Energía Hoy edición 135 jun 2015

Page 1

6 3o

SÍGUENOS EN:

petróleo

La CNH aprobó la Tercera Convocatoria de la Ronda Uno, que incluye 26 campos terrestres.

petróleo

La OPEP cree que el crudo podría caer por debajo de los 45 dólares por barril en 2025.

gas

Gas Natural Fenosa promueve convertir los vehículos de gasolina a gas.

electricidad

La CFE prevé rebajas de entre 25 y 35% en las tarifas de electricidad del sector industrial durante junio.

rutas de negocios

Las renovables emplean a 7.7 millones de personas en el mundo, plantea el m’as reciente informe de IRENA.

Ricardo Moreno Díaz, director general de General Electric (GE) Industrial Solutions, conversa con Energía Hoy y destaca que el crecimiento que se prevé en manera general en el mercado que la compañía atiende será de 18% en los próximos años

18

22

notas de inframundo México tendrá empresarios en el sector pero, ¿saldrán avante?

cavilaciones

materiales

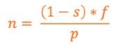
Los Certificados de Reducción de Emisiones, ¿serán incentivos?

ideas con brío ¿Realmente aporta algo el objetivo de 35% de generación limpia en 2015?.

energía y poder Existe la impresión de que al Gobierno federal se le está pasando la mano en el modelo eléctrico.

32

Las Pequeñas y Medianas Empresas (Pymes) tienen con la Reforma Energética la oportunidad de transformarse para iniciar nuevos negocios o también integrarse a nuevas cadenas productivas .

zona técnica

El aire comprimido es una forma de energía de uso muy extendido en el sector industrial, pero si no es correctamente implantado puede acarrear costos adicionales.

JUNIO 2015 | energíahoy | 1
64
10
8
16
JUNIO 2015 ILUSTRACIÓN: OMAR VARGAS 26
46 28 Pe Ga Al Rn Zt

DEL 16 AL 19 DE JUNIO

EXPO PACK MÉXICO 2015

CENTRO BANAMEX. CIUDAD DE MÉXICO. www.expopack.com.mx

ENCUENTROS...

SIMPOSIUM LATINOAMERICANO DE LA ENERGÍA 2015

CENTRO BANAMEX. CIUDAD DE MÉXICO. 27 Y 28 DE AGOSTO. www.simposiumenergia.org.mx

GAS MEXICO CONGRESS & EXHIBITION 2015

TABASCO 2000. VILLAHERMOSA, TABASCO. DEL 1 AL 3 DE SEPTIEMBRE. www.gasmexicocongress.com

FECHAS A CONSULTAR… MÉXICO

ANUNCIO DECISIÓN POLÍTICA MONETARIA.

4 de junio.

CONFIANZA DEL CONSUMIDOR (MAYO).

5 de junio.

INFLACIÓN (MAYO). 9 de junio.

ACTIVIDAD INDUSTRIAL (ABRIL). 11 de junio.

BALANZA COMERCIAL (MAYO). 26 de junio.

OCUPACIÓN Y EMPLEO (MAYO). 26 de junio.

ESTADOS UNIDOS

BALANZA COMERCIAL. 3 de junio.

SOLICITUDES DE DESEMPLEO. 4 de junio.

CRÉDITO AL CONSUMO. 5 de junio.

PRODUCCIÓN INDUSTRIAL. 15 de junio.

PRECIOS AL CONSUMIDOR. 18 de junio.

CONGRESOS Y FERIAS…

EXPO ELÉCTRICA INTERNACIONAL 2015

CENTRO BANAMEX. CIUDAD DE MÉXICO. DEL 2 AL 4 DE JUNIO. www.expoelectrica.com.mx

CONGRESO MEXICANO DEL PETRÓLEO EXPO GUADALAJARA. DEL 10 AL 13 DE JUNIO. www.congresomexicanodelpetroleo.com.mx

EXPO EFICIENCIA ENERGÉTICA 2015 CINTERMEX. MONTERREY, NUEVO LEÓN. DEL 20 AL 22 DE AGOSTO. www.expoeficienciaenergetica.com

EXHIBICIÓN INTERAMERICANA DE TECNOLOGÍA PETROLERA CINTERMEX. MONTERREY, NUEVO LEÓN. DEL 22 AL 24 DE SEPTIEMBRE. www.exitep.com.mx

THE GREEN EXPO 2015 WORLD TRADE CENTER. CIUDAD DE MÉXICO. DEL 23 AL 25 DE SEPTIEMBRE. www.thegreenexpo.com.mx

LOGÍSTICA, TRANSPORTE Y DISTRIBUCIÓN DE HIDROCARBUROS WTC VERACRUZ. BOCA DEL RÍO, VERACRUZ. DEL 4 AL 6 DE NOVIEMBRE. www.ltdh2015.com

EXPO AUTOMATIZACIÓN EXPO GUADALAJARA. DEL 4 AL 6 DE NOVIEMBRE. www.expoautomatizacion.mx

RESIDUOS EXPO EXPO GUADALAJARA DEL 4 AL 6 DE NOVIEMBRE. www.residuosexpo.com.mx

CONSEJEROS

Karla Barbarella Canavan Ramírez

Diego Arjona Argüelles

PRIMERA REVISTA EN MÉXICO LIBRE DE CO2

Año 10. No. 135

DIRECTORA EDITORIAL

Rita Varela Mayorga

COEDITOR EDITORIAL

Pablo Alatriste Galván

EDITOR DE ARTE Y DISEÑO

Omar D. Vargas Rodríguez

EDITOR DE MEDIDOR

Pedro Mentado Contreras

FOTOGRAFÍA

José Antonio Cruz

ADMINISTRACIÓN

Mayra Silva Varela

VENTAS

Norma Inocencio

Isabel Suárez Cossío

Yuhaina Nash

Annalí Ruiz

Somos

tu fuente de poder...

Redacción energiahoy@energiahoy.com

Publicidad y ventas ventas@energiahoy.com

Suscripciones suscripciones@energiahoy.com

Teléfono (55) 6259 4607 (55) 6385 6607

Energía Hoy es una publicación mensual de Editorial Engrane SA de CV. Editor responsable: Rita del Pilar Varela Mayorga. Número del Certificado de Reserva otorgado por el Instituto Nacional de Derechos de Autor: 04-2013102911174400-102. Número de Certificado de Licitud de Título: 16135. Número de Certificado de Licitud de Contenido: 16135. Oficinas: Uxmal 221, Col. Narvarte, Distrito Federal, C.P. 03020, Teléfono (55) 6259 4607.

Publicación impresa en Grupo Ajusco, S.A. de C.V.

Circulación certificada por el Instituto Verificador de Medios. Registro No. 308/05

2 | energíahoy | JUNIO 2015
AGENDA Ag

Pe

PETRÓLEO Licitan 26 campos de hidrocarburos

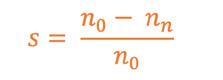
El Órgano de Gobierno de la Comisión Nacional de Hidrocarburos (CNH) aprobó la Tercera Convocatoria y bases de licitación de la Ronda Uno, la cual incluye 26 campos terrestres para la extracción de hidrocarburos.

“Estamos hablando de más de dos mil 500 millones de barriles de petróleo equivalente, por supuesto algunos de ellos han producido algo, algunos son campos maduros principalmente los de gas”, afirmó el comisionado Edgar René Rangel.

El funcionario indicó que el potencial de estos campos pudiera llegar a los 35 mil barriles de petróleo y 225 millones de pies cúbicos diarios de gas.

Los campos a licitar son Anáhuac, Barcodon, Benavides, Calibrador, Calicanto, Carretas, Catedral, Cuichapa Poniente, Tuna, Fortuna Nacional, La Laja, Malva, Mareografo, Mayacaste, Moloacán, Mundo Nuevo, Paraíso, Paso de Oro, Peña Blanca, Pontón, Ricos, San Bernardo, Secadero, Cajón, Tecolutla y Topen.

Rene Rangel expuso que todas estas áreas, con excepción de una, tienen reservas 3P (producción, preparación y proceso), incluso producción a enero de 2015. El Comisionado también señaló que los campos de aceite miden de ocho kilómetros cuadrados a 58 kilómetros cuadrados, con factores de recuperación de entre 1.0 y 50 por ciento.

Los contratos para esta fase son de licencia, mientras que las dos anteriores eran de producción compartida.

LA UBICACIÓN

Los campos se encuentran en:

5 en Chiapas

8 en Nuevo León

5 en Tabasco

2 en Tamaulipas

6 en Veracruz.

Las licitaciones son resultado de la reforma energética puesta en marcha en el 2014, la cual abrió al capital privado por primera vez en más de 70 años la posibilidad de incursionar en la producción de crudo y gas de forma directa.

La reforma también quitó a la petrolera estatal Petróleos Mexicanos (Pemex) el monopolio en el sector y la obligará a competir con otras empresas. El gobierno busca atraer multimillonarias inversiones privadas a fin de elevar su alicaída producción de crudo a niveles cercanos a los tres millones de barriles por día en los próximos años, desde los actuales 2.3 millones de bpd.

EL IMP CONSTRUYE UNIDAD MÓVIL PARA MONITOREAR FRACTURACIÓN HIDRÁULICA

Especialistas del Instituto Mexicano del Petróleo (IMP) —que este año celebra 50 años de existencia— desarrollaron, en colaboración con la empresa Dowell Schlumberger de México y la Universidad Autónoma de Ciudad Juárez (UACJ), materiales inteligentes como microsensores de fondo y apuntalantes parlantes que ayuden a mejorar la estimación tanto de la geometría y orientación de fracturas hidráulicamente inducidas en pozos, como las propiedades in situ del sistema roca-fluido. Lo anterior como parte de un proyecto del Fondo Sectorial Conacyt-Sener-Hidrocarburos, que tuvo como propósito resolver problemas tecnológicos, como la incertidumbre sobre la orientación y geometría de las fracturas hidráulica.

6 | energíahoy | JUNIO 2015
FOTO: ARCHIVO

A quién seguir:

Leonardo Beltrán @LeoBeltranR

Cuenta del subsecretario de Planeación y Transición Energética de la Secretaría de Energía.

“Barril rondaría los 40 dólares en 2025”, vaticina la OPEP

La Organización de Países Exportadores de Petróleo (OPEP) ha reconocido la nueva era del mercado de petróleo. El cártel no ve factible que el barril vuelva a alcanzar los 100 dólares en los próximos 10 años. Incluso en uno de los escenarios más pesimistas, la OPEP cree que el crudo podría caer por debajo de los 45 dólares en 2025.

Un informe al que ha tenido acceso The Wall Street Journal revela estos datos. La OPEP ha estado analizando durante meses cómo combatir el progresivo avance de la producción en EU sin encontrar una respuesta contundente.

Tal y como publica este diario financiero, el cártel solía reducir su producción para mantener los

OPEP AUMENTA PRODUCCIÓN PERO BAJA OFERTA MUNDIAL DE PETRÓLEO

De acuerdo con el último informe de la OPEP, la oferta mundial de petróleo disminuyó en 390 mil barriles diarios, en comparación con el mes anterior, para promediar 94.10 millones de barriles diarios en abril de 2015. El descenso de la oferta de los países no miembros de la OPEP en abril incidió en la disminución de la producción mundial de petróleo, lo cual fue parcialmente compensado por un aumento de la producción de los países miembros de la organización. La participación del petróleo crudo de la OPEP en la producción mundial total aumentó ligeramente a 32.8% en abril respecto al mes anterior cuando `promediaba un 32.6%. De acuerdo con fuentes secundarias, la producción total de petróleo crudo de la OPEP promedió 30,84 millones de barriles diarios en abril, lo que representa un aumento de 18.000 b / d respecto al mes anterior.

precios del crudo en el pasado, pero en esta ocasión esta estrategia ya no era válida, EU estaba aumentando su producción a pasos agigantados gracias al fracking, Canadá hacía lo propio con sus recursos no convencionales, mientras que Rusia y Brasil también incrementaban el bombeo de barriles.

De modo que Arabia Suadí decidió unirse a la fiesta y seguir produciendo a bajo coste intentando mantener su cuota de mercado vía precios. Tras unas caídas del crudo del 60%, ahora el petróleo vuelve a encontrarse en una tendencia alcista, pero muy lejos de los 100 dólares por barril.

Según aumente el precio del petróleo y su margen para obtener beneficios, el fracking volverá a poner en marcha toda su maquinaria y a producir más petróleo, lo que será un lastre pesado para que se puedan volver a ver precios del pasado.

Ante este nuevo escenario, con nuevos competidores para una demanda que crece poco, la OPEP ha reconocido en sus pronósticos para los próximos 10 años que en el mejor de los casos, el petróleo alcanzará los 76 dólares por barril. El petróleo West Texas (al que hace referencia el informe) ya recuperó la cotización de 60 dólares el barril, mientras que el Brent supera los 65 dólares.

Así, la OPEP ha descartado que el petróleo pueda alcanzar de nuevo los 100 dólares, una cota que tocó en varias ocasiones en 2014: “Un barril de crudo a 100 dólares es un escenario que no contemplamos en los próximos 10 años”.

PEMEX CANCELARÁ PLAZAS DE HASTA TRES MIL JUBILADOS POR RECORTE

Las plazas del personal de Petróleos Mexicanos (Pemex) que se jubile en los próximos meses serán canceladas como parte del recorte presupuestal que aprobó el Consejo de Administración en febrero, dijo Mario Beauregard, director de Finanzas de la empresa petrolera estatal. “Hay mucho personal en Pemex que ya está en edad de jubilación, que ya cumple con las edades para jubilarse. Ese personal, una vez que se jubile, es personal que no vamos a volver a emplear. Estamos hablando de miles de personas que están en esa condición y vamos a aprovechar la oportunidad para cancelar plazas y esa va a ser una de las fuentes de ahorro (…) Estamos hablando de unas dos mil o tres mil personas”, precisó el funcionario.

8 | energíahoy | JUNIO 2015
FOTO: ARCHIVO

Ga

Promueven convertir autos a gas y reducir emisiones

Como una forma de reducir el nivel de contaminación ambiental y solucionar el problema de movilidad, la empresa Gas Natural Fenosa propuso la conversión de los vehículos de gasolina a gas natural.

Con ello, incluso se reduciría el gasto en combustible hasta en 55%, estimó el director de mercado industrial y soluciones energéticas de Gas Natural Fenosa, René Sánchez.

Comentó que a pesar de que la tecnología para la conversión de vehículos a gas natural existe desde la década de los 40, en México sólo existen alrededor de cinco mil vehículos convertidos, de los cuales la mayoría pertenece al transporte público.

En otros países como Brasil circulan 1 millón 753 mil 762 autos que usan gas natural vehicular, mientras que en Argentina la cifra asciende a 2 millones 288 mil 161 unidades.

“Desde hace varios años tenemos disponible una tecnología para el uso del gas natural para los vehículos, en sustitución de los combustibles líquidos y que hoy toma una gran relevancia en ciudades en donde ha despertado una gran controversia el tema del Hoy no Circula”, expuso el directivo.

Señaló que la conversión tarda un par de horas, con lo que la unidad automotora estaría libre del programa de abstención vehicular en donde existe, además de que tiene la posibilidad de funcionar tanto con gasolina como con gas natural.

“Existe la tecnología desde los años 40, desarrollada en Europa, Latinoamérica y Asia”, en México, dijo que existen incluso fabricantes de vehículos que ya ofrecen la tecnología para circular con gas natural, aunque esta modalidad no se ha popularizado.

AHORRO

La conversión representa un ahorro de 55% respecto al consumo de gasolina.

El uso de gas natural, aseguró, no daña la vida del vehículo, ya que “no es una tecnología nueva, ni que se haya descubierto de la noche a la mañana; está constatada y verificada, además de estar normada en México que permiten su utilización”.

De tal forma que existen fabricantes de vehículos que ofrecen las unidades convertidas con kilometraje cero y todas las garantías correspondientes.

Destacó que cualquier modelo de vehículo se puede convertir al sistema dual de gasolina y gas natural, a través de los talleres certificados para ello, cuyo costo asciende a 30 mil pesos.

La inversión realizada el automovilista, dijo, se recupera en máximo un año, dependiendo del uso de la unidad, toda vez que actualmente el ahorro asciende a 55% en la compra de combustible.

Los talleres existen actualmente en las ciudades de México, Monterrey y Guadalajara, donde la conversión se realiza principalmente en el transporte público, aunque también puede llevarse a cabo en flotillas y vehículos particulares.

En la Ciudad de México, 90% del transporte utiliza gasolina, y sólo 3 mil 800 unidades usan gas natural vehicular.

10 | energíahoy | JUNIO 2015 GAS

Mi

MINERÍA Claves para el éxito en la minería nacional

La minería es una industria estratégica para el desarrollo de México, contribuye con 4.9% del PIB nacional y en 2013 generó 337 mil 598 empleos directos, y más de 1.6 millones de empleos indirectos de acuerdo con el Instituto Mexicano del Seguro Social (IMSS).

Actualmente, México se ubica entre los primeros 10 lugares del mundo como productor de 16 diferentes minerales. Es líder global en producción de plata y es el destino de inversión preferido en exploración de América Latina, con un valor de la producción de 200 mil 946 millones de pesos en 2013.

En México, la Reforma Fiscal agregó un impuesto de 7.5% al ingreso de las empresas mineras y el precio internacional de los metales bajó por segundo año consecutivo. Estos desafíos han orillado a las empresas a revisar sus estrategias para ser más eficientes y ajustar sus planes posponiendo nuevos proyectos e incluso a detenerlos por completo.

Si bien el entorno actual se encuentra repleto de desafíos para la industria, México ha sido y será un país minero. La minería tiene presencia en 24 de las 32 entidades federativas y, junto con la agricultura, es la que más se relaciona con las comunidades y municipios del país.

Por esto, es vital que tanto los proveedores tecnológicos como las compañías, generen sinergias y oferten y adopten tecnologías que mejoren su productividad y el uso eficiente de sus recursos para potencializar el desarrollo. Schneider Electric, ha identificado cuatro elementos clave que las compañías mineras necesitan:

1. Continuidad y Servicio: La detención de una mina puede generar un alto costo y, dado que la ubicación de las minas es

remota y con accesos hostiles, es necesario equiparlas con productos confiables y resistentes, con el respaldo de un servicio oportuno y experto. Por ejemplo, hay minas que producen 100 mil toneladas de roca al día, y la operación no puede detenerse porque significaría pérdidas importantes en equipo, mineral e ingresos.

2. Eficiencia y Productividad: más toneladas con menos consumo. Del costo total de operación de una mina, entre 25 y 30% proviene del consumo eléctrico, por ello es necesario tener el desarrollo tecnológico adecuado y reducir costos. Cuando la rentabilidad baja, el minero deberá implementar soluciones de automatización, monitoreo de gestión energética, generación y análisis de datos para tomar decisiones con equipos de tecnología de punta.

3. Sustentabilidad y Seguridad Operacional : la minería es una de las industrias más fiscalizadas por su impacto ambiental, por lo que es conveniente implementar fuentes renovables de generación de energía, que ayuden a disminuir los riesgos de contaminación en beneficio de sus trabajadores y el medio ambiente.

4. Operación y mantenimiento: Por la ubicación geográfica de las minas, el acceso a refacciones y servicios de mantenimiento es limitado. Por ello, las entidades mineras necesitan equipo confiable y de fácil operación, libres de mantenimiento, altamente robusto y resistente para operación demandante en una mina.

12 | energíahoy | JUNIO 2015
TEXTO: HONORATO HERRERA Honorato Herrera. Es Gerente de Desarrollo de Negocios de la División MMM para Schneider Electric México.

El

Tripp Lite se une con Icecat para apoyar socios de canal

Tripp Lite, líder mundial en la fabricación de soluciones de protección de energía y conectividad, anunció que las hojas de datos con información detallada sobre sus productos más populares ya están directamente disponibles en cuatro idiomas a través del catálogo de Open Icecat.

Tripp Lite se asoció con Icecat, un sindicador de contenido mundial de información sobre los productos, para apoyar a sus socios de comercio electrónico en Canadá, el Reino Unido, Francia, México y Rusia, con información técnica completa y precisa. Con esta nueva alianza, Tripp Lite puede responder con mayor rapidez y precisión a la demanda de su canal para información actualizada y estandarizada sobre los productos del fabricante en sus mercados.

EL CATÁLOGO

Las hojas de datos de los productos de Tripp Lite se pueden encontrar en www.icecat.biz.

Los detalles de los productos se entregan en hojas de datos en línea en una variedad de formatos, como HTML, LIVE, CSV y XML, proporcionando soluciones de web que son fáciles de integrar además de alternativas más profesionales y presentables.

El catálogo de Open Icecat ayuda a simplificar la forma en la cual los socios de Tripp Lite y otros 45,000 sitios de e-commerce obtienen información sobre los productos, mejorando una variedad de factores: el tiempo, la calidad y la integridad en general.

La oferta completa de productos de Tripp Lite, que se extiende desde sistemas de alimentación ininterrumpida (UPS) y unidades de distribución de energía (PDU) hasta racks y productos de conectividad, estará disponible en Open Icecat. Los socios de Tripp Lite pueden acceder a los datos registrándose en Icecat para descargar las hojas de datos disponibles.

Christy Prosapio, Gerente de Marketing Internacional de Tripp Lite, comentó: “Nuestra intención es asegurar que nuestros socios de canal podrán encontrar toda la información detallada que necesitan sobre nuestros productos desde una sola fuente. Creemos que nuestra alianza con Icecat nos ayudará a agilizar nuestras actividades de comercio electrónico y servir mejor a nuestros clientes”.

Otto Van Bentum, gerente de Región a Icecat, explica: “Las hojas de datos de Tripp Lite proporcionan descripciones completas de productos con textos de marketing, imágenes, archivos PDF, especificaciones técnicas, descripciones largas y cortas y referencias cruzadas. Podemos asegurar a los socios de Tripp Lite que todas las hojas de datos han sido aprobados por el fabricante y, por tanto, cumplen con los altos estándares de calidad de la marca”.

14 | energíahoy | JUNIO 2015
ELECTRICIDAD

A quién seguir:

Gas

Cuenta de la agencia E&Y especializada en upstream, midstream y campos petroleros.

Prevén rebajas en el costo de la electricidad de México en junio

En junio de 2015, las tarifas aplicables al sector industrial, en comparación con junio de 2014, disminuirán entre 25 y 35 por ciento. Para el sector comercial, se registrarán bajas de entre 11 y 22 por ciento, y en el caso del sector doméstico de alto consumo, la tarifa se reducirá en 10.8 por ciento.

Con respecto a la tarifa aplicable al sector doméstico de bajo consumo, que cada año subía 4 por ciento, en 2015 no tendrá aumento. De hecho, a partir del 1 de enero de 2015, esta tarifa tuvo una disminución de 2 por ciento con respecto a diciembre de 2014, planteó la Comisión Federal de Electricidad (CFE).

Las tarifas eléctricas se ajustan mensualmente a partir de fórmulas técnicas por la Secretaría de Hacienda y Crédito Público (SHCP), mediante acuerdos publicados en el Diario Oficial de la Federación. Los factores de ajuste de las tarifas contemplan tanto el volumen, como el precio de los combustibles utilizados en la generación eléctrica.

Para determinar las tarifas de junio de 2015, la SHCP tomó en consideración el precio promedio de los combustibles utilizados en los procesos de generación en mayo de 2015, los cuales registraron una clara reducción durante ese mismo mes. En cuanto al volumen, las tarifas de junio se calcularon de acuerdo a la participación de los combustibles utilizados en el año 2014.

En este sentido, la reducción en las tarifas eléctricas se logró, en gran medida, a los esfuerzos estratégicos realizados por la CFE en 2014 para volverse más competitiva, mediante la sustitución

de combustibles caros y contaminantes como el combustóleo y el diésel. En su lugar, se utilizaron fuentes de energía de menor costo y más amigables con el medio ambiente, como el gas natural y las energías renovables.

En 2014, la CFE generó 165,165 Gigawatts-hora (GWh) de energía eléctrica. De esta energía, 37 mil 491 GWh (23 por ciento del total) fue generada a partir de centrales hidroeléctricas. Esto representa un incremento de 40 por ciento con respecto a la energía hidroeléctrica generada en 2013.

Ello se logró ya que la CFE realizó un manejo óptimo de su infraestructura hidroeléctrica, durante un año de lluvias abundantes. En este sentido, la CFE seguirá impulsando un plan integral para construir nuevas hidroeléctricas y modernizar las existentes, con el fin de lograr un mayor aprovechamiento de nuestros recursos hídricos.

En 2014, la CFE consumió 6 por ciento más gas natural que en 2013 para generar energía eléctrica. Este aumento fue posible gracias a la Estrategia Integral de Suministro de Gas Natural 2013, impulsada por Petróleos Mexicanos y CFE, en conjunto con el sector privado, y coordinada por la Secretaría de Energía.

Con ella, se ha logrado garantizar el abasto suficiente de gas natural para la industria nacional y para los procesos de generación de la Comisión Federal de Electricidad. A la fecha, México lleva 23 meses sin alertas críticas que limiten el consumo de este combustible.

CFE APUESTA A COINVERSIÓN HIDROELÉCTRICA

La Comisión Federal de Electricidad formó un equipo técnico con la constructora ICA para el desarrollo de una estrategia de construcción de plantas hidroeléctricas que permitan mejorar el abasto eléctrico nacional como un método limpio y seguro. En entrevista con El Financiero, Enrique Ochoa Reza, su director general, explicó que es importante el modelo de asociaciones público−privadas para las inversiones de generación con tecnologías limpias. Explicó que las oportunidades que da la reforma energética a la CFE son importantes y están muy interesados en escuchar las buenas ideas de otras empresas para generar una agenda que les permita optimizar su parque de generación eléctrica y alcanzar estos objetivos comunes de ganar−ganar.

16 | energíahoy | JUNIO 2015
EY Oil &
@EY_OilGas

NOTAS DEL INFRAMUNDO MIRIAM GRUNSTEIN

POR PRIMERA VEZ, TENDRÍAMOS EMPRESARIOS PUROS Y DUROS EN EL NEGOCIO PETROLERO, CON TODO LO QUE ESO IMPLICA. SI TIENEN VISIÓN ESTRATÉGICA Y CAPACIDADES PARA LLEVAR AVANTE SUS PROYECTOS, MARCARÁN UN HITO PARA EL PAÍS. DE LO CONTRARIO, FENECERÁN

Ese ha sido nuestro paradigma y se avecina el momento en que deje de serlo. Desde que se asomaba la reforma Constitucional –y claramente a partir de su aprobación– los grupos de empresarios mexicanos ya se organizaban para constituir las primeras empresas petroleras mexicanas. Este fenómeno es muy interesante desde todos los puntos de vista. Por primera vez, podríamos tener empresarios puros y duros dentro del negocio petrolero, con todo lo que eso implica. Si tienen la visión estratégica y las capacidades para llevar avante sus proyectos, marcarán un hito para el país. De lo contrario, fenecerán porque así son los rigores del mercado.

¿O no?

Me tomó por sorpresa la licitación que se anuncia como propicia “para las empresas mexicanas”, la cual no estaba dentro el programa original de Ronda 1. Sobre ésta hay cabida para sentimientos encontrados. Por una parte, el desarrollo de una industria petrolera nacional, de naturaleza privada, es un objetivo legítimo y deseable. Urge que personas ajenas al otrora “titular del área estratégica” (mejor conocido como monopolio de Estado) desarrollen know how petrolero. Una de las mayores preocupaciones que hacen sombra a la reforma energética es la carencia de talento para dar el salto, y abordar, el tren en marcha. No hay cabezas que basten ni para el sector público ni para el sector privado en este gran proyecto de rediseño de la industria.

Más aún, hacen falta petroleros ajenos a la psique pemexiana. Con todas sus bondades, los funcionarios de Pemex son un híbrido de burócratas y empresarios. Los procesos de toma de decisiones dentro un gigante como Pemex marchan con pies de plomo. En Pemex, estampar una firma es un acto de poder pero también de sumisión. El riesgo no parece provenir de los misterios del subsuelo, sino del cedazo de la contraloría. Cubrirse las espaldas, más que hacer negocio, ha parecido el fin en sí.

Miriam Grunstein. Es criatura del inframundo, donde escribe libros y artículos sobre el sector energético, y además es consultora de empresas energéticas chicas, medianas y gigantes, públicas y privadas. De igual forma es académica asociada del Centro México del James Baker III de Rice University y profesora externa del Centro de Investigación y Docencia Económicas. El tiempo que le queda libre, si les es posible, anda con sus perras y a caballo. mgrunstein@brilliantenergy.com.mx

Desde que se anunció esta licitación (tan cercana a las elecciones) el íncubo liberal que asuela mis sueños me hace cuestionar el origen y el propósito de esta licitación. Con el corazón, quiero creer que esta licitación va a espolear a las empresas mexicanas para que jueguen limpio, que se ganen sus áreas y que las desarrollen como la ley, los contratos y Dios mandan (en ese orden). Deseo que este sea el inicio de la nueva de la industria petrolera nacional en la que los mexicanos ya no serán únicamente los dueños difusos de los recursos naturales sino que podrán hacerlos propios si los sacan del subsuelo, pagando lo que deben al Estado a cambio de los mismos. Esto que algunos conciben como la entrega de la patria yo más bien lo percibo como un paso hacia la democratización de una industria, siempre y cuando respondan a la altura del reto de crear mejores condiciones eficiencia para la misma. Y he ahí mis dudas.

No tenemos un buen historial de rigor con las empresas que se han apoderado de los bienes privatizados. Y como los hidrocarburos siguen siendo de 120 millones de mexicanos me preocupa la declaración del Presidente de la CNH consistente en que se juzgará las trayectorias de los integrantes de las empresas, sin que pese tanto aquella de la empresa. Y sí, si en este momento

18 | energíahoy | JUNIO 2015
La Licitación 3: ¿La nueva era para la industria petrolera mexicana?
O, ¡uno, dos, tres por mí y por todos mis compañeros!

la CNH considerada las millas recorridas por las empresas mexicanas, ninguna de ellas pasaría la línea de salida. Después de 77 años de monopolio nadie, salvo Pemex, tiene un expediente institucional como operador. Sin embargo, juzgar una agrupación por sus integrantes tiene riesgos. ¿Quién nos garantiza que Carlos Morales (cuya trayectoria individual es avasalladora ) estará aquí por la duración del contrato? Entre los miembros de mi tribu (la judía) solemos felicitarnos deseándonos los unos a los otros una vida de 120 años. Sin embargo, hasta ahora, no he sabido de un solo beneficiario de este augurio. Fuera de broma, la continuidad institucional (y no los atributos personales) es lo que le da solidez a una empresa, la que la responsabiliza indistintamente de la cualidades personales de su liderazgo.

Por otra parte, es cierto que de casi la totalidad de las áreas (salvo cuatro) no se hace un verano. Parece que el gobierno arrojó una migajitas para que las recién estrenadas empresas mexicanas piquen algo. La pregunta aquí es: ¿para qué? ¿Para que aprendan a volar? Tal vez eso sea válido en tanto México cursa su curva de aprendizaje. Sin embargo, ¿qué valor comporta para México y los mexicanos? Eso dependerá del rendimiento que se les exija a las empresas; de que cumplan con sus compromisos de inversión, de que se apeguen a sus programas de trabajo, de que sean eficientes en su extracción, de que paguen impuestos, regalías, de que se apeguen a las normas de seguridad, salud y medio ambiente. Sólo espero que su curva de aprendizaje no nos cueste.

De especial atención es el hecho de que las 26 áreas se encuentran tierra adentro donde habrá cuestiones sociales y medio ambientales sumamente delicadas. Si no tienen trayectoria institucional, ¿cómo responderán a estos retos, a las demandas de los pobladores, y al mandato jurídico y moral de conservación de nuestra biodiversidad? No lo sabemos porque no tienen trayectoria como organizaciones; sabemos los nombres de sus dueños pero no tienen ni prestigio ni marca. Estaremos a merced de sus decisiones y de las instituciones aún inmaduras que deberán vigilarlas.

Así las cosas.

COLUMNA INVITADA ALFREDO ÁLVAREZ LAPARTE

Panorama del sector eléctrico en México

LOS RETOS QUE ENFRENTA EL SECTOR ELÉCTRICO CON LA REFORMA ENERGÉTICA SON AUMENTAR LA GENERACIÓN, REDUCIR PÉRDIDAS

TÉCNICAS, COMBATIR EL ROBO, ABARATAR COSTOS PARA LA INDUSTRIA Y SERVICIOS, INTRODUCIR INCENTIVOS PARA FOMENTAR AHORRO EN EL SECTOR RESIDENCIAL, E IMPULSAR EL USO DE RENOVABLES

El sector eléctrico en México, al igual que el resto de la industria energética, acumula rezagos y distorsiones añejas que han mermado su eficiencia, calidad y costo. Si bien la capacidad de generación ha aumentado notablemente en los últimos 20 años, ello ha sido gracias a la participación de Productores Privados Independientes (PPIs).

Estos PPIs usan la electricidad que generan para su propio consumo y venden el excedente a la Comisión Federal de Electricidad (CFE), que asume el riesgo de mercado sobre el mismo. En contraste, tanto la capacidad como la generación bruta de la CFE han permanecido prácticamente estancadas creciendo a menos de 1% al año en promedio durante la última década. De hecho, de no haberse autorizado la participación de los PPIs a finales de los noventa, el país pudo haber enfrentado serios problemas de escasez.

A pesar del marcado crecimiento de la capacidad de generación durante las últimas dos décadas, el margen de reserva –la relación, en términos generales, entre la capacidad y la demanda máxima– ha tendido a disminuir y es hoy relativamente bajo. Ello implica que la red tendría dificultades para lidiar con alguna falla importante (por ejemplo, problemas operativos imprevistos en varias centrales importantes), obligando a racionar el uso e inclusive provocar apagones en regiones enteras. Si tal contingencia ocurriera, probablemente afectaría severamente el crecimiento económico del país.

A diferencia de la red de gasoductos, la red de transmisión y distribución eléctrica cubre prácticamente todo el país. Hay aproximadamente 90 mil kilómetros de líneas de transmisión y

unos 735 mil kilómetros de líneas de distribución que sirven a cerca de 40 millones de usuarios, cifra que es de admirarse para una economía en desarrollo como la mexicana. Cabe señalar que la generación ha aumentado sobre todo en el norte, reflejando su mayor actividad económica y la concentración de la industria manufactura.

El crecimiento de la capacidad instalada ha provenido mayoritariamente de fuentes térmicas, las cuales aumentado de forma espectacular el uso de gas natural, combustible que en 1994 representaba poco menos de la quinta parte de la generación térmica, y que el 2014 cubría casi dos tercios. Esto ocurrió a expensas del combustóleo, que había sido durante décadas la fuente privilegiada para la generación térmica.

Ello explica en parte por qué Pemex Refinación enfrenta serios problemas operativos y financieros, pues sigue produciendo grandes volúmenes de combustóleo que debe vender a precios castigados, sobre todo en Asia, al haber perdido a su mayor cliente nacional (la CFE).

Las plantas hidroeléctricas son las más eficientes (las pérdidas de generación son del orden de 2%, comparadas con alrededor de 5% para otras fuentes). Sin embargo, en un país semiárido como México es difícil aumentar el número de hidroeléctricas. Ello explica por qué el gas natural se ha convertido en la alternativa preferida para aumentar la capacidad y la generación de electricidad, además de que es una energía relativamente limpia. Las energías renovables (solar y eólica), por su parte, siguen siendo relativamente marginales, a pesar de su enorme potencial y auge durante los últimos años.

En términos de demanda, el sector industrial representa cerca de dos tercios del consumo total de electricidad. Sin embargo, en cuanto al número de usuarios, el sector residencial es el más importante.

20 | energíahoy | JUNIO 2015
Alfredo Álvarez Laparte. ES Socio de EY, líder del Sector Energético México y Centroamérica. alfredo.alvarez@ey.com

Eso ha dado pie a una de las distorsiones más importantes, por razones eminentemente políticas: la industria y los servicios subsidian el consumo doméstico y agrícola, los cuales pagan precios muy inferiores al costo de generación. La industria, por ejemplo, eroga casi tres veces más que el sector residencial en promedio.

La diferenciación de precios no es un tema menor. Por un lado, los sectores productivos del país enfrentan costos de electricidad substancialmente mayores a los de Estados Unidos, nuestro principal socio comercial, afectando su competitividad. Por otro lado, los altos subsidios al sector residencial fomentan el uso excesivo e indiscriminado de electricidad, pues no hay incentivos para ahorrar. Además de la distorsión de precios, hay una alta incidencia de robo y de incumplimiento en el pago del servicio, eufemísticamente calificados de “pérdidas no técnicas”.

Si a éstas se le suman las pérdidas de distribución, que oscilan entre 10% y 15%, se estima que aproximadamente 25% de la electricidad producida se “desvanece”. No en balde la CFE pierde cerca de 45 mil millones de pesos al año, lo que le impide invertir en nueva capacidad y en renovar las líneas de transmisión, de las cuales casi la mitad tienen más de 20 años de antigüedad.

En suma, los retos que enfrenta el sector eléctrico son: incrementar la capacidad de generación, reducir las pérdidas técnicas, combatir el robo, abaratar los costos para la industria y servicios, introducir incentivos para fomentar el ahorro en el sector residencial, e impulsar el uso de fuentes renovables.

La Reforma Energética, al separar las operaciones de generación, transmisión, distribución y comercialización de la CFE, y al permitir la participación de empresas privadas en la generación y comercialización en un marco de libre competencia es un primer paso. No obstante, todavía queda mucho por hacer y el mayor reto, como siempre, será la puesta en práctica de esta nueva estructura de mercado.

CAVILACIONES MATERIALES OCTAVIO LARA

Certificados de Reducción de Emisiones, ¿incentivo para las renovables?

LOS PROYECTOS EÓLICOS Y SOLARES TENDRÍAN UNA INESPERADA INSUFLACIÓN Y, POR ENDE, AUMENTAR SU VALOR DE RETORNO, AL CALCULAR LA REDUCCIÓN DE TONELADAS DE CO2 QUE PUEDEN GENERAR, CONTRA EL VALOR DEL IMPUESTO A CARGO DE LOS CONTRIBUYENTES QUE USEN COMBUSTIBLES FÓSILES

de suministro de energía a 15 o más años que generalmente otorgaba una tasa de descuento sobre una tarifa determinada, y aplicada por la CFE.

Hoy, a cambio de lo anterior, tenemos el mandato de ley de crear un mercado de Certificados de Energías Limpias (CEL’s) previsto a iniciar junto con el mercado ELÉCTRICO el próximo año y exigible al 2018. Estos cambios generan un escenario en el que es poco probable que un desarrollador logre firmar un contrato de suministro eléctrico bilateral, por un término de más de 15 años. Lo cual resulta en un proyecto “no bancable”, como dice los financieros. Olvidaba mencionar que el porcentaje previsto en los transitorios de la Ley del 8.2%, fue recientemente reducido a 5% por la Sener.

¡Carmen te seguimos extrañando y esperando!

“Si ayudo a una sola persona a tener esperanza, no abre vivido en vano” Martin Luther King.

Algunos de mis clientes se han acercado a preguntar mi opinión respecto del futuro de proyectos de generación eólicos y fotovoltaicos, en el corto plazo después de la reducción de entre el 25 al 2% en tarifas industriales, comerciales y domésticas. Ante tan temeraria pregunta, mi respuesta siempre contundente es: ¡no tengo la menor idea! Esto, pues, en consonancia con Luther King, es mejor la incertidumbre que la desesperanza. En efecto, cualquiera en su sano juicio sabe que con las condiciones y tecnologías actuales los proyectos de generación con viento y sol, tienen una cuesta empinada que remontar.

Pero veamos el antes y el ahora de estos proyectos. En términos muy generales, la legislación vigente hasta antes de la tan llevada y traída Reforma Eléctrica preveía entre otros dos beneficios claros a las entonces llamadas renovables, un costo de porteo menor y un banco de energía, además de la certidumbre que otorgaban contratos

Octavio Lara. Es un libre pensador, buzo apasionado que en su actividad profesional es Abogado de la Facultad de Derecho de la UNAM, con estudios de Maestría tanto de la misma universidad como por la George Washington University, en donde se especializó en Impuestos Internacionales. Su hiperactividad lo llevó a participar desde hace varios años en proyectos de energía principalmente en materia de renovables, siendo a la fecha asesor legal tanto del sector privado como público.

olara@laranavarrete.com.mx

Cierto es que en los pasados años el desarrollo de estas energías en México fueron impulsadas en el sector público y por contratos a 25 años firmados con la CFE, en el que todo el riesgo financiero lo asumía la paraestatal, escenario muy cómodo para los bancos.

Ahora bien, regresando a la pregunta inicial, me hice a la tarea de investigar qué incentivos adicionales podemos encontrar en la legislación vigente, que pudieran ayudar a cambiar esta expectativa, y encontré disposiciones que si bien algunas han estado ahí por varios años –como la depreciación del 100% de las inversiones en equipos de energías renovables previsto en la fracción XIII del art. 34 de la Ley del Impuesto Sobre la Renta–, o recientemente incluidos en la legislación –como el impuesto al carbono previsto en el artículo 2 de la Ley del IEPS– y como consecuencia el mercado de Certificados de Reducción de Emisiones, que esta Ley y la La Ley General de Cambio Climático prevén. Es a este mercado al que me quiero referir en esta entrega y, así, haciendo un poco de historia quizá usted recuerde amable lector el Mecanismo de Desarrollo Limpio, creado por el Protocolo de Kioto, mismo que estará vigente hasta el 2020, a reserva de lo que acuerden en París a finales de este año en la conferencia de las partes. Este mecanismo prevé que los países suscritos están divididos en dos apartados: desarrollados en el anexo

22 | energíahoy | JUNIO 2015

A y países en desarrollo en el anexo B. Los primeros financian a través de Certificados de Reducción de Emisiones (CER’s) los proyectos de los segundos, en los que se prevea una reducción de emisiones de toneladas de CO2 a la atmósfera o gases equivalentes.

Cabe señalar que una de las condiciones importantes que ese mecanismo prevé es la “adicionalidad”, que en términos llanos significa que se deberá de acreditar durante la fase de evaluación del proyecto, que el mismo no sería viable sin la ayuda financiera que los certificados representan. En este sentido, en el clímax de esta iniciativa, los CRE’s llegaron a cotizarse por arriba de 20 euros en mercados europeos.

También vale la pena señalar que esta “adicionalidad” ha sido la razón por la que los proyectos de energía no se han beneficiado de este mecanismo a lo largo de los años, ya que por la rentabilidad que generan per se, generalmente chocan con el concepto de necesidad financiera que éstos necesitan para financiarse a través de CER’s.

Retomando el tema, nos centraremos en este mercado de CER’s nacional que, derivado de las leyes referidas, generan otras que, hasta donde sé, están en proceso de creación por porte de la Dirección de Cambio Climático la de Semarnat. En este orden de ideas, creo que cuando el mercado entre en vigor será una elemento adicional que tendrá que

incluirse para analizar la viabilidad financiera de un proyecto de energía renovable. Más aún que en términos de la Ley vigente, éstos no se sujetarán a la camisa de fuerza que significa el concepto de “adicionalidad” de los proyectos del Mecanismo de Desarrollo Limpio.

Si lo anterior es cierto, y no veo el por qué no –no obstante que el legislador no haya pensado en estos incentivos cuando redactó la disposición–, los proyectos eólicos y solares podrían tener una inesperada insuflación y, por ende, aumentar su valor de retorno, al calcular la reducción de toneladas de CO2 que éstos pueden generar, contra el valor del impuesto a cargo de los contribuyentes que utilicen los combustibles fósiles. ¿Será?

COLUMNA INVITADA ADALBERTO PADILLA LIMÓN

Modernizar el equipamiento industrial: una forma sencilla de iniciar con eficiencia energética

HABLAR DE EFICIENCIA ENERGÉTICA PUEDE SER ALGO TAN SENCILLO O TAN COMPLEJO COMO NOS PROPONGAMOS AFRONTAR. ES NUESTRA DECISIÓN COMO INDUSTRIALES REALIZARLA Y SOPORTARLA EN LAS PROPIAS NECESIDADES DE LA EMPRESA Y CON UNA ADECUADA EVALUACIÓN DE NUESTROS EXPERTOS, LLÁMENSE INGENIEROS DE PLANTA, MANTENIMIENTO O ASESORES DE ENERGÍA

Antes de iniciar cualquier proyecto de eficiencia energética, un industrial debe acotar el alcance que quiere darle, evitando falsas expectativas y aumentando las probabilidades de éxito del esfuerzo. Siempre en su ámbito están variables de tiempo, dinero, impacto en sus procesos, imagen corporativa, entre otros. La nobleza de la eficiencia está en que se adapta a todas estas necesidades, jamás será una apuesta de “todo o nada”

El grado de sofisticación con el que se desea hacer eficiencia energética muy frecuentemente se establece por la experiencia previa de la empresa en estos proyectos y por la propia complejidad de la industria en la que se desarrolle el concepto. Por un lado, podemos entrar en un enfoque con un alcance sencillo, acotado, pragmático, en donde con un esfuerzo razonable se puedan lograr resultados interesantes. Por otro, podemos entrar en temas de pura y dura ingeniería en donde son los modelos matemáticos y sofisticadas mediciones, además de equipos con intrincadas propuestas, los que gobiernan este concepto del cual hablamos.

Este artículo trata de una de las vertientes del primer extremo, del lado sencillo de hacer eficiencia energética: la modernización de los equipos demandantes de energía.

Esta idea de modernización es conceptualmente sencilla: consiste en identificar equipos antiguos, deficientes e incluso obsoletos, que estén vinculados al consumo y transformación de energía para sustituirlos por equipos de nueva generación que entreguen el mismo beneficio, pero con una tasa de eficiencia mayor en el consumo de su energía primaria.

Como se observa en el diagrama 1, no es necesario esperar a que un equipo llegue al fin de su vida, sino que el simple argumento de eficiencia de un equipo nuevo justifica operativa y financieramente la sustitución.

Diagrama 1 – Cortesía de BASE

Los beneficios de esta estrategia se sustentan en los equipos de uso común en la industria, que son conocidos y necesarios en los procesos industriales en sus diferentes variantes. En otras palabras, no son “artefactos” experimentales que modifiquen el proceso o que impliquen nuevas capacidades en los ingenieros, empleados y obreros en las instalaciones. Ejemplos de tecnología estándar que pueda ser considerada en este enfoque son:

–Calderas.

–Motores eléctricos.

–Aire comprimido.

–Refrigeración y aire acondicionado.

–Iluminación.

Los beneficios que trae consigo esta estrategia no son sólo de eficiencia energética, sino en los propios productos y servicios de la industria así como a la productividad de los procesos industriales en todo su alcance:

–Mejor calidad del servicio para el cual está instalado el equipo (mejor calidad del vapor, mayor confort en instalaciones públicas al mantener el aire acondicionado estable, flujo de aire constante, etcétera).

24 | energíahoy | JUNIO 2015
Adalberto Padilla. Actualmente es socio de Tecener y consultor en la estructuración de proyectos de eficiencia energética. apadilla@tecener.com.mx

–Seguridad y continuidad de las operaciones al contar con equipo nuevo que no sufrirá desperfectos que detengan la operación del proceso.

–Costo de mantenimiento menor, especialmente el correctivo.

Evidentemente se iniciará la sustitución en los equipos con mejores tasas de rendimiento del nuevo equipo y cuyo volumen de energía sea considerable. Esta tarea debe ser acompañada con la asesoría de expertos energéticos que evalúen las áreas potenciales de ahorro. Muchos proveedores tecnológicos están asumiendo este papel de asesoría en eficiencia energética y no simplemente en la venta de equipo llana.

Este tipo de eficiencia energética ha existido siempre, por desgracia se ha emprendido sin visualizarla con este enfoque y en consecuencia no existe un adecuado registro de los beneficios de ahorro que ha generado estos proyectos en la industria.

No obstante lo anterior México, como otros países en vías de desarrollo, tiene un gran potencia en modernización. La infraestructura de estos equipos en las Pymes, e inclusive en grandes empresas, es en gran número obsoleta e ineficiente en el uso de energía primaria.

Preocupados por lo anterior, diferentes instituciones con vocación de desarrollo han instrumentado programas que incentivan la eficiencia energética por la vía de la modernización de equipamiento. Tal es el caso de Nafin en conjunto con el FIDE, se han volcado en sustitución de equipos de refrigeración en micro-negocios y usuarios domésticos. Por otra parte, el FIRA ha trabajado en la modernización de la infraestructura en la agroindustria con este enfoque.

Ahora la tarea es que cada industrial identifique en sus procesos las áreas de oportunidad de modernización de equipo.

IDEAS CON BRÍO SANTIAGO BARCÓN

LOS MEXICANOS SOMOS PROPENSOS A METERNOS EN CAMISA DE 11 VARAS. LA META ES LOABLE, PERO HAY MEJORES FORMAS DE ESTABLECER OBJETIVOS QUE AYUDEN AL MEDIO AMBIENTE Y LOGRAR UN MEJOR RESULTADO. NECESITAMOS URGENTEMENTE RENOVABLES, NO TAN SÓLO PORQUE SON LIMPIAS, SINO POR DIVERSIFICAR LA MATRIZ ENERGÉTICA

La expresión “meterse en camisa de once varas” nos llega de la Edad Media, donde al adoptar un hijo era costumbre que el padre adoptivo, o ya bien un sacerdote, lo metiera por la manga de una camisa, que naturalmente era muy ancha, y lo sacara por la cabeza representando con éste acto el segundo parto. A pesar de que una vara mide un poco más de 80 centímetros, lo que nos lleva a más de 9 metros en las 11 mangas, la expresión venía porque en ocasiones las adopciones no salen del todo bien, en especial cuando eran jóvenes los que se integraban a la nueva familia.

Cuando el ex Presidente Felipe Calderón Hinojosa fijó para México la meta de tener 35% de generación limpia –definida como renovables más cogeneración– durante la Conferencia de la Organización de las Naciones Unidas (ONU) para el Cambio Climático en Cancún, al final del 2010, recibió, como era de esperar, reconocimiento y halagos. Sin embargo, se ve difícil alcanzar la meta y, peor aún, poco influye dentro de las emisiones globales. Si se esperaba obtener adhesión de otros países se fracasó rotundamente y, al hacerlo ya hacia el final de su mandato, traspasó el compromiso.

No quiero que se me malinterprete, estoy completamente a favor de las energías renovables y de la cogeneración, pero como lo estamos llevando a cabo no es necesariamente la mejor forma de implementarlo e inclusive puede resultar contraproducente En primer lugar algunas cifras que nos permitirán entender mejor

porque nuestra participación resulta poco relevante. Actualmente la electricidad y la producción de calor representan el 42% de las emisiones de gases de CO2 que alcanza la cifra, difícil de dimensionar, de 14 gigatoneladas. Aunemos que para el 2040 se calcula una necesidad de 7 mil 200 GW de nuevas plantas (como referencia México cuenta hoy con 62 GW), que incluyen el crecimiento más el retiro de las antiguas, en donde la generación basada en carbón seguirá dominando aunque bajará de un 40% actual a un 30 por ciento.

Hay que recordar, un punto medular, que la energía renovable necesita de respaldo tradicional en una buena medida. Supongamos que toda la generación fuese solar, en la noche no contaríamos con servicio; en el caso eólico si el viento deja de soplar y, finalmente, en el caso de las hidroeléctricas en caso de lluvia escasa; sólo veamos lo que le sucede a Brasil o Colombia, que dependen de la generación basada en agua, cuando enfrentan el fenómeno de El Niño. Por ello es indispensable el contar con plantas de ciclo combinado, nucleares y otras para garantizar el abasto en forma continua y segura. Veamos ahora nuestra contribución. En el 2012, medido en Terawatts-hora, Mexico aportó 293 de estas unidades, frente a un total global de 22 mil 668 es decir menos del 1.3 por ciento. China con 5 mil 030, seguida por EU con 4 mil 270 e India en un tercer lugar con mil 120 representan casi la mitad. Si aunamos las tasas de crecimiento de nuestros competidores y la propia para el 2040 aportaremos menos del 1 por ciento.

Esto no implica, por supuesto, el que debamos de hacer nuestra parte pero si cuidar que no perdamos competitividad y estudiar cual es la mejor manera de disminuir nuestra huella de carbono como Nación.

