Topografía Práctico

Page 1

Topografía: Por el Ing. Segundo Silva Maguiña

1

1. CONCEPTO:

NIVELACION TOPOGRAFICA

Es la operación topográfica que permite determinar las cotas de los puntos del terreno y/o sus diferencias de nivel.

Luego, tanto los levantamientos altimétricos como los replanteos altimétricos se llevan a cabo por medio de la nivelación. Se debe tener presente que el levantamiento altimétrico de una superficie es posterior a su levantamiento planimétrico, y que antes de comenzar a nivelar se elige la superficie o plano horizontal de referencia. En los levantamientos se determinan las cotas que realmente tienen los puntos del terreno. Los replanteos altimétricos consisten en poner los puntos del terreno al nivel o cota que indica el plano de la obra de ingeniería.

2. BENCH MARK (BM):

Significa banco marca o banco de nivel; es todo punto cuya cota se ha determinado con gran exactitud con la finalidad de ser utilizados como puntos de control en los levantamientos y en los replanteos altimétricos. Los Benchs Marks (BMs) constituyen los puntos de partida para las nivelaciones. Los Benchs Marks (BMs) son de dos tipos: - BMs Permanentes, - BMs Temporales.

2.1. LOS BMs PERMANENTES:

Generalmente tienen cotas absolutas y deben permanecer en el terreno a través del tiempo, es decir que no deben destruirse. En el Perú los pone el INSTITUTO GEOGRAFICO NACIONAL (I.G.N). Estos BMs se materializan en el terreno por medio de dados de concreto en cuya cara superior se empotra un disco de bronce en el cual se inscribe el nombre de la institución que los puso, el código del BM

2.2. LOS BMs TEMPORALES:

Los pone la empresa que tiene a cargo el estudio topográfico de la superficie destinada al proyecto de una obra de ingeniería. Los BMs Temporales pueden tener cota absoluta o cota relativa según el tipo de obra a realizarse.

3. BM DE COTA RELATIVA:

Cuando en las cercanías de la zona del proyecto de ingeniería no existe un BM oficial o permanente para iniciar la nivelación de la superficie, se puede elegir un BM particular o temporal al cual se le asigna una cota relativa arbitraria.

Por
Ing. Segundo
Maguiña 2
Topografía:
el
Silva

Topografía: Por el Ing. Segundo Silva Maguiña

Comúnmente a estos BMs particulares elegidos se les asigna una cota 100m; automáticamente se estaría eligiendo el plano de referencia a 100m debajo del BM particular, y las cotas de los puntos obtenidos por nivelación serían cotas relativas.

4. MODELO DE LIBRETA DE NIVELACION DE B.M.:

4.2. NIVELACION DE REGRESO:

CALCULOSANALITICOS

1) LONGITUD MEDIDA (DT):

• IDA: 600

• REGRESO: 600

• LONG.TOT.: 1200 DT= 1.200 m

2) ERROR ADMISIBLE (Ea):

Ea= ±0.02 K = ±0.02 1.200 =±0.022

3) ERROR DE CIERRE (Ec):

Ec= Cota (LL) – Cota(P)

Ec= 345.157 - 345.150 = +0.007

4) CALIFICACION DEL TRABAJO: Ec < Ea 0.007 < 0.022 → TRABAJO ACEPTABLE.

3
4.1. NIVELACION DE IDA: P.V. V.AT. ٨ V.AD. h COTA BM1 345.150 1 1.152 0.347 0.805 345.955 2 2.153 2.758 -0.605 345.350 BM2 2.246 0.251 1.995 347.345
P.V. V.AT. ٨ V.AD. h COTA BM2 347.345 2 0.411 2.396 -1.985 345.360 1 2.556 2.313 0.243 345.603 BM1 0.505 0.951 -0.446 345.157

Topografía: Por el Ing. Segundo Silva Maguiña

5) COMPROBACION DE LA LIBRETA DE NIVELACION:

∑V.AT – ∑V.AD = H A y B

a) DE IDA NIVELACION:

∑V.AT. =1.152 ∑V.AD = 0.347

∑V.AT – ∑V.AD = 5.551 – 3.356 = 2.195

H A y B = Cota (LL) – Cota (P)

H A y B = 347.345 –345.150 = 2.195

∑V.AT – ∑V.AD = H A y B

2.195 = 2.195 → NO HAY ERROR EN CALCULOS

b) NIVELACION: DE IDA Y REGRESO:

∑V.AT – ∑V.AD = Cota (LL) – Cota (P)

9.023 - 9.016 = 345.157 - 345.150

0.007 = 0.007 → ERROR DE CIERRE POR EXCESO

6) COMPENSACION DEL ERROR DE CIERRE:

• CALCULO DE LOS FACTORES DE COMPENSACION (fc):

Fc BM2 = - (0,007) x 600 = - 0.0035 = - 0.004 1200

Fc BM1 = - (0,007) x 1200 = - 0.007 1200

7) COTA COMPENSADA (CC):

• CC BM2 = 347.345 + (-0.004) = 347 341

• CC BM1 = 345.157 + (-0.007) = 345.150

CLASIFICACION DE LA NIVELACION

1. Nivelación Geométrica

2. Nivelación Trigonométrica

3. Nivelación Taquimétrica

4. Nivelación Barométrica

4
2.153 2.758 2.246 0.251 5.551 3.356

1. NIVELACION GEOMÉTRICA. -

Permite obtener mayor precisión en la determinación de las elevaciones, es más utilizada. Se le utiliza para nivelar:

• Redes de nivelación,

• Para nivelar todo tipo de ejes, (carreteras, canales, etc.)

