Generación UPSA
REVISTA ACADÉMICA DE GRADUADOS
Facultad de Ciencias Empresariales | Nº 7
#generaciónUPSA
![]()
Facultad de Ciencias Empresariales | Nº 7
#generaciónUPSA
Facultad de Ciencias Empresariales | Nº 7
DIRECTORA
Mary Esther Parada Parada
COORDINACIÓN EDITORIAL
Ana Marietta Colanzi Forfori
CONSEJO EXTERNO
Dr. Luis Guillermo Covernton
(Universidad Católica de Argentina)
CONSEJO EDITORIAL
Roberto Antelo Scott
Ana Marietta Colanzi Forfori
Luz Mariela De Los Rios Cabrera
Rina Torrico Rojas
Juan Fernando Subirana Osuna
Freddy Pacheco Castedo
Antonio de la Vía González
GENERACIÓN UPSA
Revista Académica de Graduados | Nº 7
©2024, Universidad Privada de Santa Cruz de la Sierra - UPSA
© Facultad de Ciencias Empresariales
Primera edición
Año: 2024
Derechos de autor
Prohibida su reproducción Total o Parcial de esta Obra por cualquier medio sin autorización expresa del EDITOR.
CENTRO DE PUBLICACIONES - UPSA
Los artículos publicados expresan la opinión de los autores.
Depósito Legal: 8-1-2875-17
Impreso en Bolivia
Santa Cruz de la Sierra, 2024
1. CÁLCULO DE LA ELASTICIDAD TRIBUTARIA PARA EL DEPARTAMENTO DE SANTA CRUZ CALCULATION OF TAX ELASTICITY OF SANTA CRUZ ....................................................
Enrique Brian Fernandez Zapata
2. EFECTOS DE LA BANCA DIGITAL SOBRE LA BANCARIZACIÓN EN SANTA CRUZ DE LA SIERRA
EFFECTS OF DIGITAL BANKING ON BANKING IN SANTA CRUZ DE LA SIERRA ............
Cindy Lema Silvera
3. RIESGOS CLIMÁTICOS Y SEGUROS AGRÍCOLAS EN BOLIVIA
CLIMATIC RISKS AND AGRICULTURAL INSURANCE IN BOLIVIA
Nataly Alejandra Monroy Garzon
4. IMPACTO DEL GASTO PÚBLICO PRODUCTIVO SOBRE EL CRECIMIENTO ECONÓMICO DE BOLIVIA EN BASE AL MODELO DE BARRO IMPACT OF PRODUCTIVE PUBLIC EXPENDITURE ON GROWTH ECONOMIC DEVELOPMENT OF BOLIVIA, BASED ON THE BARRO MODEL ...................................
Andrés Fermín Paz Ponce
5. ANÁLISIS DE LA NECESIDAD DE APLICAR AJUSTES INTERCENSALES DE FORMA TRIENAL PARA LA DISTRIBUCIÓN DE LA COPARTICIPACIÓN TRIBUTARIA ANALYSIS OF THE NEED TO APPLY INTERCENSAL ADJUSTMENTS TRIENNALLY FOR THE DISTRIBUTION OF TAX CO-PARTICIPATION .................................................
Marcos Leonardo Unzueta Caballero
Los artículos publicados son de entera responsabilidad de los autores y no representan la posición de la Universidad Privada de Santa Cruz de la Sierra - UPSA.
Nos complace presentar la edición No. 7 de Generación UPSA Revista académica de graduados de la Facultad de Ciencias Empresariales, un compendio de investigaciones que reflejan el rigor académico y la relevancia práctica en el ámbito económico y empresarial. En esta ocasión, nuestros graduados abordan temas cruciales para el desarrollo económico y social de Bolivia, con un enfoque particular en el departamento de Santa Cruz.
Entre las temáticas que se abordan están: problemáticas relacionas a la elasticidad tributaria, riesgos climáticos y seguros agrícolas, banca digital y la bancarización, aplicación del modelo de Barro al gasto público productivo y crecimiento económico, así como, ajustes intercensales y coparticipación tributaria.
Cada uno de estos artículos no sólo enriquece el debate académico, sino que también ofrece recomendaciones prácticas que pueden influir en las políticas públicas y el desarrollo económico de Bolivia y muy especialmente del departamento de Santa Cruz, así como dejar temas en mesa para nuevas investigaciones. Agradecemos a nuestros autores por su dedicación y a nuestros lectores por su continuo apoyo y compromiso con la excelencia académica.
Esperamos que esta edición inspire nuevas ideas y contribuciones significativas en el campo de las ciencias empresariales.
Mgs. Mary Esther Parada Parada Decana - Facultad de Ciencias Empresariales Universidad Privada de Santa Cruz de la Sierra
1 Graduado de Ingeniería Económica - UPSA.
Este estudio tuvo como objetivo general proporcionar una medición de las elasticidades de los principales impuestos del sistema tributario del departamento de Santa Cruz, de manera que permita dar señales sobre los efectos que se puede percibir conforme sucedan los cambios en la economía y que contribuya al análisis de la situación fiscal del país. Las estimaciones de las elasticidades se obtuvieron por medio de la aplicación de un modelo de corrección de error y vectores de cointegración, además se estimaron las elasticidades a corto y largo plazo. Las elasticidades tributarias miden el cambio que experimentan los ingresos tributarios ante variaciones en el ingreso o producción nacional.
Si la recaudación depende de varios factores, lo fundamental es determinar para cuáles factores e impuestos es útil calcular la elasticidad. En este estudio se determinaron usar los impuestos del IVA, IT, IUE, GA, IVA importaciones e ICE. Debe tenerse presente que el valor de la elasticidad depende básicamente de la estructura impositiva y de la progresividad del sistema. La elasticidad de la recaudación tributaria es una variable de gran importancia en los análisis de la evolución fiscal y para las proyecciones de ingresos tributarios.
Palabras claves: Elasticidad tributaria, modelo de corrección de error, vectores de cointegración.
En este estudio se presenta una estimación de las elasticidades tributarias para los principales tributos, a saber, impuesto al valor agregado, impuesto a las transacciones, impuesto a las utilidades de las empresas, impuesto al consumo especifico, gravamen arancelario e impuesto al valor agregado
The general objective of this study was to provide a measurement of the elasticities of the main taxes of the tax system of the department of Santa Cruz, so as to give signals on the effects that can be perceived as changes occur in the economy and to contribute to the analysis of the country's fiscal situation. The estimates of the elasticities were obtained through the application of an error correction model and cointegration vectors, in addition the elasticities were estimated in the short and long term. Tax elasticities measure the change in tax revenues in the face of changes in domestic income or production. If the collection depends on several factors, the fundamental thing is to determine for which factors and taxes it is useful to calculate the elasticity. In this study it was determined to use the taxes of VAT, IT, IUE, GA, VAT imports and ICE. It should be borne in mind that the value of elasticity depends basically on the tax structure and the progressivity of the system. The elasticity of tax collection is a variable of great importance in the analysis of fiscal developments and for tax revenue projections.
Keywords: Tax elasticity, error correction model, cointegration vectors.
de las importaciones, asimismo de la recaudación total, importaciones, producto interno bruto, consumo e importaciones; mediante el uso de modelos econométricos que permiten efectuar la estimación de elasticidades tanto de corto como de largo plazo. Los datos que se utilizaron son exclusivamente
los del departamento de Santa Cruz. El análisis consideró modelos de series de tiempo y de cointegración para estimar las respectivas elasticidades de largo y corto plazo. Se emplearon los datos disponibles desde el primer trimestre del año 1994 hasta el cuarto trimestre del año 2019, pues es una serie de tiempo consistente para el uso en los modelos estadísticos considerados.
Pocos son los estudios que se han realizado en el país respecto a la estimación de las elasticidades tributarias, entre ellos se pueden citar los de Caballero y Avalos (2017) y Manjón (2019); sin embargo, se carece de estudios sectoriales por departamento que permitan determinar los efectos que el aumento en la producción puede tener en la recaudación fiscal, medida a través del análisis de las elasticidades de corto y largo plazo. En ese sentido, el presente proyecto de grado aporta en la creación de tales estimaciones, basadas en el comportamiento de la recaudación de las últimas dos décadas y media, lo que permite un mejor análisis de la evolución de las finanzas, así como la posibilidad de realizar proyecciones o determinar cambios en los ingresos futuros.
Antecedentes
En Bolivia han sido pocos los estudios realizados para estimar las elasticidades de los diferentes tributos. En algunos documentos de investigación se realiza un análisis estadístico y gráfico de los principales ingresos tributarios que tiene Bolivia y en otros documentos se estiman las diferentes sensibilidades de largo plazo de los diferentes tributos. Santa Cruz no ha sido participe de ninguno de estos estudios más que como suma del total de país, vale decir que no existe un cálculo de elasticidad para los tributos del departamento.
Planteamiento del problema
Inexistencia del modelo de elasticidad tributaria en el departamento de Santa Cruz.
Objetivo general
Determinar el modelo de elasticidad tributaria a corto y largo plazo en el departamento de Santa Cruz.
Objetivos específicos
• Análisis de la situación económica y tributaria.
• Análisis de los modelos para la estimación de elasticidades.
• Cálculo de las elasticidades tributarias de corto y largo plazo a través de un modelo de cointegración y un modelo de vectores de corrección de errores.
Muestra
El presente estudio se realizó gracias a los datos brindados a través de entidades públicas de interés como ser en instituto nacional de estadísticas, el servicio de impuestos nacionales y la aduana nacionales. El límite temporal del estudio es de 30 años, esto se debe a la accesibilidad de los datos, el límite fue el año 2019 que fue el ultimo año completo con periodo con normalidad, sin las variaciones exabruptas motivo a la pandemia COVID 2020.
Análisis de la actividad económica
La economía del departamento de Santa Cruz es la más grande del país desde ya hace tres décadas alcanzando un Producto Interno Bruto (PIB) Real superior a los 15 millones de dólares estadounidenses en 2019. Su participación en el PIB a precio de mercado subió de 29,10% en el 2018 a 29,58% en el 2019 como se puede observar en el gráfico 3.1.
El progreso económico desde principios de siglo ha tenido un crecimiento uniforme por causa del dinamismo de los demás departamentos por la bonanza económica, desde 1996 tomó ventaja por delante de los demás departamentos y no fue hasta el 2016 que se sobrepuso alcanzando casi un 1/3 del PIB de Bolivia,
Una de las características económicas de Santa Cruz es el dinamismo del sector agropecuario e industrial. Parte importante de la producción de alimentos del país se origina en el departamento. Igualmente es virtualmente el único productor de algunos cultivos agrícolas que se comercializan tanto en el mercado interno como externo.
Santa Cruz fue tomando importancia con el pasar de los años desde 1990 donde uno de cada 9 habitantes poblaba el departamento, hasta la actualidad que lleva tercio de la población a nivel nacional. Esto se debe en principal al crecimiento económico que tuvo el departamento a comparación de los demás, haciendo su clima, recursos naturales e interculturalidad de principal incentivo a los departamentos del interior migrar a Santa Cruz.
Recaudaciones de tributos y sus comportamientos
Para el análisis total del presente estudio se ocuparon datos históricos del Instituto Nacional de Estadísticas, Aduana Nacional e Impuestos Nacionales.
El dato histórico del Producto Interno Bruto fue obtenido mediante el documento “Santa Cruz: Producto Interno Bruto a precios constantes, según actividad económica, 1988-2021” del INE. Estos datos son anuales y para poder trimestralizarlos se ocupó el estudio de desempeño económico departamental durante la crisis del COVID-19 de M. Chalup & L. Escobar; donde detallan variaciones del producto interno bruto en términos
reales. Con los datos anuales del INE y las variaciones del estudio de M. Chalup & L. Escobar se pudo trimestralizar los datos anuales para convertirlos en trimestrales mediante el método Fernandez de trimestralización. Fue el mismo procedimiento para los datos de consumo privado y público para las familias. Todos los históricos de impuestos que bridaron las diferentes instituciones públicas, son datos en términos nominales, es decir están tomando el valor o precio de la magnitud económica como se encuentra actualmente. En este caso sí se incluye la inflación y otros aspectos económicos como la pérdida de valor de una moneda. Para poder realizar un correcto análisis y buenas predicciones para poder calcular la elasticidad tributaria se precisa que todas las variables estén en términos reales. Para poder transformar una variable de termino nominal a real se precisa utilizar un índice de precios o un deflactor relacionado, el índice de precios para el departamento de Santa Cruz solo tiene datos públicos desde el 2016, por tal motivo se ocupó el deflactor del PIB para poder transformar todas las variables en términos reales.
Los diferentes impuestos cuentan con mucha volatibilidad en el tiempo, es decir que varía mucho por diferentes factores. Para poder tener una mejor interpretación de las variables, luego de deflactarlas, se les aplico un ajuste estacional gracias al implemento del modelo CENSUS-ARIMA-X11. Esto permitió observar de mejor manera la evolución del recaudo total tributario en el departamento. Mediante observación de las series antes de aplicar el ajuste estacional y después del ajuste estacional se llegó a la conclusión de que no varía mucho cuando se le aplica en ajuste y cuando no, esto se debe a que es muy probable que las variaciones son ajenas a la estacionalidad.
A lo largo de los años Santa Cruz a cruzado por algunas crisis civiles que tuvieron un impacto en todas las areas
del departamento, esto también se ve reflejado en la recaudación de impuestos.
“La Masacre de Octubre” o “Masacre de Octubre Negro” es el nombre que se le dio a la represión sangrienta llevada a cabo en Bolivia durante octubre de 2003, en el marco de convulsiones sociales generadas tras el anuncio de una serie de medidas propuestas por el Gobierno del Presidente Gonzalo Sánchez de Lozada, quien autorizó la intervención militar contra acciones protagonizadas por civiles durante la serie de eventos denominada “Guerra del gas”, que cobraron la vida de al menos 67 personas y culminaron con la renuncia de Sánchez de Lozada. Este acto repercutió directo en la recaudación como en la del impuesto al consumo especifico puesto a que muchos establecimientos se vieron paralizados y muchas instituciones financieras igual.
Otros motivos de variación fueron el incremento sostenido en el tiempo función al crecimiento de la actividad económica, el comportamiento de este tiene que ver con una estacionalidad más alta en las recaudaciones, esto tiene que ver con cambios en las políticas tributarias.
En la mayoría de los impuestos analizados lanzó resultados normales e iguales para todos los trimestres con excepción del Impuestos a las utilidades de las empresas (IUE) que lanzó que tiene una mayor recaudación en el segundo y tercer trimestre del año, esto se debe a que estas son las fechas límites del pago de este. Y también se ve un poco de incremento en los impuestos de consumo como el IVA en el último periodo, este se cree generado por el incremento de compras de las fiestas de fin de año.
El cálculo de las elasticidades en el presente trabajo de investigación se realizó con distintas estimaciones, con modelos de corrección de error (MCVE)
para el cálculo a corto plazo y mediante vectores de cointegración para el cálculo a largo plazo.
Los vectores de cointegración son herramientas fundamentales en el análisis de series temporales que representan relaciones de largo plazo entre variables. Cuando dos o más series temporales están relacionadas de manera no estacionaria, pero presentan una combinación lineal que sí lo es, se dice que están cointegradas. Este concepto es crucial para entender relaciones económicas de equilibrio a largo plazo, ya que implica que, a pesar de las fluctuaciones a corto plazo, las variables mantienen una relación estable en el largo plazo. Matemáticamente, un conjunto de variables {Y ₁ , Y ₂ ….Yk } se considera cointegrado si existe un vector β = (β ₁ , β ₂ ….βk ) tal que la combinación lineal Cointegración = β ₁ Y ₁ + β ₂ Y ₂ + ….+ βkYk es estacionaria.
Por otro lado, los modelos de corrección de error (ECM, por sus siglas en inglés) son utilizados para capturar y corregir las desviaciones de largo plazo en las relaciones cointegradas. Estos modelos permiten analizar cómo las variables responden a los desequilibrios temporales, es decir, las diferencias entre la combinación lineal cointegrada y el valor observado de la variable. La forma general de un modelo de corrección de error es:
∆Y t = α+β .(Yt-1 - γ Xt-1 )+ ϵt
Fuente: Wooldridge.
Donde ∆Y t representa las diferencias en las variables cointegradas en el tiempo t, α es el término constante, β es el coeficiente de corrección de error que refleja la velocidad de ajuste hacia el equilibrio, Y t-1 es el valor rezagado de la variable dependiente, X t-1 es el valor rezagado de otras variables relevantes y ϵ t es el término de error en el tiempo t
Resultados para las elasticidades tributarias
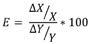
La elasticidad de un tributo se mide como la variación relativa de un impuesto en específico sobre la variación relativa de su respectiva base tributaria, manteniendo constante el sistema tributario. Se la puede expresar de la siguiente forma:
Ecuación 2 Elasticidad tributaria

Fuente: Wooldridge
Variables
Impuesto Fuente
Recaudación Total Tributaria (RT)
Impuesto al valor agregado (IVA)
Impuesto a las Transacciones (IT)
Impuestos a las Utilidades de las Empresas (IUE)
Impuesto al Consumo Específico (ICE)
Gravamen Arancelario (GA)
Impuesto al Valor Agregado de las Importaciones (IVAIMP)
Servicios de Impuestos Nacionales y Aduana Nacional de Bolivia
Servicios de Impuestos Nacionales
Servicios de Impuestos Nacionales
Servicios de Impuestos Nacionales
Aduana Nacional de Bolivia
Aduana Nacional de Bolivia
Aduana Nacional de Bolivia
Donde X es la recaudación tributaria, Y es la base tributaria especificada y E es un número que podrá ser entonces mayor, igual o menor que 1, lo cual está indicando el grado de elasticidad o inelasticidad que tiene el sistema tributario o un impuesto en particular. Un sistema tributario es elástico cuando el valor de su elasticidad es mayor que la unidad, esto quiere decir que el impuesto aumenta a una tasa superior a la del crecimiento de su base tributaria.
Luego de un respectivo filtro de las variables y limpieza de los datos se utilizó los datos de los impuestos con sus respectivas bases imponibles, para esto se utilizaron datos que sean relevantes y que tengan una significancia para con los tributos. Por ejemplo, para el impuesto de valor agregado de las importaciones, se utilizó el valor de las importaciones.
Base imponible +I6:L11I9I6:L10I6:L15
Producto interno bruto
Consumo Público y Privado
Producto interno bruto
Producto interno bruto
Producto interno bruto
Importaciones
Importaciones
Instituto Nacional de Estadística
Instituto Nacional de Estadística
Instituto Nacional de Estadística
Instituto Nacional de Estadística
Instituto Nacional de Estadística
Instituto Nacional de Estadística
Instituto Nacional de Estadística
Para poder realizar los modelos de Corrección de Error y de Vectores de Cointegración, que son los que sirven para determinar la elasticidad de corto y largo plazo respectivamente, existen algunos pasos previos que son los que determinan si las variables están preparadas o no para estimar el modelo. El primer paso, y tal vez el más importante, es determinar
que todas las variables sean integradas de orden uno o más conocida como I(1). Esto significa que los datos de la variable presentan estacionariedad en su primera diferencia a un 5% de nivel de significancia. Para realizar esta prueba se escogió la prueba estándar de raíz unitaria con el método de Dickey-Fuller aumentada (ADF).
PRUEBA DE RAIZ UNITARIA
Variables Explicadas
Estadístico T -0,5776 -4,7405
RT
TCV* AL 5% -2,9 -2,9 prob. 0,8685 0 IVA
IUE
ICE
I(1)
Estadístico T -0,761 -10,6215 I(1)
TCV* AL 5% -2,89 -2,89 prob. 0,8242 0,0001
Estadístico T -1,0601 -3,244 I(1) TCV* AL 5% -2,9012 -2,9 prob. 0,7273 0,0213
Estadístico T -1,073014 -22,1386 I(1)
TCV* AL 5% -2,9 -2,9 prob. 0,7226 0,0001
Estadístico T
AL 5%
Estadístico T -1,42 -11,97 I(1) TCV* AL 5% -2,88 -2,89 prob. 0,5696 0,0000
Estadístico T
-11,58
AL 5% -2,88 -2,89 prob. 0,6351 0,0000
Variables Esplicativas
Estadístico T 3,09 -6,96 I(1) TCV* AL 5% -2,89 -2,89 prob. 1,0000 0,0000
Estadístico T -1,3285 -7,114 I(1)
AL 5% -2,89 -2,89 prob. 0,6126 0
Estadístico T -1,15 -13,13 I(1) TCV* AL 5% -2,89 -2,89 prob. 0,6911 0,0000
"* Test critical value (valor crítico de prueba) al 5%.
Fuente: SIN, Aduana Nacional e INE.
Como se puede observar, todos los impuestos son integrados de orden uno. Otra de las condiciones para poder tener una correcta estimación de un vector de cointegración es poder verificar que los residuos cumplan con dos condiciones en el modelo log lineal, que sea estacionaria en integrada I (0) y que sea una caminata aleatoria sin rumbo.
Prueba de cointegración de Engle-Granger
Los vectores de cointegración proporcionan un coeficiente de
elasticidad que se entiende como el de largo plazo. Para poder correr de manera óptima y que sean significativos, los diferentes modelos deben pasar la prueba de cointegración de EngleGranger, donde las probabilidades de sus respectivos estadísticos deben ser menores que el nivel de significancia al 5%. Esta prueba es excluyente para poder determinar los vectores de cointegración y los modelos de corrección de error, puesto a que sin cointegración no existe relación a largo ni corto plazo.
Prueba de cointegración de Engle-Granger valor probabilidad cointegración retardos observaciones No. de tendencias
ga
Eg estadístico t -2,97 0,1266
Eg estadístico z -16,80 0,0898
ice Eg estadístico t -3,83 0,0168 SI 5
ivaimp
rt
iva
Eg estadístico z -97,83 0,0000
Eg estadístico t -4,62 0,0015
Eg estadístico z -54,99 0,0000
Eg estadístico t -2,50 0,2576
Eg estadístico z -36,14 0,0005
Eg estadístico t -4,99 0,0005
Eg estadístico z -38,94 0,0002 it
iue
Eg estadístico t -2,09 0,4846
Eg estadístico z -10,68 0,2995
Eg estadístico t -2,12 0,4720
Eg estadístico z -12,10 0,2281
Fuente : SIN, Aduana Nacional e INE.
Como se puede observar en el cuadro, sólo los impuestos ICE, IVAIMP, RT e IVA cumplen con la prueba de cointegración, es decir, sólo esas cuatro variables tienen relación con su base impositiva como las importaciones y el producto interno bruto.
Las demás variables no tienen relación con su base impositiva a corto plazo, así que de tal forma no se pueden calcular los modelos de corrección de error y vectores de cointegración.
Una vez determinada la cointegración se pasa a definir la ecuación de los vectores de cointegración. Todas las variables utilizadas en las diferentes regresiones se transformaron a logaritmos para facilitar el cálculo directo de las elasticidades parciales y para mitigar el efecto de observaciones atípicas y/o anómalas sobre los resultados de estimación.
La definición del modelo de largo plazo que permite estimar las elasticidades de largo plazo, son distintos vectores de
cointegración, donde el impuesto está en función de la base imponible respectiva y, para ello, se los definen en logaritmos a cada uno para obtener las elasticidades parciales directamente.
Tabla 3. Estimación de elasticidades de largo plazo
Estimación de elasticidades de corto plazos
IMPUESTO
Gravamen Arancelario
Consumo Específico
IVA Importaciones
Recaudación Total
Impuesto al Valor Agregado
Impuesto a las Transferencias
Utilidades de las Empresas
Modelos de Corrección de Error
log(ga) = - 1,4258 + 0,7293 * log(M) + ԑ t
log(ice) = -12,2044 + 1,8587 * log(PIB) + ԑ t
log(ivaM) = 2,6229 + 1,0876 * log(M) + ԑ t
log(Rt) = 7,760 + 1,8001 * log(PIB) + ԑ t
log(iva) = -13,0859 + 2,2919 * log(PIB) + ԑ t
log(it) = 4,859 + 1,1715 * log(PIG) + ԑ t
log(iue) = -10,7204 + 1,934 * log(PIB) + ԑt
Fuente : SIN, Aduana Nacional e INE.
Respecto a los resultados de las elasticidades tributarias estimadas, se encuentra que, en el largo plazo, la elasticidad de la recaudación total, dada la base especificada del PIB, es de 1.80. Esto muestra que, por cada punto porcentual de aumento en el PIB, la recaudación de largo plazo de los ingresos tributarios se incrementará en 1.80%. Al estimarse la elasticidad del impuesto al valor agregado, se comprueba que, por cada punto porcentual de incremento del PIB, la recaudación de largo plazo se aumenta en un 2.23% y presenta los signos esperados con coeficiente estadísticamente significativo, también teniendo un R^2 alto.
En general, se encuentra que los impuestos son muy sensibles al comportamiento del crecimiento de variables macroeconómicas como el PIB y las importaciones.
Se presenta los resultados de los distintos modelos para la Recaudación Total Tributaria (RT), Impuesto al Valor Agregado (IVA), Impuesto al Consumo Especifico (ICE) e IVA de las importaciones (IVAIMP) que son los que cumplen los requisitos para correr el modelo de corrección de errores con el método de Mínimos Cuadrados Ordinarios, aplicando la diferencia de los logaritmos de los diferentes impuestos y sumándole los residuos de años anteriores.
Tabla 4. Estimación de elasticidad a corto plazo
Estimación de elasticidades de corto plazos
IMPUESTO
Gravamen Arancelario
Consumo Específico
IVA Importaciones
Recaudación Total
Impuesto al Valor Agregado
Impuesto a las Transferencias
Impuesto a las Utilidades de las Empresas
Fuente : SIN, Aduana Nacional e INE.
Modelos de Corrección de Error
Δ(log(ga)) = 0,0033 + 0,3552 * Δ(log(M)) - 0,2739 * ԑt-1
Δ(log(ice)) = -0,0208 + 3,448 * Δ(log(PIB)) - 0,2556 * ԑt-1
Δ(log(ivaM)) = 0,0075 + 0,4973 * Δ(log(M)) - 0,2897 * ԑt-1
Δ(log(Rt)) = -0,0149 + 2,8852 * Δ(log(PIB)) - 0,5296 * ԑt-1
Δ(log(iva)) = 0,0023 + 1,9793 * Δ(log(PIB)) - 0,4923 * ԑt-1
Δ(log(it)) = -0,0064 + 1,4567 * Δ(log(PIG)) - 0,5740 * ԑt-1
Δ(log(iue)) = -0,0819 + 9,9377 * Δ(log(PIB)) - 0,9997 * ԑt-1
Tabla 5. Coeficientes de elasticidades a corto plazo
Fuente : SIN, Aduana Nacional e INE.
Se puede apreciar que todos los impuestos tienen relación positiva a largo plazo y a corto plazo también, al parecer no presentan relación espuria, y tienen un estadístico F aceptable. Los R cuadrados del modelo de corrección de error son un poco bajos, pero esto no le quita o excluye al modelo.
Respecto a los resultados de las elasticidades estimadas, se encuentra que, en el corto plazo, la elasticidad de la recaudación total, dada la base especificada del PIB, es de 2.88. Esto muestra que, por cada punto porcentual de aumento en el PIB, la recaudación de corto plazo de los ingresos tributarios se incrementará en 2.88%. Al estimarse la elasticidad del Impuesto al Valor Agregado, se comprueba que, por cada punto porcentual de incremento del PIB, la recaudación de corto plazo se aumenta en un 1.93% y presenta los signos esperados con coeficiente estadísticamente significativo, también
teniendo un R² alto. Similar análisis se obtiene de los Impuestos al Consumo Específicos y el Impuesto al Valor Agregado Importaciones.
Se puede observar que, los impuestos que tienen como base tributaria el Producto Interno Bruto al corto plazo tienen un incremento mayor que a largo plazo. Caso contrario de lo que pasa con el IVA de las importaciones que tiene como base las importaciones.
Las elasticidades indican la relación que existe entre una variable dependiente cuando varia una variable independiente, entrando en tema tributario usualmente las variables independientes que mejor trabajan son el Producto Interno Bruto y, en otros casos, el consumo de las familias y privado, dependiendo el impuesto. En este sentido, la elasticidad, en
términos generales, mide el cambio que experimentan los ingresos tributarios ante la variabilidad en el ingreso o producción. Los resultados de este estudio son importantes porque es la primera vez que se estima la elasticidad tributaria a nivel departamental. Aplicando este enfoque se podría empezar a calcular las elasticidades tributarias de los demás departamentos, esto sería muy útil para pensar en reformas hacia la descentralización administrativa del manejo tributario, o también mejorar las políticas tributarias a nivel departamental.
Como se puede observar en el estudio, sólo cuatro impuestos fueron cointegrados y sirvieron tanto como para largo plazo y corto plazo, los cuatro con una tendencia positiva como se ve en el cuadro siguiente, son coeficientes muy realistas puesto que los impuestos siempre van a inclinarse al crecimiento, y una tendencia negativa, aunque hayan tenido sentido estadístico, no hubiera tenido sentido lógico.
Tabla 6. Cuadro de elasticidades comparativo
plazo
lanzó resultados de elasticidad en todas sus variables, debido a que se usaron variables dummies para corregir errores de breakpoint en sus series de tiempo. Sin embargo, todas las elasticidades que lograron determinar mediante los diferentes modelos lanzaron resultados similares a los del presente proyecto. Los resultados son positivos, ninguno negativo, esto indica que crecen de manera constante todos los impuestos con relación a sus bases imponentes. A continuación se observa a pesar de ser positivas todas las elasticidades del país, con excepción del IVA Importaciones, son menores en comparación con los índices que se muestran en el departamento de Santa Cruz, esto se puede deber a que el departamento crece a un ritmo más acelerado, en términos de recaudación, que el mismo país.
Tabla 7. Elasticidades a corto y largo plazo para Bolivia
Impuestos
Fuente : SIN, Aduana Nacional e INE.
Como se puede observar la Recaudación
Total y el Impuesto al Consumo Específico en el corto plazo tienden a tener un coeficiente más alto que en el largo plazo, lo mismo pasa en situación inversa en el impuesto al valor agregado e impuesto al valor agregado de las importaciones que tienden a tener un coeficiente menor a corto que a largo plazo.
El trabajo de investigación de “Elasticidades tributarias de corto y largo plazo en Bolivia, 1990-2016” (Caballero Martínez & Avalo Arcienega, 2017),
ELASTICIDADES
Fuente: Elaboración propia.
Respecto al criterio de relación espuria, se realizaron las pruebas correspondientes para asegurar la validez de los resultados de cointegración.
Con respecto a los tres impuestos que no presentaron cointegración, esto se puede explicar debido a la alta volatilidad en su serie de tiempo, esto hizo que pierda significancia estadística su relación a través del tiempo.
Los cuatro impuestos que presentaron cointegración dan a saber que son resultados confiados, vale decir que hay certeza estadística de que las predicciones se cumplan. Estos
indicadores nos muestran que los ingresos al departamento por la recaudación serán mayores mediante crezca más la actividad económica. También se establece cuáles son los impuestos más relacionados al PIB, los cuales son el IVA, ICE, IVA IMP y en su conjunto la recaudación Total.
Los resultados de la investigación son relevantes para la economía en su conjunto, pues permite tener señales de cómo podría ser el comportamiento recaudatorio de los principales impuestos con respecto al desenvolvimiento de la economía nacional y al mismo tiempo permite analizar qué factores contribuyen a mejorar las elasticidades de corto y largo plazo. Que tengan una elasticidad correcta a corto plazo significa que estos datos que se obtuvieron pueden reflejar los ingresos a corto plazo, lo mismo en el caso del largo plazo.
Darle más importancia al análisis de estudios de elasticidades tributarias departamentales, puesto a que hasta el momento no se encuentran datos oficiales de estos índices. Su importancia se basa en el conocimiento transparente de éste. Tener conocimiento de las elasticidades tributarias sirven para, en primer lugar, poder predecir cuáles serán los ingresos y cómo va a fluctuar la situación fiscal del país. En segundo lugar, porque son un insumo más para las posibles reformas económicas y conocer cómo se mueve el ciclo económico.
Es importante saber las elasticidades en específico por departamento para poder negociar con el gobierno central una mayor descentralización en el caso que una economía recaude mucho más que otras, como es el caso de Santa Cruz frente a los otros departamentos. Entender las elasticidades permitirían una mejor definición de los impuestos sabiendo que el IVA e ICE por ejemplo tienen una alta elasticidad y por lo tanto van a seguir creciendo de mano con la economía, pero
impuestos como IVA Importaciones que tienen una elasticidad a corto y largo plazo menor a uno significan que su crecimiento va a ir mas de la mano de las reformas y no tanto el crecimiento de las actividades económicas del departamento de Santa Cruz.
Aduana. (s.f.). Articulo 20 del Reglamento a la Ley General de Aduanas DS 25870.
Arias, E. R. (2018). Economipedia.
Caballero Martínez, R., & Avalo Arcienega, R. A. (2017). Elasticidades tributarias de corto y largo plazo en Bolivia. Scielo.
Fernandez, C. C. (2020). Ingresos fiscales y elasticidades tributarias : estimación de las elasticidades tributarias de corto y largo plazo para los principales impuestos. Editorial Universidad Nacional.
Ministerio de Desarrollo Productivo y Economía Plural. (2020). Estado economico productivo del departamento. DAPRO.
Molares, E. (2014). Metologías para la estimación de ingresos corrientes del sector público.
Perron, P. (1989). The great crash, the oil price shock, an the unit root hypothesis. The econometric society, 41.
Phillips, P. C. (1995). Mínimos cuadrados totalmente modificados y autorregresión vectorial. The Econometric Society, 56.
Urbina, G. B. (2018). Evaluacion de Proyectos. Mexico: Mc Grawl Hill. Wooldridge, J. M. (2010). introducción a la econometría un enfoque moderno. Michigan: CENCAGE Learning.
Guzmán, A. (2018, 14 de agosto). Tecnología: 200 empresas en Bolivia exportan $us 50 millones anuales en software. Diario Los Tiempos. https://www.lostiempos.com/ actualidad/economia/20180814/ tecnologia-200-empresas-boliviaexportan-us-50-millones-anuales.
El presente articulo tiene como propósito analizar el efecto de la banca digital sobre la bancarización en Santa Cruz de la Sierra.
La banca móvil se ha incorporado exitosamente de manera global revolucionando la forma de hacer transacciones financieras. Por lo cual, en Santa cruz de la Sierra, gran parte de las entidades financieras han destinado recursos para brindarles a sus usuarios financieros productos y servicios digitales transformando a los procesos más competitivos, eficientes y eficaces de acorde a la nueva era digital.
Sin embargo, a pesar de los esfuerzos de las entidades financieras de establecer protocolos y procedimientos que permitan brindar los servicios financieros, hay sistemas que se quedaron en el pasado y ahora no responden a las nuevas necesidades que se dan por la tecnología. Por lo cual, es importante un análisis actual del impacto de los avances de la banca digital sobre el proceso de la bancarización dentro del territorio cruceño.
Palabras clave: Bancarización, Banca Digital, Innovación.
La banca electrónica creció gracias a las nuevas tecnologías de rápido desarrollo que los nuevos smartphones ofrecían al mercado, los cuales inicialmente permitían facilitar servicios financieros a distancia por un sistema automatizado de respuesta de voz mediante la operadora y el usuario para llevar a cabo operaciones bancarias sencillas o meramente informativas.
Posteriormente inició el desarrollo de modernos canales electrónicos como la banca por teléfono y la banca por Internet
The purpose of this article is to analyze the effect of digital banking on banking in Santa Cruz de la Sierra.
Mobile banking has been successfully incorporated globally, revolutionizing the way of making financial transactions. Therefore, in Santa Cruz de la Sierra, a large part of the financial entities have allocated resources to provide their financial users with digital products and services, transforming the most competitive, efficient and effective processes in accordance with the new digital era.
However, despite the efforts of financial entities to establish protocols and procedures that allow them to provide financial services, there are systems that are left in the past and now do not respond to the new needs created by technology. Therefore, a current analysis of the impact of the advances of digital banking on the banking process within the Santa Cruz territory is important.
Keywords: Banking, Digital Banking, Innovation.
para favorecer la accesibilidad de los servicios financieros en el país.
Para analizar el impacto y medir el proceso de bancarización dentro de un territorio se toma en cuenta la variable de profundización del sistema financiero y el incremento de la importancia creciente de los servicios financieros, tanto dentro de la economía como en la vida de los agentes económicos basándonos en estándares internacionales de la bancarización.
Se entiende por bancarización el nivel de disponibilidad, acceso y utilización de la población de un país o una región económica a los servicios ofrecidos por los bancos y/o otras entidades que forman parte del sistema financiero.
A continuación, se identifican las variables de bancarización más relevantes que permiten determinar el grado de bancarización tomando en cuenta las principales ramas de la inclusión financiera: Profundización financiera, disponibilidad y cobertura geográfica y finalmente el acceso y uso de los servicios financieros ofrecidos en un determinado territorio.
Macroeconómica Financiera
En esta categoría, se toman en cuenta datos macroeconómicos con relación al PIB. Lo cual permite medir la profundidad del sistema financiero actual desde un punto de vista de la economía en su conjunto.
• Cartera de créditos / PIB
• Depósitos del público / PIB
Depósitos y cartera de créditos/ PIB departamental al 2021

