
1 minute read
Trigonometría
from Trigonometría 1
La trigonometría es la parte de la matemática que se encarga de estudiar y medir los triángulos, las relaciones entre sus ángulos y lados, haciendo uso de funciones trigonométricas, como: seno, coseno, tangente, cotangente, secante y cosecante.
2. Funciones trigonométricas:
Advertisement
Las funciones trigonométricas en un triángulo rectángulo. Es aquél que tiene un ángulo recto donde a los lados menores, se les conocen como catetos, y al lado mayor como hipotenusa. Siendo las funciones respecto a uno de sus ángulos agudos como se detalla:
Las funciones trigonométricas son el seno, senØ; el coseno, cosØ, y la tangente, tanØ; cotangente, CtgØ; secante, SecØ y cosecante, CoscØ. Se definen como:
3. Identidades Trigonométricas:
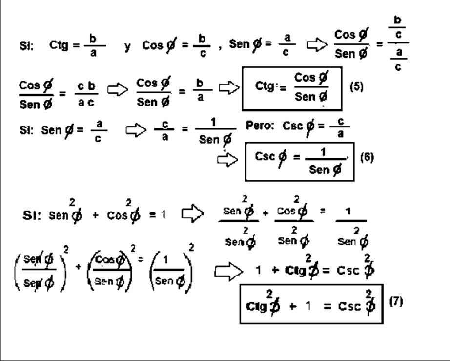
Las identidades trigonométricas son igualdades que involucran funciones trigonométricas y se verifican para cualquier valor permitido de la variable o variables que se consideren, es decir, para cualquier valor que pudieran tomar los ángulos sobre los cuales se aplican las funciones. Si la gráfica de dos funciones coincide, entonces es una identidad. En cambio, si solamente se cortan en uno o algunos puntos, entonces se trata de una ecuación trigonométrica cuyas soluciones son las abscisas de los puntos de corte.
A) Identidades Trigonométricas Pitagóricas: Las identidades trigonométricas pitagóricas se obtienen al aplicar el Teorema de Pitágoras a las definiciones de las funciones trigonométricas. Son tres identidades y se cumplen para cualquier valor del ángulo Ø. A continuación, te mencionamos cuáles son y cómo se obtienen.


1. Hallar la identidad de:
Situaciones
2. Simplificar:
3. Calcule el valor de E:

4. De la Expresión:
5. De la expresión:
6. De la expresión:
7. De la expresión:
8. De la Expresión:
9. De la expresión:
10. De la expresión:
11. De la expresión:
12. De la expresión:
13. De la expresión:
14. De la expresión:
15. De la Expresión:
16. De la expresión:
17. De la expresión:
18. De la expresión:
19. De la expresión:
20. De la expresión:
21. De la expresión: