Effectiveness of the Tomatis® Method in Children with Autism Spectrum Disorder

Page 1

Effectiveness of the Tomatis® Method in Children with Autism Spectrum Disorder

Mirela Duranovic

Matea Andrejas

Lidija Kobelja

Jasmina Klebic

Research Article

Keywords: Tomatis® Method, autism, communication, ne motor skills, cognitive skills

Posted Date: April 26th, 2024

DOI: https://doi.org/10.21203/rs.3.rs-4292018/v1

License:   This work is licensed under a Creative Commons Attribution 4.0 International License. Read Full License

Additional Declarations: The authors declare no competing interests.

Page 1/14

Abstract

The Tomatis® Method overcomes the limitations of conventional therapy by passively revitalizing vestibular and auditory functions through a developmental-based program. It retrains and enhances both functions by activating intricate ear-nervous system connections The aim of this research was to investigate the effectiveness of the Tomatis® Method in children with Autism Spectrum Disorder (ASD) The research involved a placebo-controlled blind study, where subjects were randomly assigned to either Group 1, receiving treatment, or Group 2, receiving a placebo. All participants exhibited elements of autism spectrum disorder To monitor progress after the rst and second cycles of Tomatis® intensive treatment lasting 14 days each Progress in cognitive skills, communication, and ne motor skills was tracked. A questionnaire for parents was created to inquire about the success of the Tomatis® method in their children. Improvement was observed in all participants after completing the rst and second cycles of Tomatis® treatment in all three examined areas Parents reported positive changes in their children after the application of the Tomatis® method

Introduction

In the early 1990s, there was a signicant interest in researching the impact of listening to music on cognitive and physical functions, which gave rise to the controversial concept known as the Mozart effect. This phenomenon suggests that specic sounds, tones, and rhythms can lead to changes in neurophysiological activity. The foundation of the Mozart effect lies in the superorganization of the brain cortex, with certain areas resonating with the superior architecture of Mozart's compositions. This effect is believed to cause changes in the function of specic brain regions and alterations in brain organization during music listening (Demarin, 2006).

Alfred Tomatis was the rst to pay attention to the need for diagnosing auditory processing (hearing) because he observed a signicant impact of disorders in this range on human social functioning, especially on language communication skills (speech, as well as reading and writing). He was among the pioneers in seeking effective ways to address these disorders The method he developed involved not only diagnosis but, most importantly, a therapy program using the mentioned tools (Kurkowski, 2013).

The Tomatis® method of auditory stimulation, also known as audio-psycho-phonology (APP), utilizes music (comprising compositions by Mozart and Gregorian chants) that is electronically modulated using the Tomatis® device of this design, called the Electronic Ear The resulting sound is presented through headphones and vibrators (Gerritsen, 2009) The current theory is that the Tomatis® method stimulates the myelination of auditory pathways, improving the speed of processing auditory signals (Kandel, 2000). Additionally, auditory stimulation results in better integration between different sensory systems and a harmonious balance between the para- and sympathetic nervous systems (Tomatis, 1983)

In many cases, Tomatis® treatment is accompanied by other forms of therapy It is also important to emphasize that the results depend on the skill of the Tomatis® practitioner. The concept of a "one-size-

Page 2/14

ts-all" approach denitely does not apply to the Tomatis® method Careful observation of the client, adjustment of settings on the Electronic Ear accordingly, and psychological counseling are integral parts of the Tomatis® method (Gerritsen, 2009).

Research on the effectiveness of the Tomatis® method in speech therapy has employed various methodologies, typically addressing not only communication disorders but also learning diculties (Kurkowski, 2013). Studies have demonstrated the success of the Tomatis® method in language skills, psychomotor abilities, social maturity, cognitive skills, and auditory abilities (Gilmor, 1999), improvement in short-term memory, auditory perception of sound sequences, location, discrimination, and auditory integration (Kurkowski, 2013), linguistic, communication, emotional and cognitive development (Lozano, 2006, cited in Kurkowski, 2013, p. 251), auditory processing (Quenimherr, 2021), and speech disorders (Mojs et al., 2011).

