REVISTA CLIMA 312

Page 1


312

2025 / Año 48

ISSN N°0327-5760

Auspiciada por: Capítulo ASHRAE de Argentina

Cámara Argentina de Calefacción, Aire Acondicionado y Ventilación

Asociación Argentina del Frío

24 / Fuerte crecimiento del mercado de equipos HVAC

28 / Los desafíos del aire acondicionado frente al tórrido verano europeo

24 MERCADO Fuerte crecimiento del mercado de equipos HVAC. I mpulsado por las cargas de trabajo de IA y la computación de alta densidad el mercado de equipos HVAC está experimentando un fuerte crecimiento.

28 ACTUALIDAD Los desafíos del aire acondicionado frente al tórrido verano europeo. Desde fines de junio, una ola de calor abrasador golpeó nuevamente a Europa y expuso los desafíos del aire acondicionado en un continente donde su uso aún es relativamente nuevo.

30 ACTUALIDAD Una bomba de calor sin refrigerantes. Los científicos han desarrollado una bomba de calor magnetocalórica que iguala a los sistemas convencionales en cuanto a costo, peso y rendimiento, eliminando refrigerantes dañinos.

Revista

Auspiciada por:

Capítulo ASHRAE de Argentina

Cámara de Calefacción, Aire Acondicionado y Ventilación

Asociación

Argentina del Frío

54 INVESTIGACIÓN Más allá del cambio climático: Evaluación de la sostenibilidad de las bombas de calor y los refrigerantes. La sustitución de calderas por bombas de calor reduce significativamente las emisiones de gases de efecto invernadero (GEI), convirtiéndolas en un componente vital para la transición energética.

60 TÉCNICA ¿Puede el dimetiléter reemplazar al propano en las bombas de calor?. Una nueva investigación española ha buscado comprender si el éter dimetílico y las mezclas ternarias de dióxido de carbono, éter dimetílico y butano podrían representar una alternativa al propano en sistemas de bombas de calor.

82 ACTUALIDAD El sol se eleva en el horizonte. La energía solar crece a un ritmo mayor que cualquier otra fuente de energía en la historia, seguida de cerca por la energía eólica, que es otra forma de energía solar, ya que el calentamiento diferencial de la Tierra produce el viento que impulsa las turbinas.

92

La apuesta por la IA podría descarrilar los objetivos emisiones netas cero. Para 2040, las demandas energéticas de la industria tecnológica podrían ser hasta 25 veces mayores que en la actualidad.

96 Tendencias en tecnologías de refrigeración de centros de datos En los últimos años, el interés en los centros de datos ha aumentado, incluso entre los inversores de capital.

100 Modelado de fugas de refrigerantes inflamables. Los hidrocarburos (HC) se están introduciendo como refrigerantes en bombas de calor y sistemas de aire acondicionado, como parte de la reducción gradual de los refrigerantes sintéticos.

106 EMPRESAS SE COMUNICAN Geotermia y aerotermia. Climatización sustentable integral para una piscina olímpica. Obra: Piscina Olímpica Climatizada. Centro de Educación Física y Deportes de Alto Rendimiento N° 1, Ciudad de Formosa. Climatización: CIATEMA.

108 INFORME TÉCNICO Evolución de las Buenas Prácticas para Calidad de Aire Interior. No cabe duda de que un aire limpio contribuye notoriamente a mejorar el bienestar y la calidad de vida de las personas.

112 INFORME TÉCNICO Eventos climáticos: “Estamos viendo el final de la película”. Cada vez con más frecuencia, vemos en nuestros celulares y en la televisión noticias de eventos meteorológicos extremos.

Para componer esta nueva edición de Clima, habíamos adoptado un tradicional criterio estacional: estamos en el hemisferio sur y en invierno, centremos nuestra edición en la calefacción y en la estrella del momento: las bombas de calor, sin perder de vista la sostenibilidad y la eficiencia. Pero desde fines de junio, una ola de calor abrasador golpeó nuevamente a Europa y puso en evidencia que no podíamos dejar de lado el frío, mucho menos a la vista del dilema: cómo enfrentar temperaturas extremas en un continente casi sin aire acondicionado. Solo el 20 % de los hogares europeos dispone de él, frente al 90 % en Estados Unidos. La baja penetración obedece a factores históricos y culturales: climas menos extremos en el pasado, arquitectura poco adaptada al calor, altos costos energéticos y, en ciudades con patrimonio edilicio, restricciones estéticas o de ruido y hoy la necesidad de restringir las emisiones, principales responsables de estos eventos climáticos severos.

La realidad es que Europa se está calentando el doble de rápido que el promedio global, lo que vuelve urgente repensar esta carencia. En este contexto, el aire acondicionado aparece como salvavidas pero también como desafío ya que el remedio amenaza con agravar el problema: los sistemas de refrigeración consumen mucha electricidad, aún dependiente de combustibles fósiles, y expulsan calor al exterior, lo que puede elevar la temperatura urbana entre 2 °C y 4 °C, como reveló un estudio en París. La contradicción es clara: Europa necesita más aire acondicionado para proteger a su población, pero ese mismo recurso pone en riesgo sus metas de neutralidad climática hacia 2050. En este cruce de urgencias se juega el futuro del confort y la sostenibilidad en el continente. Y así pasamos de nuestro invierno calefaccionado al verano refrigerado y terminamos frente a un tema que afecta ambas estaciones y sistemas: la energía. Después de más de dos siglos de dependencia de los combustibles fósiles, hoy podríamos estar frente a un cambio de paradigma. La energía solar —junto con la eólica— crece más rápido que cualquier otra fuente de energía en la historia. Lo que llamábamos “alternativo” se volvió una opción. En 2023, el 96 % de la nueva demanda eléctrica global fue cubierta por renovables. El secreto no está solo en el crecimiento, sino en la eficiencia. Quemar petróleo o carbón desperdicia más del 70 % de la energía en forma de calor. En contraste, un vehículo eléctrico o una bomba de calor (precisamente nuestro primer tema) aprovechan hasta tres veces mejor la electricidad renovable. La aceptación social acompaña. Encuestas globales muestran que la energía solar es, de lejos, la fuente más popular entre la ciudadanía, con consensos que cruzan partidos y fronteras. La transición energética ya no depende solo de tecnología o costos: tiene respaldo social, económico y técnico.

El sol cada día irradia sobre la Tierra decenas de miles de veces más energía de la que necesitamos. La pregunta no es si podremos aprovecharla, sino cuánto tardaremos en hacerlo a la escala que el planeta exige.

Así, con el veranito de San Juan en el invierno porteño, llega a ustedes esta nueva edición de Clima, siempre tratando de mantenerla en línea con la desafiante actualidad que debe encarar nuestra industria.

La editora

Hacé clic, mirá el tutorial y registrarte en Reld: https://shre.ink/kczF

Fuerte crecimiento del mercado de equipos HVAC

Impulsado por las cargas de trabajo de IA y la computación de alta densidad el mercado de equipos HVAC está experimentando un fuerte crecimiento de la mano de la creciente urbanización, las tendencias de construcción inteligente y la demanda de soluciones de control climático energéticamente eficientes.

El mercado global de equipos de climatización (HVAC) alcanzó los 231.900 millones de dólares en 2024. Se proyecta que alcance los 356 900 millones de dólares para 2033, con una tasa de crecimiento anual compuesta (TCAC) del 4,66 % durante el

período 2025-2033. La demanda de equipos de calefacción y refrigeración rentables, energéticamente eficientes y de alto rendimiento en los sectores comercial e industrial está influyendo positivamente en el mercado. Las empresas buscan sistemas

que reduzcan los costos operativos y mantengan un ambiente interior óptimo, lo que hace que los equipos con coeficiente de rendimiento estacional (SCOP) resulten muy atractivos. Esto contribuye a la expansión de la cuota de mercado de los equipos de climatización (HVAC). El mercado se ve impulsado por diversos factores clave, como los avances tecnológicos, las normativas de eficiencia energética y la creciente concienciación sobre la sostenibilidad ambiental. Innovaciones tecnológicas como termostatos inteligentes y sistemas de climatización energéticamente eficientes impulsan el crecimiento del mercado de equipos al ofrecer un mejor rendimiento y ahorros a los consumidores. Además, la creciente urbanización e industrialización impulsa la demanda de equipos, tanto en el sector residencial como en el comercial, principalmente en las economías emergentes que experimentan un rápido desarrollo y expansión de la infraestructura, lo que impulsa el crecimiento del mercado de equipos de climatización. Entre las tendencias clave en el mercado de equipos de climatización (HVAC) se encuentra el aumento de sistemas inteligentes y conectados, impulsado principalmente por la tecnología del Internet de las Cosas (IoT), que permite la monitorización y el control remotos para una mayor eficiencia y comodidad. En consonancia con esto, la creciente demanda de soluciones de climatización energéticamente eficientes y respetuosas con el medio ambiente, impulsada por la creciente concienciación sobre el cambio climático y la sostenibilidad, es otra tendencia clave en el mercado de equipos de climatización. Además, la integración de fuentes de energía renovables, como la solar, en los sistemas es cada vez más frecuente, impulsando la industria hacia prác-

ticas más ecológicas y sostenibles. Obviamente las tendencias varían según la región debido a factores como el clima, el desarrollo económico y las políticas regulatorias. En regiones desarrolladas como Norteamérica y Europa, se prioriza la eficiencia energética y la sostenibilidad ambiental, lo que impulsa la demanda de sistemas de climatización (HVAC) avanzados con altos índices de eficiencia y refrigerantes ecológicos. Las economías emergentes de Asia Pacífico, Latinoamérica y Oriente Medio están experimentando una rápida urbanización e industrialización, lo que impulsa la necesidad de soluciones de HVAC para satisfacer la creciente demanda de infraestructura. Además, las iniciativas gubernamentales que promueven prácticas de construcción ecológica y el ahorro energético influyen en las tendencias geográficas, con el aumento de la inversión en tecnologías de HVAC energéticamente eficientes a nivel mundial, impulsando así el crecimiento del mercado de equipos de HVAC.

Frente a este panorama el mercado HVAC se enfrenta a diversos desafíos, como la fluctuación de los costos de las materias primas, las estrictas normas regulatorias y la evolución de las preferencias de los consumidores. Los rápidos avances tecnológicos también presentan importantes desafíos, ya que los fabricantes se esfuerzan por mantenerse al día con las innovaciones y a la vez mantener la asequibilidad. Sin embargo, estos desafíos brindan oportunidades para que los actores del mercado innoven y diferencien sus productos, principalmente en eficiencia energética e integración de tecnologías inteligentes. Asimismo, la creciente atención a la sostenibilidad abre nuevas vías para el desarrollo de soluciones de climatización ecológicas, aprovechan -

do las fuentes de energía renovables y los refrigerantes avanzados. La expansión de los mercados en las regiones en desarrollo ofrece oportunidades para el crecimiento del mercado de equipos de climatización mediante el desarrollo de infraestructura y la creciente demanda de sistemas de climatización modernos.

Las tendencias

Avances tecnológicos

La integración de las tecnologías del Internet de las Cosas (IoT) en los sistemas de climatización (HVAC) supone un avance significativo en la gestión del control climático en edificios residenciales y comerciales. Gracias a la incorporación de sistemas inteligentes conectados, los usuarios pueden controlar la configuración de su sistema de forma remota a través de sus celulares, tabletas o cualquier otro dispositivo inteligente. Esta conectividad permite un ajuste preciso de la temperatura, la monitorización y la programación desde cualquier lugar, lo que proporciona mayor comodidad y eficiencia operativa. Por ejemplo, Resideo lanzó los kits de termostato inteligente Honeywell Home T10+, que ofrecen un control completo de la calidad del aire interior y el confort mediante la tecnología RedLINK 3.0, ofreciendo soluciones personalizables para sistemas de climatización. Estos kits mejoran el termostato inteligente T10 Pro, permitiendo el control simultáneo de varios equipos de calidad del aire interior, simplificando la configuración y la personalización. El resultado no solo es una mejor gestión energética y una reducción de costes, sino también un entorno de climatización más ágil e intuitivo.

Mejor calidad del aire

La demanda de una mejor calidad del aire ha aumentado significativamente, especialmente tras la crisis sanitaria mundial. Consumidores y empresas priorizan ahora los sistemas de climatización (HVAC) que destacan no solo en la regulación de la temperatura, sino también en la mejora de la calidad del aire interior. Este cambio ha impulsado avances en las tecnologías de filtración y ventilación dentro de los sistemas HVAC. Por ejemplo, la tecnología Plasmaster Ionizer++ de LG elimina eficazmente hasta el 99,9 % de las bacterias adheridas (Staphylococcus aureus, Escherichia coli y Pseudomonas aeruginosa) en una sala de prueba de 30 m³. Además, la integración de tecnologías de purificación de aire directamente en las unidades HVAC es cada vez más común, lo que garantiza ambientes interiores más limpios y saludables tanto en espacios residenciales como comerciales.

Conciencia sobre la sostenibilidad ambiental

El impulso global para una mayor eficiencia energética en los sistemas de climatización se debe principalmente a una mayor concienciación sobre los problemas ambientales y las normativas gubernamentales. Los fabricantes están desarrollando componentes de alta eficiencia, como compresores de velocidad variable y controles termostáticos inteligentes que adaptan el consumo de energía a la demanda en tiempo real. Carrier presentó su aire acondicionado Infinity 20 con inteligencia Greenspeed, que funciona a diferentes velocidades para gestionar mejor la humedad y ajustarse a las demandas de calefacción y refrigeración, minimizando así el consu-

mo de energía. Los sistemas con inteligencia Greenspeed permiten a Carrier proporcionar refrigeración de alta eficiencia para hogares y pequeñas empresas. Esto no solo ayuda a reducir los costes operativos para los usuarios, sino que también contribuye a iniciativas más amplias de sostenibilidad ambiental al minimizar el impacto energético de la calefacción y la refrigeración de edificios.

Segmentación del mercado

El aire acondicionado domina el mercado de equipos HVAC, lo que refleja una amplia demanda en los sectores residencial, comercial e industrial. Según el análisis del mercado de equipos HVAC, esta tendencia se debe a la creciente necesidad de climatización en diversos entornos, sumada al aumento de las temperaturas globales, que incrementa la dependencia de los sistemas de refrigeración. Los avances tecnológicos en eficiencia energética y la integración de tecnología inteligente impulsan aún más el crecimiento de este sector. Por ejemplo, en 2022, Johnson Controls-Hitachi Air Conditioning lanzó la serie airHome, que incorpora innovadoras tecnologías de purificación de aire de Hitachi, como FrostWash, para mejorar la calidad del aire interior y la eficiencia energética a nivel mundial, comenzando en Europa y expandiéndose posteriormente a Asia. A medida que la urbanización continúa aumentando, también lo hace la instalación de sistemas de aire acondicionado en nuevos edificios, manteniendo su importante cuota de mercado. Entre los distintos sistemas, os sistemas centrales de climatización son los equipos más populares gracias a su eficiencia para regular la temperatura de edificios o viviendas desde una ubicación centraliza-

da. Son rentables a largo plazo y prácticos para gestionar la temperatura interior de forma uniforme. Innovaciones como la tecnología de velocidad variable y la integración de termostatos inteligentes aumentan su atractivo al optimizar el consumo energético y mejorar el confort. Según el informe de la industria de equipos de climatización (HVAC), la creciente transición hacia prácticas de construcción sostenibles ha incrementado la demanda de sistemas avanzados y energéticamente eficientes. Igualmente, es el sector comercial el que se consolida como el segmento líder en el mercado de equipos de climatización (HVAC), impulsado principalmente por su amplia demanda de sistemas sofisticados de calefacción, ventilación y aire acondicionado. Los edificios comerciales, desde oficinas y centros comerciales hasta hospitales y escuelas, requieren soluciones de climatización robustas para mantener una calidad del aire interior y un confort óptimos. El crecimiento de este segmento se ve impulsado por las continuas actividades de construcción y la modernización de edificios antiguos con sistemas modernos y energéticamente eficientes. Además, las normas regulatorias centradas en la conservación de la energía y la sostenibilidad ambiental están impulsando a las empresas a invertir en tecnologías avanzadas de climatización (HVAC). Según un estudio de mercado de equipos de climatización, la transición hacia soluciones más ecológicas es un factor clave, ya que las empresas buscan reducir su huella de carbono y, al mismo tiempo, garantizar la eficiencia energética.

Para más detalles: informe de la industria de IMARC https://www.imarcgroup.com/hvac-equipment-market

Los desafíos del aire acondicionado frente al tórrido verano europeo

Desde fines de junio, una ola de calor abrasador golpeó nuevamente a Europa y expuso los desafíos del aire acondicionado en un continente donde su uso aún es relativamente nuevo.

Parece que el junio pasado está entre los cinco meses de junio más cálidos en la historia registrada de Europa, según el Centro Europeo de Previsiones Meteorológicas a Medio Plazo. Météo-France afirmó que el 30 fue el día de junio más caluroso desde que comenzaron las mediciones en 1947, superando el récord anterior establecido en 2019. También se registraron temperaturas excepcionales en Portugal, los Países Bajos y el sur de España, donde el termómetro alcanzó los 46 °C. Pero esto no se detuvo. El primer día de julio, la temperatura alcanzó los 40 °C en París, hasta el piso superior de la Torre Eiffel estuvo cerrado a los visitantes y alrededor de 2200 escuelas cerraron en Fran-

cia debido al calor. Alemania también experimentó un pico de 40 ° en Frankfurt el 2 de julio. La última ola de calor en Europa se originó en el continente africano. Un sistema de alta presión creó una cúpula de calor, comprimiendo el aire hacia la superficie y aumentando las temperaturas. Marruecos informó temperaturas generalizadas superiores a los 45 °C durante una ola de calor prolongada. Además, la nubosidad o la baja nubosidad permitieron que la radiación solar llegara libremente a la superficie de la Tierra, generando altas temperaturas. En olas de calor anteriores, decenas de miles de personas murieron en Europa por lo que las autoridades han emitido advertencias para los ancianos,

los niños pequeños, enfermos y otras personas vulnerables a lo que se llama un "asesino silencioso".

La última ola de calor dejó varios muertos en Francia, Italia y España, grandes daños a los cultivos y miles de hectáreas de tierra carbonizadas por incendios forestales.

El episodio de calor extremo también causó un aumento en los niveles de material particulado (PM), como PM 10 y PM 2,5, según el Centro Regional Dust Barcelona de la Organización Meteorológica Mundial (OMM). Otros contaminantes atmosféricos, incluido el ozono, también alcanzaron niveles elevados en toda Europa, según el Servicio de Monitoreo Atmosférico Copernicus de la Unión Europea (UE). La economía europea podría perder un 0,5% de crecimiento este año debido a las olas de calor, según Allianz Trade, una compañía de seguros internacional con sede en Francia.

Millones de europeos luchan por adaptarse a las temperaturas abrasadoras, y muchos recurren a ventiladores eléctricos, compresas y duchas frías. El aire acondicionado es poco común en los hogares. Alrededor del 20 % de los hogares europeos tienen aire acondicionado, en comparación con casi el 90 % de los hogares estadounidenses. En el Reino Unido, solo alrededor del 5 % de los hogares tienen sistemas de refrigeración, muchos de los cuales son aparatos de aire acondicionado portátiles. En Alemania, la cifra es de tan solo el 3 %. Históricamente, muchos europeos, especialmente los del norte, les parecían innecesarios los sistemas de refrigeración y los consideraban un lujo debido a sus elevados costos de instalación y funcionamiento. No hay que olvidar que los costos tienden a ser más altos en Europa que en Estados Unidos, sobre todo desde el inicio del conflicto en Ucrania. Además, la arquitectura europea también suele dificultar el confort térmico. En el sur de Europa, las viviendas se diseñaban tradicionalmente para aislar del calor, pero en el resto de Europa, el calor del verano no era históricamente un problema importante. La estética de las unidades exteriores, la preservación histórica de los edificios y los problemas de ruido también han sido obstáculos para el uso del aire acondicionado en algunas regiones.

Sin embargo, Europa se está calentando el doble de rápido que otras partes del mundo, por lo que el aire acondicionado se considera cada vez más necesario. Un informe de la Agencia Internacional de la Energía (AIE) predice que el número de unidades de aire acondicionado en la UE ascenderá a 275 millones para 2050, más del doble que en 2019. Algunos expertos advierten que, si bien los aires acondicionados proporcionan un alivio rápido de las temperaturas abrasadoras, consumen mucha energía, la mayor parte de la cual aún proviene de combustibles fósiles que calientan el planeta. Los expertos advierten de que las olas de calor están poniendo a prueba la red eléctrica del continente. En España, el consumo eléctrico se disparó en torno al 14%. En Alemania y Francia la demanda en las horas pico puso en alerta a los operadores eléctricos. Un gran aumento en el uso del aire acondicionado dificultaría el cumplimiento de los compromisos climáticos. Europa se ha comprometido a alcanzar la neutralidad climática para 2050. Además del consumo energético de los sistemas de aire acondicionado, otro problema es el calor liberado al exterior. Un estudio realizado en París demostró que el uso generalizado del aire acondicionado podría elevar la temperatura exterior entre 2 °C y 4 °C. Algunos países han introducido medidas para limitar el uso del aire acondicionado con el fin de ahorrar energía. En 2022, España introdujo normativas para limitar la temperatura en lugares públicos con aire acondicionado a 27 °C o más.

El Sexto Informe de Evaluación del Grupo Intergubernamental de Expertos sobre el Cambio Climático (IPCC) muestra que, para 2050, aproximadamente la mitad de la población europea podría estar expuesta a un riesgo alto o muy alto de estrés térmico durante el verano, especialmente en el sur de Europa. A medida que las olas de calor se vuelven más frecuentes e intensas, los países europeos deberán actuar con rapidez para ampliar el uso del aire acondicionado y proteger a las poblaciones vulnerables, a la vez que crean normativas estrictas que regulen la eficiencia de los sistemas de refrigeración para reducir el impacto climático del aire acondicionado.

Una bomba de calor sin refrigerantes

Los científicos han desarrollado una bomba de calor magnetocalórica que iguala a los sistemas convencionales en cuanto a costo, peso y rendimiento, eliminando refrigerantes dañinos. Al optimizar los materiales y el diseño, la bomba alcanza una densidad de potencia comparable, ofreciendo una alternativa más ecológica y eficiente para calefacción y refrigeración.

Dado que se proyecta que la demanda de refrigeración de espacios se duplicará con creces entre 2022 y 2050, es necesario reducir el impacto de la refri -

geración en el clima. La calefacción de espacios para edificios se logra en gran medida mediante la combustión de combustibles fósiles y contribuye con

casi el 20 % de las emisiones globales de carbono. Las bombas de calor se consideran ampliamente una tecnología impulsora para descarbonizar la refrigeración, la calefacción y el calentamiento de agua. La mayoría de las bombas de calor disponibles actualmente se basan en el ciclo de compresión de vapor; sin embargo, las bombas de calor de compresión de vapor están llegando a sus límites de eficiencia y están plagadas de fugas de refrigerante, lo que provoca emisiones directas de sustancias químicas potencialmente dañinas. Satisfacer la creciente demanda de refrigeración y calefacción de espacios sostenibles requiere innovación. Las bombas de calor calóricas de estado sólido, en particular las bombas de calor magnetocalóricas, son tecnologías emergentes prometedoras con el potencial de eliminar las emisiones directas de refrigerante y, al mismo tiempo, reducir la demanda de energía para el confort térmico de los edificios hasta en un 30 %.

Desde la década de 1980, varios laboratorios han desarrollado bombas de calor innovadoras que utilizan el efecto magnetocalórico para calentar y enfriar. El rendimiento de estos prototipos es prometedor, con una mejora gradual de sus coeficientes de rendimiento (COP) (ahora comparables a los de los sistemas de compresión de vapor convencionales) y su potencia nominal. Estudios han demostrado que una bomba de calor magnetocalórica puede integrarse en un edificio y cubrir sus

necesidades de calefacción y agua caliente sanitaria.

Investigadores del Laboratorio Nacional Ames del Departamento de Energía de EE. UU. han desarrollado una bomba de calor magnetocalórica que rivaliza con las bombas de calor de compresión de vapor tradicionales en términos de peso, costo y rendimiento.

La mayoría de las bombas de calor magnetocalóricas (MCHP) para temperaturas cercanas a la ambiente consta de un material magnetocalórico (MCM) en forma de un regenerador magnético activo poroso (AMR) que se somete periódicamente a campos magnéticos coordinados con el flujo de fluido. Amplios esfuerzos de investigación y desarrollo han demostrado que las MCHP pueden cumplir con el rendimiento necesario para aplicaciones de calefacción y refrigeración eficientes y sostenibles con una amplia gama de MCM, AMR y fuentes de campo magnético.

Las bombas de calor magnetocalóricas ofrecen una alternativa prometedora para calefacción y refrigeración, ya que eliminan las emisiones de refrigerante y funcionan con mayor eficiencia energética. Sin embargo, hasta ahora, los dispositivos magnetocalóricos han tenido dificultades para igualar a los sistemas de compresión de vapor en tres aspectos críticos: peso, costo y rendimiento. Este nuevo avance supone un paso significativo hacia una tecnología de

calefacción y refrigeración más sostenible.

Julie Slaughter, líder del equipo de investigación, explicó que su investigación comenzó con la construcción de una bomba de calor magnetocalórica. "Primero analizamos lo que ya existía y qué tan cerca estaban los dispositivos magnetocalóricos existentes de los compresores compatibles", dijo. "Después, desarrollamos un diseño base y nos preguntamos: 'Bien, ¿hasta dónde podemos llevar la tecnología?'"

Una bomba de calor magnetocalórica funciona modificando el campo magnético aplicado a un material magnetocalórico mientras bombea fluido para mover calor. Slaughter explicó que esto se realiza típicamente con imanes permanentes. El núcleo del dispositivo consiste en girar imanes permanentes en relación con el material magnetocalórico y usar acero magnético para contener el campo magnético. La disposición de estas tres piezas juega un papel fundamental en las predicciones del equipo, que examinó cómo aumentar la densidad de potencia de la bomba de calor.

Fomento del uso y la eficiencia de los materiales

Otra parte de su investigación consistió en evaluar los dos materiales magnetocalóricos más comunes utilizados en estas bombas de calor: gadolinio y material a base de hidruro de silicio, hierro y lantano.

