Showing Book - 149 Bennett Road, Ashby MA 01431

Page 59

Bennett Rd, Ashby, MA
of History and
Amenities- Unique Homestead!
on a vast 56-acre setting, this 4 BR, 4 BA Antique Colonial home has so
o er!
code. Kurt Thompson kurt@homesjustforyou.com 978-833-3569 SEE THE PRICE AND MORE PHOTOS:www.HomesJustForYou.com
149
4 bed | 4 bath | 4,794 sqft A Blend
Modern
Peacefully nestled
much to
See more details by scanning the QR

SingleFamily-Detached 149 Bennett Road Ashby, MA 01431-1709

Remarks

No

West Road to Pillsbury Road to Bennett Road

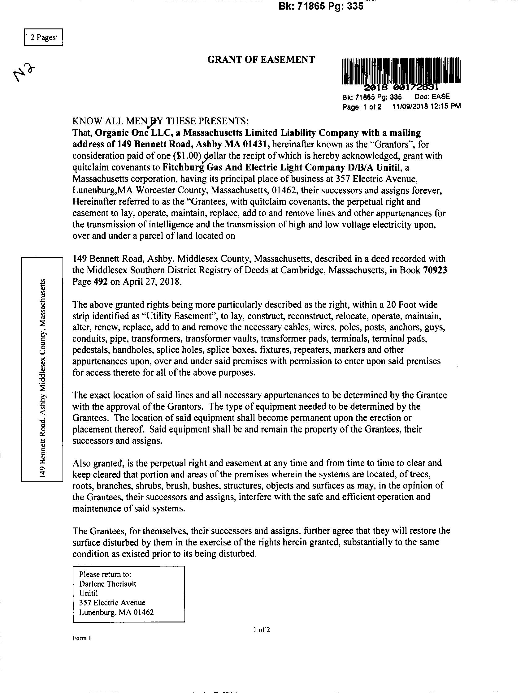
A Blend of History and Modern Amenities. Peacefully nestled on a vast 56-acre setting, this 4 BR, 4 BA Antique Colonial home has so much to offer. Bring your culinary visions to life in the updated kitchen featuring granite countertops and stainless-steel appliances. Wake to scenic views from the balcony outside your main bedroom. Cozy up to the woodstove and enjoy the peace and serenity the countryside has to offer. The exposed post and beam construction denotes craftsmanship of a bygone era. Best of all, the Great room, complete with wet bar, is the most amazing place to hold a gathering with you and 50 of your closest friends. This exceptional property includes younger additions such as a 4-stall barn and an oversized 3 car garage. You’ll find a 69X48 outbuilding for any project you can think of. If you are looking for a unique homestead and the freedom to bring your true vision to life, this is the one! Visit our open house or call your agent for a private showing today!

Ceiling - Vaulted, Flooring - Hardwood, Window(s) - Bay/Bow/Box, Wainscoting, Lighting

- Stone/Ceramic Tile, Window(s) - Picture, Dining Area, Pantry, Countertops - Stone/Granite/Solid, Kitchen Island, Recessed Lighting, Stainless Steel Appliances, Peninsula

Closet, Flooring - Hardwood

215X11Fireplace, Closet, Flooring - Hardwood

17X6Bathroom - 3/4, Flooring - Stone/Ceramic Tile, Countertops - Stone/Granite/Solid, Lighting - Sconce

Bath 2: 28X6Bathroom - Full, Flooring - Laminate, Lighting - Sconce

Bath 3: 210X10Bathroom - Full, Flooring - Stone/Ceramic Tile, Lighting - Sconce, Lighting - Overhead

Laundry: 110X6Flooring - Stone/Ceramic Tile, Dryer Hookup - Electric, Washer Hookup, Lighting - Overhead

Library: 113X12Fireplace, Flooring - Hardwood

Sitting Room: 117X14Wood / Coal / Pellet Stove, Closet, Flooring - Hardwood, Exterior Access, Wainscoting

Great Room: 234X29Fireplace, Ceiling - Vaulted, Flooring - Wood, Window(s) - Picture, Wet bar, Deck - Exterior, Breezeway

Bonus Room: 210X10Flooring - Hardwood

Bathroom: 210X6Bathroom - Full, Flooring - Stone/Ceramic Tile, Lighting - Sconce

for 1 day(s)

The information in this listing was gathered from third-party sources including the seller and public records. MLS Property Information Network, Inc., and its subscribers disclaim any and all representations or warranties as to the accuracy of this information. Content ©2023 MLS Property Information Network, Inc.

PropertyInformation Approx. Living Area Total: 4,794 SqFt Living Area Includes Below-Grade SqFt: No Living Area Source: Public Record Approx. Above Grade: 4,794 SqFt Approx. Below Grade: Living Area Disclosures: Heat Zones: 5 Central Heat, Hot Water Baseboard, Oil Cool Zones: None Parking Spaces: 10 Off-Street, Unpaved Driveway Garage Spaces: 3 Attached, Garage Door Opener, Storage, Work Area, Side Entry, Insulated Disclosures: 4 Bedroom septic design per Title 5. All measurements are approximate. Buyer to perform all necessary due diligence to confirm accuracy. Audio/video surveillance onsite. RoomLevels,DimensionsandFeatures RoomLevelSizeFeatures Living Room: 125X13Fireplace,
-
Kitchen: 135X15Flooring
Main
Bedroom 2:
Bedroom
Bath
Overhead
Bedroom: 217X15Closet - Walk-in, Flooring - Wood, Window(s) - Picture, Balcony / Deck, Tray Ceiling
213X13Fireplace,
3:
1:
Features Appliances:
Area Amenities: Walk/Jog Trails, Conservation Area, House of Worship, Public School Basement: Yes Full, Interior Access, Unfinished Basement Beach: No Construction: Frame Electric: Circuit Breakers, 200 Amps Exterior: Clapboard, Wood, Vinyl Exterior Features: Deck, Gutters, Storage Shed, Garden Area, Horses Permitted Flooring: Wood, Tile, Laminate, Hardwood Foundation Size: unmeasured Foundation Description: Poured Concrete, Fieldstone Hot Water: Oil, Tank Insulation: Unknown Interior Features: Central Vacuum, Cable Available, Internet Available - Broadband Lot Description: Wooded, Easements, Cleared, Farmland, Sloping, Scenic View(s) Road Type: Public, Paved Roof Material: Asphalt/Fiberglass Shingles Sewer Utilities: Private Sewerage - Title 5: Pass Utility Connections: for Electric Range, for Electric Oven, for Electric Dryer, Washer Hookup Water Utilities: Private Water Waterfront: No Water View: No OtherPropertyInfo Adult Community: No Disclosure Declaration: No Exclusions: Land with garage on other side of Bennet Rd is not included in sale. Green Certified: No Home Own Assn: No Lead Paint: Unknown UFFI: Unknown Warranty Features: No Year Built: 1750 Source: Public Record Year Built Description: Unknown/Mixed Year Round: Yes Short Sale w/Lndr. App. Req: No Lender Owned: No TaxInformation Pin #: M:001.0 B:0013 L:0000.0 Assessed: $824,000 Tax: $13,530 Tax Year: 2023 Book: 79713 Page: 565 Cert: Zoning Code: RA Map: 001 Block: 0013 Lot: Compensation Sub-Agent: Not Offered Buyer Agent: 2.5% Facilitator: 2.5% Compensation Based On: Net Sale Price FirmRemarks See all attached documents, including Submitting a Complete Offer. 4 Bedroom septic design per Title 5. All measurements are approximate. Buyer to perform all necessary due diligence to confirm accuracy. MarketInformation Listing Date: 5/16/2023 Listing Market Time: MLS# has been on for 1 day(s) Days on Market: Property has been on the market for a total of 1 day(s) Office Market Time: Office has listed this property
Expiration Date: Cash Paid for Upgrades: Original Price: $1,449,900 Seller Concessions at Closing: Off Market Date: Sale Date:
Wall Oven, Countertop Range, Refrigerator, Washer, Dryer
Exterior - Front
MLS#73112232- New
List Price:
Style: Colonial, Antique Total Rooms: 10 Color: Yellow Bedrooms: 4 Grade School: Bathrooms: 4f 0h Middle School: Main Bath: Yes High School: Fireplaces: 3 Approx.
Approx.
Handicap
Middlesex County
$1,449,900
Acres: 56.66 (2,468,110 SqFt)
Street Frontage:
Access/Features:
Directions:
KurtThompson|RE/MAXPropertyPromotions|Kurt@KurtThompson.com| 013357-100135-6594760 Apr 10, 2023 149 Bennett Road - Ashby, MA 01431 GilbertoDebiase Apr 8, CDT Apr 8, JohnSchuttler Apr 8, 6: EDT Apr 8,
149 Bennett Road - Ashby, MA 01431
John Schuttler
GilbertoDebiase Apr 8, CDT Apr 8, JohnSchuttler Apr 8, 6: EDT Apr 8,
Gilberto Debiase