Santiago Barcón Es ingeniero eléctrico. Coautor del libro Calidad de la Energía. Socio de APQ en EUA www.apqpower.com y del Grupo Arteche. Presidente de la AMESCO. Combina su afición al vino con la comercialización en Vinsanto www.vinsanto.com.mx

Antes de ver las alternativas resulta imperioso que en este marco de la Reforma Energética se establezcan claramente las diferencias en las realidades de cada tipo de tecnología de generación eléctrica. Como primer paso hay que reconocer que las renovables tienen una mayor inversión de inicio, pero se amortizan al tener “combustibles”

26 | energíahoy | JUNIO 2015
¿Realmente aporta algo nuestro objetivo de 35% de generación limpia para 2025?

gratuitos. Pretender, como lo propone la reforma que se paguen en 10 años resulta irrisorio además de que nos dejaría exclusivamente con ciclos combinados basados en gas. Lo mismo aplica para el código de red (las reglas de interconexión al sistema de transmisión) que no puede aplicar las mismas reglas para cada tecnología. En los ojos de los implementadores de la Reforma Energética, animados por la repetición interminable de que las tarifas van a bajar, y de varios economistas que no tienen visión de largo plazo, corremos el riesgo de crear una burbuja de gas que nos explotará en las narices. La primera regla para operar un sistema eléctrico consiste en contar con diversidad

de generación, sin ella nos enfrentaremos, tarde o temprano, a serios problemas. Dicho sea esto debemos de establecer no sólo la meta, sino los mecanismos de apoyo. Las renovables requieren de incentivos y si ellos no resulta factible que despeguen. Ya veremos si los certificados de energía limpia (CEL) son la solución aunque debemos de esperar a su implementación.

En el caso de México nuestra principal aportación de CO2 viene por el transporte y por otro lado, la falta de eficiencia energética. Si atacásemos estos dos puntos obtendríamos mejores resultados. ¿Por qué fomentar únicamente un watt limpio si el mejor watt es el que no se crea? Im-

plementando eficiencia energética se evita el tener que instalarlo, lo que se conoce como negawatt. Siguiendo esta lógica la eficiencia de energía, debidamente auditada, tendría que tener derecho a los CEL. En cuanto al transporte toma tiempo pero normas estrictas de eficiencia, aunado al no permitir la importación de autos chatarra, contribuiría en forma muy significativa a disminuir nuestra huella de carbono.

Tenemos que trabajar en buscar las mejores alternativas que nos permitan apoyar el esfuerzo climático pero sin descuidar nuestra competitividad, para que obtengamos el mejor resultado invirtiendo lo menos posible.

ENERGÍA Y PODER VÍCTOR RODRÍGUEZ PADILLA

Prudencia: con la electricidad no se juega

EL DERROTERO QUE ESTÁN TOMANDO LOS ACONTECIMIENTOS PREOCUPA A LOS GRANDES CONSUMIDORES DE ELECTRICIDAD. EXISTE LA IMPRESIÓN DE QUE AL GOBIERNO FEDERAL SE LE ESTÁ PASANDO LA MANO CON EL MODELO QUE COMPRÓ DE EU Y CON LAS PRISAS QUE ACOMPAÑAN SU PUESTA EN PRÁCTICA

El carácter fundamental y estratégico de la electricidad no necesita demostración. Sin ella la vida moderna simplemente no existiría. Su lugar en la matriz energética no deja de avanzar. La producción, el comercio, el transporte, la alimentación, la salud, la educación, el esparcimiento, el confort, dependen cada vez más de ese fluido básico cuyas características lo hacen único, excepcional. Todos lo necesitamos. Algunos más, otros menos, pero nadie puede prescindir de él. Sufrir es no tenerlo.

La energía eléctrica se puede almacenar en pilas y baterías pero no en las cantidades que requiere la economía, en consecuencia debe ser producida en el momento en que se necesita, a partir de cientos de generadores esparcidos en el territorio nacional, trabajando de manera sincrónica. El transporte de electricidad requiere de una extensa red de alta, media y baja tensión para hacerla llegar a los centros de consumo, pero también necesita equipos sofisticados para mantener la estabilidad y confiabilidad, porque cada vez que alguien se conecta, productor o consumidor, la red se altera. El servicio debe estar disponible las 24 horas al día, los 365 días del año, en la cantidad y calidad requeridas por el usuario, para un consumo que varía a lo largo del día, la semana, el mes, el año.

Para que el suministro sea lo más barato posible se requiere aprovechar las economías de escala, secuencia y alcance. Ello dio origen, hace mucho tiempo, a la interconexión, al despacho económico de carga, así como a la planeación centralizada, integral y de mínimo costo. La integración vertical, la operación a cargo de una sola empresa,

las obligaciones de servicio público (continuidad, uniformidad, economía, equidad…), así como la fijación de precios con base en los costos marginales de largo plazo es el arreglo natural de la industria eléctrica. Así fue reconocido en todo el mundo durante más de 70 años. Hasta que un día los especuladores lograron penetrar la industria aprovechando el auge del neoliberalismo económico y las nuevas tecnologías. Así aparecieron los mercados eléctricos, donde la especulación no es un defecto sino una virtud. Las ofertas competitivas en el mercado mayorista conllevan el pecado original de la especulación: el objetivo fundamental de los generadores no es suministrar electricidad para crear desarrollo sino aprovechar las condiciones del mercado para maximizar la renta eléctrica y quedarse con ella.

Ernesto Zedillo Ponce de León y Vicente Fox Quesada fracasaron en su intento de cambiar la Constitución para implantar un mercado eléctrico. Enrique Peña Nieto lo consiguió. Pero como la Secretaría de Energía nada sabía de mercados eléctricos salió corriendo a los Estados Unidos, obvio, para buscar a un gurú que recomendara qué hacer y cómo hacerlo. El elegido fue William Hogan, profesor de la Universidad de Harvard, que obviamente recomendó utilizar como referente el mercado PJM que atiende a 13 estados del noreste de los Estados Unidos (entre ellos Pennsylvania, New Jersey y Maryland –PJM–), del cual reclama la autoría. Con el tiempo encima, el Secretario de Energía, Pedro Joaquín Coldwell, aceptó, sin más ni más, dejar de buscar expertise y pagar lo necesario para importar y tropicalizar el modelo PJM, a pesar de sus defectos.

www.energia.org.mx

energia123@hotmail.com

Hoy, el derrotero que están tomando los acontecimientos tiene preocupados a los industriales y en general a los grandes consumidores. Existe la impresión de que al Gobierno federal se le está pasando la mano con el sofisticado modelo que compró del otro lado de la frontera y con las prisas que acompañan su puesta en práctica. La disminución de las tarifas eléctricas de alta y media tensión antes de la entra en vigor del mercado, baja que está

28 | energíahoy | JUNIO 2015
Víctor Rodríguez Padilla. Es profesor de la UNAM. Estudió Física en la Facultad de Ciencias de la UNAM y la maestría en Ingeniería Energética en la Facultad de Ingeniería de la misma universidad. Realizó el Doctorado en Economía de la Energía, en la Universidad de Grenoble, Francia, y realizó posdoctorados en Francia y Quebec.

asociada a la disminución de los precios de los combustibles, no hace sino profundizar la angustia y el desasosiego sobre lo que sucederá con un artilugio que ahora parece innecesario. El arrojo del Secretario de Energía de que el mercado va porque va, sin importar contextos y circunstancias, alarma a la propia élite económica que impulsó la reforma. Las críticas no vienen de la izquierda, enfrascada en sus luchas internas, sino de los aliados que estarán en el frente de batalla, los usuarios calificados que deberán comprar electricidad a un precio desconocido pero seguramente más alto que las tarifas actuales. Aunque el arreglo básico son generadores y cables, en el mundo no hay dos sistemas eléctricos iguales, algunos incluso son esencialmente distintos. En su construcción ha intervenido la historia, la política, la geografía, así como la disponibilidad de capital, tecnología y recursos naturales. Lo mismo ocurre con los mercados eléctricos, todos son distintos, varían de país a país, sin contar su continua evolución para tomar en cuenta las especificidades del sistema y las estrategias de los jugadores locales. Ese dato básico fue omitido por la Sener. Peor, decidió adoptar un modelo para un sistema maduro –PJM– a sabiendas que en México tenemos exactamente lo contrario, un sistema joven, poco mallado, con gran potencial de crecimiento y por lo tanto con gran necesidad de inversión en centrales y líneas. Algunas compañías que han comentado públicamente las bases del mercado eléctrico –disponibles en el sitio de la Comisión Federal de Mejora Regulatoria– ya se lo hicieron ver a la Secretaría de Energía. Electricidad de Francia (EDF) fue más allá al señalar que el mejor modelo para México, visto el estado y necesidades del sistema, es el modelo de comprador único, que es precisamente el que desterró la Reforma Energética.

PJM es un modelo muy sofisticado que comprende cinco mercados funcionando simultáneamente (energía, potencia, servicios auxiliares, derechos financieros de transmisión y certificados de energías limpias), donde lo que cuenta para ganar es la productividad y la especulación. En cambio, en un

sistema en rápida expansión lo que importa es asegurar la inversión para no limitar el crecimiento; en esas condiciones lo mejor son los contratos PPA (Power Purchase Agreement) de largo plazo que socializan los riesgos y hacen bancables los proyectos. El riesgo de traer a PJM a México es el de traer consigo a especuladores profesionales que conocen bien ese mercado, advierte EDF.

La Sener soslayó que los grandes consultores vienen con el modelo bajo el brazo, con la intención de aplicarlo a raja tabla y con la idea de que el sistema eléctrico debe adaptarse al modelo y no al revés. Para ellos lo importante, además de los abultados honorarios, es vender para seguir vendiendo. A William Hogan le interesa México en la medida que le permita acumular prestigio en su carrera por el premio Nobel. Quizás algún día lo obtenga por sus trabajos en economía de los sistemas eléctricos, pero hoy lo cierto es que el mercado PJM está lejos de ser una maravilla, no funciona como se supone debería de funcionar, especialmente en términos de precios e inversión.

Otro de los cuestionamientos al trabajo de la Secretaría de Energía es la premura injustificada. En la sociedad actual el tiempo es un valor supremo. El tiempo es oro y su pérdida se considera el mayor de los derroches. Sin embargo, las cosas buenas de la vida requieren tiempo y se necesita tiempo para que las cosas salgan bien. Todo proceso tiene una dimensión temporal óptima; no conviene ni precipitarse ni atrasarse por los costos que resultan. El problema es que los tiempos políticos no coinciden los tiempos técnicoeconómicos.

Desde que se aprobó la reforma constitucional se ha visto que el cronograma para implementar el nuevo modelo energético ha sido demencial, al estilo “Rápido y Furioso”. Los cambios ya no se cuecen al vapor sino a las microondas. Todo se está haciendo a la carrera, como si algo muy grave fuera a suceder si no se actuara a toda velocidad. Ningún funcionario público se ha tomado el tiempo para explicar con detalle porque se actúa con tanta prisa, simplemente no tienen tiempo. Van que vuelan con el tiempo encima. Tra-

bajan contra reloj. Lo importante es cumplir con los tiempos políticos entregando algo, aunque el contenido no sea muy bueno, pues “ya habrá tiempo de completarlo sobre la marcha”. Se justifican pensando que a final de cuentas las leyes son perfectibles así como los reglamentos, las disposiciones, las bases, las reglas y los manuales. No quieren recordar que la precipitación deja cabos sueltos, traslapes, huecos, zonas grises e incertidumbre. Por más que algunos funcionarios aseguren que todo está bajo control, que lo están haciendo a la perfección, es difícil desterrar la idea que las cosas se están haciendo “al ahí se va“, con tal de cumplir con el reloj político.

Entendemos, aunque no justificamos, las razones del fast track legislativo que en menos de dos semanas acabó con el monopolio del Estado en petróleo y electricidad. Se buscaba aniquilar cualquier resistencia nacionalista con un golpe sorpresivo y contundente, que precipitara el nocaut del que los opositores no pudieran levantarse. Sin embargo, una vez que la derecha ganó la “madre de todas las batallas” no se explica por qué ir tan rápido.

Algunos ingenuos pensamos que antes de abrir, el Gobierno federal se tomaría el tiempo suficiente, primero, para construir un sólido marco jurídico que garantizara certidumbre y un terreno parejo para todos; segundo, fortalecer al máximo a las instituciones de mercado elemento clave para el éxito del nuevo modelo y, tercero, sanear y reconstruir a las empresas públicas para que pudieran competir en igualdad de condiciones. Esas tareas básicas requerían tiempo. Nos equivocamos. La prioridad fue abrir lo más rápidamente posible construyendo en paralelo el andamiaje jurídico institucional. La precipitación ha sido una característica de la reforma.

Frente a la insistencia de forzar los tiempo para imponer un modelo de mercado incompatible con las especificidades del sistema eléctrico mexicano, es necesario recomendar prudencia en lo que hacen, prudencia en cómo lo hacen y prudencia en el tiempo en el que lo hacen. Con la electricidad no se juega.

JUNIO 2015 | energíahoy | 29

Rn

30 | energíahoy | JUNIO 2015
JUNIO 2015 | energíahoy | 31 ILUSTRACIÓN: ALEJANDRO ESPINOSA

NEGOCIOS PARA PYMES: EL RETO ES ACERCARSE CAPITAL, TECNOLOGÍAS Y UN GOBIERNO CORPORATIVO

32 | energíahoy | JUNIO 2015
TEXTO: PEDRO MENTADO CONTRERAS

Las Pequeñas y Medianas Empresas (Pymes) tienen la oportunidad de transformarse para iniciar nuevos negocios o integrarse a las nuevas cadenas productivas que surgirán en el sector energético con la reforma. En los próximos tres años, el Gobierno federal estima que se abrirá un mercado de 200 mil millones de pesos –1 por ciento del Producto Interno Bruto (PIB)– y se generarán inversiones de alrededor de 62 mil millones de dólares.

Los cambios al marco jurídico abren oportunidades de negocio en la industrias del petróleo y gas, en electricidad y las energías limpias, dice Miguel Ángel Corro Manrique, especialista del sector energético del Tecnológico de Monterrey. “Las oportunidades estarán en esos sectores y los diferentes rubros que se vinculan, pero además un conjunto de negocios se abren alrededor de estas industrias”, considera.

En el sector petrolero, las empresas privadas podrán explorar y extraer petróleo bajo varios tipos de contratos e incluso hacer asociaciones con Petróleos Mexicanos (Pemex), mientras que la refinación, petroquímica y transporte se abren a la competencia, hecho que provocará el nacimiento de canales de negocios para empresas nacionales y extranjeras.

El sector electricidad transita hacia una profunda transformación. El nuevo marco jurídico abre en forma total la generación y realiza una liberación parcial para la transmisión y distribución de energía eléctrica.

Sin embargo, aunque el mercado de la energía está muy activo, valdría la pena hacer la distinción, dice Benjamín Torres Barrón, especialista de Energía de Baker & Mckenzie, pues en la parte de hidrocarburos está muy movida con las licitaciones de la Ronda Uno y las migraciones de Pemex.

Sin embargo, en el área del sector eléctrico no termina todavía de cuajar, y no es porque tenga un defecto sino que la evolución del marco normativo todavía no está debidamente terminado, “falta por ahí un andamiaje regulatorio que se terminará hacia finales de este año. Las verdaderas inversiones en energía eléctrica van empezar a detonar hasta el siguiente año”, dice el Torres Barrón.

En EsE EscEnario, ¿cómo viEnEn Esos nuEvos nEgocios? En la parte de hidrocarburos, como decíamos, las migraciones de Pemex –que van a ser asociaciones de Petróleos Mexicanos con particulares para explotar hidrocarburos, y que antes eran contratos de servicios– ahora van a migrar a contratos de exploración. A finales de año, ya esperamos ver las primeras asociaciones de Pemex con privados, y a mediados y a finales de año empezaremos a ver las primeras adjudicaciones de los contratos exploración y producción bajo la Ronda Uno”.

Hay cosas que con o sin reforma, por ejemplo los proyectos de gasoductos tanto de la Comisión Federal de Electricidad (CFE) y esperemos ya entre en funciones el Centro Nacional de Control de Gas Natural (Cenagas), se van a ver cada vez más proyectos de gasoductos, pero hoy por hoy proyectos convocados por Cenagas no hemos visto, sólo los de la CFE.

A Pemex también lo vemos contratando distintos esquemas más flexibles a través de los contratos, ya lo empezamos ver como en el caso de los gasoductos Los Ramones; creo que es parte de la Reforma Energética, porque la reforma fortalece la estructura de Pemex y el funcionamiento de sus filiales.

Contenido nacional, la puerta de las Pymes

El nuevo marco regulatorio busca conservar el contenido nacional en un 25% de las inversiones del sector petrolero y llegar hasta el 35% en el 2025, explica Miguel Ángel Corro Marique, especialista del sector energético del Tecnológico de Monterrey, un poco para evitar impactos negativos en el empleo con la llegada de inversiones de empresas extranjeras.

Un contenido nacional que se espera de 35% como máximo es muy bueno, explica el economista, pero debería ser del 80%, tenemos oportunidad de hacerlo considerando que casi 90% de las empresas mexicanas son pequeñas y medianas.

“El contenido nacional mexicano es más bajo que lo establecidos en Brasil o Noruega, en ambos países está por arriba de 50 por ciento”, destaca.

Sin embargo, establecer porcentajes más altos, dice Corro Manrique, implica financiamiento, desarrollo e investigación, apoyos, creación de tecnologías propias, y no se tienen: “El mercado es terrible, si no existe alguien viene y lo cubre”.

¿Qué dEbEn dE hacEr las PymEs Para aProvEchar Esto? Las Pymes deben de buscar sus alternativas reales y sus áreas de oportunidad en el sector que participan. La oportunidad es para las empresas que ya están en el sector, las que están vinculadas o las que eventualmente pueden vincularse al sector. Porque hay una serie de tecnologías que no tenemos pero que se van a necesitar, una serie de productos que no tenemos pero que se tienen que producir.

Del total de las empresas Pymes en México, entre 15 y 20% están relacionadas o vinculadas con el sector energético; por tanto, son compañías que necesariamente ya deberían estar buscando una oportunidad real de generar o innovar tecnología vinculada con las necesidades de la población o la industria en el país.

34 | energíahoy | JUNIO 2015

Pymes con las mejores prácticas

Las Pymes que estén en mejores condiciones de formar parte de esta ola de negocios e inversiones son aquellas que que se comprometan con el gobierno corporativo, dice Rubén Cruz López, socio líder de Energía y Recursos Naturales de KPMG en México. “A veces se piensa que por ser Pyme no hay que ser institucional, y ahí es donde podrían tener el hándicap las empresas mexicanas”, añade.

“Si las decisiones de negocios se toman en función de lo que es mejor para la empresa y si los compromisos que se asumen son aquellos que las empresas, aunque sean pequeñas pueden afrontar, podrán jugar un papel importante y aprovechar el boom en el sector”.

Las empresas se tienen que olvidar de hacerlo a la mexicana, explica el especialista de KPMG: “Si las empresas necesitan capital tendrán que buscar un socio, tendrán que compartir el riesgo y los beneficios, pero para poder atraer un socio tendrán que ser institucionales y tomar decisiones

en función de las necesidades de las empresa y no del empresario.

“El gobierno corporativo tiene que estar hacia dentro de la empresas y hacia las compañías con las que se hacen negocios. Es importante trabajar con empresas familiares, que vienen en un periodo de institucionalización, y hay que tomar las decisiones en función de la empresa; todas son familiares, pero lo que las hace dejar de serlo para pasar a ser institucionales es cómo se toman las decisiones y qué se pone en el centro de discusión”, explica.

La implementación de la reforma va a detonar una serie de inversiones en el sector, básicamente en la construcción de infraestructura y eso impacta en la generación de empleos directos e indirectos, y es ahí donde las Pymes se pueden beneficiar, plantea el experto.

Para Benjamín Torres Barrón, especialista de Energía de Baker & Mckenzie, las Pymes del país podrán aprovechar el boom del sector energético a través de nuevos esquemas: “Convirtiéndose en proveedores

Los tres fondos de apoyo a Pymes del sector energía

1. Fideicomiso Público para Promover el Desarrollo de Proveedores y Contratistas

Nace de la transformación del “Fideicomiso Pemex” en el “Fideicomiso Energético”. Tiene como objetivo promover, mediante apoyos financieros y asistencia técnica, el desarrollo de proveedores y contratistas locales y nacionales a través de esquemas de financiamiento y programas de apoyo para capacitación, investigación y certificación, con el fin de cerrar las brechas de capacidad técnica y de calidad, dando especial atención a pequeñas y medianas empresas.

A través de este Fideicomiso, la Secretaría de Economía (SE) implementará las estrategias de fomento industrial de cadenas productivas locales e inversión directa en las industrias eléctrica y de hidrocarburos. El Fideicomiso será el principal vehículo para otorgar los apoyos de la banca de desarrollo, financiamiento y asistencia técnica, para fomentar el encadenamiento de la cadena productiva para incrementar sustancialmente el contenido nacional en las inversiones del sector.

2. Fondo de Servicio Universal Eléctrico

Tiene como objetivo financiar la electrificación de comunidades rurales y zonas marginadas.

Entre otros ingresos, el Fondo se integrará por los excedentes que resulten de la gestión óptima de la energía en el mercado eléctrico, garantizando así la existencia de recursos para financiar los proyectos de electrificación en las comunidades que más lo necesitan.

Los recursos asignados por el Fondo de Servicio Universal Eléctrico serán empleados por los Distribuidores y Suministradores de Servicios Básicos quienes estarán obligados a prestar dichos servicios a las comunidades rurales y zonas urbanas marginadas.

Los fondos que no se ejerzan en proyectos de electrificación se reintegrarán al Centro Nacional de Control de Energía (Cenece) para su uso en futuro proyectos. En el uso de los recursos del Fondo, la Secretaría de Energía establecerá las políticas y estrategias para suministrar electricidad a las comunidades rurales y zonas urbanas marginadas, al menor costo para el país y promoviendo el uso de energías limpias y sustentables.

3. Vehículo Financiero Especializado del Estado Mexicano Sener-Nafin

El Consejo Directivo de Nafin autorizó la aportación de capital por hasta 100 millones de dólares para aumentar su inversión de capital en la Corporación Mexicana de Inversiones de Capital (CMIC), y crear un fondo que funge como un vehículo financiero especializado y que permitirá la participación del Estado para impulsar proyectos del sector energético. Se estima que estos recursos iniciales pueden potenciarse hasta 20 veces (2 mil millones de dólares). La Sener y Nafin coordinarán sus acciones para seleccionar los proyectos a impulsar por parte del Estado mexicano.

El Fondo Sener-Nafin también permitirá a cualquier persona física o moral participar en el desarrollo del sector al invertir recursos en el sector de hidrocarburos y actividades. Con estos fondos se avanza en la implementación de las reformas estructurales.

En particular, estos mecanismos financieros permitirán que la Reforma Energética contribuya al desarrollo de México y a mejorar la calidad de vida de las familias mexicanas.

o subcontratistas de las grandes empresas, que tienen que cumplir con un grado de contenido nacional, en distintos porcentajes en distintos negocios, que tiene como objetivo fomentar esta inversión.

“Por ejemplo, en las primeras convocatorias hemos concluido qué es una convocatoria con opción de producción de yacimientos en bloques ubicados en tierra y cuáles son más accesibles para inversionistas mexicanos, pero tal vez no para las Pymes; no me atrevería a decir qué Pymes, pero sí empresas de origen nacional. Las Pymes tienen que buscar su nicho de negocio”, expone.

Subcontratista, servicios o proveedor de servicios

Desde nuestra perspectiva vemos tres grandes avenidas: una está ligada a la infraestructura para el transporte de gas, ahí viene una cantidad de inversión importante; otra está en la modernización y construcción de infraestructura para las líneas de transmisión de energía eléctrica, y otra –donde se puede abrir mayor espacio para las Pymes– es en la prestación de servicios en las dos anteriores, explica Rubén Cruz, de KPMG en México.

Pensar que la Pyme va participar en los grandes proyectos no es lógico, asegura el experto: “Puede participar en la construcción como subcontratista de alguno de estos grandes proyectos que se han mencionado, pero también puede participar con más fácil acceso si lo hace como prestador de servicios. Alguien que se encargue de los comedores, del suministro de equipo de seguridad, de la gestión del cumplimiento de las obligaciones de seguridad social y hacendarias de las empresas, en la parte de servicios es donde se abre el espacio más amplio para la participación de las Pymes.

“Quién venga a invertir tiene que poner contenido nacional al valor que está generando, eso lo va hacer a través de la contratación de empresas mexicanas y las van a contratar para la prestación de servicios. Es muy difícil que una Pyme empiece a comprar y vender tubería porque no tiene el capital de trabajo para hacerlo, pero sí puede proveer servicios de comedores industriales y crecerlos a una escala importante, porque son menos intensivos en capital”.

Las oportunidades para las Pymes estará en prestar servicios para que las empresas puedan cumplir con el grado de contenido nacional, la oportunidad más grande está en aquellas actividades que sean menos intensivas en capital, asegura el especialista de KPMG.

Sin embargo, las Pymes deben de buscar sus alternativas reales y sus áreas de oportunidad en el sector que participan, explica el economista del Tecnológico de Monterrey, tienen que hacer una

36 | energíahoy | JUNIO 2015

revisión de sus capacidades técnicas y financieras, dos factores clave para entrar en nuevos mercados, pero además tienen que analizar el mercado y las nuevas tendencias en el sector.

De acuerdo con el plan maestro del sector petrolero, se espera aumentar la producción de petróleo de 2.5 a 3.0 millones de barriles diarios en tres años y aumentar la producción de gas natural de 5.7 a 8.1 millones de pies cúbicos por día, y hasta 10 millones de pies cúbicos diarios hacia el 2018.

En el sector electricidad se estima que el consumo nacional de electricidad aumentará en torno al 27% hacia el 2018, con lo que se espera la construcción de 25 mil 100 MW de capacidad adicional; además, el Gobierno federal confirmó su compromiso con la generación de energías limpias en 35% para el 2024.

Sector inmobiliario, uno de los beneficiados

En la primera etapa hay un sector que ofrece negocios con altos rendimientos: el sector inmobiliario.

De acuerdo con Miguel Ángel Corro Manrique, una necesidad de las empresas vinculadas al sector energético, que hoy no existen o que estaban vinculadas a la operación de Pemex, son los servicios para su operación, y de manera regional.

Las necesidades inmobiliarias, por ejemplo, son muy amplias: se necesitan inmuebles para hospedaje, tiendas, edificios corporativos, etcétera. Con la llegada de empresas trasnacionales, como British Petroleum (BP), es de esperarse que les gustará tener incluso un edificio corporativo en Paseo de la Reforma o en Santa Fe, en la capital del país.

Los centros de operaciones y de técnicos se ubicarán en las zonas petroleras y en las de generación eléctrica, en las zonas petroleras en Campeche, Tabasco, Veracruz, o las zonas de electricidad que se ubican en el territorio nacional, pero muchas de esas regiones no cuentan con la infraestructura inmobiliaria, ya sea para la operación o vivienda, explica el analista.

