Skip to main content

STEM VOL 1

Page 1

2 0 2 3 DE ALUMNOS, PARA ALUMNOS.
STEM MAYO 2023 VOLUMEN 1
Compendio de actividades por academia
índice Razonamiento matemático 1…………………………….……………………………………….3 Razonamiento matemático 2……………………………………………………………………15 Razonamiento matemático 3……………………………………………………………………24 Razonamiento matemático 4……………………………………………………………………31 Razonamiento matemático 5……………………………………………………………………38 Razonamiento matemático 6……………………………………………………………………42

Operaciones básicas

Suma de números enteros:

Paso 1: Coloca los números enteros uno debajo del otro, alineando las cifras de las unidades, decenas, centenas, etc.

Paso 2: Suma las cifras de las unidades.

Paso 3: Si la suma es mayor o igual a 10, escribe el resultado de la suma de las unidades en la columna de las unidades y lleva una en la columna de las decenas.

Paso 4: Continúa sumando las cifras de las decenas, llevando una cada vez que la suma sea mayor o igual a 10.

Paso 5: Repite el proceso hasta que hayas sumado todas las cifras.

Ejemplo: 5

+2 7

Explicación:

Para sumar dos números enteros, se colocan uno debajo del otro y se suman las cifras correspondientes. Si la suma es mayor o igual a 10, se escribe el resultado de las unidades y se lleva una unidad en la columna de las decenas para sumarla en el siguiente paso.

Resta de números enteros:

Paso 1: Coloca los números enteros uno debajo del otro, alineando las cifras de las unidades, decenas, centenas, etc.

Paso 2: Resta las cifras de las unidades del número que estás restando del número de la izquierda.

Paso 3: Si la cifra de la izquierda es menor que la cifra de la derecha, tienes que prestar una unidad de la siguiente cifra.

Paso 4: Continúa restando las cifras de las decenas, llevando una unidad de la siguiente cifra cuando sea necesario.

Paso 5: Repite el proceso hasta que hayas restado todas las cifras.

Ejemplo: 18 - 4 14

Explicación:

Para restar dos números enteros, se colocan uno debajo del otro y se resta la cifra de las unidades del número de la derecha del número de la izquierda. Si la cifra de la izquierda es menor que la de la derecha, se presta una unidad de la siguiente cifra para poder realizar la resta. Se continúa restando las cifras de las decenas, llevando una unidad de la siguiente cifra cuando sea necesario.

Razonamiento matemático 1
3

Multiplicación de números enteros:

Paso 1: Coloca los números enteros uno debajo del otro, alineando las cifras de las unidades, decenas, centenas, etc.

Paso 2: Multiplica la cifra de la derecha del número de abajo por la cifra de la derecha del número de arriba, escribiendo el resultado debajo de las cifras originales.

Paso 3: Desplaza el número de arriba una posición hacia la izquierda y repite el paso 2.

Paso 4: Continúa desplazando el número de arriba y multiplicando hasta que hayas multiplicado por todas las cifras del número de abajo.

Paso 5: Suma todos los resultados obtenidos en el paso anterior.

Ejemplo: 10 x 4 40

Explicación:

Para multiplicar dos números enteros, se colocan uno debajo del otro y se multiplican las cifras correspondientes. Se desplaza el número de arriba una posición hacia la izquierda y se vuelve a multiplicar.

División de números enteros:

Paso 1: Coloca el número a dividir (dividendo) en la parte superior y el número por el cual se divide (divisor) en la parte inferior.

Paso 2: Comienza dividiendo la primera cifra del dividendo entre el divisor.

Paso 3: Si el divisor es mayor que la cifra del dividendo, avanza y divide la siguiente cifra del dividendo.

Paso 4: Continúa dividiendo las cifras del dividendo hasta que hayas terminado.

Paso 5: Si hay un resto (una cifra que no se puede dividir exactamente), colócala a la derecha del resultado de la división.