Fuente: Reporte de la inclusión financiera ASFI 2022.
Santa Cruz cuenta con una profundización financiera de créditos y depósitos del 97% y 81% respectivamente. Es importante resaltar que con una tendencia similar a datos registrados hace 10 gestiones, en Santa Cruz, los cocientes CRED/PIB y DEP/ PIB mantienen una estrecha relación, con solo un 16% de diferencia a favor de los créditos en el departamento.
Si bien el comportamiento de estos indicadores se ha mantenido a lo largo de las últimas 10 gestiones, se esperaría un mayor porcentaje de depósitos en Santa Cruz, debido a que es el departamento con el mayor crecimiento poblacional.
La presente variable de disponibilidad y cobertura de los servicios financieros se concentra en la distribución de los servicios financieros entre los distintos grupos de clientes financieros dentro del área considerada para determinar los niveles de concentración geográfica por población.
• Puntos financieros (PAFs)
• Puntos de atención financiera por cada 100.000 habitantes
Número de puntos de atención financiera por departamento

Fuente: Reporte de la inclusión financiera ASFI 2022.
Número de puntos de atención financiera por cada 100.000 habitantes por departamento

Fuente: Reporte de la inclusión financiera ASFI 2022.
Existe mayor participación en las plazas de Santa Cruz naturalmente por su mayor población, pero también por su mayor participación económica en el país. Desde el 2007 a septiembre del 2022, se observa un aumento de 63 puntos de atención financiera por cada 100.000 habitantes, cabe resaltar que este crecimiento es el mayor porcentualmente en relación con los otros departamentos.
Dentro del departamento de Santa Cruz se cuenta con 56 municipios de los cuales uno representa a la ciudad de Santa Cruz de la Sierra. Comparando los datos registrados de la gestión 2007 a la presente gestión, se observa que Santa Cruz ha llegado a casi triplicar sus puntos de atención financiera. Con una mayor concentración en la ciudad de Santa Cruz de la Sierra por la latente demanda que existe en el municipio.
2.3. Acceso y utilización de los servicios financieros
En la presente variable de acceso a los servicios financieros se pretende categorizar entre los sujetos económicos que no tienen acceso a los servicios financieros debido a las barreras de accesibilidad, a los sujetos que sí tienen acceso a dichos servicios y dentro de ellos, determinar a los que realmente realizan operaciones financieras.
La intensidad de uso se vincula a la cantidad de transacciones realizadas por una población de referencia. Con esta variable se pretende desglosar y subdividir distintos aspectos de la bancarización, para no sólo determinar su acceso sino también entender cuál es el verdadero uso dado a los servicios financieros.
Relación del número de prestatarios en relación con la PEA departamental a junio 2022 en porcentaje

Fuente: Reporte de la inclusión financiera ASFI 2022.
En base a lo establecido con respecto al indicador de uso, Santa Cruz se encuentra por debajo de la media porcentual con un 19.6%. 10 puntos porcentuales por debajo de La Paz. Dentro de este indicador, se observa que Santa Cruz no se destaca por una significativa afluencia de la población económicamente activa hacia el crédito a comparación de otros departamentos del eje central del país.
Por otro lado, con respecto al número de cuentas de depósito por departamento, Santa Cruz, con 4.436.612 cuentas, constituye un 30% del total en términos de numero de cuentas de depósito. Este porcentaje se ha mantenido con la misma tendencia de crecimiento a lo largo de los últimos 10 años. Siendo el día de hoy el departamento con mayor concentración de numero de cuentas de depósito dentro del país con una tendencia al ahorro formal dentro de instituciones financieras reguladas, lo cual posibilita el acceso a otros productos financieros como los seguros o los créditos.
3. Análisis de las variables de la banca digital versus variables de bancarización
Las variables cuantitativas que se identificaron para analizar el desarrollo y la evolución de la banca electrónica en Bolivia son: las operaciones realizadas por tarjetas (crédito y débito), transferencias electrónicas ACH y billetera electrónica.
3.1. Evolución de las operaciones de tarjetas de crédito y débito vs. Profundización macroeconómica
El informe del BCB menciona que la evolución de las operaciones con tarjetas electrónicas fue determinada por las condiciones de la economía en la gestión 2020. La necesidad de encontrar mecanismos para acercar a oferentes y demandantes en situación de emergencia sanitaria, confinamiento y distanciamiento social, generaron desafíos y oportunidades para empresas y comercios proveedores de bienes y servicios.
En este contexto, se superaron restricciones al uso de este instrumento de pago. Como resultado, el número de operaciones se incrementó en un 13% con relación a la gestión anterior, alcanzando un total 48,5 millones de transacciones, mientras que el importe procesado fue de Bs 10.977 millones, inferior en 11% a aquel del 2019. Del número total de operaciones procesadas, el 78% corresponde a transacciones con tarjetas de débito y el 22% a transacciones con tarjetas de crédito.
Evolución de las tarjetas electrónicas

Fuente: Informe de vigilancia del sistema de pagos 2021 BCB.
Contrastando la información anterior con el cuadro evolutivo de los depósitos a octubre del 2021, se observa que los resultados van de la mano al mostrarse en ambos casos un aumento tanto de las operaciones de las tarjetas de débito con los depósitos del sistema financiero.
Demostrando que a una mayor influencia de transacciones mediante tarjetas electrónicas de débito genera una mayor tendencia de ahorrar en entidades financieras por parte del consumidor.
El crecimiento de la cartera de créditos y de las captaciones del público tienen una relación directamente proporcional con el incremento de las transacciones digitales, especialmente aquellos productos como las tarjetas de débito y crédito.
Evolución de la billetera móvil (en millones de operaciones y millones de bolivianos)

Fuente: Informe de vigilancia del sistema de pagos 2021 BCB.
El Banco Central de Bolivia en el informe de sistema de pagos 2020, determina que el comportamiento de operaciones con billetera móvil durante la gestión 2020 fue distinto al resto de los IEP debido a que el incremento se produjo en el valor procesado, valor superior al registrado en 2019 en un 51%., las transacciones con billetera móvil alcanzaron un total de Bs2.269 millones a través de 46,8 millones de operaciones: 22% inferior a la gestión anterior.
3.3. Evolución de las transacciones electrónicas
El 2020 fue el año que obtuvo el mayor crecimiento por encima de su promedio con 55,2 millones de operaciones, evento que responde al suceso de los cambios de hábitos de la población, es decir, cada vez la población prefiere pagar en mayor medida con mecanismos de pagos electrónicos que en efectivo.
Otro aspecto para destacar es el cambio en la composición de los pagos que se procesan con OETF. En el 2020 las transferencias a otras entidades financieras (interbancarias) pasaron a ser el tipo de operación más importante (51%), dejando en segundo plano a las transferencias entre cuentas de clientes de una misma entidad financiera (con el 35%) y por último a los pagos de servicios, (14%).
Evolución de las transacciones electrónicas y su destino