CERTIFICATE OF TITLE 5 INSPECTION

Inspection requested by:

Stephen Sockol

Name: ______________________________________________

149 Bennett Rd

Address: ____________________________________________

Ashby MA01431-1709

City, State & Zip: ______________________________________

Report preference: Email Mail

Inspection Location:

149 Bennett Rd-House

Street Address: _______________________________________

Ashby MA01431-1709

City, State & Zip: ______________________________________

System Type: ___________________ System size: __________

# of Compartments _______________

Date of Inspection: ____________________________________

NOTE: This inspection report is valid for 3 years from the date of the inspection, if the tank is pumped annually. Nss-25

Tank/PC/SAS 1500 1 02/14/2022 No

Owner information is required for every page.

Commonwealth of Massachusetts

Title 5 Official Inspection Form

Subsurface Sewage Disposal System Form - Not for Voluntary Assessments

149 Bennett Rd-House

Ashby

Important: When filling out forms on the computer, use only the tab key to move your cursor - do not use the return key.

MA 01431-1 02/14/2022

Inspection results must be submitted on this form. Inspection forms may not be altered in any way. Please see completeness checklist at the end of the form.

A.Inspector Information

Northboro Septic Service, Inc. dba Curtis Septic

124 Main Street

Northboro MA 01532

(508) 393-7234

B.Certification

I certify that: I am a DEP approved system inspector in full compliance with Section 15.340 of Title 5 (310 CMR 15.000); I have personally inspected the sewage disposal system at the property address listed above; the information reported below is true, accurate and complete as of the time of my inspection; and the inspection was performed based on my training and experience in the proper function and maintenance of on-site sewage disposal systems. After conducting this inspection I have determined that the system:

1. Passes

2. Conditionally Passes

3. Needs Further Evaluation by the Local Approving Authority

4. Fails

The system inspector shall submit a copy of this inspection report to the Approving Authority (Board of Health or DEP) within 30 days of completing this inspection. If the system has a design flow of 10,000 gpd or greater, the inspector and the system owner shall submit the report to the appropriate regional office of the DEP. The original form should be sent to the system owner and copies sent to the buyer, if applicable, and the approving authority.

Please note: This report only describes conditions at the time of inspection and under the conditions of use at that time. This inspection does not address how the system will perform in the future under the same or different conditions of use.

t5insp /25/2018 1 of 18
Property Address City/Town State Zip Code Date of Inspection
of Inspector Company Name Company Address City/Town State Zip Code Telephone Number License Number
Name
Date
02/14/2022
SI4239

Owner information is required for every page.

Commonwealth of Massachusetts Title 5 Official Inspection Form

Subsurface Sewage Disposal System Form - Not for Voluntary Assessments

149 Bennett Rd-House

Stephen Sockol Ashby

C. Inspection Summary

MA 01431-1

02/14/2022

Inspection Summary: Complete 1, 2, 3, or 5 and all of 4 and 6.

1) System Passes:

I have not found any information which indicates that any of the failure criteria described in 310 CMR 15.303 or in 310 CMR 15.304 exist. Any failure criteria not evaluated are indicated below.

Comments:

System appears to be functioning properly under its current usage. IT IS STRONGLY RECOMMENDED THATAMANHOLE COVER BE INSTALLED TO FINISHED GRADE ON THE SEPTIC TANKAS THE COVER IS TOO HEAVY FOR 1 PERSON TO LIFT.

2) System Conditionally Passes:

replaced or repaired. The system, upon completion of the replacement or repair, as approved by the Board of Health, will pass.

The septic tank is metal and over 20 years old* or the septic tank (whether metal or not) is structurally unsound, exhibits substantial infiltration or exfiltration or tank failure is imminent. System will pass inspection if the existing tank is replaced with a complying septic tank as approved by the Board of Health.

* A metal septic tank will pass inspection if it is structurally sound, not leaking and if a Certificate of Compliance indicating that the tank is less than 20 years old is available.

Y N

ND (Explain below):

t5insp
2 of 18
/25/2018
Property Address City/Town State Zip Code Date of Inspection

Owner information is required for every page.

Commonwealth of Massachusetts

Title 5 Official Inspection Form

Subsurface Sewage Disposal System Form - Not for Voluntary Assessments

149 Bennett Rd-House

C. Inspection Summary (cont.)

2) System Conditionally Passes (cont.): Pump Chamber pumps/alarms not operational. System will pass with Board of Health approval if pumps/alarms are repaired.