“En nuestro dispositivo base, lo simplificamos al usar un solo material: gadolinio. Los materiales de lantano, hierro y silicio tienen mayor capacidad de potencia que el gadolinio. Por lo tanto, esto aumenta naturalmente la densidad de potencia. Sin embargo, no son tan fáciles de conseguir y requieren varios materiales en un solo dispositivo para obtener un buen rendimiento —dijo Slaughter—. En nuestras evaluaciones, incluimos estimaciones del rendimiento del LaFeSi para los dispositivos con mayor densidad de potencia”.

El equipo de Slaughter se centró en optimizar el uso del espacio y los materiales, y en reducir la cantidad de material de imán permanente y acero magnético necesario para el funcionamiento eficiente de la bomba. Estos esfuerzos ayudaron a que las piezas principales del sistema se ajustaran al peso de los compresores disponibles actualmente. “Logramos demostrar que somos competitivos con la densidad de potencia de algunos de los compresores disponibles actualmente”, dijo Slaughter. “Los imanes permanentes y el acero magnético constituyen la mayor parte de la masa, en lugar del costoso material magnetocalórico, lo cual contribuye enormemente a la asequibilidad. Supusimos que, si un dispositivo pesa aproximadamente lo mismo, el costo será similar en la producción en masa”.

Referencia: “Tecnología de bomba de calor magnetocalórica escalable y compacta” por Julie Slaughter, Lucas Griffith, Agata Czernuszewicz y Vitalij Pecharsky, 28 de octubre de 2024, Applied Energy.

Sistema de bomba de calor magnetocalórica de China

En la ciudad de Weifang, de la provincia china de Shandong, se ha puesto en marcha el primer sistema de bomba de calor magnetocalórica (MCHP, por sus siglas en inglés), que desde el 12 de junio ya brinda servicios de refrigeración en una comunidad residencial y de oficinas. Esta tecnología innovadora aprovecha el efecto magnetocalórico, en el que ciertos materiales se calientan al magnetizarse y se enfrían al desmagnetizarse, ofreciendo una alternativa eficiente y ecológica sin necesidad de refrigerantes químicos.

Encabezada por Wang Weixiang, del Departamento de Tecnología de Energía Baja en Carbono de Shandong, la instalación inició sus pruebas exhaustivas en tuberías y presión del sistema subterráneo. El objetivo es garantizar un funcionamiento óptimo en verano, y los resultados fueron notables: mientras la temperatura de aire en el exterior de la ciudad de Weifang alcanzó los 36 °C, el

interior de los edificios se mantuvo en agradables 23 °C, con una sola toma de aire activa. Además, en invierno, sin ventiladores en los dormitorios, la temperatura se mantuvo en 21 °C, confirmando su versatilidad. Operativa desde el año pasado para calefacción, esta MCHP cubre una superficie de 27 000 m² y ha logrado un ahorro energético de 230.000 yuanes (unos 32.000 USD) frente a sistemas tradicionales. Su diseño incorpora la levitación magnética, que reduce la fricción mecánica en un 30 %, ajusta automáticamente cargas y utiliza energía renovable como agua y calor geotérmico, sin emisiones contaminantes. Esta tecnología será clave en la modernización de edificios inteligentes e industrias con recuperación de calor. Enmarcado en la estrategia nacional de reducción de carbono, los expertos auguran que las bombas MCHP impulsarán una transformación significativa en la industria HVAC.

ENERGY VALVE

• Medición y gestión de energía

• Optimización del Delta T

• Monitoreo de glicol

• Análisis en la nube

• Rendimiento dinámico y amplia compatibilidad.

• Soporta diversas plataformas de comunicación: Cloud, BACnet, Modbus y Belimo MP-Bus

PIFLV – VÁLVULA LIMITADORA DE CAUDAL + VÁLVULA DE CONTROL

• Rangos de Caudal: 295 a 3611 l/h

• Rangos de Diámetros: ½” a 1”

• Tipos de Actuadores: Retorno por Motor, Retorno por Resorte o Capacitor.

• Tipos de Control: On-O

SENSORES, TRANSMISORES Y ACCESORIOS

Presión, Humedad Relativa, Humedad Absoluta, Punto de Rocío, Entalpía. Dióxido de Carbono (CO2). Temperatura. Caudal.

VÁLVULA GLOBO

Sólo eligiendo un instalador matriculado Ud. contará con la

Avalada por la CACAAV aún ante el cambio de equipos.

Imagen de GEA

Ahorro de Energía, Aire Comprimido, Aislantes, Biocombustibles, Biomasa, Carbón, Climatización, Energía Eólica, Energía Geotérmica, Energía Hidráulica, Energía Solar Fotovoltaica, Energía Solar Térmica, Energía Solar Termoeléctrica, Equipos para la Industria, Gas, Generadores de Energía, Iluminación, Impermeabilizantes, Mantenimiento, Otras Energías, Petróleo, Refrigeración, Servicios.

Más allá del cambio climático:

Evaluación de la sostenibilidad de las bombas de calor y los refrigerantes

La sustitución de calderas por bombas de calor reduce significativamente las emisiones de gases de efecto invernadero (GEI), convirtiéndolas en un componente vital para la transición energética. Las regulaciones F-Gas y REACH también contribuyen a la reducción de GEI al limitar el uso de refrigerantes con alto potencial de calentamiento global. Sin embargo, las bombas de calor pueden trasladar la carga a otras categorías ambientales más allá del cambio climático, poniendo en riesgo la sostenibilidad general a largo plazo.

La transición de calderas a bombas de calor en la calefacción residencial es crucial para reducir las emisiones de gases de efecto invernadero (GEI) y avanzar en la transición energética. Sin embargo, a pesar de su potencial, la adopción de bombas de calor en Europa, especialmente en Alemania, se enfrenta a una disminución de las

ventas[1] Las bombas de calor producen emisiones directas e indirectas, influenciadas, por ejemplo, por la elección del refrigerante, las tasas de fugas, la intensidad del CO2 de la red eléctrica y la eficiencia del sistema. Los estudios existentes se centran en la mitigación del cambio climático mediante la elección del refrigerante o en impactos ambientales más amplios con configuraciones fijas, a menudo ignorando la transferencia de la carga a otras categorías de impacto. Este artículo resume los hallazgos de un estudio científico en el que se realizó un análisis exhaustivo del ciclo de vida (ACV) de bombas de calor y refrigerantes, que abarca 15 categorías ambientales más allá del cambio climático [2]. El estudio incorpora un modelo de bomba de calor dependiente del refrigerante y un modelo de simulación del rendimiento del edificio, que se emplean para considerar el impacto del refrigerante, la eficiencia operativa y las demandas de calefacción específicas del edificio. Se emplea una evaluación del ciclo de vida para evaluar el rendimiento ambiental de una bomba de calor que utiliza siete refrigerantes diferentes. Los resultados mues-

tran que el R290 y el R717 alcanzan coeficientes de rendimiento estacionales más altos (SCOP 3,83-3,88) que, por ejemplo, el R1234yf (3,36), reduciendo las emisiones indirectas en nueve categorías de impacto analizadas entre un 10 % y un 16 % gracias a una menor demanda de electricidad. Como siguiente paso, se recomienda integrar las estrategias circulares y el lubricante del compresor en la evaluación debido a su interacción con la eficiencia del compresor, su impacto en la envolvente del compresor y la vida útil de la bomba de calor

Rendimiento ambiental de bombas de calor y refrigerantes

Se partió de la evaluación del impacto ambiental de una bomba de calor aire-agua en funcionamiento en una vivienda unifamiliar alemana durante un período de 20 años, utilizando el refrigerante R410A como escenario base. El análisis sigue la configuración de principio a fin con tasas fijas de fin de vida útil (Figura 1 izquierda) y considera la producción (Figura 1 derecha) y el fun-

FIGURA 1. Modelos de proceso y su interconexión durante un ciclo de vida (izquierda), proporcionando calor mediante dos rutas de producción de bombas de calor diferentes en función del refrigerante utilizado (derecha).

cionamiento de la bomba de calor, la producción de refrigerante, las fugas de refrigerante y los procesos previos, excluyendo los sistemas de distribución y las envolventes del edificio. La evaluación del impacto ambiental se ajusta a las directrices del Sistema Internacional de Datos del Ciclo de Vida (ILCD) [3]

Se calcularon dieciséis categorías de impacto, de las cuales nueve se presentan en este estudio, con especial énfasis en el cambio climático, y utilizando los conjuntos de datos de ecoinvent [4] para los flujos de materiales y energía. Además, se realiza un análisis comparativo de seis refrigerantes alternativos (R32, R1234yf, R290, R1270, R600a y R717) en 9 de las 16 categorías de impacto para evaluar sus impactos en el ciclo de vida, incluyendo la producción, el funcionamiento y los factores constantes al final de la vida útil. Estos impactos se normalizan y ponderan de acuerdo con las recomendaciones del ILCD para que sean comparables con los de una caldera de condensación de gas estándar.

El inventario del ciclo de vida incluye una base de datos sólida y enfoques de modelización. Vering et al. 2025 [2] presenta una descripción detallada del método, donde se explica la modelización de la producción de refrigerantes, incluyendo reacciones químicas y supuestos de fugas. La fabricación de bombas de calor se basa en un sistema de salmuera-agua de 10 kW, con composiciones de materiales (véase la Figura 1, derecha) escaladas por potencia calorífica nominal y pesos específicos promedio de 18 kg/kW aplicados a todos los refrigerantes. Se asumen tasas de fuga del 5 % anual y del 30 % al final de su vida útil para calcular las pérdidas de refrigerante y el impacto ambiental. La simulación de la

demanda de calor emplea el marco TEASER, utilizando datos meteorológicos de Erfurt y una casa modelada de tres plantas con una superficie habitable de 280 m². Esto arroja una demanda anual de calor de 82 MWh y una carga máxima de 22,5 kW, que se suministra con la red eléctrica nacional de Alemania en 2020. Existen cientos de refrigerantes disponibles para bombas de calor, cada uno con ventajas y desventajas únicas. El refrigerante sintético R410A es el estándar de la industria debido a su no inflamabilidad y funcionamiento sin riesgos, a pesar de sus inconvenientes ambientales debido a su alto potencial de calentamiento global (PCG). Por el contrario, alternativas como el propano (R290) y el amoníaco (R717) ofrecen mayor eficiencia, pero plantean problemas de seguridad debido a su inflamabilidad o toxicidad, lo que requiere estándares más estrictos [5]. Además, se ha descubierto que refrigerantes sintéticos como el R410A, el R32 y el R1234yf producen PFAS [6], lo que genera preocupación por la contaminación y posibles prohibiciones, lo que podría afectar negativamente la adopción de bombas de calor. Este estudio examina siete refrigerantes (véase la Figura 2), incluyendo R410A, R32, R1234yf, R290, R1270, R600a y R717, utilizando un modelo de bomba de calor dependiente del fluido para calcular los coeficientes de rendimiento estacional (SCOP) y los impactos ambientales en comparación con una caldera de condensación de gas. Los resultados revelan que el R290 y el R717 alcanzan SCOP más altos (3,83 y 3,88, respectivamente) en comparación con el R1234yf (3,36), lo que reduce la demanda de electricidad y el impacto climático entre un 10 y un

16 %. El cambio a refrigerantes naturales como el R717 también reduce la degradación de la capa de ozono y los impactos relacionados con la producción al eliminar sustancias que contienen cloro o flúor. El uso de acero inoxidable en lugar del cobre, necesario para el R717, reduce aún más el impacto en la producción, pero puede aumentar los costes.

A pesar de su menor eficiencia ambiental, el R410A sirve como referencia para evaluar los impactos de las bombas de calor en diferentes aspectos. Esto subraya la importancia de la selección del refri -

gerante para optimizar la sostenibilidad de las bombas de calor, equilibrando al mismo tiempo la seguridad y la eficiencia. La distinción entre emisiones directas e indirectas es fundamental para la evaluación ambiental de las bombas de calor. Las emisiones directas se deben a fugas de refrigerante durante la producción, el funcionamiento o la eliminación. Debido al alto PCA de los refrigerantes sintéticos, como el R410A, estos pueden contribuir notablemente al cambio climático. Las emisiones indirectas, por otro lado, se derivan principalmente del consumo

FIGURA 2. Se muestran los impactos ambientales de una bomba de calor para cada categoría ambiental y cada refrigerante (estandarizado a R410A). Las categorías ambientales se ajustan a los niveles de recomendación del ILCD [3] .

de electricidad durante el funcionamiento. Por lo tanto, las emisiones indirectas están fuertemente influenciadas por la intensidad de CO 2 de la combinación eléctrica y la eficiencia del sistema. Como parte de la contabilidad de gases de efecto invernadero (Informes ESG), el Protocolo de Gases de Efecto Invernadero distingue tres alcances:

• El Alcance 1 incluye las emisiones directas de fuentes propias, por ejemplo, las fugas de refrigerante.

• El Alcance 2 incluye las emisiones indirectas de la energía adquirida, como el consumo de electricidad durante el funcionamiento. El Alcance 3 considera otras emisiones indirectas que se producen a lo largo de la cadena de valor, por ejemplo, la producción de la bomba de calor o el transporte de refrigerantes.

La Figura 2 muestra que solo los refrigerantes con alto PCA causan emisiones significativas de Alcance 1 debido a fugas. Además, es evidente que las emisiones de Alcance 2 dominan el impacto ambiental debido al consumo de electricidad durante la operación en las condiciones de la red eléctrica alemana a partir de 2020.

En consecuencia, el PCA influye significativamente en las emisiones indirectas, lo que hace que el R717, con su eficiencia superior, sea particularmente favorable en términos de rendimiento ambiental general. Finalmente, en comparación con la caldera de gas, es evidente que se produce un desplazamiento de la carga en 6 de las 9 categorías. Por lo tanto, la sostenibilidad general de las bombas de calor debe tenerse en cuenta en el futuro para reducir el impacto ambiental general.

Limitaciones

Las bombas de calor con capacidades de calefacción de aproximadamente 25 kW, como las examinadas en este estudio, suelen utilizar compresores de desplazamiento positivo. Estos compresores están lubricados, lo que conlleva la introducción de lubricantes en el análisis de ciclo de vida (ACV) de la bomba de calor. Los lubricantes comunes para bombas de calor incluyen aceites minerales y opciones sintéticas como polialfa-olefinas, polialquilenglicoles y ésteres de poliol. Ambos pueden producirse mediante procesos petroquímicos, lo que genera emisiones de Alcance 3 adicionales. Además, la elección del lubricante afecta significativamente tanto la eficiencia como la capacidad de las bombas de calor. Las viscosidades más altas resultan en mayores pérdidas por fricción, a la vez que minimizan las pérdidas por flujo inverso. Además, el lubricante se inyecta desde el compresor al ciclo de refrigerante, donde puede crear una película en todas las superficies que puede aislar los intercambiadores de calor y reducir su eficiencia. Por lo tanto, la selección del lubricante puede influir en el consumo de energía de la bomba de calor y sus emisiones operativas de Alcance 2 [7,8,9]

El presente estudio aún no ha abordado el impacto de la producción, la manipulación durante el mantenimiento, los impactos en la eficiencia y la gestión del final de la vida útil de los lubricantes, lo cual se recomienda para obtener una visión más amplia de la evaluación de la sostenibilidad. Además, la introducción de estrategias circulares en comparación con las estrategias lineales constantes de fin de vida útil podría ser útil, reduciendo aún más las emisiones totales en comparación con la caldera de condensación de gas [10].

Conclusiones

Este trabajo presenta una perspectiva de un análisis exhaustivo del ciclo de vida de las bombas de calor y los refrigerantes en comparación con las calderas de gas. En las condiciones de la red eléctrica de 2020 en Alemania, las emisiones de gases de efecto invernadero pueden reducirse significativamente al calentar un edificio con una bomba de calor. Sin embargo, se produce un desplazamiento de la carga, lo que significa que el impacto ambiental en otras categorías aumenta al cambiar a bombas de calor. En este sentido, el estudio revela factores clave para el desarrollo futuro: (1) el suministro de electricidad verde, (2) el uso de bombas de calor de alta eficiencia y (3) el cambio a refrigerantes de bajo PCA es clave para minimizar el impacto ambiental. A futuro debieran incluirse las estrategias de lubricación y circularidad para compresores en la evaluación para obtener una visión más amplia del análisis de ciclo de vida (ACV) y encontrar soluciones óptimas para las combinaciones de refrigerante y aceite en bombas de calor.

Autores de la investigación

Christian Vering, Hannah Romberg, Anna Halle, Cedric Kötting, Moritz Beckschulte, Tim.

Klebig, Dirk Müller, Institute for Energy Efficient Buildings and Indoor Climate, RWTH. Aachen University, Germany.

Referencias

[1] European Heat Pump Association, Sales numbers for heat pumps across Europe, 2025.

[2] Vering et al., The environmental performance of nationwide heat pump deployment in residential buildings: A numerical case study for Germany, Cell Reports Sustainabilty (under review), 2025.

[3] ILCD recommendation, https://eplca.jrc.ec.europa.eu/uploads/ILCDRecommendation-of-methods-for-LCIA-def.pdf.

[4] Wernet, G., Bauer, C., Steubing, B., Reinhard, J., Moreno-Ruiz, E., and Weidema, B., 2016. The ecoinvent database version 3 (part I): overview and methodology. The International Journal of Life Cycle Assessment, [online] 21(9), pp.1218–1230.

[5] Höges et al, Bewertung alternativer Arbeitsmittel für Wärmepumpen im Gebäudesektor, Forschung im Ingenieurwesen, 2022.

[6] Breuer et al., Finding non-fluorinated alternatives to fluorinated gases used as refrigerants, Env. Science: Processes & Impacts, 2024.

[7] Afshari et al., Characterization of lubricating oil effects on the performance of reciprocating compressors in air–water heat pumps, Int. J Ref, 2017.

[8] Bandarra Filho et al., Flow boiling characteristics and flow pattern visualization of refrigerant/ lubricant oil mixtures, Int J Ref, 2009.

[9] Yadav et al, A comprehensive study on 21st-century refrigerants - R290 and R1234yf: A review, Int J Heat and Mass T, 2022.

[10] Vering et al., Heat Pump (Re-)Cycle, https:// heatpumpingtechnologies.org/annex65/wpcontent/ uploads/sites/78/2025/01/20241 07veringtowardscehps.pdf, Annex 65, 2025).

Artículo traducido de Heat Pumping Technologies Magazine, 1-2025.

¿Puede el dimetiléter reemplazar al propano en las bombas de calor?

Una nueva investigación española ha buscado comprender si el éter dimetílico y las mezclas ternarias de dióxido de carbono, éter dimetílico y butano podrían representar una alternativa al propano en sistemas de bombas de calor. Su análisis ha demostrado que el éter dimetílico podría ser la mejor alternativa al R290, ya que ofrece los valores de coeficiente de rendimiento más altos tanto para refrigeración como para calefacción y evita los problemas relacionados con el deslizamiento de temperatura.

La búsqueda de soluciones respetuosas con el medio ambiente y energéticamente eficientes ha intensificado la investigación de refrigerantes alternativos para aplicaciones de refrigeración y bombas de calor. La exploración de nuevos fluidos surgió inicialmente de la necesidad de encontrar sustitutos para refrigerantes con alto PCA, como el R134a, el R404A, el R410A o incluso el R32, la mayoría de los cuales eran ligeramente inflama-

bles o altamente inflamables. Posteriormente, esta búsqueda se concibió para combinar la eficiencia energética con la reducción de la inflamabilidad.

Sin embargo, cuando se trata de fluidos alternativos al R290, las investigaciones son escasas y aún están en curso. Existen mezclas desarrolladas para sustituir al R22, que también encajan en plantas de R290, basadas en mezclas de R290/R600a, RE170/R152a y RE170/R600a respectivamente, pero no se han encontrado resultados experimentales analizándolas. Uno de los componentes de las mezclas mencionadas anteriormente es el éter dimetílico (DME o RE170), que se considera uno de los primeros refrigerantes de la historia. El uso de DME ha recuperado protagonismo en los últimos años, dado que se trata de un fluido con excelentes propiedades termofísicas y ambientales (bajo PCA y cero ODP). Estudios teóricos recientes han destacado el posible potencial del DME y sus mezclas en aplicaciones de refrigeración. Investigadores de la Universidad Jaume I han probado diferentes refrigerantes que podrían ser alternativas al propano (R290) en los sistemas de refrigeración y bombas de calor existentes. Los científicos investigaron, en particular, el rendimiento del éter dimetílico (RE170) y de las mezclas ternarias de dióxido de carbono, éter dimetílico y butano (R744/RE170/R600).

La búsqueda de fluidos alternativos a los hidrocarburos puros para pequeños sistemas de refrigeración con la mejor eficiencia energética es una nueva línea de investigación que ya se ha verificado experimentalmente para sistemas R600a, lo que confirma los estudios teóricos iniciales. Algunos de estos fluidos alternativos se basan en mezclas zeotrópicas, siendo el dimetiléter (RE170) uno de los componentes que ha mostrado mejores resultados al mezclarse con otras sustancias. Sin embargo, aunque esta búsqueda se ha considerado teóricamen-

te como un sustituto del R290, aún no se ha validado experimentalmente. Este artículo, que busca contribuir a esta línea de investigación, considera el RE170 y sus mezclas con CO2 y R600 como posibles alternativas al R290 en aplicaciones de refrigeración y bombas de calor. El trabajo abarca un análisis termodinámico detallado del DME y la composición óptima de la mezcla, así como una evaluación experimental precisa en un banco de pruebas de laboratorio utilizando un ciclo de compresión de una sola etapa con un compresor hermético de velocidad variable.

Evaluación teórica de mezclas alternativas

Esta sección proporciona un enfoque termodinámico que determina las composiciones de la mezcla de R744, RE170 y R600 que ofrece el mejor rendimiento energético en comparación con el R290, y que puede utilizarse como sustituto del R290 en aplicaciones de refrigeración y bombas de calor. Estos tres refrigerantes se seleccionaron tras un análisis preliminar que consideró diferentes mezclas. Los cálculos de esta sección se basan en Refprop v.10 (Lemmon et al., 2018), la base de datos más precisa hasta el momento. Sin embargo, cabe destacar que este enfoque presenta limitaciones, ya que Refprop no contiene los coeficientes de mezcla binarios para esta mezcla por el momento.

Fluidos considerados

En relación con los fluidos base, la Tabla 1 contrasta propiedades importantes y la

tcrit than R290, but its pcrit is lower. This fluid has also larger latent heat of phase change than R290 (+2.7 % at 0 ◦ C and +17.0 % at 50 ◦ C) and higher specific volume (+274 % at 0 ◦ C) and, again it cannot be considered as drop-in fluid of R290 since the capacity of the plants will greatly drop. Finally, R744 has opposite properties. Its latent heat of phase change is 38.4 % lower at 0 ◦ C and its high pcrit and working pressures in comparison to R290 (34.8 vs. 4.7 bar) generate lower specific volumes ( 89.7 % at 0 ◦ C). The combination of these last properties will provide systems with larger capacities, however, due to its low tcrit, their use in R290 systems is not feasible since will require operation in transcritical conditions.

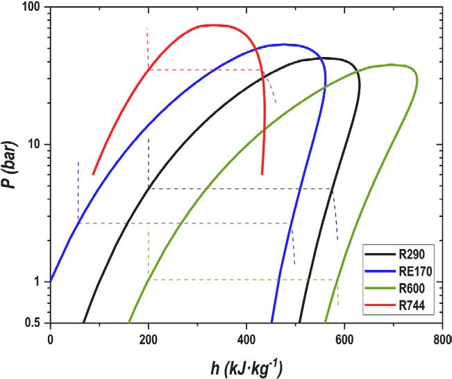
Figura 1 representa su diagrama de presión-entalpía. Dos de ellos son hidrocarburos puros, mientras que el RE170 es un éter y el R744 un compuesto inorgánico. Todos presentan valores de PCA insignificantes; y en cuanto a las clasificaciones de seguridad ASHRAE, todos se clasifican como A3, excepto el R744, que se clasifica como A1. En primer lugar, el RE170 presenta valores mayores de NBP, tcrit y pcrit que el R290. Esto implica que, a las mismas temperaturas de trabajo, un sistema funcionará con presiones más bajas que el R290. Sin embargo, también presenta un mayor calor latente de cambio de fase, que aumenta un 16,0 % a 0 °C y un 26,1 % a 50 °C en relación con el R290. El volumen específico del RE170 es significativamente mayor que el del R290 (+77 % a 0 °C). Aunque el calor latente de cambio de fase aumenta, su mayor volu -

Table 1

Generation of a mixture able to operate in R290 systems with these fluids can be done strategically by taking the advantage of RE170 and R600 (higher latent heat of phase change) and combining them with R744 to increment the operating pressures and reduce their high specific volumes. This analysis is presented in the next subsection. ties, for sion peratures subcooling isentropic are pressure and outlet. derived using evaporation on (2) condensing %, hm

men implicará reducciones importantes en la capacidad si se utiliza directamente como fluido sustituto. En segundo lugar, el R600 también presenta valores mayores de NBP y tcrit que el R290, pero su pcrit es menor. Este fluido también tiene mayor calor latente de cambio de fase que el R290 (+2,7 % a 0 °C y +17,0 % a 50 °C) y mayor volumen específico (+274 % a 0 °C) y, nuevamente, no puede considerarse como fluido de reemplazo de R290 ya que la capacidad de las plantas disminuirá considerablemente. Finalmente, el R744 tiene propiedades opuestas. Su calor latente de cambio de fase es 38,4 % menor a 0 °C y su alta p crit y presiones de trabajo en comparación con R290 (34,8 vs. 4,7 bar) generan volúmenes específicos menores (−89,7 % a 0 °C). La combinación de estas últimas propiedades proporcionará sistemas con mayores capacidades, sin

Physical and environmental characteristics of the refrigerants involved in this work (obtained with Refprop 10 (Lemmon et al., 2018)).

triple point.

TABLA 1. Características físicas y ambientales de los refrigerantes involucrados en este trabajo (obtenido con Refprop 10 (Lemmon et al., 2018)).

embargo, debido a su baja t crit , su uso en sistemas R290 no es factible ya que requerirá operación en condiciones transcríticas. La generación de una mezcla capaz de operar en sistemas R290 con estos fluidos puede realizarse estratégicamente aprovechando el RE170 y el R600 (mayor calor latente de cambio de fase) y combinándolos con el R744 para aumentar las presiones de operación y reducir sus elevados volúmenes específicos. Este análisis se presenta en la siguiente subsección.