• Para nivelar superficies llanas o ligeramente onduladas y

• Para el replanteo altimétrico de todas las obras de la ingeniería. El instrumento utilizado es el Nivel del Ingeniero con la mira o estadía.

2.NIVELACIÓN TRIGONOMÉTRICA. -

Es menos precisa que la geométrica. Se le utiliza para determinar:

• Las cotas de puntos aislados ubicados en superficies accidentadas o inaccesibles; por ejemplo: torres, chimeneas, antenas, etc.

• Determinar las cotas de los vértices de las triangulaciones y de poligonales electrónicas.

El instrumento utilizado es el teodolito con una señal que puede ser un jalón el cual se coloca verticalmente en el punto visado, obteniéndose el desnivel entre dos puntos a partir de los ángulos verticales observados y de las distancias horizontales o inclinadas entre los dos puntos.

3. NIVELACIÓN TAQUIMÉTRICA. -

Es menos precisa que las anteriores.

• Se le utiliza para nivelar superficies accidentadas.

• El instrumento utilizado es el teodolito con la mira o estadía.

4. NIVELACIÓN BAROMÉTRICA. -

Es la menos precisa de todas las clases de nivelación. Se le utiliza en los trabajos de reconocimiento en zonas muy accidentadas. El instrumento utilizado es el barómetro o el altímetro. La nivelación barométrica se apoya en el fenómeno de que las diferencias de elevación son proporcionales a las diferencias en la presión atmosférica. Por consiguiente, las lecturas de un barómetro en varios puntos de la superficie terrestre proporcionan una medida de las elevaciones relativas de tales puntos.

NIVELACIÓN GEOMÉTRICA

• Es aquella que se realiza por medio de visuales horizontales.

• El instrumento utilizado es el nivel de anteojo o nivel del ingeniero, utilizando como complemento la mira o estadía.

• CLASES DE NIVELACION GEOMETRICA:

• Longitudinal Simple

• Longitudinal Compuesta

• Nivelación Geométrica Radial Simple

• Nivelación Geométrica Radial Compuesta

Topografía: Por el Ing. Segundo Silva Maguiña 5

Topografía: Por el Ing. Segundo Silva Maguiña

1) LONGITUDINAL. -

Cuando todos los puntos por nivelar pertenecen a poligonales o a ejes. Se le utiliza para determinar el relieve o perfil longitudinal de tales ejes.

• La nivelación geométrica longitudinal puede ser:

a) SIMPLE. -

Cuando con una sola estación del nivel se pueden determinar las cotas de todos los puntos requeridos del eje.

b) COMPUESTA. -

Cuando se requieren dos o más estaciones del nivel para determinar todas las cotas requeridas del eje.

2) NIVELACIÓN GEOMÉTRICA RADIAL:

• Cuando los puntos por nivelar están diseminados en la superficie en diferentes direcciones.

• La nivelación geométrica radial también puede ser: Simple y Compuesta según se requiera de una o de más estaciones, respectivamente, para determinar las cotas de los puntos requeridos.

• La nivelación Geométrica Radial se aplica en la nivelación de superficies.

6

Topografía: Por el Ing. Segundo Silva Maguiña

CROQUIS GENERAL Y ELEMENTOS FUNDAMENTALES DE LA NIVELACION GEOMETRICA

EJEMPLO DE NIVELACIÓN GEOMÉTRICA LONGITUDINAL

Efectuar la nivelación geométrica longitudinal de los puntos A, B, C y D de la poligonal que se muestra en planta y en perfil. REGISTRO

DE CAMPO

7
PUNTO VISADO Distancia Parcial V.At ƛ V.Ad COTA BM 1.40 100.00 A 38.00 2.60 B 53.00 1.20 0.60 C 86.00 2.80 D 73.00 1.10 D 0.93 A 2.22 3.02 BM 1.02 NIVELACION
DE REGRESO

Topografía: Por el Ing. Segundo Silva Maguiña

CALCULOS ANALITICOS

1) LONGITUD MEDIDA (DT):

IDA: 250 m REGRESO: 250 m

LONG.TOT.: 500 m → DT= 0.500 Km

2) ERROR ADMISIBLE (Ea):

Ea= ±0.02(K)1 / 2 = ±0.02 (0.500)1 / 2 =±0.014

3) ERROR DE CIERRE (Ec):

Ec= Cota (LL) – Cota(P)

Ec= 100.01 - 100.00 = +0.01 (Error por Exceso)

4) CALIFICACION DEL TRABAJO:

Ec < Ea 0.01 < 0.014 → TRABAJO ACEPTABLE

5) COMPROBACION DE LA LIBRETA DE NIVELACION:

ΔN = ∑V.AT – ∑V.AD = H BM y D

a) NIVELACION DE IDA:

ΔN = ∑V.AT – ∑V.AD = 8 00 – 7 10 = +0.90

•Diferencia de Nivel entre el primer punto (BM) y el último punto (D): H BM y D

H BM y D = Cota (LL) – Cota(P)

H BM y D = 100.90 – 100.00 = +0.90

ΔN = H BM y D

= +0.90 →NO HAY ERROR EN LOS CALCULOS EN LA NIVELACION DE IDA

8 PUNTO VISADO Distancia Parcial V.At ƛ V.Ad h COTA BM 1.40 100.00 A 38.00 2.60 -1.20 98.80 B 53.00 2.60 0.60 2.00 100.80 C 86.00 1.20 2.80 -1.60 99.20 D 73.00 2.80 1.10 1.70 100.90 D 0.93 100.90 E 3.02 -2.09 98.81 BM 2.22 1.02 1.20 100.01 NIVELACIÓN DE REGRESO
∑V.AT.
1.40 ∑V.AD
0.60 1.20 2.60 2.60 2.80 2.80 1.10 8.00 7.10
=
=
+0.90

Topografía: Por el Ing. Segundo Silva Maguiña

b)

6)

9
100,00
CIERRE
EXCESO
NIVELACION DE IDA Y REGRESO: ∑V.AT – ∑V.AD = Cota (LL) – Cota(P) 11.15 - 11.14 = 100.01 -
0.01 = 0.01 → ERROR DE
POR
DE CIERRE: •CALCULO DE fc (FACTORES DE COMPENSACION): • fc A = -( +0,01) x 38.00 = -0.00076 = -0.001m 500 • fc B = -( +0,01) x 91.00 = -0.00182 = -0.002 500 • fc C = -( +0,01) x 177.00= -0.00354 = -0.004 500 • fc D = -( +0,01) x 250.00= -0.005 500 • fc A = -( +0,01) x 462.00= -0.00924 = -0.009 500 • fc BM = -( +0,01) x 500.00= -0.01 500
COMPENSACION DEL ERROR

Topografía: Por el Ing. Segundo Silva Maguiña

7) COTA COMPENSADA (CC):

• CC = COTA (calculada) + fc

= 98.80 – 0.001 = 98.799 msnm •

= 100.80 – 0.002 = 100.798 •

= 99.20 – 0.004 = 99.196

CC(A)
CC(B)
CC(D)
0.005
100.895
CC(A)
0.009 = 98.801
CCBM(LL)=100.01 – 0.010 = 100.000 PUNTO VISADO DISTANCIA PARCIAL V. AT. ƛ V. AD. h COTA DISTANCIA ACUMULADA F. C. COTA FINAL B.M. 0.00 1.40 0.00 0.00 100.00 0.00 0.00 100.000 A 38.00 2.60 -1.20 98.80 38.00 -0.001 98.799 B 53.00 2.60 0.60 2.00 100.80 91.00 -0.002 100.798 C 86.00 1.20 2.80 -1.60 99.20 177.00 -0.004 99.196 D 73.00 2.80 1.10 1.70 100.90 250.00 -0.005 100.895 ƩD.P. 250.00 D 0.93 100.90 250.00 -0.005 100.895 E 3.02 -2.09 98.81 462.00 -0.009 98.801 B.M. 2.22 1.02 1.2 100.01 500.00 -0.010 100.000 Ʃ V.AT. 11.15 Ʃ V. AD. 11.14 Ʃ V.AT - Ʃ V.AD 0.01 Δ Cotas 0.01 NIVELACIÓN DE REGRESO
CC(C)
= 100.90 –
=
= 98.81 –

TOPOGRAFIA DE CARRETRA

1. CLASIFICACIÓN DE CARRETERA:

1) POR SU TRANSITABILIDAD: Los caminos se clasifican en:

▪ Carretera sin Afirmar: Son aquellas en las que se ha construido hasta nivel de subrasante.

▪ Carretera Afirmada: Son aquellas donde sobre la subrasante se ha colocado una o varias capas de materiales granulares y es transitable en todo el año.

▪ Carretera Pavimentada: Cuando encima de la subrasante se ha colocado la estructura total del pavimento.

2) DE ACUERDO A SU UTILIDAD SOCIOECONÓMICA:

Pueden ser:

▪ Caminos de Integración Nacional. Son aquellos que principalmente sirven, para tener unido el territorio nacional. Unen la capital de la República con capitales de los departamentos o de las regiones. La evaluación para programar la construcción de estas carreteras queda a criterio de los gobernantes, qué en su carácter de estadistas, deciden el monto a invertir y las obras que se deben realizar

▪ Caminos de Tipo Social. Son aquellos que principalmente tienen como finalidad incorporar al desarrollo nacional a los núcleos sociales que han permanecido marginados por falta de comunicación. Normalmente este tipo de caminos son de un solo carril y la superficie de rodamiento suficientemente aglutinada (en forma natural o con productos químicos), para que resista el tránsito y las; condiciones regionales del ambiente; además de que en estos caminos se utilizan las especificaciones geométricas (pendiente y grado de curvatura) máximas.

▪ Caminos para el Desarrollo. Los caminos que provocan el desarrollo de una zona, son aquellos que nos sirven principalmente para propiciar el auge agrícola, ganadero, comercial, industrial o turístico de la zona de influencia. Estos tipos de caminos tienen usualmente una corona o rasante de 7 m. a 11 m

▪ Caminos entre Zonas Desarrolladas. Son aquellos que comunican zonas desarrolladas y se construyen para disminuir los costos de operación, propiciando el mejoramiento del tránsito en los caminos regionales. Estos caminos tienen como misión comunicar sólo los puntos que han alcanzado mayor desarrollo; por tanto, serán directos, con lo que se disminuyen las distancias de recorrido. Con frecuencia son caminos con control de acceso, dependiendo del tránsito, pueden ser de 2, 4 o más carriles

3) DE ACUERDO CON LAS NORMAS PERUANAS PARA EL DISEÑO DE CARRETERAS (NPDC):

Los caminos se clasifican de la siguiente manera:

Topografía: Por el Ing. Segundo Silva Maguiña 11

A)CLASIFICACIÓN POR SU JURISDICCIÓN:

▪ Carreteras del Sistema Nacional. Que corresponde él la red de carreteras de interés nacional y que une los puntos principales de la nación con sus puertos y fronteras. Este sistema que forma la red vial básica del país está formado por Carreteras longitudinales, carreteras de penetración y carreteras de influencia regional. Las carreteras del sistema nacional evitarán en general, el cruce de poblaciones y su paso por ellas deberá relacionarse con las carreteras de circunvalación, o vías de evitamiento, previstas en los planos reguladores correspondientes.

▪ Carreteras del sistema Departamental. Son aquellas carreteras que constituyen la red vial circunscrita a la zona de un departamento uniendo capitales de provincias o zonas de influencia económica, social dentro del mismo departamento o aquellas que rebasando la demarcación departamental une poblados de menor importancia.

▪ Carreteras del sistema Vecinal. Conformado por aquellas carreteras de carácter local y que unen las aldeas y pequeñas poblaciones entre sí.

B)CLASIFICACIÓN SEGÚN EL SERVICIO:

Según el servicio que deben prestar, es decir el transito que soportarán, las carreteras serán proyectadas con características geométricas adecuadas, según la siguiente normalización:

▪ Carreteras Duales. Para IMD mayor de 4,000 vehículos / día. Consiste en carreteras de calzadas separadas, para dos o más carriles de tránsito cada una.

▪ Carreteras de Primera Clase. Para IMD comprendido entre 2000 y 4000 vehículos / día.

• Carreteras de Segunda Clase. Para IMD comprendido entre 400 a 2000 vehículos / día.

• Carreteras de Tercera clase Para IMD hasta 400 vehículos / día

• Trochas carrozables. IMD no especificado. Constituyen una clasificación aparte, pudiéndoseles definir como aquellos caminos a los que les faltan requisitos para poder ser clasificados en Tercera Clase; generalmente se presentan periodos correspondientes a la construcción por etapas.

• Volumen de Tránsito: Se llama volumen de tránsito al número de vehículos que pasan por un determinado punto de una vía en un período de tiempo determinado. Este volumen de tránsito puede ser en un sentido o en ambos sentidos de la vía. El período de tiempo es generalmente: un año, un día o una hora. Este volumen de tránsito es la que da la demanda de la vía.

• Índice Medio Diario (IMD) Se llama IMD al número de vehículos que pasa por una vía en un día promedio del año.

Topografía: Por el Ing. Segundo Silva Maguiña 12

• Capacidad de una Vía: Se llama Capacidad de una Vía, al número máximo de vehículos que pueden circular en una determinada Vía, bajo condiciones determinadas y en un período de tiempo exacto, esto da la oferta de la vía.

2. EL VEHÍCULO:

Se denomina así a la máquina que se mueve por sí misma, mediante un motor a combustión y que puede ser guiado por una vía o carretera sin necesidad de un carril rígido. Entre sus partes se encuentra el chasis, motor, caja de cambios, sistema de la dirección, embrague, sistema de frenos, entre otros. Desde el punto de vista del proyecto de una carretera, el vehículo tiene importancia, en las siguientes características:

1) Dimensiones de los vehículos: Para determinar los espacios que ocupan en la vía

2) Su manejabilidad. Para determinar los parámetros de diseño.

3) Peso: sirve para diseñar los pavimentos es necesario conocer el tipo de carga el peso aproximado de las mismas y de los vehículos ejercen sobre la misma vía.

2.1. El Vehículo y su Influencia en la Carretera: La función básica de la carretera es la de servir al tránsito, por lo tanto, esta debe tener condiciones que permita la circulación del vehículo con la máxima seguridad, comodidad y eficacia, para ellos debe satisfacer condiciones técnicas como:

1. Un buen trazo en planta y perfil, y una buena sección transversal apropiada de manera que los vehículos puedan salvar económicamente sus pendientes y pasar sus curvas con una seguridad completa.

2. La superficie de rodadura de la carretera deberá tener la resistencia apropiada para no deteriorarse bajo la acción de los vehículos

2.2 Cargas de Diseño para Carreteras y Puentes: Según la AASHTO, considera la siguiente nomenclatura, que en el Perú ya se encuentra en desuso, salvo en algunos casos para el diseño de puentes, alcantarillas, aliviaderos y pavimentos.

H: Camión de carretera: Highway truck (Ingles).

S: Trailer: Semiremolque.

El número 44, indica el año en que se adoptó la norma de carga.

H10 - 44: Camión de 10 toneladas del año 1944.

H15 - 44: Camión de 15 de toneladas de 1944.

H20 - 44: Camión de 20 toneladas de 1944.

H15 - S12 - 44: Semitrailer de 27 toneladas de 1944.

H20 - S16 - 44: Semitrailer de 36 toneladas de 1944.

Camiones tipo H y HS, en la figura, indica la distribución de las cargas en cada uno de estos vehículos.

Topografía: Por el Ing. Segundo Silva Maguiña 13

Topografía: Por el Ing. Segundo Silva Maguiña

Topografía: Por el Ing. Segundo Silva Maguiña

Topografía: Por el Ing. Segundo Silva Maguiña

En la actualidad se ha emitido el DECRETO SUPREMO N° 058-2003-MTC, de fecha 07 de octubre del 2003. Donde se establecen los requisitos y características técnicas que deben cumplir los vehículos para que ingresen, se registren, transiten, operen y se retiren del Sistema Nacional de Transporte Terrestre. Los requisitos y características técnicas establecidas en el presente Reglamento están orientadas a la protección y la seguridad de las personas, los usuarios del transporte y del tránsito terrestre, así como a la protección del medio ambiente y el resguardo de la infraestructura vial.

16

Topografía: Por el Ing. Segundo Silva Maguiña

17
18
Topografía: Por el Ing. Segundo Silva Maguiña

3.VELOCIDAD:

La velocidad es el factor primordial de todos los sistemas de transporte y aquella con que circulan los vehículos por una vía, es un índice importante que debe tenerse en cuenta al establecer las características de proyecto de la misma. Se distinguen tres. tipos de velocidad:

1. Velocidad de operación: Que es la máxima velocidad de circulación en condiciones imperantes en la vía, como el tránsito, el estado de la superficie de rodadura y las condiciones ambientales existentes.

2. Velocidad de marchar: Que es la determinada en un trayecto de carretera al dividir la distancia total recorrida por el tiempo efectivo de marcha.

3. Velocidad Directriz o de diseño: Que es la escogida para proyectar una carretera y relacionar las características físicas de la vía, tales como los radios de curvatura, el peralte, las distancias de visibilidad, etc., de los cuales depende la operación segura de los vehículos. También se puede definir como, la escogida para el diseño, entendiéndose que será la más que se podrá mantener con seguridad sobre una sección determinada de la carretera cuando las circunstancias favorables para que prevalezcan las condiciones de diseño. La velocidad directriz condiciona todas las características ligadas a la seguridad de tránsito. Por lo tanto, ellas como el alineamiento horizontal y vertical, distancia de visibilidad y peralte, variarán apreciablemente con la velocidad directriz. En forma indirecta están influenciados los aspectos relativos al ancho de la calzada, bermas, etc.

Las NPDC, estipula que las características geométricas, (radio mínimo de las curvas horizontales y verticales, distancias de visibilidad de parada y de sobrepaso, etc.) están relacionadas a cada velocidad directriz.

3.1. ELECCIÓN DE LA VELOCIDAD DIRECTRIZ:

La elección de la velocidad de diseño es una cuestión esencial primordialmente de índole económica. Esta velocidad para lograr el mínimo consumo de combustible y el menor desgaste de vehículo, debe conservarse lo más uniforme posible y a la vez debe ser lo más alta posible para atender a los requerimientos del volumen de tráfico. Estas condiciones solo se obtienen en terrenos planos; en terrenos ondulados y más aun en terrenos accidentados la curvatura y pendiente imponen variaciones en la velocidad con el sobrecosto consiguiente en el transporte

De acuerdo con la NPDC. la velocidad directriz está influenciada por los siguientes factores: Relieve del terreno, Tipo de carretera a construirse, Volumen y tipo de tráfico que se espera, por otras consideraciones de orden económico.

Con base en la geografía física peruana, en nuestro medio se emplean los siguientes tipos de velocidades de diseño, según el tipo de topografía y la clase de carretera a diseñar

Topografía: Por el Ing. Segundo Silva Maguiña 19
PARÁMETROS DE DISEÑO

De la velocidad influye a su vez en muchos factores de diseño tales como: Distancia de Parada (DP), Distancia de Paso o Sobrepaso (DS), Radios Mínimos de curvas horizontales, ancho de la sección transversal.

3.2. VARIACIÓN DE LA VELOCIDAD DIRECTRIZ:

En nuestro País, por lo cambiante de la topografía no es posible mantener constante la velocidad de diseño, por lo que en una carretera puede haber diversos tramos calculados para velocidades directrices diferentes, la cual se indicará por medio de señales de tránsito instaladas en el borde de la vía.

Las Normas Peruanas para el diseño de carreteras recomiendan que Ion cambios en la velocidad de diseño se efectuarán en incrementos o decrementos de 15 km/h. o se tomará el 20% de la Velocidad Directriz. Se tomará la menor variación.

• Cada 15 Km/h

• 20% de V

Por Ejemplo, si se tiene una Velocidad Directriz de 60 Km/h., y es necesario hacer una variación de velocidad, se tendría dos posibilidades:

1. Cada 15 Km/h

2. 20% de 60 = 12 Km/h.

Se tomaría 12 Km/h, por ser la menor variación.

3.3. DISTANCIAS DE VISIBILIDAD:

Se entiende por distancia de visibilidad al tramo de máxima longitud de carretera perceptible hacia adelante por el conductor que transita por ella. Para que la marcha sea segura es preciso que, en ningún caso, esta distancia sea menor de la requerida para efectuar las maniobras necesarias él la circulación del vehículo sin peligro.

Al efecto deben considerarse dos tipos de distancias de visibilidad de frenado y de paso.