Observation of sewage backup or break out or high static water level in the distribution box due to broken or obstructed pipe(s) or due to a broken, settled or uneven distribution box. System will pass inspection if (with approval of Board of Health):

The system required pumping more than 4 times a year due to broken or obstructed pipe(s). The system will pass inspection if (with approval of the Board of Health):

3) Further Evaluation is Required by the Board of Health:

Conditions exist which require further evaluation by the Board of Health in order to determine if the system is failing to protect public health, safety or the environment.

a. System will pass unless Board of Health determines in accordance with 310 CMR 15.303(1)(b) that the system is not functioning in a manner which will protect public health, safety and the environment:

t5insp /25/2018 3 of 18
Property Address City/Town State Zip Code Date of Inspection
broken pipe(s) are replaced Y N ND (Explain below): obstruction is removed Y N ND (Explain below): distribution box is leveled or replaced Y N ND (Explain below):
broken pipe(s) are replaced Y N ND (Explain below): obstruction is removed Y N ND (Explain below):
Ashby MA 01431-1 02/14/2022

Title 5 Official Inspection Form

Subsurface Sewage Disposal System Form - Not for Voluntary Assessments

149 Bennett Rd-House

C. Inspection Summary (cont.)

Cesspool or privy is within 50 feet of a surface water

Cesspool or privy is within 50 feet of a bordering vegetated wetland or a salt marsh

b. System will fail unless the Board of Health (and Public Water Supplier, if any) determines that the system is functioning in a manner that protects the public health, safety and environment:

The system has a septic tank and soil absorption system (SAS) and the SAS is within 100 feet of a surface water supply or tributary to a surface water supply.

The system has a septic tank and SAS and the SAS is within a Zone 1 of a public water supply.

The system has a septic tank and SAS and the SAS is within 50 feet of a private water supply well.

The system has a septic tank and SAS and the SAS is less than 100 feet but 50 feet or more from a private water supply well** . Method used to determine distance:

** This system passes if the well water analysis, performed at a DEP certified laboratory, for fecal coliform bacteria indicates absent and the presence of ammonia nitrogen and nitrate nitrogen is equal to or less than 5 ppm, provided that no other failure criteria are triggered. A copy of the analysis must be attached to this form.

c. Other:

4) System Failure Criteria Applicable to All Systems:

You must all inspections:

Yes No

Backup of sewage into facility or system component due to overloaded or clogged SAS or cesspool

Discharge or ponding of effluent to the surface of the ground or surface waters due to an overloaded or clogged SAS or cesspool

t5insp /25/2018 4 of 18
Owner information is required for every page.
Commonwealth of Massachusetts
City/Town State Zip Code Date of Inspection
Property Address
02/14/2022

information is required for every page.

Commonwealth of Massachusetts Title 5 Official Inspection Form

Subsurface Sewage Disposal System Form - Not for Voluntary Assessments

149 Bennett Rd-House

Ashby MA 01431-1 02/14/2022

C. Inspection Summary (cont.)

4) System Failure Criteria Applicable to All Systems: (cont.)

Yes No

Static liquid level in the distribution box above outlet invert due to an overloaded or clogged SAS or cesspool

than ½ day flow

Required pumping more than 4 times in the last year NOT due to clogged or obstructed pipe(s). Number of times pumped: .

Any portion of the SAS, cesspool or privy is below high ground water elevation.

Any portion of cesspool or privy is within 100 feet of a surface water supply or tributary to a surface water supply.

Any portion of a cesspool or privy is within a Zone 1 of a public water supply well.

Any portion of a cesspool or privy is within 50 feet of a private water supply well.

Any portion of a cesspool or privy is less than 100 feet but greater than 50 feet from a private water supply well with no acceptable water quality analysis. [This system passes if the well water analysis, performed at a DEP certified laboratory, for fecal coliform bacteria indicates absent and the presence of ammonia nitrogen and nitrate nitrogen is equal to or less than 5 ppm, provided that no other failure criteria are triggered. A copy of the analysis and chain of custody must be attached to this form.]

The system is a cesspool serving a facility with a design flow of 2000 gpd10,000 gpd.

The system fails. I have determined that one or more of the above failure criteria exist as described in 310 CMR 15.303, therefore the system fails. The system owner should contact the Board of Health to determine what will be necessary to correct the failure.

5) Large Systems: To be considered a large system the system must serve a facility with a design flow of 10,000 gpd to 15,000 gpd.

questions in Section C.4.

Yes No

the system is within 400 feet of a surface drinking water supply the system is within 200 feet of a tributary to a surface drinking water supply the system is located in a nitrogen sensitive area (Interim Wellhead Protection Area IWPA) or a mapped Zone II of a public water supply well

t5insp /25/2018 5 of 18
Owner
Property
City/Town State Zip Code Date of Inspection
Address

Owner information is required for every page.

Commonwealth of Massachusetts

Title 5 Official Inspection Form

Subsurface Sewage Disposal System Form - Not for Voluntary Assessments

149 Bennett Rd-House

Ashby

C. Inspection Summary (cont.)

MA 01431-1

02/14/2022

any question in Section C.5 the system is considered a significant owner or operator of any large system considered a significant threat under Section C.5 or failed under Section C.4 shall upgrade the system in accordance with 310 CMR 15.304. The system owner should contact the appropriate regional office of the Department.

6. all inspections:

Pumping information was provided by the owner, occupant, or Board of Health

Were any of the system components pumped out in the previous two weeks?

Has the system received normal flows in the previous two week period?

Have large volumes of water been introduced to the system recently or as part of this inspection?

Were as built plans of the system obtained and examined? (If they were not available note as N/A)

Was the facility or dwelling inspected for signs of sewage back up?

Was the site inspected for signs of break out?

Were all system components, excluding the SAS, located on site?

Were the septic tank manholes uncovered, opened, and the interior of the tank inspected for the condition of the baffles or tees, material of construction, dimensions, depth of liquid, depth of sludge and depth of scum?

Was the facility owner (and occupants if different from owner) provided with information on the proper maintenance of subsurface sewage disposal systems? The size and location of the Soil Absorption System (SAS) on the site has been determined based on:

Existing information. For example, a plan at the Board of Health. Determined in the field (if any of the failure criteria related to Part C is at issue approximation of distance is unacceptable) [310 CMR 15.302(5)]

t5insp /25/2018 6 of 18
Property Address City/Town State Zip Code Date of Inspection
Yes No

Owner information is required for every page.

Commonwealth of Massachusetts

Title 5 Official Inspection Form

Subsurface Sewage Disposal System Form - Not for Voluntary Assessments

149 Bennett Rd-House

D. System Information

1. Residential Flow Conditions:

Number of bedrooms (design):

of bedrooms (actual): DESIGN flow based on 310 CMR 15.203 (for example: 110 gpd x # of bedrooms):

Number of current residents:

Does residence have a garbage grinder?

Does residence have a water treatment unit?

If yes, discharges to:

Is laundry on a separate sewage system? (Include laundry system inspection information in this report.)

system inspected?

use?

Water meter readings, if available (last 2 years usage (gpd)):

occupancy: Date

t5insp /25/2018 7 of 18
Property
City/Town State Zip Code Date of Inspection
Address
Description:
Number
Yes No
Yes No
Yes
Laundry
Yes
Seasonal
Yes
No
No
No
Detail: Sump
pump? Yes No Last date of
Stephen Sockol Ashby MA 01431-1 02/14/2022 4 4 440 1500 gallon H20 tank/1000
chamber/distribution box/soil absorption system 2 Private Well Well is 100’+ to the SAS Current
gallon pump

Owner information is required for every page.