Mezclas teóricas de rendimiento

covers a detailed thermodynamic analysis of composition of the mixture, and an accurate evaluation in a laboratory test rig using a single-stage a variable speed hermetic compressor.

evaluation of alternative mixtures

provides a thermodynamic approach that determines mixture containing R744, RE170 and R600 that energy performance in relation to R290 that can be substitute in refrigeration and heat pump application. were chosen after a preliminary analysis done in mixtures were considered. Calculations in this section v.10 (Lemmon et al., 2018), the most accurate moment, but it needs to be considered that this limitations, as Refprop does not contain the binary mixing mixture for the moment.

Como aproximación inicial, esta sección proporciona un análisis termodinámico de las mezclas que contienen R744, RE170 y R600, como posibles alternativas al R290 para su uso en aplicaciones de bombas de calor y refrigeración. El análisis teórico, considerando algunos parámetros de rendimiento importantes, busca determinar el rango de composiciones más prometedoras para las pruebas experimentales. Cabe destacar que Refprop v.10 no cuenta con coeficientes de interacción ajustados para calcular con precisión las propiedades termodinámicas de estas mezclas, por lo que este análisis es solo aproximado. La determinación de coeficientes de interacción específicos requiere una medición precisa de las propiedades termodinámicas, como detallan Menegazzo et al. (2025), pero esto aún no se ha realizado para la mezcla considerada.

Las mezclas se evalúan al trabajar en un ciclo simple de compresión de vapor que opera a temperaturas fijas de evaporación (to) y condensación (tk) de 0 °C y 50 °C, respectivamente. Los valores de sobrecalentamiento (SH) y subenfriamiento (SUB) se establecen en 4 K y 1 K, respectivamente, mientras que la eficiencia isentrópica (εise) y la eficiencia global (εglo) del compresor se fijan en 0,8 y 0,65, respectivamente. Una caída de presión (∆p) de 0,15 bar se supone entre la entrada y la salida del evaporador, así como entre la descarga del compresor y la salida del condensador. (Calleja-Anta et al., 2020, como referencia) Estos valores se derivan de las pruebas experimentales iniciales realizadas con propano utilizando el banco de pruebas.

base fluids, Table 1 contrasts important properties their pressure-enthalpy diagram. Two of them are while RE170 is an ether and R744 an inorganic negligible GWP values; and regarding ASHRAE are categorized as A3, except for R744, which is

higher NBP, tcrit and pcrit than R290. This implies working temperatures a system will operate with lower However, it also exhibits higher latent heat of

2.2. Theoretical performance mixtures

FIGURA 1. Diagrama de entalpía de presión de componentes puros y isoterma de 0 ° C.

As an initial approximation, this section provides a thermodynamic analysis of the mixtures containing R744, RE170 and R600, as possible alternatives to R290 to be used in heat pump and refrigeration applications. The theoretical analysis, considering some important performance parameters, aims to determine the range of most promising

Fig. 1. Pressure enthalpy diagram of pure components and 0 ◦ C isotherm.

,S ho,out

= VCCmixture VCCR290 VHCrel = VHCmixture VHCR290

The Coefficient of Performance is computed for both, refrigeration application (COPR ) and heat pump (COPHP ) applications, as well as the Volumetric Cooling Capacity (VCC) and Volumetric Heating Capacity (VHC), as detailed by Eq. (8) to Eq. (11)

= qo wc = ho,out ho,in wc (8)

HP = qk wc = hdis hk,out wc (9)

La presión de evaporación de las mezclas (p o), correspondiente a la temperatura de evaporación, se determina mediante un método iterativo basado en la entalpía media (hm) en el evaporador, según lo definido por las ecuaciones (1) y (2), como sugieren Radermacher y Hwang (2005). De manera similar, la presión de condensación (pk) se calcula con base en una calidad de vapor (xv) del 50 %, que corresponde a la entalpía media, como lo muestra la ecuación (3):

= qo vsuc (10) = qk vsuc (11)

the specified values: =2.58, COP

dis = 65.9 ◦ C.

Since the aim mation of the most experimental testing, specific criteria are established to exclude mixtures with unfavourable characteristics. The maximum allowable effective glide in heat exchangers is limited to 20 K, and the maximum increment in restricted to 25 K above the value observed with R290. Additionto ensure that the mixture’s capacities are comparable to those of

La entalpía a la salida del evaporador (ho,out) y la salida del condensador (hk,out) se definen en función de sus respectivas presiones, reducidas a la mitad de la caída de presión (∆p), y teniendo en cuenta las temperaturas de saturación correspondientes (tsat), SH y SUB, como se expresa en las ecuaciones (4) y (5):

The theoretical performance of the mixtures is evaluated considering 0.5 % mass proportion variation in each constituent using the described model. Figs. 2 and 3 present the relative COP and capacity results for different compositions. Only the compositions in colour satisfy predefined restrictions. In grey colour, compositions containing >30 CO2 exceeded the tdis limit, while those with over 75 % R600 showed significantly reduced capacity. Additionally, when the refrigerant mass proportions are similar, the effective glide in the evaporator exceeded the 20 K threshold. Minor differences in boundary compositions observed between cooling and heating perspectives.

From a COP perspective, for both cooling and heating applications, notable presented composi tions. concentrations increase, the 8.3 to 13.5 % the R744/RE170/R600 (8/56/36) respectively. COPHP increments vary from 6.5 to 10.3 % for pure RE170 and the mixture R744/RE170/R600 (8/56/36). These trends highlight that the addition of CO2 to the mixture is needed to guarantee energy performance.

El proceso de expansión se considera isentálpico.

La entalpía de descarga ( h dis) se calcula utilizando la entalpía de descarga isentró -

From a capacity perspective (Fig. 3), all mixtures suffer reduction the VCC and VHC, especially with high proportions of RE170, blends with low CO2 concentrations are close to the 30 % capacity boundary. As expected, capacity increases sharply with higher content and decreases with the addition of R600. VCC is reduced tween 1.5 to 30 % for the mixtures R744/RE170/R600 (2/82/16)

RE170/R600 (98/2); and VHC is shortened by 4 to 30 % by the blends R744/RE170 (16/84) and RE170/R600 (98/2).

FIGURA 2. COPR, REL (izquierda) y COPHP, REL de mezclas respeto a R290. Puntos a ser probados experimentalmente.

VCCrel
Fig. 2. COPR,rel (left) and COPHP,rel of mixtures respect to R290. Points to be tested experimentally.

pica (hdis,S) , la entalpía de salida del evaporador y la eficiencia isentrópica del compresor, como se muestra en la ecuación (6) . La energía específica absorbida por el compresor (wc) se calcula como el cociente del trabajo de compresión isentrópica y su eficiencia global (), como se expresa en la ecuación (7):

El coeficiente de rendimiento se calcula tanto para la aplicación de refrigeración (COPR)

y bomba de calor (COPHP) aplicaciones, así como la Capacidad de Enfriamiento Volumétrico (VCC) y la Capacidad de Calentamiento Volumétrico (VHC), como se detalla en la Ecuación (8) a la Ecuación (11).

En las condiciones especificadas, el propano obtiene los siguientes valores: COP R =

From this initial analysis, we have selected 10 mixtures near the range of compositions satisfying the restriction criteria to be tested experimentally. These mixtures, whose composition is detailed in Fig. 2 (left), will allow to obtain information about their actual operation in a system, and will be used later to determine the compositions maximizing the energy performance.

Table 2

FIGURA 3. VCCrel (izquierda) y VHCrel (derecha) de mezclas con respecto a R290.

Characteristics of the main elements of the refrigeration circuit.

Fig. 3. VCCrel (left) and VHCrel (right) of mixtures respect R290.
Calleja-Anta et al.

2,58, COPHP = 3,39, VCC = 2477 kJ·m -3 , VHC = 3259 kJ·m-3 y tdis = 65,9 °C. Dado que el objetivo del estudio teórico es proporcionar una estimación inicial de las composiciones más prometedoras para ensayos experimentales posteriores, se establecen criterios específicos para excluir mezclas con características desfavorables. El deslizamiento efectivo máximo admisible en ambos intercambiadores de calor se limita a 20 K, y el incremento máximo de tdis se restringe a 25 K por encima del valor observado con R290. Además, para garantizar que las capacidades de la mezcla sean comparables a las del propano, solo se consideran composiciones con valores de VCC y VHC dentro del ±30 % de los del propano.

La selección de las mezclas, considerando las restricciones, se basa en los COP relativos y las capacidades en relación con el R290, como se detalla en las Ecuaciones (12) a (15).

El rendimiento teórico de las mezclas se evalúa considerando una variación del 0,5 % en

Elemento

Compresor

Condensador

Características

Compresor hermético alternativo de velocidad variable R290.

Cilindrada: 11,14 cm³, 3/4 HP, MBP.

Velocidad ajustable de 1800 rpm a 4500 rpm.

Modelo: EMBRACO FMFT411U. Tipo de lubricante/viscosidad: ÉSTER/ISO 22

Intercambiador de calor de tubo en tubo. Flujo a contracorriente. 17 pasos por tubo de 23,5 cm.

Tubo exterior para el ujo de agua. Øi = 16 mm.

Tubo interior para el ujo de refrigerante. Ø = ¼”. Grosor: 0,8 mm.

Área total de intercambio de calor: 750 cm²

Válvula electrónica

Evaporador

Se utiliza como válvula de expansión termostática. Controlador con gurable para cada mezcla de refrigerante con curvas de burbuja y punto de rocío.

Intercambiador de calor de tubo en tubo. Flujo a contracorriente. 15 pasos por tubería de 23,5 cm..

Tubo exterior para el ujo de agua. Øi = 16 mm.

Tubo interior para el ujo de refrigerante. Ø = 3/8”. Grosor = 0,8 mm.

Area total de intercambio de calor = 984.5 cm2

TABLA 2. Características de los elementos principales del circuito de refrigeración.

Elemento Características

Compresor

la proporción másica de cada componente, utilizando el modelo descrito. Las figuras 2 y 3 presentan los resultados relativos de COP y capacidad para las diferentes composiciones. Solo las composiciones en color cumplen las restricciones predefinidas. En gris, las composiciones con >30 % de CO2 superaron el límite de t dis , mientras que aquellas con más del 75 % de R600 mostraron una capacidad significativamente reducida. Además, cuando las proporciones másicas del refrigerante son similares, el deslizamiento efectivo en el evaporador superó el umbral de 20 K. Se observan pequeñas diferencias en las composiciones límite entre las perspectivas de refrigeración y calefacción. esde la perspectiva del COP, tanto para apli-

Compresor hermético alternativo de velocidad variable R290.

Cilindrada: 11,14 cm³, 3/4 HP, MBP.

Velocidad ajustable de 1800 rpm a 4500 rpm.

Modelo: EMBRACO FMFT411U. Tipo de lubricante/viscosidad: ÉSTER/ISO 22

Condensador

Válvula electrónica

Evaporador

Intercambiador de calor de tubo en tubo. Flujo a contracorriente. 17 pasos por tubo de 23,5 cm.

Tubo exterior para el ujo de agua. Øi = 16 mm.

Tubo interior para el ujo de refrigerante. Ø = ¼”. Grosor: 0,8 mm.

Área total de intercambio de calor: 750 cm²

Se utiliza como válvula de expansión termostática. Controlador con gurable para cada mezcla de refrigerante con curvas de burbuja y punto de rocío.

Intercambiador de calor de tubo en tubo. Flujo a contracorriente.

15 pasos por tubería de 23,5 cm..

Tubo exterior para el ujo de agua. Øi = 16 mm.

Tubo interior para el ujo de refrigerante. Ø = 3/8”. Grosor = 0,8 mm.

Area total de intercambio de calor = 984.5 cm2

caciones de refrigeración como de calefacción, se observa un notable aumento del COP en todas las composiciones presentadas. Los resultados sugieren que, a medida que aumentan las concentraciones de CO2 y R600, el COP tiende a mejorar. Los incrementos del COP R oscilan entre el 8,3 % y el 13,5 % para las mezclas RE170/R600 (6/94) y R744/RE170/R600 (8/56/36), respectivamente. Los incrementos del COP HP varían entre el 6,5 % y el 10,3 % para el RE170 puro y la mezcla R744/RE170/R600 (8/56/36). Estas tendencias indican que la adición de CO2 a la mezcla es necesaria para garantizar un alto rendimiento energético.

Desde la perspectiva de la capacidad (Fig. 3), todas las mezclas sufren una reducción

Medición

Alta presión

Baja presión

4 - Manómetro 1 a 31 bar ± 1 % del valor

2 - Manómetro 0 to 9 bar ± 1 % del valor

Temperatura del refrigerante 32 - Termocupla de inmersión tipo T

4 - Termocupla de s uper cie tipo T 150 to 200 º C ± 0.5 K

Temperatura del uído secundario 8 - Termocupla de inmersión tipo T

18 - Termocupla de super cie tipo T 150 a 200 º C ± 0.5 K

Caudal másico de refrigerante

Caudal másico del uido secundario del evaporador

Caudal volumétrico del uido secundario del condensador

Consumo de energía del compresor

Caudalímetro másico Corolis

Caudalímetro másico Corolis

Caudalímetro volumétrico magnético

Vatímetro digital

0 a 20 kg h -1 ± 0.15 % of value

0 to 150 kg• h -1 ± 0.55 % of valor

0 to 200 m3 •h-1 ± 0.3 % del valor

0 a 500 W ± 0.5 % del valor

TABLA 3. Dispositivos de medición e incertidumbres.

del VCC y el VHC, especialmente con altas proporciones de RE170, y las mezclas con bajas concentraciones de CO2 se acercan al límite de capacidad de -30 %. Como era de esperar, la capacidad aumenta considerablemente con un mayor contenido de CO2 y disminuye con la adición de R600. El VCC se reduce entre un 1,5 y un 30 % para las mezclas R744/RE170/R600 (2/82/16) y RE170/R600 (98/2); y el VHC se reduce entre un 4 y un 30 % para las mezclas R744/RE170 (16/84) y RE170/R600 (98/2).

A partir de este análisis inicial, hemos seleccionado 10 mezclas con composiciones cercanas al rango que cumplen los criterios de restricción para su ensayo experimental. Estas mezclas, cuya composición se deta-

lla en la Fig. 2 (izquierda), permitirán obtener información sobre su funcionamiento real en un sistema real y se utilizarán posteriormente para determinar las composiciones que maximizan el rendimiento energético.

Descripción de la planta experimental y del sistema de medición

La planta experimental utilizada para la evaluación de alternativas al R290 (Fig. 4) se empleó previamente para probar sustitutos del R600a. Esta planta, diseñada según la regulación ATEX (Comisión Europea 2014), se adaptó para operar con R290 reempla-

always charged with 160 g, the accumulator vessel was cycle to avoid variations in the overall performance of the we ensured visually that at the inlet of the expansion valve refrigerant was in liquid state. For each composition, after a process of one hour minimum, it was filled with the right

• Fixed heating capacity test: the cycle was evaluated varying compressor speed to match the heating capacity measured in the conditions defined in the drop-in test (inlet temperature flow rate. The other variables were kept at the drop-in conditions.

Fig. 4. Scheme of the test bench and allocation of measurement devices. al.
FIGURA 4. Esquema del banco de prueba y asignación de dispositivos de medición.

4

Table 4

zando el compresor y el lubricante, utilizando un compresor hermético Embraco de velocidad variable, reemplazando la válvula de expansión y los manómetros. El sistema es un ciclo de compresión de vapor de agua a agua de una sola etapa con válvula de expansión electrónica (EXV). El condensador y el evaporador, construidos en nuestro laboratorio, son intercambiadores de calor concéntricos de tubo en tubo con

el refrigerante fluyendo a través del tubo interior y el fluido secundario a través del espacio anular. Estos intercambiadores de calor son pasos divididos para medir la evolución de la temperatura del refrigerante a lo largo del intercambiador de calor y para garantizar una medición térmica precisa en el fluido secundario. La planta utiliza una válvula de expansión termostática (EXV) que puede personalizarse introduciendo las curvas

Summary of the reference test conditions, various thermodynamic aspects and energy parameters during the optimization during drop-in process.

Summary of the reference test conditions, various thermodynamic aspects and energy parameters during the optimization during drop-in process.

TABLA 4. Resumen de las condiciones de prueba de referencia, varios aspectos termodinámicos y parámetros de energía durante la optimización durante el proceso de entrega.

TABLA 5. Resumen de las condiciones de prueba de referencia, varios aspectos termodinámicos y parámetros de energía durante la optimización para fines de refrigeración.

Table
Table
Table 5

de punto de burbuja y de rocío, estimadas en este caso con Refprop v.10 para las mezclas. Los detalles completos de los componentes se muestran en la Tabla 2. La planta también incorpora un sistema de medición preciso, con todos los sensores detallados en la Tabla 3. Está aislada térmicamente y ubicada en una cámara climática con control de temperatura.

Procedimiento y metodología experimental

Para evaluar los fluidos puros R290, RE170 y las mezclas mencionadas anteriormente se siguió el siguiente procedimiento experimental:

•Preparación del refrigerante: Se utilizaron componentes puros (R290, R600, RE170 y CO2) con al menos 99,5 % de pureza. Para las mezclas, la planta siempre se cargó con 160 g. Para cada composición, después de un proceso de vacío de una hora como mínimo, se llenó con la cantidad adecuada del fluido con menor NBP (R600), luego el RE170 y finalmente con CO2. Para el proceso se utilizó una báscula con ± 0,5 g de incertidumbre. Para evitar incertidumbres relacionadas con la degradación inesperada del lubricante o debido a la absorción de un componente dentro del aceite, se utilizó el siguiente orden de pruebas: primero, R290; segundo RE170; y luego las mezclas en el orden reflejado en la Tabla 4. Luego, se repitió el proceso hasta obtener al menos dos pruebas diferentes para cada composición. Solo una composición se probó tres veces. Para cada composición se adaptó la válvula de expansión electrónica del evaporador para trabajar con cada mezcla, configurando el controlador en función de las tempe -

raturas de burbuja y rocío de cada mezcla (evaluadas con REFPROP), como válvula termostática.

La evaluación experimental abarcó tres enfoques:

•Prueba de entrada: El sistema de compresión de vapor se probó con el compresor funcionando a una velocidad fija de 2100 rpm, tanto para los fluidos puros como para las mezclas. La temperatura de entrada del agua al condensador se fijó en 30,0 ° C ± 0,2 K y su caudal másico se mantuvo en 105 ± 0,75 kg·h-¹ ; el fluido secundario del evaporador (mezcla 50/50 % en volumen de propilenglicol y agua) entró siempre a 15,0 ° C ± 0,18 K con un caudal másico de 90,0 ± 0,8 kg· h-¹ . Este tipo de comparación, habitualmente considerada en la literatura, corresponde a un proceso de sustitución directa (Aprea et al., 2018 ; Llopis et al., 2017 ; Maiorino et al., 2020 ; Oruç et al., 2018), pero en el caso de fluidos alternativos con capacidades de enfriamiento o calentamiento menores/mayores el área de intercambio fija de los intercambiadores de calor puede enmascarar el rendimiento real de los fluidos alternativos.

•Prueba de capacidad de refrigeración fija: El sistema se evaluó con una capacidad de refrigeración equivalente a la medida para el funcionamiento con R290 en las condiciones establecidas en la prueba de entrada. En estas pruebas, las condiciones de entrada del fluido secundario a los intercambiadores de calor fueron las definidas en la prueba de entrada (temperatura y caudal de entrada), pero se incrementó la velocidad del compresor para ajustarse al VCC del R290, ya que las mezclas ensayadas presentaron un VCC menor.

•Prueba de capacidad de calentamiento fija: el ciclo se evaluó variando la velocidad del compresor para que coincida con la capa-

cidad de calentamiento medida para R290 en las condiciones definidas en la prueba de caída (temperatura de entrada y caudal). Las demás variables se mantuvieron en las condiciones de la prueba de caída.

Las mediciones experimentales y los parámetros energéticos que se analizan en la siguiente sección se detallan en la Tabla 4 para las pruebas de instalación directa, en la Tabla 5 para la prueba de capacidad de refrigeración fija y en la Tabla 6 para la prueba de capacidad de calefacción.

Parámetros energéticos

Refprop es la base de datos general para evaluar las propiedades termodinámicas de los refrigerantes. Sin embargo, según el análisis de Calleja-Anta et al. (2024), para fluidos sin mediciones experimentales, se estiman los coeficientes de interacción binaria utilizados por Refprop, por lo que este cál-

culo conlleva una incertidumbre inesperada. Para evitar la incertidumbre relacionada con Refprop en la evaluación experimental, los autores consideraron las tasas de transferencia de calor medidas en los fluidos secundarios de la planta. Capacidad de refrigeración (Qo) se evalúa con la ecuación (16) utilizando la medición de Coriolis, el calor específico a presión constante para mezclas de propilenglicol y la diferencia de temperatura a través del evaporador. Capacidad de calentamiento (Qk) se calcula considerando el caudal volumétrico de agua, su densidad y calor específico a presión constante evaluados con Refprop (Lemmon et al., 2018) y la diferencia de temperatura en el condensador, como se detalla en la ecuación (17) . A partir de estos valores, se calcula el coeficiente de rendimiento en refrigeración (COP R) y en calefacción (COP HP) utilizando el consumo de energía del compresor con (18) y (19) , respectivamente. Dado que cada prueba se repite al

TABLA 6. Resumen de las condiciones de prueba de referencia, varios aspectos termodinámicos y parámetros de energía durante la optimización para fines de la bomba de calor.

TÉCNICA

menos dos veces, el resultado se considera el promedio de las dos pruebas

A continuación se e detalla el análisis de los resultados experimentales de la evaluación de R290, RE170 y las mezclas mencionadas de R744/RE170/R600 bajo los tres enfoques considerados.

Prueba de inserción

El rendimiento de la aplicación directa del RE170 y de las mezclas analizadas se pre -

FIGURA 5. COPHP vs. COPR en condiciones de prueba de entrega.
Fig. 5. COPHP vs. COPR at drop-in test conditions.

senta en las figuras 5 y 6. Todos los datos correspondientes a estas pruebas se recogen en la tabla 4 como referencia. La Fig. 7 detalla los valores de COP alcanzados por los fluidos puros y las mezclas probadas donde se observa que el fluido de mejor rendimiento es el RE170 puro, con COPR y COPHP superiores en 12.7 % y 8.4 % que el R290 respectivamente. La mezcla RE170/R600/R744 (85/12.5/2.5) obtiene valores cercanos a DME.

Sin embargo, todas las mezclas requieren un alto aumento en la velocidad del compresor (Fig. 8) para igualar la capacidad de enfriamiento del R290. Para RE170, el aumento en la velocidad del compresor es del 31 % y para la mezcla mencionada del 36 %. En relación con la prueba de caída, el incremento del COP en relación con R290 disminuye a medida que las tasas de transferencia de calor en el condensador y el evaporador son mayores.

compressor with RE170 needs to increase the compressor 41.4 % and for the other mixtures between 14 % to 50 %. the fixed cooling capacity test, the increments in COP of the mixtures in relation to R290 decrease because of limited in the heat exchangers.

4.4. Discussion of performance of RE170 and the mixtures

As it can be observed in the previous comparisons of of the mixtures in relation to R290, depending on the test, improve in one approach and do not improve too much the selected compositions for testing are discrete and their

FIGURA 6. Q K vs. Qo en las condiciones de prueba de entrega.
Fig. 5. COPHP vs. COPR at drop-in test conditions.
Fig. 6. Qk vs. Qo at drop-in test conditions.

Prueba de capacidad de calentamiento fija

El rendimiento de las mezclas consideradas que proporcionan la misma capacidad de calentamiento que la del R290 se presenta en las figuras 9 y 10. Nuevamente, cuando la planta requiere proporcionar la misma capacidad en el condensador, la frecuencia del

compresor necesita ser incrementada (Fig. 10). Para la mayoría de las mezclas los valores de COP son significativamente más altos que los de R290, especialmente RE170, que obtiene incrementos de 12.8 % en COP R y 5.1 % en COP HP. Algunas mezclas obtienen resultados cercanos a RE170, cuyos datos completos se incluyen en la Tabla 6. Para igualar la capacidad de R290 el compre -

Fig. 7. COPHP vs. COPR at fixed cooling capacity test conditions.
FIGURA 7. COPHP vs. COPR en condiciones de prueba de capacidad de enfriamiento fijo.

sor con RE170 necesita aumentar la velocidad del compresor en 41.4 % y para las otras mezclas entre 14 % a 50 %. Nuevamente, como en la prueba de capacidad de enfriamiento fija, los incrementos en COP de RE170 y las mezclas en relación con R290 disminuyen debido al área de superficie limitada en los intercambiadores de calor.

Análisis del rendimiento del RE170 y las mezclas

Como se puede observar en las comparaciones previas del rendimiento de las mezclas con respecto al R290, dependiendo del ensayo, algunas mezclas mejoran con un enfoque y no mejoran demasiado con otro.

been optimized (see Fig. 2 left), authors analysed the tenrelative COPs as function of the mass percentage of each compontent. represents the trends of relative COPR [Eq. (12)], and Fig. 12 trend of COPHP [Eq. (13)] as a function of the constituents. On figures, isocapacity trend lines have been plotted, intersecting the

FIGURA 8. Q K vs. frecuencia del compresor en condiciones de prueba de capacidad de enfriamiento fijo.

compositions that provide the same cooling or heating identical speed compressor. This allows for a clearer how different mixtures behave in terms of efficiency compressor adjustments. According to the trends, pure mixtures RE170/R600/R744 (85/10/5) and RE170/R600/R744 8) exhibit the highest COP values in the refrigeration

Fig. 7. COPHP vs. COPR at fixed cooling capacity test conditions.
Fig. 8. Qk vs. compressor frequency at fixed cooling capacity test conditions.