Las zonas de desarrollo inmobiliario están definidas un poco ya por Pemex, con las Rondas Uno, Dos y Tres, añade. Hay zonas específicas de desarrollo inmobiliario en los estados de Campeche, Chiapas, Nuevo León, Tabasco, Tamaulipas y Veracruz para sus centros de operación.

La perspectiva de los proyectos petroleros se ven en el largo plazo e inician con la exploración, explotación y extracción. Lo que sucede entonces, dice, es que vienen familias completas, necesitan casas, tiendas, escuelas, por lo que se abren posibilidades importantes para los negocios inmobiliarios.

Cadenas productivas de insumos

Uno de los sectores con grandes posibilidades para generar, reconstruir o renovar cadenas productivas para un conjunto de empresas pequeñas y medianas es el de las energías alternativas: solar, eólica, hidráulica, en donde existe un grupo de empresas españolas, holandesas, estadounidenses, que van a llegar a México y que no tienen una cadena de insumos para su operación y no necesariamente se tienen que importar, dice el experto del Tecnológico de Monterrey.

Las asociaciones empresariales tienen una oportunidad y la obligación de ayudar en la transformación de las empresas y a la construcción de las cadenas productivas que soporten el cambio, particularmente las Pymes, y descubrir así las oportunidades reales de negocio.

Las Pymes tendrán que trabajar para construir las cadenas productivas para generar insumos de alta calidad y de bajo costo así como buscar el financiamiento y la capacidad técnica para competir, agrega.

El gran atractivo está en la operación de la Reforma Energética, que abre las oportunidades reales a las Pymes. Los componentes, las celdas, los artefactos vinculados a este tipo de ingenierías, podrían encontrar un nicho importante competido por empresas extranjeras, que pudieran generar cadenas productivas que no se tiene para llegar al porcentaje del contenido nacional, expone.

Los costos de la transformación, sobre todo para atender las necesidades de los mercados, en donde no hay tantos competidores y ubicar un nicho importante de mercado, pueden ser captados por las pequeñas y medianas compañías del país, afirma.

Nuevas tendencias de mercado

En el entorno de la transformación del sector también está cambiando el escenario de consumo futuro de la población, comenta el economista del Tecnológico de Monterrey. Por ejemplo, en alguna parte de la ley se estipula la salida del mercado de los focos incandescentes, y hoy las empresas están transformando su producción de focos de incandescentes a LED; en ese sentido, las empresas tienen que estar pendientes de las nuevas tendencias de consumo de la población.

Sin embargo, uno de los problemas en la transformación de este patrón de consumo es que las lámparas LED son muy caras, y es que una parte muy importante de sus componentes y su tecnología son caros y no se tienen, pero todas las empresas vinculadas en la producción tienen que empezar a cambiar su producción: “Las empresas tienen que valorar qué es lo que tienen que ajustar en su línea

38 | energíahoy | JUNIO 2015

de producción antes de quedar fuera del mercado.”

Ante el reto que plantean los mercados, las empresas tienen que buscar centros de desarrollo e innovación de tecnologías, que pueden estar en las universidades y tecnológicos, para que les ayuden a desarrollar nuevos productos, que les digan a las empresas que productos o servicios en base a las capacidades de las compañías pueden sacar al mercado y ofrecerlo a los corporativos que vienen por los grandes proyectos, dice.

Las empresas tienen que ver “cuáles son los productos que van estar en los mercados y cuáles no van estar, y en función de eso saber si pueden hacer la transformación inmediata en el producto final, que demanda o demandará el mercado. Además tienen que valorar los costos que implica hacer ese cambio”, explica.

A partir de eso, deben saber cuánto se necesita de financiamiento, porque de nada sirve adquirir tecnología si no se va tener la demanda de producto, y el futuro debe verse a cinco, 10 y más años.

En el escenario de largo plazo, afirma, hay una política de sustitución de las energías fósiles por las energías renovables, y se necesitan productos y servicios que ahorren energía.

“Habrá otros productos e insumos que no será fácil obtenerlos en el mercado y que los traemos de fuera, pues no hay posibilidad de garantizar la producción de esos insumos; a lo mejor presenta áreas de nuevas de negocios para estas pequeñas y medianas empresas que hoy, por estar en la dinámica cotidiana –sí vende o no vende, sí tiene liquidez o no–, pierde esa perspectiva de largo plazo”.

Hay que revisar, considera, el comportamiento del mercado pero también las nuevas tendencias marcadas en la Reforma Energética. Lo que sí es claro es que los consumibles tienen que ser más ahorradores y eficientes, afirma.

Retos y riesgos en el entorno

En el escenario de los nuevos negocios, las Pymes enfrentan riesgos y retos, explica el

abogado de Baker& Mckenzie: “Los riesgos son los que enfrenta cualquier otra empresa nacional y extranjera, hay un riesgo de capital, uno por falta de know how, y estas empresas requerirán de capacidad técnica y financiera importantes; son negocios complicados, son negocios complejos, pero que me parece que muchas de esas compañías haciendo su tarea van estar preparadas para competir en los nuevos mercados que se abren”.

Otro reto es el acceso al financiamiento, dice Rubén Cruz de KPMG, pues se debe entender acceso al financiamiento como complemento al capital. Tiene que haber un capital inicial base de la empresa, y después ir a la banca de desarrollo o a la banca comercial y solicitar financiamiento para cumplir con las obligaciones que adquieran y ofrecer los servicios comprometidos. Lo que no se debe pensar, dice, es que el financiamiento va ser sustituto del capital, porque ahí vienen los problemas.

Las Pymes, considera, tienen que establecer un balance entre oportunidades y capacidades. Y es que algo es una oportunidad siempre y cuando tienes la capacidad para acometerla. Si las Pymes quieren participar en las grandes obras y las grandes inversiones, porque es una oportunidad, pero no tienen la capacidad financiera ni de capital humano, entonces no es una oportunidad.

“Las Pymes están invitadas a evaluar sus fortalezas y capacidad y, en función de eso, buscar en qué parte de la cadena se puede participar, y que realmente puedan capturar la oportunidad que esté acorde a sus capacidades”, plantea.

No hay números de cuántas Pymes pueden aprovechar estas oportunidades, pero son muchas y además son empresas que pueden crecer y son una fuente de futuras grandes compañías. Obviamente unas serán más exitosas que otras, pero las cantidades de inversión que se manejan dejan ver el tamaño de la oportunidad futura, expone.

El 55 por ciento del Plan Nacional de Infraestructura 2014-18 va a financiar proyectos de energía y esos son alrededor de 260 mil millones de dólares; de éstos, dos terceras partes se espera que vengan del Gobierno federal y una tercera parte de la iniciativa privada, todo lo que se va a detonar alrededor de esa inversión es muy amplio, ejemplifica.

Financiamiento, el catalizador del crecimiento

Hasta ahora el capital privado no ha invertido tanto en energía porque era un sector totalmente cerrado, reservado para el Estado, dice Oscar Silva de KPMG, “pero a partir de la reforma hemos sido contactados por muchos fondos del extranjero que

se especializan en energías renovables, en perforación de pozos, en transporte de petróleo o de gas, que están interesados ahora en aportar capital”.

La falta de interés era una cuestión de mercado, sin embargo ahora que se hizo la reforma y se vayan consolidando los proyectos de Ronda de la Comisión Nacional de Hidrocarburos (CNH), vamos a ver la entrada de fondos a ofrecer capital para los proyectos, afirma.

“Nosotros nos hemos reunido con varios que quieren entrar y que los vamos a ver operando en los próximos años”, dice. Los capitales están a la expectativa de los negocios que ya se empiezan abrir, agrega el consultor de KPMG. Entre ellos, destaca,todos los servicios relacionados en el sector petrolero, gas y electricidad, una vez que las grandes empresas empiecen hacer las primeras inversiones.

Todas las plataformas petroleras, por ejemplo, necesitan un comedor industrial especial y se necesitan empresas que ofrezcan este tipo de servicios, ahí hay una oportunidad clara: requieren servicios de lavandería, algo a lo que las Pymes pueden tener acceso, o servicios un poco más complejos como transporte en barcos, etcétera.

Aunque los proyectos específicos están reservados a un menor número de inversionistas, por la cantidad de recursos que necesitan y la especialización, hacia abajo detona muchas otros requerimientos y en cosas tan sencillas como comedores, lavanderías, uniformes industriales, otras cosas que necesita la operación de las empresas.

En ese escenario de apertura y transformación del sector energético, dice, el Gobierno federal se coloca como un catalizador del crecimiento de las pequeñas y medianas empresas con tres fondos de apoyo: el Fondo Público de Financiamiento de Proveedores y Contratistas; el Fondo de Servicio Universal Eléctrico y el Vehículo Financiero Especializado del Estado Mexicano Sener-Nafin.

Hace unos meses, el Secretario de Energía, Pedro Joaquín Coldwell, anunció que el Fondo Público de Financiamiento de Proveedores y Contratistas cuenta con un presupuesto de 500 millones de pesos para 2015, para otorgar créditos a las Pymes, con lo que se busca generar cadenas de valor para el desarrollo del sector.

Nacional Financiera (Nafin), que dirige Jacques Rogozinski, se encargará de destinar y aportar los recursos del Gobierno federal para apoyar a las Pymes, la banca de desarrollo podrá otorgar créditos a las Pymes a bajo costo e incluir empresas nuevas sin historial crediticio. Nafin garantiza 50 por ciento de todos los créditos que van dirigidos a las Pymes que dan las instituciones privadas.

40 | energíahoy | JUNIO 2015

Precio del crudo no afectará la Reforma, confían en EY

EY es una de las principales consultoras del mundo y en México está jugando un papel de soporte para las diferentes empresas que están interesadas en participar en el sector energético mexicano y sus nuevas reglas.

Como empresa especialista en temas como actuaría, contabilidad y finanzas y con presencia mundial, es un parámetro para comparar la posibilidad de negocios que existen en México respecto a los demás países donde hay oportunidades de invertir.

Sobre las condiciones que se están presentando en México, Alfredo Álvarez Laparte, líder del Sector Energético para México en EY reconoce que es el país está en un proceso relevante a nivel mundial.

“Es la primera economía de este tamaño que se anima a hacer una apertura petrolera en cuanto a extracción y producción, al mismo tiempo que una liberación total de midstream y downstream. En adición una reforma sustancial a toda la estructura eléctrica del país. Sin lugar a dudas son momentos para el país sumamente relevantes”, asegura.

Con la experiencia de su empresa en el ámbito global reconoce que en otros países, al ejecutar medidas parecidas se han presentado experiencias donde hay aciertos y errores.

“Hasta el momento la reforma energética mexicana se antoja que se ha ido diseñando bien. Evidentemente hay situaciones que se han complicado durante el proceso, pero en general, diría que hay un gran reto ante nosotros, y un gran reto como mexicanos. Hace un año pocas personas sabían de estas situaciones, muy pocas”, comenta el entrevista.

42 | energíahoy | JUNIO 2015
TEXTO: PABLO ALATRISTE GALVÁN

“Sí da un poco de coraje es ver que el problema del petróleo se debe a muchos países se pusieron las pilas y produjeron su petróleo mientras que México, que tiene una riqueza bestial, al contrario dejó un millón de barriles en la mesa de la demanda mundial y ha reducido su producción en menos de ocho años”.

JUNIO 2015 | energíahoy | 43
ALFREDO ÁLVAREZ LAPARTE, LÍDER DEL SECTOR ENERGÉTICO PARA MÉXICO Y CENTROAMÉRICA DE EY FOTO: JOSÉ ANTONIO CRUZ

Para Álvarez Laparte el país se encuentra en un momento de transformación en el que tenemos que aprender una nueva perspectiva del sector energético, porque ya no se trata de un asunto entre la Comisión Federal de Electricidad y Petróleos Mexicanos: “Ahora son la CFE, Pemex y todos los demás”.

Reconoce que anteriormente la iniciativa privada sí podía invertir en estos rubros, pero eran en asignaturas relativamente limitadas, pero más que privatizaciones se trataba de inversiones con privados.

La intención es tener en México un equipo de entre 200 y 250 expertos enfocados al mercado energético. De hecho EY divide el sector en tres segmentos: Petróleo y Gas, Power and Utilities que es electricidad y, por último, el segmento de Minería.

Los especialistas de la compañía se han abocado a estudiar mucho todos los cambios, a la par que han venido extranjeros de la firma para ayudarles a desarrollar su mercado. “Hemos estudiado las leyes y nos hemos sentado con todos los actores relevantes del gobierno, participando en los foros que consideramos relevantes, de tal forma que comenzamos a compartir conocimiento y a acrecentarlo”, añade.

Las oportunidades Alfredo Álvarez reconoce que las expectativas que ha generado el país son grandes. Considera que la reforma era muy necesaria, que se puede estar en acuerdo o no con algunos de sus detalles. “Se puede estar en desacuerdo con los tiempos de la ejecución, pueden decir que llegamos tarde a la fiesta, llamando fiesta cuando la cotización del petróleo estaba en 100 dólares por barril. Pero nosotros no lo vemos así”. Argumenta que el mercado petrolero está acostumbrado al ir y venir en los precios del crudo. Asegura que las épocas de petróleo barato son de oportunidades. “Cuando dicen que es un mal momento tener la reforma en este instante, yo contesto que podría ser mucho peor que se hubieran dado las primeras rondas de licitaciones y ahí viniera la caída del petróleo”.

Hubiera sucedido –añade– que las empresas recién llegadas estarían tronando. Al presentarse durante una racha de precios bajos permitirá acrecentar la industria petrolera y revertir la tendencia.

La asesoría

Ante este nuevo escenario EY se encuentra también en una fase de aprendizaje sobre toda la regulación que se desprende a raíz de los cambios constitucionales aprobados el año pasado.

“¿Qué estamos haciendo nosotros? Aprendiendo y tomando ventaja de nuestra estructura mundial, nuestra firma es líder en el tema de energía a nivel mundial, asesoramos a muchos gobiernos y empresas de otros países en procesos similares y lo que estamos intentando en México es crear un grupo de expertos que realmente sepa de estas industrias”.

Estamos trayendo, explica, ese know how a México para absorberlo y así generar equipos especializados, pues nosotros tenemos 12,000 profesionales especializados en energía en el mundo, en las diferentes áreas, pues los temas de Petróleo y Gas tienes sus peculiaridades diferentes a las del sector Eléctrico.

“Lo que sí da un poco de coraje es ver que el problema del petróleo se debe a muchos países se pusieron las pilas y produjeron su petróleo mientras que México, que tiene una riqueza bestial, al contrario dejó un millón de barriles en la mesa de la demanda mundial y ha reducido su producción en menos de ocho años”, asevera.

Es un momento, asegura, en que no sólo en el ámbito petrolero habrá cambios. Es el gran momento para desarrollar toda la infraestructura de transporte y almacenamiento. “Es ridícula nuestra capacidad de almacenamiento y también es importante desarrollar la industria que nos permita tener petroquímicos baratos que le den competitividad al país, pues toda nuestra competitividad se ha basado en la cercanía con Estados Unidos y nuestra mano de obra relativamente barata, para es momento de lograr que nuestra competitividad sea por tener energéticos baratos”.

44 | energíahoy | JUNIO 2015
FOTO: JOSÉ ANTONIO CRUZ

Para ello necesitamos una industria petroquímica más avanzada, necesitamos más inversiones en petroquímica, comenta.

En electricidad hay mucho por mejorar. La CFE ha venido tomando varias acciones. Pero sin lugar a dudas la generación de electricidad entre privados más los esquemas de coinversión en transmisión y distribución van a ayudar mucho. Hay mucho que hacer para bajar las tarifas eléctricas porque es otro factor que le pega a la competitividad de una forma bestial.

Nosotros dentro de ese movimiento en el país lo que queremos es ver cómo podemos ayudar a nuestros clientes en las dos vertientes, tanto el gobierno por un lado como uno de nuestros clientes para ayudarle a desarrollar regulaciones y procesos que permitan tomar una mayor ventaja a esto, como del lado privado para ayudarle a las empresas a detectar dónde están las oportunidades de negocio y a ayudarlas a participar en las licitaciones petroleras.

¿Mal momento?

Sobre la caída de los precios del petróleo, reconoce que es “parte del show”. Reconoce que bajo el panorama mundial se cuestiona si la Reforma Energética llegó tarde o no a la fiesta y que la respuesta será por un lado sí y por el otro no.

“Evidentemente el número de tiradores va a ser menor, pues habrá menos compañías con dinero para invertir, pero no será la falta de ganas, sino la falta de recursos. Dentro de la industria petrolera hay muchas empresas con balances muy sanos y ahorita lo ven como una oportunidad de buscar buenas ofertas que le permitan incrementar su pedazo de mercado”.

Para el íder del Sector Energético para México y Centroamérica de EY, una señal importante que se recibió en los primeros pasos de la Reforma, fue contar con el interés de 22 compañías que se registraron en la primera Ronda de exploración en aguas someras-

“No se estaba pidiendo cualquier cosa. Estamos hablando de compañías que deben tener un capital de más de mil millones de dólares, lo cual deja a muchas fuera. Otro punto es que debían tener experiencia en el desarrollo de proyectos de aguas someras, lo cual reduce el universo. No se trató de la Ronda más popular”, detalla.

Considera que esto refleja el interés que hay en México por la diversidad de opciones y campos para explorar. Sabe que los precios del petróleo no ponen obscuro todo el panorama, porque la industria petrolera no se basa en los escenarios de un solo día, siempre se basa en el mañana.

“Sobre todo cuando hablamos de upstream, donde los márgenes son más altos. Por lo menos se tardarán tres años en determinar si hay petróleo en los bloques que se están licitando y ahí va a ver procesos para ver qué tan viable son esos campos para comercializar. Luego se empezará a invertir en la extracción. Si bien nos va, esos campos empezarán a producir petróleo en 2019, por lo que los precios actuales del petróleo sólo afectan cuando tu capacidad financiera no tiene capacidad para desarrollar estos gastos”, menciona.

El inconveniente se da, cuando las petroleras tienen que reducir sus presupuestos de exploración y eso se refleja en una competencia más férrea. Por ello el país debe entender la coyuntura y ofrecer las condiciones que permitan, dentro de ese presupuesto

reducido, estar dentro de los proyectos de esas empresas y atraer la inversión que es lo que se está buscando para revertir la tendencia de la disminución de la producción.

Petroprecios

“Se debe pensar en qué precio tendrá el crudo en el tiempo en que estarán operando estás inversiones. Tú pregúntale a cualquier analista, si bien hay quienes han querido jalar la nota diciendo que el precio del barril rondaría los 20 dólares, que si bien es un mercado con mucha especulación, pero las cuestiones estructurales no están dada para eso”, comenta Alfredo Álvarez.

Sí hay una oferta mayor a la demanda mundial, pero es un diferencial de 1%, añade. Hoy se consume un aproximado de 92 millones de barriles diarios de petróleo, y se producen 93 millones, y también explica: “Pero no es que estemos inundados con 20% de sobreoferta. El diferencial que hay provoca que haya petróleo no colocado que haga bajar los precios para desplazarlo, pues para un país o un productor un millón de barriles sí representa mucho inventario. Por eso no creo que llegue a los 20 dólares el barril”.

Los escenarios que en E&Y están previendo existe uno pesimista en el que se espera que el barril Brent, que es un poco más caro que la mezcla mexicana, se estabilice alrededor de 60 dólares. Tienen un escenario moderado razonable en el que están la mayoría de las apuestas, donde el petróleo se empezará a estabilizar alrededor de 70 dólares. Y existe la perspectiva súper optimista en el que llegaría a colocarse, durante este 2015, en 80 dólares, pero ese se ve poco probable.

“Sí se ve un petróleo en los 80 dólares para finales de 2016. Pero todo esto no es extremadamente preciso”, añade.

Por ejemplo, no creo que la CFE, ni México en general, deba tomar decisiones de inversiones basados en una coyuntura, de un precio actual, sobre todo si estás hablando de inversiones de este tamaño, de hecho, las licitaciones de CFE han continuado, están bajo calendario y esto quiere decir que no se ha modificado.

Sin Shale

Para el especialista, en México no se desarrollará la industria Shale en el corto plazo. “No veo haciendo shale a nadie en México, por el momento, si se llega a estabilizar el petróleo arriba de los 70 dólares y da confianza de que ahí se va a mantener, yo creo que no vamos a ver ese tipo de proyectos. Al shale en México le faltan varios elementos. Necesitamos tener más agua, más infraestructura y ver cómo nos va con los temas de propiedad de la tierra”.

De acuerdo con el entrevistado, el Shale no es el punto modular en México. Reconoce que Estados Unidos desarrolló esa industria porque ya se había agotado todo lo demás recursos.

“Son tan eficientes explotando los recursos que ya se lo habían agotado. México tiene suficientes recursos y mucho más baratos que el Shale que hacen que sea de los últimos recursos en explorar. Si te das cuenta en la primera Ronda sólo había cinco bloques no convencionales”, platica.

Las mineras en sus procesos vas encontrando gas y s Sólo necesitarán los medios para comercializarlo, pero no es muy atractivo si la cotización en Estados Unidos es de tres dólares.

JUNIO 2015 | energíahoy | 45

Cuando la Reforma tome curso llegará el crecimiento en energía y telecomunicaciones,PREVÉ GE

Con la Reforma Energética –aprobada en diciembre de 2013– no llegó el crecimiento anunciado de inmediato. Durante 2014 se aprobaron las leyes secundarias y luego sobrevino la caída en el precio del petróleo, que detuvo la mayor parte de las inversiones en petróleo y gas en México.

Los proyectos para modernizar las refinerías y mejorar sus procesos productivos se detuvieron. Se espera que 2016 y quizá 2017, aún sean años de ajustes.

En la sede del corporativo de General Electric (GE) en Santa Fe, Ricardo Moreno Díaz, director general de General Electric (GE) Industrial Solutions, conversa con Energía Hoy y apunta que el crecimiento que se prevé en manera general en el mercado que la compañía atiende será de 18% en los próximos años. Algunos nichos como el de telecomunicaciones crecerá entre 25 y 26%, por lo que este jugador proveedor de sistemas de automatización en el sector energético y de manufactura, espera con apetito a que algunos puntos de la reforma

se destraben, para entrarle con todo, por ejemplo, al negocio de los vehículos eléctricos, una de sus apuestas a nivel mundial.

***

con la rEforma EnErgética, ¿cómo sE PrEParan? ¿Qué invErsionEs tiEnEn En PuErta?

Las reformas estructurales y la Energética sí representan una oportunidad importante para el crecimiento del Producto Interno Bruto (PIB) en el país. Vemos que existirá una mayor apertura a plantas que van a regresar a México con un precio energético más competitivo, que permitirán hacer proceso aquí para exportaciones. La inversión que se dará en proyectos de generación de energía nuevos, la apertura que se está dando para que los particulares puedan, de una forma más eficiente, más fácil tener cogeneración y la apertura del petróleo y gas, va a sobrepasar mucha de la capacidad que existe en México. Es muy importante capacitar a personas para la demanda de mano de obra. En nuestras áreas de especialidad estamos buscando cómo podemos garantizar que exista el capital humano para poder llegar a esos niveles.

En segundo lugar: definitivamente la capacidad de respuesta que tienen que tener los proveedores de energía como GE, va a incrementarse en diferentes ramos. Regresamos a la parte de petróleo y gas: actualmente para perforación de pozos existen ciertos competidores a nivel mundial, que tienen cierta capacidad de producción, y que esa capacidad de producción de cierta forma está completa con lo que el mercado demanda. Actualmente los bajos precios del petróleo han disminuido las inversiones, pero

46 | energíahoy | JUNIO 2015

una vez que esto se reactive, se tendrá que tener algún tipo de manufactura local de muchos de esos procesos, para poder satisfacer las necesidades. Lo mismo sucede en la parte de la demanda que va a existir en productos de distribución y control eléctrico.

El reto es cómo podemos hacer el caso de negocio necesario para tomar la decisión de invertir en procesos productivos en México y generar esos bienes que van a ser consumidos con la expectativa que se tiene de crecimiento. México hoy cuenta con un sistema energético que no está sobrepasado, la capacidad de generación satisface las necesidades y demandas actuales, pero eso va a cambiar.

Los proyectos de energía solar y eólica vendrán a demandar tecnología. Hoy estamos desarrollando proyectos con la Iniciativa Privada (IP) y con universidades para ver cómo hacemos más fácil el acercar ese tipo de tecnologías a particulares para generar energía eléctrica.

Habrá más apertura a la introducción de autos eléctricos. Hemos tenido conversaciones con distintas armadoras, se han hecho proyectos piloto.

¿En cuánto tiEmPo PodEmos tEnEr autos Eléctricos? ¿más EstacionEs dE rEcarga, Por EjEmPlo?

Depende de las legislación que se tenga en materia de venta de energía eléctrica. Pensar que se hicieran estaciones de carga públicas. Sería muy aventurado decir un tiempo; sin embargo, no creo que

JUNIO 2015 | energíahoy | 47
El reto es cómo podemos hacer el caso de negocio necesario para tomar la decisión de invertir en procesos productivos en México y generar esos bienes que van a ser consumidos con la expectativa que se tiene de crecimiento. México hoy cuenta con un sistema energético que no está sobrepasado, la capacidad de generación satisface las necesidades y demandas actuales, pero eso va a cambiar.
RICARDO MORENO DÍAZ, DIRECTOR GENERAL DE GENERAL ELECTRIC (GE) INDUSTRIAL SOLUTIONS.
FOTO: CORTESÍA GE

sea algo que pueda suceder, si no existe un marco regulatorio diferente que permita que los particulares puedan hacer algún tipo de comercialización de energía eléctrica. En la Reforma Energética no se tocó. Sabemos que está en la agenda de la Secretaría de Energía (Sener) y del Gobierno federal. Hemos tenido reuniones con la CFE [Comisión Federal de Electricidad], se ha mostrado apertura para ver el tema y es algo que no sólo está impulsando GE, sino las armadoras. Vamos a tener que esperar a que la reforma que ya se aprobó empiece a funcionar, los organismos regulatorios de energía eléctrica empiecen a tener mucha más participación en el proceso de energía, para ver que exista algún tipo de concesión o marco regulatorio para tener a la IP invirtiendo en crear estaciones de recarga.

l a r E forma E n E rgética s E E nfocó a los hidrocarburos las gasolinEras dE PEmE x [P E tról E os m E xicanos ] ahora t E ndrán comPEtidorEs, ¿Estarían PrEviEndo algo similar con las EstacionEs dE rEcarga? ¿la rEgulación como Está las PonE al nivEl actual dE la franQuicia PEmEx?

Sí, así es. Si nosotros analizamos cuál es la parte fundamental de la Reforma Energética en relación a energía, generación de energía y distribución de energía nos damos cuenta que la transmisión, la distribución y la venta sigue siendo potestad de la CFE.

