Red Cultivos de Servicios Aapresid - BASF

Page 1

UN PODCAST DE AAPRESID

> RED DE CULTIVOS DE SERVICIOS

¿Qué es la Red de Cultivos de Servicios?

¿Para qué la Red?

¿Qué hacemos y quiénes participan?

Participantes Red de Cultivos de Servicios 2023/24

INFORME RED DE CULTIVOS DE SERVICIOS AAPRESID - CAMPAÑA 2023/24

SEMBRAR SINERGIAS: EXPERIENCIAS DE INTERSIEMBRA DE CULTIVOS DE GRANOS Y DE SERVICIOS Resultados

RED DE EVALUACIÓN DEL PASTOREO DE CULTIVOS DE SERVICIO AVANCES 2023-2024

generales de la producción y manejo en cada sitio de la red Análisis de algunas ventajas de la integración de la agricultura y la ganaderia Comentarios finales

Sumario
Descripción de
ensayos Conclusiones 06 07 10 21 22 05 Prólogo 04
los
25 26 27 29 31 Introducción Diseño experimental
Características

Prólogo

Necesitamos diseñar una agricultura basada en una sucesión de procesos que permitan a los agro-ecosistemas ser lo suficientemente productivos, eficientes y estables en el tiempo. Podríamos afirmar que es una sucesión o “línea de montaje” desarrollada a partir de flujos de energía y materia, donde la fotosíntesis constituye el punto de partida esencial en la transformación de la energía y productividad del sistema.

El diseño y montaje de esa agricultura debe basarse en la aplicación de ciertos principios ecológicos básicos que permitan sostener la capacidad productiva realizando un uso racional y eficiente de los recursos naturales e insumos:

Aumentar la producción de biomasa y sostener la actividad biológica del suelo.

Aportar el suficiente carbono orgánico al suelo para alcanzar un balance adecuado de la materia orgánica en relación con el ambiente productivo.

Promover una estructura de suelo estable, que le permita a los cultivos expresar su potencial de crecimiento, con buena estabilidad de agregados para la entrada y circulación de agua y aire, y transferencia de calor en el suelo, buen desarrollo de raíces, aprovechamiento de la capacidad de almacenaje de agua y libre movimiento de la solución agua más nutriente desde el suelo a la raíz.

Optimizar la disponibilidad y el reciclado de los nutrientes con prácticas biológicas y de fertilización.

Mantener una vegetación viva la mayor parte del tiempo posible para que la principal vía de salida de agua del campo sea la transpiración, minimizando las pérdidas por evaporación, percolación y escurrimiento.

Aumentar las interacciones biológicas y sinergias entre los componentes del sistema, promoviendo procesos y servicios ecológicos claves como el manejo integrado de malezas, plagas y enfermedades, la mitigación de GEI y contaminación por fitosanitarios.

Sistemas intensificados permiten mejorar el ciclo de los nutrientes en los suelos, disminu-

yendo las probabilidades de pérdidas por volatilización o lixiviación, reduciendo la contaminación del aire y napas.

Diversificar el agroecosistema en el tiempo y el espacio para asegurar y garantizar los ecoservicios que hacen posible el desarrollo y la continuidad de la vida en la tierra.

Estos principios pueden ser aplicados a través de diversas técnicas y estrategias agronómicas. Entre estas se destacan, por su impacto directo e indirecto sobre la productividad y sustentabilidad del sistema, la siembra directa y la intensificación ecológica.

En Argentina, el Sistema de Siembra Directa se ha difundido con éxito en una gama de ambientes climáticos muy diversos que van desde los templados-fríos a cálidos y de húmedos a secos; y ambientes edáficos con suelos de texturas muy finas a gruesas, con altos a bajos contenidos de materia orgánica, y con distintos grados de limitaciones para la producción de cultivos.

Esa significativa expansión sin duda se explica por una serie de beneficios: mejora el aprovechamiento del agua y la conservación del suelo, protege contra la erosión, mejora el balance de la materia orgánica y mejora la estabilidad de la estructura superficial; pero al mismo tiempo aumenta la oportunidad de siembra permitiendo prolongar el ciclo agrícola hacia una mayor intensificación biológica dentro de las rotaciones de cultivos, acercando más al sistema productivo a los ambientes naturales de cada región.

La intensificación ecológica, siempre viva y diversa, debería obrar positivamente como ocurre con los suelos en la naturaleza, donde la dinámica de los procesos es regulada sin interrupciones por las condiciones ambientales (básicamente radiación, agua y temperatura). Un pastizal natural, una pastura implantada, un monte o una agricultura bien intensificada en el tiempo trabajan a lo largo de todos los días captando la energía del sol e intercambiando

agua por carbono y nutrientes para sostener un sistema dentro de un equilibrio de construcción, consumo y descomposición. Desde una mirada de sustentabilidad empresarial, el desafío entonces depende en gran medida de que el suelo descanse lo menos posible en la medida que los recursos del ambiente, fundamentalmente “agua” y “nutrientes” lo permitan, para la construcción y diseño de las estructuras del carbono en productos de mercado para la empresa y en materia orgánica y biota para suelo.

En este contexto los cultivos de servicios son una de las herramientas que permiten al productor intensificar y diversificar su sistema. Son cultivos cuyo fin no necesariamente es ser cosechados y que se incorporan a las rotaciones para brindar una amplia variedad de beneficios principalmente sobre la conservación y protección del suelo. A pesar de que se los empezó a usar con fines de cobertura de suelo y abonos verdes, con el tiempo se vio que prestaban otros servicios ecosistémicos (de ahí su denominación) de mucha utilidad para sostener el sistema productivo, como por ejemplo mejorar el manejo integrado de las malezas y otras plagas, la provisión de nutrientes y hasta la regulación de las napas. Incluso en el mantenimiento de la calidad del aire u otros fines estéticos y recreativos.

La Red de Cultivos de Servicios, enmarcada en el programa Sistema Chacras de AAPRESID y articulando la coordinación técnica con FAUBA y la Facultad de Ciencias Agrarias de la UNR, tiene como finalidad dar a conocer toda la información disponible a la vez de generar más conocimiento sobre esta tecnología de tanto impacto. Por eso es un placer invitar a compartir esta publicación donde el lector podrá transitar una serie de aspectos que hacen al manejo y resultados de los CS.

Esperamos que lo disfruten y que sea de mucha utilidad para el diseño y montaje sostenible de nuestra agricultura.

4 | RED DE CULTIVOS DE SERVICIOS

RED de CULTIVOS de SERVICIOS Aapresid - BASF

¿Qué es la Red de Cultivos de Servicios?

Es una red de conocimiento e intercambio de experiencias sobre cultivos que prestan servicios para la mejora de los sistemas de producción en las diferentes regiones del país.

¿Para qué la Red?

Para contar con un espacio de generación y/o divulgación de información, consulta e intercambio técnico sobre cultivos de servicios:

Manejo agronómico de los cultivos de servicios;

Comportamiento y adaptación de especies en diversas regiones del país; Prestación de servicios ecosistémicos con foco en aportes de biomasa, carbono y nitrógeno, control de malezas y economía del agua.

Impacto de la inclusión de CS sobre la productividad del sistema

Alternativas de siembra e implantación

Usos “alternativos”: forraje, bioenergía, ambientales.

Casos y experiencias de adopción de cultivos de servicios en sistemas de producción.

Incorporación de cultivos de servicios en sistemas integrados agrícolas ganaderos.

Efectos del pastoreo de cultivos de servicios sobre variables productivas y ambientales.

¿Qué hacemos y quiénes participan?

La red es abierta a todos los productores, técnicos, asociaciones, instituciones y empresas que estén interesados en la temática y que tengan necesidad de generar e intercambiar conocimiento. A nivel experimental contamos cada campaña con un numero variable de sitios de experimentación distribuidos en diferentes regiones de producción del país. A su vez llevamos adelante acciones de transferencia como jornadas a campo, talleres de intercambio y giras técnicas; divulgamos el conocimiento generado y experiencias a través de nuestra web, redes sociales y publicaciones técnicas. A partir de la campaña 2021/22, se incorporó a la red la evaluación de escenarios productivos que incluyen en sus rotaciones cultivos de servicio bajo pastoreo directo. La finalidad de este trabajo es generar información respecto al pastoreo de cultivos de servicios, necesaria para el manejo de este tipo de sistemas.

Las actividades experimentales son llevadas a cabo principalmente en campos de productores pertenecientes a diferentes grupos Regionales de Aapresid, pero también empresas y otras instituciones, quienes ponen a disposición sus campos y maquinaria para la realización de estos. La ejecución de los protocolos experimentales está a cargo de profesionales de la agrono-

mía pertenecientes a grupos Regionales y Chacras de Aapresid.

También participan de la Red de CS diversas empresas de fitosanitarios, maquinaria y semillas forrajeras. Las mismas aportan conocimiento, tecnología y apoyo económico para llevar adelante el proyecto.

La Red de CS tradicionales cuenta con una coordinación técnica, representada por los Dres. Gervasio Piñeiro, Priscila Pinto, Tomás Della Chiesa, Viviana Bondaruk y Paula Berenstecher. Por su parte, los ensayos de pastoreo de CS también cuentan con una coordinación técnica representada por el Dr. Julio Galli y el Ing. Agr. Alex Tomassetti. Ambos equipos brindan soporte científico, analizan datos y exponen los resultados experimentales.