Dado que las composiciones seleccionadas para el ensayo son discretas y no se han optimizado (véase la Fig. 2 a la izquierda), los autores analizaron las tendencias de los COP relativos en función del porcentaje en masa de cada componente. La Fig. 11 representa las tendencias del COP R relativo , y la Fig. 12 muestra la ten -

dencia del COPHP en función de los constituyentes. En estas figuras, se han trazado líneas de tendencia de isocapacidad, que intersecan las composiciones que proporcionan la misma capacidad de refrigeración o calefacción con un compresor de idéntica velocidad. Esto permite una visualización más clara del comportamiento de

Fig. 9. COPHP vs. COPR at fixed heating capacity test conditions.
FIGURA 9. COPHP vs. COPR en condiciones de prueba de capacidad de calentamiento fijo.

las diferentes mezclas en términos de eficiencia y ajustes requeridos del compresor. Según las tendencias, el RE170 puro y las mezclas RE170/R600/R744 (85/10/5) y RE170/R600/R744 (83/9/8) exhiben los valores de COP más altos en el escenario de refrigeración a una velocidad de compresor dada, lo que lleva a la selección de

estas dos composiciones para pruebas adicionales. Para el escenario de calefacción, las mezclas con los valores de COP más altos son la ya mencionada RE170/R600/ R744 (85/10/5) y la ya probada RE170/R600/ R744 (85/12,5/2,5). Si bien estas dos nuevas composiciones se seleccionaron en esta etapa, también se representan en los grá-

9. COPHP vs. COPR at fixed heating capacity test conditions.

Fig. 10. Qo vs. compressor frequency at fixed heating capacity test conditions.

speed, leading to the selection of these two compositions for testing. For the heating scenario, the mixtures with the COP values are the previously mentioned RE170/R600/R744 and the already tested RE170/R600/R744 (85/12.5/2.5). these two new compositions were selected at this stage, they been represented in the previous graphs using purple dots.

FIGURA 10. QO vs. Frecuencia del compresor en condiciones de prueba de capacidad de calentamiento fijo.

Figs. 13–15 present the analysis of the main relative eters of RE170 and the last two selected mixtures in comparison operation under the three test scenarios considered drop-in substitution is performed (Fig. 13), considering compressor operating frequency and same sizes of the the COPR increases between 22.1 to 29.8 % and the COP

Fig.

TÉCNICA

ficos anteriores mediante puntos morados. Las figuras 13, 14 y 15 presentan el análisis de los principales parámetros energéticos relativos de RE170 y las dos últimas mezclas seleccionadas en comparación con el funcionamiento de R290 en los tres escenarios de prueba considerados en este trabajo. Si se realiza una sustitución directa (Fig. 13), considerando la misma frecuencia de operación del compresor y los mis-

mos tamaños de intercambiadores de calor, el COPR aumenta entre un 22,1 % y un 29,8 % y el COPHP entre un 11,2 % y un 11,8 %; sin embargo, las capacidades se reducen entre un 12,0 % y un 17,1 % en refrigeración y entre un 19,4 % y un 24,7 %. Esto indica que la sustitución directa podría ser efectiva desde el punto de vista energético solo si el sistema está sobredimensionado. Considerando un proceso de sustitución que mantie-

Fig. 11. Relative COPR as function of mass percentage of components.
FIGURA 11. COPR relativo como función del porcentaje de masa de componentes.

ne la capacidad de refrigeración del sistema en relación con el R290 (Fig. 14), el proceso de sustitución también es efectivo, ya que el COPR aumenta entre un 13,3 y un 17,2 %, pero en este caso el compresor también debe sobredimensionarse, ya que la velocidad del compresor debe aumentar entre un 19,2 y un 31,4 %. Finalmente, para fines de calefacción (Fig. 15), la sustitución resulta menos efectiva, ya que el COPHP aumenta

entre un 3,9 y un 5,2 % con incrementos de la velocidad del compresor del 31,4 al 35,0 %. Otra observación importante es que el fluido con mejor rendimiento para la sustitución global de R290 es el RE170, ya que proporciona en general los incrementos máximos combinados de COP para fines de calefacción y refrigeración. Se recomienda el uso de un fluido puro para evitar el deslizamiento de temperatura en los intercambiadores de

11.8 %; but the capacities are reduced between 12.0 to 17.1 % in refrigeration and between 19.4 to 24.7 %. That indicates that the drop-in substitution could be effective from an energy point of view only if the system is oversized. Considering a substitution process maintaining the

FIGURA 12. COPHP relativo como función del porcentaje de masa de componentes.

cooling capacity of the system in relation to R290 (Fig. 14 tution process is also effective, since the COPR increases between 17.2 %, but in this case the compressor should be also oversized, the compressor speed should increase between 19.2 to 31.4

Fig. 11. Relative COPR as function of mass percentage of components.
Fig. 12. Relative COPHP as function of mass percentage of components.

calor y para evitar la reducción de las tasas de transferencia de calor en los intercambiadores de calor debido al uso de mezclas. Sin embargo, el uso de la mezcla propuesta RE170/R600/R744 (85/10/5) permite reducir el tamaño del compresor en un 5 % con respecto al que necesita RE170 con COP R y COP HP similares a RE170. Además, la mezcla RE170/R600/R744 (83/9/8) permite una reducción del 10 % para refrigeración con solo una ligera reducción de COP R. Por lo tanto, el uso de mezclas solo debe recomendarse cuando las restricciones de tamaño del sistema son una consi-

deración clave o si el sistema no está sobredimensionado, ya que requieren un menor incremento de la velocidad del compresor.

Los resultados

Según los resultados, casi todas las mezclas y el RE170 ofrecen valores de coeficiente de rendimiento (COP) más altos para calefacción y refrigeración que el R290, a la vez que sufren importantes reducciones de capacidad. «En las pruebas de reducción de potencia, el RE170 presentó incre -

5. Conclusions

FIGURA 13. Parámetros principales relativos en relación con R290 en la prueba de entrega.

for heating purposes (Fig. 15) the substitution results less effective, since COPHP increments by 3.9 to 5.2 % with compressor speed increments from 31.4 to 35.0 %.

FIGURA 14. Parámetros principales relativos en relación con R290 en la capacidad de enfriamiento fija prueba.

This work has addressed the possibility of determining fluids to R290 with the aim to increase the energy performance refrigerating and heating purposes. An initial thermodynamic based on the thermodynamic properties calculated with Refprop using a close model to reality indicates that pure RE170 and mixtures RE170/R600/R744 could provide high increments in refrigerating heating COPs. Concretely, the model indicates that for evaporation 0 ◦ C and condensation at 50 ◦ C the alternative fluids could retical COPR increments between 8.3 to 13.5 % and COPHP between to 10.3 %. As the thermodynamic properties are estimated with due to the absence of adjusted binary mixing coefficients, this

Another important observation is that the best-performing fluid R290 global substitution is the RE170, since it provides in general the maximum combined COP increments for heating and refrigeration purposes. The use of a pure fluid is recommended to avoid temperature glide in the heat exchangers and to avoid the reduction of the heat transfer rates in heat exchangers due to the use of mixtures. However, the use of the proposed mixture RE170/R600/R744 (85/10/5) allows reducing the compressor size by 5 % respect the one needed by RE170 with similar COPR and COPHP than RE170. Additionally, the mixture RE170/R600/R744 (83/9/8) enables a reduction of 10 % for refriger

Fig. 13. Relative main parameters in relation to R290 in drop-in test. Fig. 15. Relative main parameters in relation to R290 in fixed heating ity test.
Calleja-Anta et al. International Journal of Refrigeration 176 (2025)
Fig. 13. Relative main parameters in relation to R290 in drop-in test.
Fig. 14. Relative main parameters in relation to R290 in fixed cooling capac ity test.
D. Calleja-Anta et al.

mentos del COP en relación con el R290 del 29,8 % (COPR) y del 17,99 % (COPHP), con reducciones de capacidad del 17,3 % y del 24,7 %, respectivamente. En esta prueba, la mezcla RE170/R600 (92,5/7,5) obtuvo un aumento del 22,8 % en el COPR y del 21,1 % en el COPHP, también con una pérdida de capacidad», indicaron. Al probar los fluidos en el escenario de capacidad de refrigeración fija, los incrementos en los COP se redujeron. El RE170 ofreció incrementos del 12,7 % en el COPR y del 8,4 % en el COPHP, con valores similares para la mezcla RE170/R600 (92,5/7,5).

International Journal of Refrigeration 176 (2025) 120–133

in fixed heating capac-

En este caso, la velocidad del compresor debía aumentar más del 30 % —añadieron—. En el escenario de capacidad de calefacción fija, el mejor fluido fue nuevamente el RE170, con incrementos del COP en relación con el R290 del 12,8 % (COPR) y del 5,1 % (COPHP), con velocidades del compresor superiores hasta un 41 %. Algunas mezclas ofrecieron resultados similares. Al concluir sus resultados, los académicos añadieron que se recomienda el uso de RE170 puro como la mejor alternativa general al R290, ya que ofrece los valores de COP más altos tanto para refrigeración como para calefacción, y evita problemas relacionados con el deslizamiento de temperatura. Sin embargo, también afirmaron que en sistemas donde el tamaño o la velocidad del compresor son un factor limitante, mezclas como RE170/R600/R744 (85/10/5) o (83/9/8) podrían ser una opción adecuada, ya que ofrecen un rendimiento similar con una velocidad del compresor ligeramente menor.

Para más detalles de esta investigación: “RE170 (dimetil éter) y mezclas ternarias (R744/RE170/R600) como alternativas a R290 para aplicaciones de refrigeración y bombas de calor”, publicado en el International Journal of Refrigeration.

5. Conclusions

FIGURA 15. Parámetros principales relativos en relación con R290 en la capacidad de calentamiento fijo prueba.

This work has addressed the possibility of determining alternative fluids to R290 with the aim to increase the energy performance for refrigerating and heating purposes. An initial thermodynamic approach, based on the thermodynamic properties calculated with Refprop v.10 using a close model to reality indicates that pure RE170 and mixtures of RE170/R600/R744 could provide high increments in refrigerating and heating COPs. Concretely, the model indicates that for evaporation at ◦ C and condensation at 50 ◦ C the alternative fluids could offer theoretical COPR increments between 8.3 to 13.5 % and COPHP between 6.5 to 10.3 %. As the thermodynamic properties are estimated with Refprop due to the absence of adjusted binary mixing coefficients, this work has

Sus autores: Daniel Calleja-Anta, Manel Martínez-Ángeles,Rodrigo Llopis, Grupo de Ingeniería Térmica, Departamento de Ingeniería Mecánica y de la Construcción, Universidad Jaume I, España.

Fig. 15. Relative main parameters in relation to R290
ity test.

El sol se eleva en el horizonte

La energía solar crece a un ritmo mayor que cualquier otra fuente de energía en la historia, seguida de cerca por la energía eólica, que en realidad es otra forma de energía solar, ya que el calentamiento diferencial de la Tierra produce el viento que impulsa las turbinas.

En “Aquí Viene el Sol” (alguno comenzará a tararear “Here Comes The Sun” de los Beatles), Bill McKibben narra la historia del repentino aumento de la energía solar y eólica, y la lucha desesperada de la industria de los combustibles fósiles y sus políticos para contener esta nueva energía. Desde los ciudadanos comunes que instalaron paneles solares equivalentes a un tercio de la red eléctrica de Pakistán en un año hasta California, la sexta economía más grande del mundo, que redujo casi a la mitad su uso de gas natural en

los últimos dos años, testimonia este crecimiento. En esta nota ofrecemos a nuestros lectores un extracto de esta historia. En los últimos cincuenta años se ha hecho bastante habitual ver paneles solares y turbinas eólicas en el horizonte. Fue en la década del setenta cuando se inauguró la primera casa alimentada íntegramente con energía solar en el campus de la Universidad de Delaware y, en su primer año (1973), atrajo a cien mil visitantes que se maravillaron con sus paneles fotovoltaicos y su sistema de agua caliente solar, con tinas de sal en

el sótano para almacenar calor durante la noche. Pero todavía hoy la seguimos denominando “energía alternativa”, un complemento a la energía fósil que ha impulsado las economías occidentales durante más de dos siglos. Sin embargo, en los últimos dos años, sorprendentemente sin que nadie se diera cuenta, la energía renovable se ha convertido repentinamente en la opción obvia, común y rentable en todo el mundo. Frente a todas las graves consecuencias negativas que están ocurriendo en el planeta, este es un gran y esperanzador logro.

Los números de

la energía solar

Desde la invención de la célula solar fotovoltaica, en 1954, tuvimos que esperar hasta 2022 para que el mundo instalara un teravatio de energía solar; el segundo teravatio llegó apenas dos años después, y el tercero llegará a finales de este año o principios del próximo.

Esto se debe a que ahora se instalan paneles solares equivalentes a un gigavatio, el equivalente aproximado a la energía generada por una central de carbón, cada quince horas. La energía solar crece a un ritmo mayor que cualquier otra fuente de energía en la historia, seguida de cerca por la energía eólica, que en realidad es otra forma de energía proveniente del sol, ya que el calentamiento diferencial de la Tierra produce el viento que impulsa las turbinas. El año pasado, el noventa y seis por ciento de la demanda mundial de nueva electricidad se satisfizo con energías renovables, y en Estados Unidos el noventa y tres por ciento de la nueva capacidad de generación provino de energía solar, eólica y una variedad cada vez mayor de baterías para almacenar esa energía.

En marzo, por primera vez, los combustibles fósiles generaron menos de la mitad de la electricidad en EE. UU. En California, en un momento dado del 25 de mayo, las energías renovables producían un récord del 158 % de la demanda energética del estado. A lo largo de todo el día, produjeron el 82 % de la energía de California, que esta primavera superó a Japón para convertirse en la cuarta economía más grande del mundo. Mientras tanto, la capacidad de almacenamiento en baterías ha aumentado un setenta y seis por ciento, según las estimaciones

proyectadas para este año; por la noche, estas baterías suelen ser el principal proveedor de electricidad de California. Como resultado, California utiliza hasta ahora un cuarenta por ciento menos de gas natural para generar electricidad que en 2023, lo cual es la estadística más alentadora que he visto en cuatro décadas escribiendo sobre la crisis climática.

Por otro lado, Texas ahora instala energía renovable y baterías más rápido que California; en una sola semana de marzo, estableció récords de producción solar y eólica, así como de descarga de baterías. En mayo, cuando el estado sufrió una ola de calor casi récord a principios de temporada, los aires acondicionados contribuyeron a generar una demanda récord en la red eléctrica, que no se inmutó: más de una cuarta parte de la energía provino del sol y el viento. La tragedia de las inundaciones fue un recordatorio de la vulnerabilidad del estado a las condiciones climáticas extremas, especialmente a medida que aumenta la temperatura del agua en el Golfo, lo que produce más humedad en el aire. A finales de junio, el director del sistema de servicios públicos del estado declaró que la probabilidad de cortes de emergencia se había reducido del dieciséis por ciento del verano pasado a menos del uno por ciento este año, principalmente porque el estado había incorporado diez mil megavatios de energía solar y almacenamiento en baterías.

Todo esto queda eclipsado por China, que actualmente instala más de la mitad de la energía renovable y el almacenamiento del mundo dentro de sus propias fronteras, y exporta la mayoría de los paneles solares y baterías que utiliza el resto del mundo. En mayo, según registros gubernamentales, China había instalado la cifra récord de noven-

ta y tres gigavatios de energía solar, lo que equivale a un gigavatio cada ocho horas. El ritmo parecía estar dando sus frutos: los analistas informaron que, en el primer trimestre del año, las emisiones totales de carbono en China habían disminuido; las emisiones vinculadas a la producción de electricidad cayeron casi un seis por ciento, ya que la energía solar y eólica han sustituido al carbón. En 2024, casi la mitad de los automóviles vendidos en China, mayor mercado automovilístico del mundo, fueron vehículos eléctricos completos o híbridos. Y la destreza de China en la producción de paneles solares (y vehículos eléctricos) baratos significa que las naciones con las que mantiene fuertes vínculos comerciales (en Asia, África y Sudamérica) están experimentando su propio auge de energía renovable. En Sudamérica, por ejemplo, donde hace una década se planeaba construir quince nuevas centrales eléctricas de carbón, no se ha construido ninguna. Aún hay mejores noticias desde India, ahora la economía principal de más rápido crecimiento y el país más poblado del mundo, donde datos mostraron que, de enero a abril, un aumento en la producción solar mantuvo estable el consumo de carbón en el país y también redujo en una cuarta parte la cantidad de gas natural utilizado durante el mismo período de 2024. Pero incluso países alejados de Pekín están implementando cambios rápidos. Polonia, desde hace tiempo un país líder en la minería de carbón, vio cómo la energía renovable superó al carbón en la generación eléctrica en mayo, gracias a un notable aumento en la construcción de energía solar. En 2021, el país se fijó un objetivo de uso de energía fotovoltaica para 2030; ya lo ha triplicado. En los últimos quince años, los chinos se han vuelto tan hábiles en la fabricación de bate -

rías —primero para teléfonos móviles, luego para coches y ahora para sistemas eléctricos completos— que el costo del almacenamiento de energía ha bajado un 95 %. El 7 de julio, una ronda de licitación entre empresas de baterías para proporcionar almacenamiento a las empresas de servicios públicos chinas mostró otra reducción del 30 % en el precio. Las baterías a escala de red han alcanzado tal tamaño que pueden alimentar ciudades enteras durante horas; en 2025, el mundo añadirá ochenta gigavatios de almacenamiento a escala de red, ocho veces más que en 2021. Solo Estados Unidos instaló cuatro gigavatios de almacenamiento en el primer semestre de 2024.

Reorganizar los sistemas energéticos

Existen muchas otras tecnologías que compiten por reemplazar los combustibles fósiles o reducir el daño climático: la energía nuclear, la energía del hidrógeno, la captura y almacenamiento de carbono; junto con las energías renovables (en Estados Unidos), todas se vieron impulsadas por las disposiciones de gasto de la Ley de Reducción de la Inflación de Biden y se verán obstaculizadas en diversos grados por las reducciones legislativas. Algunas pueden resultar útiles a largo plazo y otras ilusorias, pero por ahora se ven estadísticamente eclipsadas por la enorme cantidad de energía renovable que se está poniendo en funcionamiento. A nivel mundial, esta primavera se está generando aproximadamente un tercio más de energía solar que la pasada. Si este ritmo de crecimiento exponencial continúa, pronto viviremos en un mundo muy diferente.

Todo esto sugiere que existe la posibilidad

de una profunda reorganización de los sistemas energéticos de la Tierra, en todo el sentido de la palabra “energía”, ofreciendo un freno plausible no solo a la crisis climática, sino también a la autocracia. En lugar de depender de depósitos dispersos de combustibles fósiles —cuyo control ha definido en gran medida la geopolítica durante más de un siglo—, avanzamos rápidamente hacia una dependencia de fuentes de suministro difusas pero ubicuas. El sol y el viento están disponibles en todas partes y se complementan bien; cuando la luz solar disminuye en las latitudes septentrionales con la llegada del invierno, los vientos arrecian. Esta energía es imposible de acumular y difícil de librar guerras. Si te interesa la abundancia, el sol irradia sobre la Tierra decenas de miles de veces más energía de la que necesitamos actualmente. Cambios de paradigma como este no ocurren a menudo: la Revolución Industrial, la revolución informática. Pero, cuando ocurren, transforman el mundo de formas profundas e impredecibles. De hecho, el mero alcance de ese cambio potencial parece estar motivando gran parte de la actual reacción negativa contra la energía limpia en EE. UU. El “Big Beautiful Bill” de Donald Trump es desconcertante en muchos frentes, pero ninguno más que en su intento de derogar el futuro energético poniendo fin a los créditos IRA para paneles solares y vehículos eléctricos; ya ha puesto un serio obstáculo a lo que hace seis meses era una industria solar nacional en rápido desarrollo. (El precio de las acciones de Sunrun, el mayor desarrollador de energía solar residencial de Estados Unidos, cayó un cuarenta por ciento en un solo día de junio, después de que una nueva versión del proyecto de ley del Senado redujera los créditos fiscales incluso más drásticamen -

te de lo esperado). Un análisis del grupo de expertos Rhodium Group encontró que para 2035 el proyecto de ley puede haber eliminado hasta un setenta y dos por ciento de toda la electricidad limpia que se habría producido en EE. UU. bajo la ley actual.

El camino recorrido

Para entender cómo llegamos hasta aquí, no hace falta remontarse mucho en el tiempo. En la posguerra, Estados Unidos disfrutó del mayor auge de riqueza de la historia, y gran parte de este se centró en los combustibles fósiles. Se construyó una nueva nación con petróleo barato: una de suburbios en expansión, definidos por innumerables calles sin salida y conectados por una red de carreteras que con el tiempo desembocaron en las nuevas autopistas interestatales. Es comprensible por qué Trump, que era joven en aquellos años, sigue obsesionado con el petróleo.

Pero, en esos mismos años de posguerra, algo más se estaba desarrollando. Fue en Bell Labs en Murray Hill, Nueva Jersey, que, el 25 de abril de 1954, un trío de investigadores anunció la invención de la primera célula fotovoltaica práctica: un dispositivo basado en silicio que logró convertir aproximadamente el seis por ciento de la luz solar que cayó sobre él en energía utilizable. La noticia llegó a la portada del Times , aunque debajo del pliegue (justo al lado de una historia sobre el lanzamiento de los ensayos de campo para la vacuna contra la polio de Jonas Salk). Bajo el titular “La gran energía del sol se aprovecha con una batería que usa el ingrediente de arena”, el reportero del Times describió un “aparato de apariencia simple hecho de tiras de silicio, un ingrediente principal de la

arena común. Puede marcar el comienzo de una nueva era, que eventualmente lleve a la realización de uno de los sueños más preciados de la humanidad: la cosecha de la energía casi ilimitada del sol para los usos de la civilización”. El sol, señalaba el artículo, “derrama diariamente más de un cuatrillón de kilovatios hora de energía, mayor que la energía contenida en todas las reservas de carbón, petróleo, gas natural y uranio de la corteza terrestre”.

Al principio, la energía solar era tan cara que solo tenía sentido usarla donde nada más funcionaba: en el espacio exterior, principalmente, donde alimentaba satélites. Pero, con el paso de los años, el costo bajó de forma bastante constante. El presidente Carter impulsó considerablemente la tecnología, proponiendo medidas que, hasta que la administración Reagan las revirtió, pretendían asegurar que para el año 2000 la energía solar suministrara el veinte por ciento de la energía de ese país. Luego, a principios de este siglo, el Partido Verde alemán aprovechó su poder parlamentario para obtener un gran subsidio gubernamental para la energía solar en tejados, creando una demanda que llevó a China, que entonces construía una planta de carbón tras otra para su propio uso, a empezar a fabricar paneles solares a granel para exportar a Europa. Las células solares eran, como los chips de la computadora, un ejemplo paradigmático de la curva de aprendizaje: cuanto más se producía, mejor se hacía, lo que las hacía cada vez más baratas. A principios de esta década, la energía destilada del sol y el viento se volvió más barata de producir que la energía que proviene de combustibles fósiles; China fue la primera en darse cuenta de esto; de ahí su rápida conversión a energías renovables. Junio de 2023 fue el mes en el que los cientí-

ficos informaron que la temperatura de la Tierra se había repentinamente disparado: los días alrededor del solsticio fueron los más calurosos jamás registrados. Pero junio de 2023 también parece ser el mes en que la gente comenzó a instalar paneles solares equivalentes a un gigavatio cada día.

La energía del trabajo

Para comprender la razón más profunda de la importancia de esta transición, considere cómo funciona un panel solar. Como lo describió recientemente The Economist : «Una célula fotovoltaica es muy simple: una pieza cuadrada de silicio, típicamente de 182 milímetros de lado y aproximadamente un quinto de milímetro de grosor, con cables delgados en la parte frontal y un contacto eléctrico en la posterior. Si se ilumina, se generará un potencial electrónico (un voltaje) a través del silicio... Si se conecta un circuito entre la parte frontal y la posterior, bajo la luz solar directa, ese potencial puede proporcionar unos siete vatios de potencia eléctrica». Las células contienen polvo de plata, y algo de boro y fósforo, aditivos esenciales para aumentar la conductividad y proporcionar el entorno necesario para que los fotones de la luz solar liberen electrones del silicio. Eso es lo que crea la energía: una pequeña reacción que se magnifica infinitamente.

Los científicos denominan a la electricidad producida de esta manera “energía de trabajo”, a diferencia de la “energía térmica”, que proviene de la quema de madera o combustibles fósiles, y es una forma mucho más eficiente de hacerlo. Como explica un informe publicado el otoño pasado por el Rocky Mountain Institute: “Quemar gas para ilu-

minar una habitación genera más calor que luz. Quemar carbón para generar electricidad genera más calor que electricidad. Quemar petróleo para mover un vehículo genera más calor que movimiento. Enviamos más energía por las chimeneas y por los tubos de escape de la que utilizamos para impulsar nuestra economía”. Esto no es una hipérbole: quemar petróleo para impulsar un coche o carbón para producir electricidad es, en el mejor de los casos, ligeramente superior al treinta por ciento de eficiencia, o un setenta por ciento de ineficiencia. Por esa razón, se necesita de dos a tres veces más energía para hacer funcionar un coche estándar que un vehículo eléctrico, razón por la cual incluso un vehículo eléctrico cargado con energía de una central de carbón sigue siendo mucho más eficiente que uno de combustión interna. El ciclismo eléctrico podría resultar una innovación aún más importante. La bicicleta eléctrica es increíblemente eficiente: cargar completamente una bicicleta eléctrica de quinientos vatios cuesta, en promedio, unos ocho centavos. Esa carga proporciona una autonomía de unos cuarenta y ocho kilómetros, por lo que recorrer ocho kilómetros cuesta aproximadamente un centavo.

La energía del trabajo resulta ser mejor que la energía térmica, incluso para proporcionar calor. Una bomba de calor eléctrica es de tres a cinco veces más eficiente que la caldera de gas. En esencia, la bomba absorbe el calor del aire del exterior, extrayéndolo con un compresor para calentar el aire del interior. (En verano, funciona en sentido inverso). Principalmente bombea calor, no lo produce.