La banca se enfrenta a una de las situaciones más complejas a escala global y por eso es una prueba donde se medirá cuán efectivas han sido sus estrategias de inversión e innovación para el fortalecimiento de sus canales digitales y seguir atendiendo a sus clientes, además de otras medidas para mantener su calidad de activos reestructurando créditos, ampliando plazos, otorgando nuevos créditos, entre otras.
Se han determinado las siguientes barreras internas y externas como desafíos de la banca digital.
• Prohibiciones de la regulación financiera
• Procesos regulatorios pesados
• Educación digital de la población
• Cultura de innovación
• Desconfianza y delincuencia tecnológica.
Entre las conclusiones es importante resaltar que para propiciar una transformación digital las entidades, deben realizar un análisis integral al cliente para fomentar el acceso al crédito, el ahorro y canales de comunicación que mejoren el uso y la calidad de los productos y servicios financieros, así como un impacto positivo en el bienestar financiero de los clientes. Al comprender de mejor manera las necesidades de los clientes, se ofrecerán productos y servicios que se adecúen a estas necesidades y fomenten una relación a largo plazo.
Fuente: Informe de vigilancia del sistema de pagos 2021 BCB.
Santa Cruz de la Sierra ha sido cuna de las innovaciones digitales como impulsor de la bancarización, obteniendo los mayores índices de uso y acceso a servicios financieros, así como el mayor grado de aceptación en términos de nuevos canales digitales.
Los factores que permitieron el desarrollo de la banca digital al sistema bancario en Bolivia son: La creación y mejora de normativas regulatorias, la inversión en nuevos puntos de atención financiera y la mejora en la cobertura de líneas telefónicas y conexiones a internet.
Por otro lado, se observa que, a pesar de contar con mayores índices de digitalización, los números de puntos de atención financiera continúan en crecimiento, lo que demuestra que continúa la tendencia del consumidor de acudir a éstos de manera presencial, haciendo énfasis en una inclusión financiera de carácter “tradicional”.
Se ha establecido una estrecha relación de los procesos innovadores de la banca digital adoptados actualmente con el avance de la expansión de la bancarización bajo los siguientes criterios:
Un incremento de transacciones mediante tarjetas electrónicas de débito genera una mayor tendencia de ahorrar en entidades financieras por parte del consumidor.
Lo más destacable de los servicios de pago móvil es su capacidad para llegar a plazas en las que el nivel de cobertura de servicios financieros no es óptimo, cubriendo un mayo territorio geográfico en zonas desatendidas. Por otro lado, se destaca el uso de la banca digital no solo en zonas desatendidas, sino por personas que tienen un acceso limitado a aproximarse a instituciones financieras presenciales.
Finalmente, se evidencia que la banca digital es un canal no convencional que permite potenciar la bancarización en sus dimensiones de profundización e intensidad de uso de los servicios bancarios en Santa Cruz de la Sierra.
INNOVA BOLIVIA. (2021). Avances de la banca digital en Bolivia.
ASFI. (2022). Reporte de la inclusión financiera.
ASFI. (2017). Recopilacion de normas para servicios financieros.
Banco Central de Bolivia. (2021). Informe de vigilancia del sistema de pagos.
Superintendencia de Economía. (2017). Fichas metodologicas de indicadores financieros.
La agricultura es un sector fundamental en la economía boliviana, puesto que representa una fuente importante de empleo y sustento a las áreas rurales. Sin embargo, los agricultores, especialmente los de pequeña escala, enfrentan riesgos climáticos como sequías, inundaciones, heladas y granizadas que pueden perjudicar seriamente su producción y economía.
Este estudio se enfoca en la importancia de los seguros agrícolas como una herramienta de mitigación de riesgo para contrarrestar los problemas económicos ocasionados por los riesgos climáticos. Asimismo, se exploran diversos tipos de seguros agrícolas como los tradicionales y paramétricos.
Se resalta la capacidad de estos seguros para mejorar la seguridad alimentaria y promover un desarrollo económico sostenible. A pesar de sus ventajas, se abordan los obstáculos que enfrenta su implementación en Bolivia, como la falta de acceso a información, la falta de infraestructura y la falta de conciencia sobre sus ventajas.
En este contexto, se subraya la importancia de los seguros agrícolas como una herramienta crucial para mitigar los riesgos climáticos en la agricultura boliviana. Se hace hincapié en la necesidad de promover su adopción, concienciando sobre sus beneficios y respaldar a los agricultores en el acceso a recursos e información para su implementación.
Palabras clave: Riesgos climáticos, seguros agrícolas, seguridad alimentaria.
Agriculture is one of the pillars of the Bolivian economy and is an important source of employment and livelihood for rural communities. Nevertheless, farmers, particularly those operating at a small scale, contend with climaterelated risks like droughts, floods, frosts, and hailstorms, which can substantially impact their production and economic stability.
This study centers on the importance of agricultural insurance as a risk mitigation tool to address the economic challenges arising from these climate-related risks. It also provides an in-depth look at the different types of agricultural insurance, covering both traditional and parametric insurance.
The capacity of these insurance mechanisms to enhance food security and facilitate sustainable economic development is emphasized. Despite their advantages, the study acknowledges the obstacles hindering their implementation in Bolivia, including limited access to information, inadequate infrastructure, and a lack of awareness regarding their benefits.
Within this context, the study underscores the critical role of agricultural insurance as an essential tool for climate risk mitigation within Bolivian agriculture. It places a strong emphasis on the necessity of promoting their adoption, increasing awareness of their advantages, and providing support to farmers in accessing the resources and information required for implementation.
Keywords: Climate risks, agricultural insurance, food security.
En Bolivia, los fenómenos climáticos adversos han generado pérdidas por un valor de entre 400 y 500 millones de dólares durante la primera década del segundo milenio (PNUD, 2011). Además, el cambio climático podría reducir la producción agrícola en casi un 25% para fines del siglo XXI (IPPC, 2014). A pesar de la necesidad de contar con herramientas de mitigación de riesgos, sólo el 3,1% de las unidades de producción agrícola activas en Bolivia declaró haber contratado algún tipo de seguro agrícola en 2015 (INE, 2015).
El presente trabajo busca comprender los riesgos climáticos a los cuales se enfrenta la producción agrícola en Bolivia, especialmente la de menor escala, a la par que presenta los seguros agrícolas como un mecanismo idóneo para disminuir los problemas económicos ocasionados por estos riesgos. El estudio se realiza en el contexto del sector agrícola de Bolivia, caracterizado principalmente por ser una actividad familiar, de baja productividad, alta ocupación y de altos índices de pobreza.
La motivación es visibilizar al riesgo climático como un problema crítico para los productores agrícolas y su impacto en la seguridad alimentaria del país. Motivando a generar acciones para proteger a los agricultores, como planes educativos para aumentar la demanda de seguros agrícolas, proporcionando así una red de seguridad alimentaria esencial para estos. Además de conocer alternativas a los seguros agrícolas tradicionales, como los seguros agrícolas indexados al clima, que pueden ser una solución efectiva para mitigar los riesgos asociados al cambio climático.
Para ello, se realiza una profunda revisión bibliográfica sobre las perturbaciones climáticas que afectan a la población agrícola en Bolivia, en particular la de baja escala. Se investiga la mitigación del riesgo a través de los seguros agrícolas
y se conceptualiza el mecanismo de los seguros agrícolas, tanto desde el punto de vista de los retos para su implementación como también los obstáculos para su adopción por parte de los productores.
Importancia del sector agrícola en Bolivia
El sector agropecuario en Bolivia desempeña un rol crucial en la economía nacional. Puesto que tiene una participación promedio del 14.13% en el PIB en las últimas décadas, con un crecimiento anual promedio del 3.75% entre 1990 y 2021. El gráfico 2.1 muestra la tasa de crecimiento del sector agropecuario en Bolivia desde 1990 hasta 2021, con una evolución positiva y persistente, aunque variable desde 2011.
Gráfico 2 1 Crecimiento y participación en el PIB nacional del sector agropecuario

Fuente: Elaboración propia con información del Instituto Nacional de Estadística.
La agricultura es la principal ocupación en Bolivia para más del 32,1% de la fuerza laboral, y en las zonas rurales, es la principal fuente de ingresos de más del 72% de la población activa. Sin embargo, en comparación con otros países de la Región Andina de América del Sur, Bolivia tiene el ingreso per cápita más bajo, alta pobreza rural, alta dependencia de la agricultura y una productividad agrícola más baja. Esto puede verse claramente en la Tabla presentada por Daga en su estudio de 2020. La situación actual del sector agrícola boliviano presenta desafíos importantes que deben abordarse para mejorar la calidad de vida de las personas que dependen de él (Daga, 2020).
Tabla 2. 1 Indicadores seleccionados para los países de la región andina
Fuente: Daga, 2020.
2.1. Agricultura a pequeña escala o familiar
La agricultura familiar es clave para la seguridad alimentaria, el desarrollo local y la reducción de la pobreza. En América Latina, el 60% de la población dedicada a la agricultura es familiar, contribuyendo con el 40% de la producción mundial de alimentos (Vila, 2018). En Bolivia, el 96% de las unidades productivas agropecuarias son familiares. La agricultura familiar aporta el 61% de la oferta nacional y ocupa el 67% de la superficie total cultivada en verano. Además, genera el 95% de la mano de obra agrícola y el 61% del volumen de consumo demandado por los hogares bolivianos (Wanderley & Tito Velarde, 2021).
Se categoriza a la agricultura familiar según la tipología descrita por Wanderley & Tito Velarde (2021) en tres tipos: subsistencia, transición y consolidada.
• La agricultura familiar de subsistencia es un sistema de producción en el que se producen alimentos para el autoconsumo y se venden sólo algunos excedentes. Los agricultores utilizan semillas propias y tienen una tecnificación limitada.
• La agricultura familiar de transición tiene un acceso más amplio a la tierra y un rendimiento promedio más elevado, y la mayor parte de la producción se destina a la venta.
• La agricultura familiar consolidada explota una superficie más amplia de tierra y tiene una mayor vinculación con el mercado. En este caso, la mayor parte de la producción se destina a la venta y la mano de obra familiar es menos relevante que en la agricultura de subsistencia y de transición.
2.2. Aporte de la agricultura familiar a la seguridad alimentaria
La agricultura familiar es clave para la seguridad alimentaria y la consecución de los Objetivos de Desarrollo Sostenible (Vargas, 2017). En Bolivia, hay limitaciones de información sobre la situación de la inseguridad alimentaria a nivel nacional. A pesar de ello, el año 2012 se realizó un estudio por el MDRyT y PMA indica que el 30,1% de los municipios en Bolivia presenta un alto grado de vulnerabilidad a la inseguridad alimentaria. Los municipios de alta vulnerabilidad se concentran en la Amazonía norte del departamento de Pando y en los valles interandinos de los departamentos de Chuquisaca y Potosí. Una parte importante de la población vulnerable es de origen indígena o campesino y sus medios de vida se basan en la agricultura de subsistencia (MDRyT - PMA, 2012).
El sector agrícola es uno de los más vulnerables a los riesgos climáticos, lo que puede tener graves consecuencias para la seguridad alimentaria y el desarrollo económico de los países. En Bolivia, el sector agrícola también enfrenta una gran variedad de riesgos climáticos, como sequías, inundaciones, heladas y granizadas, que pueden afectar significativamente la producción
agrícola y la economía del país. El cambio climático es un desafío global y Bolivia es un país muy vulnerable a los fenómenos meteorológicos extremos.
En los últimos años, se han producido graves inundaciones y pérdidas
económicas debido a las variaciones climáticas, como El Niño y La Niña. Desde 1982, estos eventos han provocado pérdidas económicas millonarias y han afectado a millones de personas en el país a lo largo de los años (Daga, 2020).
Tabla 2. 2 Eventos que han provocado pérdidas millonarias a lo largo de los años
Perturbaciones meteorológicas negativas cansaron pérdidas por 527 millones USD y afectaron a 166 mil personas.
El niño provocó pérdidas por 837 millones USD y afectó a 2 millones de personas.
Fuente: Daga, 2020.
Los eventos climáticos extremos, como las inundaciones y las sequías, afectan significativamente a los sistemas agroproductivos de subsistencia, representan el 93% de los problemas que afectan a las familias en el territorio nacional, con las inundaciones siendo el evento más frecuente (32%). Los departamentos de La Paz, Cochabamba y Chuquisaca son los más afectados, con un 20%, 19% y 17% de las familias afectadas respectivamente (INE, 2021).
El Niño y La Niña causaron pérdidas por 956 millones USD y afectaron a 1,4 millones de personas.
Lluvias causaron inundaciones que afectaron a 411 mil personas y causaron pérdidas por 384 millones de dólares.
Gráfico 3. 1 Mapa de regiones con amenaza de inundaciones

Fuente: Daga, 2020.
Las inundaciones son un fenómeno natural causado principalmente por la lluvia intensa (VDRA, 2014). Bolivia tiene varias regiones expuestas a inundaciones debido a su topografía y clima, incluyendo el Beni, el Gran Chaco, Cochabamba y Santa Cruz (Daga, 2020). De acuerdo con una investigación realizada por la Unidad de Análisis de Políticas Sociales y Económicas (2015), se ha demostrado que el 53,5% de la población boliviana dedicada a actividades agropecuarias es vulnerable a desastres relacionados con inundaciones. Además, se registran aproximadamente 87 informes de inundaciones anualmente en Bolivia, afectando a más de 34.893 familias por año (INE, 2021). (Véase gráfico 3.2 y 3.3)
Gráfico 3. 2 Reportes por inundaciones dentro del periodo 2008 - 2020(p)

Fuente: Elaboración propia con información del Instituto Nacional de Estadística.
Gráfico 3. 3 Familias afectadas por inundaciones dentro del periodo 2008 - 2020(p)

Fuente: Elaboración propia con información del Instituto Nacional de Estadística.
Gráfico 3. 4 Mapa de regiones con amenaza de sequías

Fuente: Daga, 2020.
La sequía es una escasez prolongada de agua debido a la falta de precipitaciones, afectando a seres humanos, animales y plantas (VDRA, 2014). Bolivia ha experimentado sequías en el Altiplano y el Chaco, debido al fenómeno ENSO y al incremento de la temperatura global. Las regiones más afectadas son Cochabamba, Oruro, Potosí, La Paz, Tarija y Santa Cruz (Daga, 2020). De acuerdo con una investigación realizada por la Unidad de Análisis de Políticas Sociales y Económicas (2015), se ha demostrado que el 59,9% de la población boliviana dedicada a actividades agrícolas y pecuarias está expuesta a una vulnerabilidad significativa ante desastres relacionados con sequías. Además, Se han registrado un promedio de 35 informes de sequías anualmente, afectando a más de 15.260 familias (INE, 2021). (Véase gráfico 3.5 y 3.6)
Gráfico 3. 5 Reportes por sequías dentro del periodo 2008 - 2020(p)

Fuente: Elaboración propia con información del Instituto Nacional de Estadística.
Gráfico 3. 6 Familias afectadas por sequías dentro del periodo 2008-2020(p)