Several studies have attempted to determine the effectiveness of the Tomatis® method in children with autism spectrum disorder Autism spectrum disorder (ASD) is a prevalent neurodevelopmental disorder characterized by differences in social communication and interaction, cognitive exibility, and sensory needs compared to non-autistic individuals (American Psychiatric Association, 2013). Individuals with ASD often experience concurrent auditory processing problems, particularly in speech processing (Gervais et al , 2004; Samson et al , 2006), suggesting that children with autism may benet from Tomatis® therapy

A study conducted by Vervoort (2007) on the effects of Tomatis® Therapy on individuals with ASD reported signicant improvements in four subjects classied as severely autistic. These improvements were supported by changes in EEG Brain Maps and Auditory Evoked Potentials, providing objective assessments of central auditory processing

However, evidence regarding the impact of the Tomatis method in children with ASD is inconsistent Neysmith-Roy (2001) conducted a study on six children with severe autism, aged 4–11 years, who underwent several blocks of Tomatis® treatment. The study reported improvements in behavior and prelinguistic behaviors in some participants, with the youngest subjects showing the most improvement On the other hand, Corbett, Shickman, and Ferrer (2008) suggested that although most children demonstrated general improvement in language over the study's course, it did not appear to be related to the Tomatis® treatment condition. In a study conducted by El-Tellawy et al. (2022), the combination of Tomatis® sound therapy with hyperbaric oxygen therapy was found to have a superior effect in improving autism symptoms

Brbic and Tomic (2020) conducted a comprehensive analysis of references published in English, French, and Spanish over the past three decades to assess the ecacy of the Tomatis® method as a potential treatment for children with ASD. Their examination covered a total of 14 articles and 2 books. All of these sources endorsed the Tomatis® method for its potential to benet children with ASD, with just one exception Even this single study, which suggested that positive outcomes were not directly attributable to the Tomatis® treatment, still concluded that the majority of children in the study exhibited overall

Page 3/14

improvement in language skills Moreover, several studies indicated that, as a result of the intervention, some children were no longer classied as having ASD.

Despite the overall positive endorsements, the ecacy of the Tomatis® method in improving the functioning of children with ASD remains elusive, as the hypothesis lacks conclusive evidence. The inconsistent ndings, ranging from positive effects to negligible impact, have hindered professionals from drawing denitive conclusions. This study aims to further investigate the potential contribution of the Tomatis® method to enhancing communication, ne motor skills, and cognitive abilities in children with ASD. Additionally, it seeks to gather valuable insights from parents regarding their perceptions of the method's association with progress in their children

Methods

Sample

The study was conducted on a sample of 10 participants, with Tomatis® therapy applied to ve participants and a Placebo used for the other ve. Participants were selected based on a signicant lack of skills expected for their age, according to the developmental screening instrument. The instrument use din this study was the Developmental Behavioral Scale for Assessing Child Development (for ages from the rst month to six years) (Pistoljevic, Zubcevic, & Dzanko, 2016)

Exclusion criteria for participants in the study included other music-based interventions, as well as other medical and psychological disorders. Inclusion required a diagnosis of ASD based on the DSM-5 criteria (American Psychiatric Association, 2013) and clinical judgment. To meet the diagnostic criteria for an ASD, a child must had persistent decits in each of the three areas of social communication and interaction, plus at least two of the four types of restricted, repetitive behaviors. Persistent decits in social communication and interaction across multiple contexts include deciencies in social-emotional reciprocity, nonverbal communicative behaviors, and decits in the development, maintenance, and understanding of relationships These decits range, for example, from diculties in adapting behavior to different social contexts to problems in sharing imaginative play or making friends, to a lack of interest in peers.

The formal evaluation constituted a comprehensive examination of a child's developmental progress, conducted by specialized professionals, namely child psychologists and speech-language pathologists All children were enrolled in speech therapy three times a week

Design

The study encompassed a placebo-controlled, double-blind research design Participants were randomly assigned to either Group 1, receiving the active treatment, or Group 2, receiving a placebo One group underwent Tomatis® treatment, while the Placebo group listened to typical Mozart music played through Tomatis® headphones. A Tomatis® practitioner administered the Tomatis® therapy, while another

Page 4/14

specialist, a speech-language pathologist, applied developmental scales without knowledge of which child was undergoing treatment and which one was receiving the placebo.

Following each intensive 14-day cycle of Tomatis® therapy, interviews were conducted with parents by the speech-language pathologist to assess the child's progress. The purpose of these interviews was to monitor changes observed by parents in their child that could be attributed to the intensive Tomatis® therapy.

