de sequía total, la producción de miel es muy baja, llegando a producir entre 5 y 7 kilos por colmena en lugar de los 25 kg o 30 kg que son los habituales en condiciones con buenos regímenes de lluvia.
Las abejas pueden recorrer aproximadamente mil metros a la redonda para la recolección de néctar y polen.
En cuanto a cuál es la mejor abeja para la producción de miel, Usatorre afirmó que “la mejor abeja es la abeja de la zona porque está adaptada al clima”.
Al finalizar la entrevista, compartió una serie de consejos para quienes quieran iniciar en esta actividad, argumentando que al inicio puede haber una baja inversión siempre que haya un manejo adecuado “Mi primer consejo es que lean mucho y, a partir de ahí, si están decididos, hagan un curso con algún asesor de la zona. La apicultura tiene una gran ventaja: podés comenzar con una sola colmena. El costo de inversión, en paralelo con alguna otra producción en un sistema agropecuario, es mínimo, hasta alcanzar un número de colmenas que sean rentables”, finalizó Usatorre.
Karl von Frisch y el lenguaje de las abejas
El lenguaje de las abejas es uno de los comportamientos más fascinantes del mundo animal. En el siglo pasado, el biólogo austríaco Karl von Frisch dedicó 30 años al estudio de estos insectos, logrando descifrar el mensaje de su danza comunicativa. Su trabajo, lo llevó a recibir el premio Nobel de Medicina en 1973 por este descubrimiento.
En su libro “La vida de las abejas”, Von Frisch describe los comportamientos de estos insectos de manera detallada. Cuando una abeja danza, las demás siguen de cerca sus movimientos, captando tanto sus movimientos como su aroma. Así, reciben indicaciones sobre el tipo de alimento que deben buscar.
La "Danza circular" indica la ubicación de la fuente de alimento en las proximidades de la colmena, generalmente a una distancia máxima de entre 50 y 100 metros. Sin embargo, esta danza no proporciona detalles sobre la posición precisa, por lo que las abejas saldrán a recorrer las proximidades de la colmena.
La "Danza del coleteo", por su parte, informa sobre la presencia de una fuente de alimento a una distancia mayor. En esta danza, la abeja bailarina trazará una especie de "8" mediante líneas rectas seguidas de semicírculos. Durante el tramo recto central, la abeja mueve su abdomen. La dirección de este tramo recto indica la localización del alimento con relación a la posición del Sol. Además, la velocidad y los movimientos del abdomen proporcionan información precisa sobre la distancia y duración del recorrido. Por ejemplo, cuanto más lejos esté la fuente de alimento, más tiempo tardará la abeja en recorrer el tramo recto.
Gentileza: www.daviddelgado.me
Lo que antes parecía imposible, hoy se vuelve realidad. Desde hace algunos años, un grupo de científicos alemanes de la Universidad de Berlín, vienen llevando a cabo un proyecto revolucionario: el desarrollo de los “RoboBees”, nanorobots que simulan ser abejas.
Estos dispositivos biométricos están programados para imitar los característicos bailes de comunicación de estos insectos, con el fin de atraer abejas desde diferentes regiones para que estas realicen sus tareas de polinización en zonas concretas.
RoboBees: Nanorobots que imitan el comportamiento de las abejas para impulsar la polinización. Créditos: Wyss Institute at Harvard University.
A través de diversas pruebas, los investigadores han probado a Robobee en diferentes instancias. Si bien sus resultados son alentadores, reconocen que el dispositivo necesita ser mejorado para lograr una mayor efectividad, especialmente en lo que respecta a su apariencia, que necesita alcanzar un aspecto más cercano al de las abejas verdaderas.
A pesar de estos desafíos, los investigadores se mantienen positivos sobre el potencial de su creación para abordar la preocupante disminución de estos insectos, tan vitales para la supervivencia de numerosas especies vegetales.
Para crear conciencia sobre la importancia de los polinizadores, las amenazas a las que se enfrentan y su contribución al desarrollo sostenible, la Organización de las Naciones Unidas declaró el 20 de mayo como Día Mundial de las Abejas.