Ejemplo:

Explicación:

Para dividir dos números enteros, se coloca el dividendo en la parte superior y el divisor en la parte inferior. Se comienza dividiendo la primera cifra del dividendo entre el divisor. Si el divisor es mayor que la cifra del dividendo, se avanza y se divide la siguiente cifra del dividendo. Se continúa dividiendo las cifras del dividendo hasta que hayas terminado. Si hay un resto, se coloca a la derecha del resultado de la división.

4

Suma y resta de fracciones con el mismo denominador:

Ejemplo 1:

2/5 + 1/5 = 3/5

El denominador (5) al ser el mismo se queda igual y los numerados (2 y 1) de suman. El 5 se mantiene en la parte de abajo como denominador y la suma de 2 + 1 se mantienen como numerador en la parte de arriba

Para sumar fracciones con el mismo denominador se tienen que sumar los numeradores dejando el mismo denominador.

Ejemplo 2:

3/4 + 2/4

Como las 2 fracciones tienen el mismo denominador, lo que tenemos que hacer es dejar el mismo denominador, que es 4, y sumar los numeradores:

3 + 2 = 5

Y el resultado de la suma de fracciones es:

3/4+2/4=5/4

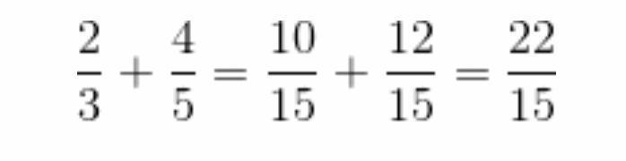
Para hacer suma de fracciones con distinto denominador, lo primero que hay que hacer es poner un denominador común: esto es el mínimo común múltiplo entre los denominadores que haya. Después multiplicamos cada numerador por el número que hayamos multiplicado al denominador. Por último, sumamos los numeradores que hayamos obtenido y dejamos el mismo denominador.

Ejemplo:

Lo primero es haya un denominador común entre el 3 y el 5. Para eso, hallamos el mínimo común múltiplo entre ambos.

m.c.m. (3,5) = 15

Por lo tanto 15 es el denominador común de las dos fracciones.

5

Ahora tenemos que multiplicar cada numerador por el número que hayamos multiplicado el denominador. Para ello, dividimos el m.c.m entre el denominador inicial y el resultado lo multiplicamos por el numerador de esa fracción: Para la primera fracción:

Por lo tanto, 10 es el numerador de la primera fracción. Para la segunda fracción:

Por lo tanto, 12 es el numerador de la segunda fracción.

6

Ahora ya solo nos queda sumar los numeradores, y el resultado es:

Explicación:

Multiplicar el numerador de la primera fracción por el denominador de la segunda fracción y el resultado de la multiplicación corresponde al numerador del resultado, por otra parte, para obtener el resultado del denominador se debe multiplicar el denominador de la primera fracción por el numerador de la segunda fracción.

7

Multiplicación de fracciones

Transformar de fracción impropia a fracción mixta:

1. Ubicar la fracción deseada a convertir en mixta

2. Dividir el numero de arriba (numerador) entre el número de abajo (denominador)

3. Después, al hacer la operación, la respuesta de la división (cociente) se convertirá en el numero entero de la fracción

4. Lo que haya sobrado de la división (el residuo) será el nuevo numerador, en este caso

5. Y ya para finalizar, el denominador seguirá siendo el mismo de antes.

Transformar de fracción mixta a fracción impropia:

1. Identificar el denominador

2. Multiplicar el denominador con el entero

3. Sumar el paso resultado de la operación de la multiplicación con el numerador

4. En este caso, el número 7 se convertirá en el nuevo numerador, mientras que el denominador seguirá siendo el mismo de antes

8

LEYES DE LOS SIGNOS

La ley se basa en lo siguiente: si los signos son iguales el resultado debe ser positivo. En cambio, si los signos son diferentes el resultado será negativo. Esto va relacionado en operaciones básicas con números enteros.