Si hacemos un análisis de lo que sí se incluyó en la venta de combustibles, si lo hacemos en la parte de energía eléctrica, podemos ver un espacio para pensar que alguien se animará a hacerlo. He tenido pláticas con empresas que son concesionarias de Pemex y que tienen gasolineras actualmente, con un interés genuino en invertir en poner estaciones de carga eléctrica. Están tratando de acercarse

al Gobierno federal e incentivar para que se discuta el tema. Esto permitirá una mayor apertura en inversión, porque eso implicaría mayor inversión probada para traer infraestructura y una adopción masiva de los vehículos eléctricos.

¿Qué tanto ha disminuido El PrEcio dE los vEhículos Eléctricos? Todavía tienen un precio que para algunos puede parecer no atractivo. En México no existe todavía la rampa de disminución del costo del vehículo, pero si se hace un análisis del costo de un auto con gasolina, el eléctrico puede ser una buena opción. Nosotros pusimos cargadores aquí en Santa Fe y estuvimos probando. Vimos un diferencial en nuestro recibo que no significó ni el 1 por ciento. Por menos de 30 pesos, hay una autonomía de 100 kilómetros.

ahorita QuE hablamos dE las oPortunidadEs dE nEgocio Para la EmPrEsa, ¿Qué tanto crEcErá El mErcado Para ustEdEs?

Los mercados que nosotros servimos tendrán un crecimiento de doble dígito: entre 17 y 18% en el mercado general, si juntamos todos los mercados. Es algo muy elevado de lo que será el crecimiento del país. Algunos dicen que crecerá entre 2 y 3 por ciento. Que con las reformas puede crecer hasta 4.5 por ciento. Si hablamos de que nuestros segmentos pueden llegar a crecer 18%, es una oportunidad interesante. Si lo vemos por nichos, tenemos soluciones para la industria de telecomunicaciones, donde brindamos la parte de energía para los sitios de telecomunicaciones, data center. Ese mercado con las reformas puede crecer entre 25 y 26% sostenido de forma anual en los próximos tres años.

En sus solucionEs Para oil & gas, ¿cuánto Estiman crEcEr? Es difícil hacer esas proyecciones. Las expectativas globales de la primera mitad de 2015, estuvieron abajo de los que nosotros habíamos visto en nuestro planes de largo plazo y eso no es solo a nosotros, es algo que ha sucedido a nivel global por la caída del precio de petróleo. Pero en la parte de México pensamos que nuestro negocio pueda llegar a duplicar las ventas que estamos teniendo ahora en tres años, una vez que se destrabe. Hay inversiones que se tenían para la modernización de las refinerías. Todos los procesos y proyectos de diesel de ultra bajo azufre, que fueron iniciativas que han sido postergadas. Si teníamos contemplado un incremento en la participación en la parte de refinerías, fueron retrasadas y van para le próximo año, ahí es incierto verlo. Una vez que las aguas se calmen, podremos medir el potencial, que hay mucho.

¿cuánto tiEmPo llEvará Para QuE sE EstabilicE? Hay quienes dicen que hasta 2017 estaremos con estos bajos precios de

48 | energíahoy | JUNIO 2015

petróleo. Hay que ver qué es lo que sucede. En México hubo cierto impacto, pero México tuvo precauciones, habrá que estar atentos con cómo se comporta el mercado intencional. Hay que ver qué es lo que pasa con todos los proceso de shale gas & oil de Estados Unidos, ver los ambientes político-económicos de diferentes partes del mundo. No hay fecha. Lo que sí te puedo decir es que independientemente del tiempo que nos lleve, esto no se acaba. Existen empresas como Petrobras y Pemex, que tienen procesos productivos y quieren ver en dónde disminuir su consumo energético.

Si antes, en la época de bonanza era ver cómo invierto para sacar más petróleo, porque lo voy a vender cargo; se olvidaba el cómo optimizo mis procesos para que la refinación, exploración y extracción sea de una forma más barata.

Hoy cambió. Hay pozos que prefieren que tengan una producción menor.

¿tiEnEn algún monto dE invErsión Para Estos años?

Sí existen proyectos de inversión como corporativo en México, que van como el aumento de personal en sistemas de ingeniería, no tengo el monto exacto.

En un momento de la entrevista con Energía Hoy Ricardo Moreno exploró uno de los avances tecnológicos más importantes para la

industria del presente y del futuro: las fábricas inteligentes o la llamada “Manufactura 4.0” que permite ahorros de hasta 35% en el consumo energético y 50% en costos por tiempos muertos y salidas de producción.

Con la caída del precio del petróleo, explica el directivo, empresas del sector energético como Pemex, apuestan por hacer más esbeltos sus procesos. Pero hay una tendencia a nivel global, en donde México no está al margen, para automatizar y optimizar los procesos productivos de la industria en general.

La misma General Electric está en proceso de transformar en fábricas inteligentes a 14 plantas industriales suyas en el país. La compañía prevé que la tendencia se extienda en unos años.

¿cuálEs son los ProyEctos En innovación

QuE tiEnE la EmPrEsa En méxico?

La división a la que pertenecemos nosotros, es el brazo dentro de los negocios industriales de la energía de GE, que se

JUNIO 2015 | energíahoy | 49
***
FOTO: CORTESÍA GE

enfoca a la distribución y control de la energía eléctrica.

La tenencia en el manejo de energía eléctrica va alrededor de eficiencias operativas, la utilización de procesos productivos y una iniciativa muy importante y nueva, es la que tiene que ver con uso del internet para hacer que las máquinas y las personas se pueden comunicar constantemente y tener un mundo eficiente.

En México estamos analizando todos esos procesos para hacer un esquema conectado, que pueda servir para tener un proceso de optimización que se traducirá en ahorros en consumo de energía, en evitar tiempos muertos, en mantenimiento, incrementar la seguridad en las áreas de trabajo.

¿hay una tEndEncia a las fábricas intEligEntEs? Sí.

¿cómo va Esa tEndEncia mundial En méxico? El concepto de manufactura inteligente o brillante, tiene como función el tener sistemas productivos eficientes y rápidos, pero también tiene el objetivo de disminuir todas las posibles fallas que en manufactura se pudieran dar y el disminuir los costos de fabricación, eso se logra a través de un diseño para la manufactura. En México tenemos un centro de excelencia para la parte de distribución eléctrica de alta tensión en Monterrey [Nuevo León]. Esa planta se está consolidando. Por ejemplo uno de los proyectos de manufactura inteligente –y que es algo totalmente innovador–es la línea de productos de tableros de distribución de caja tensión. En la manufactura normal es tener estaciones de producción, corte, materiales, pinturas y luego ensambles en celdas de manufactura. Lo que tenemos ahora

es homologado un poco al proceso de la industria automotriz, que tiene líneas de producción móviles. Hemos creado líneas de manufactura móviles, hergonómicas para los empleados.

¿En méxico Qué tantas Plantas Están adoP tando EstE tiPo dE tEcnología?

Nosotros tenemos 14 plantas de manufactura que vienen desde sistemas médicos, de control industrial. Todas esas plantas tienen ya iniciaron un proceso para ser plantas inteligentes. Hay un primer paso para hacer una manufactura brillante, lo que sigue es el proceso de automatización. Cerca de 10 plantas ya tendrán un software que permitirá hacer un análisis de los procesos de manufactura y su consumo de energía. También ya algún tipo de comunicación entre hombre y máquina.

EstE concEPto dE fábricas intEligEntEs, ¿En cuánto tiEmPo PEnEtrará En El mErcado?

Es una iniciativa que hacemos para hacer nuestros procesos de manufactura más inteligentes y más rápidos. En unos cinco años el 100% de nuestras plantas en México van a contar con este sistema. Cuando ya hablamos de penetrar en el mercado, a la industria general, ahorita estamos en algunos procesos, como en la industria siderúrgica.

Hay clientes como Tenaris que está tratando con procesos enfocados a la conectividad. El mismo Pemex tiene el sistema central de monitoreo de energía, que está recabando todas las variables posibles para que sus procesos sean automatizados.

Nosotros vemos el concepto de plantas brillantes en diferentes etapas. Hemos penetrado en procesos productivos generales. El siguiente paso es, cómo haces que esa optimización la puedas llevar a conectarla a través del Internet.

¿Qué ahorros sE PuEdEn lograr En una Planta?

El primer ahorro directamente visto y sentido, en el consumo, en sistemas de iluminación, de energía que se utiliza para mover bandas, motores. Si tienes un proceso productivo monitoreado y utilizando la cantidad de energía adecuada, el consumo puede llegar a disminuir en un 30 y 35% en una forma casi inmediata.

Con una planta inteligente, con modelos predictivos que te pueden evitar llegar a una salida de producción, todos los costos de tiempos muertos, hasta un 50% en costos.

En la siderúrgica si un alto horno se para unas dos horas, el costo es altísimo. Muchos de los presupuestos de los clientes cuentan con un rubro para salidas de producción. Con una planta inteligente, el ahorro es considerable.

50 | energíahoy | JUNIO 2015

FINANCIERO 10 de junio de 2015

Análisis La CFE lanza al mercado un bono por US700 millones

La Comisión Federal de Electricidad (CFE) colocó en junio un bono por 700 millones de dólares, el cual forma parte del programa regular de financiamiento 2015.

Dicha operación consistió en una emisión con un cupón fijo de 6.125 por ciento y un plazo de 30 años, destacó la ahora Empresa Productiva del Estado.

El bono tiene la calificación Baa1, BBB+ y BBB+ de las evaluadoras Moody’s, Standard & Poor’s y Fitch Ratings, respectivamente y se seleccionaron tres banco colocadores: Goldman Sachs, Bank of America Merryl Lynch, y BBVA.

Durante el proceso de la emisión, en tanto, la base de inversionistas fue por fondos de inversión, fondos de pensiones, instituciones bancarias, así como aseguradoras internacionales.

A su vez, refirió la CFE, los recursos obtenidos me -

diante estos bonos los destinará a capital de trabajo, fines corporativos, así como a fortalecer los procesos de generación de energía eléctrica, y a la modernización de su infraestructura de generación, transmisión y distribución.

Por otro lado, la empresa instaló también el Consejo de Administración de CFE International LLC (CFEi), que será su primera empresa filial internacional y que tiene el propósito de comercializar energía, gas natural, carbón y otros combustibles en los mercados internacionales.

La habilitación de la filial forma parte de la estrategia de la empresa eléctrica para maximizar la creación de valor y transformarse en una empresa energética integral, acorde con las nuevas facilidades que le otorgó la Reforma Energética, cuya reglamentación se aprobó hace un año.

JULIO 2015 | energíahoy | 53 MEDIDOR SPOTS PRODUCTO 10-JUN-15 08-MAY-15 VAR. % West Texas 58.15 58.92 -1.31 Brent Blend 61.33 64.62 -5.09 Maya 62.18 63.37 -1.88 Istmo 61.36 62.09 -1.18 OPEP 96.18 98.22 -2.08 Gas natural / residencial (Pesos /Gjoules) 34.792 37.193 -6.46 Gasolina Magna 13.57 13.57 0.00 Premium 14.38 14.38 0.00 Diesel Pemex 14.20 14.20 0.00 Turbosina 9.17 7.55 21.46 Combustóleo 5.34 5.20 2.69 FUTUROS PRODUCTO 10-JUN-15 08-MAY-15 VAR. % Light Sweet NY-Sep 15 61.60 61.15 0.74 Brent Londres-Sep 15 66.13 67.25 -1.67 Etanol NY-Sep 15 1.468 1.559 -5.84 Gas Natural NY-Sep 15 2.869 2.955 -2.91 Aceite de Calefacción NY-Sep 15 2.0494 1.9811 3.45 Certificados de emisiones NY-Sep 15 7.36 7.56 -2.65 Electricidad NY-Sep 15 41.82 41.54 0.67 Gasolina NY-Sep 15 2.043 1.947 4.97 BALANZA COMERCIAL PETRÓLEO (MDD) PERIODO DATO ANTERIOR Exportaciones abr-15 1,860.90 1,999.00 Importaciones abr-15 1,627.10 1,676.00 Saldo abr-15 233.80 323.00 VENTAS INTERNAS (MDP) PERIODO DATO ANTERIOR Petrolíferos abr-15 54,116.2 50,950.8 Petroquímicos abr-15 2,772.6 2,812.3 Gas licuado abr-15 6,124.0 6,799.9 Gas natural abr-15 3,832.0 5,106.8 Dólar 15.67 anterior 15.45 PIB I-15 2.50 anterior 2.60 Euro 17.52 anterior 17.17 Desempleo Abr-15 4.32 anterior 4.87 Cetes 28 días 2.96 anterior 2.98 Inflación Abr-15 -0.50 anterior -0.26 Centenario 23,000 anterior 23,100 Balanza com. Abr-15 -85.0 anterior 480.0
ECONÓMICO Porcentaje
MEDIDOR Md

ENERGÍA EN MÉXICO

PRODUCCIÓN DE HIDROCARBUROS LÍQUIDOS (MILES

GENERACIÓN DE ENERGÍA POR REGIÓN

ELABORACIÓN

MES % ANUAL ABR-14

ELABORACIÓN DE PRODUCTOS PETROQUÍMICOS (MILES DE TONELADAS) POR

GENERACIÓN

MEDIDOR 54 | energíahoy | JULIO 2015
(MEGAWATTS / HORA) POR TIPO ABR-15 % MES % ANUAL ABR-14 Baja California 924,415 -7.6 3.8 890,763 Chiapas 1,651,102 45.2 -3.7 1,713,997 Chihuahua 1,208,140 0.8 -8.8 1,324,228 Coahuila 1,568,551 3.4 -9.4 1,731,093 Colima 1,045,911 -28.4 -15.6 1,238,811 Durango 678,870 -11.7 -10.5 758,603 Guerrero 2,192,293 38.7 44.5 1,516,637 Hidalgo 834,030 20.3 -27.3 1,146,920 Nuevo León 841,056 16.1 24.4 676,168 San Luis Potosí 863,023 1.9 18.5 728,079 Sonora 754,463 24.1 -2.7 775,757 Tamaulipas 2,709,020 -3.9 -0.4 2,721,090 Veracruz 2,487,014 -1.8 11.5 2,230,629 Otros 3,802,408 -3.1 -2.8 3,911,590 Plantas Móviles 3,607 -33.8 285.8 935.0 TOTAL 21,563,903 3.6 0.9 21,365,300 VENTAS INTERNAS DE ELECTRICIDAD (MEGAWATTS / HORA) POR TIPO ABR-15 % MES % ANUAL ABR-14 Aguascalientes 217,369 -0.2 -1.1 219,791 Baja California 722,805 4.6 4.2 693,684 Chuhuahua 945,380 6.0 -3.6 980,688 Coahuila 848,602 -12.2 -2.5 870,697 Distrito Federal 1,239,366 4.2 6.1 1,167,975 Edo de México 1,582,819 3.2 9.0 1,452,710 Guanajuato 881,332 -12.1 -10.3 982,339 Jalisco 1,055,720 0.9 1.4 1,041,650 Michoacán 532,622 -1.2 -13.7 617,086 Nuevo León 1,449,690 -1.6 3.5 1,400,663 Puebla 624,944 -1.9 -1.9 636,803 Querétaro 401,722 2.7 -2.3 411,211 San Luis Potosí 471,574 0.2 3.1 457,279 Sinaloa 436,485 14.8 7.5 405,864 Sonora 724,196 14.9 8.3 668,859 Tamaulipas 652,390 10.0 2.1 639,258 Veracruz 827,994 2.7 -5.2 873,557 EXPORTACIONES DE PETROLÍFEROS (MBD) POR TIPO ABR-15 % MES % ANUAL ABR-14 Gas licuado 0.00 - - 100.0 0.20 Gasolinas 57.40 - 9.0 - 3.7 59.60 Turbosina 0.00 - - 0.00 Diesel 0.00 - - 0.00 Combustóleo 141.90 17.0 31.9 107.60 Otros 31.60 148.8 1,164.0 2.50 Gas natural 2.70 0.0 - 4.10 Petroquímicos 33.10 0.3 - 30.8 47.80 TOTAL 230.90 17.1 35.9 169.90
DE PETROLÍFEROS (MBD) POR TIPO ABR-15 % MES % ANUAL ABR-14 Gas licuado 109.90 49.5 66.3 66.10 Gasolinas 381.60 - 4.3 16.0 329.10 Diesel 117.80 0.4 1.3 116.30 Combustóleo 3.70 15.6 - 62.6 9.90 Otros 52.40 14.7 - 4.6 54.90 Gas natural 1,210.70 - 5.7 - 10.6 1,354.10 Petroquímicos 1.50 - 88.9 - 77.6 6.70 TOTAL 665.40 4.2 15.5 576.30
IMPORTACIONES
DE BARRILES DIARIOS) POR TIPO ABR-15 % MES % ANUAL ABR-14 Pesado 1,168 -1.7 -11.2 1,316 Ligero 773 -10.5 -10.4 863 Superligero 260 -2.6 -13.0 299 Por región Marinas 1,696 -6.5 -9.4 1,872 Norte 392 -0.3 -17.6 476 Sur 113 0.0 -13.1 130 TOTAL 2,513 -5.1 -11.5 2,840 PRODUCCIÓN DE GAS NATURAL (MILLONES DE PIES CÚBICOS DIARIOS) POR TIPO ABR-15 % MES % ANUAL ABR-14 Asociado 3,700 -6.7 -12.0 4,203 Nitrógeno 891 0.8 21.2 735 No asociado 1,666 -2.6 3.2 1,615 Por región Marinas 3,047 -8.0 -0.4 3,060 Sur 1,380 0.7 -13.5 1,595 Norte 1,830 -2.4 -3.6 1,898 TOTAL 6,257 -4.6 -4.5 6,553
DE PRODUCTOS PETROLÍFEROS (MILES DE BARRILES DIARIOS) POR TIPO ABR-15 %
Gas licuado 174 -7.9 -17.0 210.0 Gasolinas 413 7.1 -13.7 478.7 Querosenos 49 -1.0 -17.7 59.2 Diesel 269 -13.9 -19.4 333.7 Combustóleo 217 4.9 -15.1 255.6 Otros 178 13.1 1.9 174.6 TOTAL 1,300 -0.1 -14.0 1,511.8
Dicloroetano 0.0 - - 0 Amoníaco 42.0 -46.8 -40.8 71 Benceno 11.0 -15.4 120.0 5 Cloruro de vinilio 0.0 - - 0 Etireno 12.0 -7.7 0.0 12 Etileno 81.0 2.5 3.8 78 Oxido de etileno 31.0 10.7 -6.1 33 Polietileno AD 11.0 0.0 -21.4 14 Polietileno BD 15.0 -16.7 -25.0 20 Polietileno lineal BD 24.0 0.0 500.0 4 Propileno 43.0 0.0 2.4 42 Tolueno 13.0 -7.1 8.3 12 Otros 366.0 -47.1 -43.5 648 TOTAL 647.0 -36.1 -31.1 939
TIPO ABR-15 % MES % ANUAL ABR-14
(MEGAWATTS / HORA) POR TIPO ABR-15 % MES % ANUAL ABR-14 Termoeléctrica 13,388,369 -1.0 -5.3 14,136,471 Dual 0 -100.0 - 0 Carboeléctrica 3,075,439 127.2 12.3 2,737,988 Geotérmica 519,641 -0.9 2.0 509,248 Nucleoeléctrica 1,065,362 -4.9 123.6 476,513 Eólica 108,488 -50.5 -24.2 143,165 Hidroeléctrica 3,504,334 26.0 4.3 3,360,643 TOTAL 21,662,832 4.1 1.4 21,365,300
DE ENERGÍA ELÉCTRICA

PRECIOS DE ENERGÉTICOS EN MÉXICO

GAS

* precios incluyen costo de transporte

GAS LICUADO (PESOS /

PRECIOS DEL CRUDO MEXICANO (DÓLARES POR BARRIL)

MEDIDOR JULIO 2015 | energíahoy | 55
TIPO ABR-15 % MES % ANUAL ABR-14 Mezcla 49.99 8.56 -47.75 95.68 Istmo 55.13 10.13 -46.20 102.47 Maya 48.72 9.43 -48.11 93.89 Olmeca 58.91 10.69 -45.17 107.44 América 51.49 11.21 -45.07 93.73 Europa 43.83 -11.42 -56.45 100.64 Lejano Oriente 49.66 19.17 -48.93 97.24 PRECIOS AL PÚBLICO DE PRODUCTOS PETROLÍFEROS (PESOS POR LITRO) TIPO ABR-15 % MES % ANUAL ABR-14 Gas licuado 14.49 0.00 6.62 13.59 Gasolinas automotrices Frontera Magna 12.75 4.17 1.27 12.59 Premium 14.38 0.00 8.69 13.23 Resto Magna 13.57 0.00 7.78 12.59 Premium 14.38 0.00 8.69 13.23 Turbosina 9.17 21.46 -23.52 11.99 Diesel Pemex 14.20 0.00 8.73 13.06 Combustóleo 5.34 2.69 -36.65 8.43 PRECIOS DE ENERGÍA ELÉCTRICA (PESOS / KILOWATT - HORA, CFE) TIPO ABR-15 DIC-14 DIC-13 DIC-12 Doméstico 1.256 1.299 1.285 1.242 Comercial 1.267 3.003 3.001 2.916 Servicios 2.408 2.452 2.321 2.123 Agrícola 0.534 0.539 0.188 0.574 Industrial 1.250 1.583 1.666 1.562 Mediana empresa 1.385 1.723 1.806 1.714 Gran industria 1.004 1.339 1.419 1.315 PROMEDIO 1.378 1.622 1.648 1.559 VENTAS INTERNAS DE PETROLÍFEROS (MBD) TIPO ABR-15 % MES % ANUAL ABR-14 Gas licuado 266.0 - 6.50 0.38 265.0 Gasolinas 789.7 2.28 0.18 788.3 Magna 638.2 1.43 - 1.66 649.0 Premium 151.5 6.09 8.68 139.4 Turbosina 69.5 - 3.61 4.04 66.8 Pemex diesel 340.5 3.87 0.59 338.5 Diesel desulfurado 58.2 14.79 17.58 49.5 Combustóleo 55.9 8.97 -57.03 130.1 Asfaltos 15.5 1.97 -20.92 19.6 Otros 56.3 3.11 - 8.31 61.4 TOTAL 1,651.4 1.42 - 3.94 1,719.2
DE VENTAS DE PETROQUIMICOS (MBD) TIPO ABR-15 % MES % ANUAL ABR-14 Derivados de metano AmonIaco y metanol 60.40 -17.71 -24.41 79.9 Otros 16.10 2.55 -37.60 25.8 Derivados de etano Polietilenos 48.00 - 4.00 - 3.81 49.9 Etilenos y derivados 0.10 -66.67 -75.00 0.4 Oxido etileno y derivados 35.90 -12.50 - 6.75 38.5 Propileno y derivados Acrilonitrillo y propileno 33.50 - 4.83 -17.49 40.6 Otros 0.70 -12.50 -30.00 1.0 Aromáticos y derivados 24.10 - 4.74 15.31 20.9 Otros 113.50 12.38 9.98 103.2 TOTAL 332.50 - 0.86 - 7.74 360.4 GAS NATURAL TIPO ABR-15 % MES % ANUAL ABR-14 Residencial / Referencia (Pesos / GJoules) 34.792 - 2.31 -38.29 56.379
VOLUMEN
NATURAL
REGION
/ GJOULES) TIPO ABR-15 % MES % ANUAL ABR-14 Bajío: Distribuidora de Gas Natural Bajío Residencial 152.04 -0.54 -12.78 174.31 Comercial 80.25 -1.01 -21.72 102.52 Industrial 59.40 -1.36 -27.26 81.66 Chihuahua: ECOGAS México Residencial 180.42 - 0.45 -10.91 202.51 Comercial 73.54 - 1.10 -23.10 95.63 Industrial 59.73 - 1.35 -27.01 81.83 DF: Metrogas Residencial 156.51 - 0.53 -12.66 179.19 Comercial 78.79 - 1.03 -22.34 101.46 Industrial 56.65 - 1.43 -28.58 79.32 Jalisco: Tractebel DGJ Residencial 132.92 - 0.61 -14.30 155.10 Comercial 88.39 - 0.92 -20.06 110.57 Industrial 75.60 - 1.06 -22.68 97.77 Monterrey: Compañía Mexicana de Gas Residencial 109.48 - 0.73 -17.35 132.46 Comercial 86.91 - 0.93 -20.92 109.90 Industrial 57.21 - 1.40 -28.66 80.19 Puebla-Tlaxcala: Natgasmex Residencial 145.19 - 0.56 -13.42 167.69 Comercial 60.43 - 1.34 -27.13 82.93 Industrial 56.40 - 1.43 -28.52 78.90 Querétaro: Tractebel Digaqro Residencial 110.97 - 0.72 -16.65 133.14 Comercial 93.38 - 0.77 -19.12 115.46 Industrial 93.32 0.19 -18.50 114.50 Toluca: Gas Natural Residencial 172.17 - 0.49 -11.76 195.12 Comercial 91.61 - 0.91 -20.03 114.56 Industrial 62.8 - 1.32 -26.76 85.75
POR
(DLS
KG) TIPO ABR-15 % MES % ANUAL ABR-14 Norte Burgos, Tamps 10.6715 7.70 -10.62 11.9400 Cadereyta, N.L. 9.8028 - 5.31 -19.25 12.1400 Cd. Juárez, Chih. 8.7514 -14.77 -30.16 12.5300 Matamoros, Tamps 10.5026 - 2.31 -12.70 12.0300 Centro Abasolo, Gto. 10.7484 - 2.64 -15.83 12.7700 Zapotlanejo, Jal. 11.0460 0.25 -13.64 12.7900 Puebla, Puebla 10.8609 0.41 -15.08 12.7900 Manzanillo, Col 10.7341 1.88 -15.61 12.7200 Atotonilco, Hgo 10.4968 - 1.52 -16.49 12.5700 Sur Salina Cruz, Oaxaca 10.7703 4.00 -13.91 12.5100 Cactus, Chiapas 9.9509 - 4.63 -23.75 13.0500 Matapionche, Ver. 10.9485 0.51 -16.17 13.0600 Pajaritos, Veracruz 10.1315 - 5.55 -21.52 12.9100 * Precios sin IVA

PRECIOS INTERNACIONALES DEL CRUDO (DLS. POR BARRIL)