Commonwealth of Massachusetts

Title 5 Official Inspection Form

Subsurface Sewage Disposal System Form - Not for Voluntary Assessments

149 Bennett Rd-House Stephen Sockol

D. System Information (cont.)

2. Commercial/Industrial Flow Conditions:

Type of Establishment:

Design flow (based on 310 CMR 15.203): Gallons per day (gpd)

Basis of design flow (seats/persons/sq.ft., etc.):

Water meter readings, if available:

Last date of occupancy/use:

Other (describe below):

3. Pumping Records:

Source of information:

Was system pumped as part of the inspection? Yes No

If yes, volume pumped: gallons

How was quantity pumped determined?

Reason for pumping:

t5insp /25/2018 8 of 18
Property Address City/Town State Zip Code Date of Inspection
Grease
Yes No Water
Yes No
trap present?
treatment unit present?
Industrial
Yes No Non-sanitary
Yes
If yes, discharges to:
waste holding tank present?
waste discharged to the Title 5 system?
No
Date
Ashby
02/14/2022
1500
measurements
MA 01431-1
Last pumped in summer 2021 per homeowner
Gauge on the truck and tank
Remove solids and check the integrity of the tank

Owner information is required for every page.

Commonwealth of Massachusetts Title 5 Official Inspection Form

Subsurface Sewage Disposal System Form - Not for Voluntary Assessments

149 Bennett Rd-House

Stephen Sockol

Ashby

D. System Information (cont.)

4. Type of System:

MA 01431-1

02/14/2022

Septic tank, distribution box, soil absorption system

Single cesspool

Overflow cesspool

Privy

Shared system (yes or no) (if yes, attach previous inspection records, if any)

Innovative/Alternative technology. Attach a copy of the current operation and maintenance contract (to be obtained from system owner) and a copy of latest inspection of the I/A system by system operator under contract

Tight tank. Attach a copy of the DEP approval.

Other (describe):

Septic tank, pump chamber, distribution box, soil absorption system

Approximate age of all components, date installed (if known) and source of information:

Installed

Were sewage odors detected when arriving at the site? Yes No

5. Building Sewer (locate on site plan):

2’Below Sill

Depth below grade: feet

Material of construction: cast iron 40 PVC other (explain):

4”

25’+ from suction line

Distance from private water supply well or suction line: feet

Comments (on condition of joints, venting, evidence of leakage, etc.):

t5insp /25/2018 9 of 18
Property Address City/Town State Zip Code Date of Inspection
in September 1997 per as built plan
There are 2 sewer lines leaving the house. All visible joints are of good condition with no evidence of any leakage. Appears to be vented properly.

Owner information is required for every page.

Commonwealth of Massachusetts Title 5 Official Inspection Form

149 Bennett Rd-House

Subsurface Sewage Disposal System Form - Not for Voluntary Assessments Property Address

Stephen Sockol Ashby

D. System Information (cont.)

6. Septic Tank (locate on site plan):

MA 01431-1

Depth below grade: feet

Material of construction: concrete metal fiberglass polyethylene other (explain)

If tank is metal, list age: years

Is age confirmed by a Certificate of Compliance? (attach a copy of certificate) Yes No

Dimensions:

Sludge depth:

Distance from top of sludge to bottom of outlet tee or baffle

Scum thickness

Distance from top of scum to top of outlet tee or baffle

Distance from bottom of scum to bottom of outlet tee or baffle

How were dimensions determined?

Comments (on pumping recommendations, inlet and outlet tee or baffle condition, structural integrity, liquid levels as related to outlet invert, evidence of leakage, etc.):

Recommend yearly pumping. Tank is a 1500 gallon H20 tank. Inlet and outlet tees are PVC and of good working condition. Tank is structurally sound with no evidence of any leakage. Liquid level is at the base of the outlet invert. The center and outlet cover on tank are seized on and can’t be removed. The inlet cover is extremely heavy and needs to 2 men to remove. IT IS STRONGLY RECOMMENDED THATAMANHOLE COVER BE INSTALLED TO BRING THE INLET COVER TO GRADE.

t5insp /25/2018 10 of 18
City/Town State Zip Code Date of Inspection
02/14/2022 8” 10’6”L x 5’8”W x 5’D 4” 30” 2” 4” 12” Visual Inspection

Owner information is required for every page.

Commonwealth of Massachusetts Title 5 Official Inspection Form

Subsurface Sewage Disposal System Form - Not for Voluntary Assessments

149 Bennett Rd-House

Stephen Sockol

Ashby

D. System Information (cont.)

7. Grease Trap (locate on site plan):

MA 01431-1

02/14/2022

Depth below grade: feet

Material of construction:

concrete metal fiberglass polyethylene other (explain):

Dimensions:

Scum thickness

Distance from top of scum to top of outlet tee or baffle

Distance from bottom of scum to bottom of outlet tee or baffle

Date of last pumping: Date

Comments (on pumping recommendations, inlet and outlet tee or baffle condition, structural integrity, liquid levels as related to outlet invert, evidence of leakage, etc.):

8. Tight or Holding Tank (tank must be pumped at time of inspection) (locate on site plan):

Depth below grade:

Material of construction:

concrete metal fiberglass polyethylene other (explain):

Dimensions:

Capacity: gallons

Design Flow: gallons per day

t5insp /25/2018 11 of 18
Address City/Town State Zip Code Date of Inspection
Property

Owner information is required for every page.

Commonwealth of Massachusetts Title 5 Official Inspection Form

Subsurface Sewage Disposal System Form - Not for Voluntary Assessments

149 Bennett Rd-House

Stephen Sockol Ashby MA 01431-1 02/14/2022

D. System Information (cont.)

8. Tight or Holding Tank (cont.)

Alarm present: Yes No

Alarm level: Alarm in working order: Yes No

Date of last pumping: Date

Comments (condition of alarm and float switches, etc.):

* Attach copy of current pumping contract (required). Is copy attached? Yes No

9. Distribution Box (if present must be opened) (locate on site plan):

Depth of liquid level above outlet invert

Comments (note if box is level and distribution to outlets equal, any evidence of solids carryover, any evidence of leakage into or out of box, etc.):

Box is level with equal distribution to all 3 outlets. No evidence of any solids carryover. No evidence of any leakage in to or out of the box. Box is 14” below grade.

t5insp /25/2018 12 of 18
Property
City/Town State Zip Code Date of Inspection
Address
0”

Owner information is required for every page.

Commonwealth of Massachusetts

Title 5 Official Inspection Form

Subsurface Sewage Disposal System Form - Not for Voluntary Assessments

149 Bennett Rd-House

Stephen Sockol

Ashby MA 01431-1

D. System Information (cont.)

10. Pump Chamber (locate on site plan):

02/14/2022

Pumps in working order: Yes No*

Alarms in working order: Yes No*

Comments (note condition of pump chamber, condition of pumps and appurtenances, etc.):

Pump chamber is a 1000 gallon tank that is 20” below grade with a manhole cover to 2” of grade. Pump chamber, pump, floats and alarm are all of good working condition.

* If pumps or alarms are not in working order, system is a conditional pass.