Consulte las referencias ingresando a www.aapresid.org.ar/blog/revista-aapresid-n-227
Con título de profesora y corazón de luchadora, Lidia Carletto encontró en la docencia, el campo y sus afectos su refugio ante los desafíos y pérdidas que debió afrontar. Resiliencia y amor, son su bandera. Una invitación que aceptó “por compromiso”, la acercó a Aapresid, donde encontró conocimiento técnico y también un grupo humano que le dio fuerzas para seguir adelante.
Ficha personal
Nombre: Lidia Gladys Carletto
Profesión: Jubilada luego de 38 años como profesora de Ciencias Sociales.
Lugar de nacimiento: Caleufú (La Pampa)
Familia: Mamá de Mariana y abuela de Lola, que tiene “8 años nuevos”, como dice ella, porque los cumplió recientemente.
Hobbies: Viajar, jugar al golf y compartir tiempo con Mariana y Lola.
En el corazón de cada organización hay personas cuya actitud y compromiso no pasan desapercibidos, más aún si a eso se le suma una dosis generosa de calidez. Lidia Carletto es una de esas personas.
Su historia de vida está atravesada por desafíos y pérdidas significativas, enfrentando circunstancias que requirieron de su resiliencia para seguir adelante. En este camino, su familia, sus afectos, sus colegas y alumnos de la escuela en la que dio clases, así como la comunidad de Aapresid, fueron y siguen siendo un apoyo vital para Lidia.
Nació en Caleufú, un pueblo pequeño ubicado en el norte de La Pampa, casi en el límite con San Luis y Córdoba. Su papá tenía una cosechadora y trabajaba brindando servicios al campo. Cuando tenía 5 años, falleció su mamá, y al año siguiente, su papá. “Era la menor de una familia de 4 hijos y una de mis hermanas me terminó criando”, cuenta Lidia.
A su infancia la recuerda con mucho cariño. “Más allá de la pérdida de mis padres, fueron unos años felices, rodeada de muchos amigos y jugando en la calle todo el tiempo”.
Al terminar la escuela primaria, Lidia quiso seguir estudiando. En ese entonces, no había colegios secundarios en Caleufú y había que irse a General Pico. “Como insistí mucho en estudiar, mis hermanos hicieron un gran esfuerzo y me mandaron”. Se inscribió como interna en un Colegio de monjas de General Pico y estudió Magisterio. “Nunca había pensado en ser docente; quería ir al Colegio Nacional pero en ese momento la única opción que tenía era estudiar docente o no estudiar, y terminé descubriendo que me encantaba la docencia”, reconoce.
Lidia ejerció como docente durante casi 38 años. Fue profesora de Ciencias Sociales en el colegio secundario de Caleufú, hasta que le tocó jubilarse. Según sus alumnos, era bastante exigente pero también muy querida. “Solían venir a mi
casa con frecuencia. Yo les enseñaba sociales y ellos me enseñaban a jugar al truco”, confiesa.
Siempre cuenta la anécdota de cuando estaba en una librería y alguien le tapó los ojos, diciendo: “¿A qué no sabés quién soy? Fui tu alumna". Y ella respondió con una sonrisa, diciendo: "Todo el pueblo fue mi alumno". Y es que con tantos años enseñando, hoy Lidia es conocida por la mayoría en la zona.
Su relación con el campo y su llegada a Aapresid por una invitación a la que asistió “por compromiso”
Lidia se casó con Alberto Illuminati, quien era productor agropecuario en la zona de General Pico y con quien tuvo dos hijos, Pablo y Mariana. En el campo vivieron solo dos años y luego se establecieron en el pueblo. “Mi relación con el campo se limitaba a los paseos domingueros, cuando acompañaba a Alberto. Algunas veces lo ayudé en algún trabajo con el tractor, pero siempre cosas mínimas”, dice.