Measures

The participants were individually monitored at the Speech Therapy Center "My Speech Therapist" in Tuzla. Each participant underwent assessment using the Guide for Assessment and Development of Individual Developmental Programs for Children from Birth to Six Years – Assessment Sheet (Pistoljevic and Majusevic, 2015), both before and after two intensive cycles of Tomatis® therapy. The Guide for Assessment and Development of Individual Developmental Programs for Children from Birth to Six Years is an assessment tool based on developmental behavioral standards and norms of typical development (milestones).

The 0–6 Guide serves as a dual-purpose tool for assessing skills in children aged from birth to three years, a curriculum for systematic work with children on the development of skills that have not spontaneously evolved, and a tool for monitoring a child's development and progress Additionally, it functions as an evaluation tool for the quality of intervention programs.

For each participant, a Tomatis® program was tailored according to their age and individual needs. The program was determined and administered by a certied Tomatis® practitioner. The protocol followed in this study comprised a total of 14 days of listening for each cycle, ranging from 40 to 80 minutes, depending on the child's age

According to the protocol, 40 minutes per day were applied for children aged 2 to 3 years, 60 minutes for children aged 3 to 4 years, and 80 minutes daily for children older than 4 years. The rst intensive Tomatis® treatment consisted of 14 days, with participants attending the Speech Rehabilitation Center for the Tomatis® Method seven times a week (Monday to Sunday) over a 2-week period

The second intensive Tomatis® treatment took place after a 5-week break following the completion of the rst cycle of intensive Tomatis® treatment. Similar to the initial cycle, the second cycle also lasted 14 days, with daily sessions lasting 40 to 80 minutes, depending on the child's age.

A generic program was utilized for the sake of uniformity and to standardize procedures. The treatment protocol focused specically on acoustic and vestibular inputs received by the ear, as ears transmit and the brain processes both acoustic and vestibular sensory signals received through the ears. As prescribed in the Tomatis® Method, the intervention comprised listening to various music, including specic Mozart compositions, waltzes, and Gregorian chants, with gating effects, precession/delay, and ltration— parameters intrinsic to the Tomatis® Method The music was delivered through headphones designed for

Page 5/14

use with the TalksUp machine, incorporating a bone conductor embedded in the middle of the headphones. This strategic placement of the bone conductor ensures equal sound dispersion.

These headphones enable stimulation through both air and bone conductivity at different speeds and times, controlled by functions known as gating, precession, and delay. When combined with the TalksUp machine, these headphones strategically reduce the intensity of the input sound in the left ear compared to the right ear to normalize balance (70% stimulation in the left ear compared to 100% in the right ear) in ears subjected to Tomatis® Method sound stimulation. Tomatis (1981) believed this to be the ideal balance between ears for voice control, language acquisition, and motor control.

The sound was selectively ltered through the TalksUp machine, depending on predetermined frequencies and corresponding amplitudes Depending on the specications of frequencies and amplitudes, low frequencies were dampened while higher frequencies were enhanced, and vice versa. This directs the brain's attention to changes in input, likely resulting in improved attention, linguistic, and vestibular functions TalksUp allowed manipulation by focusing on any frequency range necessary to address strain in vestibular, linguistic, and attention frequencies, as determined by Dr Tomatis® in his design of listening test parameters through three listening zones: vestibular, communicative, and energetic.

Participant 1, during the rst cycle of Tomatis® Method application, was engaged in an eighty-minute program SR0, and during the second cycle of Tomatis® Method application, in program ER0.

Participant 2, during the rst cycle of Tomatis® Method application, participated in a forty-minute program for children aged two to three years, SR0, following the guidelines for 14 consecutive days During the second cycle, Participant 2 was involved in a forty-minute program SR1.

Participant 3, during the rst cycle of Tomatis® Method application, was engaged in an eighty-minute program SR0, while during the second cycle of Tomatis® Method application, the participant was involved in program SR1

Participant 4, during the rst cycle of Tomatis® Method application, was engaged in an eighty-minute program ER0, while during the second cycle, the participant was involved in program ER2.

Participant 5, during the rst cycle of Tomatis® Method application, participated in a sixty-minute program SR0, while during the second cycle, the participant was involved in program SR1.