11. Soil Absorption System (SAS) (locate on site plan, excavation not required):

If SAS not located, explain why:

Type:

leaching pits

leaching chambers

leaching galleries

leaching trenches

leaching fields

number:

number:

number:

number, length:

number, dimensions:

overflow cesspool number:

innovative/alternative system

Type/name of technology:

t5insp /25/2018 13 of 18
Property Address City/Town State Zip Code Date of Inspection
3 @ 50’L per plan

Owner information is required for every page.

Commonwealth of Massachusetts

Title 5 Official Inspection Form

Subsurface Sewage Disposal System Form - Not for Voluntary Assessments

149 Bennett Rd-House

Stephen Sockol Ashby MA 01431-1 02/14/2022

D. System Information (cont.)

11. Soil Absorption System (SAS) (cont.)

Comments (note condition of soil, signs of hydraulic failure, level of ponding, damp soil, condition of vegetation, etc.):

Dry gravel soil with no signs of any hydraulic failure. No ponding. Normal grass vegetation.

12. Cesspools (cesspool must be pumped as part of inspection) (locate on site plan):

Number and configuration

Depth top of liquid to inlet invert

Depth of solids layer

Depth of scum layer

Dimensions of cesspool

Materials of construction

Indication of groundwater inflow Yes No

Comments (note condition of soil, signs of hydraulic failure, level of ponding, condition of vegetation, etc.):

t5insp /25/2018 14 of 18
City/Town State Zip Code Date of Inspection
Property Address

Owner information is required for every page.

Commonwealth of Massachusetts

Title 5 Official Inspection Form

Subsurface Sewage Disposal System Form - Not for Voluntary Assessments

149 Bennett Rd-House

Stephen Sockol

D. System Information (cont.)

13. Privy (locate on site plan):

Materials of construction:

Dimensions

Depth of solids

Comments (note condition of soil, signs of hydraulic failure, level of ponding, condition of vegetation, etc.):

t5insp /25/2018 15 of 18
City/Town State Zip Code Date of Inspection
Property Address
Ashby MA 01431-1 02/14/2022

Owner information is required for every page.

Commonwealth of Massachusetts

Title 5 Official Inspection Form

Subsurface Sewage Disposal System Form - Not for Voluntary Assessments

149 Bennett Rd-House Stephen Sockol

D. System Information (cont.)

14. Sketch Of Sewage Disposal System: Provide a view of the sewage disposal system, including ties to at least two permanent reference landmarks or benchmarks. Locate all wells within 100 feet. Locate where public water supply enters the building. Check one of the boxes below:

hand-sketch in the area below drawing attached separately

t5insp /25/2018 16 of 18
Property Address City/Town State Zip Code Date of Inspection
Ashby MA 01431-1 02/14/2022

Owner information is required for every page.

Commonwealth of Massachusetts Title 5 Official Inspection Form

Subsurface Sewage Disposal System Form - Not for Voluntary Assessments

149 Bennett Rd-House Stephen Sockol

D. System Information (cont.)

15. Site Exam:

Check Slope

Surface water

Check cellar

Shallow wells

Estimated depth to high ground water: feet

Please indicate all methods used to determine the high ground water elevation:

Obtained from system design plans on record

If checked, date of design plan reviewed: Date

Observed site (abutting property/observation hole within 150 feet of SAS)

Checked with local Board of Health - explain:

Checked with local excavators, installers - (attach documentation)

Accessed USGS database - explain:

You must describe how you established the high ground water elevation: Before filing this Inspection Report, please see Report Completeness Checklist on next page.

t5insp /25/2018 17 of 18
City/Town State Zip Code Date of Inspection
Property Address
Ashby MA 01431-1 02/14/2022 5.3’ 12/7/96 Soil testing info dated 11/12/96 on design plan dated 12/7/96 lists groundwater at 5.3’.

Owner information is required for every page.

Commonwealth of Massachusetts

Title 5 Official Inspection Form

Subsurface Sewage Disposal System Form - Not for Voluntary Assessments

149 Bennett Rd-House

Stephen Sockol

Ashby MA 01431-1

E. Report Completeness Checklist

Complete all applicable sections of this form inclusive of:

A. Inspector Information: Complete all fields in this section.

B. Certification: Signed & Dated and 1, 2, 3, or 4 checked

C. Inspection Summary:

1, 2, 3, or 5 completed as appropriate

4 (Failure Criteria) and 6 (Checklist) completed

D. System Information:

For 8: Tight/Holding Tank Pumping contract attached

02/14/2022

For 15: Sketch of Sewage Disposal System drawn on pg. 16 or attached

For 16: Explanation of estimated depth to high groundwater included

t5insp /25/2018 18 of 18
Property Address City/Town State Zip Code Date of Inspection

CERTIFICATE OF TITLE 5 INSPECTION

Inspection requested by:

Stephen Sockol

Name: ______________________________________________

Address: ____________________________________________

City, State & Zip: ______________________________________

Report preference: Email Mail

Inspection Location:

149 Bennett Rd-Utility Building

Street Address: _______________________________________

Ashby MA01431-1709

City, State & Zip: ______________________________________

149 Bennett Rd Ashby MA01431-1709 Holding

System Type: ___________________ System size: __________

# of Compartments _______________

Date of Inspection: ____________________________________

NOTE: This inspection report is valid for 3 years from the date of the inspection, if the tank is pumped annually. Nss-25

2
No
Tank/Tank/SAS 1500 septic & 2000
02/14/2022

Owner information is required for every page.

Commonwealth of Massachusetts

Title 5 Official Inspection Form

Subsurface Sewage Disposal System Form - Not for Voluntary Assessments

149 Bennett Rd-Utility Building

Stephen Sockol

Ashby MA 01431-1 02/14/2022

Inspection results must be submitted on this form. Inspection forms may not be altered in any way. Please see completeness checklist at the end of the form.

Important: When filling out forms on the computer, use only the tab key to move your cursor - do not use the return key.

A.Inspector Information

Northboro Septic Service, Inc. dba Curtis Septic

124 Main Street

Northboro MA 01532

(508) 393-7234

B.Certification

I certify that: I am a DEP approved system inspector in full compliance with Section 15.340 of Title 5 (310 CMR 15.000); I have personally inspected the sewage disposal system at the property address listed above; the information reported below is true, accurate and complete as of the time of my inspection; and the inspection was performed based on my training and experience in the proper function and maintenance of on-site sewage disposal systems. After conducting this inspection I have determined that the system:

1. Passes

2. Conditionally Passes

3. Needs Further Evaluation by the Local Approving Authority

4. Fails

The system inspector shall submit a copy of this inspection report to the Approving Authority (Board of Health or DEP) within 30 days of completing this inspection. If the system has a design flow of 10,000 gpd or greater, the inspector and the system owner shall submit the report to the appropriate regional office of the DEP. The original form should be sent to the system owner and copies sent to the buyer, if applicable, and the approving authority.

Please note: This report only describes conditions at the time of inspection and under the conditions of use at that time. This inspection does not address how the system will perform in the future under the same or different conditions of use.

t5insp /25/2018 1 of 18
Property Address City/Town State Zip Code Date of Inspection
of Inspector Company Name Company Address City/Town State Zip Code Telephone Number License Number
Name
Date
02/14/2022
SI4239

Owner information is required for every page.

