
10 minute read
Six of the best! ROGER DOWLING (Editor)
Caning in schools was an accepted part of school life until it became illegal in the 1980s.This special Almondburian report looks into the practice and asks if it was ever the best way of imposing discipline in the classroom.
, so the occasional caning was not regarded as a matter of -
Advertisement
‘ul like our correspondents, find it shock ing that any canings took place at all. Attitudes towards punishment of children have changed enormously over the past 75 years. In the home, smacking with the open hand was common to a degree that would shock many parents today and ’spare the rod and spoil the child’ was the unspoken principle in many homes. Schools were deemed as acting ster unwise enough to admit to his parents that he had been caned was more likely to be told “it jolly well serves you right!” than ened on how best to maintain discipline in the home, and rightly expect the same when
Itil the practice was finally banned in all UK state schools in 1987. I therefore thought it might be of interest to investigate how often such canings took place and for what reasons. Fortunately, it has always been a requirement for any such canings to be properly recorded in a book retained for this purpose, and we are fortunate that three ‘punishment books’ for the peri od 1951-1984 survive in the school archives. (There is also a ‘Report Book’ that was briefly in use in 1978/79 list ing unspecified non-caning punish ments).
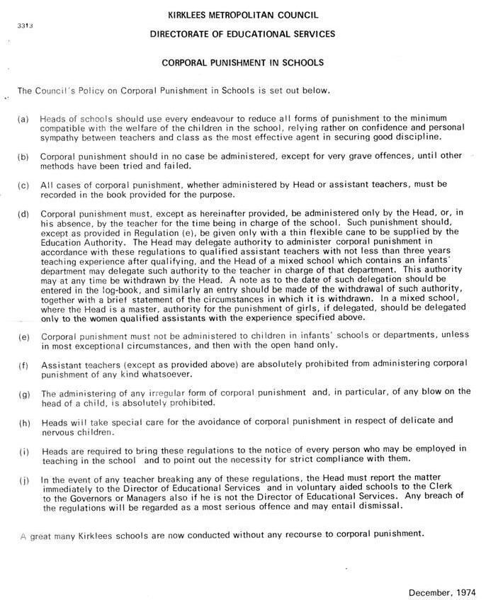
Corporal punishment at KJGS was required to follow general guidelines drawn up by the ried out from 1952 were carried out by the Headmaster (Harry Taylor) until he retired in 1973 and by his successors from 1973 to 1984. (Occasionally, as reported by our correspondents, corporal punishments falling short of actual caning and involving the use of a slipper or plimsoll may also have taken place; however, these were not recorded in the Punishment Books). In 1974 (the year when girls first entered King James’s when the School briefly became a Sixth Form Col- ishment (see opposite page). By this time, it would appear that Kirklees was beginning to go cold on the whole idea of caning (‘…many Kirklees schools are now conducted without any recourse to corporal punishment’) and it was stressed that it should be reserved for ’very grave’ offences. Strangely, there is no guidance at all to what should be regarded as a ‘grave’ offence – this was left entirely to the discretion of the head teacher. We shall see later if these rules were followed at King James’s.
The canes
One of the canes used at King James’s (see photograph) survives in the archives. They were supplied by Huddersfield/ Kirklees Education Department who presumably retained a suitably trained buyer for this purpose. The manufacture of canes was once big business and one supplier of ‘Handcrafted Corporal Punishment Equipment’ described his products with enthusiasm. The crook-handled rattan cane (as used at King James’s is 32" long and approximately 3/16" diameter and was described as ’the classic swishy cane dreaded by all schoolboys’. Fortunately the School never acquired a ’Senior School Cane with easy-grip straight handle, 33" long and 1/4" diameter’. According to the makers: ’even the ’hardcases’ fear this cane!’
Canings were usually administered to the seats of the pants, although it seems that in some cases offenders were offered the alternative of a caning to the
The Punishment Books
Having provided such clear guidelines, requiring head teachers to record carefully any instances of corporal punishment, one might have expected the Education Department also to provide an official book for this purpose. But surprisingly this does not seem to be the case and King James’s used standard-issue exercise books with hand-drawn columns providing space for date, name of offender, form, number of strokes of the cane, brief description of offence, and the master’s initials.