Fuente: Elaboración propia con información del Instituto Nacional de Estadística.
Gráfico 3. 7 Mapa de regiones con amenaza de granizo

Fuente: Daga, 2020.
El granizo es una forma de precipitación en la cual las partículas son fragmentos irregulares de hielo que caen del cielo (VDRA, 2014). La amenaza de granizada se concentra principalmente en los municipios de Oruro y Potosí, pero se extiende hacia la región de los valles e incluye a departamentos como Chuquisaca y Tarija. El impacto en la producción agrícola dependerá del tipo de cultivo, de la fase fenológica y del crecimiento del cultivo alcanzado en el momento de ocurrencia del fenómeno. Las zonas ubicadas a sotavento de una cadena de montañas presentan una mayor frecuencia de granizadas (UDAPE, 2015). Se han registrado un promedio de 56 informes de granizadas anualmente, afectando a más de 12.554 familias (INE, 2021). (Véase gráfico 3.8 y 3.9)
Gráfico 3. 8 Reportes por granizadas dentro del periodo 2008 - 2020(p)

Fuente: Elaboración propia con información del Instituto Nacional de Estadística.
Gráfico 3. 9 Familias afectadas por granizada dentro del periodo 2008 - 2020(p)

Fuente: Elaboración propia con información del Instituto Nacional de Estadística.
Gráfico 3. 10 Mapa de regiones con amenazas de sequía

Fuente: Daga, 2020.
Las heladas son un fenómeno climático que ocurre cuando las temperaturas bajan por debajo del punto de congelación y puede destruir los tejidos de las células vegetales (VDRA, 2014). Las heladas se presentan principalmente en la región occidental de Bolivia, siendo los departamentos de Potosí, Oruro y el sur de La Paz las áreas más propensas. Los municipios de Oruro y Potosí son los más afectados por las granizadas, pero también hay presencia de esta amenaza en los valles y departamentos como Chuquisaca y Tarija (UDAPE, 2015). Se han registrado un promedio de 35 informes de sequías anualmente, afectando a más de 15.260 familias (INE, 2021). (Véase gráfico 3.11 y 3.12)
Gráfico 3. 11 Reportes por heladas dentro del periodo 2008 - 2020(p)

Fuente: Elaboración propia con información del Instituto Nacional de Estadística.
Gráfico 3. 12 Familias afectadas por la helada dentro del periodo 2008-2020

Fuente: Elaboración propia con información del Instituto Nacional de Estadística.
4. Seguros agrícolas como gestión del riesgo climático en Bolivia
La necesidad de contar con herramientas de mitigación de riesgos llevó a este apartado a presentar los seguros agrícolas como un mecanismo que puede proporcionar una red de seguridad a los agricultores vulnerables a las perturbaciones climáticas.
Según una investigación realizada por Signorino (2021), existen diferentes tipos de seguros agropecuarios, como los de riesgo único, multirriesgo e ingresos, y los de rendimiento y precios.
• Seguros de Riesgo Único
El seguro de riesgo único fue el primer tipo de seguro de cosechas ofrecido en Europa y América del Norte en el siglo XIX. En países en desarrollo como Uruguay, México y Mauricio fue promovido desde principios del siglo XX. Ofrece protección al cultivo contra un solo tipo de riesgo climático específico, como tormentas de granizo, incendios o vientos fuertes (Wenner, 2005)
• Seguros de Multirriesgo
Los seguros de multirriesgo surgieron en la década de 1930 en Estados Unidos como medio para ayudar a los agricultores a recuperarse de la Gran
Depresión y la sequía prolongada del "Dust Bowl". En los países en desarrollo, los programas multirriesgos se introdujeron en países como Brasil, Costa Rica, México, India, Chile, República Dominicana y Venezuela. Sin embargo, a finales de la década de 1980 y principios de la de 1990, muchos programas multirriesgos en países en desarrollo comenzaron a experimentar pérdidas considerables. Los seguros multirriesgo brindan protección contra la mayoría de los riesgos naturales, como sequías, inundaciones, humedad excesiva, tormentas de granizo, vientos fuertes y cambios de temperatura repentinos. Este tipo de seguro protege la producción obtenida, pero la cantidad de producción se determina al momento de la cosecha y la causa del daño se debe identificar cerca al momento en que ocurrió (Signorino Barbat, 2021).
• Seguros de ingresos o de rendimiento y precios El seguro agrícola de ingresos combina la protección del rendimiento frente a múltiples riesgos con un componente de variabilidad de precios. Si los precios de las cosechas caen por debajo de un nivel establecido, se realiza un pago basado en precios futuros.
Aunque son seguros atractivos para el cliente, tienen las mismas debilidades que los seguros multirriesgo, especialmente en cuanto a su falta de solidez actuarial. En esencia, se trata de un programa de transferencia de ingresos.
De acuerdo con Nogales & Córdova (2014), Los seguros agrícolas basados en índices climáticos, a diferencia de los tradicionales, pueden mitigar e incluso anular el riesgo moral y la selección adversa, permitiendo así acceder a seguros de bajos costos, característica que hace de este tipo de seguros un
mecanismo atractivo para economías en vías de desarrollo con gran parte de población rural sumida en severas condiciones de precariedad.
Tipos de Seguros de Índice o Paramétricos según Signorino Barbat (2021):
• Índice climático: utiliza precipitación pluvial o días de temperatura específicos para activar el pago
• Índice de rendimiento de área: utiliza el rendimiento promedio de cultivos como activador y paga indemnización si el rendimiento individual es inferior al promedio de referencia
• Índice vegetativo captado por satélite: utiliza imágenes de satélite para evaluar la salud de los pastizales y paga indemnización si la salud del pastizal está por debajo del promedio
• Índices de mortalidad para ganado: utiliza un censo anual para calcular el promedio de índices anuales de mortalidad y paga indemnización si los índices exceden el porcentaje preestablecido.
La siguiente tabla muestra las ventajas y desventajas de los seguros paramétricos.
Tabla 4. 1 Ventajas y desventajas de los seguros paramétricos
Ventajas
No hay selección adversa
Bajo riesgo moral
Bajo costo de monitoreo
Primas accesibles
Adecuado para agricultores de bajos ingresos en zonas secas
Flexible y puede utilizarse con intermediarios y fondos gubernamentales para desastres
Desventajas
Depende de información para predecir pérdidas para desarrollar modelos de riesgos
Funciona mejor en lugares con datos históricos y acceso a información satelital y climática
No es adecuado para áreas montañosas o con agricultores reacios al riesgo
Fuente: Elaboración propia en base a Signorino Barbat (2021).
Las principales diferencias entre las modalidades de seguros tradicionales y seguros paramétricos se muestran a continuación:
FORTALEZAS
SEGUROS TRADICIONALES
Aplicable a cualquier riesgo asegurable.
Compensación de los daños reales de cada exploración asegurada.
Requiere disponer de medidas para control de riesgo moral.
DEBILIDADES
Altos costos administrativos.
Requiere el establecimiento de normas para la evaluación de daños sobre el terreno.
SEGUROS INDEXADOS
Costos de administración reducidos.
Eliminación del riesgo moral.
Baja o nula selección adversa.
Simplicidad de diseño y aplicación.
Solo aplicable en riesgo meadiables.
Difícil de entender y aceptar por los agricultores
Difícil de establecer el índice adecuado.
Cobertura por áreas geográficas.
Fuente: Elaboración propia en base Vila (2018).
Además de las diferencias en su funcionamiento, los seguros tradicionales y los seguros paramétricos también tienen diferencias significativas en su estructura de costos. Según Burke, De Janvry y Quintero (2010), los seguros basados en índices climáticos tienen la capacidad de reducir o eliminar muchos
4.
de los costos asociados con los seguros tradicionales, como el coste del riesgo puro, los requisitos de información para controlar la selección adversa y el riesgo moral, el ajuste de pérdidas, el coste de entrega y el coste del capital. (véase figura 4.1)