En el caso de la operación de Suma, si los dos números son positivos, éstos se acumularán, y se puede decir que el resultado tendrá un valor más grande, positivo.

(+18) + (+20) = +38

En este caso, se suman los dos números (18 y 20) y da como resultado: +38

Comparación de Fracciones

9

Clasificación de los números

Un número es un concepto matemático el cual expresa una cantidad relacionada con una unidad matemática.

El conjunto de los números naturales, la suma de números enteros, es el conjunto de los números que sirven para contar, se denota con N y es N = {1,2,3,4,5,...}.

Los números enteros son los naturales, sus opuestos (negativos) y el cero.

El Conjunto de números racionales, denotado por Q, es el conjunto de todos los cocientes de dos números enteros donde el denominador es diferente de cero:

El Conjunto de números irracionales, denotado por I, es el conjunto de todos los números decimales infinitos no periódicos

Números racionales

Números Racionales e Irracionales

Aquellos números que pueden representarse como cociente o relación de dos números enteros.

Ej. 8.27

Ya que, 8.27 puede ser escrito como 827/100

Números irracionales

Aquellos números que no pueden ser expresados como fracción.

Ej. π (pi)

Pi tiene infinitas cifras decimales no periódicas, o sea, es un número infinito. Porcentajes

1.- Divide el porcentaje entre 100 para obtener el valor decimal correspondiente.

2.- Simplifica la fracción dividiendo tanto el numerador como el denominador por su máximo común divisor.

Obtener el porcentaje cuando tienes decimal

1. Tienes que multiplicar el decimal por 100

y Fracciones Porcentaje % Fracción Decimales 25% =1/4 .25
10

Aplicación de porcentajes y fracciones

Porcentaje

En una tienda venden una computadora a 1200 dlls sin IVA ¿Cuánto tenemos que pagar por él si el IVA es de 16%?

Explicación:

Para resolverlo necesitar aplicar la regla de tres, el resultado se suma a la cantidad inicial y ese será el resultado, el cual es 1,392. Fracciones

Para preparar un pastel se ocupan 3/5 de una barra de mantequilla de 200g ¿Cuánta mantequilla necesitarás en total?

Explicación:

1. Identificar el numerador y denominador

2. Dividir el denominador entre la cantidad de gramos

3. Finalmente multiplicar el resultado de la división por el numerador

Ahora sabemos que se necesitan 120 gramos de mantequilla

Minimo comun multiplo

El mínimo común múltiplo es el número más pequeño que es múltiplo de dos o más números

Método:

1. Colocar los números que buscas en el lado izquierdo y un numero primo que divida a los números a la derecha de la tabla

2. Por orden, ver si eso dos numeros se pueden dividir entre dos y ni no se puede avanzar (en este caso si se puede con el dos) otro número primo

11

3. Poner los resultados de la división de los números debajo de los mismos

4. Repetir el paso número 2, es decir dividir entre el número primo los números que estaban adentro de la tabla (a la izquierda) hasta que el resultado sea 1

5. Multiplicar los números a la derecha y el resultado es el mínimo común múltiplo

Máximo común divisor

El máximo común divisor (MCD) es el número más grande que divide dos números exactamente.

Se obtiene dividiendo los números entre el número primo más chico posible y multiplicando los números que tienen en común. Ejemplo:

Para encontrar el MCD de los números 16 y 24, se deben de:

1. Hacer una tabla para cada numero (significa que tendrias 2 tablas diferentes)

12

2. Dividir entre un numero primo

3. Sigue dividiendo entre números primos hasta llegar a 1

4. Busca los números primos en ambas tablas que sean iguales (si tienes un numero 2 en las dos tablas usaras el numero 2 solo una vez)

5. Multiplica los números repetidos en las tablas y conseguirás tu resultado 2 x 2 x 2 = 8

M.c.m

Ej. Dos autobuses salen a la vez de la estación. Uno de ellos completa su recorrido y vuelve cada 36 minutos, y el otro cada 24. ¿Dentro de cuánto tiempo volverán a coincidir en el punto de salida?

