Catchment to Coast Research Activities at PML

Page 1

apre@pml.ac.uk Catchment to Coast Research Activities at PML
Andy Rees
Socio-economics

River Flow

July 2007

River Flow from EA at Gunnislake

MetOffice “Rainfall was double the monthly average”

Salinity @ L4

Salinity stratification in near surface over ~3 weeks

elevated DIN at L4 – 2.2 µM relative to 2007 mean of 0.35 µM

not paralleled with changes in DIP

Chlorophyll

intense bloom of diatom Chaeotoceros

debelis followed by massive dinoflagellate increase

Rees et al., 2009 Est, Coast & Shelf Science 81, (2009), 569-574
Tamar & The Western English Channel

Land-Ocean connectivity – the River Tamar

- Catchment to Coast

1. Land Ocean Aquatic Continuum (LOAC) 2. The Western Channel Observatory (WCO) 3. Nature Based Solutions – wetland creation 4. Nature Based Solutions – seagrass

Bi-monthly monitoring of 15 Sites, Top of Tamar to Estuary Mouth (C, N, P, GHGs, microbes)

ParticulateCarbon,

Silicate, CDOM , DOC , DIC , Alkalinity ,

Temperature, Salinity , Conductivity , (Oxygen) , Nitrate,

ParticulateNitrogen,

CarbonDioxide, pH ,

SuspendedSolids,

Quarterly sampling of new wetland (C, N, P, GHGs, microbes)

Weekly sampling at Western Channel Observatory

(C, N, P, GHGs, microbes)

Nitrite, Ammonium, Phosphate

NitrousOxide,

Bacteria, Algae, DNA/RNA

Methane,

Continuous atmospheric observations of NH3, NOx and aerosol NO3, NH4 at Penlee Point Observatory

Catchment to Coast – River Tamar

May 2022

For the marine people!

Mean (± 1sd) nitrate at Gunnislake (2017 – 2022)

X nitrate at Gunnislake 2021

nitrate at Saltash 2021

nitrate at L4 2021

Nitrous oxide is a potent Greenhouse Gas

June 2017

N2O catchment to coast

River flow (Water quantity) affects N2O release to the atmosphere

Since 2003:

Mean winter-time flow rate of Tamar increased at ~ 1.0 m3s-1 y-1

Mean winter-time nitrate at L4 decreased at ~ 48 nmol L-1 y-1

Mean winter-time phosphate at L4 decreased at ~ 5.0 nmol L-1 -1

Western Channel Observatory

Decreasing concentrations of N & P at L4 over the last 20 years.

Nutrients consistently elevated in coastal waters (L4) relative to Atlantic waters (E1).

~40% for N and ~8% for P. BUT

Maximum concentrations of N observed at L4 are strongly correlated to Gunnislake river flow.

L4 E1
Changing Environment

Decrease in mean spring-time Chlorophyll-a of ~0.1µg Chl-a y-1

Conditions reports for local marine users

Operational Model: supporting smart monitoring

Operational models of Tamar estuary and SW UK shelf now produce a 1 day nowcast, 2 day hydrodynamic forecast

https://plymouthmarineforecasts.org/

These support experimental risk management tools for a variety of end users

Accumulation of pollutants

Search and Rescue support

Harmful algal bloom advection forecast

- Integrate WCO/EO observations with model outputs for new operational products (e.g. HAB risk )

- Integrate into smart sound, using machine learning approaches combine with autonomous platforms

- Test new tools for coastal risk and industry needs

- Use to optimise data collection strategies for other science questions

U s e r s F u t u r e F o r e c a s t s y s t e m

AMM15 (2019)

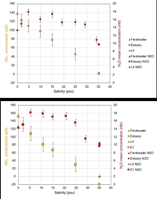
Results are from 2 different years

AMM7 (2018)

Largest differences in a narrow salinity band that occupies the middle part of the estuary

Nitrate

Nitrate

2018-2019: Biogeochemical results

Nature Based Solutions – wetland creation

Gas Exchange

Burial Sediment-C, Denitrification… Exchange w. River Tamar

Digital Elevation

Plant growth

December-August

Sediment Accretion

Socioeconomic Valuation

Photo: Will Jay, Aser Mata

Nature Based Solutions – seagrass

• Seagrasses prefer warm, shallow, saline water with low nutrients

1) What data is available and how do we share it better?

Who can make use of this information and how?

2) What is happening on land that is influencing aquatic systems ?

Who can help us understand how activities on land (in particular agriculture) impact our observations?

3) How do we use the information/data we are collecting to inform management processes. Determine a pipeline for knowledge exchange and impact generation within this group.

Turn static files into dynamic content formats.

Create a flipbook
Issuu converts static files into: digital portfolios, online yearbooks, online catalogs, digital photo albums and more. Sign up and create your flipbook.