La Coordinación General de la Red de CS, a cargo del programa Sistema Chacras de Aapresid representada por Lina Bosaz quien se encarga de coordinar la ejecución de las diversas actividades planificadas en el proyecto

5 RED DE CULTIVOS DE SERVICIOS |

PARTICIPANTES RED DE CULTIVOS DE SERVICIOS 2023

La presentación del siguiente informe es posible gracias al aporte y trabajo de un gran número de productores, técnicos, instituciones y empresas participantes de la Red. A continuación, los responsables de cada actividad:

Generación de demandas de conocimiento, conducción de ensayos y generación de datos:

- Sitio Paraná: Rodrigo Penco y Ramón Roldán, Facultad de Cs. agropecuarias de la UNER, Regional Paraná.

- Sitio Baldisera: Franco Bardeggia, Regional Los Surgentes – Inriville.

- Sitio San Agustín: Gonzalo Robledo y Franco Scalora.

- Sitio Vila: Celeste Zenklusen, Regional Rafaela.

- Sitio Quenuma: Alfonso González, Juan Peralta, Victoria Campos, Regional Trenque Lauquen.

- Sitio Godoy: Matias Torressi, establecimiento “La buena vida”.

- Sitios Zavalla: Julio Galli y Alex Tomassetti.

- Sitio Victoria: Paola Eclesia, INTA, EEA Paraná.

- Sitio Marcos Juárez: Damián Castro, Gabriel Zurbrigen, INTA Marcos Juárez.

- Sitio Huinca Renancó: Guillermo Rivetti, Regional Del Campillo.

- Sitio Mar del Plata: Hernán Sanchez, Federico Sturla, Regional Juan Manuel Fangio.

Coordinación Técnica (protocolos, análisis de datos e informe): Gervasio Piñeiro; Viviana Bondaruk; Priscila Pinto; Tomas Della Chiesa; Paula Berenstecher (FAUBA-IFEVA-CONICET); Julio Galli y Alex Tomassetti (FCAgr - UNR).

Coordinación General: Lina Bosaz (Sistema Chacras Aapresid).

La Red de Cultivos es posible gracias al apoyo de las siguientes empresas:

• Main Sponsor:

BASF

• Patrocinante: ALENA ALTINA

BIOCERES SEMILLAS GDM

RIZOBACTER SMART CAMPO

• Auspiciantes:

BARENBRUG

BISCAYART

CHACRASERVICIOS

CRIADERO EL CENCERRO

GRUPO AGROEMPRESA

NUSEED PEMAN

SEEDAR ZINMA

6 RED DE CULTIVOS DE SERVICIOS |

Informe Red de Cultivos de Servicios

AAPRESID CAMPAÑA 2023

Bondaruk Viviana1, Gervasio Piñeiro1, Paula Berensecher1, Franco Bardeggia2, Gonzalo Robledo2, Franco Scalora2, Celeste Zenklusen2, Alfonso González2, Juan Peralta2, Rodrigo Penco2, Matias Torressi2, Lina Bosaz2

1 IFEVA- CONICET, Facultad de Agronomía, Universidad de Buenos Aires.

2 AAPRESID, Programa Sistema Chacras

DESCRIPCIÓN GENERAL DE LOS ENSAYOS: SITIOS DE ESTUDIO Y ESPECIES DE CULTIVOS.

La Red de Cultivos de Servicios de AAPRESID-BASF (RCS) durante la campaña 2023 tuvo como objetivo relevar a campo la producción de biomasa de varias especies y variedades de cultivos de servicios (CS) en diferentes agroecosistemas de distintas regiones agroclimáticas de Argentina. Además, se realizó la evaluación de la dinámica temporal de la producción de biomasa y el consumo de agua de cada variedad. En el período analizado se incluyeron seis sitios con ensayos a campo (Baldissera, Godoy, Paraná, San Agustín, Vila, Quenumá) y un sitio con ensayos experimentales en micro parcelas (FAUBA experimental, Tabla 1). Los sitios se distribuyeron en varias provincias

de Argentina: dos en la provincia de Santa Fé (Vila y Godoy), uno en Entre Ríos (Paraná), uno en Córdoba (Baldissera) y dos en Buenos Aires (Quenumá y FAUBA experimental) (Figura 1). Las especies y las variedades sembradas en cada sitio se detallan en el listado de la Tabla 2. Las precipitaciones durante el ciclo de los cultivos de servicios (CS) oscilaron en el rango entre los 455 y 76 mm (Tabla 1). El agua útil disponible al inicio del ciclo del CS también fue variable entre sitios (Tabla 1). La suma de las precipitaciones ocurridas durante el ciclo y el agua inicial, se tomó como un indicador del total de agua disponible para los CS en cada sitio evaluado. Así, se pudieron clasificar los sitios en regiones según su

oferta de agua disponible: sitios más secos (Godoy y Baldissera), sitios intermedios (San Agustín y Quenumá) y sitios más húmedos donde tanto las precipitaciones como el agua en el suelo al inicio fueron abundantes (Paraná, FAUBA experimental y Vila) (Tabla 3). Las temperaturas medias del ciclo (TM) también difieren entre sitios lo cual permite clasificarlos en este sentido también en: TM cálida (Vila, Paraná y San Agustín) y TM intermedia (FAUBA, Baldissera, Godoy y Quenumá) (Tabla 3). Por último, los sitios muestran diferencias en las duraciones de los ciclos que varían entre 211 días (Paraná, el de ciclo más largo) a 147 días (Quenumá, de ciclo más corto) (Tabla 1).

Tabla 1. Caracterización de los sitios de estudio de la Red de Cultivos de Servicios-Campaña 2023. Se detalla su ubicación geográfica, variables climáticas de precipitaciones y temperatura y características descriptivas de los ciclos de cultivo.

7 | RED DE CULTIVOS DE SERVICIOS
Córdoba Santa Fe Buenos Aires Buenos Aires Tucumán Santa Fe Entre Ríos Baldissera Vila Quénuma FAUBA exp. San Agustín Godoy Paraná -33,160; -62,307 -31,132; -61,793 -36,481; -63,111 -34,593; -58,484 -26,822; -64,853 -33,350; -60,495 -31,787; -60,335 110 170 269 455 76 172 406 228 316 288 sd 263 172 428 169 197 147 174 180 186 211 13,8 17,1 11,7 14,9 20,1 14,4 17,3 26/04/2023 05/04/2023 07/06/2023 11/05/2023 03/05/2023 17/04/2023 15/05/2023 12/10/2023 19/10/2023 01/11/2023 04/11/2023 30/10/2023 20/10/2023 12/12/2023 PROVINCIA SITIO LATITUD, LONGITUD PP (MM) AGUA DISPONIBLE DURACIÓN (DÍAS) T MEDIA (°C) FECHA DE SIEMBRA FECHA DE SECADO

Figura 1.

Figura 2.

Figura 1. Mapa de la distribución de los sitios de estudio en la región de la Red de Cultivos de Servicios (RCS)-Campaña 2023.

Figura 2. Mapa de la biomasa producida (kg ha-1) para cada grupo funcional en cada uno de los sitios de estudio de la Red de Cultivos de Servicios (RCS)-Campaña 2023.

8 RED DE CULTIVOS DE SERVICIOS |
1
FIGURA

NOMBRE Y VARIEDAD DEL CS

Mostaza India

Rábano Bokito

Rábano Daikon- CCS 779

Avena Faraona

Cebada Silera INTA

Cebada Negra

Centeno Don Marcelo

Triticale HB90

Triticale Molle

Trébol rojo Bartinto

Vicia Crescencia

Vicia Ascasubi INTA

Vicia Massa

Melilotus Alba

Melilotus Yachay-Munay

NOMBRE CIENTÍFICO FAMILIA

Brassica juncea

Raphanus sativus - sp. oleiferus

Raphanus sativus

Avena sativa

Hordeum hexastichum

Hordeum hexastichum

Secale cereale

Tritico secale

Tritico secale

Trifolium pratense

Vicia villosa

Vicia villosa

Vicia villosa

Melilotus Albus

Melilotus Albus

Crucífera

Crucífera

Crucífera

Gramínea

Gramínea

Gramínea

Gramínea

Gramínea

Gramínea

Leguminosa

Leguminosa

Leguminosa

Leguminosa

Leguminosa

Leguminosa

EMPRESA

Biscayart

Zinma Seeds

El Cencerro

Biscayart Seedar

Grupo Agroempresa

Barenbrug Seedar

Barenbrug

Barenbrug

Biscayart

El Cencerro

Zinma Seeds

Barenbrug Peman

SITIO AGUA DISPONIBLE TEMPERATURA

Godoy Baldissera

San Agustín

Quenumá

Vila Paraná FAUBA

Seco

Seco Intermedio Intermedio Húmedo Húmedo Húmedo

Cálido Intermedio Cálido Intermedio Cálido Intermedio Intermedio

Tabla 3. Clasificación de los sitios de estudio según el agua disponible (AD) para el ciclo productivo (estimado como la suma de las precipitaciones y el agua útil al inicio) y temperatura media (TM) durante el ciclo de cultivo.

Los sitios se clasifican según, el AD en: seco (0-230 mm), intermedio (231-300 mm) y húmedo (301-500 mm). Las categorías de temperatura se agrupan según su TM de acuerdo con: ciclo cálido (17-21°C) y ciclo intermedio (11-16.9°C).

Los colores indican un gradiente que varía desde condiciones más secas y cálidas (tonos naranjas-rojizos) a mayores condiciones de humedad y temperaturas más intermedias (tonos azules).

9 | RED DE CULTIVOS DE SERVICIOS
Tabla 2. Especies y variedades sembradas durante la campaña de la RCS 2023.

RESULTADOS: ENSAYOS EXPERIMENTALES A CAMPO

En la mayoría de los sitios experimentales que realizaron ensayos a campo, se produjeron CS pertenecientes a los tres grupos funcionales (crucíferas, gramíneas y leguminosas) (Figura 2 y Tabla 4). De los sitios con macro parcelas, el más productivo fue Vila con una producción promedio de 7600 kg ha-1, seguido por Quenumá con un valor medio similar (6800 kg ha-1) pero mayor variabilidad entre los CS (Figura 2; Tabla 4). Al analizar la FAUBA, con microparcelas, los valores de producciones de biomasa fueron mayores que en los otros sitios, con una producción promedio, considerando todos los CS, de 9800 kg ha-1. El sitio de menor producción fue Baldissera, al sur de la provincia de Córdoba, con 1800 kg ha-1 en promedio de producción de materia seca. Los resultados encontrados pueden estar asociados a los ciclos de precipitaciones, el agua útil disponible al inicio y las temperaturas ocurridas, coincidentes con valores altos de biomasa en sitios húmedos o intermedios y/o temperaturas más cálidas. Los sitios secos y/o temperaturas intermedias tuvieron menores valores de producción de biomasa (por ejemplo, Baldissera). En particular, en el sitio de Vila, las lluvias fueron un poco superiores que en Baldissera (50 mm más, 110 mm en Baldissera vs. 170 mm en Vila) pero esta mayor disponibilidad de agua se

combinó con una mayor cantidad de agua útil inicial (el doble aproximadamente) y un mayor valor de temperatura media del ciclo con una duración de días de ciclo productivo extensa (Tabla 1).

Es importante también destacar que el sitio de microparcelas experimentales en FAUBA, a fin de lograr una correcta implantación de los cultivos, se duplicó la densidad de siembra planteada para las macro parcelas de los sitios con ensayos a campo, lo cual pudo haber explicado parcialmente también los altos valores de producción de biomasa encontrados. Por otro lado, también es clave mencionar que Paraná, uno de los sitios clasificados como húmedos tuvieron las precipitaciones concentradas principalmente en el período final del ciclo productivo de los cultivos de servicios, lo cual también puede haber condicionado la producción de biomasa encontrada, por una falta inicial de agua.

Al analizar dentro de los grupos funcionales, encontramos que, en cinco de los siete sitios, las gramíneas superaron en valores medios de biomasa producida a las leguminosas y crucíferas (Figura 2; Tabla 4). Existe, además, variabilidad entre especies donde el ranking de especies más productivas se ordena de la siguiente manera: el Centeno Don Marcelo (8300 kg ha-1), las cebadas

(7300 y 7000 kg ha-1, la Negra y la Silera INTA, respectivamente) y ambas variedades de Triticales (Molle y HB90, 6930 y 6900 kg ha-1 respectivamente) dentro de las gramíneas. Por otro lado, en las leguminosas, las Vicia villosa (variedad Ascasubi INTA: 5300, Massa: 4800 kg ha-1 y Crescencia: 4600 kg ha-1) y el Melilotus Alba (variedad blend Yachay Munay: 6800 kg ha-1; variedad pura: 4400 kg ha-1). Mientras que en las crucíferas, la más productiva en promedio fue la Mostaza India (5000 kg ha-1), mientras que los rábanos mostraron una producción de biomasa similar de alrededor de los 5000 kg ha-1 (5000 y 4400 kg ha-1, el Bokito y CCS779 respectivamente, Figura 3). Es para destacar, que en este período analizado (2023), en los sitios con macroparcelas, los melilotus produjeron, sorprendentemente, altos valores de biomasa en ambos sitios de la provincia de Santa Fe (10000 y 3500 kg ha-1 en Vila y Godoy, respectivamente). Además, a pesar de las escasas precipitaciones ocurridas en San Agustín (76 mm, aunque con un agua útil inicial alta de 187mm, sitio intermedio pero cálido), la producción de Vicia villosa (en ambas variedades cultivadas: Massa y Ascasubi) fue superior a tres de los seis sitios totales (Tabla 4).

10 RED DE CULTIVOS DE SERVICIOS |
11 | RED DE CULTIVOS DE SERVICIOS
Crucíferas Gramíneas Leguminosas VICIAVILLOSACRESCENCIA RABANOCCS779 AVENASATIVA FARAONA AVENASATIVA FARAONA RÁBANOBOKITOMOSTAZAINDIARÁBANOCCS779CENTENODONMARCELOCEBADANEGRACEBADASILERAINTA AVENASATIVAFARAONATRITICALEMOLLE TRITICALEHB90 MELILOTUS YACHAY-MUNAYVICIAVILLOSAMASSAVICIAVILLOSAASCASUBIINTAVICIAVILLOSA CRESCENCIA MELILOTUSALBA: BARALBO TRÉBOLROJO:BARTINTO CULTIVOS
LOCALIDAD PRODUCCIÓN
PROMEDIO
LOS CULTIVOS GRUPO FUNCIONAL CULTIVO PRODUCCIÓN DE BIOMASA (KG HA-1) CENTENO DON
CEBADA SILERA INTA TRITICALE HB90 TRITICALE
CEBADA
VICIA
TRÉBOL
17606 14969 14880 13787 11154 10558 10288 9910 9062 7899 6215 5421 5225 4940 4665 FAUBA 9772 Gramínea Gramínea Leguminosa Leguminosa Leguminosa Leguminosa Crucífera Crucífera
Figura 3. Producción de biomasa aérea (en Kg MS ha-1) de cada cultivo dentro del correspondiente grupo funcional (crucíferas en verde, gramíneas en azul y leguminosas en fucsia) para los sitios pertenecientes a la RCS de la Campaña 2023.
BIOMASA
BIOMASA
TODOS
MARCELO
MOLLE
NEGRA MELILOTUS Yachay - Munay AVENA SATIVA FARAONA VICIA VILLOSA ASCASUBI INTA RABANO CCS 779 MELILOTUS ALBA: Baralbo MOSTAZA INDIA RABANO BOKITO VICIA VILLOSA MASSA
VILLOSA CRESCENCIA
ROJO: Bartinto
12 | RED DE CULTIVOS DE SERVICIOS LOCALIDAD PRODUCCIÓN BIOMASA PROMEDIO TODOS LOS CULTIVOS GRUPO FUNCIONAL CULTIVO PRODUCCIÓN DE BIOMASA (KG HA-1) MELILOTUS Yachay - Munay TRITICALE MOLLE CENTENO DON MARCELO TRITICALE HB90 MOSTAZA INDIA VICIA VILLOSA CRESCENCIA CEBADA SILERA INTA CEBADA NEGRA VICIA VILLOSA MASSA VICIA VILLOSA ASCASUBI INTA AVENA SATIVA FARAONA RABANO CCS 779 RABANO BOKITO MELILOTUS ALBA: Baralbo CEBADA NEGRA CENTENO DON MARCELO CEBADA SILERA INTA TRITICALE HB90 VICIA VILLOSA MASSA AVENA SATIVA FARAONA TRITICALE MOLLE VICIA VILLOSA CRESCENCIA VICIA VILLOSA ASCASUBI INTA RABANO CCS 779 RABANO BOKITO MOSTAZA INDIA TRÉBOL ROJO: Bartinto MELILOTUS Yachay - Munay MELILOTUS ALBA: Baralbo VICIA VILLOSA ASCASUBI INTA VICIA VILLOSA MASSA CEBADA NEGRA MELILOTUS Yachay - Munay AVENA SATIVA FARAONA TRITICALE HB90 MELILOTUS ALBA: Baralbo CENTENO DON MARCELO CEBADA SILERA INTA TRITICALE MOLLE TRÉBOL ROJO: Bartinto 10633 10499 9981 9222 9086 8458 8175 7874 7019 6385 6168 5113 5003 2870 13546 10240 9312 9042 8344 8089 7764 7418 7121 4935 4675 4560 3847 2181 1314 7500 5446 5268 4821 4732 3929 3929 2946 2857 2679 2007 VILA QUENUMÁ SAN AGUSTÍN 7606 6825 4348 Gramínea Gramínea Gramínea Gramínea Gramínea Gramínea Gramínea Gramínea Leguminosa Leguminosa Leguminosa Leguminosa Leguminosa Leguminosa Leguminosa Leguminosa Leguminosa Leguminosa Leguminosa Crucífera Crucífera Crucífera

LOCALIDAD

PARANÁ

PRODUCCIÓN BIOMASA

PROMEDIO TODOS LOS CULTIVOS

GRUPO FUNCIONAL

Gramínea

GODOY

Crucífera

Gramínea

Leguminosa

Crucífera

Leguminosa

Crucífera

Gramínea

Leguminosa

Gramínea

Leguminosa

Crucífera

Gramínea

Leguminosa

Gramínea

Leguminosa

Crucífera

CULTIVO

AVENA SATIVA FARAONA

CENTENO DON MARCELO

CEBADA SILERA INTA

TRITICALE MOLLE

CEBADA NEGRA

RABANO CCS 779

RABANO BOKITO

TRITICALE HB90

VICIA VILLOSA ASCASUBI INTA

VICIA VILLOSA CRESCENCIA

VICIA VILLOSA MASSA

MELILOTUS Yachay - Munay

MELILOTUS ALBA: Baralbo

MOSTAZA INDIA

TRÉBOL ROJO: Bartinto

RABANO BOKITO

CENTENO DON MARCELO

CEBADA SILERA

Gramínea

Leguminosa

Crucífera

Leguminosa

Tabla 4. Ranking de producción de biomasa de cada sitio experimental, de la especie más productiva a la de menor producción.