Los golpes de la vida, la encontrarían haciéndose cargo del campo. La muerte trágica de su hijo, recién recibido de ingeniero agrónomo, y al poco tiempo, la pérdida de su marido, la obli-
garon a asumir el timón del establecimiento. “Me quedé con mi hija, que en ese momento estudiaba arquitectura, a cargo del campo. Fue muy difícil”.
“Un familiar nos ayudó a entender un poco más cómo era todo y, en medio del dolor y ya jubilada, me dije: ‘Estoy sola, no sé nada de campo y es nuestro capital’”. Fue entonces cuando llegó la invitación a sumarse a Aapresid. “Me invitó una chica, que era de Caleufú. Hacían una jornada UPA en un salón de Santa Rosa y yo por ser amable y un poco de compromiso, le dije que sí. Así fue como entré y no salí nunca más”, admite.
Haciéndole frente a su desconocimiento inicial sobre el campo, Lidia encontró en Aapresid el lugar donde aprender todo aquello que necesitaba para poder cuidarlo. “Me metí de lleno en el grupo y empecé a amar cada vez más el campo y a interesarme más en lo que era la organización”. Aapresid no solo le brindó conocimientos, sino también un grupo humano que le permite tener amigos en todos los lugares del país. Para ilustrar esto, hace propia una frase que repite seguido Andrés Garciarena: “Puedo
salir de 25 de Mayo, provincia de Buenos Aires, y llegar a San Luis, y sé que voy a encontrar un amigo en cualquier lugar que cruce”.
Lidia es parte de la Regional La Pampa desde hace más de 15 años. Siempre recuerda la noche en que Gustavo Herrero, miembro de la Regional y quien también hacía trabajos de siembra y cosecha en el campo de Lidia, le pidió que se hiciera cargo de la Tesorería. “Era una noche de junio, estábamos en la casilla y hacía muuuucho frío. Y me dice: ‘Dale, hacete cargo de la tesorería’, y me entrega un cuadernito engrasado con la lista de los integrantes del grupo”. A los dos años, asumió como vicepresidenta de la Regional, luego presidenta, y en 2021 la invitaron a formar parte de la Comisión Directiva de Aapresid durante la presidencia de David Roggero.
A pesar de “no manejar mucho técnicamente ni ser ingeniera agrónoma” (sic), Lidia siempre está dispuesta a colaborar en lo que esté a su alcance. Aunque su período en la Comisión Directiva terminó en abril del año pasado, su compromiso sigue firme, participando activamente en el grupo de Regionales. “Sigo ‘hinchándolos’, como me dicen mis compañeros, porque estoy constantemente apuntalando una cosa u otra”.
“Siempre digo que Aapresid me dio mucho más de lo que yo le pude brindar”. Sin embargo, su
recorrido y sus compañeros en este camino, demuestran que este aporte es recíproco.
Con todo lo que aprendió en estos años, Lidia ve al campo con otra perspectiva. “Aunque actualmente está alquilado, estoy en contacto permanente con los inquilinos para saber qué se está haciendo y qué se puede mejorar. Hoy sé de lo que estoy hablando gracias a Aapresid”, reconoce.
Abuela de Lola, viajera y jugadora de golf
Un día en la vida de Lidia es todo menos predecible. “Las rutinas no son una opción para mí; en mi casa siempre hay gente y si surge algún imprevisto en el campo, salgo para allá enseguida”.
Desde hace 8 años, ser abuela de Lola se convirtió en uno de sus roles más importantes.
“Lola es la alegría de la familia”, dice con ternura. “Siempre le digo: ‘Sos la mejor nieta que tengo’, y ella me responde: ‘Abuela, soy la única’”.
Desde que era bebé, comparten muchísimas cosas juntas. Desde vacaciones hasta días enteros de juegos en casa o en el campo. Lidia y su hija Mariana comparten el deseo de transmitirle a Lola el amor por el campo. “Tratamos de pa-
sar allí los fines de semana y aprovechamos para contarle historias y anécdotas de su tío y abuelo que no llegó a conocer”, cuenta emocionada.