MEDIDOR 56 | energíahoy | JULIO 2015 REGIÓN / PAÍS CRUDO API GRAVITY % SULFURO 10-JUN-15 2013 2011 2008 2006 2004 2002 1977 Norteamérica Canadá Canadian Par 40 n.d 62.03 95.42 90.12 33.10 55.69 41.49 31.78 n.d Canadá Heavy Hardisty 22 n.d 59.10 86.45 78.25 23.58 n.d n.d n.d n.d México Istmo 33 1.3 61.36 95.68 101.21 35.31 48.54 33.87 30.14 13.10 México Maya 22 3.3 62.18 96.21 98.47 29.53 41.87 26.16 26.29 n.d EU West Texas 40 0.2 58.15 93.20 98.83 38.95 60.85 43.15 31.21 n.d EU Costo importación n.a n.a 93.20 103.78 102.50 31.76 47.72 32.07 28.52 13.38 Centro y Sudamérica Colombia Cano Limón 30 0.5 72.35 115.47 110.32 42.83 50.85 35.90 29.07 n.d Ecuador Oriente 30 1.0 72.06 116.32 109.54 39.31 44.65 24.95 27.32 12.35 Venezuela Tía Juana Ligth 31 1.2 75.19 115.72 108.21 35.42 48.65 33.98 30.25 13.54 Europa Noruega Ekofisk Blend 42 0.2 80.01 114.21 115.47 37.22 52.67 38.15 31.06 14.20 Reino Unido Brent Blend 38 0.4 61.33 112.49 118.56 34.33 51.82 39.43 31.36 n.d Rusia Urals 32 1.3 82.00 122.63 111.89 34.20 47.58 33.06 30.31 13.20 Medio Oriente Abu Dhabi Murban 39 0.8 88.42 133.51 112.87 38.97 57.00 38.16 28.37 13.26 Arabia Saudita Arabian Ligth 34 1.8 87.90 126.91 110.35 35.21 48.78 31.86 27.39 12.70 Arabia SAudita Arabian Medium 31 2.5 88.02 127.54 113.45 32.16 46.83 27.96 26.44 12.32 Arabia Saudita Arabian Heavy 27 2.8 91.59 125.76 109.56 30.16 45.13 25.11 25.69 12.02 Dubai Fateh 32 n.d 94.78 119.38 115.63 36.67 52.28 33.38 27.28 12.64 Irán Iranian Ligh 34 1.5 86.37 120.78 108.45 35.31 49.16 33.84 27.85 13.45 Irán Iranian Havy 30 1.8 85.99 120.62 109.23 33.16 47.36 30.79 27.08 12.49 Iraq Kirkuk Blend 36 2.0 95.19 118.30 108.75 35.60 48.61 32.84 27.93 13.17 Kuwait Kuwait Blend 31 2.6 93.56 124.78 112.52 32.86 49.16 30.92 27.30 12.22 Omán Omán Blend 34 1.1 92.06 125.57 115.92 37.14 52.93 35.05 27.71 13.06 Qátar Dukhan 40 32.8 91.53 117.82 118.45 37.13 56.04 37.61 28.03 13.19 Promedio OPEP n.a n.a 96.18 122.14 108.41 35.48 50.75 33.90 28.47 13.03 África Angola Cabinda 32 0.1 83.88 127.54 116.21 35.04 50.35 32.47 30.60 n.d Egipto Suez Blend 33 1.6 90.20 125.81 112.78 32.67 46.90 31.96 28.63 12.81 Libia Es Sider 37 0.3 91.72 122.77 116.24 36.66 52.35 38.00 30.40 13.68 Nigeria Bonny Ligth 37 0.1 90.84 124.26 116.32 39.85 55.98 38.21 31.16 15.12 Nigeria Forcados 31 0.3 91.69 124.96 118.78 40.65 55.98 38.21 31.13 13.70 Asia y Oceania Australia Gippsland 42 0.1 85.66 125.10 119.23 37.04 57.84 38.31 32.22 n.d China Daquing 33 0.1 94.30 123.03 115.21 35.65 53.65 36.01 34.38 13.73 Indonesia Minas 34 0.1 91.09 124.08 113.54 36.63 56.29 35.86 35.03 13.55 Malasia Tapis Blend 44 0.0 89.43 124.69 115.28 39.83 58.90 38.41 32.54 14.30
WEST TEXAS / EU Sep14 Oct Nov Dic Ene15 Feb Mar Abr May Jun Sep14 Oct Nov Dic Ene15 Feb Mar Abr May Jun BRENT / REINO UNIDO 49.24 51.93 49.59 60.75 90.33 90.65 78.77 84.90 50.05 51.08 68.98 70.87 51.63 57.14 58.92 64.62 58.15 99.53 92.65 61.33

PRODUCCIÓN Y RESERVA MUNDIAL DE CRUDO

PRODUCCIÓN MUNDIAL DE CRUDO (MBD) REGIÓN/PAÍS ABR-15 2013 2005 2003 %

PRECIOS

COMBUSTIBLE DOMÉSTICO (DÓLARES POR MIL LITROS)

COMBUSTIBLE

Precios excluyendo impuestos. Fuente: Agencia Internacional de Energía.

MEDIDOR JULIO 2015 | energíahoy | 57
DEMANDA MUNDIAL DE CRUDO (ESTIMADOS, MBD) CAMBIOS ANUALES/ MARZO 2015 REGIÓN 2013 2014 2015 Norteamérica 0.49 -0.04 0.14 América Latina 0.20 0.16 0.05 Europa -0.15 -0.22 0.10 OECD Pacífico 0.14 -0.46 0.18 Asia 0.53 0.55 0.74 FSU (Rusia) 0.12 0.12 -0.20 Medio Oriente 0.15 0.20 0.16 África 0.06 0.08 0.16 TOTAL MUNDIAL 1.20 0.66 1.11 RESERVAS EN LOS PAÍSES DE LA OCDE (MILLONES DE BARRILES, FEBRERO 2015) REGIÓN SEP-14 DIC-14 % DEL TOTAL Norteamérica EU 1,836.0 1,857.5 41.8% Canadá 186.1 193.1 4.1% México 48.8 52.8 1.0% Total 2,103.0 2,135.2 47.4% Europa Alemania 286.9 289.5 6.8% Francia 171.3 167.8 4.6% Italia 123.0 119.4 3.0% España 122.7 121.3 3.1% Reino Unido 74.9 78.1 2.4% Otros 579.4 574.1 12.7% Total 1,358.2 1,350.2 32.6% Pacífico Japón 604.1 576.5 15.1% Corea 186.7 184.4 3.7% Australia 38.6 36.2 0.9% Nueva Zelanda 9.0 8.4 20.0% Total 838.4 805.5 20.0% TOTAL OCDE 4,299.6 4,291.0 100.0%
MES % 2015 OPEP Arabia Saudita 10.05 9.56 9.21 8.48 0.5 5.1 Irán 2.88 2.75 3.85 3.79 3.2 4.7 Irak 3.80 3.07 1.55 1.33 3.5 23.8 EAU 2.84 2.76 2.56 2.29 0.0 2.9 Kuwait 2.75 2.55 2.22 1.87 1.9 7.8 Zona neutral 0.10 0.52 0.59 0.61 -50.0 -80.8 Qatar 0.69 0.72 0.83 0.74 3.0 -4.2 Angola 1.68 1.62 1.40 0.88 -6.7 3.7 Nigeria 1.80 1.92 2.46 2.15 0.6 -6.2 Libia 0.52 0.90 1.65 1.42 8.3 -42.2 Argelia 1.11 1.15 1.37 1.11 -0.9 -3.5 Ecuador 0.55 0.53 0.55 0.43 -1.8 3.8 Venezuela 2.44 2.44 2.05 2.01 1.7 0.0 Total 31.21 29.82 29.26 26.80 0.6 4.7 Total NGLs 6.62 6.42 4.85 3.67 1.7 3.1 Total OPEP 37.83 36.24 34.11 30.47 0.80 4.39 OCDE Norte América 19.56 18.25 14.13 14.70 -0.9 7.2 EU 12.60 11.08 7.01 7.92 -1.0 13.7 México 2.65 2.89 3.85 3.79 -1.1 -8.3 Canadá 4.30 4.28 3.27 2.99 -0.5 0.5 Europa 3.45 3.36 5.71 6.32 0.0 2.7 Reino Unido 0.95 0.84 1.85 2.28 3.3 13.1 Noruega 1.95 1.92 3.05 3.25 0.5 1.6 Otros 0.55 0.60 0.81 0.80 -6.8 -8.3 Pacífico 0.51 0.51 0.55 0.65 -1.9 0.0 Australia 0.44 0.44 0.51 0.61 -2.2 0.0 Otros 0.07 0.07 0.04 0.05 -12.5 0.0 Total OECD 23.52 22.12 20.38 21.67 -0.8 6.3 Fuera OCDE Federación Rusa 14.06 14.01 11.92 10.31 0.1 0.4 Rusia 11.04 11.00 9.67 8.49 0.0 0.4 Otros 3.01 3.01 2.24 1.82 0.0 0.0 Asia 7.86 7.68 6.45 5.90 1.7 2.3 China 4.25 4.23 3.63 3.41 2.7 0.5 Malasia 0.77 0.64 0.86 0.83 4.1 20.3 India 0.88 0.91 0.75 0.78 0.0 -3.3 Indonesia 0.77 0.80 0.94 1.01 -6.1 -3.8 Otros 1.19 1.10 1.22 0.88 2.6 8.2 Europa 0.14 0.14 0.15 0.17 0.0 0.0 América Latina 4.56 4.26 4.32 3.92 2.0 7.0 Brasil 2.52 2.19 2.07 1.77 1.2 15.1 Argentina 0.64 0.62 0.73 0.78 1.6 3.2 Colombia 0.97 1.02 0.52 0.55 3.2 -4.9 Otros 0.42 0.42 0.46 0.39 2.4 0.0 Medio Oriente 1.24 1.32 1.84 1.99 -0.8 -6.1 Omán 0.96 0.95 0.76 0.83 2.1 1.1 Siria 0.03 0.03 0.45 0.53 0.0 0.0 Yemen 0.19 0.12 0.42 0.44 0.0 58.3 África 2.34 2.46 3.94 3.06 0.4 -4.9 Egipto 0.69 0.68 0.68 0.75 3.0 1.5 Gabón 0.23 0.24 0.24 0.24 0.0 -4.2 Otros 1.42 1.54 1.62 1.20 -0.7 -7.8 Total no-OCDE 30.20 29.86 28.63 25.36 0.7 1.1 En proceso 2.22 2.20 1.88 1.80 0.0 0.9 Total no OPEP 57.87 55.99 50.90 48.84 0.3 3.4 Producción Total 95.70 92.23 85.00 79.31 0.5 3.8
PAÍS ABR-15 % % MES ANUAL Francia 1.602 5.4 -23.2 Alemania 1.663 5.8 -22.6 Italia 1.801 5.1 -24.5 España 1.467 5.9 -24.9 Reino U. 1.782 5.6 -18.3 Japón 1.173 0.3 -27.8 Canadá 0.942 6.5 -24.8 EU 0.718 10.1 -26.0 DIESEL AUTOMOTRIZ (DÓLARES POR LITRO) PAÍS ABR-15 % % MES ANUAL Francia 1.148 5.9 -23.2 Alemania 1.186 6.2 -25.4 Italia 1.354 5.1 -26.2 España 1.110 6.0 -26.0 Reino U. 1.556 4.6 -18.7 Japón 0.999 0.5 -29.3 Canadá 0.926 2.8 -26.6 EU 0.763 3.8 -26.8
DE HIDROCARBUROS GASOLINA (DÓLARES POR LITRO)
PAÍS ABR-15 % % MES ANUAL Francia 868.2 6.7 -28.1 Alemania 779.2 7.9 -31.6 Italia 1 423.5 6.6 -25.7 España 829.0 7.8 -31.0 Reino U. 779.5 6.9 -27.9 Japón 702.1 -0.1 -31.8 Canadá 890.8 1.1 -24.0 EU
MÉTRICA) PAÍS ABR-15 % % MES ANUAL Francia 492.0 4.4 -34.5 Alemania Italia 469.4 6.0 -40.0 España 454.8 10.3 -40.0 Reino U. Japón Canadá EU
INDUSTRIAL (DÓLARES POR TONELADA

MERCADO DE FUTUROS

NUEVA YORK - NYMEX

PETRÓLEO LIGHT SWEET (DÓLARES POR BARRIL)

CARBÓN (DÓLARES POR TONELADA)

LONDRES

(DÓLARES POR BARRIL)

ETANOL (DÓLARES POR GALÓN)

GASOLEO (DÓLARES POR TONELADA)

CERTIFICADOS DE EMISIONES (CERS) (DÓLARES)

MENSUAL (LIBRAS POR TERMIA)

ELECTRICIDAD (DÓLARES MWH)

GASOLINA (DÓLARES POR GALÓN)

MEDIDOR 58 | energíahoy | JULIO 2015
CONTRATOS 10-JUN-15 08-MAY-15 VAR. % Jul 2015 56.90 57.45 -0.96 Ago 2015 57.15 56.75 0.70 Sep 2015 57.40 56.95 0.79 Oct 2015 57.60 57.60 0.00 Nov 2015 57.60 57.60 0.00 Dic 2015 57.60 - -
BRENT
CONTRATOS 10-JUN-15 08-MAY-15 VAR. % Jul 2015 64.82 66.16 -2.03 Ago 2015 65.49 66.72 -1.84 Sep 2015 66.13 67.25 -1.67 Oct 2015 66.62 67.72 -1.62 Nov 2015 67.05 68.18 -1.66 Dic 2015 67.44 - -
CONTRATOS 10-JUN-15 08-MAY-15 VAR. % Jul 2015 588.25 596.75 -1.42 Ago 2015 592.00 599.25 -1.21 Sep 2015 596.50 602.75 -1.04 Oct 2015 602.75 608.50 -0.94 Nov 2015 605.25 611.75 -1.06 Dic 2015 604.75 -GAS NATURAL
CONTRATOS 10-JUN-15 08-MAY-15 VAR. % WI15 48.05 50.04 -3.98 SU16 43.90 43.95 -0.11 WI 16 50.40 52.13 -3.32 SU17 45.00 44.51 1.10 GAS NATURAL - TRIMESTRAL CONTRATOS 10-JUN-15 08-MAY-15 VAR. % III-15 42.36 44.83 -5.51 IV-15 46.61 51.02 -8.64 I-16 49.46 46.26 6.92 II-16 44.40 44.21 0.43 III-16 45.85 46.30 -0.97 III-16 46.34 50.25 -
NATURAL
CONTRATOS 10-JUN-15 08-MAY-15 VAR. % Jul 2015 42.42 42.06 0.86 Ago 2015 42.30 42.45 -0.35 Sep 2015 42.40 42.91 -1.19 Oct 2015 44.15 44.83 -1.52 Nov 2015 47.05 48.23 -2.45 Dic 2015 48.80 - -
- ESTACIONES
GAS
CONTRATOS 10-JUN-15 08-MAY-15 VAR. % Jul 2015 60.77 60.35 0.70 Ago 2015 61.22 60.82 0.66 Sep 2015 61.60 61.15 0.74 Oct 2015 61.81 61.50 0.50 Nov 2015 62.07 61.88 0.31 Dic 2015 62.33 - -
CONTRATOS 10-JUN-15 08-MAY-15 VAR. % Jul 2015 1.491 1.621 -8.02 Ago 2015 1.482 1.590 -6.79 Sep 2015 1.468 1.559 -5.84 Oct 2015 1.451 1.530 -5.16 Nov 2015 1.432 1.503 -4.72 Dic 2015 1.419 - -
DE CALEFACCIÓN
CONTRATOS 10-JUN-15 08-MAY-15 VAR. % Jul 2015 2.1464 1.9603 9.49 Ago 2015 2.0996 1.9676 6.71 Sep 2015 2.0494 1.9811 3.45 Oct 2015 1.8820 1.9981 -5.81 Nov 2015 1.8357 2.0142 -8.86 Nov 2015 1.8017 - -
NATURAL
CONTRATOS 10-JUN-15 08-MAY-15 VAR. % Jul 2015 2.825 2.928 -3.52 Ago 2015 2.855 2.948 -3.15 Sep 2015 2.869 2.955 -2.91 Oct 2015 2.900 2.99 -3.14 Nov 2015 3.018 3.09 -2.39 Dic 2015 3.201 - -
ACEITE
(DÓLARES POR GALÓN)
GAS
(DÓLARES MMBTU)
CONTRATOS 10-JUN-15 08-MAY-15 VAR. % Sep 2015 7.36 7.56 -2.65 Dic 2015 7.38 7.57 -2.51 Mar 2016 7.41 7.59 -2.37 Jun 2016 7.42 7.61 -2.50 Sep 2016 7.44 7.63 -2.49 Dic 2016 7.46 - -
CONTRATOS 10-JUN-15 08-MAY-15 VAR. % Jul 2015 41.76 41.42 0.82 Ago 2015 41.57 40.97 1.46 Sep 2015 41.82 41.54 0.67 Oct 2015 43.45 43.27 0.42 Nov 2015 46.20 46.02 0.39 Dic 2016 46.69 - -
CONTRATOS 10-JUN-15 08-MAY-15 VAR. % Jul 2015 2.138 1.986 7.64 Ago 2015 2.093 1.970 6.25 Sep 2015 2.043 1.947 4.97 Oct 2015 1.874 1.798 4.24 Nov 2015 1.826 1.77 3.30 Dic 2015 1.791 - -
BRENT EUROPA (DÓLARES POR BARRIL) Sep-15 Dic-15 Mar-16 Jun-16 Sep-16 Dic-16 61.60 62.33 63.02 63.49 63.72 64.15

ACCIONES DEL SECTOR ENERGÉTICO EN NY

DE PIZARRA PAÍS

MEDIDOR JULIO 2015 | energíahoy | 59
SECTOR PRECIO (DLS) 10-JUN-15 VAR. % MES VAR. % 2015 Norteamérica AMEREN CORPORATION (AEE) EU Electricidad 38.30 -5.2 -17.0 Anadarko Petroleum Corporation ( APC ) EU Petróleo y gas 83.93 -5.2 1.7 Apache Corporation (APA) EU Petróleo y gas 58.15 -11.3 -6.8 Arch Coal, Inc. ( ACI ) EU Carbón 0.44 -53.8 -75.3 Cloud Peak Energy Inc. (CLD) EU Carbón 5.10 -21.9 -44.4 Canadian Natural Resources Limited ( CNQ ) Canadá Petróleo y gas 29.88 -5.5 -3.2 Chesapeak Energy Corporation (CHK) EU Petróleo 12.50 -18.2 -35.8 Chevron Corporation ( CVX ) EU Petróleo 101.12 -6.9 -9.9 ConocoPhillips ( COP ) EU Petróleo 64.03 -4.7 -7.3 Consol Energy, Inc. ( CNX ) EU Carbón y gas 26.34 -21.0 -22.1 Devon Energy Corporation ( DVN ) EU Petróleo y gas 62.94 -7.3 2.8 El Paso Corporation (EP-PC) EU Gas y tubería 57.22 -7.2 -3.0 EnCana Corporation ( ECA ) Canadá Petróleo 12.27 -12.8 -11.5 Enterprise Products Partners, LP ( EPD ) EU Gas 31.35 -6.1 -12.3 Exelon Corporation ( EXC ) EU Electricidad 34.25 0.9 -7.6 Exxon Mobil Corporation ( XOM ) EU Petróleo 85.09 -4.4 -7.3 Halliburton Company ( HAL ) EU Construcción y serv. 45.62 -5.2 16.0 Imperial Oil Limited ( IMO ) Canadá Petróleo y gas 39.57 -4.6 -9.0 Marathon Oil Coporation ( MRO ) EU Petróleo y gas 26.93 -8.1 -4.8 Natural Resource Partners, LP ( NRP ) EU Carbón 4.07 -15.7 -54.3 Occidental Petroleum Corporation ( OXY ) EU Petróleo y gas 78.89 1.3 -2.1 Peabody Energy Corporation ( BTU ) EU Carbón 2.78 -39.7 -64.1 Penn Virginia Corporation (PVA) EU Carbón 4.27 -27.3 -36.1 PPL Corporation ( PPL ) EU Electricidad 30.53 -9.9 -16.0 Schlumberger Lmited ( SLB ) EU Servicios 90.67 -1.9 6.2 Southern Company ( SO ) EU Electricidad 42.59 -3.5 -13.3 Suncor Energy, Inc. ( SU ) Canadá Petróleo y gas 28.90 -4.9 -9.1 Sunoco, Inc. ( SLX ) EU Petróleo 33.48 -6.4 -5.6 TransCanada Corporation ( TRP ) Canadá Gas y tubería 42.31 -5.5 -13.8 Transocean Limited ( RIG ) EU Petróleo y gas 18.13 -5.9 -1.1 Valero Energy Corporation ( VLO ) EU Petróleo 59.65 0.9 20.5 América Latina Paranaense de Energia ( ELP ) Brasil Electricidad 10.66 -7.9 -19.1 Ecopetrol, S.A. ( EC ) Colombia Petróleo 14.40 -12.8 -15.9 Endesa Chile ( EOC ) Chile Electricidad 43.61 -7.8 -2.2 Enersis, S.A. ( ENI ) Chile Electricidad 16.10 -13.0 0.9 Petroleo Brasileiro - Petrobras ( PBR ) Brasil Petróleo y gas 9.14 -6.2 25.2 Transportadora de Gas del Sur ( TGS ) Argentina Gas 5.07 4.3 44.9 Willbross Group, Inc. ( WG ) Panamá Construcción 1.91 -23.0 -69.5 YPF Sociedad Anonima ( YPF ) Argentina Petróleo y gas 28.63 -5.0 8.2 Europa LUKOIL Oil Company ( LUKOY) Rusia Petróleo 45.99 -13.2 18.1 BP, PLC ( BP ) Reino Unido Petróleo 41.42 -3.0 8.7 E.ON SE ( EONGY) Alemania Electricidad 14.32 -8.8 -15.8 Electricite de France - EDF( EDF.PA ) Francia Electricidad 20.83 -6.4 -8.8 Energias de Portugal, S.A. ( EDPFY ) Portugal Electricidad 38.63 -5.6 -0.6 Areva, S.A. ( ARVCF) Francia Electricidad 9.75 7.5 -7.6 ENI, S.p.A. ( E ) Italia Petróleo 36.77 -5.5 5.3 IBERDROLA ( IBDRY) España Electricidad 27.74 1.3 3.1 National Grid Transco, PLC ( NGG ) Reino Unido Electricidad 66.85 -4.1 -5.4 Norsk Hydro ASA ( NHYDY ) Noruega Petróleo y gas 4.60 -5.7 -19.0 Repsol YPF, S.A. ( REPYY) España Petróleo 19.15 -6.7 3.1 Royal Dutch Sell, PLC ( RDS-B ) Alemania Petróleo 59.87 -7.8 -13.9 Statoil ASA ( STO ) Noruega Petróleo y gas 18.50 -12.0 5.1 TOTAL, S.A. ( TOT ) Francia Petróleo y gas 51.06 -5.0 -0.3 Yanzhou Coal Mining Company ( YZC ) Rusia Carbón 8.93 -6.5 5.9 Asia China Petroleum & Chemical Corporation ( SNP ) China Petróleo 83.11 -9.7 2.6 Huaneng Power International, Inc. ( HNP ) China Electricidad 53.65 -5.3 -1.0 PetroChina Company Limited ( PTR ) China Petróleo y gas 114.54 -8.9 3.2 Korea Electric Power Corporation ( KEP ) Corea Electricidad 19.75 -8.0 2.0
EMISORA/CLAVE

SECTOR PRIVADO

ELECTRICIDAD

ELECTRICITÉ DE FRANCE

>> EDUARDO ZENTENO

GARZA GALINDO, DIRECTOR GENERAL PARA MÉXICO

Tel. 5339-0601 edf@edfmexico.com

ENDESA COGENERACIÓN Y RENOVABLES

Tel: 5540-2592

IBERDROLA >> EDUARDO JESÚS ANDRADE ITURRIBARRÍA

Tel. 5803-4607 eduardo.andrade@iberdrola.com

GAS NATURAL FENOSA

>> ÁNGEL LARRAGA

PALACIOS, PRESIDENTE Y DIRECTOR GENERAL

Tel. 5279-2400

WÄRTSILA NORTH AMERICA

>> JUAN CARLOS QUINTERO. SAMPO SUVISAARI

Tel: 01(938) 105-8487 jeannie.beard@wartsila.com

LUBRICANTES

COMERCIAL ROSHFRANS

>> SERGIO PLATONOFF, DIRECTOR GENERAL

Tel: 5747-5719 sergiopm@roshfrans.com

CASTROL MÉXICO

>> ING. FERNANDO

FERNANDINI, GERENTE GENERAL

Tel: 5063-2000 fernando.fernandini@bp.com

ELF LUBRICANTES DE MÉXICO

>> MICHEL ROMERO, DIRECTOR GENERAL

Tel: 01 (33) 3812-2300 michel.romero@elf-lub-mex. com.mx

TODAS LAS PERSONALIDADES DEL SECTOR

ENERGÉTICO REUNIDAS EN EL DIRECTORIO AZUL DE ENERGÍA HOY

EXXONMOBIL MÉXICO

>> VICENTE LLEDO, DIRECTOR GRAL. Tel: 5354-0500 gerardo.gonzalez@exxonmobil.com

ROSHFRANS Tel: 5747-5700

HIDROCARBUROS Y PETROQUÍMICA

ORO NEGRO

>> MANUEL OLEA VILLANUEVA, DIRECTOR GENERAL ADJUNTO

Tel: 55 5992 8300 molea@oronegro.com.mx

3M MÉXICO

>> GUILLERMO SURRACO, DIRECTOR GENERAL

Tel: 5270 0400 www.3m.com.mx

AGROGEN

Tel: 5596-8911 agrogen@agrogen.com.mx

CANAMEX ESP. QUÍMICAS

>> DIETZ A. KAMINSKI

KROENENTHAL, PRESIDENTE

Tel: 5322-0560 corporativo@canamex.com.mx

COMPAÑIA INTERNACIONAL DE LUBRICANTES

>> ING. DAVID ROSALES, GERENTE GENERAL Tels: 01 (33) 3810 1917, david.rosales@globallub.com

AKZO NOBEL CHEMICALS

>> VÍCTOR CORONADO, GERENTE GENERAL

Tel: 5858-0700 v.coronado@akzonobel.com.mx

BASF MEXICANA Tel: 5325-2600 basf@mpsnet.com.mx

BAYER DE MÉXICO

Tel: 5728-3000 www.bayer.com.mx

INDUSTRIAS RESISTOL Tel: 5078-9900 www.resistol.com.mx

BIP PLASTICS

>> DAVID GALÁN, DIRECTOR GENERAL Tel: 5825-7019 galvan_david@infosel.net.mx bipmexico@infosel.net.mx

BOSTIK FINDLEY MEXICANA

>> ING. SALVADOR SORIA, DIRECTOR GENERAL

Tels: 5576-7644 y 5576-4055 bostik@geoline.net

CELANESE MEXICANA

Tel: 5557-2099 y 5480-9100 www.celanese.com.mx

CELULOSA Y DERIVADOS

>> FRANCISCO INDABEREA, DIRECTOR GENERAL Tel: 5557-2099 crysel@foreigner.class.udg.mx

CIBA ESPECIALIDADES QUÍMICAS

Tels: 5528-9300 y 5528-9400 claudia.gomez@cibasc.com

CROMPTON CORPORATION

>> MIKE DÚCHENSE, VICEPRESIDENTE REGIONAL Tel. 5010-6500 german_olague@cromptoncorp.com

CYDSA

Tel. 5576-7344 y 5576 7167 www.cydsa.com.mx

DEGUSSA MÉXICO

>> PETER STOESSEL, DIRECTOR GENERAL

Tel: 5483-1000 peter.stoessel@degussa.com

DOW CORNING DE MÉXICO

Tel: 5955-1300 www.dowcorning.com

DOW QUÍMICA MEXICANA

>> CHARLY EID NADER, Tel. 52014722 ceid@dow.com

SIGNA

>> ING. OSCAR VIVANCO, DIRECTOR GENERAL ovivanco@signachem.com.mx

DUPONT

>> DOUGLAS MUZYKA, PRESIDENTE

Tel: 5722-1210 doug.muzyka@mex.dupont.com

EASTMAN CHEMICAL COMPANY MÉXICO

Tel. 5662-9962 latinamerica@eastman.com

ICI MÉXICO

Tel. 5615-2959 www.ici.com

GRUPO IDESA

Tel: 2789 2200

INDUSTRIAS NEGROMEX

>> JORGE PELÁEZ LINARES, DIRECTOR GENERAL Tel: 5726-1800 jpelaez@negromex.com

RESINAS SINTÉTICAS

>> FREDO ARIAS, GERENTE GENERAL

Tel: 5286-0211 resinas@resinas.com

RESIRENE

>> ING. NICOLÁS GUTIÉRREZ, DIRECTOR GENERAL Tel: 5723-2800 ngutierr@mail.girsa.com.mx

REXCEL

>> ING. ISAAC WAIZEL, DIRECTOR GENERAL Tel: 5723-2800 iwaizel@mail.girsa.com.mx

ROHM AND HAAS MÉXICO

>> ING. MA. JOSÉ BERMÚDEZ, DIRECTOR GENERAL Tel: 5081-6666

SENSIENT COLORS

>> ING. ALEJANDRO CHÁVEZ, PRESIDENTE Y DIRECTOR GENERAL alejandro.chavez@ sensient-tech.com

CARGO CRANE

Tel: 8503-9801. Fax: 8503-9800 cargocrane@prodigy.net.mx

GAS LICUADO METROPOLITANO >> ING. MIGUEL TAPIA VELASCO, GERENTE GENERAL

Tel. 5715-1464

www.gasmetropolitano.com.mx

REGIO GAS

>> ING. LUIS LANDEROS M., DIRECTOR GENERAL

Tel. 5358-1804

www.regiogas.com.mx

GAS NATURAL

GAS NATURAL FENOSA

>> ING. ÁNGEL LARRAGA PALACIOS, PRESIDENTE

Y DIRECTOR GENERAL

Tels: 5279-2400

COMPAÑÍA MEXICANA DE GAS

>> CP. FRANCISCO VIDAÑA

ESQUIVEL, DIR. GENERAL

Tel: 01 (81) 8125-8600

COMPAÑÍA NACIONAL DE GAS,

>> ING. MORRIS LIBSON VALDÉS, DIRECTOR GENERAL

Tel. (91) 8782 0002

MEXIGAS

>> ING. BERNARD AUZON, DIRECTOR REGIONAL ESTADO DE MÉXICO

Tel: 5202-9430

DISTRIBUIDORA DE GAS DE OCCIDENTE

>> ING. GUILLERMO MORENO DE LEÓN, GERENTE GENERAL

Tel: 01 (645) 332-0085

ENERGÍA MAYAKÁN

>> ING. GERARD MALLET, DIRECTOR GENERAL

Tel: 01 (999) 944-5005

GAS NATURAL INDUSTRIAL

>> ING. FERNANDO

CAMPOS, GERENTE GRAL.

Tel: 01 (871) 717-9461

SHELL MÉXICO

Tel. 5089-5700, Fax. 5089-5790

shellmex@shellus.com

60 | energíahoy | JULIO 2015
DIRECTORIO Dr

GAS INDUSTRIAL DE MONTERREY

>> ING. JAIME WILLIAMS, DIRECTOR GENERAL

Tel: 01 (81) 1247-7076

GRUPO GDF SUEZ ENERGÍA DE MÉXICO

>> SR. MARK VAN HAVER, DIRECTOR GENERAL

Tel: 5284 4000

GRUPO GDF SUEZ

>> SR. GERMAINE MANCHON, DELEGADO EN MÉXICO

Tel: 5520 1300

NATGASMEX

>> ING. CARLOS GARCÉS, DIRECTOR REGIONAL

PUEBLA-TLAXCALA

Tel: 01 (222) 2295 700

PTD SERVICIOS MÚLTIPLES

S. DE R.L. DE C.V.

>> ING. MILTON COSTA, DIRECTOR GENERAL

Tel. 5205-0955

REPSOL MÉXICO

Tel. 5201-4532

recepcionmex@repsol.com

SEMPRA PIPELINES & STORAGE MÉXICO

>> ING. GERARDO DE SANTIAGO TONA, VICEPRESIDENTE EJECUTIVO

Tel. 9138-0100

TGN DE BAJA CALIFORNIA

>> LIC. DAVID LOZANO DOMÍNGUEZ, DIRECTOR GENERAL

Tel: 01 (664) 635-1600

TRACTEBEL GNP

>> ING. CARLOS BONAMÍN, DIRECTOR GENERAL

Tel: 01 (833) 230-3801

TAURO GAS INSTALADORA Y SERVICIOS

>> SR. MARC ANTOINE DOR, DIRECTOR GENERAL

Tels: 5359-1080 y 5359-1109

TECNÓLOGOS DE GAS

>> ING. JORGE OTERO

MONTERO, DIRECTOR GENERAL

Tels: 5254-5822

TECPETROL, S.A.

>> ING. JULIO VIEIRO, DIRECTOR GENERAL

Tel: (54-11) 4018-5900

TERRANOVA ENERGÍA

>> MICHAEL R. WARD, REPRESENTANTE

Tel: (210) 764 8642

PROVEEDORES

ENDRESS+HAUSSER

>> CARLOS OLVERA, INGENIERO DE VENTAS

Tel. 5321-2080 marketing@mx.endress.com

TUBOS DE ACERO DE MÉXICO (TAMSA)

>> ING. PAOLO ROCCA, DIRECTOR GENERAL

Tel: 01 (229) 989-1141

SCHLUMBERGER DISTRIBUCIÓN

>> ING. ENRIQUE

ZERTUCHE LOZANO, GERENTE GEOQUEST

Tels: 5263-3000 y 5263-3190

VÁLVULAS WORCESTER DE MÉXICO

>> SR. HÉCTOR CUÉLLAR, DIRECTOR GENERAL

Tels: 5670-5155 y 5670-6624

CINERGY MARKETING AND TRADING, L.P.

>> ALFONSO MADRID, DIRECTOR MÉXICO

Tel: 001 (713) 393-6956

R.W. LYALL DE MÉXICO

>> SR. JEFF LYALL, REPRESENTANTE

Tel: 01 (55) 5203-9080.

TN. 37922. USA.

M & A OIL CO. MÉXICO

>> BLANCA HERNÁNDEZ, DIRECTORA COMERCIAL

Tels. 5684-1234, 5679-9753 myaoil@prodigy.net.mx

ALTERNATIVOS COMBUSTIBLES ECOLÓGICOS MEXICANOS

>> ING. LUIS G. MÉNDEZ

CORTÉS, DIR. GENERAL

Tel: 5576-2100, ext: 103 www.ecomex-gnc.com

HELIOCOL Tel. 5250-6100 heliocol@heliocol.com.mx

IMPREMA

Tel. 5277-1568

servicio@imprema.com www.imprema.com

QUIMI CORP.

INTERNACIONAL

>> TERIOSKA GÁMEZ LEAL, GERENTE DE INNOVACIÓN

Y MERCADOTECNIA

Tels. 5598-8266 t_gamez@quimicorp.com

INSTALACIONES TÉCNICAS

ESPECIALIZADAS

>> ING. ENRIQUE RAMONEDA, DIRECTOR

Tel: 5260-0573 www.solarite.com.mx

PROVEEDOR DE FUENTES

DE ENERGÍA ECOLÓGICA

Tel: 5245-7534

MÓDULO SOLAR

>> ING. DANIEL GARCÍA VALLADARES

Tel. 01 777 318 0104 www.modulosolar.com.mx

BOSCH TERMOTECNOLOGÍA

>> DIVISIÓN DE TERMOTECNOLOGÍA

Tel. 5284 3089 www.bosch.com.mx buderus.comercial@bosch.com www.buderus.com.mx

CONSULTORÍAS

WOOD MACKENZIE

>> PATRICIA SIMPSON, ASOCIADA

Tel. (55) 5580-2006 patricia.simpson@woodmac.com www.woodmac.com

CO2 SOLUTIONS MÉXICO

>> IVONNE SÁNCHEZ Tel. (81) 8220-9080 isanchez@co2-solutions.com

CANAME

>> ING. ENRIQUE RUSCHKE

GALÁN, DIRECTOR GRAL. Tel: 01 (55) 5280 6775. eruschke@caname.org.mx

CALPRO

Tel. 5362-7431 www.calpro..com.mx

AGREGADOS COMERCIALES

EMBAJADA DE CANADA

>> SR. WAYNE ROBSON

Tel: 57 24 79 00 Wayne.robson@international.gc.ca

EMBAJADA DE BRASIL

>> SYLVIA RUSCHEL DE LEONI RAMOS

Tel: 52 01 72 99 secom@brasil.org.mx

EMBAJADA DE INGLATERRA

>> SR. JOHN FRANCK

Tel: 52 42 85 00 John.franck@fco.gov.uk

EMBAJADA DE ALEMANIA

>> SR. DAVID SCHMIDT

Tel: 5283-2200 info@mexi.diplo.de

EMBAJADA DE ESPAÑA

>> ROSA HONTECILLAS

Tel: 9138-6040 mexico@comercio.mityc.es

EMBAJADA DE FRANCIA

>> PASCAL MACCIONI

Tel: 9171-9889 Pascal.maccioni@dgtresor. gouv.fr

EMBAJADA DE CHINA

>> CHEN YUMING

Tel: 5281-1073 ecoembachina@gmail.com

EMBAJADA DE NORUEGA

>> ARME AASHEIM

Tel: 5540-3486 embmexico@mfa.no

EMBAJADA DE ITALIA

>> PATRIZIA BINDI

Tel: 5596-2582 y 5251-6460 comerciale.messico@esteri.it

EMBAJADA DE RUSIA

>> NICOLAI SHKONYA

Tel: 2502-4906 y 5202-8351 interexpert@dk.ru

EMBAJADA DE JAPÓN

>> MAKOTO IWASHIETA

Tel: 1102-3800 sando@me.mofa.go.jp

EMBAJADA DE ESTADOS UNIDOS

>> JEFF HAMILTON

Tel: 5140-2621 martha.sanchez@trade.gov

ASOCIACIÓN MEXICANA DE EMPRESAS ESCO (AMESCO)

ENERSAVE

ING. RAÚL G. ORTEGA

Tel: 2623 0555 Ext. 110 raul@enersave-is.com

DALKIA

ING. PEDRO PRÁDANOS

Tel: 5626-5400 ppradanos@dalkia.com.mx

OPTIMA ENERGÍA

ING. ENRIQUE GÓMEZ-JUNCO

Tel: (81) 8000 6113 egomez@optimaenergia.com

EQUILLIBRIUM

ING. MANUEL DE DIEGO

Tel: 5592 6192 mdediego@coenergia.com.mx

IPSE

ING. ALEJANDRO MORALES RODRÍGUEZ

Tel: 5335 1916 amorales@ipseenergia.com

ECOENERGIAS RENOVABLES ING. GERARDO PANDAL RODRÍGUEZ

Tel: 5219 2235 gpandalg@guas-mex.com.mx

SECTOR PÚBLICO

SECRETARÍA DE ENERGÍA (SENER)

>> PEDRO JOAQUÍN COLDWELL, SECRETARIO

Tel: 5000-6000 Ext. 1000 y 1062. secretario@energia.gob.mx

>> LOURDES MELGAR PALACIOS, SUBSECRETARIA DE HIDROCARBUROS

Tel: 5000-6012, ext. 1495 lmelgar@energia.gob.mx

>> CÉSAR EMILIANO HERNÁNDEZ OCHOA, SUBSECRETARIO DE ELECTRICIDAD

Tel: 5000-6120 ext. 1200. cehernandez@energia.gob.mx

>> LEONARDO BELTRÁN RODRÍGUEZ, SUBSECRETARIO DE PLANEACIÓN Y TRANSICIÓN ENERGÉTICA

Tel: 5000-6000, ext. 2674 lbeltran@energia.gob.mx

>> JOSÉ LUIS FERNÁNDEZ ZAYAS, DIR. EJECUTIVO DEL INSTITUTO DE INVESTIGACIONES ELÉCTRICAS

Tel: 01 (777) 318-2424 joseluis.fernandez@iie.org.mx

COMISIÓN DE ENERGÍA DEL SENADO DE LA REPÚBLICA

>> SEN. DAVID PENCHYNA GRUB, PRESIDENTE

Tel: 5345 3000 Ext.: 3166. dpenchyna@senado.gob.mx

COMISIÓN DE ENERGÍA DE LA CÁMARA DE DIPUTADOS

>> DIP. ANDRÉS MARCO ANTONIO BERNAL GUTIÉRREZ, PRESIDENTE

Tel: 5036 0000 Ext. 5011-1833 marco.antonio@congreso. gob.mx

JULIO 2015 | energíahoy | 61 DIRECTORIO

DIRECTORIO

COMISIÓN FEDERAL DE ELECTRICIDAD (CFE)

>> ENRIQUE OCHOA REZA, DIRECTOR GENERAL

Tel: 5553-6537, 5229-4400, ext. 90001 eochoa@cfe.gob.mx

>> RAMÓN DÍAZ DE LEÓN ZAMUDIO, SRIO. PARTICULAR DEL DIR. GRAL.

Tel: 5273-6241 y 5229-4400, ext. 90002 ramón.diazdeleon@cfe.gob.mx

>> JAIME HERNÁNDEZ MARTÍNEZ, DIR. DE FINANZAS

Tel: 5705-0538 jaime.hernandez16@cfe.gob.mx

>> LUIS CARLOS HERNÁNDEZ AYALA, DIR. DE OPERACIÓN 5229-4400, ext. 86900 carlos.hernandez@cfe.gob.mx

>> HÉCTOR DE LA CRUZ OSTOS, DIRECTOR DE ADMINISTRACIÓN

Tels: 5286-0735 ext.94500 hector.delacruz@cfe.gob.mx

>> BENJAMÍN GRANADOS DOMÍNGUEZ, DIRECTOR DE PROYECTOS DE INVERSIÓN FINANCIERA

Tel: 5229-4400, ext. 93500 benjamin.granados@cfe. gob.mx

>> GUILLERMO TURRENT SCHNAAS, DIRECTOR DE MODERNIZACIÓN Y CAMBIO ESTRUCTURAL

Tel: 5229-4400, ext. 90026 guillermo.turrent@cfe.gob.mx

>> DR. FLORENCIO ABOYTES GARCÍA, SUBDIRECTOR DE PROGRAMACIÓN

Tel: 5229-4400, ext.80001 florencio.aboytes@cfe.gob.mx

>> ING. NOÉ PEÑA SILVA, SUBDIRECTOR DE TRANSMISIÓN

Tel: 5490-0400, ext. 31010 noe.pena@cfe.gob.mx

>> ING. FRANCISCO GABREIL DE LA PARRA. SUBDIRECTOR DE GENERACIÓN

Tel: 5490-4030 francisco.delaparra@cfe. gob.mx

>> ROBERTO VIDAL LEÓN, SUBDIRECTOR DE DISTRIBUCIÓN

Tel: 5241-8403 roberto.vidal@cfe.gob.mx

>> ALBERTO RAMOS ELORDUY WOLFLINGSEDER, SUBDIRECTOR DE DESARROLLO DE PROYECTOS

Tel: 5229-4400, ext. 93530 alberto.ramos01@cfe.gob.mx

>> ING. JUAN BAUTISTA FLORES, COORDINADOR DE TRANSMISIÓN

Tels: 5490-0400, ext. 33010 juan.bautista@cfe.gob.mx

COMISIÓN NACIONAL PARA EL USO EFICIENTE DE ENERGÍA (CONUEE)

>> ING. ODÓN DE BUEN RODRÍGUEZ, DIRECTOR GENERAL

Tel: 3000-1000 Ext.-1203 odon.debuen@conuee.gob.mx

>> LIC. LETICIA ACACIO TRUJILLO, SECRETARÍA TÉCNICA

Tel: 3000-1000 Ext.-1030 acaio@conuee.gob.mx

>> ING. FERNANDO HERNÁNDEZ PENSADO, DIRECTOR GRAL. ADJUNTO DE NORMATIVIDAD EN EFICIENCIA ENERGÉTICA

Tel: 3000-1000 Ext.-1112 Fernando.hernandez@conuee. gob.mx

>> ING. GONZALO MONTEMAYOR MEDINA, DIRECTOR GRAL. ADJUNTO DE FOMENTO, DIFUSIÓN E INNOVACIÓN

Tel: 3000-1000 Ext.-1025 Gonzalo.montemayor@ conuee.gob.mx

>> ING. JUAN IGNACIO NAVARRETE BARBOSA, DIR. GENERAL ADJUNTO DE POLÍTICAS Y PROGRAMAS

Tel: 3000-1000 Ext.-1083 juan.navarrete@conuee.gob.mx

>> ING. ISRAEL JÁUREGUI NARES, DIRECTOR GENERAL ADJUNTO DE GESTIÓN PARA LA EFICIENCIA ENERGÉTICA

Tel: 3000-1000 Ext.-1234 israel.jauregui@conuee.gob.mx

FIDEICOMISO PARA EL AHORRO DE ENERGÍA ELÉCTRICA (FIDE)

>> RAÚL TALAN RAMÍREZ, DIRECTOR GENERAL

Tel: 1101-0520, ext. 96430 raul.talan@cfe.gob.mx

COMISIÓN REGULADORA DE ENERGÍA (CRE)

>> FRANCISCO SALAZAR, PRESIDENTE

Tel: 5283-1500 y 5283-1515 fsalazar@cre.gob.mx

PETRÓLEOS MEXICANOS (PEMEX)

>> EMILIO LOZOYA AUSTIN, DIRECTOR GENERAL

Tel. 1944-9419 directorgeneral@pemex.com

PEMEX-PETROQUÍMICA

>> MANUEL SÁNCHEZ GUZMÁN, DIRECCIÓN GENERAL DE PETROQUÍMICA BÁSICA

Tel: 1944-8983 manuel.sanchez@pemex.com

>> JOSÉ ANTONIO GÓMEZ URQUIZA, SUBDIRECTOR DE ADMINISTRACIÓN Y FINANZAS

Tel: 1944-5678 Jose.gomezurquiza@pemex.com

>> MARCELO PARIZOT MURILLO, SUBDIRECTOR DE GAS LICUADO Y PETROQUÍMICOS BÁSICOS Tel: 1944-5252 Juan.marcelo.parizot@pemex.com

>> JORGE DE LA HUERTA MORENO, SUBDIRECTOR DE GAS NATURAL Tel: 1944-5956 jorge.delahuerta@pemex.com

>> ARMANDO ARENAS BRIONES, SUBDIRECTOR DE PRODUCCIÓN Tel: 1944-5114 armando.ricardo.arenas@ pemex.com

PEMEX-EXPLORACIÓN Y PRODUCCIÓN

>> GUSTAVO HERNÁNDEZ GARCÍA, DIRECTOR GENERAL Tel: 1944-8044 gustavo.hernandez@pemex. com

>> LUIS SERGIO GUASO, SUBDIRECCIÓN DE DESARROLLO DE NEGOCIOS Tel: 1944-9123 guaso@pemex.com

PEMEX-REFINACIÓN

>> MIGUEL TAME, DOMÍNGUEZ, DIRECTOR GENERAL Tel: 1944-9176 miguel.tame@pemex.com

>> FELIPE ALBERTO CAREAGA CAMPOS, GTE. DE MANTENIMIENTO DE REFINERÍAS

Tel: 5531-6043 felipe.alberto.careaga@pemex.com

>> LUIS ALBERTO NÚÑEZ SANTANDER, GERENTE DE LA COORDINACIÓN DE OPERACIONES

Tel: 1944-2500 ext. 58290

PEMEX-PETROQUÍMICA

>> RAFAEL BEVERIDO LOMELÍN, DIRECTOR GRAL.

Tel: 1944 2500 Rafael.beverido@pemex.com

>> HORACIO AGUIRRE BACEROT, ADMINISTRADOR GRAL/ COMPLEJO PETROQUÍMICA INDEPENDENCIA

Tel: 01 (248) 484-0199 haguirre@ptq.pemex.com

PEMEX-DIRECCIÓN

CORPORATIVA DE FINANZAS

>> MARIO ALBERTO BEAUREGARD ÁLVAREZ

Tel: 1944-9781 mario.beauregard@pemex.com

PEMEX-DIRECCIÓN CORPORATIVA DE ADMINISTRACIÓN

>> VÍCTOR DÍAZ SOLÍS

Tel: 1944-8016 victor.diaz@pemex.com

PEMEX-DIRECCIÓN CORPORATIVA DE OPERACIONES

>> CARLOS RAFAEL MURRIETA CUMMINGS, DIRECTOR CORPORATIVO DE OPERACIONES

Tel: 1944-2500

PEMEX-DIRECCIÓN CORPORATIVA DE TECNOLOGÍA DE INFORMACIÓN Y PROCESOS DE NEGOCIO

>> JOSÉ LUIS LUNA CÁRDENAS, Marina Nacional N°329, piso 28. Col. Huasteca. Miguel Hidalgo. C.P. 11311. México, D.F.

COMISIÓN NACIONAL DE HIDROCARBUROS (CNH)

>> JUAN CARLOS ZEPEDA MOLINA, COMISIONADO PRESIDENTE

Tel: 3626-6086 Ext. 2201 zepedajuancarlos@cnh.gob.mx

>> ALMA AMÉRICA PORRES

LUNA, COMISIONADA

Tel: 1454-8500 Ext. 8587 aporres@cnh.gob.mx

>> SERGIO PIMENTEL VARGAS, COMISIONADO

Tel: 3626-6086 Ext. 2206 sergio.pimentel@cnh.gob.mx

>> EDGAR RENÉ RANGEL GERMÁN, COMISIONADO

Tel: 3626-6086 Ext. 2205 edgar.rangel@cnh.gob.mx

>> NÉSTOR MARTÍNEZ ROMERO, COMISIONADO

Tel: 3626-6086 Ext. 2203 nestor.martinez@cnh.gob.mx

>> HÉCTOR ALBERTO ACOSTA FÉLIX, COMISIONADO

Tel: 3626-6086 Ext. 2207 hector.acosta@cnh.gob.mx

>> GUILLERMO CRUZ DOMÍNGUEZ VARGAS, COMISIONADO

Tel: 3626-6086 Ext. 2204 guillermo.dominguez@cnh. gob.mx

INSTITUTO MEXICANO DEL PETRÓLEO (IMP)

>> VINICIO SURO PÉREZ, DIRECTOR GENERAL Tel: 9175-6120 vsurop@imp.mx

>> ERNESTO RÍOS PATRÓN, DIR. CORPORATIVO DE PLANEACIÓN Y DESARROLLO Tel: 9175-6085

>> JUAN ARTURO LIM MEDRANO, DIRECTOR CORPORATIVO DE OPERACIÓN Tel: 9175-6150 jalim@imp.mx

>> ESTEBAN CEDILLO PARDO, DIRECTOR DE INVESTIGACIÓN Y POSGRADO Tel: 9175-6246 ecedillo@imp.mx

>> ALMA AMÉRICA PORRES LUNA, DIRECTOR DE PRODUCCIÓN Y EXPLORACIÓN Tel: 9175-6230 aporres@imp.mx

>> ARTURO RICARDO ROSALES GONZÁLEZ, DIR. DE INGENIERÍA DE PROYECTO Tel: 9175-6103 arosales@imp.mx

62 | energíahoy | JULIO 2015

AHORRO DE ENERGÍA TÉRMICA

Motores asíncronos trifásicos

Zt

ZONA TÉCNICA

Los motores son unos de los mayores consumidores de electricidad en el sector industrial (cerca del 60%), ya que son parte importante de numerosas instalaciones. Dada su importancia e impacto en los costos energéticos, resulta necesario identificar y evaluar posibles oportunidades de ahorro. Por ello, analizaremos los principios básicos del motor asíncrono trifásico, aportando algunas líneas de mejora que minimicen esos costos operativos.

Componentes

El motor asíncrono es uno de los equipos más utilizados en el sector industrial tanto por sus características constructivas que aportan un mantenimiento reducido, como por una simplicidad técnica y una robustez del material.

El motor asíncrono se compone básicamente de:

Estator:

El estator de un motor trifásico corresponde a la parte fija del motor asíncrono. Este elemento está constituido por un núcleo de hierro laminado, cuya función es la de canalizar el flujo magnético, y devanados o bobinas de cobre (tres fases) alojadas en las ranuras del núcleo.

Rotor:

El rotor corresponde a la parte móvil del motor y puede ser: –Bobinado (o de anillos): rotor constituido por varios devanados similares

64 | energíahoy | JUNIO 2015
TEXTO: JEROME PENARROYA

a los del estator y escobillas que generan resistencias. Este tipo de rotor resulta complejo, de gran volumen y requiere de un mantenimiento periódico.

–Jaula de ardilla (o cortocircuito): rotor constituido por barras cerradas en cortocircuito, que otorga robustez y sencillez. Existen variantes a este tipo de rotor.

En ambos casos, el circuito rotórico está en cortocircuito por anillos o reóstato.