PRODUCCIÓN DE BIOMASA (KG HA-1)

13 RED DE CULTIVOS DE SERVICIOS |
BALDISSERA 3642 2877 1776
INTA TRITICALE HB90 MELILOTUS Yachay - Munay CEBADA NEGRA VICIA VILLOSA MASSA TRÉBOL ROJO: Bartinto VICIA VILLOSA ASCASUBI INTA RABANO CCS 779 TRITICALE MOLLE MELILOTUS ALBA: Baralbo AVENA SATIVA FARAONA VICIA VILLOSA CRESCENCIA MOSTAZA INDIA CENTENO DON MARCELO AVENA SATIVA FARAONA TRITICALE HB90 CEBADA NEGRA TRITICALE MOLLE CEBADA SILERA INTA VICIA VILLOSA CRESCENCIA RABANO BOKITO RABANO CCS 779 VICIA VILLOSA ASCASUBI INTA VICIA VILLOSA MASSA TRÉBOL ROJO: Bartinto 6810 6550 5128 4400 4320 4250 3960 3840 3190 3010 2970 1900 1810 1450 1050 4411 4295 4293 4254 3449 3202 3040 2383 2375 2100 2031 2016 1859 1761 1680 3345 3025 3008 2877 2471 2254 1132 987 881 654 458 220

DINÁMICA TEMPORAL DE LA PRODUCCIÓN DE BIOMASA DE LOS CULTIVOS DE SERVICIOS

En los sitios secos, como Baldissera y Godoy, las especies de gramíneas (Avena sativa, Triticale, las variedades de Cebada y Centeno Don Marcelo) fueron los CS más rápidos en generar el pico de biomasa, cercano a los 128 y 107 días, respectivamente (Figura 4). Sin embargo, también, en Godoy, una variedad de rabanito (Bokito) superó hacia final del ciclo al resto de las especies (Figura 4b).

En el caso de los sitios de agua disponible intermedios (San Agustín y Quenumá), hubo diferencias en las especies más rápidas en alcanzar altos valores de producción de biomasa (Figura 5). Por un lado, en el sitio Quenumá (a pesar de haber tenido menores valores de temperatura media durante el ciclo, fue el más frío de todos con 11°C) logró en casi 120 días 6400 kg ha-1 y en 150 días 13500 kg ha-1, generados por Cebada negra. Esto permite afirmar que, incluso con una ventana temporal corta, pero con alta disponibilidad hídrica, la producción de los CS en dicha región es muy buena, destacando principalmente a las especies de gramíneas, aunque las variedades de vicias también obtuvieron resultados prometedores (ver Tabla 4). Por otro lado, a los 105 días en San Agustín fue una especie de gramínea la más rápida en lograr el pico de producción de biomasa, mientras que ya a los 140 días, las vicias superaron al resto de las especies y alcanzaron una producción de biomasa entre 5000-7000 kg ha-1. Estos resultados son notablemente destacables, ya que este sitio exhibió una de las mayores producciones de las vicias en comparación con el resto de los sitios analizados.

Sitios secos

T °C: Intermedio

a. b. Baldissera Godoy Gramíneas

FS: 17/4 C9

FS: 26/4

AVENA SATIVA FARAONA

CEBADA NEGRA

CEBADA SILERA INTA

CENTENO DON MARCELO TRITICALE HB90

TRITICALE MOLLE

VICIA VILLOSA CRESCENCIA

VICIA VILLOSA MASSA

VICIA VILLOSA ASCASUBI INTA

TRÉBOL ROJO: Bartinto

MELILOTUS ALBA: Baralbo

MELILOTUS Yachay-Munay

RÁBANO Bokito

RÁBANO CCS 779

MOSTAZA INDIA

Figura 4. Ranking de producción de biomasa de cada sitio experimental, de la especie más productiva a la de menor producción.

Sitios intermedios

a. b. San Agustín Quenumá Cebada negra Cebada Negra

Vicia villosa Ascasubi

V v. Massa

Cebada negra

FS: 3/5

AVENA SATIVA FARAONA

CEBADA NEGRA

CEBADA SILERA INTA

CENTENO DON MARCELO TRITICALE HB90

FS: 7/6

TRITICALE MOLLE

VICIA VILLOSA CRESCENCIA

VICIA VILLOSA MASSA

VICIA VILLOSA ASCASUBI INTA TRÉBOL ROJO: Bartinto

MELILOTUS ALBA: Baralbo

MELILOTUS Yachay-Munay

RÁBANO Bokito

RÁBANO CCS 779

MOSTAZA INDIA

Figura 5. Dinámica temporal de la producción de biomasa aérea (Kg MS ha-1) a lo largo de los días desde la siembra para todas las especies cultivadas en los sitios intermedios de San Agustin (a) y Quenumá (b).

C9

14 | RED DE CULTIVOS DE SERVICIOS

Por último, en los sitios húmedos (con mayor agua útil al inicio y mayores precipitaciones; Paraná, Vila y FAUBA), se observaron nuevamente especies de gramíneas (Avena, Triticale Molle y Centeno Don Marcelo) como las más rápidas y las más productivas al generar altos valores de biomasa (Figura 6). Sin embargo, es importante destacar particularmente que en Vila

fueron ambas variedades de rabanitos las más precoces en generar altos valores de producción (con valores que superaron los 9000 kg ha-1) a los 120 días (Figura 6b); mientras que en FAUBA es otra crucífera, la Mostaza India, la que supera en biomasa producida al resto de las especies a los 100 días (Figura 6c). Lo cual sugiere que para sitios que tienen valores altos de agua

disponible (superiores a 300 mm) y con una precipitación aproximada de 200 mm durante ciclo productivo, con temperaturas medias cálidas (~17°C) a intermedias y ventanas de producción cortas, las crucíferas (como los rabanitos y la mostaza) son una alternativa muy destacable por los altos valores de biomasa observados en poco tiempo.

a.

T °C: Cálido

FS: 15/5

Sitios húmedos

b.

T °C: Cálido Paraná Vila

1° Rabano 779

2° Rabano Bokito

AVENA SATIVA FARAONA

CEBADA NEGRA

CEBADA SILERA INTA CENTENO DON MARCELO TRITICALE HB90

1°Avena sativa

2° Centeno

FS: 5/4

c. Fauba

T °C: Intermedio

1° Centeno Don Marcelo

c. Fauba

TRITICALE MOLLE

VICIA VILLOSA CRESCENCIA

T °C: Intermedio

VICIA VILLOSA MASSA

VICIA VILLOSA ASCASUBI INTA

TRÉBOL ROJO: Bartinto

1°Triticale Molle

1° Mostaza India

MELILOTUS ALBA: Baralbo

MELILOTUS Yachay-Munay

RÁBANO Bokito

RÁBANO CCS 779

1° Mostaza India

2° Avena sativa 1°Triticale Molle

FS: 11/5

Dinámica temporal de la producción de ) a lo largo del ciclo del cultivo, desde la siembra, para todas las especies cultivadas en los sitios húmedos de Paraná (a), Vila

1° Centeno Don Marcelo FIGURA 6

MOSTAZA INDIA

CONSUMO DE AGUA POR CULTIVOS DE SERVICIOS

2° Avena sativa

FS: 11/5

El consumo de agua aparente por parte de los distintos cultivos de servicios se calculó en base a las precipitaciones ocurridas durante el ciclo, el agua útil al inicio y al final del ciclo, en milímetros para cada cultivo, según la Ecuación 1:

Consumo de agua por cultivo = (Agua útil inicial + Precipitaciones) – Agua útil final (Ecuación 1)

Al analizar el consumo aparente de agua de los CS en cada sitio evaluado, se encontraron valores altos en aquellos sitios

donde ocurrieron más precipitaciones (Paraná y Quenumá), aunque también mostró altos valores de consumo el sitio de Vila asociado probablemente a que es el sitio que más biomasa produjo en promedio (Figura 7).

15 RED DE CULTIVOS DE SERVICIOS |
BANO

Figura 7. Consumo de agua aparente (en mm), promedio para todas las especies evaluadas, y en cada sitio de la Red de Cultivos de Servicios (RCS)-Campaña 2023.

Consumo de por cultivo

FIGURA 8

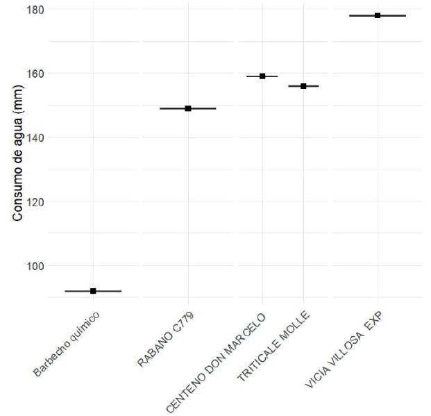
Al realizar un análisis comparativo del consumo de agua según el grupo funcional y el barbecho largo, controlado con herbicidas (Figura 8), se encontraron diferencias entre el promedio del barbecho largo que consumió 230 mm, mientras que la gran mayoría de los cultivos superaron esa media (Tabla 5).

Figura 8. Consumo de agua aparente (en mm), promedio para cada uno de los cultivos de servicio de cada grupo funcional y el barbecho largo. Se promediaron los valores de los distintos sitios de estudio de la Red de Cultivos de Servicios (RCS)-Campaña 2023.