Por estos días Lola no para de girar con los patines que compró con los ahorros del ratón Pérez, y hasta el año pasado estuvo practicando equitación. De hecho, un primo le regaló un caballo para su cumpleaños, al que llamó “Chizito” -mismo nombre que tenía el caballo de su papá cuando era chico- y que luego rebautizó con el nombre de “Luky”.
Durante un par de años, Lidia jugó al golf, deporte al que conoció de grande y disfruta mucho. “Por diversas circunstancias, entre ellas la
pandemia y los compromisos con Aapresid, tuve que dejar; aunque me gustaría retomar este año”. Lo que nunca dejó de hacer es viajar. Junto con Alicia, amiga de toda la vida, tratan de hacer uno o dos viajes al año. “Es algo que me encanta y que seguiré haciendo toda mi vida”.
Lidia se autodenomina como una luchadora incansable, a la que le tocó enfrentar muchos desafíos y golpes duros en la vida. "Siempre la luché y tuve mucho amor cerca. Una amiga me dice que soy una resiliente". Aunque reconoce que su camino no ha sido fácil, constantemente busca mantener una actitud positiva, viendo el vaso medio lleno y encontrando nuevos objetivos por los que seguir luchando.
José Jauregui examina algunas razones que limitan la fertilización de verdeos de invierno, una práctica clave para sostener la producción ganadera, desmitificando creencias arraigadas y resaltando su importancia económica y ambiental.
Por: Dr. Ing. Agr. José
Martín Jáuregui Profesor Adjunto- Cátedra Forrajes (FCA - UNL).
Los verdeos de invierno son recursos fundamentales que nos permiten sostener la producción animal durante los meses más fríos. Se destacan por su vigoroso crecimiento en esta época invernal, lo que permite cubrir los posibles baches que suelen surgir con la mayoría de los recursos perennes.
Sin embargo, la producción de estos verdeos puede verse condicionada por factores nutricionales que, en numerosas ocasiones, se confunden con efectos de “sequía” u otros elementos. La realidad es que una planta bien nutrida hará un uso más eficiente de los recursos disponibles, especialmente la radiación y el agua, lo que se traduce en más kilos de materia seca (MS) por unidad de producto (Imagen 1).
Imagen 1. Verdeo de Ryegrass con fertilización nitrogenada (izquierda) -100 kg de urea aplicada a la siembra- y otro sin fertilización (derecha). La deducción inmediata que se puede hacer al observar la foto es que, con la misma cantidad de lluvia acumulada y en un mismo suelo, el cultivo de la izquierda (fertilizado) aprovechó mejor este recurso que el de la derecha.
El nutriente que más condiciona la producción de verdeos de invierno suele ser el nitrógeno, aunque el fósforo y ocasionalmente también el azufre, suelen aparecer en segundo lugar. Una manera rápida de estimar los requerimientos de este elemento es multiplicar el rendimiento esperado por 0,03. Este valor surge de la estimación de que un cultivo se considera que está bien nutrido de N cuando contiene 3% de este elemento en su composición química (asumien-
do que pastoreamos entre 1,5 y 3 tn de MS/ha). Esta estimación se basa en un concepto conocido como “índice de nutrición nitrogenada”. Básicamente, este índice nos indica si un cultivo es deficitario de N (índice menor a 1) o superavitario (índice superior a 1).
En el campo, generalmente se busca que los cultivos alcancen entre el 80 y el 90% de este índice (INN) para maximizar su producción. Por
lo tanto, si queremos obtener un rendimiento de 10 toneladas de MS/ha, necesitaríamos aplicar alrededor de 270 kg de N/ha. Este aporte puede provenir tanto de fertilizantes como de la mineralización de la materia orgánica del suelo.
Pero… ¿por qué no fertilizamos adecuadamente los verdeos? ¿Qué nos limita? A continuación, vamos a enumerar algunas razones que pueden contribuir a esta situación.
11 “Fertilizar es caro”
Esta afirmación suele iniciar la eterna discusión sobre la fertilización. En contextos de precios elevados de los fertilizantes y bajos precios relativos de la leche y la carne, esto puede ser cierto. Sin embargo, pocos se preguntan cuál es el retorno de la inversión al aplicar fertilizantes. Veamos algunos números para ilustrar este punto.