En conjunto, todo esto ha cobrado un gran impulso. Como lo expresó recientemente el inversor energético Rob Carlson, seguir que-

mando combustibles fósiles es una “sanción financiera autoimpuesta” que, en última instancia, “degradará la competitividad global a largo plazo del país. El mismo cálculo se aplica a cualquier nación, o entidad política de cualquier tamaño, que opte por seguir quemando combustibles fósiles en cualquier aplicación en la que la electricidad podría suministrarse de forma más competitiva con energías renovables”. Esta lógica es tan contundente que incluso Arabia Saudita, Emiratos Árabes Unidos y Catar están construyendo vastos campos de paneles solares; en enero, Para 2050, la mitad de la electricidad de la región provendría de energía fotovoltaica, frente al 2 % en 2023, incluso mientras estas naciones esperan seguir extrayendo y exportando petróleo y gas. En retrospectiva, es bastante fácil ver la rapidez con la que se desarrollaban la energía solar y eólica. Pero casi nadie lo predijo. En 2009, la Agencia Internacional de la Energía predijo que alcanzaríamos los doscientos cuarenta y cuatro gigavatios de capacidad solar para 2030; lo logramos en 2015. Durante la mayor parte de la última década, las previsiones quinquenales de la AIE fallaron en un promedio del doscientos treinta y cinco por ciento. Fue Greenpeace quien estimó en 2009 que alcanzaríamos los novecientos veintiún gigavatios totales para 2030. Para 2023, ya habíamos superado esa cifra en más del cincuenta por ciento. Una razón por la que nos perdimos parte de esa revolución es que gran parte de ella se está produciendo en China. Según algunos indicadores, como calculó David Fickling de Bloomberg, siete empresas chinas de las que apuesto a que la mayoría de los estadounidenses desconocen —Tongwei, GCL Technology Holdings, Xinte Energy, Longi, Trina Solar, JA Solar Technology y JinkoSo -

lar— produjeron más energía en 2024 que los siete gigantes mundiales que encabezan las grandes petroleras. En 2020, China se fijó el objetivo de producir mil doscientos gigavatios de energía limpia para 2030; lo alcanzó a principios de 2024, seis años antes de lo previsto.

En toda Europa, las energías renovables experimentaron un drástico aumento en 2024; la guerra en Ucrania ha obligado al continente a controlar su propio destino energético. El Reino Unido —donde, después de todo, surgieron los combustibles fósiles— cuenta ahora con tanta energía eólica que, en 2024, sus emisiones de carbono cayeron por debajo de las de 1879, año en el que comenzó la guerra anglo-zulú y se celebró el matrimonio del príncipe Arturo, séptimo hijo de la reina Victoria, con la princesa Luisa Margarita de Prusia. El último día de septiembre, Inglaterra cerró su última central eléctrica de carbón, en Ratcliffe-on-Soar, Nottinghamshire, con el visto bueno de los sindicatos locales, que afirmaron haber ofrecido a sus trabajadores formación profesional alternativa. Y, aunque la revolución de los combustibles fósiles tardó siglos en extenderse desde los centros del imperio, en algunos países la energía solar está mostrando signos de combustión de salto, de la misma forma que los teléfonos celulares llegaron a muchos lugares antes que las líneas fijas. El ejemplo de Pakistán es quizás el más dramático. A principios de 2024, la demanda de electricidad en la red nacional comenzó a caer, no porque la economía estuviera en declive, sino porque muchos pakistaníes estaban instalando paneles solares. Como muchos agricultores no pueden permitirse soportes de montaje metálicos para los paneles, que son más caros que los propios

paneles, simplemente colocan los paneles en el suelo, con las células hacia el sol.

Si eres agricultor, es un milagro; el combustible, uno de tus mayores gastos, simplemente ha desaparecido.

Los pakistaníes aprendieron a instalar todos esos paneles en línea con programas de capacitación, consejos y trucos.

De hecho, algo similar parece estar ocurriendo en toda África. El verano pasado, Joel Nana, analista energético residente en Ciudad del Cabo, tenía dificultades para comprender los nuevos datos. “En Namibia, hemos descubierto que se han construido unos setenta megavatios de generación distribuida, principalmente energía solar en tejados; eso equivale a aproximadamente el quince por ciento de la demanda máxima del país. En Esuatini, un país muy pequeño, representa aproximadamente el once por ciento de la demanda máxima”. En Sudáfrica, la energía solar a pequeña escala proporciona ahora, según sus cálculos, casi una quinta parte de la capacidad de la red eléctrica nacional. “Estas cifras no se ven en ninguna parte”, afirmó Nana. Los meteorólogos aún desconocen la velocidad del crecimiento de la energía solar. Pero la predicción actual de la AIE es la siguiente: para 2026, la energía solar generará más electricidad que todas las centrales nucleares del mundo juntas. Para 2029, generará más que todas las represas hidroeléctricas. Para 2031, habrá superado al gas y, para 2032, al carbón. Según la AIE, es probable que la energía solar se convierta en la principal fuente de energía del mundo, no solo de electricidad, para 2035. Sin embargo, también estima que, si queremos mantener la trayectoria climática establecida en el acuerdo de París de 2015 —hacia un mundo con cero emisiones netas de carbono para

2050—, debemos aumentar el ritmo de instalación de energías renovables en aproximadamente un veinte por ciento.

¿Qué podría frenar esta revolución y cómo podríamos acelerarla?

Algunos expertos temían que nos quedáramos sin los minerales necesarios para construir paneles, turbinas y baterías, pero ese temor parece estar desapareciendo: tan solo en los últimos años, por ejemplo, se han descubierto nuevas y extensas fuentes de litio, un componente esencial de la mayoría de las baterías del mundo; el precio de la mayoría de los minerales necesarios para la transición energética ha caído, a pesar de que su demanda se ha disparado. Y, aunque obtenerlos implicará excavar y excavar la Tierra, la magnitud de esa destrucción es mucho menor que la que estamos haciendo ahora. Según un informe de 2023 de la Comisión de Transiciones Energéticas, todos los materiales necesarios para alcanzar el cero neto en 2050 serán inferiores a la cantidad de carbón consumido en un año. El litio, una vez extraído, cumple su función durante décadas; el carbón simplemente se quema, lo que significa que hay que extraer más. Y, cuando las baterías o los paneles solares se degradan, sus minerales conservan su valor, por lo que casi con seguridad se reciclarán. Están surgiendo operaciones de reciclaje a gran escala en todo el mundo. Un informe del Rocky Mountain Institute predijo que para 2050 habremos realizado toda la minería necesaria para obtener minerales para baterías; después, simplemente los reciclaremos una y otra vez.

Parece una afirmación improbable —incluso

los mejores sistemas de reciclaje actualmente recuperan solo alrededor del 95 % de los minerales—, pero cada año aprendemos a fabricar baterías con menos litio, cobalto y níquel, y paneles solares con menos plata. Mejorar esa eficiencia entre un 6 % y un 10 % por década es suficiente para compensar las pérdidas de reciclaje, y ya lo estamos haciendo mucho mejor.

Esta combinación de reciclaje y aumento de la eficiencia crea una especie de círculo virtuoso alucinante. Considere el techo de mi casa, en Vermont, donde instalé paneles solares por primera vez hace un cuarto de siglo. Los marcos y el cableado de esos paneles eventualmente se degradarán por estar expuestos a la intemperie; tienen una garantía de veinticinco años, aunque en muchos lugares duran mucho más. Pero, cuando los quite, serán como pequeñas minas. En 2004, según la Sociedad Fraunhofer estatal alemana, el instituto de investigación de ingeniería aplicada más grande de Europa, un vatio de energía solar requería unos dieciséis gramos de polisilicio; esta cantidad se ha reducido ahora a unos dos gramos. Como calculó recientemente Hannah Ritchie, científica de datos e investigadora sénior de la Universidad de Oxford, “la plata utilizada en un panel solar construido en 2010 sería suficiente para unos cinco paneles actuales”. Para 2035, aproximadamente, cuando mis paneles más antiguos hayan comenzado a dejar de funcionar, los minerales que contiene cada uno casi con seguridad serán suficientes para diez paneles nuevos.

El otro gran límite potencial es la tierra. Podemos y debemos producir gran parte de nuestra energía a partir de paneles solares en azoteas y marquesinas solares sobre estacionamientos, pero no hay suficiente de nin-

guno de los dos para producir todo lo que necesitamos, y es considerablemente más barato utilizar tierras despejadas. Como, por ejemplo, algunos de los campos que actualmente se utilizan para cultivar maíz, el cultivo más extendido en Estados Unidos, en particular aquellos utilizados para cultivar maíz para etanol. Convertir algunos de estos campos en paneles solares tiene un enorme sentido ecológico. Como señalaron más de doscientos científicos en treinta y un colegios y universidades de Iowa en 2023, una “granja solar de un acre produce tanta energía como 100 acres de etanol a base de maíz”. La otra pregunta —cómo acelerar la transición— también es interesante. Sin duda, el precio de los paneles solares y otros equipos seguirá bajando, pero ya son tan baratos que el precio no suele ser el obstáculo, al menos en lugares que no tienen que pagar aranceles elevados. En cambio, los obstáculos provienen de las políticas y la infraestructura: hay casi suficientes proyectos renovables en marcha para abastecer a Estados Unidos completamente con energías renovables, pero esperan en una “ cola de interconexión “ a que las compañías eléctricas los aprueben. La Administración Biden se comprometió a reducir estos obstáculos: un equipo especial en la Casa Blanca rastreó constantemente los principales cuellos de botella y consiguió permisos estatales. La Administración Trump está intentando activamente impedir dicho progreso.

Este tipo de obstrucción no está frenando la energía renovable en el resto del mundo: en todo caso, la nueva inconstancia de Washington proporciona una razón más para dejar de depender de Estados Unidos como combustible. Estados Unidos es actualmente el mayor exportador mundial de gas natural; la Administración Trump intenta impulsar ese

comercio con la amenaza de aranceles a los países que no aumenten sus compras. Pero, como predijo un analista de Wall Street esta primavera, es posible que las energías renovables experimenten una nueva aceleración, impulsada no solo por las preocupaciones climáticas, sino también por temores de seguridad, a medida que las naciones buscan cierto aislamiento de los “riesgos geopolíticos, macroeconómicos y financieros”. Una encuesta realizada en 2023 por la firma de investigación de mercado Glocalities, a veintiún mil encuestados en veintiún países, reveló que el sesenta y ocho por ciento estaba a favor de la energía solar, “cinco veces más que el apoyo público a los combustibles fósiles”. Y las encuestas realizadas por la firma de comunicaciones e investigación Global Strategy Group en otoño de 2024 revelaron que el ochenta y siete por ciento de los estadounidenses —y casi el ochenta por ciento de quienes planean votar por Trump— estaban a favor de los créditos fiscales para energía limpia en la cuenta individual de jubilación (IRA). «La energía solar sigue siendo la fuente de electricidad más popular en Estados Unidos», afirmó Andrew Baumann, socio de Global Strategy Group, «con un amplio apoyo en todo el espectro político». Si logramos que la transición sea asequible y sencilla, la voluntad está ahí. El poder también está ahí. Los científicos confían en que el sol arderá durante otros cinco mil millones de años. Nuestra estrella local, que ya proporciona calor, luz y fotosíntesis, está preparada para ofrecernos toda la energía que podamos necesitar, y en el proceso quizás nos ayude a salvarnos de un momento que de otro modo sería imposible.

Este artículo ha sido traducido de The New Yorker, julio 2025.

La apuesta por la IA podría descarrilar los objetivos emisiones netas cero

Para 2040, las demandas energéticas de la industria tecnológica podrían ser hasta 25 veces mayores que en la actualidad. El crecimiento descontrolado de los centros de datos impulsados por IA generará aumentos en el consumo de electricidad que sobrecargarán las redes y acelerarán las emisiones de carbono. Los centros de datos son un componente vital para entrenar modelos de IA, alojar servicios en la nube y procesar datos de usuarios. Por ello, se prevé que su número aumente significativamente en los próximos años.

El impacto ambiental de la tecnología digital, en particular los centros de datos, está recibiendo cada vez más atención, pero los gobiernos y los investigadores carecen de datos concretos para cuantificar su uso de electricidad,

las emisiones de carbono asociadas o el consumo de agua utilizada para los procesos de refrigeración.

Los datos globales sobre emisiones, los informes ambientales, sociales y gubernamentales (ESG) de las empresas y otros documentos de empresas tecnológicas, académicas y otras firmas indican un crecimiento significativo de las emisiones relacionadas con la tecnología. Es preocupante que gran parte de este crecimiento sea anterior al mayor interés en la IA por parte de gobiernos y empresas, que se viene dando desde la publicación de ChatGPT-4, por lo que el panorama de las emisiones podría ser incluso peor de lo estimado. Además, las cifras de emisiones declaradas por los propios usuarios serían mucho menores que las emisiones reales.

La IA generativa y las tecnologías digitales serán útiles para diseñar soluciones climáticas, pero existe un riesgo real de que las emisiones derivadas del desarrollo de la IA superen cualquier ganancia climática a medida que las empresas tecnológicas abandonen los objetivos de cero emisiones netas y busquen enormes ganancias impulsadas por la IA.

Un nuevo informe del Centro Minderoo para la Tecnología y la Democracia de la Universidad de Cambridge, sugiere que, incluso la estimación más conservadora de las necesidades energéticas de las grandes empresas tecnológicas, se quintuplicará en los próximos 15 años. Hoy en día, los centros de datos representan casi el 1,5 % de las emisiones globales totales. Se prevé que esta cifra aumente entre un 15 % y un 30 % cada año, hasta alcanzar el 8 % de las emisiones globales en 2040.

Estados Unidos, China y Europa son focos energéticos de centros de datos. En estas economías, los centros de datos ya consumen entre el 2 % y el 4 % de la electricidad nacional. La concentración local del consumo energéti-

co dentro de las regiones puede ser extrema. Por ejemplo, hasta el 20 % de toda la energía en Irlanda se destina actualmente a centros de datos en el clúster de Dublín.

Además de los impactos climáticos directos de la GenAI, existen otros factores, tanto ascendentes como descendentes. Los impactos ascendentes incluyen las emisiones incorporadas de la fabricación de hardware informático o la minería de tierras raras. Las emisiones descendentes incluyen los residuos electrónicos, pero también los llamados efectos de rebote de la adopción de tecnología, como las consecuencias del aumento del uso de la IA o de la carga de trabajo que se produce a medida que las industrias y las comunidades adoptan la IA.

Este informe del Reino Unido se centra principalmente en los impactos directos basados en informes ESG y comunicados de prensa corporativos, pero debe interpretarse en un contexto más amplio. La Figura 1 incluye valores autodeclarados de emisiones de gases de efecto invernadero (GEI), extraídos de informes ESG y comunicados de prensa corporativos.

La falta de datos concretos sobre el consumo de electricidad y agua, así como las emisiones de carbono asociadas a la tecnología digital, deja a los responsables políticos e investigadores a oscuras sobre los daños climáticos que la IA podría causar. Los gobiernos debieran implementar las medidas necesarias para que la IA no descarrile los objetivos climáticos. Los investigadores también utilizan datos de comunicados de prensa corporativos e informes ESG de algunos de los gigantes tecnológicos del mundo para mostrar la alarmante trayectoria del uso de energía antes de que la carrera de la IA se hubiera puesto en marcha por completo.

Las emisiones de gases de efecto invernadero reportadas por Google aumentaron un

48% entre 2019 y 2023, mientras que las emisiones reportadas por Microsoft aumentaron casi un 30% entre 2020 y 2023. La huella de carbono de Amazon creció alrededor de un 40% entre 2019 y 2021 y, si bien ha comenzado a caer, se mantiene muy por encima de los niveles de 2019.

Estos datos autodeclarados son controvertidos y algunos informes independientes sugieren que las emisiones reales de las empresas tecnológicas son mucho mayores. Varios gigantes tecnológicos apuestan por la energía nuclear para desactivar la bomba de relojería energética que se encuentra en el corazón de sus negocios. Sam Altman, director ejecutivo de OpenAI, ha argumentado que la fusión es necesaria para aprovechar el poten-

cial de la IA. Microsoft incluso ha firmado un acuerdo de 20 años para reactivar la planta de Three Mile Island, lugar del peor accidente nuclear en la historia de Estados Unidos. Algunos líderes tecnológicos, como el ex CEO de Google, Eric Schmidt, sostienen que los costos ambientales de la IA se verán compensados por sus beneficios para la crisis climática, desde su contribución a avances científicos en energía verde hasta una mejor modelización del cambio climático.

La IA generativa puede ser útil para diseñar soluciones climáticas, pero existe un riesgo real de que las emisiones derivadas del desarrollo de la IA superen cualquier beneficio climático a medida que las empresas tecnológicas abandonen sus objetivos de cero emisiones

Figura 1: Emisiones de gases de efecto invernadero de las empresas en MMT

(millones de toneladas métricas).

netas y busquen enormes beneficios impulsados por la IA.

El informe insta a actualizar las políticas ambientales del Reino Unido para la era de la IA. Este informe presenta cinco recomendaciones para que el Gobierno del Reino Unido, los organismos reguladores y las autoridades locales ofrezcan vías más claras y aplicables para exigir responsabilidades a los gigantes tecnológicos:

1) El Gobierno debería introducir un marco obligatorio de divulgación de recursos de IA antes del final de la legislatura actual. Este programa debería exigir a las empresas que operan sistemas de IA a gran escala o centros de datos que superen un umbral definido que informen sobre su consumo de energía, agua y emisiones asociadas.

2) Ofgem debería publicar directrices actualizadas de planificación y conexión a la red para infraestructura digital a fin de evitar cuellos de botella relacionados con la IA. Las nuevas directrices deberían exigir a los operadores de IA y centros de datos que demuestren eficiencia energética, evaluaciones de impacto en la red y planes de adquisición de energías renovables como parte del acceso acelerado a la red. El sistema propuesto por Ofgem para la eliminación de la acumulación de la red debería ampliarse para incluir criterios de priorización ambiental para la infraestructura digital, en colaboración con National Grid ESO y las autoridades locales de planificación.

3) El gobierno debería actualizar las políticas nacionales sobre clima y energía para incluir la IA y los centros de datos como un sector diferenciado. DESNZ, en colaboración con el Comité de Cambio Climático (CCC), debería integrar la infraestructura digital en el proceso de presupuestación de carbono del Reino Unido, conforme a la Ley de Cambio Climático. Esto incluiría el establecimiento de obje -

tivos de reducción de emisiones específicos para la IA y la orientación a los operadores para que se alineen con los objetivos de cero emisiones netas del Reino Unido.

4) Las autoridades locales y el Parlamento deberían fortalecer la supervisión democrática del desarrollo de infraestructuras de IA. El Ministerio de Vivienda, Comunidades y Gobierno Local (MHCLG), junto con las autoridades locales de planificación, debería establecer comités de enlace comunitario para el desarrollo de centros de datos, que incluyan a residentes locales, planificadores y científicos ambientales. A nivel nacional, el Comité de Auditoría Ambiental de la Cámara de los Comunes o un nuevo subcomité multipartidista podría supervisar las revisiones anuales de la huella ambiental de la IA en el Reino Unido, utilizando declaraciones obligatorias y testimonios de expertos.

5) El Reino Unido debería impulsar estándares internacionales para la presentación de informes de sostenibilidad de la IA a través de foros como la COP y la AIE. El Ministerio de Asuntos Exteriores, de la Commonwealth y de Desarrollo (FCDO), en colaboración con el DESNZ y el DSIT, debería promover estándares globales armonizados de divulgación sobre los impactos energéticos y ambientales relacionados con la IA. Estos esfuerzos deberían impulsarse a través de las delegaciones del Reino Unido en las cumbres de la COP, la AIE, la OCDE y las alianzas bilaterales, en particular con la UE y los países con importantes proveedores de servicios de nube.

Cada megavatio asignado a centros de datos de IA será un megavatio no disponible para viviendas ni manufactura. Los gobiernos deben ser transparentes con la ciudadanía sobre las inevitables desventajas energéticas que conllevará redoblar la apuesta por la IA como motor del crecimiento económico.

Tendencias en tecnologías de refrigeración de centros de datos

En los últimos años, el interés en los centros de datos ha aumentado, incluso entre los inversores de capital. Detrás de esta tendencia se encuentra la creciente importancia de estos centros como infraestructura social crítica, así como el surgimiento de tecnologías avanzadas como la inteligencia artificial generativa (IA).

El deseo de las personas, las empresas y los gobiernos de aprovechar al máximo estas tecnologías para mejorar la produc-

tividad probablemente esté impulsando la creciente demanda de centros de datos que admitan la computación de alto rendimiento.

Iniciativas de los operadores para abordar los desafíos

Operar un centro de datos requiere no solo servidores, equipos auxiliares e infraestructura de edificios, sino también enormes cantidades de electricidad y agua. En respuesta, las principales empresas tecnológicas que operan centros de datos a gran escala, como las denominadas grandes empresas tecnológicas, están llevando a cabo una serie de iniciativas para minimizar los impactos ambientales y sociales de sus operaciones.

Por ejemplo, en un comunicado del 28 de octubre de 2021, titulado “Apoyando a nuestros clientes en el camino hacia el cero neto: La nube de Microsoft y la descarbonización”, Microsoft declaró su objetivo de alcanzar la neutralidad en carbono para 2030 y, para 2050, la compañía aspira a eliminar del medio ambiente todo el carbono que ha emitido, ya sea directamente o a través del consumo de electricidad, desde su fundación en 1975.

Microsoft busca tecnologías innovadoras para inspirar un pensamiento multidimensional sobre la incorporación de la sostenibilidad en el diseño y las operaciones futuras de sus centros de datos, y ha presentado iniciativas específicas. Estas incluyen la reducción del desperdicio de agua en las operaciones de los centros de datos en un 95 % para 2024, la continuación de la investigación sobre refrigeración por inmersión líquida como paso hacia la refrigeración sin agua, el diseño de centros de datos que respalden los ecosistemas locales, la reducción de las emisiones de carbono en la construcción y el diseño de centros de datos, y la promoción del uso de energías renovables y la descarbonización de la red.

El hecho de que las grandes tecnológicas y otras empresas consideren importantes estos compromisos demuestra claramente su propia conciencia del significativo impacto que los centros de datos ejercen en la sociedad y el medio ambien-

te. Como resultado de estas iniciativas, Microsoft anunció una solución de enfriamiento de centros de datos de próxima generación que hace circular agua dentro de un sistema de circuito cerrado.

Impacto de la expansión en la demanda de energía

En el informe de la Agencia Internacional de Energía (AIE) de octubre de 2024, se reveló la situación futura del consumo eléctrico de los centros de datos. Un centro de datos promedio es muy pequeño en términos de potencia, con una demanda de entre 5 y 10 megavatios (MW). Sin embargo, los grandes centros de datos a hiperescala, cada vez más comunes, tienen demandas de energía superiores a los 100 MW, y se estima que su consumo eléctrico anual equivale a la demanda de energía de entre 350.000 y 400.000 vehículos eléctricos (VE). Actualmente, los centros de datos representan alrededor del 1% del consumo eléctrico mundial, y se dice que el consumo eléctrico anual de los centros de datos a nivel mundial es aproximadamente la mitad del de los dispositivos de tecnología de la información (TI) domésticos, como computadoras, teléfonos y televisores.

Se espera que los centros de datos consuman más electricidad debido al auge de la IA. Sin embargo, su impacto general se considera modesto, especialmente en comparación con el rápido crecimiento del consumo eléctrico mundial total. Ante el aumento de la carga de trabajo en los centros de datos, el consumo energético se ha mantenido bajo control gracias a los chips informáticos de IA, cuya eficiencia energética se ha duplicado aproximadamente cada dos años y medio o tres. Los chips informáticos de IA más recientes consumen un 99 % menos de energía para realizar los mismos cálculos que los modelos de 2008. Además, se han desarrollado nuevas tecnologías de refrigeración y la eficiencia

de los propios modelos de IA está mejorando. Por otro lado, el aumento de la demanda energética de los centros de datos sigue considerándose un posible desafío a nivel regional. En particular, en países y regiones importantes como Estados Unidos, China y la Unión Europea (UE), los centros de datos representan entre el 2 % y el 4 % del consumo eléctrico total actual. En cinco estados de EE. UU. supera el 10 % y en Irlanda representa actualmente más del 20 %. En este contexto, el 10 de diciembre de 2024, Google anunció su participación en la construcción de una central eléctrica para asegurar el suministro eléctrico a los centros de datos.

El 1 de mayo de 2025, investigadores de Microsoft publicaron un estudio pionero en la revista científica británica Nature. Este informe presenta los resultados de una evaluación del ciclo de vida que comparó el consumo de energía de cuatro tecnologías de refrigeración (refrigeración por aire, placas frías, refrigeración por inmersión monofásica y refrigeración por inmersión bifásica) a lo largo de la vida útil de los centros de datos. Los resultados mostraron que cambiar de refrigeración por aire a placas frías, que enfrían los chips de los centros de datos de forma más directa, puede reducir las emisiones de gases de efecto invernadero y el consumo de energía

Refrigeración por placa fría (renovable)

Inmersión monofásica (renovable)

Inmersión bifásica (renovable)

Refrigeración por placa fría (red eléctrica)

Inmersión monofásica (red eléctrica)

Inmersión bifásica (red eléctrica)

Impacto del ciclo de vida de las nuevas tecnologías de refrigeración en comparación con la refrigeración por aire.
Emisiones de GEI
Demanda energética
Consumo de agua

en aproximadamente un 15 %, y puede reducir el consumo de agua entre un 30 % y un 50 % a lo largo de la vida útil de un centro de datos. Además, se demostró que las placas frías y los dos métodos de refrigeración por inmersión reducen las emisiones de gases de efecto invernadero entre un 15 % y un 21 %, la demanda de energía entre un 15 % y un 20 % y el consumo de agua entre un 31 % y un 52 % a lo largo de la vida útil de un centro de datos, en comparación con la refrigeración por aire convencional. Aunque este estudio se centró en unidades centrales de procesamiento (CPU) de propósito general, los investigadores planean aplicar los mismos métodos de evaluación a unidades de procesamiento gráfico (GPU) en estudios futuros, ya que las GPU ahora se usan intensivamente en aplicaciones de IA.

