Skip to main content

Revista Math Wisdom

Page 14

#7 E D I C I Ó N F U N C I O N E S M A T H W I S D O M 02 Editorial 03 ¿Qué es una función? 04 Dominio y rango de funciones 05 Tipos de funciones 06 Función constante: concepto y ejemplos 07 Función idéntica: concepto y ejemplos 08 Autora del mes 09 Función lineal: concepto y ejemplos 11 Función cuadrática: concepto y ejemplos #01

16 Funciones exponenciales: concepto y ejemplos

18 Funciones logarítmicas: concepto y

ejemplos

19 Rincón informativo

20 Zona opinión

21 Equipo escritor

Editorial

12 Función racional: concepto y ejemplos

13 Función raíz de un polinomio: concepto y ejemplos

14 Función valor absoluto: concepto y ejemplos

Esta vez contamos con artículos de la autoría de todo nuestro equipo matemático, incluso la participación de la editora principal: Isabell Porras.

Visita

En esta edición de la revolucionaria revista digital Math Wisdom, nos centramos en la idea de las funciones matemáticas, explicando el concepto de cada tipo de función junto a sus ejemplos y demostraciones. MATHWISDOM.COM/DOWNLOAD7ISSUE

para descargar esta edición en tu dispositivo

#02
Isabell Porras Editora principal

Una función matemática, en su forma más simple, es una relación entre dos conjuntos de números, conocidos como el dominio y el rango, donde cada valor de entrada del dominio corresponde a un valor de salida único en el rango En este artículo, profundizaremos en el concepto fundamental de las funciones matemáticas, exploraremos sus propiedades y arrojaremos luz sobre su amplia gama de aplicaciones

¿Y qué importancia tiene saber esto?

Es importante conocer acerca de las funciones matemáticas porque son muy valiosas y útiles para resolver problemas de la vida diaria y en campos como la física y la ingeniería Las funciones matemáticas nos permiten entender cómo se comportan las variables y cómo se relacionan entre sí, lo que nos ayuda a tomar decisiones informadas y resolver problemas de manera eficiente y efectiva Además aprender sobre las funciones matemáticas ayuda a desarrollar habilidades analíticas y de pensamiento crítico, lo que es útil en muchos aspectos de la vida

¿QUÉ ES UNA FUNCIÓN?

Concepto de Funciones Matemáticas:

Una función matemática a menudo se representa simbólicamente como f(x), donde ' x ' denota la variable independiente o de entrada, y f(x) representa la variable dependiente o de salida correspondiente. El concepto de una función gira en torno a la idea de que para cada valor de entrada x en el dominio, existe un valor de salida único f(x) en el rango

Las funciones se pueden clasificar en diferentes tipos según sus características. Las clasificaciones más comunes incluyen funciones lineales, cuadráticas, exponenciales, logarítmicas, trigonométricas y polinómicas, por nombrar algunas. Cada tipo posee propiedades, formas y comportamientos distintos, lo que los hace adecuados para modelar varios fenómenos y resolver problemas específicos

#03

El término "dominio" se refiere al conjunto de todos los valores de entrada posibles para una función. Representa la colección de valores para los que se define la función

El dominio puede ser cualquier conjunto de números u otros objetos, dependiendo de la naturaleza de la función. Puede consistir en números reales, enteros, números positivos, etc., según el contexto.

Es importante comprender y especificar el dominio de una función porque determina el conjunto de valores para los cuales la función es significativa y está bien definida El análisis del dominio puede ayudarnos a identificar posibles problemas o restricciones en el comportamiento de la función y garantizar cálculos e interpretaciones precisos

Formalmente, si tenemos una función f(x), el dominio se denota como Dom(f) o D(f) Se puede definir como:

dom(f) = {x | f(x) está definida}

Un ejemplo seria

1. Ejemplo: f(x) = x^2

Dominio: Todos los números reales

Explicación: La función está definida para cualquier número real x, por lo que el dominio es el conjunto de todos los números reales.

DOMINIO Y RANGO DE FUNCIONES

El rango es un concepto fundamental en matemáticas que proporciona información valiosa sobre la dispersión o extensión de los valores en un conjunto, función o conjunto de datos.

Ya sea que se trate de funciones, secuencias o análisis estadístico, comprender el rango ayuda a analizar patrones, comportamiento y dispersión

#04
yennifer.castillo@mathwisdom.com.pa

En matemáticas, el rango se refiere al conjunto de todos los valores posibles que puede tomar una función, secuencia o conjunto de datos Representa el rango completo de salidas o variables dependientes correspondientes a diferentes entradas o variables independientes. El rango se determina examinando los valores más altos y más bajos dentro del conjunto o función.