The canings
I began by totting up the total number of pupils caned from 1952, the first year of Harry Taylor’s headmastership and 1984, the year when caning ceased (see Chart 1). I was immediately puzzled by the vast differences from year to year, ranging from a massive 72 canings in 1963 to just 7 in 1970 and 1971.
In a school of around 350 pupils, 72 canings seems an extraordinarily high number, though of course there were a number of repeat offenders: one troublemaker made no fewer than five guest appearances before at last mending his ways. But even so, there are some 50 individual names which still seems very high. So who were the troublemakers? I examined the canings class by class and the findings are shown in Chart 2. Step forward the rebellious members of 4A and 4 Alpha! I checked with a current OAS member of the 1960 intake in the hope that he might remember what went wrong, but he shared my puzzlement. Perhaps the School simply wanted to ’clamp down’ in that year, for reasons unknown? Suggestions from readers will be very welcome.
But in fairness 1963 was clearly an extraordinary year; the average over the whole period 1972-1984 works out at 37 canings each year, which is around one caning per school week.
The offences
As might be expected, the most common transgressions can be categorised as general misbehaviour – causing a disturbance, making excessive noise, ‘tomfoolery’ (a favourite Harry Taylor word), throwing paper pellets and so on. These offences usually earned two strokes of the cane.
More serious were offences like bullying, ‘cutting detention’, and general cheating in tests and disobedience: these could result in three canings.
Four strokes of the cane were only earned through more major offences. One day, a group of eight fourthformers received an arm-aching total of 32 strokes for ‘gambling on horses and cards; another group of eight fifth-formers received similar retribution of unspecified ‘mischief night hooliganism’. Under-age smoking was clearly an ongoing issue, regularly attracting four strokes of the cane.
‘Six of the best’ was, as might be expected, reserved for what were regarded as the gravest offences. There are only three instances in the whole period of the punishment books and they provide a useful pointer towards the big disciplinary issues of the day. One, in 1954, was for a fifth-former ‘smoking on bus after school’: no doubt the concern was as much about bringing the School into disrepute as the under-age smoking itself. Another pupil received six strokes in 1958 for alarmingly ‘producing a knife in fight’, and in 1961 a pupil (clearly a bad ’un who had a few months earlier received four strokes for ‘theft’) received a further six for truancy.
How serious?
Earlier in this report I referred to the Kirklees Council policy document of 1974 which specified that corporal punishment should only be used for ‘very grave’ offences. As these are not defined, it was left to each school to make its own judgements.
Before that date, back in the Grammar School days, my impression is that caning was used somewhat more readily than this rule would suggest. Whilst the use of caning for offences mentioned earlier like drawing a knife or committing theft was clearly ‘grave’ by any measure, the Punishment Books list canings which, judged today, look somewhat harsh. Did ‘trying out new master’ really warrant three st rokes, when the master should have really been able to look after himself? Likewise, four strokes for ‘drawing pin on seat’?
It is only fair to report that from 1975 onwards, strokes were reduced in number even though the number of canings remained much the same. Three strokes became the maximum per offender, and single strokes – rarely used in the Grammar Schools days – became common.
Punishment after caning ceased
Caning at state schools in England formally came to an end by Act of Parliament in 1987, though it had already ceased at King James’s by 1984. There is no evidence that school discipline suffered to any extent and life has continued since then using less extreme punitive measures.
All the more surprising, then, were headlines in the national press in 2017 claiming that King James’s School in Almondbury was ‘Britain’s strictest school’ where pupils were – shock, horror! – not even allowed to ‘roll their eyes’ or ‘raise their eyebrows’.

In 2014 the Department for Education had issued new guidelines to headteachers and school staff on ‘Behaviour and discipline in schools’ and were required to draw up a ‘Behaviour Policy’ to promote good behaviour, self-discipline and respect; to prevent bullying; to ensure that pupils complete assigned work; and to regulate the conduct of pupils.

In due course it became apparent to the School that staff were experiencing increasing challenges from some students – sometimes supported by their parents – when reprimanded for minor misdemeanours.
The School therefore introduced 40 simple rules (not one of which was particularly surprising or extraordinary), to clarify to pupils the standard of behaviour expected of them.
But it was the silly season for the press and a copy leaked to the Huddersfield Examiner was rapidly picked up by the national press, giving the School an undeserved reputation for excessive strictness still recorded for posterity in Wikipedia. The rules still remain in force, and discipline is all the better for them.

