Updated ASL 2.28

Page 1

ASLOnboarding

DAY1(8-5)

3.5Training

4.5Selling

SchedulingGuideline

DAY2(8-5)

4Training 4Selling

DAY3(1-10) 5Training 3Selling

DAY4(1-10) 4Training 4Selling

DAY5(9-6)

2.5Training 5.5Selling

Day1

DORResponsibilities

GuestTools

Day2

VOG(FR)

VOG(FR)Practice

VOG(FI&SF)

VOGPractice

1hour
1hour 2hours
2hours 30minutes 1hour
30minutes 1hour
LeadershipMeeting Paperwork Brand&Culture
Lunch
1.5 hours 1.5 hours 2hours 1hour 1hour 2hours Opening SFS/Geiger StoreForce Lunch

Day3 Day4

Day5

1.5hours 1.5hours 1hour 1hour 3hours 1hours VOG(LI) VOGPractice Dinner BOD BODPractice Closing 2hours 1hour 1hour 1hour 3hours 1hour LP Product&Processing VOGPractice Dinner ClosingBOD Closing 1hour 3hours 1hour 1hour 2hours 1hour Opening Reporting VOGPractice Lunch BODPractice TrainingRecap

Day1

8:00 10:00 10:30 11:30 12:30 1:00 2:00 3:00

LeadershipMeeting

LeadershipMeetingAgenda

DORWalk-thru

CompleteWorkdayOnboardingPaperwork

BrandandCulture(Workday)

DORClarity

ToolstoPuttheGuestFirst (Workday&Backroom)

Lunch

VOG-FirstImpression&SalesFloor(Workday)

VOGPractice

WeeklyLeadershipMeetingTools

Theweeklyleadershipmeetingagendapage1shouldbefilledoutbytheSLpriortotheactual meeting.TheDORwalk-thruforms,onthefollowingpage,shouldbecompletedduringthemeeting withallleadersinattendance.Youwillthenfilloutpage2oftheLeadershipMeetingcollectivelyasa team.

DORWalk-Thru

TheDORWalk-Thruformpage1shouldbefilledoutbyEACHDORpriortotheweekly LeadershipMeeting.Duringtheweeklymeeting,theformshouldbeusedtowalkthroughyourDOR speakingtothewinsanopportunitiesfromthepreviousweekaswellasaplantodrivethebusiness thisweek.

DORCheckpoints

TheDORCheckpointsshouldbeusedtopreparefortheWeeklyLeadershipmeetingbyEACHDOR priortothemeeting.

Day2

8:00

OpeningProcedures

Registers

DepositLog,PettyCashLog

BankingProcedures

StoreForce/TimekeepingPrinciples

O/CChecklist

9:30

SFS,BOPIS,RFIDTools (Workday)

PrintPickTickets

PickOrders-Geiger ProcessOrders

11:00

StoreForce(Workday)

Dashboard/At-A-Glance ScheduleEdits

Time&Attendance

PrintingofGannt

ReviewReports

1:00

Lunch

2:00

VOG-FittingRoom(Sanctuary)

3:00

VOG-FittingRoomPractice

VOG-LastingImpression (Workday)

VOG-LastImpressionPractice

Dinner

BODProgram(Workday)

BODPractice

PrepareforClosing

RecovertoStandards

Replenish

RFIDScanReview

Reserve/Damage Inventory

AftertheLastGuest-Closing

FinalWalk-Thru

RFIDWorkflowScans

RFIDFullStoreScan

O/CChecklist

CountandCloseRegisters

DepositProcedures

DepositLog

SafeProcedures

PettyCash

NightlyPaperwork

Day3 1:00 2:30 4:00 5:00 6:00 8:00 9:00

Day4

1:00 3:00 4:00 5:00 6:00 9:00

SafetyandLP(Workday)

LPOverview

IncidentReporting

SafetyTraining

ReviewLPResults

LPAuditExample

PCITrainingTracking

ReviewLPTimeframes

Self-Monthly

DL/VDL-Quarterly

Auditor-SemiAnnual

ProductHandling&Processing(Workday)