Por
Ing. Segundo
Maguiña 20
Topografía:
el
Silva

1. DISTANCIA DE VISIBILIDAD DE FRENADO O DE PARADA:

Es la mínima distancia para que el conductor de un vehículo, marchando a la velocidad directriz pueda detenerse antes de llegar a un objeto fijo que aparece de improviso en su línea de circulación. En ningún punto de la carretera la distancia de visibilidad debe ser menor que la distancia de frenado.

Factores que influyen en la distancia de visibilidad de parada:

1) Velocidad directriz.

2) Pendiente

3) Del tiempo de percepción y reacción del conductor para aplicar los frenos.

4) Tipo de superficie y condiciones en que se encuentre

DISTANCIA DE VISIBILIDAD DE PARADA (Dp) SEGÚN LA VELOCIDAD DIRECTRIZ

2. OTRA FORMA DE CALCULAR LOS VALORES DE LA DP:

Se considera que durante el tiempo de percepción y reacción del vehículo mantiene la misma velocidad que tiene la misma aparición del obstáculo. Una vez aplicada los frenos la velocidad es decreciente y recorre la distancia que denominaremos dl, la cual depende los factores antes mencionados;

Si la Vd se expresa en Km / h, se Obtiene:

Se considera por observaciones experimentales, que el tiempo de percepción más el tiempo de reacción puede considerarse en 2.5 seg. En este tiempo a la velocidad directriz, el vehículo recorre 2.5(V/3.6) es decir, 0.6944V., por lo tanto, la distancia de parada en metros es de acuerdo a la siguiente formula:

3. DISTANCIA DE VISIBILIDAD DE PASO (DS):

Es la mínima distancia que debe estar disponible, a fin de facultar al conductor del vehículo a sobrepasar a otro que se supone que viaja a velocidad de 15

21
Topografía: Por el Ing. Segundo Silva Maguiña

km/h menor, con comodidad y seguridad, sin causar alteración en la velocidad de un tercer vehículo que viaja en sentido contrario a la velocidad directriz, y que se hace visible, cuando se ha iniciado la maniobra de sobrepaso.

Al calcular la distancia de visibilidad para pasar, la AASHTO hace las siguientes suposiciones con respecto al comportamiento del conductor:

1. El Vehículo que se rebasa va a una velocidad uniforme, menor que la del proyecto.

2. El vehículo que sobrepasa tiene que reducir su velocidad a la que lleva el vehículo que es rebasado mientras recorre la parte del camino donde la distancia de visibilidad no es segura para pasar

3. Una vez que obtiene amplia visibilidad, el conductor del vehículo que va a adelantarse necesita del tiempo de percepción-reacción para observar la situación y decidir sobre la maniobra de paso.

4. El vehículo que pasa es acelerado entonces y se considera que su velocidad media, mientras realiza su operación, es de 16 Km/h superior a la del vehículo alcanzado.

5. Un tercer vehículo aparece en el carril de tráfico opuesto cuando el vehículo que pasa ocupa inicialmente dicho carril completo.

6. En necesaria una distancia de seguridad entre el vehículo del tránsito opuesto y el vehículo que pasa, en el instante en que éste completa su ingreso al carril primitivo.

Las NPDC. para determinar la DISTANCIA DE VISIBILIDAD DE SOBREPASO propone lo siguiente:

Además, las NPDC. indican que la visibilidad de paso será asegurada en la mayor longitud posible del proyecto, señalándose que esta deberá asegurarse en un porcentaje no menor que el fijado en la siguiente tabla:

Porcentaje de longitud con visibilidad de sobrepaso. Para hacer el chequeo de este porcentaje se considera que los tramos rectos tengan una longitud mayor a la Ds. respectiva. En caso de que los tramos rectos no sean suficientes podrá tomarse las siguiente alternativas:

Por
Segundo
22
Topografía:
el Ing.
Silva Maguiña

• Rectificar alineamientos eliminando curvas horizontales a fin de tener alineamiento recto más grandes.

• Ampliar los radios de las curvas de modo que satisfagan el radio con visibilidad de sobre paso.

• Disponer banquetas de visibilidad.

4. PENDIENTES:

Las carreteras para unir puntos que están en diferentes niveles, necesitan ser habilitadas con tramos con pendiente. Estos tramos pueden tener variados valores de inclinaciones, pero que estén enmarcados dentro de un rango. Este rango define la pendiente mínima y máxima.

El empleo de las pendientes para los diferentes tramos de un trazado debe ser objeto de atento estudio por parte del proyectista, procederán a las comparaciones necesarias y explicara la elección necesaria.