In order to conduct parent interviews regarding their child's progress, a questionnaire was developed by the speech-language pathologist The questionnaire included queries related to observed changes in the child attributed to the Tomatis® treatment Questions encompassed advancements in communication skills, as well as other changes such as clearer vision and improved emotional regulation. Finally, parents were asked to rate their satisfaction with the Tomatis® method on a scale from 1 to 10.

Results

Page 6/14

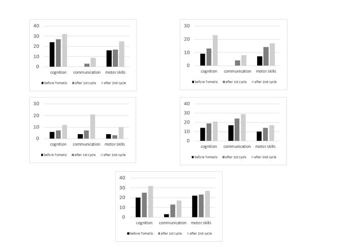
The results for children included in the Tomatis® treatment are illustrated in Fig 1 The ndings indicate progress among all participants across all examined areas. Improvement is evident after each cycle of Tomatis® treatment, with the most signicant advancements observed after the second cycle. For two children in whom communication had not developed at all, progress was noted in this area after Tomatis® treatment. Notably, all participants demonstrated improvement in communication skills. Progress in cognition was observed in all participants, although for most individuals, the second cycle of Tomatis® treatment showed the most substantial growth in the cognitive domain. Regarding motor skills, one participant experienced a decline after the rst cycle of Tomatis® treatment, while after the second cycle, improvement in motor skills was noted for the same individual. For the other two participants, there was only slight progress after the rst cycle, whereas after the second cycle, the improvement was signicantly more pronounced. Across all participants, substantial progress in motor skills was observed after the second cycle of Tomatis® treatment

The results for children in the Placebo group are presented in Fig 2 In the realm of cognition, progress was noted in all participants from the rst to the second assessment, and this trend continued after the third assessment, except for one participant who did not show improvement at that point. For a participant with underdeveloped communication and motor skills, no notable progress was observed in these domains Concerning communication, one participant demonstrated improvement after the second assessment but not after the rst. Another participant consistently showed progress after each assessment, while two participants experienced a decline in communication skills after the second assessment In terms of motor skills, two participants showed improvement after each assessment, while two participants either exhibited no progress or experienced a decline during the second assessment

The dependent samples t-test was used to compare the sample means for period before Tomatis® tretman and after the rst and after the second cycle of Tomatis® treatment. The purpose of this test was to determine if there is a change from one measurement to the other. The results showed that the cognition before Tomatis® treatment (M= 14 60, SD= 7 50) was signicantly less than the cognition after the rst cycle of Tomatis® treatment (M= 18 2, SD= 8 32), (t(4) = -4 81, p= 009) The same results are obtained after the second cycle of Tomatis® treatment (M= 24.0, SD= 8.40), (t(4) = 4.40, p= .012). The results showed that the communication before Tomatis® treatment (M= 4.80, SD= 7.05) was signicantly less than the communication after the rst cycle of Tomatis® treatment (M= 10 20, SD= 8 64), (t(4) = -3 96, p= 017) The same results are obtained after the second cycle of Tomatis® treatment (M= 16.80, SD= 8.73), (t(4) = 3.50, p= .025). The results showed that the motor skills before Tomatis® treatment (M= 11.80, SD= 7.22) was not signicantly different than the motor skills after the rst cycle of Tomatis® treatment (M= 14 20, SD= 7 26), while motor skills were signicantly better after the second cycle of Tomatis® treatment (M= 19 20, SD= 6 87), (t(4) = 4 77, p= 009)

The dependent samples t-test was also used to compare the sample means for Placebo group. The results showed that the cognition before the rst assessment (M= 7.40, SD= 9.53) was signicantly less than the cognition after the second assessment (M= 12.0, SD= 11.05), (t(4) = -3.68, p= .021). The same results are obtained after the third assessment (M= 15 0, SD= 11 42), (t(4) = 3 59, p= 023) The results

Page 7/14

showed that the communication before the rst assessment (M= 6 40, SD= 6 43) was not signicantly different than the communication after the second assessment (M= 7.80, SD= 6.42). The same results are obtained after the third assessment (M= 9.40, SD= 7.77). The results showed that the motor skills before the rst assessment (M= 5 60, SD= 9 60) was not signicantly different than the motor skills after the second assessment (M= 9.60, SD= 8.20), and after the third assessment (M= 10.40, SD= 9.71). When the participant who lacked communication and motor skills altogether, and for whom no progress was observed in these areas, was excluded from the analysis, the results remained consistent. There were no signicant differences between the rst, second, and third assessments

Results from Table 1 indicate that after the rst cycle of intensive Tomatis® Method treatment, 60% of parents reported clearer the eye stare/gaze in their children, while all parents reported improved communication function and better understanding. A slightly smaller but still signicant percentage of parents (80%) reported better emotional regulation in their children. A reduced presence of echolalia was reported by 40% of parents, although these responses are associated with two participants in whom echolalia was the only observed condition. Other parents could not report on this as echolalia was not present in their children. After the second cycle of intensive Tomatis® Method treatment, there was a notable increase in reported changes, especially in the area of clearer the eye stare/gaze, where 80% of parents reported this improvement compared to the rst cycle High satisfaction ratings were linked to parental contentment with the Tomatis® Method, with 20% of parents rating their satisfaction as 8, another 20% rating it as 9, and 60% giving a top score of 10.

Table 1

Parents'opinion

Page 8/14
Changes After the rst cycle After the second cycle N % N % clearer the eye stare/gaze 3 60 4 80 Communication more functional 5 100 5 100 Reduced presence of echolalia 2 40 2 40 Better speech understanding 5 100 5 100 Better emotional regulation 4 80 4 80 Rating on satisfaction with the Tomatis method: 8 9 10 1 1 3 20 20 60

Discussion

The main aim of the study was to investigate the effectiveness of implementing the Tomatis® Method in children with ASD, specically in the areas of cognition, communication, and motor skills. Assuming that language acquisition is facilitated by auditory input, the results obtained from this research are consistent with positive outcomes and statistically signicant improvements in cognitive skills, ne motor development, and communication development due to the Tomatis® Method. Following both cycles of the Tomatis® Method application, substantial growth in all observed skills was evident in all participants compared to baseline results Statistically signicant differences in communication, ne motor skills, and cognitive abilities were identied before the initiation of the Tomatis® Method and after the rst and second cycles of application.

Positive changes similar to those reported by Neysmith-Roy (2001) in children with autism were observed in this study. However, the effects of the Tomatis® Method on children with Autism Spectrum Disorder (ASD) did not consistently show positive outcomes Corbett et al (2008) found that while most children demonstrated overall language improvement in their study, this enhancement did not seem to be linked to the treatment condition. Gerritsen (2008) explained these negative results by highlighting the unsuitability of the cross-over designs used in that study for testing interventions with carry-over effects, such as the Tomatis® Method Additionally, it is worth noting that the positive effects of the Tomatis® intervention seem to persist and strengthen even after the completion of the treatment protocol.

Gerritsen (2010) observed that the benets derived from Tomatis® Therapy varied among subjects. Individual case analysis revealed that six out of eleven children with autism beneted from Tomatis® Training. Improvements were diverse, ranging from a transition from nonverbal to verbal communication in one subject, another transitioning to echolalic with single words, to enhancements in vocabulary, daily living skills, motor skills, socialization, and overall communication. Additionally, reductions in hyperactivity, atypical behavior, and attention problems were observed.

In this study, two participants also underwent a transition from nonverbal to verbal communication. They did not achieve any points during the application of the "Guide for Assessment and Development of Individual Developmental Programs for Children from Birth to Three Years - Assessment Sheet" (Pistoljevic and Majusevic, 2015) in the area of communication before the implementation of the Tomatis® Method. Subsequently, signicant progress in communication was established following the Tomatis® treatment These ndings align with a case study cited by Tatum (2004) involving a 14-yearold nonverbal girl with autism who became verbal after undergoing Tomatis® therapy in combination with speech therapy. Prior to Tomatis® treatment, the participant had attended speech therapy since the age of four without achieving verbal communication.

Results like these and other signicant ndings indicate that the application of the Tomatis® method in speech therapy genuinely contributes to signicant progress in all developmental skills, with a particular emphasis on communication. This is especially noteworthy considering that all participants included in the study have ASD according to the criteria set by the DSM-5 (American Psychiatric Association, 2013).