Primer paso:

Analiza los datos que te estén dando

Segundo paso:

Hacer una pequeña tabla colocando los dos datos que presenta el problema en la parte superior

Tercer paso:

Encontrar un número que divida los dos datos y sigue haciéndolo hasta que el resultado sea lo más chico posible

Cuarto paso:

Vas a multiplicar los números que usaste para dividir en el orden que los fuiste escribiendo

Quinto paso:

El número que vas a obtener de la multiplicación es el resultado de tu problema

36 24 2 18 12 2 13

2x2x3x3x2 = 72 minutos.

M.C.D

Maria tiene 12 chocolates, 15 caramelos y 30 paletas y quiere formar bolsas con igual cantidad de cada uno de los dulces y que sea el máximo posible.

Primer paso: Analiza los datos que te dan el problema

Segundo paso: Haz una tabla por cada valor del problema y coloca el valor en la parte superior

Tercer paso: Busca un número que pueda dividir tu valor inicial y sigue haciendo lo mismo hasta que tu valor sea lo más chico posible

Cuarto paso: Junta los número que coincida de las 3 tablas y multiplicalos

9 6 3 3 2 3 1 2 2 1
Quinto paso: Ya tienes tu resultado 12 4 2 2 1 15 5 5 1 30 10 5 1 3 2 5 2 12= 4 x 3 15= 5 x 3 30= 10x3 M.C.D = 3 14

Proporcionalidad directa.

Ejemplo:

Razonamiento matemático 2

Definición:

Proporcionalidad inversa.

Ejemplo:

Definición:

15

Porcentajes

Ejemplo 1

El año pasado se vendieron 1200 videojuegos y 980 libros. Si este año subió un 15% la venta de videojuegos y subió un 5% la de libros, ¿cuántos videojuegos y libros se vendieron?

Solución:

Como la venta de videojuegos aumentó un 15%, la venta fue del 115%:

Se multiplica el total (1200) por el porcentaje (115).

Después se divide entre 100 y conseguimos el resultado.

Ejemplo 2

La altitud de un helicóptero pasó de 350 pies a 38 pies. Una diferencia de 312 pies. ¿En qué porcentaje disminuyó la altitud?

Solución:

Se divide la altura mayor entre la menor

350

312 = 0.891

El resultado es multiplicado por 100, lo cual da el porcentaje de 89.1%

16

Reducción de términos semejantes.

Lenguaje
algebraico.
17

Suma de polinomios.

Resta de polinomios.

( ) - ( ) 18

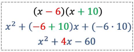
Multiplicación de binomio por binomio.

División de un polinomio entre monomio.

19
20

Binomio conjugado.

Binomio con termino común.

Ejemplo:

21

Utilizar los distintos métodos de factorización (factor común, diferencia de cuadrados, trinomios) para encontrar lo que se pide en cada situación. Las respuestas no son numéricas, son expresiones algebraicas.

La expresión se conoce como binomio conjugado. El método para resolver es obtener la raíz cuadrada de cada término:

√64��2 =8��

√81=9

A continuación se forma el binomio conjugado con estos términos, uno con signo positivo y el otro con signo negativo:

(8��+9)(8�� 9)

Por lo tanto las dimensiones del terreno son:

Largo = (8��+9)

Ancho = (8�� 9)

Factorización
22

La expresión se conoce como trinomio. El método para resolver es buscar dos números que multiplicados sea12, y sumados den -4.