Consumo de agua (mm)

16 | RED DE CULTIVOS DE SERVICIOS Paraná Vila Quenumá Sitios SanAgustín Godoy Baldissera 100 200 300 400 Consumo de agua (mm)
Yachay-Muna y
VICIAVILLOSACRESCENCIA RABANOCCS779 AVENASATIVA FARAONA
MOSTAZAINDIARÁBANOCCS779CEBADASILERAINTATRITICALEHB90AVENASATIVA FARAONA CENTENODONCEBADAMARCELONEGRATRITICALEMOLLEVICIAVILLOSA ASCASUBIINTA TRÉBOLROJO:BartintoVICIAVILLOSAMASSA VICIAVILLOSA CRESCENCIA MELILOTUSYachay-Munay
BARBECHOQUÍMICO

Para evaluar la diferencia entre el consumo de agua aparente de los CS (Consumo aparente Cultivo de servicio) y el consumo de agua aparente de no realizar ningún CS (Consumo aparente Barbecho) se realizó a través de la estimación del costo hídrico (Ecuación 2). Costo hídrico (mm) = Consumo aparente

Cultivo de servicio – Consumo aparente Barbecho (Ecuación 2)

Las gramíneas, en promedio consumieron menos que el valor promedio del barbecho, principalmente dirigido por el menor consumo encontrado para Centeno Don Marcelo, Triticale Molle y Cebada Negra (aunque estos dos últimos únicamente registrados en Baldissera y San Agustín). En relación con esto último, para analizar más en detalle el patrón de consumo por especie y dado las características intrínsecas de cada sitio, se realizó una evaluación desglosada del consumo aparente de cada especie en cada sitio en particular. Se encontró que en casi todos los sitios (excepto en Vila) el barbecho químico tenía un consumo inferior al resto de los cultivos de servicio (Figuras 9, 10 y 11). En el caso del sitio Vila, casi todos los grupos funcionales mostraron valores de consumo inferior al barbecho (el detalle de los cultivos: Mostaza india= 266mm, Vicias villosas= 270mm, Cebada Silera= 266mm y Rabanito CCS 779= 260mm) a excepción de gramíneas con un costo hídrico de 4 mm con respecto al barbecho largo, debido principalmente al mayor consumo de agua de la Avena sativa (296 mm, Tabla 6).

Tabla 5. Consumo de agua aparente (estimado según Ecuación 1 en mm) y el costo hídrico (la diferencia en mm con relación al barbecho largo), promedio de todos los sitios para cada grupo funcional y el barbecho químico.

Al momento no se cuenta con datos de agua de la FAUBA ni tampoco de Godoy, con lo cual sólo se pudo reportar datos de un sitio seco (Baldissera) y fue en el único sitio donde se registró el mayor costo hídrico de todos los grupos funcionales con casi todas las especies consumiendo más que el barbecho largo con una diferencia en promedio de 70

mm (Tabla 6; Figura 9). Sin embargo, en los otros sitios, el costo hídrico encontrado fue menor al sitio seco, siendo variable entre 30 mm en promedio (San Agustín) a pocos milímetros de diferencia con el barbecho (entre 4-6 mm, Quenumá y Paraná) a favor de este último (Tabla 6; Figura 10 y 11).

Tabla 6. Consumo aparente promedio (estimado según Ecuación 1) y costo hídrico (estimado según Ecuación 2) de cada sitio en (mm) para cada grupo funcional y el barbecho químico.

17 RED DE CULTIVOS DE SERVICIOS |
GRUPO FUNCIONAL CONSUMO DE AGUA APARENTE (CA; MM) COSTO HÍDRICO (CA CULTIVOS SERVICIOCA BARBECHO; MM) Barbecho químico Leguminosas Crucíferas Gramíneas 231 272 255 217 NA 41 24 -14
Baldissera San Agustín Quenumá Paraná Vila Barbecho químico Leguminosas Crucíferas Gramíneas Barbecho químico Leguminosas Gramíneas Barbecho químico Leguminosas Crucíferas Gramíneas Barbecho químico Leguminosas Crucíferas Barbecho químico Leguminosas Crucíferas Gramíneas 92 178 149 157 183 217 210 266 270 268 273 400 404 403 277 270 263 281 NA 86 57 65 NA 34 27 NA 4 2 7 NA 4 3 NA -7 -14 4 SITIO GRUPO FUNCIONAL CONSUMO APARENTE (CA; MM) COSTO HÍDRICO (CA CULTIVOS SERVICIO -CA BARBECHO; MM)

Figura 9. Consumo de agua (en mm) promedio para cada uno de los cultivos de servicio de cada grupo funcional y el barbecho para el sitio seco (Baldissera), no se cuenta con datos para el sitio Godoy de la Red de Cultivos de Servicios (RCS)-Campaña 2023.

Figura 10. Consumo de agua (en mm) promedio para cada uno de los cultivos de servicio de cada grupo funcional y el barbecho para los sitios intermedios (San Agustín, a y Quenumá b) de la Red de Cultivos de Servicios (RCS)-Campaña 2023.

Consumo de agua (mm)

Consumo de agua (mm)

Gramíneas Barbecho Leguminosas Crucíferas Barbecho Leguminosas Gramíneas a. San Agustín b. Quenumá RABANOCCS779 RED DE CULTIVOS DE SERVICIOS 18 | Gramíneas Barbecho Leguminosas a. Baldissera Crucíferas RÁBANOCCS779 BARBECHOQUÍMICO CENTENO DONMARCELOTRITICALEMOLLE VICIAVILLOSACRESCENCIA Consumo de agua (mm) 180 160 140 120 100
BARBECHOQUÍMICORÁBANOCCS779MOSTAZAINDIA CENTENODONMARCELOTRITICALEHB90VICIAVILLOSAMASSATRÉBOLROJO:Bartinto BARBECHOQUÍMICO AVENASATIVACICLOLARGO FARAONA
CENTENODON
ASCASUBIINTA
RED DE CULTIVOS DE SERVICIOS
TRITICALEHB90
MARCELOCEBADANEGRA VICIAVILLOSA
MELILOTUS

a. Paraná

Consumo de agua (mm)

Figura 11.

b. Vila

Crucíferas Barbecho Leguminosas Crucíferas Barbecho Leguminosas Gramíneas

Figura 11. Consumo de agua aparente (en mm) promedio para cada uno de los cultivos de servicio de cada grupo funcional y el barbecho para los sitios húmedos (Paraná, a y Vila b) de la Red de Cultivos de Servicios (RCS)-Campaña 2023.

Consumo de agua (mm)

19 RED DE CULTIVOS DE SERVICIOS |

Conclusiones

En cinco de los siete sitios, las gramíneas superaron en valores medios de biomasa producida a las leguminosas y crucíferas. Sin embargo, en dos sitios fueron especies de leguminosas las que mayor biomasa produjeron con valores entre 7500 y 10600 kg ha-1: Vicia villosa (Ascasubi INTA) y Melilotus Yachay- Munay Blend (San Agustín y Vila, respectivamente). Destacando de esta manera la gran capacidad de ambas especies de generar una importante cantidad de biomasa inclusive con intermedias a bajas precipitaciones (en comparación con otros sitios) y constituyéndose como una alternativa atractiva para regiones agroclimáticas más cálidas.

En relación con la dinámica temporal de la producción de biomasa de las distintas especies de CS, los sitios más secos mostraron a especies de gramíneas como las más rápidas, considerando 110 a 120 días de ciclo de cultivo, aunque sólo generando alrededor de 3000 kg ha-1 de biomasa. Los sitios de intermedia disponibilidad hídrica también mostraron evidencias de que las gramíneas son las especies más precoces en generar alta producción de biomasa, aunque uno de los sitios mostró valores superiores en especies de leguminosas al superar la ventana de 140 días (lo cual sigue implicando una duración de ciclo relativamente corta). Por último, los húmedos, se observaron nuevamente especies de gramíneas (con Avena, Triticale Molle y Centeno Don Marcelo) como las más rápidas y las más productivas al generar altos valores de biomasa. Sin embargo, es importante destacar la precocidad de Mostaza India y las dos variedades de rabanitos en mostrar de manera anticipada altos valores de biomasa (entre 6000 y 9000 kg ha-1 a los 100 y 120 días en FAUBA y Vila, respectivamente).

El consumo de agua aparente evaluado tanto en los CS como en el barbecho mostró que en promedio los CS superaron en consumo de agua al barbecho (que en promedio consumió 230 mm), a excepción de algunas especies de gramíneas. También, es interesante destacar que se encontró ciertos valores de costos hídricos altos en aquellos sitios donde la disponibilidad hídrica fue baja mientras que los menores valores fueron reportados en aquellos sitios tienen alta disponibilidad hídrica. Esto último, resalta la noción de que, al disponer de agua, la realización de CS no tiene un costo de agua excesivamente importante y que no realizar CS dejando el suelo en barbecho asimismo implica una pérdida de aprovechamiento de agua. Sin embargo, estos resultados presentados en este informe de avance son preliminares y deberán ser evaluados considerando un mayor número de años.

21 RED DE CULTIVOS DE SERVICIOS |

Sembrar sinergias:

experiencias de intersiembra de cultivos de granos y de servicios

Los cultivos de servicios ya no solo son una opción entre dos cultivos de renta, sino en intersiembras. Ventajas y desafíos de diversificar en tiempo y espacio.

Los cultivos de servicios (CS) son cada vez más utilizados entre productores que buscan los más diversos objetivos: desde aumentar la biodiversidad, fortalecer la estructura del suelo, proveer nutrientes, reducir la erosión, hasta competir con malezas.

Su mayor uso se da entre cultivos de renta sucesivos. Sin embargo, hay quienes van por más y apuestan a los CS en intersiembra con cultivos de renta. La Red de Cultivos de Servicios de Aapresid recopila experiencias en esta técnica en distintas regiones.

En la región central Marcelo Arriola testea intersiembras en campos de Vedia y Pergamino, en el norte de Buenos Aires. Uno de sus objetivos es corregir el desfasaje entre los ciclos de C y N dentro del sistema.

