Statistical issues in survival analysis (Part III)

Page 1

February 15, 2023

In an article recently published in the Biometrical Journal, Magir and Jimenez discuss delayed separation of survival curves with proposals for a new weighted log-rank test to handle this through stratification. This common problem has occurred in many settings, and especially in immuno-oncology studies. The authors mentioned that since the Cox model has often remained the default type of analysis in these types of studies even if the analysis is faced with nonproportionality. The typical non-proportionality is evidenced by crossing curves but could also be evidence by the delayed separation of curves. The authors goal was for an improved analysis in presence of non-proportional hazards without ignoring prognostic covariates.

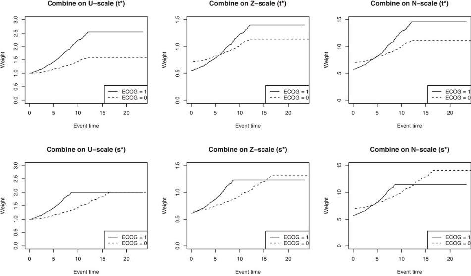
They show their stratified log-rank test for which they seemed to have just adapted the theory for the log-rank test. They briefly discuss Mehrotra’s stratified log-rank test which uses Cox maximum partial likelihood estimates for treatment effect in each strata, therefore, rendering it not completely non-parametric like the log-rank test. Finally they presented their stratifeid weighted log-rank test. They showed it on 3 different scales, U, Z, and N. The U was on a Ustatistic scale, the Z was on a Z-statistics scale as a linear combination of standardized Zstatistics, and the N was where they combined log-hazard ratios according to sample size in each stratum (Ni). They then compared all variations of the log-rank tests, unweighted and weighted as well as unstratified and stratified.

They found the stratified log-rank Z tests, the main one and also the Mehrotra et al version were most powerful. They also found the weighted test versions performed better under the scenarios of delayed separation than the unweighted tests. For the tests that combined weighting and stratification, those that were on the Z-scale performed better than the other scales. However, at times, they did observe effects where the unstratified weighted log-rank test performed better in the absence of a strong prognostic effect. At the end I was expecting to have seen more guidance

in survival analysis (Part III)
Statistical issues

about when these tests could and should be used. It would have been nice if they had come up with a table showing as such.

Keywords: survival, non-proportionality, delayed separation, log-rank test, stratified, weighting

References

Magirr D and Jimenez JL (2023) “Stratified modestly weighted log-rank tests in setting with an anticipated delayed separation of survival curve” Biometrical Journal

https://doi.org/10.1002/bimj.202200126

Mehrotra, D. V., Su, S. C., & Li, X. (2012). An efficient alternative to the stratified Cox model analysis. Statistics in Medicine, 31(17), 1849–1856.

https://onlinelibrary.wiley.com/cms/asset/8f78c7f8-207c-4287-8f84-6b586d3db97d/bimj2425fig-0003-m.jpg

Turn static files into dynamic content formats.

Create a flipbook
Issuu converts static files into: digital portfolios, online yearbooks, online catalogs, digital photo albums and more. Sign up and create your flipbook.