Fuente: Elaboración propia en base a Burke, De Janvry, & Quintero (2010).
4.2.1. Seguro paramétrico en Bolivia
Los seguros paramétricos en el sector agrícola de Bolivia son relativamente nuevos y aún se encuentran en una etapa inicial de crecimiento. Sin embargo, existen algunos estudios que han investigado la posibilidad de implementar seguros basados en índices climáticos en el país, y los resultados han sido prometedores. Por ejemplo, Nogales Carvajal y Córdova Olivera (2014) llevaron a cabo un estudio de caso en Bolivia que examinó el potencial de los seguros agrícolas basados en índices climáticos para fortalecer la capacidad de los agricultores para resistir las adversidades climáticas. Los resultados indican que los seguros paramétricos pueden ser una herramienta útil para ayudar a los agricultores bolivianos a protegerse
contra los efectos negativos del clima y mejorar su seguridad financiera.
En base a la investigación realizada por Fernando Vila (2018), se presenta una síntesis de los aspectos más relevantes de los seguros agropecuarios llevados a cabo por Brasil, Chile, México y Uruguay.
• Brasil: Seguros enfocados en la agricultura familiar que tiene como objetivo proteger a los agricultores de los desastres naturales. Estos seguros son implementados por el sector público.
• Chile: La penetración de los seguros sigue siendo baja a pesar de que hay seguros agrícolas individuales y colectivos, con premios por recontratación para cultivos en zonas extremas. Estos seguros son ofrecidos por tres aseguradoras privadas con subsidio a las primas otorgadas por el estado. 50% para agricultura familiar.
• México: el Estado juega un rol de reasegurador para los seguros individuales y catastróficos, puesto que son administrados por la secretaría de hacienda y crédito público e implementado por el programa de aseguramiento agropecuario de México.
• Uruguay: tiene seguros tradicionales y de índice para sequía, estos seguros han tenido éxito debido a la buena gestión y el incremento de subsidio para agricultores pequeños.
El mercado financiero en Bolivia no ofrece servicios adecuados para el sector agrícola debido a la baja rentabilidad del mercado y costos elevados de transacción, así como la elevada dispersión geográfica de los clientes a pequeña escala. Por lo que, los seguros agrícolas tienen baja penetración (INESAD, 2020).
Además, la demanda de seguros agrícolas en Bolivia ha sido limitada debido a un bajo poder adquisitivo y su falta de familiaridad con las prácticas financieras. Según la Asociación Boliviana de Aseguradores (ABA), el mercado de seguros (en todas sus variedades) representa un 1,28% del PIB boliviano. Sólo el 3,1% de las unidades productivas de Bolivia cuenta con un seguro agrícola (INE, 2015). En cuanto al sector privado, unas pocas compañías de seguros, como UNIBienes, Alianza Seguros, Crediform, Fortaleza Seguros, Boliviana Ciacruz, BISA Seguros y Reaseguros, y Sudamericana Seguros, ofrecen seguros agrícolas a los productores (Armand, y otros, 2020).
4.4.1. Seguro agrario universal “Pachamama”
"El Seguro Agrario Universal 'Pachamama' es un seguro que se creó mediante la Ley Nº 144 de Revolución Productiva Comunitaria Agropecuaria, promulgada el 26 de junio de 2011. Su objetivo es asegurar la producción agropecuaria afectada por daños provocados por fenómenos climáticos y desastres naturales adversos, contribuyendo así a la seguridad alimentaria mediante el pago de una indemnización".
Dentro del Seguro Agrario “Pachamama”, se encuentran las distintas modalidades de seguros:
• Seguro Agrario "Minka"
El Seguro Agrario "Minka" fue creado en 2012 y modificado en 2019 para cubrir los medios de subsistencia afectados por heladas, inundaciones, sequías y granizos de productores de la agricultura familiar con determinados niveles de pobreza. La población objetivo son productores con menos de 3 hectáreas de tierra, que produzcan uno de los nueve cultivos cubiertos por el programa y estén dentro de los municipios seleccionados con determinados niveles de pobreza. Los cultivos asegurables son papa, maíz,
quinua, haba, frejol, cebada, avena, alfalfa, yuca, arveja, ají y cebolla.
La verificación y evaluación de los daños sigue un proceso de dos pasos: se verifica la presencia de una catástrofe natural mediante datos satelitales, y luego hay una fase de verificación sobre el terreno.
Es administrada por entidades aseguradoras autorizadas o directamente por el INSA. Da la indemnización de 1.000 bolivianos por hectárea perdida o dañada severamente, superficie asegurable de máximo 2 o 3 hectáreas.
• Seguro del Programa Multisectorial de Fomento a la producción de Trigo De acuerdo con lo determinado por el Artículo 35 de la Ley Nº 144, se estableció el subsidio a la prima del Seguro Agrícola para el cultivo de trigo a favor de los productores a nivel nacional, en función a lo establecido en el Decreto Supremo Nº 3919.
El área de intervención de este seguro son los municipios productores de trigo, campaña agrícola de invierno y verano. Santa Cruz, (invierno), Cochabamba, Chuquisaca, Potosí, Tarija, Santa Cruz, La Paz y Oruro (verano). Y, la compañía aseguradora es Seguros y Reaseguros Patrimoniales
UNIBIENES S.A.
4.5. Retos para la implementación de seguros agrícolas destinados a la agricultura familiar
Vila (2018) señala en su investigación realizada que la adopción de los seguros enfrenta un conjunto de dificultades, las que se ven agudizadas cuando se considera el segmento de la agricultura familiar. Se destacan los siguientes:
• Bajo número de asegurados: agricultores familiares tienen
limitaciones financieras y priorizan el sustento y los insumos.
• Asimetría en la información: compañías aseguradoras tienen información limitada sobre el riesgo que afecta a los productores.
• Selección adversa: los agricultores que han sufrido pérdidas son los más propensos a contratar seguros.
• Incertidumbre en las condiciones agrícolas: la agricultura es una actividad con alto grado de incertidumbre.
• Riesgo moral: el agricultor no realiza acciones requeridas para la posible recuperación del bien afectado.
• Altos costos operativos de los seguros tradicionales: limitan el acceso a los agricultores con recursos limitados.
• Alto riesgo de base de los seguros de índice: pueden ocurrir desvíos entre lo que marca el índice y lo que sucede en los predios de los productores.
Es importante comprender la demanda de un seguro agrícola, ya que, sin ella no existiría ningún programa. La demanda es generada de aquellos que buscan proteger sus cultivos con un seguro. En muchas partes de América, el uso de seguros no es una práctica común. Algunas personas pueden estar desinformadas acerca de lo que es un seguro y sus beneficios, mientras que otras pueden no confiar en las compañías aseguradoras o no tener los recursos para pagar las primas. Otros más incluso pueden creer que los desastres son la voluntad de Dios y que, por lo tanto, se deben sobrellevar (Hatch, García, & Núñez, 2012).
Según Burke, De Janvry, & Quintero (2010) las posibles explicaciones de la baja adopción abundan, pero la bibliografía se centra generalmente en:
• Prima asequible: la aceptación de seguros basados en índices climáticos está relacionada con su asequibilidad, lo que afecta directamente la voluntad y capacidad de los agricultores pobres para adquirirlos. Ejemplos de India y Malawi demostraron que los agricultores son sensibles a los precios y tienen limitaciones de liquidez. Las soluciones para abordar estos problemas incluyen reducir costos por el lado de la oferta, establecer umbrales de índice, cobrar primas después de la cosecha y compartir costos con proveedores de insumos agrícolas. También se pueden utilizar ayudas gubernamentales o de donantes para reducir las primas de los agricultores y fomentar el aprendizaje y la experimentación de los agricultores a través de cupones dirigidos a los pobres.
• La confianza del agricultor: la confianza en el proveedor es un factor clave que limita la adopción de seguros basados en índices por parte de los agricultores, ya que deben pagar por adelantado para recibir pagos futuros inciertos. Para mejorar la confianza de los agricultores en las aseguradoras, se han investigado diversas soluciones, como la aprobación del seguro por parte de terceros de confianza, el diseño de pólizas que paguen pronto y frecuentemente y la utilización de estructuras de pago no lineales. Las subvenciones limitadas en el tiempo también pueden fomentar el aprendizaje de los agricultores y aumentar su confianza en los seguros.
• Educación financiera: la falta de conocimientos financieros de los pequeños agricultores puede limitar la adopción de seguros basados en índices. Los agricultores pueden tener dificultades para comprender los contratos de seguros, especialmente porque los pagos no están vinculados a las pérdidas individuales, sino al riesgo de base.
Un estudio realizado en la India demostró que los hogares obtenían malas puntuaciones en pruebas básicas de conocimientos financieros, pero la mayoría obtenía buenas puntuaciones en una prueba de comprensión de un hipotético producto de seguro de temperatura. Sin embargo, la provisión experimental de educación financiera adicional tuvo poco efecto en la adopción del seguro.
Para resolver este problema, se sugiere promover la educación financiera entre los pequeños agricultores a través de "juegos" de educación financiera o la provisión de información por parte de los gobiernos o la comunidad de ONG.
• Riesgo de base: el riesgo de base es uno de los principales desafíos para la adopción de seguros agrícolas indexados por parte de los agricultores, ya que los pagos pueden no corresponderse con sus pérdidas individuales. El riesgo de base proviene de la medición imperfecta de las condiciones meteorológicas en los campos de los agricultores y la correlación imperfecta entre los rendimientos de los agricultores y una determinada variable meteorológica. Para reducir el riesgo de base, se están implementando dos estrategias principales: aumentar la densidad de estaciones para medir los resultados meteorológicos lo más cerca posible de los campos de los agricultores y utilizar mediciones meteorológicas por satélite, aunque esto último puede tener problemas de precisión y transparencia.
• Baja cultura aseguradora: muchos pequeños agricultores desconocen las opciones de seguros disponibles o los ven más como un costo que como una protección para su actividad productiva. A menudo, sólo contratan seguros agrícolas porque es obligatorio para acceder a créditos financieros, no porque deseen protección contra los riesgos que puedan afectar su producción. Además, si existe una
cultura asistencialista que les da confianza en que el Estado los ayudará, los agricultores pueden no tener incentivos para tomar medidas de protección financiera, como contratar seguros.
4.7. Lineamientos para la construcción de seguros basados en índices climáticos
Los lineamientos que deben seguirse para la construcción de un seguro agrícola paramétrico han sido estudiados en las investigaciones realizadas por Nogales & Córdova (2019). Estos autores sugieren que la construcción de esquemas de seguros basados en índices climáticos en Bolivia puede seguir tres pasos generales:
1. Clasificación de los riesgos climáticos en una zona específica para el cultivo de interés: El primer paso en la creación de un seguro agrícola es entender los riesgos climáticos específicos que afectan a una zona de cultivo en particular. Esto requiere obtener registros históricos precisos de las condiciones climáticas en esa zona, tener conocimiento detallado de la fenología del cultivo y disponer de series de rendimiento de cultivos en esa zona.
2. Medición de los riesgos climáticos: Después de comprender los riesgos climáticos, se debe crear un índice climático objetivo que mida el impacto del clima en la región o sector específico. Esto puede involucrar la recolección de datos meteorológicos y la aplicación de técnicas estadísticas para determinar los efectos de las condiciones climáticas en la producción agrícola.
3. Diseño de los esquemas de pólizas de seguro: Una vez que se ha establecido el índice climático, el siguiente paso es diseñar el esquema de pólizas de seguro agrícola. Esto incluye definir los términos y condiciones del seguro, identificar a los asegurados y
establecer las primas a pagar. Se deben tomar en cuenta las necesidades y características específicas de los agricultores para desarrollar un seguro que sea atractivo y útil para ellos.
5. Conclusión
• Bolivia depende en gran medida de la agricultura de baja escala para la seguridad alimentaria y el desarrollo económico.
• Los productores agrícolas enfrentan riesgos climáticos y desastres naturales que pueden afectar su productividad y rendimiento, así como la seguridad alimentaria de la población.
• Los seguros agrícolas tradicionales tienen limitaciones para proteger a los agricultores de estos riesgos.
• Los seguros agrícolas basados en índices climáticos pueden ser una herramienta valiosa para ayudar a los pequeños agricultores a proteger sus ingresos y garantizar la seguridad alimentaria en Bolivia.
6. Recomendaciones
Esto ha experimentado ciertas limitaciones, por lo tanto, se recomienda a quienes deseen consideren estas recomendaciones:
• Incentivar la investigación y desarrollo de prácticas agrícolas sostenibles y resistentes a los riesgos climáticos.
• Fomentar la adopción de seguros agrícolas basados en índices climáticos a través de programas piloto y capacitación para los agricultores.
• Mejorar la infraestructura de monitoreo climático para establecer índices climáticos precisos.
• Realizar programas piloto para incentivar a los sectores público y privado a desarrollar un sistema de transferencia de riesgos que beneficie a los agricultores.
• Establecer un sistema de coordinación entre los diferentes actores involucrados en el sector agrícola para enfrentar eficazmente los riesgos climáticos.
Armand, A., Daga, S., Machicado, C., Nogales, R., Branisa, B., Flavian Gomes , J., . . . Kim Taveras, I. (2020). Learning from a publicly subsidised agricultural insurance: evidence from Bolivia. INESAD, University of Navarra and NCID, University of Navarra and NCID, University of Essex, Universidad Privada Boliviana. doi:https://doi. org/10.23846/tw13pe06
Burke, M., De Janvry, A., & Quintero, J. (2010). Providing Index – Based Agricultural Insurance to Smallholders: Recent Progress and Future Promise. Documento de Trabajo, University of California at Berkeley.
Daga, S. (2020). Weather Shocks’ Impacts on Farm-Level Agricultural Outcomes in Bolivia. SpringerBriefs in Economics. doi:https://doi.org/10.1007/978-3030-43708-4_2
Hatch, D., García, M., & Núñez, M. (2012). Elaboración de programas de seguros agrícolas exitosos y sostenibles. Conceptos fundamentales y pasos iniciales. (I. I. (IICA), Ed.) Obtenido de https://repositorio.iica.int/ handle/11324/19711
INE. (2015). Censo Agropecuario 2013 La Paz, Bolivia: Instituto Nacional de Estadística.
INE. (2021). BOLIVIA: EVENTOS ADVERSOS DE ORIGEN NATURAL, SEGÚN CATEGORÍA POR AÑO, 2008 - 2020
INESAD. (2020). Creación de empleos verdes para mujeres indígenas en el marco de la respuesta y la recuperación del sector de la quinua en Bolivia COVID-19. Manuscrito no Publicado, La Paz, Bolivia.
IPPC. (2014). Climate Change 2014: Synthesis Report. Contribution of Working Groups I, II and III to the
Fifth Assessment Report of the Intergovernmental Panel on Climate Change. Geneva, Switzerland: Core Writing Team, R.K. Pachauri and L.A. Meyer (eds.).
MDRyT - PMA. (2012). Análisis y Mapeo de la Vulnerabilidad a la Inseguridad Alimentaria. Ministerio de Desarrollo Rural y Tierras (MDRyT) / Programa Mundial de Alimentos (PMA), La Paz, Bolivia. Obtenido de http://geo.gob. bo/portal/?Disponible-mapa-deindicadores-sociales-en-GeoBolivia
Nogales Carvajal , R., & Córdova Olivera, P. (2014). SEGUROS AGRÍCOLAS BASADOS EN ÍNDICES CLIMÁTICOS: UN ESTUDIO DE CASO EN BOLIVIA. Cochabamba: Centro de Investigaciones Económicas y Empresariales- CIEE.
Nogales Carvajal, R., & Córdova Olivera, P. (2014). Seguros agrícolas basados en índices climáticos: Un estudio de caso en Bolivia. Cochabamba: Centro de Investigaciones Económicas y Empresariales- CIEE.
Nogales, R., & Cordova, P. (2019). On the Advantages and Feasibility of Weather Index-Based Crop Insurance Schemes in Bolivia. Emerging Markets Finance and trade. doi:10.1080/15404 96X.2019.1677226
PNUD. (2011). Tras las Huellas del Cambio Climático en Bolivia: Estado del Arte del Conocimiento Sobre Adaptación al Cambio Climático, Agua y Seguridad Alimentaria. La Paz, Bolivia: Programa de las Naciones Unidas en Bolivia.
Signorino Barbat, A. (2021). Seguros agrícolas en Latinoamérica. La necesidad de superar asimetrías a través de una adecuada gestión de los riesgos implicados. Revista Ibero-Latinoamericana de Seguros. doi:10.11144/Javeriana.ris54.saln
UDAPE. (2015). Vulnerabilidad Poblacional al Riesgo de Desastres en Bolivia. La Paz, Bolivia: Unidad de Análisis de Políticas Sociales y Económicas .
Vargas, M. (2017). Apuntes sobre la agricultura familiar en Bolvia.
Bolvia: Instituto Interamericano de Cooperación para la Agricultura - IICA. VDRA, V. d. (2014). Atlas de Riesgo Agropecuario y Cambio Climático para la Soberanía Alimentaria. Viceministerio de Desarrollo Rural Agropecuario (VDRA), Ministerio de Desarrollo Rural y Tierras (MDRyT).
Vila, F. (2018). Seguros agrícolas para la agricultura familiar en América Latina y el Caribe - Lineamientos para su desarrollo e implementación. Santiago de Chile: FAO.
Wanderley, F., & Tito Velarde, C. (2021). Contribución de la Agricultura Familiar Campesina Indígena a la producción y consumo. CIPCA e IISEC-UCB, La Paz.
Wenner, M. (2005). Los seguros agrícolas: evolución y perspectivas en América Latina y el Caribe. Washington: Publicación del Banco interamericano de Desarrollo.
El presente trabajo busca analizar el desarrollo histórico de la inversión en infraestructura en Bolivia desde el período del 2000 al 2019, con el objetivo de entender si existe una relación, sea esta positiva o negativa, entre la inversión en infraestructura y el crecimiento económico medida como el Producto Interno Bruto (PIB).
Se analiza esta relación tomando en cuenta los lineamientos propuestos por Barro (1990), quien argumentaba que la inversión en infraestructura sentaba las bases para el crecimiento económico y sobre todo, para la participación más eficiente del sector privado en la economía siendo ésta un motor para el crecimiento.
Se recopilan las series históricas correspondientes para realizar el análisis mediante un modelo econométrico al cual también se le realizan las diversas pruebas necesarias para series de tiempo, con tal de que la regresión no sea espuria, con el objetivo de definir si existe o no causalidad, o en su defecto definir su significancia.
Finalmente se dan conclusiones en base a lo recopilado a lo largo del trabajo y se realizan recomendaciones tomando en cuenta los problemas coyunturales que el país atraviesa.
Palabras clave: Inversión pública, inversión privada, crowding out, crowding in, gasto público productivo, crecimiento económico.
Bolivia vivió desde el 2006 en un contexto de constante crecimiento económico, que permitió entre otras cosas la expansión del Estado, sus inversiones públicas y el gasto público.
This study aims to analyze the historical development of infrastructure investment in Bolivia from the period 2000 to 2019. The objective is to understand whether there is a positive or negative relationship between infrastructure investment and economic growth, measured by Gross Domestic Product (GDP).
We examine this relationship considering the guidelines proposed by Barro (1990), who argued that infrastructure investment lays the foundation for economic growth, particularly facilitating more efficient private sector participation, acting as a driving force for growth.
Historical data series are compiled for analysis using an econometric model. Various necessary tests for time series are conducted to ensure that the regression is not spurious. The goal is to determine the presence or absence of causality and, if applicable, to define its significance.
Finally, conclusions are drawn based on the collected data throughout the study, and recommendations are provided, taking into account the current challenges the country is facing.
Keywords: Public investment, private investment, crowding out, crowding in, productive public spending, economic growth.
Por lo tanto, se presenciaron importantes obras en infraestructura que impactaron ya sea positiva o negativamente a la economía boliviana. Estas obras en infraestructura son aquellas destinadas
a la mejora de la calidad de vida de sus habitantes y sobre todo la facilidad de hacer negocios para mejorar la economía, algunos ejemplos de estas inversiones públicas son: hospitales, educación, carreteras, electrificación, etc.)
De tal modo que al darse la expansión del Estado, en ocasiones esta viene a participar dentro de la economía como un agente económico más, desplazando a la inversión privada de ciertos tipos de negocios y generando así un efecto crowding out.
Según Barro (1990), las inversiones en infraestructura son vitales para que una nación crezca económicamente, siempre y cuando no afecten negativamente a la inversión privada o la desplacen, en su lugar, dichas inversiones en infraestructura deben tener el último objetivo de dinamizar y ayudar al desarrollo de la inversión privada.
Siguiendo los lineamientos propuestos por Robert J. Barro (1990), mediante un análisis econométrico se busca analizar el impacto ya sea positivo o negativo de la inversión pública o también llamado gasto público productivo en la economía boliviana.
1. Análisis de la economía boliviana
El crecimiento económico de Bolivia se ve marcado por su tendencia al alza, la cual mantuvo firmemente en los últimos 20 años.
Este crecimiento puede apreciarse mediante el análisis del indicador PIB.
El PIB también puede calcularse por el tipo de cuenta que maneja, este tipo de cuentas son: Consumo, Inversión, Gasto público y exportaciones netas.
Ilustración 1. PIB por tipo de gasto

Fuente: INE.
El país tuvo un crecimiento económico notable, creció la participación del Estado en gasto público, pero también en otras cuentas que no se reflejan en el PIB. Como por ejemplo la inversión pública de Bolivia, cuya información es manejada por el Viceministerio de Inversión Pública y Financiamiento Externo o también llamado VIPFE, que opera las inversiones en 4 cuentas generales: inversión pública, productiva, de infraestructura, social y multisectorial.
Ilustración 2. Inversión pública de Bolivia en USD