Tendencias en la industria de refrigeración de centros de datos

A medida que la IA generativa se vuelve más frecuente, la necesidad de enfriar eficientemente las GPU que generan mucho calor está creciendo rápidamente. En consecuencia, la atención dentro del segmento de refrigeración de centros de datos se está alejando de la refrigeración por aire tradicional hacia la refrigeración líquida. En la refrigeración líquida, el método de placa fría circula refrigerante a través de placas en contacto con las GPU, mientras que la refrigeración por inmersión sumerge servidores completos en un fluido dieléctrico; la competencia entre estos dos métodos se está intensificando. En este contexto, no solo los fabricantes de equipos de calefacción, ventilación y aire acondicionado (HVAC) especializados en refrigeración de centros de datos, sino también los fabricantes de equipos HVAC en general están intensificando rápidamente los esfuerzos para fortalecer sus negocios de refrigeración de centros de datos o

para entrar a gran escala en este campo. En febrero de 2024, antes de la feria Data Centre World London, celebrada en marzo, Daikin anunció su decisión de aprovechar sus 100 años de experiencia en climatización para la industria de los centros de datos y manifestó su intención de impulsar su negocio de centros de datos. Samsung anunció su entrada prevista en el sector de equipos aplicados y centros de datos en mayo de 2025, antes de adquirir este año FläktGroup, fabricante alemán de equipos HVAC para centros de datos.

El número de fabricantes de equipos de aire acondicionado que adoptan tecnologías de refrigeración líquida ha aumentado en los últimos años. En marzo de 2023, Trane invirtió en LiquidStack, empresa de refrigeración por inmersión bifásica. En enero de 2024, Modine, empresa matriz de Airedale, especializada en equipos de climatización (HVAC) para centros de datos, adquirió la propiedad intelectual y ciertos activos de TMGcore, especialista en refrigeración por inmersión. En febrero de 2025, Carrier anunció una inversión estratégica en ZutaCore, proveedor de soluciones térmicas.

La IEA estima que la refrigeración representa más del 30 % del consumo total de energía en los centros de datos empresariales y aproximadamente el 7 % en los centros de datos de hiperescala, lo que subraya la importancia de reducir el consumo energético relacionado con la refrigeración para reducir el consumo energético general del centro de datos. En el futuro, se espera que las tecnologías de refrigeración líquida desempeñen un papel fundamental en la reducción de las necesidades energéticas de refrigeración de los centros de datos impulsados por IA, y los responsables de HVAC deben seguir de cerca estos avances.

Esta nota es traducción parcial de informe publicado por Jarn.

Modelado de fugas de refrigerantes inflamables

Los hidrocarburos (HC) se están introduciendo como refrigerantes en bombas de calor y sistemas de aire acondicionado, como parte de la reducción gradual de los refrigerantes sintéticos. Dado que los HC son altamente inflamables, se están perfeccionando las normas para su uso seguro. En este artículo, se ofrece una breve descripción general del trabajo realizado en EE. UU. y ejemplos de resultados obtenidos mediante CFD en Europa.

El calentamiento global exige la eliminación gradual de los combustibles fósiles, y la mayoría de los países planean estar libres de carbono para 2050. Esto requiere la descarbonización y la electrificación de todo el sistema energético. Una gran parte de los combustibles fósiles se utiliza actualmente para calefacción, edificios e industria. En el futuro, la cale -

facción deberá basarse en bombas de calor, y la AIE ha sugerido la instalación de 600 millones de bombas de calor para 2030 [1]. Al mismo tiempo, se están reduciendo gradualmente los refrigerantes sintéticos y, en Europa, se están eliminando por completo en sistemas más pequeños, debido a su alto PCA o a su pertenencia al grupo de sustancias PFAS, muchas

de carbono de los sistemas de calefacción, ventilación, aire acondicionado y refrigeración (HVAC&R). Sin embargo, la alta inflamabilidad de los refrigerantes A3, según la norma ISO 817 (también conocida como la norma ASHRAE 34), plantea problemas de inflamabilidad que requieren una evaluación de riesgos rigurosa y sistemática antes de su adopción generalizada. Con este fin, numerosos estudios e iniciativas regulatorias en EE. UU. se

carga y mapeo de fuentes de ignición en diversas configuraciones de salas. Los datos resultantes confirmaron que el cumplimiento de las limitaciones del tamaño de la carga y la eliminación de fuentes de ignición cercanas mitigan sustancialmente el riesgo de inflamabilidad [2]. De igual manera, Underwriters Laboratories (UL) respondió a estos hallazgos actualizando la norma UL 60335-2-40, incorporando disposiciones específicas para equipos que

Figure 1: Refrigerant concentration contours after complete leakage. The middle plane was chosen for visualization to provide a comprehensive representation, though the highest concentration is in the leakage plane on the right side of the evaporator. Some regions exceed 100% of the lower flammability limit (LFL), but a 0- 100% range was used to ensure comparability. The deepest red shade indicates concentrations surpassing 100% of the LFL.

Figura 1: Contrataciones de concentración de refrigerante después de una fuga completa. El plano medio fue elegido para para proporcionar una representación integral, aunque la concentración más alta está en el plano de fuga en el lado derecho del evaporador. Algunas regiones exceden el 100% del límite de inflamabilidad más bajo (LFL), pero se utilizó un rango de 0-100% para garantizar la comparación. La sombra roja más profunda indica concentraciones que superan el 100% de la LFL.

Colbourne has published several papers on simulations of leakage scenarios. In an unpublished report, he shows that the maximum limit of 26xLFL, corresponding to 1 kg of

mentioned in IEC 60355-2- 40 has no rational basis. A CFD model is used to

utilizan refrigerantes A3 [4]. La norma revisada exige características de construcción mejoradas y define umbrales de carga que ayudan a garantizar una implementación segura en entornos residenciales y comerciales ligeros. Como complemento a estos esfuerzos empíricos, el Instituto Nacional de Estándares y Tecnología (NIST) desarrolló modelos computacionales detallados para cuantificar la probabilidad de ignición y evaluar las consecuencias térmicas tras una fuga de refrigerante. Lemmon y McLinden [4] concluyeron que, en condiciones de ventilación estándar y con tecnologías adecuadas de detección de fugas, la probabilidad de ignición es mínima. Estos conocimientos han sido fundamentales para definir prácticas de diseño basadas en el riesgo. Los proyectos de investigación en curso de ASHRAE, como RP-1806 y RP-1839, también han proporcionado datos cruciales sobre los umbrales de ignición y el comportamiento de propagación de la llama específicos de los refrigerantes A3 [5]. Los resultados refuerzan que, si bien son inflamables, estas sustancias pueden gestionarse de forma segura en entornos confinados, siempre que se respeten rigurosamente los códigos de diseño y las normas de ventilación. Finalmente, la Agencia de Protección Ambiental de los Estados Unidos (EPA), a través de su Programa SNAP (Política de Nuevas Alternativas Significativas), ha facilitado la aprobación condicional de refrigerantes A3 como el R290 en diversas aplicaciones de uso final. La Norma 23 [7] describe casos de uso específicos y condiciones de seguridad bajo las cuales los refrigerantes A3 se consideran sustitutos aceptables. En conjunto, estos hallazgos de investigación y desarrollos de políticas reflejan un creciente consenso de que los refrigerantes A3, a pesar de su inflamabilidad, pueden integrarse de forma segura en sistemas de refrigeración, aire acondicionado y bombas de calor (RACHP)

cuando se basan en las mejores prácticas de ingeniería, estándares de seguridad actualizados e innovación continua en la detección de fugas y la arquitectura de sistemas.

Ejemplos de estudios recientes de CFD

Heat Pumping Technologies -

Modeling Leaks of Flammable

Here we will present the results only for an “unventilated” case, i.e., release under quiescent conditions. The indoor unit is installed at a height of 1.5 m, rooms are sealed except opening on the ceiling for relief of excess pressure due to introduction of refrigerant (although this is not included for consequence calculations).

Two leak rates were used, being instantaneous releases of 60 g/min and 180 g/min propane. A series of CFD calculations were carried out to generate flammable volumes, flammable mass, and flammable times. For each set of conditions, several cases ranging to about 4 kg were calculated and best fit curves plotted to enable a smooth estimation across the incremental increases in refrigerant quantities and room sizes.

Dos artículos recientes demuestran claramente los resultados que se pueden obtener mediante simulaciones de CFD (Dinámica de Fluidos Computacional) para determinar las concentraciones de hidrocarburos en un espacio confinado después de una fuga [8],[9]. Algunos de los resultados se presentan aquí. Las simulaciones se realizaron con ANSYS FLUENT 2023, empleando el método de volumen finito con un esquema de diferencia de viento en contra de segundo orden. El algoritmo COUPLED resolvió el acoplamiento de presión-velocidad, y el modelado de turbulencia utilizó los modelos estándar de kepsilon (kɛ) y k-omega de SST (kω).

Results for flammable volume vs time for the low and high mass flow cases are shown Figure 2 and Figure 3, respectively. Generally, the flammable volumes for the high mass releases are about ten times those of the low mass flow. On the other hand, the flammable concentration persists is much shorter in the case of the large leak rate.

25 m2 / 0.50 kg

36 m2 / 0.72 kg

64 m2 / 1.3 kg

81 m2 / 1.6 kg

121 m2 / 2.4 kg

Figure 2: Flammable volume and time for low mass flow rate releases at 1.5 height.

Figura 2: Volumen inflamable y tiempo para bajas liberaciones de tasa de flujo de masa a una altura de la unidad de 1,5 m.

Tras la validación con datos experimentales de Colbourne y Suen [10], se seleccionó el modelo k-omega de SST.

Para examinar la dispersión de refrigerante durante una fuga involuntaria, se realizaron simulaciones en una habitación pequeña con dimensiones de X: 3 m, Y: 2,5 m y Z: 3,5 m, con la unidad de aire acondicionado montada a y = 1,8 m en el centro de la pared (z = 0). Se asumió que la fuga de refrigerante se originaba en un orificio en la curva derecha del serpentín de la unidad interior (IDU), que se produce a un caudal másico constante, como en el estudio de Colbourne y Suen [10]. El refrigerante fugado se mezcló con el aire de retorno dentro de la UDI y se expulsó con una velocidad promedio de 1,3 m/s y un caudal de 0,053 m³/s. Según la norma IEC 60335-2-89, como se puede observar en la Figura 1, a una temperatura de saturación de 35 °C, la tasa de fuga del R290 (propano) es 2,73 veces mayor que la del R600a (isobutano). Esto hace que el R600a

Heat Pumping Technologies - MAGAZINE Modeling Leaks of Flammable Refrigerants

25 m2 / 0.50 kg

36 m2 / 0.72 kg 64 m2 / 1.3 kg 81 m2 / 1.6 kg

m2 / 2.4 kg

[s]

3: Flammable volume and time for high mass flow rate releases at 1.5 m unit height.

Conclusions

Figura 3: Volumen inflamable y tiempo para altas liberaciones de caudal de masa a una unidad de 1,5 m altura.

tarde más en descargarse completamente. En todos los pares, el R290 muestra consistentemente concentraciones más altas que el R600a, como se puede observar en S1, S3, S5 y S7, con gradientes más intensos y generalizados. Cuando el ventilador está en funcionamiento (S1, S2, S5, S6), la dispersión del refrigerante aumenta, lo que reduce los porcentajes de LFL localizados en comparación con los escenarios sin ventilador en funcionamiento (S3, S4, S7, S8). El ventilador ayuda a mezclar el refrigerante fugado con el aire ambiente, evitando altas concentraciones cerca de la fuente. Por el contrario, cuando está apagado, el refrigerante se acumula cerca del suelo, lo que aumenta los riesgos de inflamabilidad localizada. Los escenarios S7 y S8, donde la unidad de ventilación inducida (IDU) se encuentra a nivel del suelo y el ventilador está apagado, muestran los mayores volúmenes de inflamabilidad debido a la sedimentación del refrigerante. Por el contrario, cuando se instala a una altura estándar (S5, S6), el refrigerante se dispersa más antes de sedimentarse, lo que reduce los volúmenes de inflamabilidad. Colbourne ha publicado varios artículos sobre simulaciones de escenarios de fuga. En un informe inédito, demuestra que el límite máximo de 26 x LFL, correspondiente a 1 kg de propano, mencionado en la norma IEC 60355-2-40, carece de fundamento racional. Se utiliza un modelo de CFD para demostrarlo. El modelo ha sido validado como se indica en [10]. Aquí se presentarán los resultados únicamente para un caso “sin ventilación”, es decir, liberación en condiciones de reposo. La unidad interior está instalada a una altura de 1,5 m. Las habitaciones están selladas, excepto por una abertura en el techo para aliviar el exceso de presión debido a la introducción de refrigerante (aunque esto no se incluye en los cálculos de consecuencias). Se utilizaron dos tasas de fuga: liberaciones instantáneas de 60 g/min y 180

Determining refrigerant concentrations in a room after a leak of flammable refrigerant is important for understanding the risks. Numerical calculations, CFD, is an excellent tool for purpose. Several reports and scientific papers have been published on this topic, publications which can be used as the basis when updating regulations and standards. In article, we reported on some of the work done and gave a few examples of what type of can be achieved. In particular, we showed that a leakage of isobutane (R600a) can be expected to give lower concentrations than propane (R290), leaking through a hole of the

g/min de propano. Se realizaron cálculos de CFD para generar volúmenes, masas y tiempos de inflamabilidad. Para cada conjunto de condiciones, se calcularon varios casos con un peso de hasta aproximadamente 4 kg y se trazaron las curvas de mejor ajuste para permitir una estimación uniforme a través de los incrementos graduales en las cantidades de refrigerante y el tamaño de las habitaciones. L os resultados del volumen inflamable en función del tiempo para los casos de flujo másico bajo y alto se muestran en las Figuras 2 y 3, respectivamente. Generalmente, los volúmenes inflamables para las liberaciones de flujo másico alto son aproximadamente diez veces mayores que para las de flujo másico bajo. Por otro lado, el tiempo que persiste una concentración inflamable es mucho menor en el caso de una tasa de fuga alta.

En síntesis, determinar las concentraciones de refrigerante en una habitación después de una fuga de refrigerante inflamable es importante para comprender los riesgos. Los cálculos numéricos (DFC) son una excelente herramienta para este propósito. Se han publicado varios informes y artículos científicos sobre este tema, publicaciones que pueden utilizarse como base para actualizar las regulaciones y normas. En este artículo, informamos sobre algunos de los trabajos realizados y presentamos algunos ejemplos de los resultados que se pueden obtener. En particular, demostramos que una fuga de isobutano (R600a) puede producir concentraciones más bajas que la de propano (R290) al filtrarse por un orificio del mismo tamaño. También mostramos la importancia de tener un ventilador en la habitación y proporcionamos ejemplos de cuán grandes pueden ser los volúmenes inflamables y cuánto tiempo pueden permanecer durante fugas de diferentes cantidades de propano en habitaciones de distintos tamaños.

Referencias

[1]. Installation of about 600 million heat pumps covering 20% of buildings’ heating needs required by 2030 – Analysis - IEA

[2]. Abdelaziz, O., et al. (2016). Risk Assessment of R-290 as a Refrigerant in Room Air Conditioners. Oak Ridge National Laboratory, ORNL/TM-2016/513.

[3]. AHRTI (2019). Flammable Refrigerants Research Program Final Report. AHRTI-9007

[4]. UL (2023). UL 60335-2-40 Ed. 4: Safety of Household and Similar Electrical Appliances – Particular Requirements for Electrical Heat Pumps, Air-Conditioners and Dehumidifiers.

[5]. Lemmon, E. W., & McLinden, M. O. (2020). Modeling Flammable Refrigerant Behavior in Occupied Spaces. National Institute of Standards and Technology.

[6]. ASHRAE RP-1806 and RP-1839, Flammability Limits and Ignition Studies for Low-GWP Refrigerants.

[7]. U.S. EPA (2023). Final Rule: Protection of Stratospheric Ozone: Listing of Substitutes Under the SNAP Program. SNAP Rule 23.

[8]. Esmaeelian, J., Khodabandeh, R., Palm, B. and Ignatowicz, M., 2024, Critical aspects in CFD-modelling of R-290 leakages, Proc. 16th IIR-Gustav Lorentzen Conference on Natural Working Fluids (GL2024), Maryland, USA, DOI: 10.18462/iir.gl2024.1287

[9]. Esmaeelian, J., Khodabandeh, R., Palm, B. and Ignatowicz, M., 2024 Impact of Hydrocarbon Refrigerants Type on Leakage Rate and Resulting Flammability Risk, Proc. IIR Compressors, Slovakia, 9–11 September 2024, DOI: 10.18462/iir.compr.2024.0694

[10].Colbourne, D., and K. O. Suen. 2018. Assessment of Factors Affecting R290 Concentrations Arising from Leaks in Room Air Conditioners. Proc. 13th IIR-Gustav Lorentzen Conference on Natural Working Fluids (GL2018). Valencia, Spain, doi: 10.18462/iir.gl.2018.1103.

[11].Colbourne, D. 2020. Proceedings of the IEC SC61D WG21 Meeting, Houston, USA.

Autores: B. Palm, Suecia, J. Esmaeelian, Suecian, K. Nawaz, USA, D. Colbourne, Gran Bretaña para Heat Pumping Technologies MAGAZINE, vol. 43.

Geotermia y aerotermia. Climatización sustentable integral para una piscina olímpica

• Obra: Piscina Olímpica Climatizada. Centro de Educación Física y Deportes de Alto Rendimiento N° 1, Ciudad de Formosa.

• Climatización: CIATEMA

En una ciudad con temperaturas extremas como Formosa —donde en verano se superan los 45 °C, los desafíos técnicos de climatización no son menores.

Y cuando a eso se le suma la necesidad de eficiencia energética, sustentabilidad y control preciso de múltiples variables, se hace indispensable un enfoque integral, tecnológico y adaptable.

La obra

El edificio con la pileta ocupa una superficie total de 4.400 metros cuadrados, ubicado sobre la avenida Napoleón Uriburu, entre Córdoba y Fortín Yunká en la capital formoseña, con capacidad para 672 espectadores sentados.

La piscina (25 x 50 m de superficie) fue hecha de hormigón armado “in situ” con sistema de juntas

tipo “whater stop”; las graderías para el público, también de hormigón, tienen una capacidad para albergar a 250 personas, y cuenta con un sector de cabinas para las transmisiones televisivas o radiales de eventos.

Asimismo, posee un sistema de cubierta parabólica metálica de grandes luces y tiene cerramientos laterales y tabiquería interior de muros de mampuestos y panelerías especiales adecuados para el control térmico, humectativo y acústico; lo mismo que carpinterías especiales con control de aislación térmico y de pisos y revestimientos adecuados a la reglamentación sanitaria y de seguridad. De igual modo se incluyen además rampas, escaleras y ascensores.

La climatización

La instalación de climatización necesaria era de alta complejidad con una demanda de 1.100 kW de potencia frigorífica instalada, y debía garantizar el confort térmico en todo el edificio y cubrir al mismo tiempo las necesidades de calefacción, agua sanitaria, deshumectación y calidad del aire.

.CIATEMA propuso un sistema compuesto por tres bombas de calor: una geotérmica y dos aerotérmi-

cas. Esta combinación permite aprovechar la energía térmica del suelo y del aire —ambas fuentes naturales, renovables y disponibles en el entorno— para climatizar de manera eficiente y sustentable.

La energía captada se transporta a través de un circuito de agua especialmente diseñado, que la distribuye hasta los equipos terminales (como fancoils y casetes), donde se transforma en confort real, según las condiciones de cada espacio.

Un proyecto integral

Una de las claves diferenciales de esta obra es la integración de un sistema de recuperación de calor, que reutiliza el excedente térmico generado durante los procesos para calentar:

8.000 litros de agua sanitaria, destinados a duchas y vestuarios

3 millones de litros de agua de piscina, que se mantienen a temperatura óptima de competencia

El resultado: un aprovechamiento energético inteligente que reduce el consumo de insumos, baja costos operativos y cuida el medio ambiente.

Clima controlado en cada rincón

La instalación se completa con dos deshumectadoras y cinco unidades de tratamiento de aire, que

permiten generar microclimas según las necesidades de cada sector. Mientras las deshumectadoras mantienen bajo control la humedad del vaso de la pileta, las UTA impulsan aire fresco en las zonas de tribuna, mejorando la experiencia para atletas y espectadores.

Además, los equipos incorporan tecnología free-cooling, que permite reducir el trabajo de los compresores cuando las condiciones exteriores son favorables, optimizando aún más el rendimiento general del sistema.

Automatización total: inteligencia al servicio del confort

El sistema cuenta con un gabinete de control centralizado desde el cual es posible visualizar, regular y automatizar todos los parámetros térmicos y mecánicos: temperaturas de impulsión y retorno, estado de bombas y válvulas, niveles de humedad, calidad del aire, sensores de piscina, intercambiadores y más. Esto no solo garantiza un funcionamiento preciso y eficiente, sino que permite una gestión proactiva del mantenimiento y la operación.

INFORME provisto por CIATEMA SA.

Evolución de las buenas prácticas para calidad de aire interior

No cabe duda de que un aire limpio contribuye notoriamente a mejorar el bienestar y la calidad de vida de las personas. Desde esta óptica la filtración de aire juega un rol esencial, de allí la relevancia de aquellas regulaciones que han sido formuladas a lo largo de los años.

En informes anteriores (ver Clima 311) hemos referenciado la aparición de las normas y estándares de filtración de aire. Las mismas resultan fundamentales al tener a la vista la necesidad de asegurar la calidad de aire en diversos entornos protegiendo la salud humana y la eficacia de los procesos.

Dichas reglas y recomendaciones, tanto de alcance nacional como internacional, establecen criterios de calidad y métodos de ensayo para garantizar la eficiencia de los filtros y su clasificación para así consecuentemente poder efectuar una adecuada selección de estos. Estas exigencias ha dado lugar a la aparición de prefiltros, elementos filtrantes de alta eficiencia y/o filtrado HEPA en función de los requerimientos emergentes del sector abastecido y sus necesidades. En línea con lo planteado anteriormente, ahora nos ocuparemos de dos puntos en particular.

ISO 16890

Se trata de una norma internacional que clasifica los filtros de aire en función del material particulado (PM) dividiéndolos en categorías como ePM1, ePM2.5, ePM10 y Grueso, ofreciendo de esta manera un enfoque realista al considerar como los filtros funcionan en entornos reales y como afectan la calidad de aire en espacios interiores, lo que permite ver directamente las conexiones entre aquel y nuestra salud. Esto ayuda a

seleccionar el tipo de filtrado más adecuado según la aplicación específica, ya sea para entornos industriales, comerciales, residenciales, etc, garantizando así una mejor protección contra contaminantes del aire y una mayor eficiencia en los sistemas HVAC

• ePM1: Evalúa la eficiencia del filtro para retener partículas de hasta 1 micrón de diámetro, como virus, bacterias y partículas ultrafinas presentes en el aire.

• ePM2.5: Mide la capacidad del filtro para capturar partículas de hasta 2.5 micrones, incluyendo humo, hollín y algunos alérgenos.

• ePM10: Determina la eficiencia del filtro en la retención de partículas de hasta 10 micrones, como polvo grueso, polen y esporas de moho.

ISO 16890:2018

INFORME TÉCNICO

ISO 16890:2018

Índice MERV (valor mínimo de informe de eficiencia)

Es un sistema de prueba y clasificación que asigna un número a un filtro representando su eficiencia de captura de partículas en tres amplios rangos de tamaño específicos entre 0.3 y 10 micras (E1,

E2 y E3), los números más altos indican una mayor eficiencia de filtración, siendo incorporado en el protocolo de ensayos ASHRAE 52.2 (Sociedad Americana de Ingenieros de Calefacción, Refrigeración y Aire Acondicionado).

Este sistema clasifica los filtros en una escala del 1 al 16, donde:

• Filtros MERV 1-4: Capturan partículas grandes como polvo y polen.

• Filtros MERV 5-8: Atrapan partículas más pequeñas, como esporas de moho y bacterias grandes.

• Filtros MERV 9-12: Son efectivos contra partículas más finas, como las causadas por la combustión y las emisiones.

• Filtros MERV 13-16: Se recomiendan para combatir virus y alérgenos, capturando partículas extremadamente pequeñas.

Cuanto mayor es el valor MERV, mayor es la capacidad del filtro para eliminar partículas pequeñas del aire, lo que es crucial en espacios donde la calidad del aire es una prioridad.

ANSI/ASHRAE 62.1

«Ventilación y calidad aceptable del aire interior»

En concordancia con lo anterior, especifica las tasas mínimas de ventilación y otras medidas destinadas a proporcionar una calidad del aire interior (CAI) aceptable para los ocupantes humanos y que minimice los efectos adversos para la salud, proporcionando procedimientos y métodos para cumplir con los requisitos mínimos de ventilación y CAI a ingenieros, profesionales del diseño, propietarios y autoridades competentes donde se han adoptado códigos modelo.

Informe provisto por Industrias Bellmor, líder en Argentina en purificación y calidad del aire.

Eventos climáticos: “Estamos viendo el final de la película”

Cada vez con más frecuencia, vemos en nuestros celulares y en la televisión noticias de eventos meteorológicos extremos. Tormentas severas, lluvias récord, inundaciones, daños materiales y lo más grave, pérdida de vidas. Algunos ejemplos recientes son Río Grande del Sur (Brasil) y la Dana en Valencia (España) ocurridos durante 2024 y; más recientemente, lo sucedido en Bahía Blanca (Buenos Aires) y en Texas (USA).

Podríamos pensar que esto siempre ocurrió y que lo que cambió es el acceso a la información. Si bien es cierto que hoy tenemos mayor visibilidad de estos fenómenos, la comunidad científica demostró hace tiempo que no se trata sólo de percepción: estamos ante comportamientos

climáticos atípicos, consecuencia directa del cambio climático.

Como mencioné en el panel “Ciudades a prueba del futuro: planificar para la resiliencia climática”, en el que participé como invitado durante las Reuniones Anuales de las Asambleas de Gobernadores del Banco Interamericano de Desarrollo (BID) en Santiago de Chile (marzo 2025); estos eventos representan “el final de la película”. Allí referí también, que si queremos cambiar gran parte de lo que sucede, es clave actuar antes de que ocurran, a partir de tres pilares fundamentales como lo son la generación de datos confiables, el estudio de cuencas -su modelación y simulación- y la implementación de sistemas de alerta.

Contar con casi dos décadas de experiencia, enfocados especialmente en el primer punto, nos permite afirmar que la tecnología es la clave de hoy para poder medir de forma precisa cantidad de lluvia precipitada, infiltración en el suelo y caudal de ingreso en cauces y embalses. Para cada una de estas mediciones existen diferentes alternativas de obtención y transmisión de datos.