Estos números son 2 y -6, ya que

(2)( 6)= 12

2 6= 4

A continuación, se forman los binomios con estas cantidades, y la variable “x”, de la siguiente forma:

(��+2)(�� 6)

Por lo tanto, las dimensiones del terreno son:

Largo = (��+2)

Ancho = (�� 6)

23

Razonamiento matemático 3

Aplicaciones del Teorema de Pitágoras

1) Si la hipotenusa de un triángulo rectángulo mide 2cm y uno de sus lados mide 1cm, ¿Cuánto mide el otro lado?

Llamamos a los lados a y b y a la hipotenusa c.

Sabemos que:

?

Por Pitágoras, sabemos que:

Sustituyendo los valores conocidos tenemos que:

22= 12 + b2 → 4= 1 + b2

Ahora despejamos b en la ecuación:

4 – 1= b2 → 3= b2 → b= ± √3

c=2cm, a=1cm

c2= a2 + b2

Hemos escrito los signos positivo y negativo porque es lo que, en teoría, debemos hacer. Pero como b representa la medida del cateto, no puede ser un numero negativo.

Por tanto, el cateto mide:

b= + √3 cm ≈ 1.73cm

2) La hipotenusa de un triángulo rectángulo mide 10 metros y sus catetos miden x y x+2 ¿Cuánto miden los catetos?

A= x h= 10 B= x+2

Entonces:

Solución:

Por Pitágoras, h2 = a2 + b2 con lo que:

102 = x2 + (x + 2)2

Por lo tanto, primero resolveremos lo que está en el paréntesis al cuadrado

Solo faltaría resolver por la forma de ecuación de segundo grado:

(x+2)2 = x2 + 4x + 4 y con ello podemos sustituir

100 = x2 + x2 + 4x + 4

Y simplificando la ecuación:

2x2 + 4x – 96 = 0

Como X representa una longitud, la solución debe ser positiva: X= 6. Los catetos miden 6 y 8 metros.

4±√4
2∗2
4 X= 4±28 4
1
6
2
X=
2 4(2)( 96)
X= 4±√16+768
X
=
x
= -8
1cm 2cm
24

Perímetro de polígonos y de figuras compuestas

1) Determina el perímetro de la siguiente figura:

Solución: La imagen está compuesta por un trapecio y un rectángulo no necesitamos la parte que une ambas figuras:

Sumamos todos los lados que la rodean

P=9+4+6+18+6+4= P= 47 cm

2) Calcula el perímetro de la siguiente figura:

Solución: La imagen está compuesta por un cuadrado y un trapecio no necesitamos la parte que une ambas figuras

Sumamos todos los lados que la rodean

P= 10 + 2 + 6 + 6 + 6 +2

P= 32 cm

3) ¿Cuál es el perímetro de la siguiente figura?

Solución:

La imagen está compuesta por tres rectángulos no necesitamos la parte que une ambas figuras

Sumamos todos los lados que la rodean

P= 2+7+2+3+2+3+3+3+2+3

P= 30 cm

25

Aplicación de perímetros de polígonos en la resolución de problemas tipo planea.

1) ¿Cuál es el perímetro del siguiente dodecágono?

a. 150 cm²

b. 150 cm

c. 100 cm

d. 100 cm² 12.5cm

Solución:

Al ser un dodecágono, podemos identificar que se trata de un polígono de 12 lados. Para calcular su perímetro entonces se realiza la multiplicación:

• P=(Número de lados)(medida de un lado)

• P=(12)(12.5cm)

• P=150cm

Por lo tanto, al tratarse del perímetro seleccionamos el enciso b

2) Para una lucha de la WWE, se necesita un ring en forma de pentágono, para poner las cuerdas es necesario saber cuál es el perímetro del ring. Calcula cuántos metros de cuerda se necesitarán.

a. 15 m

b. 10 m

c. 20 m

d. 25m

Solución:

En este caso como el problema lo indica, se tiene un polígono de cinco lados. Si cada lado mide 4m, entonces se realiza la siguiente multiplicación:

• P=(5)(4m)

• P=20m

La respuesta correcta es el enciso c

4m
26

Aplicación de área de polígonos en la resolución de problemas tipo planea

1) Un campo rectangular tiene 170 m de base y 28 m de altura. Calcular:

a. Las hectáreas que tiene.

b. El precio del campo si el metro cuadrado cuesta 15 €.