“Las pasturas ejemplifican muy bien la sinergia entre ciclos, no sólo porque están vivas y generando rizodeposiciones - claves en la síntesis de materia orgánica - los 365 días del año, sino también porque en ellas conviven leguminosas y gramíneas”, explica.

En esa convivencia, las micorrizas - que pueden entenderse como simbiosis entre ciertos hongos del suelo y las raíces de las plantas - actúan facilitando el traspaso de N de las leguminosas a las gramíneas, N que estas usarán para fijar carbono y generar materia orgánica. “Ese nitrógeno biológico es mucho más eficiente que el proveniente de fertilizantes ureicos”,

advierte Arriola. Además, al coexistir ambos ciclos se reducen las emisiones de óxido nitroso (N2O), ya que ese N fijado por la leguminosa es aprovechado inmediatamente por la gramínea.

“Lo que busco con las intersiembras es imitar esa dinámica de las pasturas, usando por ejemplo vicia con trigo, o maíz con crotalaria”, explica. Para vicia con trigo la siembra es mezclada, mientras que en crotalaria y maíz, el CS se distribuye la en la línea donde iría el fertilizante durante la siembra del maíz.

Arriola señala algunos puntos en los que conviene seguir profundizando. “En maíz con crotalaria, una de las limitantes es que no hay buenos inoculantes para la leguminosa, y esto puede afectar la

En trigo, el N que provee la vicia tampoco alcanzaría a suplantar las necesidades de fertilización y potenciar los rindes. “Pero en este caso, habría que evaluar si esto puede deberse a que, en lotes con larga historia de fertilización ureica, la fijación biológica de N y la biología de suelos puede verse afectada, siendo necesario un “reseteo” del lote con varios años sin aplicar fertilizante para ver diferencias, como ya sugieren algunos investigadores”, explica.

Para Arriola, otro motivo detrás de los intercultivos es el control de malezas. “Si bien los CS como antecesores son una buena herramienta, las intersiembras ayudarían a subir la apuesta, en este caso por efecto alelopático”.

Foto 1. Una de las apuestas de Sandro Raspo: intersiembras de trigo sarraceno y maíz.

El centeno por ejemplo, genera alelopatías que inhiben malezas como el Yuyo colora do, pero ese efecto se manifiesta mientras el cultivo está vivo. Cuando el CS se seca de forma previa a la siembra del cultivo siguiente, el efecto alelopático se interrum pe y el control se reduce a la barrera física que genera el residuo del CS”.

“Estoy viendo resultados promisorios en control de malezas con siembras de soja sobre CS de centeno que son rolados sin llegar a matarse. Sin embargo - y aquí otra punta a seguir estudiando -, hay que encontrar las combinaciones de CS/culti vo de renta que menos comprometan los rindes, ya que si bien está rolado, ese centeno sigue consumiendo agua que podría usar la soja”, cierra Arriola.

Sandro Raspo es otro productor que usa esta herramienta. En su caso, uno de los objetivos principales es ampliar las ventanas de siembra óptimas - que suelen ser breves - para que los CS expresen su potencial.“Las siembras anticipadas de los CS sobre el antecesor aún en pie permiten captar mejor las lluvias otoñales y lograr un CS implantado y en activo crecimiento antes del período seco”.

curso las de invierno, asegurando un continuo verde a lo largo del año. Cuando llega la primavera, seca con rolo o siembra sobre verde.

En campos mixtos, el productor siembra CS dentro de los maíces de primera, que explotan después de la cosecha gruesa, brindando una reserva forrajera, como rollo o silo, antes que se interrumpa el CS y los lotes sigan su curso hacia trigo o arveja.

En el norte

A 30 km de Charata, Chaco, Nicolás Listello, apuesta a las intersiembras para ampliar ventanas de siembra de los CS. En su caso, siembra CS en el mismo momento que el maíz, lo que mejora la implantación del CS, ya que la ventana de siembra tradicional, entre la madurez fisiológica del maíz y el corte de temporada de lluvias, es muy pequeña.

Raspo incorpora la semilla del CS con la fertilizadora altina. “Aunque es más lento y costoso, es la mejor alternativa a las siembras al voleo, que conspiran contra la correcta implantación cuando hay altas temperaturas y baja humedad relativa (condiciones típicas de las siembras adelantadas).

Las combinaciones varían según la región. Para el centro del país, combina especies de verano (como moha y trigo sarraceno) con una de invierno (como triticale, centeno o vicia). Cuando vienen las primeras heladas, las estivales mueren y siguen su

Foto. En Chaco, Nicolás Listello siembra de forma simultánea CS de vicia con maíz.

En cuanto a especies de CS, Listello se inclina por brachiaria o vicia. Además tuvieron experiencias con las leguminosas forrajeras de verano Aeschynomene y Macroptilium, donde observaron respuestas favorables en el maíz por su aporte de N. El secado de la vicia se da entre septiembre y octubre, y como las demás son especies estivales, pasan el invierno secas, para suprimirse cuando rebrotan en primavera; aunque si el año viene seco, los rebrotes sirven como recurso extra de pastoreo.

Para Listello hay algunas claves que no pueden fallar. Primero: lograr uniformidad para un buen control de malezas. “En el caso de brachiaria, al ser una semilla pequeña y sembrada a escasa densidad, la distribución se dificulta, por lo que todavía estamos adaptando la sembradora”. Otra clave es planificar los herbicidas preemergentes a usar en el barbecho previo, para evitar fitotoxicidad.

Otro punto es el control de lepidópteros como la oruga de leguminosas que retrasa el crecimiento de la vicia, y que puede ser difícil de controlar cuando el maíz está muy desarrollado.

José Ignacio Aguilar Pérez, es otro productor del norte que siembra brachiaria al sesgo del maíz, uno o dos días antes. A esta asociación se suma una leguminosa como poroto mung o crotalaria para aportar N.

En el sur

En la zona de Tandilia, Santiago Guazzelli intercala tres hileras de trigo con una de vicia en busca de cubrir necesidades de N. “Fertilizamos P al voleo previo a la siembra y sembramos ambas especies en simultáneo, usando los cajones de semilla y de fertilizante de la sembradora en donde tapamos alternadamente las bocas de salida según la especie a

colocar en cada hilera”, explica. Siembran a mediados de junio, usando en trigo los kg de semilla ha-1 habituales para la zona y en vicia, un 70/80% de los normalmente usados para el CS puro. Pero al estar concentrados en menos surcos, ambos cultivos fueron bien densos. Los resultados abren ‘puntas’ a seguir investigando. “Aun con un 25% menos de líneas de trigo sembradas en el lote, no encontramos diferencias de rinde respecto de lotes con trigo puro, lo que puede dar indicio de un efecto de compensación”.

“Además, cuando probamos distintas dosis de N en estas siembras intercaladas vimos que, a partir de los 120 kg N ha-1 no hubo respuesta a la fertilización en el trigo. Cabe aclarar que se trató de una campaña mala, con heladas que comprometieron los rindes (2000-3000 kg ha-1), por lo que estamos evaluando en laboratorio si el poco N requerido por el trigo provino de la fijación biológica del CS, o del suelo”.

En cuanto al efecto sobre el control de malezas, Guazzelli tuvo buenos resultados. “Usamos mezclas de pre-emergentes y no

hubo necesidad de volver a aplicar en post emergencia. Tampoco necesitamos aplicar fungicidas”.

Sin embargo, en materia de plagas Guazelli advierte que sería interesante estudiar si la mayor diversidad generada por los intercultivos tiene efectos significativos para cortar el avance y mantener “a raya” ciertos insectos o enfermedades.

Otros desafíos

Como toda nueva herramienta, las intersiembras plantean muchos desafíos. En términos económicos resultan interesantes, con costos de insumos y siembra más bajos que los de un barbecho químico. Además, los beneficios ambientales y agronómicos adicionales, aunque difíciles de cuantificar, contribuyen positivamente al margen económico global.

Sin embargo, queda mucho por aprender, en aspectos como la adaptación de maquinaria, la búsqueda de las combinaciones más favorables para cada ambiente y objetivo, o el análisis de los impactos sobre el control de plagas y la dinámica de nutrientes.

Foto. Guazzelli juega con intersiembras de trigo y vicia en el sur de Bs As. (Fte. @Santiguazzelli)

Red de Evaluación del pastoreo de Cultivos de Servicio

Avances 2023-2024

1 Facultad de Ciencias Agrarias, UNR;

2 AAPRESID;

3 INTA

INTRODUCCIÓN

A partir del interés expresado por un numeroso y diverso grupo de productores, a lo largo de las tres últimas campañas (2021-22, 2022-23 y 2023-24), la Asociación Argentina de Productores en Siembra Directa (AAPRESID), ha trabajado junto a la Facultad de Ciencias Agrarias de la Universidad Nacional de Rosario (FCA-UNR) en el estudio y análisis de sistemas agropecuarios integrados (agrícola-ganaderos) distribuidos en una amplia región agroclimática. En este contexto se constituye la “Red de evaluación del pastoreo de cultivos de servicios” abarcando diversos escenarios productivos (sitios experimentales), incluyendo en sus rotaciones cultivos de servicios agroecológicos (CS) pastoreados y sin pastorear. La incorporación de la ganadería a sistemas agrícolas puros permitiría aumentar la rentabilidad de los sistemas de producción, pero además y debido a su efecto en la productividad de biomasa y reciclaje de nutrientes, el pastoreo directo de los CS puede ser una herramienta de utilidad para aumentar la sustentabilidad de estos sistemas integrados. Para esto es relevante estudiar y proponer los criterios particulares que se deben considerar para realizar dicho pastoreo más allá del método de pastoreo

a emplear (distintas variantes de métodos rotativos o continuos) o las categorías de animales (vacas, vaquillonas de recría, novillos, etc) que se utilicen. Un pastoreo criterioso debería tener como objetivo, mantener los servicios que brindan los CS no pastoreados, agregándole los beneficios y sinergias que ofrece el pastoreo en sí mismo.