El conocimiento profundo de la cuenca permite simular escenarios y prever el impacto de un evento antes de que suceda. En este punto juega un rol fundamental la comunidad científica asentada principalmente en las Universidades y el Conicet. Hoy se trabaja con distintas herramientas de simulación. Incluso se está incursionando con los “Gemelos Digitales” -Digital Twins-, que son réplicas virtuales de un terreno, que permiten anticipar su respuesta ante distintos estímulos y condiciones de base. Por ejemplo, evaluar ¿qué sucedería si llueven 100 milímetros sobre un terreno seco o uno saturado por lluvias previas?

Finalmente, el cruce entre datos reales y simulaciones permite alimentar sistemas

de alerta temprana, fundamentales para que la ciudadanía conozca los riesgos en tiempo real y pueda actuar en consecuencia. La medición del evento, combinada con el conocimiento previo de la cuenca, es el insumo clave para que estos sistemas funcionen de manera eficiente. Un gran ejemplo de esto es como se trabaja en los diques y embalses de Córdoba hace algunos años (Aprhi).

No hay dudas de que estos eventos seguirán ocurriendo y el agua impactará en las ciudades. Pero si trabajamos con tecnología y de manera planificada en los tres puntos mencionados, el final de la película puede limitarse a menores daños materiales y, principalmente, evitar pérdidas humanas y sociales irreparables.

Informe realizado por Ing. Federico Ferraro. Director de Omixom, empresa especializada en la producción de equipos para estaciones meteorológicas y dispositivos para medir niveles de ríos y embalses.

ASHRAE - NOTICIAS DEL MUNDO

ENERGÍA

Los nuevos materiales generados por IA tienen como objetivo reducir las facturas de energía. Un gran avance en el diseño de materiales desarrollado a través del aprendizaje automático y la inteligencia artificial, publicado en la revista Nature, promete transformar la forma en que administramos y utilizamos la energía para enfriar y calentar. Investigadores de la Universidad de Texas en Austin, en colaboración con la Universidad Jiao Tong de Shanghai, la Universidad Nacional de Singapur y la Universidad de Umea en Suecia, han desarrollado más de 1.500 nuevos metaemisores térmicos. Estos materiales avanzados tienen el potencial de lograr avances significativos en la eficiencia energética.

BOMBAS DE CALOR

La gigantesca bomba de calor de Dinamarca calentará 25.000 hogares con agua de mar. La mayoría de los observadores piensan que las bombas de calor son sistemas de calefacción a pequeña escala para casas, negocios y edificios de apartamentos, pero las bombas de calor XXL ya están en servicio y hacen el mismo trabajo para distritos enteros de la ciudad. Su práctica, si tiene éxito, será un activo importante en la descarbonización de las sociedades y las economías. La ciudad de Esbjerg, Dinamarca, está a la cabeza, con dos bombas de calor de tamaño industrial que proporcionan a la ciudad de 100.000 habitantes calor de un vasto recurso frente a su costa, a saber, el Mar de Frisia. El objetivo: reemplazar la central eléctrica de carbón de Esbjerg, al menos en parte, y eventualmente en su totalidad.

CALIDAD DEL AIRE INTERIOR

Evaluación de estrategias de modulación del flujo de aire de HVAC para reducir la transmisión de aerosoles en entornos de oficina. La transmisión aérea de patógenos respiratorios en ambientes interiores sigue siendo un importante desafío para la salud mundial. Si bien la investigación existente aborda ampliamente la efectividad de la ventilación, existe una necesidad crítica de comprender cómo las ubicaciones específicas de los difusores influyen en la dispersión de aerosoles en la fase temprana inmediatamente después de un evento de tos. Un nuevo estudio de la Academia Árabe de Ciencia, Tecnología y Transporte Marítimo utiliza la dinámica de fluidos computacional y el modelo de fase discreta para analizar el transporte inicial de gotas, la evaporación y la concentración de núcleos en diferentes configuraciones de distribución de aire.

ASHRAE - NOTICIAS DEL MUNDO

HVAC&R

El uso de electricidad para la informática comercial podría superar el enfriamiento de espacios, la ventilación y la iluminación. En su caso de referencia Annual Energy Outlook 2025, la Administración de Información Energética de EE. UU. (EIA) proyectó que la electricidad consumida para la computación comercial aumentará más rápido que cualquier otro uso final en los edificios. Se estima que la informática representó el 8% del consumo de electricidad del sector comercial en 2024 y crecerá hasta el 20% en 2050. En última instancia, la informática podría consumir más electricidad que cualquier otro uso final en el sector comercial, incluida la iluminación, la refrigeración de espacios y la ventilación.

La informática incluye el consumo de energía de los servidores de los centros de datos, los ordenadores de sobremesa y portátiles y los monitores de los espacios comerciales.

La legionela es solo uno de los muchos riesgos de HVAC, dice un microbiólogo. El brote de la enfermedad del legionario el mes pasado en Nueva York recordó a las personas el riesgo que representan los sistemas HVAC administrados inadecuadamente. Cuatro personas murieron y docenas se enfermaron por la contaminación que se propagó a través de las torres de enfriamiento de los edificios comerciales, dijeron funcionarios de salud de la ciudad. Sin embargo, los sistemas HVAC pueden representar un riesgo más rutinario que eso si los filtros no se limpian regularmente, las unidades que funcionan mal liberan vapores de los agentes de limpieza o si los sistemas hacen que el aire interior se seque demasiado, dice Primrose Freestone, profesora titular de microbiología clínica en la Universidad de Leicester en el Reino Unido.

Incluso los productos que usan los operadores para limpiar los sistemas de ventilación pueden causar enfermedades entre los ocupantes del edificio, dice un científico.

BOMBAS DE CALOR

La start-up tecnológica sueca recauda 150 millones de euros para ampliar el despliegue de bombas de calor en Europa. La empresa sueca de tecnología de energía limpia Aira ha recaudado 150 millones de euros (174,75 millones de dólares) en capital de los patrocinadores existentes, ya que busca acelerar el despliegue de sus sistemas de bomba de calor en toda Europa y aprovechar la demanda de alternativas a la calefacción de gas. La Unión Europea tiene como objetivo desplegar al menos 30 millones de bombas de calor esta década para disminuir la dependencia de los combustibles fósiles importados, aunque las ventas en el mercado europeo de bombas de calor cayeron en 2023 después de un 2022 récord.

BOMBAS DE CALOR

Evaluación de sistemas de bomba de calor fotovoltaica para la rehabilitación de viviendas sociales. Investigadores de la Universidad del País Vasco han explorado cómo se podría utilizar una combinación de energía fotovoltaica y bombas de calor para llevar a cabo la rehabilitación energética de viviendas de alquiler social. El grupo de investigación exploró el potencial de los sistemas híbridos que comprenden tecnología fotovoltaica y bombas de calor en 128 edificios públicos de alquiler y estableció prioridades para la modernización de los edificios.

CALIDAD DEL AIRE INTERIOR

Encuesta: La percepción es más importante que la realidad cuando se trata de aire limpio. El olor, la congestión y el polvo guían las decisiones en tiempo real de las personas sobre si regresar a una oficina, escuela, tienda o gimnasio, según la encuesta de la compañía de calidad del aire interior GPS Air a 1,000 adultos estadounidenses, realizada en mayo. Casi la mitad de los encuestados eran más propensos a pensar en la calidad del aire interior cuando el aire olía extraño o rancio, superando señales como toser o estornudar (28%). o reacciones alérgicas personales (13%).

Una alianza para potenciar la innovación y la formación en San Luis ASHRAE en Argentina

La Universidad de La Punta firmó un convenio marco con la Sociedad Estadounidense de Ingenieros en Calefacción, Refrigeración y Aire Acondicionado (ASHRAE), una institución internacional referente en eficiencia energética y cuidado ambiental. El acuerdo favorecerá capacitaciones para estudiantes, docentes, instituciones, organismos, empresas y ONG.

La Universidad de La Punta (ULP) continúa ampliando sus horizontes a través de alianzas internacionales. Este martes, en el Parque de la Industria del Conocimiento (PIC), la casa de estudios rubricó un convenio marco de cooperación con representantes en San

Luis de la Sociedad Estadounidense de Ingenieros de Calefacción, Refrigeración y Aire Acondicionado (ASHRAE), una entidad sin fines de lucro integrada por más de 54.000 profesionales en todo el mundo.

La mesa del convenio estuvo encabezada por el rector de la ULP, Luis Quintas, acompañado por Guillermo Massucco, membership promotion de la entidad; Germán Martínez, presidente electo de ASHRAE; y Luciana Pantano, representante en San Luis de la institución.

Marcos Lucero, secretario de Extensión de la ULP, destacó: “Esta alianza estratégica brindará oportunidades para que estudiantes, docentes, institucio -

nes, organismos, empresas y ONG puedan formarse, capacitarse y mejorar procesos relacionados con la calidad de vida de las personas, las organizaciones y el medio ambiente”.

En la misma línea, Germán Martínez subrayó el impacto que tendrá el acuerdo: “A través de la Universidad podemos llegar a estudiantes de carreras afines y

también a municipios que deseen mejorar sus normativas con información técnica de primer nivel. Estamos felices y asombrados por lo que hacen acá”. Con este convenio, la ULP refuerza su misión de generar vínculos que trascienden lo académico, construyendo comunidad y apostando al desarrollo sostenible de San Luis.

El acuerdo favorecerá capacitaciones para estudiantes, docentes, instituciones, organismos, empresas y ONG.

CRC 2025, un punto de encuentro con la industria

Del 6 al 9 de agosto, la ciudad de Guayaquil, Ecuador, fue sede de la Conferencia Regional de Capítulos de la Región XII de ASHRAE, un encuentro que reunió a profesionales, colegas y clientes de toda Latinoamérica. Allí estuvieron presentes los representantes del Capítulo Argentino para compartir unos días con todos los colegas de Latinoamérica, El Caribe y Florida (EEUU). Fueron unos días excelentes para intercambiar experiencias, ideas, comentar lo realizado en el año y plantear los objetivos para el año entrante.

Además de los momentos camaradería, fue una excelente oportunidad para la actualización con charlas técnicas, workshops y la edición especial de la Expo Salón del Frío, un ambiente que reafirma la importancia de seguir conectando e innovando en la industria.

Además el CRC2025 contó con la presencia destacada del Presidente de ASHRAE Society, William McQuade, el DRC de la Región IX, Jonathan Smith PE, CEM, LEED AP, y el Vice Presidente de ASHRAE Society, Andrés Sepúlveda.

ASHRAE en Argentina

ASHRAE presente

EVENPa

En el mes de abril, en Puerto Madryn se llevó a cabo la tercera edición de EVENPa PATAGONIA (Exposición de Vinculación Empresarial de la Patagonia), el evento empresarial multisectorial más importante de la Patagonia. Allí Guillermo Massucco estuvo en representación del Capítulo Argentino de ASHRAE en un stand mostrando todo lo que se hace desde ASHRAE para la industria. Muchísimos interesados se acercaron al stand, destacando autoridades de la UTN y estudiantes de Ingeniería que querían conocer más acerca de ASHRAE.

EXPO CONSTRUIR

Además de EVENPA, en el mes de mayo el Capítulo Argentino de ASHRAE estuvo presente en Expo Construir en el Hilton de Puerto Madero, la expo por excelencia del sector de la construcción y afines. Allí muchos miembros, estudiantes, visitantes e interesados pasaron por nuestro stand a saludar y conocer las últimas novedades de ASHRAE en materia de la construcción e industria en general. Destacamos la presentación del Ing. Rodrigo Viale en el Workshop dentro de la Expo relacionado a la eficiencia energética en Instalaciones de aire acondicionado modernas.

Instructivo para obtener el beneficio de la membresía anual ASHRAE paso por paso

Instructivo para obtener los beneficios de la membresía anual

1-Nos logueamos en la página de ASHRAE con usuario y contraseña

2- Nos llevará a la siguiente pantalla, y presionamos en View/ Select Annual Benefit

1- Nos logueamos en https://www.ashrae.org/ con usuario y contraseña. Luego desplegar este menú y seleccionar My Profile.

https://www.ashrae.org/ Una vez logueados desplegar este menú, seleccionar My Profile 3-

2- Nos llevará a la siguiente pantalla y presionamos View/ Select Annual Benefit.

3- Aparecerá la siguiente pantalla, donde debemos seleccionar el cuadro de texto que corresponde al perído de membresía.

4- Ahora volvemos a la pantalla principal de ASHRAE y seleccionamos Technology Portal.

5- Vemos la siguiente pantalla y hacemos clic en Access The Portal.

6- Veremos la siguiente pantalla con los candados verdes en el beneficio seleccionado, por ejemplo, el Handbook y lo seleccionamos.

7- Seleccionamos aquí abajo y nos descarga el PDF del Handbook

Cámara Argentina de Calefacción, Aire Acondicionado y Ventilación

Historia de la climatización en Argentina

La climatización en Argentina tiene una larga historia y mucho trabajo de gente que supo apostar a esta disciplina cuando el mercado estaba recién iniciándose. Ya en 1936 la Cámara Argentina de Calefacción, Aire Acondicionado y Ventilación empezaba a vislumbrarse en la Cámara Sindical de Calefacción y Anexos, fundada por un grupo de empresas instaladoras. En esos empresarios hubo visión, inversión, investigación, dedicación para que la climatización creciera y se convirtiera en parte de la vida cotidiana. Este camino de casi un siglo merecía ser recordado. Después de un año de intenso trabajo, la CACAAV presenta la Historia de la climatización en Argenti-

La importancia de elegir un instalador matriculado

Si acaba de comprar un equipo de aire acondicionado asegúrese de no perder la garantía por una instalación deficiente. Los fabricantes exigen que las instalaciones sean efectuadas de acuerdo con las normas técnicas correspondientes. Es obligación del instalador presentar su credencial.

Trabajos y prestaciones no inherentes a la instalación de un equipo de aire acondicionado

1. Albañilería

• Apertura y cierre de canaletas y pases en losas, tabiques y vigas, para el paso de cañerías y/o conductos. Bases de hormigón o mampostería para equipos acondicionadores, calderas, bombas circuladoras, torres de enfriamiento, máquinas enfriadoras de líquidos y ventiladores, de acuerdo a especificaciones.

na. Este libro se ha editado con la intención de rescatar la historia de la climatización en la Argentina y a sus principales protagonistas, por lo menos a los que aún perduran en la memoria y que han contribuido al desarrollo de esta rama de la ingeniería (la refrigeración, la calefacción, el aire acondicionado y la ventilación).

La parte más ardua ya está hecha, la historia está escrita. Solo queda el último paso. Desde CACAAV se informa, que la HISTORIA DE LA CLIMATIZACIÓN EN ARGENTINA estará disponible en los próximos 30/45 días en una edición con tapas duras y con hojas de 170 gr a todo color.

• Apertura de zanja para albañiles y ejecución de excavaciones.

• Amurado de grampas para fijación y/o sostén de conductos, cañerías, tanques intermediarios, intercambiadores, radiadores, tableros, etc.

• Conducto horizontal y/o vertical de humo, para calderas y calefactores.

• Conductos de mampostería subterráneos y/o a la vista, con aislación térmica.

• Nichos para ubicación de radiadores, colectores para serpentinas y sus válvulas de regulación. Paneles desmontables de cielorrasos para acceso a equipos fan-coils, válvulas, registros, etc.

• Cabinas de mampostería con aislación térmica si corresponde, con luz interior y desagüe. Andamios y estructuras auxiliares para el montaje de cañerías y conductos.

2. Sanitarios

• Pozo de enfriamiento para desagote de calderas.

• Línea de alimentación de agua fría y su conexión hasta

la válvula a flotante para tanques de expansión, humidificadores y batea de torres de enfriamiento.

• Provisión e instalación de cañerías de alimentación de agua fría, de distribución de agua caliente, de by-pass, de purga, colectores y sus llaves para tanques intermediarios.

• Cañerías para desagüe de condensado desde las bandejas recolectoras de los equipos hasta las bocas correspondientes. (cloacales).

• Provisión de desagües en Sala de Máquinas, para desagote de calderas, bombas, máquinas enfriadoras, etc. (cloacales)

• Suministro de agua necesaria para la ejecución de las pruebas hidráulicas de las instalaciones.

3. Electricidad

• Línea de alimentación de energía eléctrica trifásica o monofásica con tierra mecánica y neutro al pie del tablero principal en Sala de Máquinas, y de los tableros secundarios correspondientes a la instalación, con llave de corte y fusibles, de acuerdo a la reglamentación de la autoridad pública pertinente.

• Cañería eléctrica para el circuito de enclavamiento y señalización entre los componentes eléctricos de la instalación.

• Alimentación e instalación de toma corriente para equipos ubicados en cielorrasos, con la cañería y cableado de interconexión correspondientes.

4. Gas

• Línea de alimentación de gas y su conexión hasta cada uno de los quemadores correspondientes a las calderas y calefactores y su trámite de habilitación.

• Provisión de gas a la presión y caudal que se determine con una tolerancia de -+ 10 %, cuando exista una planta reguladora propia.

5. Carpintería metálica

• Tapas metálicas para nichos de radiadores, válvulas de control, colectores y de acceso a registros, reguladores, etc.

6. Pintura

• Realización de los trabajos de pintura final de los elementos componentes de la instalación, aislaciones y revestimientos.

7. Transporte vertical de equipos

• Provisión por parte del contratista principal de los elementos y mano de obra necesarios, como ser grúas, aparejos o elevadores, para el movimiento en obra de los equipos y/o elementos componentes de la instalación y su

izamiento hasta el lugar de emplazamiento de los mismos incluso el seguro correspondiente.

8. Varios

• Todo pago de derechos que afecten las instalaciones. Suministro de combustible y energía eléctrica para la ejecución de pruebas de funcionamiento y regulación. Provisión de espacio cerrado con llave y luz eléctrica para acopio de materiales y vestuario del personal.

• Será de exclusiva responsabilidad del comitente el cumplimiento de las exigencias del Código Municipal que corresponda respecto a requerimientos de ventilación, remate de chimeneas, iluminación, etc., en Sala de calderas, equipos, etc; como así también del reglamento de Gas del Estado y Obras Sanitarias de la Nación. Obtención de certificado de uso conforme que pueden requerir las autoridades públicas.

La matrícula se puede obtener de dos maneras

1) Aprobando el Curso de Instalador de Equipos de Aire Acondicionado Split que se dicta en nuestra sede Central de Capital Federal.

2) Para la obtención de la matricula por Antecedentes. Las personas interesadas en obtener la matrícula de este modo, deberán presentar ante nuestra cámara, tal como se indica en el curso Instalador de equipos Split (acelerado).

En los casos de empresas que requieren matricular a sus instaladores (personal en relación de dependencia o contratistas), deben consultar con la Cámara.

Es obligación del instalador presentar su credencial y confeccionar el Informe de Instalación planilla que les provee la CACAAV a cada matriculado, dejando el original al cliente y guardando el duplicado el instalador.

La sigla RM significa que el instalador esta capacitado en instalar los nuevos equipos con el REFRIGERANTE R 410 A.

Todos los MATRICULADOS con la credencial al día figuran en la página Web de la CACAAV.

Para más información sobre aranceles y fechas de inicio, llamar de lunes a viernes de 10 a 18.

Estado de Normas IRAM para tratamiento de aires de establecimientos de salud

IRAM 80400 Sistemas para el tratamiento del aire en los establecimientos para el cuidado de la salud. Requisitos. Publicada el 2/7/2024.

OBJETO Y CAMPO DE APLICACIÓN:

1.1 Esta norma establece los requisitos mínimos de la calidad del aire tratado, de acuerdo con el proyecto, la construcción y el mantenimiento de los sistemas para el tratamiento del aire, en los establecimientos para el cuidado de la salud.

1.2 Esta norma se aplica a todas las áreas que conforman un establecimiento de salud.

1.3 Esta norma se aplica a las nuevas construcciones y/o a las remodelaciones y modificaciones de los edificios existentes.

1.4 Esta norma considera el control de contaminantes (químicos, físicos, y biológicos, entre otros) y de las variaciones del estado del aire que pueden afectar la prestación de la atención médica a pacientes.

1.5 Esta norma no se aplica a los sistemas de redes de gases medicinales, establecidos en la serie de normas IRAM-ISO 7396. Sistemas de redes de gases medicinales comprimidos y vacío.

IRAM 80401-1 Sistemas para el tratamiento del aire en establecimientos para el cuidado de la salud. Equipamiento. Parte 1 - Requisitos del equipo. Publicada el 25/11/2022.

OBJETO Y CAMPO DE APLICACIÓN: Establecer los requisitos que deben cumplir los equipos colocados en los sistemas para el tratamiento de aire y que se instalan en los establecimientos para el cuidado de la salud. Los requisitos generales para el tratamiento del aire son los establecidos en la norma IRAM 80400.

IRAM 80401-2 Sistemas para el tratamiento del aire en establecimientos para el cuidado de la salud. Equipamiento. Parte 2 - Requisitos de los conductos. Publicada el 25/11/2022.

OBJETO Y CAMPO DE APLICACIÓN: Esta norma establece los requisitos que deben cumplir los conductos de aire del equipamiento instalado, en los sistemas de tratamiento de aire ubicados en los establecimientos para el cuidado de la salud.

Los requisitos de los equipos y de los componentes se establecen en las partes 1 y 3 de la presente norma, respectivamente.

Los requisitos para el tratamiento del aire son los establecidos en la norma IRAM 80400.

IRAM 80401-3 Sistemas para el tratamiento del aire en establecimientos para el cuidado de la salud. Equipamiento. Parte 3 - Requisitos de los elementos complementarios de los conductos. Publicada el 25/11/2022.

OBJETO Y CAMPO DE APLICACIÓN: Establecer los requisitos que deben cumplir los elementos complementarios de los conductos utilizados en el equipamiento utilizado en los sistemas para el tratamiento de aire en áreas de establecimientos para cuidado de la salud.

Es aplicable a los componentes de distribución de aire (rejas, difusores, dámpers, persianas, dámpers corta fuego, cajas de volumen de aire variable (VAV), cajas de volumen de aire constante (VAC), entre otros.

Los requisitos para el tratamiento del aire son los establecidos en la norma IRAM80400.

IRAM 80401-4 Sistemas de tratamiento del aire en establecimientos para el cuidado de la salud. Equipamiento. Parte 4 - Requisitos de los sistemas de control. Publicada 18/06/2025.

OBJETO Y CAMPO DE APLICACIÓN: 1.1 Esta norma establece los requisitos mínimos de control de los sistemas para el tratamiento del aire en establecimientos para el cuidado de la salud.

1.2 Esta norma establece la metodología para el control o monitoreo de cada uno de los requisitos de regulación

y tolerancias de los distintos requisitos de la IRAM 80400. 1.3 Esta norma no se aplica a los sistemas de redes de gases medicinales, establecidos en la serie de normas IRAM-ISO 7396 - Sistemas de redes de gases medicinales comprimidos y vacío.

NOTA 1. Esta norma está configurada de forma tal que puede resultar compleja para un lector no involucrado en el tema, por lo cual, se ofrece una guía de lectura para su interpretación en el Anexo A.

NOTA 2. Esta norma concentra, ordena y clasifica toda la información necesaria para el control brindando una tabla en el Anexo B (Tabla B.1), complementaria a la Tabla A.1 de la IRAM 80400.

IRAM 80401-5 Sistemas para el tratamiento del aire en establecimientos para el cuidado de la salud. Equipamiento. Parte 5 - Requisitos de los filtros y de las unidades de filtrado. Publicada el 25/11/2022. OBJETO Y CAMPO DE APLICACIÓN:

Establecer los requisitos que deben cumplir los filtros y las unidades de filtrado como componentes del equipamiento utilizado en los sistemas de tratamiento del aire, en sus diferentes etapas, en las áreas para el cuidado de la salud. Se describen los filtros que son utilizados según lo establecido en la IRAM80400. Esta norma se aplica a las nuevas construcciones y/o a las remodelaciones y modificaciones de los servicios en los edificios existentes.

IRAM 80402 Sistemas para el tratamiento del aire en establecimientos para el cuidado de la salud. Requisitos de arquitectura. Publicada el 19/05/2023. OBJETO Y CAMPO DE APLICACIÓN:

Establecer los requisitos que se deben cumplir en el diseño y la construcción de los establecimientos para el cuidado de la salud con el fin de contribuir a garantizar la calidad del aire interior según lo especificado en la IRAM 80400.

Esta norma se aplica a las nuevas construcciones y/o a las remodelaciones y modificaciones de los servicios en los edificios existentes. Dichos requisitos se establecen para las áreas consideradas más relevantes arquitectónicamente en

relación con los requisitos del aire interior, como las que se detallan a continuación:

a) el centro quirúrgico;

b) las unidades de cuidados intensivos: Unidad de Terapia Intensiva (UTI), Unidad de Terapia Intermedia (UTIM), Unidad de Terapia Coronaria (UCO), Unidad de Cuidados Intensivos Neonatales (UCIN) y Unidad de Quemados (UQ);

c) las habitaciones de aislados;

d) las áreas de urgencias y emergencias.

IRAM 80403 Sistemas para el tratamiento del aire en establecimientos para el cuidado de la salud. Requisitos de mantenimiento y operación. En revisión interna de cumplimiento de la IRAM 1. OBJETO Y CAMPO DE APLICACIÓN: 1.1 Establecer los requisitos que se deben cumplir durante la operación y mantenimiento de las partes y componentes de los sistemas de tratamiento de aire ubicados en las áreas consideradas más relevantes desde el punto de vista termomecánico.

1.2 Esta norma se aplica a las nuevas construcciones y/o a las remodelaciones y/o modificaciones de los edificios existentes según lo establecido en la IRAM 80402.

IRAM 80410 Sistemas de tratamiento del aire en establecimientos para el cuidado de la salud. Guía de interrelación para la aplicación de la IRAM 80400, serie 80401, IRAM 80402 e IRAM 80403. En revisión interna de cumplimiento de la IRAM 1. OBJETO Y CAMPO DE APLICACIÓN: 1.1 Establecer una guía sobre la interrelación en la aplicación de las IRAM 80400, serie IRAM 80401, IRAM 80402 e IRAM 80403 en los sistemas de tratamiento de Aire de los establecimientos de salud públicos y privados.