El motor asíncrono de jaula está muy extendido en el sector industrial debido a su bajo costo y sus características constructivas que otorgan fiabilidad y durabilidad. El rango de potencia de las maquinas asíncronas se extiende desde unos cientos de vatios a varios decenas de megavatios.

Otros componentes:

Además del rotor y estator, existen otros componentes que conforman el motor:

–Cojinetes que están instalados sobre el estator y cuya función es la de mantener el eje del motor.

–Carcasa que combinada con las aletas, se destinan a proteger el equipo tanto mecánicamente como térmicamente, ya que disipan el calor generado.

–Ventilador que su función es la de permitir la evacuación del calor.

Principio de funcionamiento

El motor asíncrono es de corriente alterna cuya frecuencia de rotación es menor a la frecuencia de suministro (es decir no es síncrono).

Como resultado de la alimentación en corriente alterna del estator, se produce un campo magnético rotante de la misma frecuencia que la de suministro. El campo electromagnético del rotor induce una fuerza electromotriz al rotor que genera corrientes, que de acuerdo a la Ley de Lenz provoca un par motor que hace girar al rotor, idealmente esta rotación debería estar en sincronía con la frecuencia del campo magnético. Lo que en realidad ocurre es que debido a las pérdidas en el motor y al rozamiento de los cojinetes hay un concepto de deslizamiento como diferencia de la rotación del campo magnético y el rotor.

La “regla de los tres dedos de la mano derecha” permite establecer el sentido de la fuerza motriz, campo magnético y corriente, como se observa en el esquema adjunto:

Como se observa en el esquema anterior, el campo rotante, en un momento concreto, es orientado hacia arriba. Si se consideran dos conductores ubicados diametralmente en oposición, se comprueba que las corrientes inducidas en esos dos conductores son de sentido inverso y, asociados al campo magnético, crean fuerzas motrices de sentido inverso, permitiendo la rotación de la jaula de ardilla.

En un motor trifásico existen un mínimo de tres devanados que se encuentran desfasados uno de otro de 120°, como se muestra en el esquema adjunto.

En el momento que los devanados del estator son recorridos por una corriente trifásica, se genera un campo magnético rotante a la velocidad de sincronismo. Esta velocidad es función de la frecuencia de alimentación (60 Hz en México) y del número de pares de polos. En vista de que la frecuencia es fija, la velocidad de rotación del campo magnético rotante del motor podrá únicamente variar con base al número de pares de polos.

JUNIO 2015 | energíahoy | 65

Características de un motor: deslizamiento, par motor y velocidad de rotación

Deslizamiento: Como ya se detalló, la velocidad de rotación del eje del motor es diferente a la de sincronismo (velocidad del campo magnético rotante). Esta diferencia de velocidad se denomina deslizamiento y se sujeta a la siguiente ecuación:

Donde, n 0 Velocidad del campo giratorio n n Velocidad de rotación del eje

El deslizamiento es generalmente expresado en porcentaje de la velocidad de sincronismo n0.

En la gráfica se observa que se debe seleccionar el tipo de motor en base a la tipología de rotor ya que ofrecen variaciones significativas. Una de las características importantes de los motores asíncronos es que, en ciertas condiciones, se pueden transformar en generadores eléctricos.

La velocidad de sincronismo, se calcula en base a la frecuencia de la red y del número de pares de polos, tal y como se observa en la siguiente ecuación:

Donde, n 0 Velocidad del campo giratorio f Frecuencia de la red (60 Hz) p Numero de par de polos

Par motor: El par motor M de un motor asíncrono es función de la potencia P y de la velocidad de rotación n del motor y se calcula en base a:

Control de la velocidad de rotación: El control de la velocidad de rotación de un motor asíncrono es indispensable para muchas aplicaciones donde se utilicen esta tipología de equipos. Por lo tanto, resulta interesante reflejar los parámetros que influyen en esta velocidad, a través de la siguiente ecuación: Donde, s Deslizamiento en % n 0 Velocidad del campo giratorio n n Velocidad de rotación del eje Donde, f Frecuencia de la red (60 Hz) p Numero de par de polos

En base a lo anterior se deduce que la velocidad de rotación, puede ser controlada por:

1. El número de pares de polos La mayoría del tiempo son motores donde el rotor se compone de dos números diferentes de par de polos. Las bobinas o devanados se encuentran dispuestos de una forma particular en las ranuras del estator. Esta configuración hace complejo la estructura del motor. Los diferentes acoplamientos por pares de polos permiten obtener diferentes velocidades.

Donde, P Potencia del motor en kW n Velocidad de rotación del motor en r.p.m.

Una de las gráficas más características de los motores asíncronos es la del par en base al deslizamiento.

2. El deslizamiento del motor (motor de anillos).

La frecuencia de la red:

3. Actualmente, el control de la velocidad de los motores asíncronos se realiza electrónicamente a través de variadores de velocidad. Se puede controlar la velocidad de rotación del motor modificando la frecuencia ya que la velocidad del campo rotante a nivel del estator cambia. Para poder conservar el par motor, se debe cambiar la tensión con relación al cambio de frecuencia manteniendo una constante, tal y como se observa en la ecuación siguiente.

Donde, M Par motor en N.m U Tensión en V

I Corriente absorbida por el motor en A

66 | energíahoy | JUNIO 2015

Si la relación entre la tensión y frecuencia se mantiene constante, el par se mantendrá de igual forma constante.

par motor es más débil que el nominal, como por ejemplo los ventiladores.

La ventaja de este modo de arranque es que no existen cortes de alimentación eléctrica en el periodo de puesta en marcha. La característica del par motor son sensiblemente similares a las obtenidas con el arranque estrella-delta. Sin embargo la corriente al momento del arranque se mantiene elevada.

Arranque rotórico:

El arranque rotórico tiene como función limitar las corrientes rotóricas que circulan en el inducido. El motor se comporta como un transformador, la corriente en línea también se encontrara limitada.

El control del motor por variación de frecuencia y tensión ofrece grandes ventajas tales como: la limitación de las corrientes pico de arranque en torno a 1.5 la corriente nominal, y un par motor relativamente constante durante las variaciones de velocidad del motor.

Conexionado del motor asíncrono trifásico

El estator de un motor asíncrono trifásico dispone de tres devanados que pueden ser conectados en estrella (Y), y en delta (Δ)-

La selección de la conexión depende exclusivamente de las tensiones de la red de alimentación, y las indicaciones reflejadas en la placa de datos que mencionan las condiciones de funcionamiento.

Arranque de los motores asíncronos

Independientemente de los arrancadores electrónicos que ya fueron tratados en un artículo anterior, analizaremos los cuatro procesos electromecánicos más utilizados para garantizar el arranque de los motores asíncronos trifásicos. Tienen como interés limitar la corriente de arranque y asegurar una puesta en marcha suave y menos brusca. Para cada uno de estos procesos, existen circuitos de potencia, circuitos de mando y diagramas funcionales.

Arranque directo:

En este proceso, el estator del motor se encuentra conectado directamente a la red de alimentación trifásica. El arranque se realiza en un solo tiempo. Hay que destacar, que únicamente los motores asíncronos trifásicos con rotor en corto circuito de jaula de ardilla pueden ser arrancados de esta forma.

Arranque estrella-delta:

El principio de funcionamiento del arranque estrella-delta consiste en sub-alimentar el motor durante casi todo el periodo de arranque, poniéndolo en conexión estrella. Por lo tanto, se debe utilizar un motor que se encuentre normalmente conectado en delta y donde todas sus extremidades de devanados vuelvan a la placa de bornes.

Arranque por resistencias estatóricas

El arranque por resistencias estatóricas, como para el arranque estrella-delta, tiene como función sub alimentar el motor durante casi todo el proceso de inicio de funcionamiento, poniendo en serie unas resistencias con el motor. Este tipo de proceso de arranque, suele ser utilizado en máquinas donde el

El uso de este tipo de arranque es en máquinas de potencia superiores a 100 kW como por ejemplo compresores a pistón rotativos, bombas, entre otros.

La corriente absorbida es sensiblemente proporcional al par motor entregado. Obtenemos a menudo pares de arranque iguales a 2.5 veces al par motor nominal sin sobre intensidades excesivas. También se pueden reducir estas sobre intensidades aumentando el número de arranques.

Conclusiones

En este artículo hemos recorrido los fundamentos técnicos de los motores asíncronos, destacando las principales características que intervienen en su funcionamiento como eficiencia.

Existen numerosas tipologías de motores y arrancadores que deben ser cuidadosamente seleccionados para el propósito a los que van a ser destinados. Una buena elección inicial, garantiza un funcionamiento eficiente y una vida útil del equipamiento elevada.

Se debe destacar que en ciertas condiciones, el costo de inversión de un motor de alta eficiencia es poco representativo frente a las numerosas ventajas que ofrece, tales como su elevado tiempo de vida y mayor eficiencia frente a tecnologías convencionales.

Se ha comprobado que no solo las tecnologías eficientes permiten obtener ahorros económicos. Una buena selección, un buen mantenimiento y un correcto control de la calidad de suministro de la energía garantizan ahorros económicos consecuentes.

Jérôme Penarroya. Es Ingeniero con grado de Master en Energía y con más de 20 años de experiencia en el sector energético y de instalaciones técnicas. (Certificado EVO, proyectos europeos I+D...).

jerome.penarroya@gmail.com

JUNIO 2015 | energíahoy | 67

Ley de Moore:

LA REVOLUCIÓN DE LOS SEMICONDUCTORES Y EL CAMINO AL LÍMITE ATÓMICO

Lc

LA CONJETURA

Un texto, de apenas cuatro páginas y conocido ahora como la Ley de Moore, contenía una especie de pronóstico de lo que sucedería en torno a la industria de los componentes semiconductores durante los próximos 10 años (es decir, entre 1965 y 1975). Con base en ciertas observaciones, el autor aseguraba que durante el último año, el número de componentes de un circuito integrado (transistores, capacitores, resistencias y diodos) se habían duplicado y que esta tendencia se repetiría durante toda esa década. Luego, en 1975, Moore corrigió su predicción y expuso que la duplicación tardaría dos años y no uno. Hoy sus pronósticos están cerca del llamado límite atómico.

Hace exactamente 50 años, un ingeniero estadounidense llamado Gordon Moore publicó un artículo en la revista Electronics que contenía una predicción que cambiaría la forma de entender el mundo. El texto titulado “Cramming more components onto integrated circuits” (que podría traducirse como “Abarrotar más componentes en circuitos integrados”), empezaba diciendo: “El futuro de la electrónica integrada es el futuro de la electrónica en sí. Las ventajas de la integración provocarán la proliferación de aparatos de este tipo, empujando esta ciencia hacia muchas nuevas áreas. Los circuitos integrados desembocarán en maravillas como computadoras caseras –o por lo menos terminales conectadas con una computadora central–, controles automáticos para carros y equipos de comunicación personal portables”.

Quizás habría que explicar el contexto en que se dio esta declaración para entender su importancia. A principios de abril de 1965, Estados Unidos puso en órbita su primer satélite de comunicaciones comercial: el Intelsat I o Early Bird. La empresa IBM llevaba cinco años trabajando casi exclusivamente en el desarrollo de computadoras, dejando a un lado las máquinas de escribir y los equipos para tarjetas perforadas. Y los circuitos integrados eran la novedad con no más de seis años en el mercado.

El texto, de apenas cuatro páginas y conocido ahora como la Ley de Moore, contenía una especie de pronóstico de lo que sucedería en torno a la industria de los componentes semiconductores durante los próximos 10 años (es decir, entre 1965 y 1975). Con base en ciertas observaciones, el autor aseguraba que durante el último año, el número de componentes de un circuito integrado (transistores, capacitores, resistencias y diodos) se habían duplicado y que esta tendencia se repetiría durante toda esa década. Luego, en 1975, Moore corrigió su predicción y señaló que la duplicación tardaría dos años y no uno.

Al momento de la publicación del artículo, Moore tenía 36 años y era considerado como una de las jóvenes promesas de su país. Nacido en California, en la ciudad de San Francisco, el 3 de enero de 1929, Gordon Earle Moore, el hombre cuyo nombre significa progreso, estudió en la Universidad Estatal de San

68 | energíahoy | JUNIO 2015
TEXTO: FERNANDO HERNÁNDEZ URIAS

José, en la Universidad de California y en el Instituto Tecnológico de California. En 1956, fue reclutado por William Shockley, un inventor norteamericano que había sido galardonado con el Premio Nobel de Física ese mismo año, para trabajar en el desarrollo de nuevos dispositivos semiconductores.

La relación no duró mucho tiempo. Un año después, junto con otros siete ingenieros muy jóvenes (Julius Blank, Victor Grinich, Jean Hoerni, Eugene Kleiner, Jay Last, Robert Noyce y Sheldon Roberts, quienes junto con Moore, fueron apodados como “los ocho traidores” o “los niños de Fairchild”) abandonó a Shockley para irse a trabajar en una nueva empresa: Fairchild Semiconductor. Ahí, el equipo empezó a experimentar en el desarrollo de transistores a base de silicio, a diferencia de la mayoría de empresas que trabajaban con germanio como material principal.

Una de las aportaciones más grandes del equipo fue el desarrollo del proceso planar, implementado en 1958, y el cual facilitó la construcción a muy bajo costo de circuitos complejos y muy eficientes que tenían medidas muy pequeñas. El primer transistor que Fairchild Semiconductor lanzó al mercado fue el 2N697. El primer lote de 100 piezas fue vendido a IBM, a un precio de 150 dólares cada transistor. Dos años después, en 1960, lanzaron al mercado el primer

circuito integrado de silicio, hecho que impulsó el desarrollo de la compañía enormemente: pasó de tener 12 empleados a una nómina de mil 200 y obtener ganancias anuales de hasta 130 millones de dólares.

Uno de sus principales competidores era la empresa Texas Instruments, donde trabajaba el ingeniero eléctrico Jack Kilby, quien desarrolló el primer circuito integrado de germanio, por el cual obtuvo la patente en Estados Unidos el 12 de septiembre de 1958. La empresa, fundada en diciembre de 1941, fue la responsable del diseño de la primera radio de transistores (1954), la primera calculadora de bolsillo (1967) y un microprocesador de un solo chip (1973).

Tras varios años como los líderes del mercado de los semiconductores, los problemas comenzaron en 1965 al interior de Fairchild. Varios de los empleados empezaron a abandonar el barco para fundar nuevas compañías y para reforzar empresas ya existentes. Los primeros en irse fueron Charles Sporck, Bob Wildar y David Talbert, quienes se sumaron a National Semiconductor.

Intel, una marca romperécords

En julio de 1968, tras renunciar a Fairchild Semiconductor Gordon Moore y Robert Noyce fundaron, en Mountain View, California, una nueva

El Intel 4004 fue desarrollado en 1971, y es considerado el primer microprocesador comercial de la historia. Este contaba con 2.300 transistores de 10 ųm de tamaño y operaba a una velocidad de 740 kHz.

JUNIO 2015 | energíahoy | 69
Gordon Earle Moore nació en la ciudad de San Francisco, California, el 3 de enero de 1929.

empresa: NM Electronics. Tan sólo unos meses después, llegaron a un acuerdo con una compañía llamada Intelco, a la cual le compraron los derechos para cambiar el nombre de su empresa a Intel. Con ayuda de Arthur Rock, un inversionista al que conocieron años atrás, consiguieron 2.5 millones de dólares, capital suficiente para empezar a trabajar. Rock, quien aportó los 10 mil dólares iniciales, fue nombrado presidente de Intel. Tan sólo dos años después, gracias a su primera oferta pública de acciones, la firma obtuvo 6.8 millones de dólares.

Su primer producto salió al mercado en 1969: el 3101 Schottky TTL bipolar de 64 bits de memoria de acceso aleatorio estática (SRAM). Y en 1971, crearon el Intel 4004, primer microprocesador comercial del mundo. Su diseño corrió a cargo del físico italiano Federico Faggin, quien también fue empleado de Fairchild Semiconductor. Era una unidad central de procesamiento de 4 bits en un solo chip. Con un desarrollo a pasos agigantados, la compañía tardó solamente un año en superar la

hazaña y en 1972 lanzaron el Intel 8008, el primer microprocesador de 8 bits.

Tras adquirir un pedazo de tierra de 26 acres en Santa Clara, California, Intel estableció su nueva sede ahí. Sin saberlo, serían parte de los fundadores de la región que hoy es conocida como Silicon Valley, de donde proviene gran parte de la tecnología con la que contamos actualmente. Después, en 1972, la firma abrió su primera planta productora fuera de los Estados Unidos. La ciudad elegida fue Penang, en Malasia. Ese mismo año, entraron al mercado de los relojes digitales con el lanzamiento de Microma. Para 1974, el Intel 8080, considerado como el primer microprocesador para propósitos generales, sale al mercado. Utilizado en semáforos, cajas registradoras y miles de aparatos más, estaba compuesto por 4 mil 500 transistores y era 10 veces más rápido que sus antecesores. También fue utilizado en una de las primeras computadoras personales: la Altair 8800, misma que se vendía por 439 dólares.

En 1975, Moore se convirtió en la cabeza de la

70 | energíahoy | JUNIO 2015

compañía y decidió enfocar todos los esfuerzos de la marca en el desarrollo de microprocesadores. La empresa celebró sus primeros 10 años de vida, en 1978, con una nómina de 10 mil empleados, y un año después ingresó a la lista de la revista Fortune como una de las 500 empresas más grandes y exitosas de Estados Unidos (debutando en el lugar 486). Durante la década de 1980, gracias a la popularidad de IBM y de las computadoras personales, Intel mantuvo su éxito comercial. Las ganancias de la marca llegaron a mil millones de dólares anuales en 1983 y a mil millones de datos personales, y dos años después lanzaron el procesador Inte386, un chip de 32 bits con el cual era posible, por primera vez, correr diferentes programas de software a la vez en una misma computadora.

A principios de junio de 1990, una tragedia golpeó a la compañía. Robert Noyce, amigo y socio de Gordon Moore, sufrió un ataque al corazón en su casa, ubicada en Austin, Texas. Tenía 62 años. La empresa contaba ya con más de 21 mil empleados para entonces. Pero lo mejor estaba por venir. En 1991, una campaña publicitaria titulada “Intel Inside” (misma que supuso una inversión de unos 500 millones de dólares por parte de la compañía) elevó las ventas de la marca hasta 4.8 mil millones de dólares anuales.

Ahora, Intel obtiene por ventas 55.87 mil millones de dólares anualmente y según la revista Forbes, ocupa el lugar 19 entre las marcas más valiosas del mundo. Sus chips son 3 mil 500 veces mejores que cuando iniciaron, lo que se refleja en una eficiencia energética 90 mil veces mayor y cuestan tan sólo 1/60,000 parte (para explicarlo, Brian Krzanich, el actual CEO de la compañía, hace una comparación: si un Volkswagen Sedán de 1971 hubiese sufrido la misma transformación ahora viajaría a 300 mil millas por hora, rendiría 2 millones de millas por galón y costaría tan sólo cuatro centavos de dólar). Tiene 106 mil 700 empleados y en fechas recientes ha adquirido empresas como McAfee, Stonesoft Corporation, BASIS, PasswordBox y Vuzix. Además de su éxito comercial, la empresa es una de las más estables del ramo. En casi 47 años de historia, sólo seis hombres han ocupado la dirección ejecutiva de la empresa: Robert Noyce (1968-1975), Gordon Moore (19751987), Andrew Grove (1987-1998), Craig Barrett (1998-2005), Paul Otellini (2005-2013) y Brian Krzanich (2013), quien ingresó a la compañía en 1982 y tiene 52 años.

El límite de la Ley de Moore

A sus 86 años, Gordon Moore pasa sus días en Hawaii, armando modelos de autos y aviones a escala. Su fortuna está calculada en 6.7 mil millones de dólares, cifra que lo coloca en el lugar 68 entre

los millonarios de Estados Unidos y en el lugar 195 en el mundo. Su trayectoria está llena de logros y éxitos. En 1976 ingresó como miembro de la Academia Nacional de Ingeniería, y ha recibido reconocimientos como la Medalla Nacional de Tecnología e Innovación, la Medalla de Oro Othmer, la Medalla de Honor IEEE y la Medalla Presidencial de la Libertad. Dedica gran parte de su tiempo a la filantropía. Junto con su esposa, encabeza una fundación dedicada a la conservación del medio ambiente y a la ciencia.

A propósito del 50 aniversario de la publicación del artículo en el que realizó su impactante predicción, Moore ha concedido un par de entrevistas. En una de ellas, para la revista IEEE Spectrum, el ingeniero responde a la pregunta de cuánto tiempo más cree que la Ley de Moore esté vigente: “Bueno, nunca he predicho su fin. He dicho que no se puede ver más allá de unas cuantas generaciones de chips, y que después parecería que habría alguna pared que nos detendría. Pero las paredes siguen cediendo. Me asombra qué tan creativos han sido los ingenieros al encontrar formas para rodear aquellos obstáculos que aparentemente serían el límite. Ahora estamos alcanzando un punto en el que es cada vez más y más difícil, y algunas de las leyes son fundamentales. Recuerdo que una vez tuvimos de visita a Stephen Hawking en el Silicon Valley. Dio una plática y después le preguntaron cuáles consideraba los límites de la tecnología de circuitos integrados. Aunque no es su área de trabajo, dio dos respuestas: la velocidad finita de la luz y la naturaleza atómica de los materiales. Y creo que está en lo correcto. Ya estamos muy cerca del límite atómico. Tomamos ventaja de toda la velocidad que podemos, pero la velocidad de la luz limita el rendimiento. Son cosas fundamentales y no veo cómo podríamos darles la vuelta. Y en las próximas generaciones, nos toparemos justo de frente contra ellas”.

Y entonces, ¿qué sigue?, pregunta el reportero, a lo que Moore responde: “Las cosas cambiarán cuando alcancemos ese punto. No podremos depender más de hacer las cosas más pequeñas y con una mayor densidad. Pero, para entonces, seremos capaces de hacer circuitos integrados compuestos por miles de millones de transistores. Y las posibilidades creativas que permite esto son fenomenales. Ahora hay otras tecnologías que permiten ir más allá en el uso del silicio. Algunas de las cosas relacionadas con la nanotecnología podrían jugar un rol principal, y materiales como el grafeno, una simple capa de hexágonos de carbono, son muy interesantes”. Así las cosas, parece que uno de los postulados que yace al fondo de la Ley de Moore (que el mundo seguirá cambiando, cada vez más rápido), seguirá vigente por mucho tiempo más.

JUNIO 2015 | energíahoy | 71

Accenture. Es una firma global de consultoría de negocios, tecnología y outsourcing, con más de 323 mil personas trabajando en 120 países. Colabora con sus clientes para ayudarles a convertir sus organizaciones en negocios de alto rendimiento.www. accenture.com/ mx-es/Pages/index.aspx

La transformación digital dará impulso a la competitividad

El aumento del uso de las tecnologías digitales podría impulsar la productividad de las 10 principales economías del mundo al sumar 1.36 billones de dólares para 2020, según el índice de Densidad Digital realizado por Accenture.

El Índice de Densidad Digital mide el grado en que las tecnologías digitales penetran en las empresas y en la economía de un país. La “Densidad Digital” de un país está determinada por un sistema de puntuación que comprende más de 50 indicadores, como el volumen de las transacciones efectuadas en línea, el uso de la nube u otras tecnologías para agilizar los procesos, la presencia dominante de las habilidades tecnológicas en una empresa, o la aceptación de una economía con nuevos modelos de negocio impulsados de manera digital.

En su nivel más amplio, el Índice revela que una mejora de 10 puntos en la densidad digital (en una escala de 100 puntos) en cinco años elevaría 0.25 puntos porcentuales las tasas de crecimiento del Producto Interno Bruto (PIB) en las economías avanzadas y 0.5 puntos porcentuales en las economías emergentes.

A un nivel más detallado, el Índice identifica los factores que refuerzan o debilitan la densidad digital de una economía. Esto puede ayudar a los líderes empresariales y políticos a determinar su estrategia digital, medir su progreso y determinar el retorno definitivo de sus inversiones.

Como muchas empresas se esfuerzan por aumentar su crecimiento y la competitividad, el indicador se puede utilizar para identificar los “puntos digitales sensibles”, que indican dónde es mejor ubicar las diferentes operaciones de una empresa en función de las fortalezas digitales comparativas de esa ubicación.

Según el análisis, Holanda se ubica con la densidad digital más alta, seguido de EU, Suecia, Corea del Sur, Reino Unido y Finlandia.

Aunque las acciones necesarias para permitir una mayor eficacia digital en las compañías pueden variar según las diferentes geografías, hay cuatro recomendaciones que acelerarían esta transformación:

1. Integrar la transformación digital a la agenda de los negocios. Considerando que 90% de las empresas en México tienen acceso a tecnologías digitales, los tomadores de decisión deben trabajar en conjunto para aprovecharlas y transformar así a las corporaciones que dirigen.

2. Crear mercados digitales. Como los límites tradicionales de la industria se desvanecen, los

gobiernos tienen que centrarse en proteger a los consumidores y a su vez colaborar con las empresas para entender los nuevos modelos de negocio y habilidades requeridas en el entorno actual.

3. Operar las empresas de manera digital. Es determinante que las empresas integren el diferenciador digital en su estrategia para acelerar la transformación de sus operaciones, dinamizar la cadena de suministro y desarrollar nuevos canales para servir a sus clientes; además de implementar herramientas de análisis de información y nuevas tecnologías para profundizar la relación con ellos.

4. Gestionar entornos favorables. Si bien la infraestructura -como la súper banda ancha y la banda ancha móvil- sigue siendo importante para el crecimiento digital, los gobiernos también deben centrarse en facilitar a los empresarios el uso de tecnologías digitales para iniciar negocios, racionalizar el marco regulador, buscar formas innovadoras de crear las capacidades adecuadas en el talento y apoyar la confianza entre los ciudadanos y las empresas.

Metodología:

El Índice de Densidad Digital de Accenture mide el grado en que las tecnologías digitales penetran en las empresas y en la economía de un país. La “Densidad Digital” de un país está determinada por un sistema de puntuación que comprende más de 50 indicadores, como el volumen de las transacciones efectuadas en línea, el uso de la nube u otras tecnologías para agilizar los procesos, la presencia dominante de las habilidades tecnológicas en una empresa, o la aceptación de una economía con nuevos modelos de negocio impulsados de manera digital.

Nota: Billón = Un millón de millones.

72 | energíahoy | JUNIO 2015 KELLY SERVICES
TOQUES
ILUSTRACIÓN: ROBERTO PAZ

Turn static files into dynamic content formats.

Create a flipbook
Issuu converts static files into: digital portfolios, online yearbooks, online catalogs, digital photo albums and more. Sign up and create your flipbook.