Por lo tanto, y basado en experiencias previas; se propuso que la intensidad del pastoreo debería ser moderada, evitando en lo posible el manchoneo de las pasturas. Este criterio general abarca a todas las especies forrajeras, los objetivos productivos, los tipos de animales y métodos de pastoreo. Este pastoreo de intensidad moderada, se define a través de la altura remanente de las plantas, que debería mantenerse entre 15-20 cm. Este remanente permite mantener altas las coberturas del suelo, las tasas de consumo y calidad del forraje ingerido por los animales. Por otro lado, permite mejoras adicionales de la calidad del suelo, la productividad de las pasturas, la producción de carne o leche y, en consecuencia, en la sustentabilidad general del sistema integrado. Luego del período de pastoreo (al momento de la supresión del CS) debe quedar una biomasa de forraje remanen-

te menor al CS no pastoreado que facilite una buena siembra del cultivo de renta sucesor.

Se presenta un avance con la información disponible hasta el momento de la nueva campaña de la Red de Evaluación del Pastoreo de Cultivos de Servicio (RPCS) para el ciclo 23-24 y se realiza una valuación de la integración de la producción agrícola y la ganadera con la información de la campaña 21-22. La RPCS abarca distintas regiones del país, a través de la participación de productores socios AAPRESID comprometidos en la labor de medir determinadas variables de ambas producciones en sus propios sitios. La metodología de evaluación de los sitios experimentales se sostiene con los mismos criterios y protocolos que las campañas anteriores. En algunos casos, se repiten los ciclos de producción sobre la misma superficie, permitiendo la evaluación continua de los sistemas integrados a través del tiempo.

Se presenta información parcial de la Campaña 23-24, de 5 sitios experimentales: Marcos Juárez y Huinca Renancó (Córdoba), Zavalla (Santa Fe), Mar del Plata (Buenos Aires) y Victoria (Entre Ríos, Figura 1).

Tomassetti, A.1, Bosaz, L. 2, Nalino, M. 1, Ceaglio, E. 1, Van Kruijssen 1, Eclesia, P.3, Zurbriggen, G.1, Castro, D.3, Hernán Sanchez 2, Federico Sturla 2, Rivetti, G. 2, Galli, J.1
25 RED DE CULTIVOS DE SERVICIOS |

Sitios Pastoreo CS 2023

Figura 1. Ubicación de los sitios experimentales 2023.

siguientes variables: producción de biomasa del CS, agua útil disponible para el cultivo sucesor, abundancia de malezas al momento de la siembra de este cultivo y su rendimiento en grano. Además, se estimó la producción de carne resultante del pastoreo durante ese aprovechamiento ganadero.

En cada uno de los sitios se establecieron parcelas experimentales donde se aplicaron 3 tratamientos:

1. CS No Past: cultivo de servicios no pastoreado / Cultivo agrícola.

2. CS Past: cultivo de servicios pastoreado / Cultivo agrícola.

3. Barbecho: Barbecho químico / Cultivo agrícola.

El tamaño y disposición de las parcelas variaron dentro y entre los sitios experimentales, pero en todos se implementó un diseño similar, respetando los bloques completos conteniendo todos los tratamientos (Figura 2).

26

Es importante destacar que cada sitio puede ajustar los criterios de evaluación a sus propias condiciones. De esta manera, cada sitio puede brindar información muy diferente en cuanto al tipo de producción por unidad de superficie, los tiempos y métodos de pastoreo, la raza y la categoría de los animales utilizados, y decisiones de manejo particulares de cada sistema. Además, se debe tener en cuenta la influencia de las condiciones edáficas y climáticas de cada lugar. Esta diversidad de situaciones genera una complejidad que, por un lado, dificulta el análisis y conclusiones de los resultados dentro de la misma red pero, por otro lado, agrega valor y capacidad para la generalización y síntesis de los resultados.

Bloque 1

Bloque 2

CARACTERÍSTICAS GENERALES DE LA PRODUCCIÓN Y MANEJO EN CADA SITIO DE LA RED

Como cultivos de servicio (CS) se sembraron gramíneas puras en 3 sitios y asociaciones entre gramíneas y leguminosas en 2 sitios (Tabla 1). Los CS se fertilizaron con N, P o mezclas, a excepción de Victoria. La ocupación de los CS en todos los sitios se mantuvo alrededor de los 200 días, siendo los tiempos de pastoreo muy variables (desde 34 a 136 días), en respuesta a los diferentes manejos realizados (Tabla 1). En todos los casos, la supresión se realizó de forma química, con el uso de distintos herbicidas y dosis de acuerdo a las especies presentes y sus estados fenológicos.

Es importante recordar que la campaña inmediata anterior (22-23) estuvo atravesada por una sequía extrema en todas las zonas agrícola-ganaderas del país. La campaña actual (23-24) se presenta con un

panorama de mejores condiciones agroclimáticas que, si bien y en general, las lluvias esperadas por el fenómeno de Niño no se produjeron en el momento y en cantidad adecuada, se observa una notable mejora para el cierre de la campaña 23-24. La producción de los CS pastoreados se estimó por diferencia de biomasa entre entrada y salida de los animales para cada período de pastoreo y luego se sumó la biomasa remanente al momento de la supresión, para obtener la producción total del CS. Las correspondientes biomasas se estimaron mediante un método indirecto de doble muestreo con el uso del pasturómetro, que permite una evaluación precisa y representativa de las parcelas. Cuando los estados fenológicos de los CS eran avanzados, principalmente en gramíneas encañadas, se reemplazó el uso de pasturómetro por otro método indirecto, basado en una

adaptación del método Botanal (Tothill el al., 1992), ya que la técnica del pasturómetro no es la más adecuada para estas situaciones, debido a las barreras producidas por los tallos una vez que se elongan. En los tratamientos de los CS sin pastoreo, la estimación de biomasa se realizó con la misma metodología que los pastoreados, pero con una única medición al momento de la supresión de los CS.

En algunos sitios, la falta de repeticiones de los tratamientos no permitió realizar un análisis estadístico de los resultados. En estos casos, simplemente se informan las mediciones llevadas a cabo, pero no se determina la significancia de las diferencias obtenidas. La biomasa producida (kg MS ha-1) fue variada. En algunos sitios no hubo efecto del pastoreo y en otros los CS sin pastoreo tuvieron una producción mayor (Tabla 2).

27 RED DE CULTIVOS DE SERVICIOS | Barbecho Camino Camino Cs.NOPast.Cs.Past. BarbechoCs.NOPast.Cs.Past.
Figura 2. Esquema de las parcelas con los tres tratamientos en dos bloques completos (repeticiones).

El pastoreo pudo ser continuo (tiempo prolongado) o rotativo, adecuándose al manejo y objetivos en los distintos sitios. En todos los casos se utilizaron categorías de animales jóvenes de alto potencial de crecimiento, comúnmente utilizadas en sistemas de recrías pastoriles. El criterio general propuesto para el manejo del pastoreo, consistió en mantener una intensidad moderada. Se propuso sostener una altura de la biomasa remanente igual o superior a 15-20 cm (altura medida

a la punta de las primeras hojas, sin aplastar el forraje). Se considera muy importante que la biomasa remanente mantenga una alta cobertura del suelo. Se priorizó dejar el suelo cubierto, a prolongar la ocupación de las parcelas en pastoreo. En consecuencia, el pastoreo se llevó a cabo con diferentes manejos adaptados a las características de los distintos sitios. Los niveles de carga animal oscilaron de 2.8 a 10.26 cab/hectárea, con diferentes asignaciones de superficie (promedio

12.8 ha) y tiempos de pastoreo (promedio 81 días). Las ganancias individuales de peso vivo (PV) también fueron diferentes, promediando 0.95 kg día-1. Cabe destacar que todas estuvieron por encima de 0.7kg y hasta 1.26 kg día-1. La producción animal se calculó como el producto entre la carga animal, el aumento medio diario y los días efectivos de pastoreo (Tabla 3), resultando en valores promedios de 391 kg ha-1, desde 179 hasta 598 kg ha-1.

28 | RED DE CULTIVOS DE SERVICIOS S i ti o Mar c o s J u ár ez Mar d el P l ata Vi c to r i a Hu i n c a R en an c ó Z av al l a Cultivo Servicio (CS) Vicia villosa + Triticale Vicia villosa + Raigrás + Cebada Avena Centeno Raigrás Avena Fecha siembra CS 10/05 04/04 29/03 15/03 27/04 27/04 Fertilización (kg/ha) 140 kg MAP 20 kg Micro Sin fertilización 30 kg U 90 kg Mezcla comercial Herbicidas en barbecho 2 l/ha Glifosato SE 66% - 150 cc sumisoya 2,5 l/ha Glifosato + 600cc 2,4D D elite 1 6 l/ha Glifosato + 0 85 l/ha 2,4D + 8 g/ha met 2 l/ha Glifosato 66% 2 l/ha Glifosato 66% Días en pastoreo 61 38 136 106 91 Fecha Supresión del CS (SCS) 21/11 01/09 12/10 26/9 12/10 Días fin pastoreo - SCS 1 1 20 1 2 Días siembra - SCS 197 209 212 195 199 Cultivo sucesor Soja Maíz Soja Maíz Soja Fecha siembra 23/11 30/10 27/10 03/12 12/11 Días SCS - siembra 2 59 15 68 31 MAP: fosfato monoamónico; DAP: fosfato diamónico; U: urea; Micro: Microstar (10-40-0-11-0-2); Mezcla
: (7-40-0-9-10) SCS: supresión cultivo de servicio, Met:
No
Comercial
metsulfurón; nd:
se dispone de los datos para esta etapa de avances
Mar c o s J u ár ez Mar d el P l ata Vi c to r i a Hu i n c a R en an c ó Z av al l a Especie Vicia villosa + Triticale Vicia villosa + Raigrás + Cebada Avena Centeno Raigrás Avena Pastoreado 3789a 8732 9413 3073 5213c 7194b No Pastoreado 3188a 12664 10669 4053 5953c 8422a Promedio 3488 10698 10041 3563 5583 7808 EE 542 258 PV 0,20 -- -- -- <0,05 Remanente 2495 1955 539 1433 4247 5214
Tabla 1. Características generales de la producción y manejo en cada sitio de la red. Campaña 23-24. Tabla 2. Producción de biomasa de los cultivos de servicio (kg MS ha-1). Campaña 23-24.

En esta campaña en curso se evalúan, además, como los años anteriores, las variables agua útil, malezas, y rendimien-

ANÁLISIS

Es bien conocido los servicios agroecológicos que brindan los CS. Entre ellos se destacan: la prevención de la erosión hídrica y/o eólica, el control de malezas, la mejora en la infiltración del agua, mejora de la estructura y la incorporación de C al suelo, a través de las raíces durante estaciones invernales, entre otros. La integración con la actividad ganadera, a través del pastoreo moderado de estos CS, no solo no afectaría sus servicios agroecológicos, sino que agregaría algunas otras ventajas. Los resultados obtenidos en esta red luego de varias campañas respaldan esta afirmación. Se demuestra que se pueden obtener altas ganancias de peso que, combinadas con una moderada carga animal, se traducen en apreciables producciones de carne. En consecuencia, aumentan el ingreso por unidad de superficie comparados con sistemas de agricultura pura.

Si bien un mayor ingreso y rentabilidad de los sistemas agropecuarios es fundamental para su sustentabilidad, también se puede valorar la eficiencia de la producción en términos de algunos productos

to del cultivo sucesor que, completarán la información de la campaña 23-24 en la versión final, cuando se haya realizado la

cosecha de los cultivos sucesores y completado la información de cada unos de los sitios participantes.

esenciales para el ser humano, como energía y proteína digestible que aportan a la seguridad alimentaria de la población.

Con la información obtenida en la campaña 21-22, se evaluó la contribución de la ganadería a la producción total de energía en los sistemas integrados (con pastoreo de los CS). La producción anual de energía, expresada en Mj ha-1, se calcula como la suma de los rendimientos, en términos energéticos, de los productos agropecuarios (granos + carne) obtenidos en el año de evaluación. Para esto se tuvo en cuenta el rendimiento del cultivo sucesor y la producción de carne de cada sitio. En el cálculo se utilizaron los coeficientes de equivalentes de energía, de los cultivos y del producto animal, obtenidos de distintas fuentes bibliográficas (Reed et al. 1986; Stout 1991; Conforti y Giampietro 1997). Los cultivos presentan una mayor cantidad de energía (Soja = 25.5 Mj kg-1 , Maíz = 16.3 Mj -1que la producción de carne (peso vivo de novillo = 13.4 Mj kg-1). Los resultados de esa campaña (Tabla 4)

muestran que la agricultura contribuye con una proporción muy importante de la producción total por unidad de superficie (kg MS ha-1), y también que no hubo un efecto significativo del pastoreo sobre la producción agrícola. Se puede ver que los rendimientos de la agricultura fueron similares en los tratamientos sin pastoreo (agrícolas puros) y en los tratamientos con pastoreo (integrados). Por lo tanto, se puede evaluar la contribución aditiva de la ganadería a través de los resultados de los sistemas integrados sin necesidad de compararlos con los agrícolas puros. Cuando se transforma la producción de los cultivos y la carne a energía, la contribución de la ganadería es muy baja (Figura 3). Esto se explica por la mayor producción en volumen (referida anteriormente), sumado a la mayor densidad energética por unidad de producto de los cultivos comparados con la carne. Por lo tanto, una muy alta proporción de la energía producida se debe a la producción agrícola, y sólo en valores menores al 10% de la producción total, a la producción ganadera.

29 RED DE CULTIVOS DE SERVICIOS |
AMD: aumento medio diario.
Ma r c o s J u á r e z Ma r d e l P l a ta Vi c to r i a H u i n c a R e n a n c ó Z a v a l l a Carga animal (cab ha-1) 10 3 5 04 5 13 5 40 2 80 AMD (kg cab-1) 0 74 0 94 0 86 0 73 1 26 Días en pastoreo 61 38 136 106 91 Prod de carne (kg ha-1) 464 179 598 416 321 Categoría Novillitos Novillitos Nov y Vaq Novillitos Nov y Vaq Raza Británicos Británicos Británicos Británicos Británicos
Tabla 3. Producción animal sobre los cultivos de servicio de la campaña 23-24. DE ALGUNAS VENTAJAS DE LA INTEGRACIÓN DE LA AGRICULTURA Y LA GANADERÍA

Ahora, cuando se agrega un valor económico a las unidades de energía, según provengan de la agricultura o de la ganadería, asignando precios históricos (480 USD para la tonelada de soja, 210 USD la tonelada de maíz) (USDA, World Bank; y 1,94 el kg de novillo, Consorcio de Exportadores de Carnes Argentinas), vemos que las diferencias a favor de los sistemas integrados son relevantes. En síntesis, cuando se compara la producción de energía (E), la diferencia a favor de los sistemas integrados debido a la ganadería es mínima, pero esta ventaja es mucho mayor cuando se realiza una valoración económica de los procesos involucrados.

Visto de otra manera, los sistemas integrados aumentan considerablemente el valor económico por unidad de energía producida (USD/ unidad E). Son sistemas que rinden mayores ingresos con menores “extracciones” de Energía por unidad de superficie (Figura 4). Este aspecto es crítico para ayudar a explicar la mayor sustentabilidad económica y agroecológica de estos sistemas.

Producción E en Sist. Integrados

Godoy

Agricultura Ganadería

Producción en USD por E producida

Godoy

USD Ganadería USD Agricultura

Godoy

USD por E producida

Integrado CS- Agricultura

Figura 3. Producción de energía de los sistemas integrados durante la campaña 21-22. Coeficientes utilizados de Energía (Mj/kg): Soja 25.5, Maíz 16.3, Carne 13.4.
30 | RED DE CULTIVOS DE SERVICIOS G o d oy H u i n ca G r a l . R o c a Z a v a l l a 1 Z a v a l l a 2 Ta n d i l Tratamiento Soja Maíz Soja Soja Soja Maíz CS sin pastoreo (kg ha-1) 1799 5037 4847 1836 4700 7094 CS con pastoreo (kg ha-1) 1695 5081 4841 2209 6157 5326 7777 Producción de carne (kg ha-1) 253 279 149 334 281 279
Figura 4. USD por energía total producida en los distintos sistemas durante la campaña 21-22. Tabla 4. Producción agrícola y ganadera de los sitios en evaluación de la campaña 21-22. Huinca Gral Roca Zavalla 1 Zavalla 2 Tandil Huinca Gral Roca Zavalla 1 Zavalla 2 Tandil Huinca Gral Roca Zavalla 1 Zavalla 2 Tandil
4927

Comentario final

Hasta el momento, los resultados obtenidos siguen siendo consistentes con los obtenidos en las campañas anteriores. Esto demuestra que el pastoreo moderado de los cultivos de servicio podría diversificar y aumentar la productividad de los sistemas agrícolas puros sin afectar negativamente la producción de los cultivos de cosecha. Al incorporar la producción ganadera, es posible mejorar tanto los indicadores económicos como los agroecológicos de los sistemas. Esta integración entre la agricultura y la ganadería ofrece la oportunidad de aumentar los ingresos brutos por unidad de energía producida, lo que permite el desarrollo de sistemas menos extractivos y contribuye a la sostenibilidad ambiental de los sistemas de producción.

REFERENCIAS

Consorcio de Exportadores de Carnes Argentinas: www.abc-consorcio.com.ar/Estadisticas/detalle/117/precios_comparativos_del_novillo

Reed, W., Geng, S., Hills, F. 2008. 2008. energy input and output analysis of four field crops in california. Journal of Agronomy and Crop Science 157(2):99-104.

Stout, B. 1991. Energy use and management in agriculture, North Scituate, MA: Breton Publishers.

Conforti, P, Giampietro, M 1997, Fossil energy use in agriculture: an international comparison', Agriculture, Ecosystem & Environment. 65: 231-243.

Tothill, J.C., Hargreaves, John & Jones, Rm & McDonald, Cam. (1992). BOTANAL: A comprehensive sampling procedure for estimating pasture yield and composition. I. Field sampling. Tropical Agronomy Technical Memorandum No. 78.

US Department of Agriculture; World Bank.: "Global Economic Monitor (GEM) Commodities" y "Manufactures Unit Value Index (MUV Index)"

31 RED DE CULTIVOS DE SERVICIOS |

Turn static files into dynamic content formats.

Create a flipbook
Issuu converts static files into: digital portfolios, online yearbooks, online catalogs, digital photo albums and more. Sign up and create your flipbook.