En resumen, el rango es una herramienta versátil i l áli i á i S

Para las funciones, el rango consta de todos los valores de salida posibles producidos al aplicar diferentes entradas. Proporciona información sobre el comportamiento y el mapeo de la función, indicando el alcance de los l d l f ió

T1 Función constante

2 Función idéntica

3. Función lineal

4. Función cuadrática

5. Función racional

6 Función raíz de un polinomio

7 Función valor absoluto

8. Funciones exponenciales

9. Funciones lagorítmicas

#05
Jinneffer González jinneffer.gonzalez@mathwisdom.com.pa

Fíjate en el siguiente ejemplo en los que hemos representado en un gráfico tres funciones constantes diferentes:

Dominio de una funcion constante

El dominio de la función constante (el conjunto de valores que puede tener la x) es el conjunto de los números reales

Codominio de una funcion constante

El recorrido, rango o contradominio (el conjunto de valores que toma la variable y) es simplemente la constante k.

En este artículo hablaremos de la función constante, damos como definición de función constante: son aquellas operaciones matemáticas en las que existe cierta relación entre dos o más conjuntos dados.

Una función constante es aquella función que siempre toma la misma imagen para cualquier valor de la variable independiente (x), es el dominio, es decir, una función constante es de la forma f(x)=k, donde k es un número real cualquiera.

¿QUÉ ES UNAFUNCIÓN CONSTANTE?

La representación gráfica de una función constante es una recta horizontal.

R
#06
plaura@mathwisdom.com.pa

Una función identidad es aquella función que tiene como imagen el mismo valor que el argumento. La función identidad se puede expresar con el término id

Por lo tanto, la expresión matemática de la función identidad es:

Dominio y Codominio

El conjunto "X" es el dominio, El conjunto "Y" es el codominio, El conjunto de elementos de Y a los que llega alguna flecha (los valores verdaderos de la función) se llama rango o imagen.

La función identidad es un ejemplo de función lineal.

La gráfica de la función identidad corresponde a una línea recta que es la bisectriz del primer y del tercer cuadrante.

FUNCIÓN IDÉNTICA

La función identidad es creciente en todo su dominio, y su pendiente es igual a 1

#07
plaura@mathwisdom com pa
Laura Guerrero

Por: Isabell Porras | Editora principal

Usualmente en nuestra revista discutimos temas específicos de matemáticas en toda la edición, pero siempre es importante reconocer el trabajo de nuestro equipo en la creación, escritura y diseño de cada revista creada.

Crear un artículo de revista que sea interesante, informativo y fácil de leer es algo que todos los editores y escritores debemos saber, además de conocer los intereses de nuestro público: y eso es algo que nuestra escritora Laura sabe hacer muy bien.

En esta edición de Math Wisdom nuestra querida Laura recibe el reconocimiento de "Escritora del Mes" por su arduo trabajo y dedicación.

Los apartados de información que nos brinda Laura siempre están llenos de creatividad y sonfácilesdecomprender.

Ella ha sido parte de este equipomatemáticodesdesus inicios y esperamos que siga siendoasíporsiempre.

¡Felicidades,escritora!

Escritoradelmes Julio2023 #08

¡APRENDAMOS SOBRE LA FUNCIÓN LINEAL!

Se conoce como función lineal cualquier función que se grafica en una línea recta. Matemáticamente, esto significa que la función tiene una o dos variables sin exponentes ni potencias.

Si la función tiene más variables, las variables deben ser constantes o variables conocidas para que la función siga siendo una función lineal.

En las funciones lineales su dominio son todos los números reales y su codominio son también todos los números reales. La expresión analítica de una función lineal es un polinomio de primer grado.

En geometría analítica y álgebra elemental, lo conocemos más como: una función lineal es una función polinómica de primer grado.

La función lineal siempre tiene la forma y = mx + b, donde " x " es la variable independiente, " y " es la variable dependiente, " m " es la pendiente y "b" es el corte con el eje " y " , u ordenada de origen.

#09
kenia.luo@mathwisdom.com.pa

Dominio, codomino y gráfica de una función lineal

kenia.luo@mathwisdom.com.pa #10

La función cuadrática es una función polinómica de segundo grado que tiene la forma f(x) = ax^2 + bx + c

El dominio de una función cuadrática es el conjunto de todos los números reales.

El codominio de una función cuadrática es el conjunto de todos los valores que puede tomar la función.

Donde a, b y c son constantes y a ≠ 0. La gráfica de una función cuadrática siempre es una parábola. Las parábolas tienen forma de ∪ (si a >0) o de ∩ (si a <0).

Para una función cuadrática, el codominio es siempre un valor positivo. Por lo tanto, la imagen o rango de la función cuadrática es el conjunto de todos los valores positivos.

¿CONOCES LA FUNCIÓNCUADRÁTICA?