Fuente: VIPFE.
La inversión pública total en el año 2000 era de poco más de 583 millones de USD, la cual creció en un 546% hasta 2019 significando esto un monto total de 3.769 millones de USD.
Esta recopilación de datos del VIPFE es la que más se acerca a la definición de gasto público productivo de la que habla el autor Robert Barro, pues en Bolivia se entiende inversión pública como:
“Todo gasto de recursos de origen público destinado a incrementar, mejorar o reponer las existencias de capital físico de dominio público y/o capital humano, con el objeto de ampliar la capacidad del país para la prestación de servicios o producción de bienes” (Ministerio de Hacienda, 1996).
El modelo de Barro es un modelo de crecimiento endógeno, es decir, las variables de crecimiento están definidas dentro del propio modelo, por lo tanto, este modelo no considera factores externos para explicar el crecimiento económico de una nación.
El modelo se caracteriza porque la inversión pública no desplaza a la inversión privada, más bien, la complementa. Así la inversión pública vendría a ser más como un input para la inversión privada al reconocer que primero se debe asegurar las condiciones para que la inversión privada se desenvuelva en la economía de mejor manera, ya que esta es el principal actor de una economía (Cornelio & Tun, 2015).
La función de producción inicial de Barro es muy parecida a la de los modelos de crecimiento endógenos:
la inversión pública sea igual al ritmo de crecimiento del capital privado, no se reducirá la renta como suele suceder con los modelos endógenos de crecimiento.
De este modo, la inversión pública vendría a ser como una externalidad positiva para que los niveles de producción de los agentes privados aumenten. (Cornelio & Tun, 2015).
El presente modelo usa series de tiempo para crear un modelo de regresión con variables pertinentes que el modelo de Barro usa al igual que otros trabajos referidos lo hacen. Estas variables son:
• PIB real
• Inversión pública nacional
• Formación bruta de capital fijo
• Gasto público
• Población económicamente activa
Estas conforman las series de tiempo a usarse entre los años 1990 a 2019 con una periodicidad anual.
Conforme al modelo de Barro la fórmula fundamental para iniciar las regresiones es:
Y = AKαG1-α
Además, el modelo presenta productividades marginales positivas, aunque decrecientes, esto significa que al aumentar los factores de producción siendo estos K (capital) y G (gasto público productivo) la producción también aumenta, pero cada vez en menor cantidad.
Pero la principal aportación de Barro es que hay rendimientos constantes en los factores acumulables mediante el gasto público productivo. Esto quiere decir que mientras el ritmo de crecimiento de
Y se los tomará en términos per cápita, por lo cual la ecuación a usar será:
y = Akαg1-α
Ahora, considerando que las variables proxy de gasto público “g” pueden ser la “inversión pública nacional” o “gasto público” es que se harán 2 modelos usando cada una respectivamente, considerando que la serie de tiempo “inversión pública nacional” es la que mejor se adapta al concepto de Barro de una inversión que aumente la productividad de una nación
mediante la mejora de infraestructura vital o capital humano.
Para usar series económicas en análisis econométrico es importante que las series cumplan idealmente un requisito que es el de la estacionariedad.
La estacionariedad significa que la media y la varianza de las series económicas son constantes en el tiempo, por lo tanto, no muestran tendencias o patrones que afecten sistemáticamente a las series (Gujarati & Porter, 2010).
Tener estacionariedad en las series económicas es deseable ya que facilita el análisis econométrico y la predicción, además, los modelos de regresión asumen que las series son estacionarias y por esta razón es importante cumplir este requisito en la medida que sea posible.
Sin embargo, como menciona Gujarati & Porter (2010), gran parte de las series económicas son no estacionarias, aunque, pueden serlo si se las deriva en primeras diferencias.
Con este fin es que se aplican primeras diferencias a las series económicas en términos per cápita.
Los modelos econométricos que se realizarán buscan explicar cuál es el impacto de las variables independientes sobre la variable dependiente.
Para cada modelo la variable dependiente será la primera diferencia del producto interno bruto per cápita, siendo ésta la variable que representa la economía boliviana y sobre la cual tienen efecto las demás variables endógenas que son la inversión privada (medida por la Formación bruta de capital fijo) y el sector público (medida por el gasto público y/o
la inversión pública del Viceministerio de inversión pública y financiamiento externo - VIPFE).
Finalmente tomando en cuenta las modificaciones a las series de tiempo para que cumplan el requisito de la estacionariedad es que los modelos se verían de la siguiente manera:
Para el modelo 1 se tiene la primera diferencia del PIB per cápita como variable dependiente, y sus variables explicativas o independientes serán la primera diferencia de la formación bruta de capital fijo per cápita y la primera diferencia del gasto público per cápita.
Dif(y)=α0 +α1Dif(k)+α2Dif(ip)+α3Dif(g)+ԑ
Modelo 2
Para el modelo 2 se sigue los mismos lineamientos, con la diferencia que en lugar de tener como variable independiente la primera diferencia del gasto público per cápita, se tiene como variable independiente la primera diferencia de la inversión pública per cápita.
Esto debido a que como se mencionó anteriormente, en Bolivia el VIPFE recopila estos datos que son más coherentes con la teoría propuesta por Robert Barro. Ya que esta inversión pública hace referencia estrictamente a las inversiones en infraestructura, inversiones productivas, sociales y multisectoriales que tienen como objetivo directo mejorar la calidad de vida de la población y dinamizar la economía.
De tal modo que la formula econométrica del modelo 2 es la siguiente:
Dif(y) = α0 + α1Dif(k) + α2Dif(ip) + ԑ
Finalmente, el modelo 3 es más amplio y busca determinar el impacto que todas las variables económicas consideradas pueden tener sobre la variable dependiente. En este caso la formula toma en cuenta entre sus variables independientes las primeras diferencias del gasto público y de la inversión pública per cápita.
Dif(y) = α0 + α1Dif(k) + α2Dif(g) + ԑ
El primer modelo con gasto público demuestra que ambas variables explicativas tanto gasto público como FBKF per cápita son estadísticamente significativas:
Ilustración 3. Resultados del modelo 1
Variable dependiente: 1ra Diferencia del PIB per cápita
Modelo 1
Observaciones:
R cuadrada
R cuadrada ajustada
Error residual estándar
F estadístico
Nota:
30 0.642 0.615
Constante 1ra Diferencia Gasto Público per cápita 1ra Diferencia de FBKF per cápita
115.000 (df = 27)
24.207 *** (df = 2; 27) * p > 0.1; ** p > 0.05; *** p > 0.01
Fuente: Elaboración propia.
La variable de Gasto público per cápita parece tener mayor significancia estadística y afecta en mayor cuantía a la variable independiente que la FBKF per cápita.
Lo cual tiene sentido dado que el gasto público es la mayor herramienta del gobierno para tener impacto sobre la economía boliviana en el corto plazo y como se explicó en gráficas anteriores esta serie de tiempo (Gasto público per cápita) fue incrementándose con el paso del tiempo.
Por otro lado, el coeficiente de determinación (R2) muestra que las variables independientes logran explicar adecuadamente a la variable independiente.
Por otro lado, el modelo 2 muestra los siguientes resultados:
Modelo 2
Coef.
Ilustración 4. Resultados del modelo 2
Variable dependiente: 1ra Diferencia del PIB per cápita
Constante 1ra Diferencia Inversión Público per cápita 1ra Diferencia de FBKF per cápita
Error (25.677) (0.209) (0.207)
Observaciones:
R cuadrada
R cuadrada ajustada
Error residual estándar
F estadístico
Nota:
139.449 (df = 27)
12.144 *** (df = 2; 27) * p > 0.1; ** p > 0.05; *** p > 0.01
Fuente: Elaboración propia.
La primera diferencia de la inversión pública per cápita es significativamente estadística al 99% demostrando que esta variable explica en parte del crecimiento del PIB per cápita.
Por otro lado, el R2 del modelo indica que esta variable explica en menor medida al PIB per cápita si es comparada con el modelo 1 el cual usaba el gasto público per cápita como variable independiente, aunque esto no desmerece la relevancia de la inversión pública per cápita para explicar el comportamiento de la variable dependiente.
Modelo 3
Este modelo indica que las primeras diferencias de todas las variables utilizadas: gasto público per cápita, inversión pública per cápita y FBKF per cápita son todas estadísticamente significativas:
Ilustración 5. Resultados del modelo 3
Variable dependiente:
Modelo 3
Observaciones:
R cuadrada
R cuadrada ajustada
Error residual estándar
F estadístico
Nota:
Fuente: Elaboración propia.
1ra Diferencia del PIB per cápita
Constante 1ra Diferencia
Inversión Público per cápita
1ra Diferencia
Gasto Público per cápita
1ra Diferencia de FBKF per cápita
Es decir, tienen capacidad de explicar el comportamiento de la variable dependiente, la cual es la primera diferencia del PIB per cápita. Teniendo este modelo un R2 de 0.795, lo cual significa que este modelo explica a la variable dependiente casi en su mayoría.
El modelo de Barro para gasto público indica una relación positiva entre ésta y el crecimiento económico de una nación. Pero dicha relación es positiva si el gasto público es productivo, es decir, es destinado a obras que muestren complementariedad con la inversión privada y la refuercen.
El gasto público, llamado también inversión pública en las cuentas del VIPFE en Bolivia, muestran un crecimiento que alcanzó su pico en 2016 y en 2020 se normalizó. Casi simultáneamente el crecimiento del PIB creció notablemente, aunque debido a diversos factores mencionados anteriormente.
Sin embargo, se justifica bajo esta coyuntura económica el análisis de la relación entre el crecimiento económico y el gasto público, mostrando también la participación que tuvo el sector privado en este crecimiento económico.
Luego de analizar los modelos econométricos del presente trabajo, se llega a la conclusión de que actualmente es el gasto público el que actualmente empuja la economía de Bolivia en el corto plazo teniendo éste un impacto positivo mucho mayor a la variable proxy Formación Bruta de Capital Fijo. Sin embargo, las variables muestran importancia a largo plazo.
Pero, tomando en cuenta lo obtenido en los modelos no hay lugar a dudas sobre el
impacto positivo que el gasto público ha generado en la economía, sin embargo, la inversión pública que es una definición más leal al modelo de Barro de inversión en infraestructura, tiene menor incidencia sobre el crecimiento del PIB per cápita. Por lo cual, se concluye que en Bolivia estas inversiones públicas productivas generan el bienestar sobre la economía, aunque probablemente no el esperado.
Las razones de esto pueden deberse a la falta de eficiencia de las inversiones realizadas, sean estos hospitales, carreteras, electrificación, etc., pues según menciona el BID (Banco Inter-americano de desarrollo, 2000) estos pueden estar ignorando alguna de las características que hacen que las inversiones públicas cumplan su propósito eficientemente:
1. Que la infraestructura provea servicios públicos que realmente tienen demanda.
2. Que la provisión de estos recursos este bien gestionada.
3. Que exista coordinación entre la inversión en infraestructura y políticas sectoriales que aseguren que la demanda este consolidada.
4. Que los distintos tipos de infraestructura ya clasificados antes tengan sinergia entre ellos.
La época de los super precios internacionales de los commodities ya pasó, los fondos disponibles para el gasto público están disminuyendo y se aprecia una tendencia marcada hacia el déficit público.
El gobierno debe optar por modos alternos de generar producción dejando de lado su política fiscal o restringiéndola para evitar mayores déficits fiscales, ya que dicha política fiscal, aunque muestre una incidencia positiva sobre la economía debe ser manejada con prudencia para
no caer en déficits fiscales mayores que alejen la inversión privada y generen incertidumbre sobre la estabilidad macroeconómica del país.
Sumado a esto, se debe considerar tomar acciones inmediatas para frenar el déficit fiscal, entre estas acciones están el cierre de empresas estatales deficitarias o que no satisfagan las necesidades del mercado, recorte de personal no productivo en funciones públicas y aplicaciones de leyes que exijan mayor rigor y precaución con el gasto público siguiendo en concejo de Morales (2014).
Se deben solucionar problemas sistemáticos de ineficiencia en obras públicas de inversión. La teoría tiene sustento lógico para confirmar que la inversión pública debiera ser significativa en una economía, por lo cual se llega a la conclusión que Bolivia, aunque tenga significancia estadística en sus inversiones públicas, puede presentar problemas de eficiencia, presencia de corrupción, recursos mal gestionados, obras que no satisfacen las necesidades del mercado o todas juntas.
Se recomienda ante esta situación el recorte de los procesos burocráticos de toda índole con el objetivo de atacar directamente fuentes de corrupción e ineficiencia, al mismo tiempo esta acción permitiría mejorar el déficit público.
Actualmente la presión fiscal de Bolivia es de las más altas de la región, con un 24,7% como porcentaje del PIB (CEPAL, 2021). Sin embargo, debido a que los ingresos tributarios son conseguidos de empresas estatales y de los impuestos a empresas privadas, se puede considerar que ésta sería mucho mayor si el mercado informal se formalizara.
Lo anterior, con el deseo de maximizar la participación del sector privado en la economía boliviana, que como se vio en los resultados de los modelos tiene participación positiva y significativa; sin
embargo, se halla superada por el gasto público y en menor instancia por la inversión pública per cápita.
Bolivia pasa por déficits fiscales continuos y crecientes en los últimos años, debe hallar el modo de alivianar los gastos y desembolsos que realiza para apoyarse en la inversión privada y el ingreso de capitales externos como principales agentes económicos, que permitan mantener el crecimiento económico o como mínimo brindar sustento económico a la población mediante el empleo.
Mankiw, N. G. (2017). Principios de economía. México: Cengage Learning.
Ministerio de Hacienda. (1996, Junio 25). Ministerio de Hacienda. From Gaceta oficial de Bolivia.
Barro, R. (1990). Government Spending in a Simple Model of Endogeneous Growth. Harvard Library, 24.
Evia, J. L., & Jemio, L. C. (2021, Julio). Informe de Milenio sobre la economía de Bolivia. Fundación Milenio, 43, 84. From https://fundacion-milenio. org/informe-de-milenio-sobre-laeconomia-de-bolivia-2021-no-43/
Cornelio, J. A., & Tun, A. I. (2015, Febrero 4). Crecimiento económico y gobierno. Una aplicación empírica del modelo de Barro para seis paises de América Latina. Revista de desarrollo económico, pp. 191-205.
Gujarati, D., & Porter, D. (2010). Econometría. McGraw Hill.
CEPAL. (2021). Estadísticas tributarias en America Latina y el Caribe 2021. From OECD: https://www.oecd.org/tax/taxpolicy/folleto-estadisticas-tributariasen-america-latina-y-el-caribe.pdf
Esta investigación contempla las consecuencias de la modificación de la ley 1551 de Participación Popular por parte del presidente interino Jorge Quiroga el 29 de junio del 2000, ya que con dicha modificación introdujo la ley 2105, que elimina la posibilidad de realizar ajustes intercensales. Enfocándose en la necesidad de proponer ajustes demográficos intercensales de población y vivienda, y examina cómo se asignaron las transferencias del Gobierno Central a los municipios basándose en su población, a través de la coparticipación tributaria desde 1992 hasta el 2020.
El trabajo llevado a cabo en esta investigación realiza los cálculos pertinentes para determinar el monto que debería haber recibido el municipio de Santa Cruz de la Sierra y el departamento de Santa Cruz, tomando en cuenta los 56 municipios, por concepto de coparticipación tributaria.
Con esta investigación, se busca obtener una comprensión más profunda de cómo las modificaciones legislativas afectaron la distribución de fondos gubernamentales y cómo esto impactó a los municipios en términos de financiamiento.
Palabras claves: Coparticipación tributaria.
Abstract
This investigation contemplates the consequences of the modification of the law 1551 of Popular Participation by the interim president Jorge Quiroga on June 29, 2000, since this modification he introduced the law 2105, which eliminates the possibility of making intercensus adjustments. Focusing on the need to propose inter-census demographic adjustments of population and housing, it examines how transfers from the Central Government were allocated to municipalities based on the population, through tax co-participation from 1992 to 2020.
The work carried out in this research makes pertinent calculations to determine the amount that should have received the municipality of Santa Cruz de la Sierra and the department of Santa Cruz, taking into account the 56 municipalities, by concept of tax co-participation,
This research seeks to gain a deeper understanding of how legislative changes affected the distribution of government funds and how this impacted municipalities in terms of funding.
Keywords: Tax sharing.
Introducción
En Bolivia, se enfrenta a una disparidad entre regiones debido al dominio del Gobierno central en la toma de decisiones y asignación de recursos. Para abordar esta situación la descentralización permitió la transferencia de poder y recursos del Gobierno central a los laterales.
Sin embargo, por parte de la administración fiscal necesitaba un respaldo financiero, así nació la Ley
de Reforma Tributaria para regular y determinar los impuestos; y la coparticipación tributaria para asegurar una distribución equitativa de recursos.
Posteriormente la Ley de Participación Popular reforzó el proceso de descentralización con una distribución del 20% a municipios y 5% universidades. Por su parte, la Asociación de Municipalidades de Bolivia (AMB) denunció una reducción
del 30% por coparticipación tributaria en el último año la cual generaría problemas de liquidez (La Razon, 2021).
De esta manera Santa Cruz enfrenta una asignación asimétrica de recursos porque se utiliza un criterio poblacional para la distribución de recursos, que se refiere a la cantidad de habitantes que tiene dicha ciudad y en este caso se distribuirá los recursos de acuerdo a la cantidad de habitantes publicados en el último Censo del 2012, es decir una información de hace más de 11 años. Basándonos en datos de acuerdo al último PTDI publicado, tenemos 148 colegios de convenio, 643 fiscales y 270 privados, dos universidades públicas y 15 privadas, 68 centros municipales de primer nivel y 5 de segundo nivel, un policía por cada 310 habitantes a nivel departamental, 92% de cobertura eléctrica y 93 de cobertura de agua potable, un aumento de recursos económicos nos daría mayores oportunidades de crecimiento en estas variables ya mencionadas (Gobierno Autónomo Municipal de Santa Cruz de la Sierra, 2019).
El objetivo de esta investigación es apreciar los problemas que se presentan por no realizar ajustes intercensales de forma trienal a través de la estructuración de un cuadro de recursos no recibidos, con el fin de calcular la cantidad de dinero no recibido por concepto de coparticipación tributaria.
Para lograr una comprensión más profunda de los factores determinantes en la distribución de recursos de la coparticipación tributaria, es fundamental analizar los elementos que han influenciado este proceso de transferencias, así como sus repercusiones económicas:
En un sentido más moderno relacionado con lo institucional, se define la descentralización como un tipo de correlación entre los gobiernos y la prestación de servicios de manera equilibrada (Rivera, y otros, 2003, pág. 10).
Esta se propone desde un sentido de transferencias de poderes a aquellos gobiernos locales para que estas regiones puedan tener decisiones más autónomas sin depender en su totalidad del gobierno central (Rivera, y otros, 2003, pág. 261).
Crecimiento Poblacional
En su obra, el economista Malthus denotaba su preocupación por el crecimiento poblacional porque mencionaba que dicho aspecto tenía una correlación positiva con la pobreza, en si concluía que mientras la población crecía a una tasa geométrica debido a la reproducción sin control, la cantidad de alimentos tenía un crecimiento aritmético (Labandeira, Léon, & Vázquez, 2007, pág. 5).
El índice de Gini (1912), también llamado coeficiente de Gini, es uno de los índices más populares en el contexto de la literatura sobre desigualdad, tanto desde un punto de vista teórico como aplicado (Goerlich & Villar, 2009).
Si se considera el índice de Gini como uno indicador macroeconómico para evaluar la desigualdad económica en nuestro país, se podría mejorar la puntuación de cada región en este aspecto mediante un ajuste en la distribución de recursos hacia los municipios utilizando la propuesta de ajustes intercensales de la presente investigación.
En el caso de estudio presentado en este documento, resulta crucial identificar las leyes que desempeñaron un papel importante al explicar las posibles conclusiones derivadas de una investigación empírica y los efectos reflejados por la falta de ajustes intercensales en Bolivia.
Es relevante considerar tanto las leyes previas como las que están actualmente vigentes con respecto a la distribución de recursos mediante la coparticipación tributaria, así como los ajustes intercensales que se encontraban contemplados en el pasado.
Por lo tanto, se analizará detenidamente el aspecto legal relacionado con la asignación de recursos fiscales y los mecanismos de ajuste intercensal que fueron previamente establecidos para comprender cómo han influido en la situación actual y en las conclusiones obtenidas a partir de la investigación empírica.
La Ley de Participación Popular contiene varios artículos relevantes, siendo el artículo 21 uno de los más destacados, ya que establece que la coparticipación tributaria se distribuirá entre las municipalidades y universidades públicas según su número de habitantes y estudiantes, respectivamente. Por otro lado, el artículo 24 es también significativo, pues determina que, a partir del censo del 2000, la información sobre población se obtendrá cada 5 años a través de encuestas demográficas intercensales llevadas a cabo por el INE, mientras que los censos se realizarán cada 10 años. Además, para corregir y ajustar los datos del censo de 1992, se llevará a cabo una encuesta demográfica intercensal en 1996. (Ley de Participación Popular, 1994, art. 21,24).
En consecuencia, surge la Ley 2105, la cual introduce una modificación relevante al artículo 24 de la Ley de Participación Popular. Esta modificación establece que, a partir del censo del 2001, la información sobre población se obtendrá mediante los censos levantados por el INE, los cuales serán realizados anualmente en los años terminados en cero. (Ley Nº 2105, 2000, art. 2).
La Ley 031 establece que los municipios y entidades territoriales autónomas indígenas originario campesinas recibirán transferencias equivalentes al 20% de la recaudación de impuestos coparticipables. Además, es importante destacar que el 5% de estos impuestos se destinará específicamente a las universidades públicas. Esta disposición busca promover el desarrollo y fortalecimiento de las comunidades indígenas y campesinas, así como el apoyo a la educación superior a través del financiamiento de las universidades públicas. Con esta medida, se busca fomentar la equidad y la inclusión en la distribución de recursos para impulsar el crecimiento socioeconómico y educativo en las áreas correspondientes. (Ley N° 031 Marco de autonomía y descentralización Andrés Ibáñez, 2010).
En lo que respecta a los impuestos coparticipables, se tiene el IVA (Impuesto al Valor Agregado), RC-IVA (Régimen complementario Impuesto al Valor Agregado), IT (Impuesto a las transferencias), IUE (Impuestos a las Utilidades Empresariales), ICE (Impuesto al Consumo Especifico), ISAE (Impuesto a las Salidas al Exterior) y GA (Gravamen Aduanero).
El proyecto se enfoca en una investigación aplicada con el propósito de proporcionar retroalimentación para que las instituciones públicas tomen decisiones sobre la distribución de las transferencias relacionadas con la coparticipación tributaria en el departamento de Santa Cruz. Se utilizará un enfoque descriptivo para analizar la distribución actual de las transferencias y cómo dos factores clave, el peso de las transferencias y la población, influyen en ella durante el período de análisis. La estrategia empleada será de tipo documental, basándose en análisis previos realizados por diversas
instituciones, y se llevará a cabo en el Instituto Cruceño de Estadística. El estudio es de tipo longitudinal, recolectando datos históricos para investigar acontecimientos pasados relacionados con la distribución de las transferencias tributarias en el departamento. El objetivo final es mejorar la distribución de las transferencias en beneficio de la población.
Para realizar las los cálculos respectivos, se emplearon bases de datos que contienen información sobre la distribución de recursos por Coparticipación tributaria y las proyecciones de la población desde el año 1992 al 2020.