Page 9/14

Similar results are supported by an integrative review of the effectiveness of the Tomatis® method in children with ASD, as noted by Brbic and Tomic (2021). They state that nearly all analyzed studies endorse the Tomatis® method (with one exception) as an intervention that can assist children with ASD. Even the one study that assessed that positive results were not directly linked to the Tomatis® method concluded that the majority of children in the study exhibited overall language improvement.

After the rst and second cycles, interviews were conducted with parents by speech therapists to assess the progress of their children. The results show that after the rst cycle of intensive Tomatis® method treatment, parents observed clearer the eye stare/gaze, improved communication, better understanding, and enhanced emotional regulation in their children Parents also reported reduced presence of echolalia in children where this disorder was initially present. Such feedback from parents signicantly contributes to understanding the impact of changes brought about by the Tomatis® method in combination with speech therapy in the daily lives of both participants and their families.

Inconsistent results regarding the effectiveness of the Tomatis® method as auditory training or auditory stimulation in children with ASD could be explained by the fact that the success of the Tomatis method largely depends on the competence of the therapist, as well as the concurrent and supportive involvement of the client in speech therapy. Signicant progress in communication, as well as the development of speech and language itself, can be expected through this combination of active and passive treatment The competence of speech therapists as Tomatis® practitioners, their daily monitoring of clients, and the adaptation of stimuli and activities are crucial for a successful outcome. This research has highlighted the existence of positive effects of implementing the Tomatis® method in children undergoing speech therapy The results of this study open doors for all therapists grappling with the effectiveness of the Tomatis® method and provide evidence of the ecacy of such a treatment combination Future research should include results on the success of the Tomatis® method after the third cycle and after a certain period following the cessation of this method to analyze its sustainability.

Despite our meticulous design and experimental control, it is crucial to recognize certain limitations. The diverse characteristics of the study participants present a challenge in assessing the inuence of factors such as varying developmental traits among the included children. Due to the individual nature of each child, identifying participants with identical levels of functioning is inherently challenging. Furthermore, age might contribute to inuencing treatment outcomes. Exploring the broader positive effects of Tomatis® treatment and participation in research could be valuable, prompting the necessity to consider expanding the scope of the study.

Declarations

The study protocol was reviewed and approved by Scuentic committee of the Faculty of Education and Rehabilitation of University of Tuzla

References

Page 10/14

1 American Psychiatric Association, DSM-5 Task Force (2013) Diagnosticandstatisticalmanualof mentaldisorders:DSM-5™(5th ed.). American Psychiatric Publishing, Inc.. https://doi.org/10.1176/appi.books.9780890425596

2 Brbic, I & Tomic, L (2020) Integrativni pregled učinkovitosti Tomatis® metode kod djece s poremećaja spektra autizma (An Integrative Review of the Effectiveness of the Tomatis® Method in Children with Autism Spectrum Disorder). RAD CASA-MedicalSciences543=50-51:4956https://hrcak srce hr/243966

3. Corbett, B.A., Shickman, K. & Ferrer, E. (2008): Brief Report: The Effects of Tomatis® Sound Therapy on Language in Children with Autism. Journalof Autismand DevelopmentalDisorders, 38: 562–5. https://doi org/10 1007/s10803-007-0413-1

4. Demarin, V. (2006). Mozakiumjetnost:Mozartefekt(Brain and Art: Mozart effect) In: G. Gene, T. Pezelj (ur.): Medicina, znanost & umjetnost: Mozart : zivot, djelo i utjecaj glazbenog genija, Hrvatski odbor Europskog udruæenja Medicine umjetnosti: Informacijsko-dokumentacijski centar, Zagreb, 915 https://doi org/10 1177/014107680109400404

5. El-Tellawy, M.M., Roshdy Ahmad, A., Saad, K., Alruwaili, T.A.M., AbdelMoneim, I.M., Shaaban, I., Alinad, A.K.M., Albulayhid, S.B.H., Khalaf, S.M. (2022). ProgressinNeuro-Psychopharmacologyand BiologicalPsychiatry, 113:110457 https://doi org/10 1016/j pnpbp 2021 110457

. Gerritsen, J. (2008). Response to ‘‘Brief Report: The Effects of Tomatis® Sound Therapy on Language in Children with Autism’’, July 3, 2007, Journal of Autism and Developmental Disorders. JournalofAutismandDevelopmentalDisorders, 38:567 https://doi org/10 1007/s10803-007-04714