El costo de un kilogramo de urea actualmente es de U$S 0,83. El Índice de Novillo del Mercado de Cañuelas se sitúa cerca de los U$S 2/kg. Asumiendo:
Tres eventos de fertilización por hectárea durante todo el período que dura el verdeo (de 100 kg de urea cada uno) con un costo de aplicación de U$S21 (U$S 7/ha/aplicación)
Una eficiencia de uso de 9,2 kg de MS generado por kg de urea aplicada (una eficiencia de uso de N de 20:1)
Un requerimiento de 10 kg de MS para producir 1 kg de novillo (entre 180-300 kg).
Una eficiencia de cosecha del 75% del pasto adicional generado.
Un 9% de gastos de venta sobre los kg de novillo adicionales generados.
A partir de estos datos, podemos observar que fertilizar un verdeo de invierno con 300 kg de urea puede generar más de U$S100 de ganancia por hectárea. Por supuesto, esto dependerá de los precios relativos de la urea y el novillo. La Figura 1 muestra diferentes escenarios de ganancia y pérdida (en U$S/kg novillo) según las variaciones en el precio del novillo y el precio de la urea. Esta figura puede servir como referencia para modelar escenarios en los que sea conveniente o no fertilizar con N. Al día de hoy, nos encontramos en un escenario positivo.
22
“Si no llueve o si llueve mucho pierdo los nutrientes”
Para maximizar la respuesta al fertilizante, especialmente al nitrogenado, es necesario dividir las dosis. A su vez, se recomienda evitar la fertilización con altos niveles de N a la siembra debido al riesgo de fitotoxicidad en las plántulas, pudiendo resultar en plántulas “quemadas” por exceso de N. Para maximizar la respuesta al nitrógeno, lo ideal es aplicar no más de 40-50 kg a la siembra (si es posible, utilizar un arrancador con fósforo como Fosfato Diamónico), y luego aplicar 30-40 kg de N después de cada pastoreo. Esto hace que la logística sea compleja y, a menudo, se utilizan dosis más altas que el cultivo no puede aprovechar en su totalidad debido a los fenómenos de lixiviación/lavado (por exceso de lluvias) y volatilización (por déficit de lluvia).
Sin embargo, existen alternativas para subsanar, al menos parcialmente, esta situación. Una de las más destacadas es el uso de ureas protegidas. Estos fertilizantes contienen una enzima denominada “ureasa”, que se adiciona al gránulo de urea e inhibe parcialmente la conversión de urea a amonio, reduciendo así las pérdidas por volatilización, que son comunes en situaciones de sequía. Las pérdidas por lixiviación debido al exceso de lluvias son más complejas de resolver, pero al dividir las aplicaciones en 2-3 veces durante el ciclo, estas pérdidas se reducen significativamente.
Figura 1. Ganancia o pérdida (expresada en U$S/kg novillo) según variaciones en el precio del kg de novillo y el kg de urea.“No hace falta fertilizar, la alfalfa que estuvo antes deja muchos nutrientes disponibles”
Quizás se trate de uno de los grandes mitos en la ganadería. Algunas personas argumentan que las leguminosas, al fijar nitrógeno del aire, dejan mucho nitrato disponible para el siguiente cultivo. Si el siguiente cultivo es una gramínea (común en la rotación), quienes esgrimen este argumento aseguran que no sería necesario fertilizar con nitrógeno, ya que la gramínea aprovecharía esa gran cantidad de NO3 dejado por la alfalfa.