Fuente: UDAPE-Transferencias años 1994 a 2019, INE-Indicadores de población, Ministerio de Economía y Finanzas-Transferencias años 2018 a 2021, INE-Anuario 2020, ICE- Instituto Cruceño de Estadística. Elaboración Propia.
En la tabla 3.1 representa las transferencias recibidas por coparticipación tributaria tomando en cuenta los 56 municipios que conforman el departamento de Santa Cruz. Se ha observado un crecimiento poblacional en Bolivia y Santa Cruz a lo largo de los años, pero no en la misma
proporción que las transferencias destinadas a cada uno de los municipios de este departamento siendo notable que los años 2001 y 2013 presentaron la mayor diferencia o pérdida entre el crecimiento poblacional y las tasas de transferencia.
Ilustración 3.1. Relación del Peso de transferencia y Peso de Población

Fuente: ICE- Instituto Cruceño de Estadísticas. Elaboración Propia.
En la ilustración 3.1 se puede apreciar que las transferencias acumuladas que destinaron a los 56 municipios desde 1994 al 2020 están por debajo del crecimiento poblacional que tuvo el departamento de Santa Cruz y esta es la razón por la cual más adelante se complementará el análisis para poder disminuir esa brecha existente entre ambas variables a través de un ajuste intercensal de cada 3 años.
Seguidamente se tiene los cálculos respectivos si se hubieran realizado ajustes intercensales tomando como datos de referencias de ajustes las proyecciones del INE. Antes de explicar detalladamente las respectivas tablas y gráfico se debe mencionar que la columna de “Cuantificación de coparticipación tributaria no percibida” representa el monto que el departamento tendría que haber recibido si se hubieran realizado ajustes intercensales de forma trienal y la “Cuantificación de la coparticipación tributaria que se debió recibir” es la coparticipación tributaria recibida mas lo que se debería haber recibido en aquellos años de ajustes intercensales.
A manera de visualizar mejor los resultados de la tabla 4.1 se elaboraron las siguientes gráficas de barras en la ilustración 4.1 para reflejar el efecto
que tiene la realización de ajustes intercensales de forma trienal como bien se propone en esta investigación. Comparando el total del monto esperado por coparticipación tributaria desde 1992 al 2020 con el monto realmente recibido, donde queda en evidencia que existe una diferencia o pérdida de aproximadamente 515 millones de bolivianos.
En la ilustración 4.2 se toma en cuenta las variables del peso de las transferencias y el peso de la población, pero estas gráficas tienen una diferencia entre ambas y es que en una se aplica un ajuste intercensal (Derecha) y la otra no se aplica ajustes intercensales (Izquierda), la aplicación de dicho ajuste provoca que en la segunda gráfica de la derecha disminuya e incluso se iguale en muchos años el peso de las transferencias con el peso de la población.
Finalmente, se tiene la ilustración 4.3 la cual contempla la coparticipación tributaria per cápita, que indica el promedio de la coparticipación tributaria por persona y de acuerdo a las gráficas se observa que la coparticipación tributaria Per cápita ajustada presenta un mejor escenario frente a la coparticipación tributaria per cápita no ajustada.
Tabla 4.1:. Cuantificación de Coparticipación tributaria no Percibida en Santa Cruz

Fuente: UDAPE-Transferencias años 1994 a 2019, INE-Indicadores de población, Ministerio de Economía y Finanzas-Transferencias años 2018 a 2021, INE-Anuario 2020, ICE- Instituto Cruceño de Estadística. Elaboración Propia.
Ilustración 4.1. Cuantificaciones de Coparticipación Tributaria Recibida-Cuantificación de Coparticipación Tributaria que se debió recibir en Santa Cruz, 1994-2020

Fuente: ICE-Instituto Cruceño de Estadística. Elaboración Propia.
Ilustración 4.2. Impacto de los Ajustes intercensales en Santa Cruz


Fuente: ICE-Instituto Cruceño de Estadística. Elaboración Propia.
Ilustración 4.3. Impacto de los Ajustes intercensales en Santa Cruz

Fuente: ICE-Instituto Cruceño de Estadística. Elaboración Propia.
5. Conclusiones
Para concluir, es evidente que la falta de ajustes intercensales afecta significativamente la distribución de recursos, especialmente cuando se produce un retraso en la realización del CENSO de Población y Vivienda. Es fundamental tener en cuenta estos resultados para mejorar la planificación y distribución de recursos en el futuro. La necesidad de realizar ajustes intercensales de forma trienal es clara, como se refleja en la asimetría de la distribución de recursos
en algunos municipios, donde algunos resultan desfavorecidos, lo que se traduce en un impacto directo en el presupuesto destinado a obras, hospitales, carreteras, escuelas y otros servicios.
La falta de recursos que no llegan a los departamentos, como en el caso de Santa Cruz, limita su crecimiento económico y potencial de desarrollo. No sólo las transferencias por coparticipación tributaria se ven afectadas, sino también
otras fuentes de recursos, como el IDH, el Fondo de Compensación del IDH y el IEHD, ampliando aún más la pérdida de recursos y su impacto negativo en el desarrollo de las regiones afectadas. Es necesario abordar estas deficiencias en la planificación y realizar ajustes intercensales de manera oportuna para asegurar una distribución más equitativa de recursos y fomentar el crecimiento sostenible de todas las regiones del país.
Es alentador considerar la experiencia y metodología de países como México y Brasil, que han implementado ajustes intercensales con éxito, y adaptar sus prácticas a nuestra realidad para mejorar significativamente el panorama y alcanzar un desarrollo más justo y equitativo.
Gobierno Autónomo Municipal de Santa Cruz de la Sierra. (2019). Plan Territorial de Desarrollo integral ajsutado 2016-2020. Santa Cruz. Goerlich, F., & Villar, A. (2009). Desigualda y bienestar social, de la teoría a la práctica.
La Razón. (2021). Mercado y Empresa. Bolivia: La AMB denuncia reducción del 30% de los recursos de Coparticipación Tributaria.
Labandeira, X., Léon, C., & Vázquez, X. (2007). Economía Ambiental. Pearson Educación.
Ley de Participación Popular. (1994).
Ley N° 031 Marco de autonomía y descentralización Andrés Ibáñez. (2010).
Ley Nº 2105 . (2000).
Rivera, R., Carrión, F., Ortega, M., Wallace, G., Umaña, C., Cordova, R., . . . Lavell, A. (2003). Descentralizacion y Desarrollo local (Primera ed.).