Solución inciso a:

Calculamos el área del rectángulo, para esto multiplicamos la base por la altura:

A = 170 x 28 = 4760 m2

Sabemos que una hectárea es igual a 10000m2, por lo que el número de hectáreas del rectángulo es:

4760/10000 = 0.476 ha

Solución inciso b:

Para calcular el precio del campo si el metro cuadrado cuesta 15 €, realizamos:

4760 x 15 = 71400 €

2) Calcula el número de baldosas cuadradas, de 10 cm, de lado que se necesitan para enlosar una superficie rectangular de 4 m de base y 3 m de altura.

Solución:

Calculamos el área del rectángulo, para esto multiplicamos la base por la altura:

AR = 4 x 3 = 12 m2

Sabemos que 1 m2 es igual a (100 cm)2 = 10000 cm2, por lo que el área del rectángulo en centímetros cuadrados es:

12 x 10000 = 120000 cm2

Calculamos el área de una baldosa:

AB = 10 x 10 = 100 cm2

Para calcular el número de baldosas requeridas, dividimos el área del rectángulo entre el área de una baldosa:

120000/100 = 200 cm2

así, se requieren 1200 baldosas

27

Cálculo de volúmenes de distintos prismas.

1) Calcula el volumen de la siguiente figura:

a. 375 cm³

b. 275 cm³

c. 375.50 cm³

2) Calcula el volumen del siguiente prisma cuadrangular:

a. 80 cm³

b. 320 cm³

c. 110 cm³

Solución de ejercicio 1:

Soluciones

Para el primer ejercicio lo primero que debemos de hacer es sacar el área de la base, la cual obtenemos de la siguiente manera:

Formula del área: base x altura ���� = 7∗6 2 =21 2

Una vez obtenida el área de la base, multiplicaremos el resultado por la altura, lo cual se expresa de la siguiente manera:

�� =���� ×ℎ �� =21 ×17=357����

Solución de ejercicio 2:

Para el primer ejercicio lo primero que debemos de hacer es sacar el área de la base cuadrada, la cual obtenemos de la siguiente manera:

����=�� ×�� ���� =4×4=16����

Una vez obtenida el área de la base, multiplicaremos el resultado por la altura, lo cual se expresa de la siguiente manera:

�� =���� ×ℎ �� =16 ×20=320����

28

Resuelve problemas de volumen de prismas.

1) Un prisma rectangular tiene una base de 8 metros de largo y 5 metros de ancho. La altura del prisma es de 10 metros. Calcula el volumen del prisma.

a. 400 m³

b. 360 m³

c. 140 m³

d. 200 m³

Solución:

Calcula el área de la base del prisma:

A = largo x ancho = 8 m x 5 m = 40 m².

Utiliza la fórmula del volumen del prisma rectangular: V = A x h, donde A es el área de la base y h es la altura.

Sustituye los valores conocidos en la fórmula: V = 40 m² x 10 m = 400 m³.

Por lo tanto, el volumen del prisma rectangular es de 400 metros cúbicos.

2) Un prisma triangular tiene una base con una longitud de 6 centímetros y una altura de 4 centímetros. La altura del prisma es de 10 centímetros. Determina el volumen del prisma.

a. 123 cm³

b. 131 cm³

c. 120 cm³

d. 122 cm³

Solución:

Calcula el área de la base del prisma:

A = (base x altura) / 2 = (6 cm x 4 cm) / 2 = 12 cm².

Utiliza la fórmula del volumen del prisma triangular:

V = A x h, donde A es el área de la base y h es la altura.

Sustituye los valores conocidos en la fórmula: V = 12 cm² x 10 cm = 120 cm³.