VOGLastingImpressionLeaderPractice

Dinner

ClosingBOD

ClosingProcedures

OpeningProcedures

ReadingandUnderstandingReports

DSR,WSSR,RFID,MarkdownScanReport

BusinessAcumen

LeverageEquation

Forecasting

VOGPractice

Lunch

BODPractice

TrainingRecap

Day5 9:00 10:00 1:00 2:00 3:00 5:00

ReportingTools:

DSR:DailySalesReport

HSR:HourlySalesReport

BusinessAcumenGlossary:

DPT:DollarPerTransaction

Conversion:Totaltransactions/Total Traffic

UPT:UnitsPerTransaction

Leverage:Traffic%+or-/Comp%

Comp:TotalTYsales/TotalLYsales

TY:ThisYear

EOH:EndonHandUnits

LY:LastYear

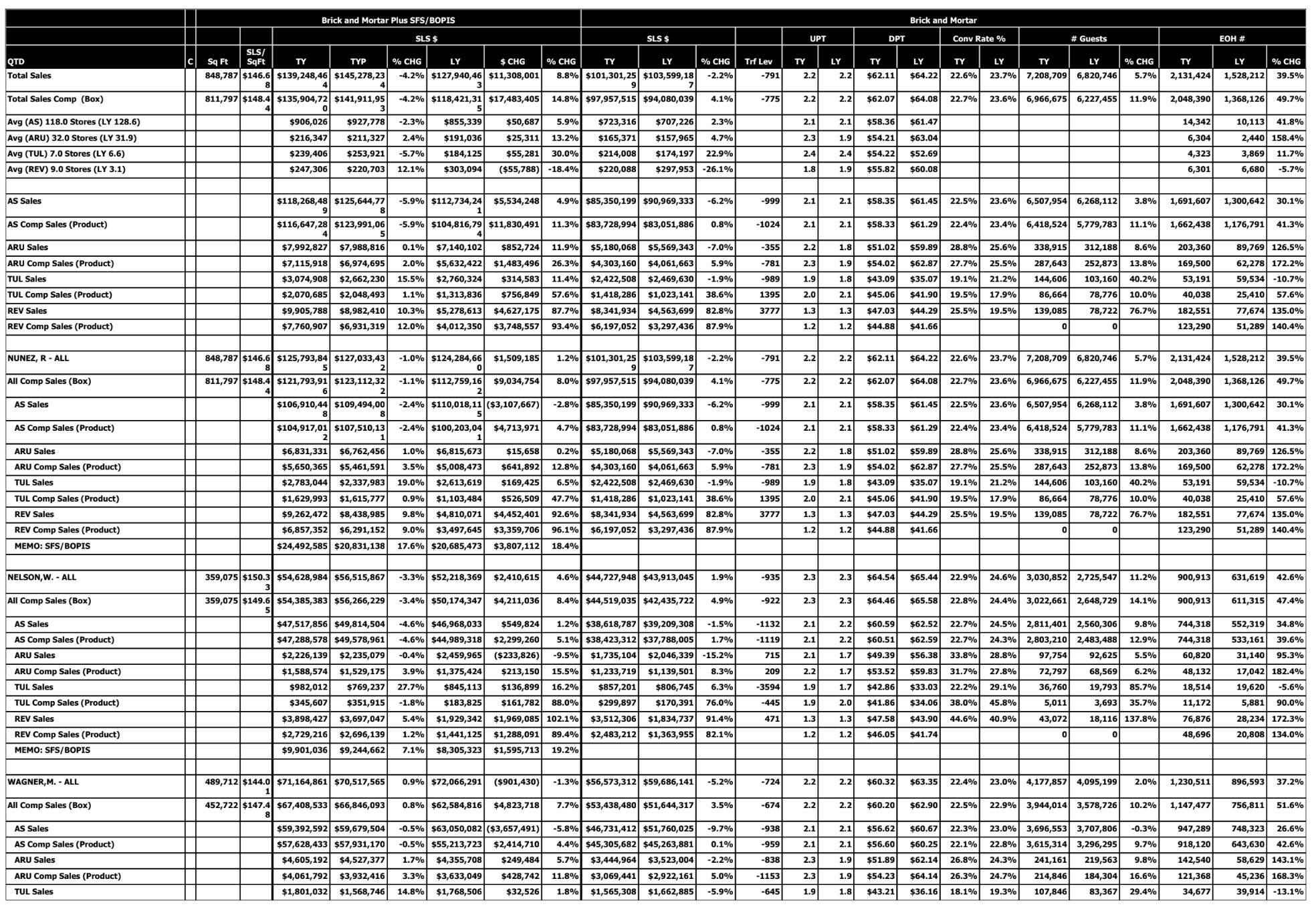
BusinessAcumen Reporting

BusinessAcumen Reporting

BusinessAcumen Reporting

BusinessAcumen

Scenario1,Conversion:

YouaretheclosingBODreadytostartyoursegment.Theconversionforecastfor thedayis30%andyouarecurrentlyat27%.Basedontheinfobelow,howmany additionaltransactionsareneededtoreachyourconversiongoal?

Scenario2,Forecasting:

YouareapproachingtheEasterweekendandknowthatthetrafficand transactionswillbehigherthanLYduetotheholidayswitch.Youre-visityourLY numbers andseethatyourtrafficandtransactionswereup30%withan$8DPT increase.Let‘sfigureupthenewprojectionswiththefollowing:

OriginalForecast: NewForecast:

Traffic 400
Transactions 108 AdditionalTrans
Transactions 150 New Transactions Conversion 30% New Conversion Traffic 500 NewTraffic DPT $56.00 NewDPT

BusinessAcumen