Sin embargo, la realidad es bastante diferente. Por lo general, las alfalfas que llegan al 3-4° año pasan luego a un cultivo de avena, Ryegrass u otra gramínea de invierno. El cultivo de alfalfa que llega a ese último año de vida, suele estar
“Hago ganadería regenerativa, no hace falta fertilizar”
Durante los últimos años se ha popularizado el concepto de “ganadería regenerativa”. A pesar de que no existe una definición única ni una “receta” específica para este modelo productivo, algunos predican que bajo este manejo no se deben utilizar fertilizantes químicos. Si bien es posible reemplazar los fertilizantes químicos por biológicos, es importante tener en cuenta que se necesitarían grandes cantidades de estas enmiendas biológicas para alcanzar los aportes equivalentes de los fertilizantes químicos.
degradado y su nivel productivo suele ser bajo, alcanzando entre 4 y 6 toneladas de materia seca. Esto, junto con el deterioro generalizado del stand de plantas, reduce la capacidad de fijación simbiótica de la alfalfa y aumenta el consumo de nitrato del suelo por parte del cultivo. Es decir, si asumimos que la alfalfa fija, en promedio, un 70% de sus requerimientos de N, este valor puede caer a cero en su último año.
Por lo tanto, a pesar de que pueda quedar un excedente de NO3 en los suelos que vienen de alfalfa, y de que ese nitrato pueda ser utilizado por el cultivo siguiente, la cantidad disponible no será alta. Esto implica la necesidad de fertilizar adecuadamente nuestra gramínea de invierno.
Es aún más complejo el caso de aquellos productores que deciden abandonar todo tipo de práctica de fertilización, ya sea biológica o química, argumentando que “la vaca devuelve nutrientes con el bosteo” y “regenera suelos”. La ganadería, como cualquier sistema agropecuario, es un sistema abierto. Esto significa que parte de los nutrientes presentes en el suelo se van del mismo en forma de carne, leche y subproductos. Aunque podemos mejorar la salud del suelo mediante un buen manejo del pastoreo, entre otras prácticas, la única mane44
ra de reintroducir nutrientes en el sistema es mediante la incorporación de estos nutrientes ya sea de forma química o biológica.
Algunos nutrientes también pueden ser aportados a través de la deposición atmosférica (viento y lluvia), aunque el nivel de aporte suele ser muy bajo (Berhongaray et al., 2019). El nitrógeno es
“Aplico productos foliares
el único nutriente que potencialmente podría ser aportado en un 100% por vía biológica, a partir de la fijación de N atmosférico realizada por algunas leguminosas. Para el caso de las gramíneas, también existen algunas bacterias fijadoras libres que pueden hacer aportes importantes de este nutriente al sistema.
que aportan los nutrientes específicos que mi verdeo necesita”
Si bien los productos foliares son capaces de satisfacer algunas necesidades puntuales del cultivo e incluso ayudan a sobrellevar mejor algunas situaciones de estrés, no debemos olvidar que la capacidad de absorción de nutrientes por la vía foliar es muy baja. Por lo tanto, las dosis de nutrientes que se pueden aplicar mediante esta vía no suelen ser suficientes para cubrir los requerimientos macro de las
plantas, y generalmente solo sirven como un “remedio temporal” frente a la ausencia de otros macroelementos disponibles.
Siempre que consideremos la fertilización, debemos tener en cuenta primero los requerimientos macro del cultivo, y luego sí enfocarnos en los microelementos o en aplicaciones precisas (como la fertilización foliar).
Conclusiones
La fertilización de verdeos de invierno es un pilar fundamental para maximizar el rendimiento y la renta de nuestros sistemas ganaderos. Este texto presenta evidencia de que una nutrición adecuada de los cultivos, especialmente mediante la aplicación de nitrógeno, no sólo es económicamente viable, sino esencial para maximizar la eficiencia en el uso de recursos como el agua y la radiación solar.
A pesar de los desafíos observados, como el costo inicial de la fertilización, las preocupa-
ciones sobre la volatilidad y lixiviación de nutrientes, y los mitos relacionados con prácticas alternativas de manejo del suelo, los beneficios tangibles superan con creces estas barreras.
La gestión adecuada de la fertilización, lejos de ser un lujo o una elección arbitraria, es una estrategia indispensable para sostener la producción animal en invierno, mejorar la salud del suelo y, en última instancia, aumentar la rentabilidad de la actividad ganadera.