Por lo tanto, incumbe el proyectista la obligación de demostrar que la solución elegida es la mejor que otras posibles, sin superar los valores máximos. Al efectuarla elección el proyectista tendrá en cuenta, antes que nada, la influencia de la pendiente sobre el costo de la construcción de al carretera, tanto por lo que se refiere a los mayores costos en conexión con los desarrollos que generalmente al empleo de una pendiente menor, como por lo referente a los costos más altos que podrían derivar del empleo continuo de la pendiente indicada como máxima. Además, el proyectista tendrá en cuenta las repercusiones de la pendiente sobre el costo de operación y sobre la capacidad de la carretera.

a) Pendientes Mínimas:

Las NPDC, recomiendan que en los tramos en corte generalmente se evitara el empleo de pendientes menores 0.5%; pero podrá hacerse uso de rasantes horizontales en los casos en que las cunetas adyacentes puedan ser dotadas de la pendiente necesaria para garantizar el drenaje Sin embargo teniendo en cuenta que la pendiente mínima carece de relación con la velocidad y con la tracción, pero tiene influencia directa con el drenaje de la vía. Las pendientes mínimas que

23
Topografía: Por el Ing. Segundo Silva Maguiña

se aconsejan son: Pendiente mínima en terreno plano: 0.3 %. Pendiente mínima en terreno accidentado: 0.5 %

b) Pendientes Máximas Normales: Según las NPDC. Estipula que: “El proyectista tendrá, general que considerar deseable los límites máximos de pendiente. Se aclara de todas maneras los límites máximos normales de pendiente se establecerán teniendo en cuenta la seguridad de circulación de los vehículos pesados.

c) Pendientes Máximas Excepcionales:

El empleo de estas pendientes solo se utilizará en forma excepcional, cuando existan motivos justificados para hacerla y especialmente cuando el empleo de pendientes menores conducirá alargamientos innecesarios del recorrido. Según las NPDC. Aclara que: “El proyectista recurrirá al empleo de ellos o de valores muy próximos solo en forma excepcional cuando existen motivos justificado para hacerlo especialmente cuando el empleo dependientes menores conducirla al alargamiento artificiales de recorrido o aumentos de tortuosidad en el trazado a obras especialmente costo”.

d) Pendientes Económicas:

La pendiente económica será aquella que permitan al vehículo subir a la velocidad más eficiente de su máquina, esto es, con el menor consumo de combustible y lubricantes y descender sin necesidad de usar los frenos y sin alcanzar una velocidad excesiva, lo cual reduce al desgaste mecánico y de las llantas. Desde esto punto de vista la pendiente más económica será de 3%, porque en uno u otro sentido la velocidad operacional es prácticamente la misma que a nivel

e) Pendiente Media:

Se llama pendiente media al promedio de las pendientes de una carretera para tramos de longitud considerada.

24
Topografía: Por el Ing. Segundo Silva Maguiña

5. CURVAS HORIZONTALES:

Son las curvas que se emplean en las vías de comunicación terrestres para cambiar de una dirección a otra, uniendo dos tramos rectos, tangentes. Estas curvas son arcos de circunferencia. Las curvas horizontales pueden ser:

a. Curvas horizontales Simples: Cuando están constituidas por un tramo de una sola circunferencia que empalma dos tangentes.

Por el Ing. Segundo
Maguiña 25
Topografía:
Silva

Topografía: Por el Ing. Segundo Silva Maguiña

b. Curvas horizontales compuestas: Son aquellas que están constituidas por dos o más curvas circulares simples de radios diferentes.

Se emplean generalmente con el fin de obtener que el eje de la vía se ajuste lo más posible al terreno.

c. Curvas Reversas: Son las que se forman al poner una curva a continuación de otras, pero son de deflexión contraria.

Estas curvas no son recomendadas en el trazo de una carretera.

5.1. ELEMENTOS DE CURVAS HORIZONTALES: Los elementos de las curvas horizontales, que permiten su ubicación y trazo en el campo son:

 Puntos:

PI: Intersección de dos alineamiento.

PC: Principio de curvas.

PT: Término de curva o principio de tangencia.

 Segmentos:

R: Radio de la curva.

T: Tangente de la curva.

E: Externa.

Lc: Longitud de curva circular (arco PC. PT).

C: Cuerda entre el PC. PT.

F: Ángulos de intersección de dos alineamiento (ángulo de deflexión).

Las fórmulas para el cálculo de los elementos de curva son:

26

5.2. Radios Mínimos Normales:

Los radios mínimos que se usarán en las diferentes carreteras serán función da la velocidad directriz y del peralte, de acuerdo a los valores qua se indican en la tabla

5.3.Radios Mínimos Excepcionales:

Son radios cuyos valores son menores que los anteriores y serán usados. Solo en casos especiales bajo una debida fundamentación, indicando el motivo o causa por: lo que el diseñador tiene que recurrir a estos valores.

Topografía: Por el Ing. Segundo Silva Maguiña 27

Topografía: Por el Ing. Segundo Silva Maguiña

5.4.Radios Mínimos:

Valores que han sido calculados con la fórmula:

Donde:

V está en Km/h

P = 0.08 para 1ra y 2da clase.

P = 0.10 para 3ra y 4ta clase.

6. ELEMENTOS DE SEGURIDAD EN LAS CURVAS:

En el proyecto de una carretera, se debe tener en cuenta que en una curva se presentan tres problemas:

1. Efecto de la Fuerza centrífuga. Lo que originaría que el vehículo pierda el equilibrio y salga fuera de la carretera.

2. Invasión del carril contrario. De acuerdo a la longitud del vehículo y a las características de la curva, este puede invadir el carril contrario.

3. Falta de visibilidad. Cuando existe algún obstáculo en la vía, el conductor debe tener el tiempo y la distancia suficiente para visualizarlo, reaccionar y frenar el vehículo.

Para estos tres problemas, existe tres soluciones como factores que conciernen a la seguridad.