7. Gerritsen, J. (2009). A Review of Research done on Tomatis® Auditory Stimulation. cited on http://www mozartcenter com/research htm

. Gerritsen, J. (2010).The Effect of Tomatis® Therapy on Children with Autism: Eleven Case Studies. InternationalJournalofListening,24(1): 50-68. https://doi.org/10.1080/10904010903466378

9 Gervais, H , Belin, P, Boddaert, N , Leboyer, M , Coez, A , & Sfaello, I , et al (2004) Abnormal cortical voice processing in autism. NatureNeuroscience, 7(8): 801–802. https://doi.org/10.1038/nn1291

10 Gilmor, T (1999) The ecacy of the Tomatis® Method for children with learning and communication disorders: A Meta-Analysis InternationalJournalofListening, 12–23 https://doi.org/10.1080/10904018.1999.10499024

11 Kurkowski, Z M (2013) Tomatis® method applied in the diagnosis and speech therapy Logopedia, 42: 243-254 le:///C:/Users/KorisnikPC5/Downloads/243-254-Logop-ANG-42-2013-Kurkowski pdf

12. Kandel, E. R., Schwartz, J.H., & Jessell, T.M. (2000). PrinciplesofNeuralScience(4.izd.). New York: McGraw-Hill.

13. Mojs, E., Nowogrodzka, A., Piasecki, B., & Wolnowska, B. (2011). Effect of Tomatis® Method on cognitive functions in children with speech disorders. Neuropsychiatria i Neuropsychologia/Neuropsychiatry and Neuropsychology, 6(3):108-112. https://www.termedia.pl/-

Page 11/14

Original-article-Effect-of-Tomatis®-Method-on-cognitive-functions-in-children-with-speechdisorders,46,18153,0,1.html

14 Neysmith-Roy, J M (2001) Tomatis® Method with severely autistic boys: individual case studies of behavioral changes SouthAfricanJournalofPsychology, 31(1):19–26 https://doi.org/10.1177/00812463010310010

15 Pistoljevic, N , Zubcevic, S , & Dzanko, E (2016) Razvojnebihevioralneskale(Developmental behavioral scales) Sarajevo: EDUS

1. Pistoljevic, N., & Majusevic, S. (2015). Vodiczaprocjenuiizraduindividualnihrazvojnihprogramaza djecuodrodjenjadotrecegodine(A guide for assessing and creating individual development programs for children from birth to three years old) Sarajevo: EDUS

17. Quenimherr, S. (2021). TheecacyoftheTomatis®®methodinremediatingauditoryprocessing disorderinchildren. Doctoral Thesis at the Fielding Graduate University. https://www proquest com/openview/4d0907e68dd710544fc3438e286b2048/1?pqorigsite=gscholar&cbl=18750&diss=y

1. Samson, F., Mottron, L., Jemel, B., Belin, P., & Ciocca, V. (2006). Can spectro-temporal complexity explain the autistic pattern of performance on auditory tasks? JournalofAutismandDevelopmental Disorders, 36(1): 65–76. https://doi.org/10.1007/s10803-005-0043-4

19. Tomatis, A.A. (1983). Versl’ÉcouteHumaine. Paris: Les Editions ESF.

20 Tomatis® , A A (1981) LaNuitUterine Pariz: Editions Stock

21. Tatum, J.M., Oelfke, J.K., & McCauley, P. (2004). Tomatis Assisted Speech Therapy. International JournalofTomatisMethodResearch, 1: 37-42 https://tomatisassociation org/case-study-tomatisassisted-speech-therapy/

22. Vervoort, J., De Voigt, J. A., & Van den Bergh, W. (2007). The improvement of severe psychomotor and neurological dysfunction treated with Tomatis audio-psycho-phonology method measured with EEG brain map and auditory evoked potentials JournalofNeurotherapy, 11(4): 37–49 https://doi.org/10.1080/10874200802169621

Figures

Page 12/14

Results for group included in Tomatis therapy

Page 13/14
Figure 1

Results for Placebo group

Page 14/14
Figure 2

Turn static files into dynamic content formats.

Create a flipbook
Issuu converts static files into: digital portfolios, online yearbooks, online catalogs, digital photo albums and more. Sign up and create your flipbook.
Effectiveness of the Tomatis® Method in Children with Autism Spectrum Disorder by Tomatis - Issuu