#11

Una función racional es aquella función formada por el cociente de dos polinomios, es decir, una función racional es una fracción que tiene un polinomio en el numerador y en el denominador. Las funciones racionales también se conocen como funciones fraccionarias.

La forma general de una función racional es p(x) / q(x) donde p ( x ) y q ( x ) son polinomios y q ( x ) ≠ 0

DOMINIOY CODOMINIO

Un número dividido entre 0 es una indeterminación que da como resultado infinito (∞), así que una función racional existirá siempre menos cuando el denominador sea 0.

FUNCIÓN RACIONAL

Por lo tanto, el dominio de una función racional son todos los números reales excepto aquellos valores que anulan el denominador.

Para una función racional f(x), el codominio puede ser todos los números reales o un subconjunto restringido de los números reales dependiendo de las propiedades de la función.

¿¿COMO

GRAFICO UNA FUNCIÓN RACIONAL??

En el siguiente video podrás aprender a trabajar una función racional con dominio, codominio y gráficas.

#12

Propiedad 1

Las raíces del polinomio son también divisores de su término independiente

Propiedad 2

Cada raíz del polinomio x = a puede escribirse en forma de binomio (x-a)

Propiedad 3 Un polinomio se puede escribir como el producto de todos sus binomios (x-a):

Propiedad 4

La suma de los grados de todos los binomios es igual al grado del polinomio original

Propiedad 5

Si una de las raíces del polinomio es x = 0, el factor que le corresponde es x, ya que su binomio será x-0, es decir x

Propiedad 6

Cuando un polinomio no puede expresarse en factores o en binomios, se le llama irreducible o primo

Las raíces de un polinomio (también llamadas ceros de un polinomio) son los valores para los cuales, el valor numérico del polinomio es igual a cero. Recordamos que para calcular el valor numérico de un polinomio hay que sustituir la variable del polinomio por un número Cuando este valor sea cero, el número corresponderá con la raíz del polinomio.

Cuando buscamos las raíces de un polinomio, buscamos que P(x)=0, por tanto, si directamente igualamos el polinomio a 0, nos quedará una ecuación, cuyas soluciones serán las raíces del polinomio

¿CONOCES LA FUNCIÓN RAÍZ DE UN POLINOMIO?

DOMINIO CODOMINIO

El dominio de una función raíz de un polinomio está determinado por las raíces del polinomio dentro de la función raíz Si la función raíz es una raíz cuadrada, por ejemplo, entonces sólo se pueden tomar raíces cuadradas de números no negativos, por lo que el dominio sería cualquier valor del polinomio que resulte en un número no negativo.

Por otro lado, el codominio sería cualquier número no negativo. En general, el dominio y el codominio de una función raíz de un polinomio dependerán del tipo específico de función raíz y del polinomio del que se está tomando la raíz

#13
PROPIEDADES
Stephannie.villalba@mathwisdom.com.pa

Stephannie.villalba@mathwisdom.com.pa

APRENDE A GRÁFICAR UNA FUNCIÓN RAÍZ DE UN POLINOMIO

Debemos graficar la fu

2 x 2 – 3 x

Prediga el comportami . El grado de la función el coeficiente principal es positivo.

E ara las funciones.

L x –

3) Así, los ceros de la

Haga una tabla de valores para encontrar varios puntos

Grafique los puntos y dibuje una curva continua suave para conectar los puntos

#13

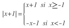
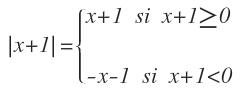
El valor absoluto de un número es la distancia que existe en la recta numérica desde el 0 hasta dicho número. Entonces definimos el valor absoluto como su magnitud independientemente del signo de dicho número.

Por ejemplo;

Si x = 6, el valor absoluto es |6| = 6. (primera condición)

Si x = 0, el valor absoluto es |0| = 0. (primera condición)

Si x = -6, como el número es menor que 0 se aplica la segunda condición siendo el valor absoluto: -|-6| = 6.

FUNCIÓN VALOR ABSOLUTO

na función de valor absoluto es una función que contiene una expresión algebraica dentro de los símbolos de valor absoluto.

Su forma básica es: f (x)= |x|

La función de valor absoluto se piensa comúnmente como proporcionar la distancia que el número es de cero en una línea numérica. Algebraicamente, para cualquiera que sea el valor de entrada, la salida es el valor sin tener en cuenta el signo.

¡Veámoslo!
#14 ¿Qué es valor absoluto?
U Isabell S. Porras isabell.sp@mathwisdom.com.pa
Isabell S. Porras isabell.sp@mathwisdom.com.pa ¿Dominio y codominio? ¿Gráficas? ¡Descubre como realizar estos procedimientos con una función de valor absoluto! #15

La gráfica de cualquier función exponencial siempre intersecta el eje vertical en el punto (0,1) La función exponencial no intersecta al eje x, de hecho este eje es una asíntota horizontal para la función.