Por lo tanto, el volumen del prisma triangular es de 120 centímetros cúbicos.

29

Realiza secuencias y rotación de figuras.

1) Si la primera figura está rotando 90° sobre su centro en sentido de las manecillas del reloj, ¿En qué posición quedará una cuarta figura?

Solución: Si sabemos que la figura 1 rota 90° hacia la derecha entonces sabremos que en la 4ta posición habrá girado 270° más, así que será cuestión de girarla 270° grados hacia la derecha.

2) Observa la secuencia de las siguientes dos figuras y contesta ¿En qué posición quedará una tercera figura?

Solución: Si sabemos que la figura 1 rota 180° hacia la derecha entonces sabremos que en la 3ra posición habrá girado 360° más, así que será cuestión de girarla 360° grados hacia la derecha.

30
Razonamiento matematico 4
31
Unidad 1
32

Ecuacion de la circunferencia con centro en el origen.

X² + Y²=r²

X² + Y²=5²

X² + Y²=25

Ecuación de la circunferencia con centro fuera del origen.

Unidad 2
33

Parábola con vértice en el origen forma horizontal.

1.- DE LA SIGUIENTE PARABOLA DETERMINA LOS SIGUIENTES ELEMENTOS

PARAMETRO: P=-3

ECUACION DE LA PARBOLA (Y=4PX): Y=-12x

COORDENADAS DEL VERTICE: V (0,0)

LONGITUD DEL LADO RECTO (LR=|4P|): 12

COORDENADAS DEL FOCO F= (P , 0): F(-3,0)

ECUACION DE LA DIRECTRIZ (X= - P): X=+3

Parábola con vértice en el origen forma vertical.

2.- DE LA SIGUIENTE PARABOLA DETERMINA LOS SIGUIENTES ELEMENTOS

PARAMETRO: P= -4

ECUACION DE LA PARBOLA (X=4PY): X= -16Y

COORDENADAS DEL VERTICE: V (0,0)

LONGITUD DEL LADO RECTO (LR=|4P|): 16

COORDENADAS DEL FOCO F= (0 , P): F(0,-4)

ECUACION DE LA DIRECTRIZ (Y= - P): X=+4

34

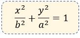
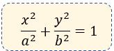
Ecuación de la elipse con vértice en el origen.

Ecuación eje horizontal.

Lado recto: Valor de “C”: Eje mayor: Eje menor: focos: EM=2a Em=2b f1(c,0) f2(-c,0)

Coordenadas vértice eje mayor: Coordenadas vértice eje menor: (a,0) (-a,0) (0,b) (0,-b)

Ejemplo.

Determina los elementos de la elipse que se indican en cada tabla

Ecuación de la elipse: X²/16 + Y²/4= 1

VALOR “a” VALOR “b” VALOR “c” LONGITUD EJE MAYOR LONGITUD EJE MENOR COORDENADAS DEL FOCO COORDENADAS VERTICES MAYORES COORDENADAS VERTICES MENORES LADO RECTO 4 2 √20=4.4 8 4 f1(4.4,0) f2(-4.4,0) (4,0) (-4,0) (0,2) (0,-2) 2 35

Ecuación eje horizontal.

Lado recto: Valor de “C”:

Eje mayor: Eje menor: focos:

EM=2a Em=2b f1(0,c) f2(0,-c)

Coordenadas vértice eje mayor: Coordenadas vértice eje menor: (0,a) (0,-a) (b,0) (-b,0)

Ejemplo.

Determina los elementos de la elipse que se indican en cada tabla

X²/16 + Y²/36= 1

VALOR “a” VALOR “b” VALOR “c” LONGITUD EJE MAYOR LONGITUD EJE MENOR COORDENADAS DEL FOCO COORDENADAS VERTICES MAYORES COORDENADAS VERTICES MENORES LADO RECTO 6 4 √52=7.2 12 8 f1(0,7.2) f2(0,-7.2) (0,6) (0,-6) (0,4) (0,-4) 5.3 36

Sistemas de ecuaciones lineales.