King James’s School today
To bring the story up to date, I asked Principal Ian Rimmer what other steps they take to maintain discipline around the School.
“Behaviour always will be an issue, irrespective of the school, because at the end of the day you are working with children, not robots” said Ian. “Children have different personalities, different backgrounds, different life experiences and different values which all lead to different behaviours.
“At King James’s today we replace the rod with a lot of talking, followed if needed by detentions at lunch and after school. We also have an ’Isolation Room’ where children study separately from their peers, for a part or whole day, and we also work collaboratively with colleagues in other schools to use their Isolation spaces too.
“Finally, we have suspension from school and ultimately Permanent Exclusions. We also rely a lot on support from parents.”
Conclusions
The evidence of the Punishment Books is clear: King James’s was a traditional ‘caning’ school until the practice ceased in 1984. At around an average of one caning per week, the frequency does not seem at all excessive for the times, though the reasons for the occasional ’bad year’ like 1963 remain unclear.
But those readers who deplore the practice will, I think, note with approval the more enlightened pastoral approach today towards teaching in general and discipline in the classroom in particular.The School is surely all the better for it.
On a lighter note, I conclude this report by recording an entry that raised a smile. Four members of 3 Alpha each received one stroke of the cane for ‘stealing plums from School garden’.Then, immediately below, is the name of a fifth classmate who received the same punishment with the comment: ‘By request – thought it unfair that his name had been omitted’.
Harry would have been delighted at this demonstration that there is indeed honour amongst thieves. n
Difficulty: gentle
Each row, column and 3 x 3 box must contain the digits 1 to 9
Quiz Night 2023
Hat trick for ‘The 60s’ team?
Reporter/participant: RICHARD TEALE
For the third year in succession,‘The 60s’ team triumphed over their Quiz Night rivals. But was this only because of an ‘audacious’ player transfer?

IT was strangely quiet when we arrived at the Woolpack on the evening of 24th May, with not many pub regulars but a good scattering of Almondburians. The fears were that the holiday season and imminent half-term had accounted for many of our regulars but four teams settled down to take up the challenge in the upstairs room.
‘The 60s’ team was missing its stalwart member, David Sinclair, and their hopes of retaining the trophy looked in doubt. However, Doug Norris spotted Les Orme in our proposed team and made an audacious transfer request which Les fell for. This explains our team’s name of ‘Ormeless not Gormless’
Keith Crawshaw presided as quizmaster and once again had spent much time and effort in devising the ten-round for- mat. After he explained the rules and scoring system (including buzzer rounds without buzzers) we got under way.
The first round was ‘6 are Not’. Eliminating 6 from lists of 16 to identify the top ten garden birds, the pilgrims in the Canterbury Tales and ingredients in the Coronation quiche recipe. No-one could claim to be an expert in all these diverse subjects.
Round 2 was ‘Faces’ – putting names to the faces of 16 celebrities in the news in the last year. Obvious ones were Ken Bruce and Neil Warnock, less so were Burt Bacharach and Ben Wallace.
Then came the first ‘Buzzer’ round on general knowledge. Guessing answers was not advisable as wrong answers resulted in minus points.
Round 4 was the ‘Memory Test’ –studying a composite map of Huddersfield and its landmarks (expertly sketched by our quizmaster) for 90 seconds and then remembering the ones named in black.
The last round before half-time was ‘Where are We’ – matching a list of towns to their locations on a map.Why were they on the Lancashire side of the Pennines though?
Kicking off the second half was an old favourite ‘Insects’ – matching the names of twelve of our six or eight legged friends to their photos. Would you know a red-tailed bumble bee?
Round 7 was ‘Logogistical’ – name the organisations from their symbols. Some were obvious (RAF); some were obscure (Wisden – cricket).
And so on to another ‘Buzzer’ round on general knowledge. When was the breathalyser law introduced?; choose from a list of four 1960s dates (it was 1967).

Round 9 was identifying ‘TV Box Sets’ from a series of 12 screen shots. Doc Martin was easy, Reacher less so. Was there a chance of teams getting into a quiz winning lead in the home straight?
The final round was ‘Events of 2022’ – a mixed bag of questions. Which Van Gogh masterpiece had tomato soup thrown over it in the National Gallery? (Sunflowers).
The final scores showed the gap between all teams to be only 21 points but ‘The 60s’ team (albeit not quite the same team this year!) emerged as winners yet again. Credit also to the ‘Semi Scots’ team for recovering from last place after six rounds to second at completion. After last year’s win I compared ‘The 60s’ continued success to Manchester City and this year they have both repeated their success!
The trophy was presented by Walter Raleigh who also thanked Keith for maintaining a high standard of questions in a fun and entertaining quiz. We had slightly fewer participants this year – next year we must perhaps choose a date when more competing teams can attend and rise to the challenge. n