Leverage: Isthedifferencebetweenthisyearssalescompversusthisyearstrafficcomp. Ifyouareupinsalesthisyearanddownintraffic,thatwouldbeapositiveleverage.Ifyou aredowninsalesandupintraffic,thatwouldbeanegativeleverage.Itisallabout convertingthetrafficthatcomesintoyourdoor.Let’susetheHSRbelowtofigureupthe trafficleverage.Wewillusethe%toLYshopcolumnandthe%toLYAcolumn.Subtract the%LYAfromthe%LYshop116.8-110.8=6.Thisnumberwillnowgettransformedinto abasisnumberbymultiplyingtheanswerby100.Inthiscase6X100=negative600 leverage.Iftheresultswereswitchedandthesaleswerehigherthanthetrafficitwould equalapositiveleverage.

Scenario3,Leverage:

Calculateleverageinbasispointsbasedonthefollowingcompsalesandtraffic.

CompSales Traffic Leverage -4% +16% +9% -9% +1% -7% -11% +20%

Week2DicoveryItems

Sunday: MILONavigation

OperationsCalendar

WeeklyForms

DocumentLibrary

Markdowns(Workday&HandsonExperience)

NewMarks/Remarks

StorePortal

ScannerReference

ConnectivityTips&Tricks

Monday:

Supplies(MILO)

Amazon

CapitolLighting

Bag&TissueReplenishment

WeeklySupplyOrder

WhotoContactandWhen(Workday)

Week2DicoveryItems

AsTimePermits:

TheFamilyTree(Workday)

IntrotoourGuest(Workday)

MeetHerWhereSheIs(Workday)

CreatinganExceptionalExperience(Workday)

DeeperDiveIntoDORduties

VASL/Merchandiser

OASL GEASL

GoogleTraining(Workday)

ItemstoRevisit:

Turn static files into dynamic content formats.

Create a flipbook
Issuu converts static files into: digital portfolios, online yearbooks, online catalogs, digital photo albums and more. Sign up and create your flipbook.
Updated ASL 2.28 by standoutforgoodinc - Issuu