En matemáticas, las funciones lllllexponenciales son aquellas funciones que tienen la variable independiente x en el exponente de una potencia. Es decir, son de la siguiente forma: f (x)=

Donde a es un número real positivo y diferente de 1 a la cual se conoce como base. Nótese que la variable real x se encuentra en el exponente, de esta manera f(x) siempre es un número real.

FUNCIONES EXPONENCIALES

Se trata de funciones que crecen o decrecen, según el signo del exponente- muy rápidamente, por eso se habla del “crecimiento exponencial” cuando alguna magnitud aumenta muy deprisa.

Otra aplicación muy interesante es la del interés compuesto. Cuanto más dinero se tiene en una cuenta, más intereses devenga, y los mismos se pueden calcular cada cierto intervalo de tiempo, tan pequeño como se quiera.

#16
Isabell S. Porras isabell.sp@mathwisdom.com.pa

Dibuje la gráfica y determine el dominio y el rango: f(x)=1x+5 .

Isabell S. Porras

isabell.sp@mathwisdom.com.pa

Dominio: ( ∞ , ∞)

Rango: (5,∞)

#17

¡Veamos cómo graficar una función exponencial con el dominio y codominio!

Las funciones logarítmicas tienen una amplia gama de aplicaciones en diferentes campos Por ejemplo, pueden describir la tasa de crecimiento de las poblaciones o los cambios en el valor de una inversión a lo largo del tiempo Comprender este concepto es esencial para disciplinas, como las matemáticas, las finanzas y la ciencia

DOMINIO Y CODOMINIO

El dominio de una función logarítmica es el conjunto de todos los números reales positivos, x

¿QUÉ ES?

Una función logarítmica se define como una función que toma un número real positivo, X, como su dominio y devuelve un número real, Y, como su codominio. La función se define como: y = log b(x)

Aquí, b es la base de la función logarítmica, que es un número real positivo mayor que 1 La función logarítmica se define sólo para valores positivos de x.

La función logarítmica es la inversa de la función exponencial y = b^x. Es decir, si tomamos el logaritmo de un número, log b(x), obtenemos la potencia a la que hay que elevar la base b para obtener ese número, b^log b(x) = x

CIONES LOGARÍTMICAS

¿AÚN NO SABES GRAFICAR FUN. LOG.? NO TE PREOCUPES, AQUÍ TE ENSEÑAMOS

Encuentra el dominio y el rango de: f(x)=log(x 3)

Solución: El valor de h de 3 hace que la función “estándar” y su asíntota se muevan hacia la derecha por 3 unidades Esto cambia el dominio de la función

Entonces, el dominio es:

Dominio: 3<x<∞

El rango de la función nunca cambia por lo que sigue siendo:

Rango: ∞<x<∞

#18

Rincón

I n f o r m a t i v o

Matemática y fotógrafa famosa en Nueva York. Ha unido las matemáticas y las fotografías de la naturaleza para enseñar las funciones matemáticas.

Nikki ha encontrado una forma de reunir sus dos intereses en una serie de imágenes llamada Found Functions en las que superpone gráficas generadas mediante fórmulas matemáticas a fotografías tomadas por ella.

Es una forma distinta de aprender matemáticas y ver que todo se puede representar con ellas.

2023
N i k k i G r a z z i
a n o
#19

Zona opinión

En Math Wisdom nos encanta tener una comunidad interactiva con nuestros lectores, de manera que ustedes sepan que también forman parte de nuestro Equipo Matemático.

¡Los lectores y usuarios comentan!

@dany123 dice:

"Gracias a la edición anterior de la revista pude prepararme súper bien para mi examen de admisión de la universidad, la verdad es que no sé que haría sin esta revista"

@profng dice:

"Uno de mis alumnos me recomendó el sitio web de esta revista y quedé encantado. Me ha servido de apoyo para tener clases más entretenidas con mis estudiantes"

@abraham dice:

"Mi hija me pide comprar cada edición de esta revista porque dice que es su mejor manera para aprender matemáticas. ¡Gracias!"

¡Gracias a ustedes Math Wisdom es realidad!

Para contarnos tu experiencia ingresa a:

#20
mathwisdom com/opinion
@mathwisdompty www

Equipo escritor Edición n°7

Yennifer Castillo Jinneffer González Isabell Porras Kenia Luo Laura Guerrero
#21
Stephannie Villalba

E D I C I Ó N

°
7
JULIO 2023 EMISIÓN N°7 $25.00
Kenia Luo Isabell Porras Jinneffer González Stephannie Villalba Laura Guerrero Yennifer Castillo

Turn static files into dynamic content formats.

Create a flipbook
Revista Math Wisdom by isa - Issuu