Commonwealth of Massachusetts Title 5 Official Inspection Form

Subsurface Sewage Disposal System Form - Not for Voluntary Assessments

149 Bennett Rd-Utility Building

Stephen Sockol Ashby

C. Inspection Summary

MA 01431-1

02/14/2022

Inspection Summary: Complete 1, 2, 3, or 5 and all of 4 and 6.

1) System Passes:

I have not found any information which indicates that any of the failure criteria described in 310 CMR 15.303 or in 310 CMR 15.304 exist. Any failure criteria not evaluated are indicated below.

Comments:

System appears to be functioning properly under its current usage.

2) System Conditionally Passes:

replaced or repaired. The system, upon completion of the replacement or repair, as approved by the Board of Health, will pass.

The septic tank is metal and over 20 years old* or the septic tank (whether metal or not) is structurally unsound, exhibits substantial infiltration or exfiltration or tank failure is imminent. System will pass inspection if the existing tank is replaced with a complying septic tank as approved by the Board of Health.

* A metal septic tank will pass inspection if it is structurally sound, not leaking and if a Certificate of Compliance indicating that the tank is less than 20 years old is available.

Y N

ND (Explain below):

t5insp
2 of 18
/25/2018
Property Address City/Town State Zip Code Date of Inspection

Owner information is required for every page.

Commonwealth of Massachusetts

Title 5 Official Inspection Form

Subsurface Sewage Disposal System Form - Not for Voluntary Assessments

149 Bennett Rd-Utility Building

Stephen Sockol Ashby

C. Inspection Summary (cont.)

2) System Conditionally Passes (cont.): Pump Chamber pumps/alarms not operational. System will pass with Board of Health approval if pumps/alarms are repaired.

Observation of sewage backup or break out or high static water level in the distribution box due to broken or obstructed pipe(s) or due to a broken, settled or uneven distribution box. System will pass inspection if (with approval of Board of Health):

The system required pumping more than 4 times a year due to broken or obstructed pipe(s). The system will pass inspection if (with approval of the Board of Health):

3) Further Evaluation is Required by the Board of Health:

Conditions exist which require further evaluation by the Board of Health in order to determine if the system is failing to protect public health, safety or the environment.

a. System will pass unless Board of Health determines in accordance with 310 CMR 15.303(1)(b) that the system is not functioning in a manner which will protect public health, safety and the environment:

t5insp /25/2018 3 of 18
Property Address City/Town State Zip Code Date of Inspection
broken pipe(s) are replaced Y N ND (Explain below): obstruction is removed Y N ND (Explain below): distribution box is leveled or replaced Y N ND (Explain below):
broken pipe(s) are replaced Y N ND (Explain below): obstruction is removed Y N ND (Explain below):
MA 01431-1 02/14/2022

Title 5 Official Inspection Form

Subsurface Sewage Disposal System Form - Not for Voluntary Assessments

149 Bennett Rd-Utility Building

C. Inspection Summary (cont.)

Cesspool or privy is within 50 feet of a surface water

Cesspool or privy is within 50 feet of a bordering vegetated wetland or a salt marsh

b. System will fail unless the Board of Health (and Public Water Supplier, if any) determines that the system is functioning in a manner that protects the public health, safety and environment:

The system has a septic tank and soil absorption system (SAS) and the SAS is within 100 feet of a surface water supply or tributary to a surface water supply.

The system has a septic tank and SAS and the SAS is within a Zone 1 of a public water supply.

The system has a septic tank and SAS and the SAS is within 50 feet of a private water supply well.

The system has a septic tank and SAS and the SAS is less than 100 feet but 50 feet or more from a private water supply well** . Method used to determine distance:

** This system passes if the well water analysis, performed at a DEP certified laboratory, for fecal coliform bacteria indicates absent and the presence of ammonia nitrogen and nitrate nitrogen is equal to or less than 5 ppm, provided that no other failure criteria are triggered. A copy of the analysis must be attached to this form.

c. Other:

4) System Failure Criteria Applicable to All Systems:

You must all inspections:

Yes No

Backup of sewage into facility or system component due to overloaded or clogged SAS or cesspool

Discharge or ponding of effluent to the surface of the ground or surface waters due to an overloaded or clogged SAS or cesspool

t5insp /25/2018 4 of 18
Owner information is required for every page.
Commonwealth of Massachusetts
City/Town State Zip Code Date of Inspection
Property Address
02/14/2022

information is required for every page.

Commonwealth of Massachusetts Title 5 Official Inspection Form

Subsurface Sewage Disposal System Form - Not for Voluntary Assessments

149 Bennett Rd-Utility Building

Ashby

C. Inspection Summary (cont.)

MA 01431-1 02/14/2022

4) System Failure Criteria Applicable to All Systems: (cont.)

Yes No

Static liquid level in the distribution box above outlet invert due to an overloaded or clogged SAS or cesspool

than ½ day flow

Required pumping more than 4 times in the last year NOT due to clogged or obstructed pipe(s). Number of times pumped: .

Any portion of the SAS, cesspool or privy is below high ground water elevation.

Any portion of cesspool or privy is within 100 feet of a surface water supply or tributary to a surface water supply.

Any portion of a cesspool or privy is within a Zone 1 of a public water supply well.

Any portion of a cesspool or privy is within 50 feet of a private water supply well.

Any portion of a cesspool or privy is less than 100 feet but greater than 50 feet from a private water supply well with no acceptable water quality analysis. [This system passes if the well water analysis, performed at a DEP certified laboratory, for fecal coliform bacteria indicates absent and the presence of ammonia nitrogen and nitrate nitrogen is equal to or less than 5 ppm, provided that no other failure criteria are triggered. A copy of the analysis and chain of custody must be attached to this form.]

The system is a cesspool serving a facility with a design flow of 2000 gpd10,000 gpd.

The system fails. I have determined that one or more of the above failure criteria exist as described in 310 CMR 15.303, therefore the system fails. The system owner should contact the Board of Health to determine what will be necessary to correct the failure.

5) Large Systems: To be considered a large system the system must serve a facility with a design flow of 10,000 gpd to 15,000 gpd.

questions in Section C.4.

Yes No

the system is within 400 feet of a surface drinking water supply the system is within 200 feet of a tributary to a surface drinking water supply the system is located in a nitrogen sensitive area (Interim Wellhead Protection Area IWPA) or a mapped Zone II of a public water supply well

t5insp
5 of 18
/25/2018
Owner
Property Address City/Town State Zip Code Date of Inspection

Owner information is required for every page.

Commonwealth of Massachusetts Title 5 Official Inspection Form

Subsurface Sewage Disposal System Form - Not for Voluntary Assessments

149 Bennett Rd-Utility Building

Ashby

C. Inspection Summary (cont.)

MA 01431-1

02/14/2022

any question in Section C.5 the system is considered a significant owner or operator of any large system considered a significant threat under Section C.5 or failed under Section C.4 shall upgrade the system in accordance with 310 CMR 15.304. The system owner should contact the appropriate regional office of the Department.