1. PERALTE:

Cuando un vehículo que pasa por una tangente a una curva, al transitar por la curva circular, aparece una fuerza que trata de desviarlo racialmente hacia fuera, esta fuerza es la fuerza centrífuga (que se supone horizontal). Para contrarrestar esta fuerza centrífuga, se le da el peralte necesario, denominándose peralte a la inclinación que se le da a la curva hacia su centro y ésta dado en porcentaje.

28

Donde:

P = Peso del cuerpo en kg.

V = Velocidad en m/seg.

R = Radio de la curva en m.

g = Aceleración de la gravedad, en m/seg².

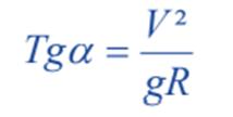
Llamando

α = Angulo que forma la superficie inclinada con la horizontal. (a) S = Pendiente del peralte = tg α.

Las fuerzas que actúan sobre el vehículo están en equilibrio y considerando las componentes rectangulares a AB, se tiene:

Donde F = Fuerza de Rozamiento variable y ajustable, que tiene un valor máximo de fP, siendo f el factor de rozamiento admisible.

Reemplazando F = fN = fP Cos  , en la ecuación anterior y dividiendo por P. Cos  , se tiene:

29
Topografía: Por el Ing. Segundo Silva Maguiña

Topografía: Por el Ing. Segundo Silva Maguiña

Por otro lado:

Si no se toma en cuenta el factor de rozamiento f, se tiene.

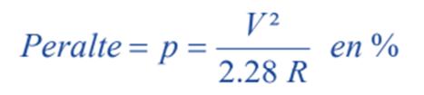
Sustituyendo V en m/seg por V/3.6 en Km/h y haciendo g = 9.81 m/seg², se tiene:

Esta fórmula, aun considerando la fricción da resultados muy altos, lo que podría provocar deslizamientos de los vehículos en la curva, cuando la velocidad fuera menor que la de diseño.

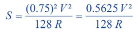
Como el criterio es absorber con el peralte la fuerza centrífuga debido a los ¾ de la velocidad o sea el 56% de la fuerza centrífuga total y el 44% restante con el total se tiene:

Dividiendo numerador y denominador por 0.5625, se tiene:

Multiplicando por 100, se obtiene la formula usada por las Normas Peruanas, en porcentaje (%):

Donde: p = Peralte R = Radio de la Curva (m) V = Velocidad Directriz (Km/h)

30

El cálculo del peralte de las curvas con la fórmula es más segura y cómoda; sin embargo se debe tener en cuenta que no es conveniente aumentar exageradamente el peralte de las curvas ya que la ventaja que se obtiene es muy pequeña aparte del aumento en el costo de la obra se perjudica el tráfico en general, ya que los vehículos que marchan a velocidades menores que la velocidad de diseño tendrían que circular por la parte baja del peralte, haciendo trabajar en exceso a un sola zona de carretera a lo que se suma que el tráfico se hace peligroso en la curva, ya que un sentido de la circulación tiende a marchar fuera de su carril.

Es conveniente que el peralte de las curvas se dé sin modificar el Perfil Longitudinal del eje de la carretera, es decir haciendo descender el radio interior y subiendo el exterior.

Las Normas Peruanas, dan los peraltes en función de la Velocidad Directriz y de los radios mínimos de las curvas.

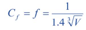
• Coeficiente de fricción transversal. En el proyecto de curvas circulares, el valor máximo del coeficiente de fricción (f) que se utiliza está basado en la comodidad del conductor y en la estabilidad del vehículo contra el deslizamiento.

Se ha comprobado experimentalmente que para cada velocidad de operación se desarrolla un valor distinto de fricción transversal.

El siguiente cuadro muestra los coeficientes para los respectivos valores de velocidad experimentados, aplicables ellos por igual a pavimentos de Concreto hidráulico y a pavimentos asfálticos.

2. VALOR MÁXIMO DEL PERALTE:

Por razones de orden práctico el valor máximo del peralte debe, limitarse, ya que un peralte exagerado puede provocar el deslizamiento del vehículo hacia el interior de la curva cuando circula él a baja velocidad o se ve obligado a detenerse.

De otra parte, un peralte reducido resulta inadecuado porque limita la velocidad de las curvas.

Según las NPDC:

• Peralte máximo normal: 6 %

• Peralte máximo excepcional: 10 %

Los valores correspondientes a los del radio mínimo normal y excepcional para cada velocidad directriz están indicados en la tabla de las NPDC.

Topografía: Por
31
el Ing. Segundo Silva Maguiña

Topografía: Por el Ing. Segundo Silva Maguiña

La AASHTO recomienda loa valores siguientes:

• Cuando no se forma hielo sobre la vía: 0.12

• Valor más aconsejable, en cualquier caso: 0.10

• En regiones de frecuentes nevadas: 0.08

• Para volúmenes elevados de tráfico y en áreas urbanas: 0.06

VALOR DE LOS PERALTES MÁXIMO, PARA RADIOS MÍNIMOS

32
En la Vida Siempre hay una Oportunidad, para el logro con la Bendición de Dios y de Nuestros Seres Queridos que nos ven desde más allá.

Turn static files into dynamic content formats.

Create a flipbook
Issuu converts static files into: digital portfolios, online yearbooks, online catalogs, digital photo albums and more. Sign up and create your flipbook.
Topografía Práctico by segundosilva2209 - Issuu