Unidad 2
37

Razonamiento matemático 5

La estadística Recolección de datos

La recolección de datos se realiza en una tabla de datos de frecuencias

Graficas de representación de datos

38
Medidas de tendencia central 39

Elementos de la distribución de frecuencias

Ejemplo de cálculo de ancho de clase:

Buscan tener 10 intervalos de clases

Aplicación en tabla de datos

40

Las medidas de dispersión que se estudiaran son:

Rango

Varianza

Deviación típica o estándar

Ejemplo de aplicación

41

Razonamiento matemático 6

Despeje de ecuaciones de primer grado

Ecuación de segundo grado y formula general

42
43

Probabilidad

Tipos de probabilidad.

Halla la probabilidad de qué al lanzar dos monedas salga:

• Dos caras: P (c n c) ½ * ½ = 1/4= 0.25 * 100= 25%

• Dos cruces: P (c n c) ½ * ½ = 1/4= 0.25 * 100= 25%

• Una cara: P (c n x) + P (x n c)= ½ * ½ + ½ * ½= ½ = 0.5 * 100 = 50% Combinaciones y permutaciones.

Permutaciones: Lino,Alex y Sergio se han presentado a un concurso de pintura. El concurso otorga 200 pesos al primer lugar y 100 al segundo. ¿De cuántas formas se pueden repartir los premios de primer y de segundo lugar?

Solución:

N = 3 (número total de elementos); k = 2 (tomado de dos en dos)

Combinaciones: Se va a programar un torneo de ajedrez para los 10 integrantes de un club. ¿Cuántos partidos se deben programar si cada integrante jugará con cada uno de los demás sin partidos de revancha?

Solución:

N= 10 (número de jugadores) k= 2 (tomados de dos en dos)

Se deben programar 45 partidas.

P�� �� = ��! (�� ��)! P3 2 = 3! (3 2)! = 3��2��1 1! = 6 1 =6������������.
C�� �� = ��! (�� ��)!��!
C10 2 = 10! (10 2)!2! = 10! 8!2! = 10��9��8! 8!��2��1 = 10��9��8! 8!��2��1
10 2
C
=5��9=45
44

Media, moda y mediana.

La profesora Dominique está recopilando la información de las calificaciones de sus alumnos, así que tiene las siguientes calificaciones:

7, 7, 7, 7, 8, 8, 8, 8, 9, 9, 9, 9, 9, 10, 10, 10.

Con esta información, determina lo siguiente:

• Media: 7+7+7+7+8+8+8+8+9+9+9+9+9+10+10+10 = 135 / 16 = 8.43

• Moda: 9.

• Mediana: 9

Interpretación de gráficas:

Se le pidió a un grupo de personas que indiquen su color favorito, y se obtuvo los siguientes resultados:

Negro, azul, amarillo, rojo, azul, azul, rojo, negro, amarillo, rojo, rojo, amarillo, amarillo, azul, rojo, negro, azul, rojo, negro, amarillo

Color Frecuencia absoluta Frecuencia acumulada Frecuencia relativa Frecuencia relativa acumulada Negro 4 4 0,20 0,20 Azul 5 9 0,25 0,45 Amarillo 5 14 0,25 0,70 Rojo 6 20 0,30 1 Total 20 1 45

Colores preferido

En la gráfica, se puede apreciar cómo la gente prefiere el color rojo con el 30%. Mientras que, el menos elegido fue el color negro con 4 votos. Sin embargo, tanto el amarillo como el azul tuvieron 5 votos, es decir, empatando en el segundo lugar como el más elegido.

Negro 20% Azul 25% Amarillo 25% Rojo 30%
Negro Azul Amarillo Rojo 46

Turn static files into dynamic content formats.

Create a flipbook