6. all inspections:

Pumping information was provided by the owner, occupant, or Board of Health

Were any of the system components pumped out in the previous two weeks?

Has the system received normal flows in the previous two week period?

Have large volumes of water been introduced to the system recently or as part of this inspection?

Were as built plans of the system obtained and examined? (If they were not available note as N/A)

Was the facility or dwelling inspected for signs of sewage back up?

Was the site inspected for signs of break out?

Were all system components, excluding the SAS, located on site?

Were the septic tank manholes uncovered, opened, and the interior of the tank inspected for the condition of the baffles or tees, material of construction, dimensions, depth of liquid, depth of sludge and depth of scum?

Was the facility owner (and occupants if different from owner) provided with information on the proper maintenance of subsurface sewage disposal systems? The size and location of the Soil Absorption System (SAS) on the site has been determined based on:

Existing information. For example, a plan at the Board of Health. Determined in the field (if any of the failure criteria related to Part C is at issue approximation of distance is unacceptable) [310 CMR 15.302(5)]

t5insp /25/2018 6 of 18
Property Address City/Town State Zip Code Date of Inspection
Yes No
N/A

Owner information is required for every page.

Commonwealth of Massachusetts

Title 5 Official Inspection Form

Subsurface Sewage Disposal System Form - Not for Voluntary Assessments

149 Bennett Rd-Utility Building

Stephen Sockol

Ashby MA 01431-1 02/14/2022

D. System Information

1. Residential Flow Conditions:

Number of bedrooms (design):

Number of bedrooms (actual):

DESIGN flow based on 310 CMR 15.203 (for example: 110 gpd x # of bedrooms):

Description:

Number of current residents:

Does residence have a garbage grinder? Yes No

Does residence have a water treatment unit? Yes No

If yes, discharges to:

Is laundry on a separate sewage system? (Include laundry system inspection information in this report.) Yes No

Laundry system inspected? Yes No

Seasonal use? Yes No

Water meter readings, if available (last 2 years usage (gpd)):

Detail:

Sump pump? Yes No

Last date of occupancy: Date

t5insp /25/2018 7 of 18
Property
City/Town State Zip Code Date of Inspection
Address

Owner information is required for every page.

Commonwealth of Massachusetts

Title 5 Official Inspection Form

Subsurface Sewage Disposal System Form - Not for Voluntary Assessments

149 Bennett Rd-Utility Building

D. System Information (cont.)

2. Commercial/Industrial Flow Conditions:

Type of Establishment:

Design flow (based on 310 CMR 15.203):

Basis of design flow (seats/persons/sq.ft., etc.):

per day (gpd)

meter readings, if available: Last date of occupancy/use:

Other (describe below):

3. Pumping Records:

Source of information:

Was system pumped as part of the inspection? Yes No

If yes, volume pumped: gallons

How was quantity pumped determined?

Reason for pumping:

t5insp /25/2018 8 of 18
Property
City/Town State Zip Code Date of Inspection
Address
Gallons
Grease
Yes No Water
Yes No
Industrial
Yes No Non-sanitary
Yes No Water
Date
trap present?
treatment unit present?
If yes, discharges to:
waste holding tank present?
waste discharged to the Title 5 system?
02/14/2022 Manufacturing/Factory 330 GPD per plan 16 employees @ 20 GPD Private Well Current Not pumped since installed 1500 2 compartments Gauge on the truck and tank measurements Remove solids and check the integrity of the tank
Stephen Sockol Ashby MA 01431-1

Owner information is required for every page.

Commonwealth of Massachusetts Title 5 Official Inspection Form

Subsurface Sewage Disposal System Form - Not for Voluntary Assessments

149 Bennett Rd-Utility Building

Stephen Sockol

Ashby

D. System Information (cont.)

4. Type of System:

MA 01431-1

02/14/2022

Septic tank, distribution box, soil absorption system

Single cesspool

Overflow cesspool

Privy

Shared system (yes or no) (if yes, attach previous inspection records, if any)

Innovative/Alternative technology. Attach a copy of the current operation and maintenance contract (to be obtained from system owner) and a copy of latest inspection of the I/A system by system operator under contract

Tight tank. Attach a copy of the DEP approval.

Other (describe):

Holding tank, septic tank, distribution box, soil absorption system

Approximate age of all components, date installed (if known) and source of information:

Installed in 2019 per plan

Were sewage odors detected when arriving at the site? Yes No

5. Building Sewer (locate on site plan):

Unknown

Depth below grade: feet

Material of construction:

cast iron 40 PVC other (explain):

Well is 100’+ to the SAS

Distance from private water supply well or suction line: feet

Comments (on condition of joints, venting, evidence of leakage, etc.):

Plumbing

t5insp /25/2018 9 of 18
Property
City/Town State Zip Code Date of Inspection
Address
leaves under a slab foundation. Well is out behind the greenhouse.

Owner information is required for every page.

Commonwealth of Massachusetts

Title 5 Official Inspection Form

Subsurface Sewage Disposal System Form - Not for Voluntary Assessments Property Address

149 Bennett Rd-Utility Building

D. System Information (cont.)

6. Septic Tank (locate on site plan):

Depth below grade: feet

Material of construction: concrete metal fiberglass polyethylene other (explain)

If tank is metal, list age: years

Is age confirmed by a Certificate of Compliance? (attach a copy of certificate) Yes No

Dimensions:

Sludge depth:

Distance from top of sludge to bottom of outlet tee or baffle

Scum thickness

Distance from top of scum to top of outlet tee or baffle

Distance from bottom of scum to bottom of outlet tee or baffle

How were dimensions determined?

Comments (on pumping recommendations, inlet and outlet tee or baffle condition, structural integrity, liquid levels as related to outlet invert, evidence of leakage, etc.):

Recommend yearly pumping. Tank is a 1500 gallon dual compartment tank. Inlet and outlet tees are PVC and of good working condition. Tank is structurally sound with no evidence of any leakage. Liquid level is at the base of the outlet invert.

t5insp /25/2018 10 of 18
City/Town State Zip Code Date of Inspection
02/14/2022 0” 10’6”L x 5’8”W x 5’D 0” 34” 0” 6” 14” Visual Inspection
Stephen Sockol Ashby MA 01431-1

Owner information is required for every page.

Commonwealth of Massachusetts Title 5 Official Inspection Form

Subsurface Sewage Disposal System Form - Not for Voluntary Assessments

149 Bennett Rd-Utility Building

Stephen Sockol

D. System Information (cont.)

7. Grease Trap (locate on site plan):

Depth below grade: feet

Material of construction:

concrete metal fiberglass polyethylene other (explain):

Dimensions:

Scum thickness

Distance from top of scum to top of outlet tee or baffle

Distance from bottom of scum to bottom of outlet tee or baffle

Date of last pumping: Date

Comments (on pumping recommendations, inlet and outlet tee or baffle condition, structural integrity, liquid levels as related to outlet invert, evidence of leakage, etc.):

8. Tight or Holding Tank (tank must be pumped at time of inspection) (locate on site plan):

Depth below grade:

Material of construction:

concrete metal fiberglass polyethylene other (explain):

Dimensions:

t5insp /25/2018 11 of 18
Property Address City/Town State Zip Code Date of Inspection
Capacity: gallons
Design Flow: gallons per day
01431-1 02/14/2022 0” 12’L x 6’6”W x 5’D 2000 Unknown
Ashby MA

Owner information is required for every page.

Commonwealth of Massachusetts Title 5 Official Inspection Form

Subsurface Sewage Disposal System Form - Not for Voluntary Assessments

149 Bennett Rd-Utility Building

Stephen Sockol Ashby MA 01431-1

D. System Information (cont.)

8. Tight or Holding Tank (cont.)

Alarm present: Yes No

18” from top of tank

02/14/2022

Alarm level: Alarm in working order: Yes No

Date of last pumping: Date

Comments (condition of alarm and float switches, etc.):

Tank is a 2000 gallon industrial waste holding tank. Tank is to grade. Alarm is of good working condition. Tank was empty.

* Attach copy of current pumping contract (required). Is copy attached? Yes No

9. Distribution Box (if present must be opened) (locate on site plan):

Depth of liquid level above outlet invert

Comments (note if box is level and distribution to outlets equal, any evidence of solids carryover, any evidence of leakage into or out of box, etc.):

Box is level with distribution to 1 outlet. No evidence of any solids carryover. No evidence of any leakage in to or out of the box. Box is 8l below grade.

t5insp /25/2018 12 of 18
City/Town State Zip Code Date of Inspection
Property Address
0”

Owner information is required for every page.

Commonwealth of Massachusetts

Title 5 Official Inspection Form

Subsurface Sewage Disposal System Form - Not for Voluntary Assessments

149 Bennett Rd-Utility Building

Stephen Sockol Ashby

D. System Information (cont.)

10. Pump Chamber (locate on site plan):

MA 01431-1

02/14/2022

Pumps in working order: Yes No*

Alarms in working order: Yes No*

Comments (note condition of pump chamber, condition of pumps and appurtenances, etc.):

* If pumps or alarms are not in working order, system is a conditional pass.

11. Soil Absorption System (SAS) (locate on site plan, excavation not required):

If SAS not located, explain why:

Type:

leaching pits

leaching chambers

leaching galleries

leaching trenches

leaching fields

number:

number:

number:

number, length:

number, dimensions:

overflow cesspool number:

innovative/alternative system

Type/name of technology:

t5insp /25/2018 13 of 18
Property Address City/Town State Zip Code Date of Inspection
1 @ 14’W x 42’L Presby Field

Owner information is required for every page.

Commonwealth of Massachusetts

Title 5 Official Inspection Form

Subsurface Sewage Disposal System Form - Not for Voluntary Assessments

149 Bennett Rd-Utility Building

Stephen Sockol

Ashby MA 01431-1 02/14/2022

D. System Information (cont.)

11. Soil Absorption System (SAS) (cont.)

Comments (note condition of soil, signs of hydraulic failure, level of ponding, damp soil, condition of vegetation, etc.):

Dry gravel soil with no signs of any hydraulic failure. No ponding. No vegetation.

12. Cesspools (cesspool must be pumped as part of inspection) (locate on site plan):

Number and configuration

Depth top of liquid to inlet invert

Depth of solids layer

Depth of scum layer

Dimensions of cesspool

Materials of construction

Indication of groundwater inflow Yes No

Comments (note condition of soil, signs of hydraulic failure, level of ponding, condition of vegetation, etc.):

t5insp /25/2018 14 of 18
City/Town State Zip Code Date of Inspection
Property Address

Owner information is required for every page.

Commonwealth of Massachusetts

Title 5 Official Inspection Form

Subsurface Sewage Disposal System Form - Not for Voluntary Assessments

149 Bennett Rd-Utility Building

Stephen Sockol

Ashby MA 01431-1 02/14/2022

D. System Information (cont.)

13. Privy (locate on site plan):

Materials of construction:

Dimensions

Depth of solids

Comments (note condition of soil, signs of hydraulic failure, level of ponding, condition of vegetation, etc.):

t5insp /25/2018 15 of 18
City/Town State Zip Code Date of Inspection
Property Address

Owner information is required for every page.

Commonwealth of Massachusetts

Title 5 Official Inspection Form

Subsurface Sewage Disposal System Form - Not for Voluntary Assessments

149 Bennett Rd-Utility Building

Stephen Sockol

D. System Information (cont.)

14. Sketch Of Sewage Disposal System: Provide a view of the sewage disposal system, including ties to at least two permanent reference landmarks or benchmarks. Locate all wells within 100 feet. Locate where public water supply enters the building. Check one of the boxes below:

hand-sketch in the area below drawing attached separately

t5insp /25/2018 16 of 18
Property Address City/Town State Zip Code Date of Inspection
Ashby MA 01431-1 02/14/2022

Owner information is required for every page.

Commonwealth of Massachusetts Title 5 Official Inspection Form

Subsurface Sewage Disposal System Form - Not for Voluntary Assessments

149 Bennett Rd-Utility Building

Stephen Sockol

D. System Information (cont.)

15. Site Exam:

Check Slope

Surface water

Check cellar

Shallow wells

Estimated depth to high ground water: feet

Please indicate all methods used to determine the high ground water elevation:

Obtained from system design plans on record

If checked, date of design plan reviewed: Date

Observed site (abutting property/observation hole within 150 feet of SAS)

Checked with local Board of Health - explain:

Checked with local excavators, installers - (attach documentation)

Accessed USGS database - explain:

You must describe how you established the high ground water elevation: Before filing this Inspection Report, please see Report Completeness Checklist on next page.

t5insp /25/2018 17 of 18
City/Town State Zip Code Date of Inspection
Property Address
Ashby MA 01431-1 02/14/2022 90” to 108” 5/20/19 Soil testing info dated 4/23/19 on design plan dated 5/20/19 lists ground water from 90” to 108”.

Owner information is required for every page.

Commonwealth of Massachusetts

Title 5 Official Inspection Form

Subsurface Sewage Disposal System Form - Not for Voluntary Assessments

149 Bennett Rd-Utility Building

Stephen Sockol Ashby MA 01431-1

E. Report Completeness Checklist

Complete all applicable sections of this form inclusive of:

A. Inspector Information: Complete all fields in this section.

B. Certification: Signed & Dated and 1, 2, 3, or 4 checked

C. Inspection Summary:

1, 2, 3, or 5 completed as appropriate

4 (Failure Criteria) and 6 (Checklist) completed

D. System Information:

For 8: Tight/Holding Tank Pumping contract attached

02/14/2022

For 15: Sketch of Sewage Disposal System drawn on pg. 16 or attached

For 16: Explanation of estimated depth to high groundwater included

t5insp /25/2018 18 of 18
Property Address City/Town State Zip Code Date of Inspection

Turn static files into dynamic content formats.

Create a flipbook
Issuu converts static files into: digital portfolios, online yearbooks, online catalogs, digital photo albums and more. Sign up and create your flipbook.