1.2 Establecer en que etapas de vida de un establecimiento se pueden aplicar las IRAM 80400, serie IRAM 80401, IRAM 80402 e IRAM 80403, ya sea en forma conjunta, progresiva o individualizada.

Nota realizada por Mariana Soledad Funes, coordinadora Alimentos y Salud - Dirección Normalización.

CLIMA DE NOTICIAS / 312

Innovación y eficiencia en climatización industrial

En el mundo industrial y comercial actual, la climatización va más allá de mantener una temperatura. Se trata de eficiencia, precisión y soluciones que se adapten a las demandas específicas de cada sector. Daikin Argentina ofrece sistemas de agua avanzados, diseñados con tecnología de vanguardia para garantizar un rendimiento óptimo en todo momento.

Sus soluciones para la industria se distinguen por integrar la tecnología Full Inverter, que asegura una eficiencia incomparable en cualquier nivel de operación. Esto se traduce en menor consumo energético, mayor fiabilidad y un control preciso del sistema, maximizando el rendimiento de los proyectos.

Soluciones clave para la industria

• Chillers: El corazón de la climatización a gran escala

Los chillers son unidades de alta eficiencia, disponibles con compresores scroll, de tornillo y de levitación magnética. Incorporan tecnología Full Inverter, lo que les permite ajustar su capacidad según la demanda real, evitando picos de consumo y

garantizando un funcionamiento estable y económico. Dispone de modelos condensados por aire y por agua, ideales tanto para nuevas instalaciones como para el reemplazo (retrofit) de equipos existentes.

• Unidades de tratamiento de aire (UTA): Aire de calidad para procesos críticos

Especialmente diseñadas para entornos con requisitos de aire exigentes, como la industria farmacéutica, hospitales y otros procesos industriales, las unidades de tratamiento de aire se centran en la innovación, eficiencia y fiabilidad. Son fundamentales para mantener la pureza del aire en salas limpias y cumplen con los más altos estándares internacionales, incluyendo certificaciones Eurovent y AHRI.

• Fan Coils: Flexibilidad y confort para diversos edificios

Estas unidades de ventilación y calefacción ofrecen una excelente relación calidad-precio para proyectos de construcción. Con su diseño ultra compacto que facilita una instalación y mantenimiento rápidos, los Fan Coils de Daikin se adaptan a diversas configuraciones (de techo plano y ocultas) y son

ideales para una amplia gama de edificios, además de ofrecer un amplio rango de capacidades y contrapresiones.

• Sistemas aerotérmicos con bomba de calor (UHA): Producción de agua caliente eficiente

Las bombas de calor de alta eficiencia de Daikin están revolucionando los sistemas aerotérmicos industriales y comerciales. Estas soluciones garantizan máxima fiabilidad y un rendimiento energético superior en la producción de agua caliente, aprovechando la energía del aire para generar calor de manera sostenible y económica.

Compromiso con el rendimiento y la sostenibilidad

La tecnología Daikin para procesos industriales exigentes se enfoca en la alta eficiencia, el bajo consumo energético y la operación silenciosa. Estos pilares aseguran que cada proyecto no solo cumpla con las expectativas de confort, control preciso de humedad y temperatura, y calidad de aire, sino que también contribuya a la sostenibilidad y a la optimización de los costos operativos.

https://daikin-argentina.com/sistemas-de-agua/

CLIMA DE NOTICIAS /

Formación técnica en refrigeración industrial por amoníaco

DH Refrigeración y Red Alimentaria, plataforma con más de dos décadas de trayectoria en la generación y circulación de conocimiento técnico dentro del ecosistema agroalimentario han anunciado el inicio de una colaboración institucional. Esta alianza surge del reconocimiento mutuo de que la formación profesional, el pensamiento crítico y la divulgación técnica rigurosa son pilares fundamentales para el desarrollo sostenible de la industria alimentaria, en especial en lo que refiere al diseño, operación y mantenimiento de instalaciones frigoríficas. En el marco de esta colaboración, Red Alimentaria —bajo la dirección de Dévora Dorensztein, quien ha liderado la plataforma durante más de 27 años impulsando la integración de redes, la profesionalización del sector y la democratización del conocimiento técnico— acompañará la difusión del curso de Refrigeración Industrial por Amoníaco, desarrollado por el Ing. Alejandro d’Huicque, ingeniero con más de 35 años de trayectoria en refrigeración industrial, especializado en sistemas con amoníaco, docente en UTN Buenos Aires, COPIME e IARAA, y reconocido por su labor en formación técnica y asesoramiento a empresas e instituciones de todo el país.

Una herramienta técnica al servicio de la seguridad, la eficiencia y la sostenibilidad

El curso aborda los principios físicos y termodinámicos que rigen el funcionamiento de una planta frigorífica industrial, con énfasis en el uso del amoníaco (NH3) como refrigerante natural, dadas sus propiedades térmicas, su bajo impacto ambiental (cero ODP y cero GWP) y su rol clave en sistemas de refrigeración de alto rendimiento. Se trabaja con una mirada integral que combina

teoría técnica, análisis de casos reales y criterios de diseño operativo. Se brindan herramientas para entender:

• El funcionamiento real de los sistemas de refrigeración por compresión.

• Las configuraciones más utilizadas en plantas frigoríficas industriales.

• Los riesgos asociados al uso del amoníaco, sus mecanismos de control y gestión.

• Las normas de seguridad aplicables a los operarios, técnicos y responsables de mantenimiento.

• Las buenas prácticas para la optimización energética, el cuidado del recurso hídrico y la integridad del sistema.

Esta propuesta formativa no es meramente académica: nace del compromiso por aportar soluciones técnicas reales a problemas reales.

Una alianza para construir conocimiento colectivo

Para DH Refrigeración compartir conocimiento técnico no es una acción unilateral, sino una forma de diálogo con la industria. Por eso, esta colaboración con Red Alimentaria tiene como objetivo no solo llegar a nuevos profesionales y empresas, sino también recibir aportes, generar retroalimentación, y enriquecer el contenido a partir de las experiencias de quienes viven a diario los desafíos del campo frigorífico.

En ese sentido, la alianza contempla también instancias de intercambio profesional, publicación de artículos, participación en jornadas técnicas, y la construcción de una comunidad de aprendizaje vinculada al uso responsable del amoníaco, la seguridad operativa y el desempeño sostenible de las instalaciones frigoríficas.

Soluciones de aire acondicionado aplicado para refrigeración de confort, procesos y salas de servidores

Mitsubishi Electric Hydronics & IT Cooling Systems (MEHITS) es la empresa de Mitsubishi Electric especializada en soluciones de aire acondicionado aplicado para refrigeración de confort, procesos y salas de servidores.

El aire acondicionado aplicado se refiere al negocio de unidades profesionales, personalizadas y fabricadas bajo pedido, que MEHITS diseña y produce según las necesidades específicas de sus clientes.

Su trayectoria de crecimiento se basa en el talento y el éxito de las marcas Climaveneta y RC. Todo comenzó en 1963 con la fundación del Grupo RC, posteriormente con la fundación de Climaveneta en 1971, seguida de la adquisición por parte del Grupo De’Longhi en 1994. La posterior cotización en bolsa de De’Longhi culminó con la adquisición por parte de Mitsubishi Electric en 2015 y la creación de MEHITS en 2017. En abril de 2017, tras la adquisición de Aircalo, se constituyó MAF (MEHITS Aircalo France).

Con sede en Italia, Mitsubishi Electric Hydronics & IT Cooling Systems S.p.A. diseña y fabrica en 14 plantas de producción en Europa, China, Vietnam e India, y distribuye sus productos en todo el mundo.

El distribuidor oficial de los productos MEHITS en Argentina desde el año 1999 es AIR TECHNIK SRL (Cermac).

CLIMA DE NOTICIAS / 312

Calidad ambiental interior: clave para el confort y la productividad

En arquitectura, garantizar una óptima calidad ambiental interior (IEQ, por sus siglas en inglés) es esencial para proteger la salud de los ocupantes, ofrecer confort y potenciar la productividad. A diferencia de una obra de arte, un edificio está pensado para ser habitado, y su calidad ambiental marca la diferencia.

Según ASHRAE, la IEQ se basa en cuatro pilares: confort térmico, iluminación, confort acústico y calidad del aire interior.

Confort térmico

Definido por el estándar ASHRAE 55, depende de múltiples factores: temperatura del aire, movimiento, humedad, temperatura radiante, aislamiento térmico de la ropa y nivel de actividad. La humedad es un aspecto crítico y muchas veces descuidado: niveles muy bajos resecan las mucosas y generan problemas electrostáticos; niveles altos favorecen hongos, bacterias y condensaciones. Mantener un rango adecuado es vital para la salud y para la integridad de materiales e instalaciones.

Iluminación

Las normativas establecen niveles mínimos según el uso del espacio (quirófanos, aulas, oficinas, etc.).

La tendencia actual es maximizar la luz natural para reducir consumo energético y mejorar la experiencia visual. Un buen diseño puede cubrir hasta el 90-95% de las necesidades lumínicas diurnas.

Confort acústico

Se busca minimizar el impacto del ruido aéreo (transmitido por el aire, como conversaciones o música) y del ruido de impactos (vibraciones transmitidas por la estructura, como pisadas o golpes). Ambos pueden coexistir y requieren soluciones específicas, siendo el ruido de impacto el más complejo de aislar.

Calidad del aire interior (IAQ)

Una buena IAQ previene irritaciones, molestias y riesgos para la salud. El diseño de los sistemas de ventilación, según el estándar ASHRAE 62.1, debe asegurar caudales mínimos de aire exterior sin comprometer la eficiencia energética. Esto es aplicable tanto a edificios nuevos como existentes.

Normas clave de ASHRAE

• ASHRAE 55: condiciones térmicas aceptables.

• ASHRAE 62.1: ventilación mínima y calidad del aire.

• ASHRAE 90.1, Sección 9: requisitos de potencia de iluminación interior y exterior.

En SuperControls promovemos el diseño y mantenimiento de espacios saludables, confortables y energéticamente eficientes, alineados con estándares internacionales para maximizar el bienestar de los ocupantes.

Innovación, compromiso y sustentabilidad en Expo Ciudad PyME 2024

Del 7 al 10 de agosto, el Parque Yrigoyen de General San Martín fue el escenario de la Expo Ciudad PyME 2024, un evento que reunió a empresas, emprendedores y profesionales de toda la provincia para compartir experiencias, generar negocios y fortalecer la red productiva local. Entre las PyMEs participantes, Baires Group destacó por su presencia activa, mostrando no solo sus productos, sino también su compromiso con la comunidad y el medio ambiente.

Soluciones industriales de excelencia

Con más de 15 años de trayectoria, Baires Group se consolidó como referente en la fabricación de conductos para aire acondicionado y ventilación, ofreciendo soluciones integrales para empresas constructoras, instaladores HVAC, arquitectos, industrias, bancos y laboratorios.

La empresa fabrica conductos rectangulares, circulares y accesorios a medida, con una capacidad de producción de hasta 120 toneladas mensuales, combinando rapidez, calidad y precisión.,“Nuestro

objetivo es generar un impacto positivo, no solo en la industria, sino también en la comunidad y el entorno que habitamos”, destacan desde Baires Group.

Durante la Expo Ciudad PyME, la compañía:

• Presentó sus soluciones industriales a potenciales clientes y aliados estratégicos.

• Participó en la Red de Mujeres PyME de San Martín, promoviendo diversidad e inclusión.

• Formó parte de la Ronda de Negocios de la Provincia, consolidando vínculos comerciales. El 8 de agosto, Baires Group se sumó a la plantación de árboles en el Parque Yrigoyen, en el marco del programa San Martín Planta, demostrando su compromiso con la sustentabilidad y el cuidado del medio ambiente.

“En Baires Group creemos en la importancia de generar un impacto positivo, no solo en la industria, sino también en el entorno que habitamos. Por eso valoramos enormemente estos espacios que promueven el trabajo en red y el desarrollo sustentable”, destacaron desde la empresa.

CLIMA DE NOTICIAS / 312

La capacitación llega a La Rioja

La Rioja fue incluida en el Programa Federal de Capacitación 2025 «De las Cataratas a los Glaciares». Entre el 28 y 29 de agosto la Asociación Argentina del Frio estuvo presente en esa provincia con un programa de charlas y seminario sobre nuevos refrigerantes A2 y A3, manejo seguro.

PROGRAMA

Jueves 28

• “Nuevos refrigerantes para aire acondicionado”. Ing. Roberto R. Aguiló, miembro de la Asociación Argentina del Frío y ASHRAE D.L.“Selección de válvulas de expansión termostáticas y electrónicas.” Esteban Simonetti, Danfoss S.A.- “Recomendaciones de instalación de Unidades Copeland ZX». Ing. Mariano Silva, Copeland Argentina S.R.L.

• “Utilización y ventajas del remplazo del 141-b”. Ariel Andrés Viola, Refrioil Lubricantes S.A.S.

• “Bombas de Calor”, Lic. Jorge Ramallo, Good Cold S.A.I.C. y A. -“Cálculo de cámaras frigoríficas y selección de evaporadores y condensadores». Hugo Caamaño, Julio Caamaño I.C.S.A.

• “Detección de fallas en equipos de aire acondicionado de 2250 a 6000 kcal/h. Curso On Off e inverter”. Diego D’Agostino, presidente de la Asociación Argentina del Frio.

Viernes 29

• Seminario Nuevis refeigerantes A2 Y A3, manejo seguro. Ing. Roberto R. Aguiló / Diego D’Agostino.

TEMARIO: Refrigerantes. Refrigerantes A2L y A3. Empleo y manejo de refrigerantes R32. Trabajos de instalación y mantenimiento.

Seminario intensivo sobre proyectos de energías renovables

Las energías renovables, en particular la energía eólica y la energía solar, tienen una contribución cada vez más relevante en la generación eléctrica de los países en todo el mundo; las nuevas inversiones en capacidad de generación renovable superan desde hace años las inversiones en capacidad de generación tradicional

A su vez, la energía eléctrica generada a partir de energías renovables se está consolidando cómo un vector del abastecimiento energético para todas las industrias, incluso aquellas que tradicionalmente han dependido de las energías fósiles.

En Argentina, la ley 27.191 ha impulsado un desarrollo sectorial muy importante, facilitando la realización de proyectos de generación en toda la cadena de valor. El MATER, el Mercado a Término de Energía Eléctrica de Fuente Renovable constituye la oportunidad para Grandes Usuarios con una demanda mayor a 300 kW de abastecerse total o parcialmente con energía eólica, solar fotovoltaica o de otras fuentes renovables, y de esta manera fomentar su triple cuenta de resultados. El MATER es un mercado eficiente, formado entre los principales generadores del país y usuarios de diversos rubros y volúmenes de demanda.

Este seminario tiene como objetivo desarrollar estrategias de negocio que le faciliten al participante implementar su propio proyecto en la Argentina. El seminario está dirigido al nivel gerencial del sector de energías y líderes de proyecto, que deseen desarrollar sus capacidades de dirección de proyectos de energías renovables y a profesionales de sectores financieros,

legales, ingeniería, y consultores, que precisen especializarse en el sector de energías renovables.

• 2da edición 2025: 9, 10, 16, 17, 23 y 24 de octubre

• Cursada: 6 encuentros, dos veces por semana, 4hs por encuentro.

• Modalidad: Híbrido

Hydrogen Night - 5to Foro Hidrógeno

El 30 de octubre de 18:30 a 22 en la Sala Legamaster

AHK Argentina se realizará la Hydrogen Night, quinta edición Foro Hidrógeno de la AHK: un encuentro entre actores claves del sector de hidrógeno en Argentina y Alemania para celebrar los avances y a la vez reflexionar sobre los desafíos en la economía del hidrógeno.

Con mensajes de las principales empresas alemanas y europeas presentes en el país, esta “gala del hidrógeno” será una oportunidad para posicionar al hidrógeno como el vector de la Argentina del futuro y el medio para la cooperación internacional.

• Valor de la entrada socios: $85.000 (incluye cocktail).

• Valor de la entrada general: $110.000 (incluye cocktail).

• Código de vestimenta: Elegante Sport - Elegante.

Innovación, tecnología y diseño en un solo producto

Bosch, marca líder en soluciones para el hogar, lanzó su nuevo horno, una innovación que promete transformar la cocina integrando funciones únicas y un diseño elegante. Se trata del primero de la línea de productos Serie 8, la más tecnológica de la compañía, que también incluirá una cafetera, un microondas y un lavavajillas que saldrán a lo largo del año.

Este nuevo modelo incorpora capacidades avanzadas que antes requerían varios electrodomésticos, como cocción al vapor, airfryer, Perfect Roast, Perfect Bake, y un recetario propio, todo en un solo producto que combina precisión, eficiencia y diseño.

Una de sus novedades más originales es que incorpora la función Airfry. Esta tecnología permite cocinar en el horno con aire caliente, logrando preparaciones crocantes por fuera y suaves por dentro, usando cantidades mínimas de aceite. Es una manera mucho más sana y limpia de cocinar: no se siente olor a fritura en el ambiente, no quedan residuos, y no se necesita ningún dispositivo extra. Un dato clave es que también

puede utilizarse para preparar platos a la parrilla. En lo que respecta al display, el horno viene con pantalla táctil TFT, que permite una navegación más clara e intuitiva: TFT Touch Display Pro (160 x 70 mm).

Por último, otro de los atributos de este nuevo electrodoméstico es la función Vapor, que brinda la posibilidad de cocinar de una manera saludable. Como resultado, se obtiene una cocción pareja, conservando los nutrientes y realzando los sabores naturales de los alimentos. Se trata de una cocción baja en grasas que permite colocar varios ingredientes al mismo tiempo sin alterar su gusto, pudiendo llevar adelante la elaboración de un menú completo. Asimismo, permite elegir entre tres niveles de intensidad de vapor y seis modos diferentes de cocción, adaptando la preparación a todo tipo de recetas. Cuenta, además, con el diferencial de tener un depósito de agua de 1 litro de fácil acceso, ya que está ubicado detrás de un panel elevable de apertura semi-automática, ganando capacidad en el horno sin la necesidad de detener la cocción para rellenar el depósito.

Con el lanzamiento del horno Serie 8, Bosch reafirma su compromiso con la innovación, la calidad y el diseño en cada uno de sus productos. Este nuevo modelo no solo optimiza el tiempo en la cocina, sino que eleva la experiencia gastronómica del hogar, consolidando a la marca como referente en tecnología aplicada al bienestar cotidiano.

Soluciones climáticas sostenibles en FEBRAVA 2025

Copeland, proveedor global de soluciones climáticas sostenibles, participará en la FEBRAVA 2025, feria líder en HVAC-R de América Latina, que se llevará a cabo del 9 al 12 de septiembre en el São Paulo Expo - Brasil. La empresa presentará sus últimas innovaciones en soluciones climáticas sostenibles, reforzando su compromiso con un futuro sostenible.

Se espera que la industria de HVACR en Brasil debería alcanzar aproximadamente R$ 54 mil millones en 2025, de acuerdo con proyecciones de la Asociación Brasileña de Refrigeración, Aire Acondicionado, Ventilación y Calefacción – ABRAVA.

La presencia de Copeland en FEBRAVA 2025 demostrará cómo su enfoque en la innovación ofrece soluciones que responden a los retos críticos una industria en crecimiento, incluyendo la reducción de emisiones de carbono a través de la transición energética, la protección de productos criticos a través de la cadena de frío y la transición a refrigerantes naturales y con bajo potencial de calentamiento global (GWP).

Entre las innovaciones clave se presentarán:

• Unidades condensadoras para exteriores Copeland ZX y ZXV: diseñadas para aplicaciones de temperatura media y baja, estas unidades ofrecen una eficiencia y durabilidad excepcionales. La línea incluye modelos con modulación digital (ZXD) y capacidad de velocidad variable (ZXV) alimentados por variadores de frecuencia, lo que proporciona una mayor flexibilidad operativa.

• Compresores scroll Copeland: optimizados para su uso con refrigerantes naturales y de bajo GWP, incluidos R-290, A2L y CO2 en aplicaciones de refrigeración, calefacción y refrigeración a baja, media y alta temperatura.

• Variadores de frecuencia Copeland EVM: variadores de frecuencia de alta eficiencia diseñados para entornos comerciales, que ofrecen una flexibilidad excepcional en una amplia gama de condiciones de temperatura.

• Sistema de monitorización remota Copeland XWEB: una plataforma digital avanzada para gestionar la refri-

geración, el aire acondicionado y los servicios públicos. Desarrollada específicamente para operaciones de venta minorista y servicios alimentarios, garantiza una mayor precisión, visibilidad en tiempo real y un riesgo operativo reducido. El sistema se complementa con los controladores XER, que ofrecen un control y una fiabilidad líderes en el sector para aplicaciones en cámaras frigoríficas.

• Centrífuga sin aceite Copeland con tecnología de cojinete Aero-liftTM: Un sistema de compresión sin fricción que elimina la necesidad de aceite lubricante y ofrece un rendimiento eficiente, robusto y fiable en aplicaciones de enfriadores refrigerados por aire o agua. El compresor centrífugo sin aceite es una de las nueve tecnologías de Copeland reconocidas con el Premio Sello de Innovación FEBRAVA 2025. Estas soluciones pioneras fueron diseñadas con un enfoque principal en la sostenibilidad y estarán en exhibición en el stand de Copeland. Copeland también realizará una conferencia de prensa, liderada por Daniel Rohe, gerente general de Sudamérica; Fernando Llopart, vicepresidente de América Latina; Joana Canozzi, directora de servicios de ingeniería Sudamérica; y André Stoqui, director de negocios Sudamérica. Ellos ofrecerán insights estratégicos sobre el enfoque de Copeland para el desarrollo de soluciones innovadoras que enfrentan los desafíos ambientales más críticos de la actualidad.

Fecha: 9 de septiembre 14:30 (hora de Brasilia)

Local: Sala Stand ABRAVA nº G09 - São Paulo Expo

75º años de la Industria

Petroquímica en Argentina: motor de desarrollo, compromiso y valor agregado para la sociedad y el país

En un contexto de acelerada innovación tecnológica y compromiso creciente con la sostenibilidad, la celebración del 75º Aniversario de la Industria Petroquímica en Argentina reafirma el rol estratégico que la cadena de valor del sector ha tenido en el desarrollo económico, la generación de empleo y la mejora de la calidad de vida de la sociedad. Desde el 26 de agosto de 1950, fecha en la que se inauguró en Campana (Provincia de Buenos Aires) la primera planta petroquímica de América Latina para la producción de tolueno sintético, la industria ha evolucionado hasta convertirse en un motor clave para la transformación de los recursos naturales en productos esenciales para el día a día. En referencia a este importante aniversario, el Ing. Jorge de Zavaleta, director ejecutivo de la Cámara de la Industria Química y Petroquímica (CIQyP®), enfatizó que “hoy celebramos no solo un aniversario, sino 75 años de transformación continua. Nuestra cadena de valor ha impulsado el desarrollo industrial, tecnológico y económico de Argentina. El desarrollo de los recursos de Vaca Muerta y la consolidación de un marco regulatorio como el RIGI representan una oportunidad única para la

próxima década. Nuestra industria está lista para liderar una nueva etapa de expansión sostenible, con innovación, eficiencia y compromiso ambiental como ejes estratégicos”.

Un sector con potencial de crecimiento

El desarrollo de Vaca Muerta y la expansión de la infraestructura de transporte de gas natural abren una oportunidad histórica para incrementar la producción y exportación de insumos petroquímicos, agregando valor y generando divisas para el país. El desafío está en acompañar este potencial con un marco regulatorio claro y estable, e inversiones sostenidas en tecnología e innovación. En este sentido, Vaca Muerta representa una verdadera bisagra para la industria petroquímica nacional. Sus enormes reservas de gas natural no convencional ofrecen una base competitiva para ampliar la disponibilidad gas natural y sus componentes ricos, claves para la producción de fertilizantes, plásticos y derivados. Aprovechar este recurso permitirá consolidar la “quinta ola” de desarrollo petroquímico en Argentina, generando empleo, exportaciones y un salto cualitativo en la industrialización del país.

Soluciones de ventilación avanzadas para la nueva era de la vivienda industrializada

La industrialización no solo permite acelerar los procesos constructivos, sino que también aporta ventajas clave como menor impacto ambiental, mejores condiciones laborales, mayor seguridad en la ejecución y una mayor personalización de las viviendas. En línea con este modelo de edificación eficiente, SODECA ha desarrollado soluciones de ventilación específicas tipo Plug and Play, ideales para integrarse en proyectos de vivienda industrializada. Estas soluciones están diseñadas para adaptarse a los reducidos tiempos de instalación y a los altos estándares de calidad que exige este tipo de construcción.

Uno de los elementos clave son los sistemas de ventilación mecánica controlada (VMC) con recuperación de calor, que no solo garantizan una excelente calidad del aire interior, sino que también contribuyen al ahorro energético. Entre ellos destaca el AIRHOME de SODECA, compuesto por tres kits que se ajustan al tamaño de la vivienda:

• KIT-AIRHOME-2H/1B: Para viviendas con dos habitaciones y un baño.

• KIT-AIRHOME-3H/2B: Para viviendas con tres habitaciones y dos baños.

• KIT-AIRHOME-4H/2B: Para viviendas más amplias con cuatro habitaciones y dos baños. Estos equipos se integran fácilmente en módulos pre-

fabricados, funcionan de forma silenciosa y cumplen con el Código Técnico de la Edificación (CTE). Además, permiten una renovación constante del aire, eliminan partículas, humedad y malos olores, y recuperan hasta el 90% del calor del aire extraído, reduciendo así la necesidad de calefacción o refrigeración.

El AIRHOME-150 de SODECA ha sido certificado por el Passivhaus Institut, cumpliendo los requisitos más exigentes de eficiencia energética y sostenibilidad a nivel internacional.

Con estas innovadoras soluciones, SODECA reafirma su compromiso con la construcción sostenible y eficiente, y se posiciona como un aliado clave en la transformación del sector residencial. La experiencia de la empresa en ventilación industrial, evacuación de humos, presurización de escaleras y ventilación de túneles respalda su capacidad para responder a los nuevos desafíos de la edificación modular.

CON AIRES DE ACTUALIDAD / 312

¿Este libro lo leería un hombre? Es una pregunta que me desconcierta. Nunca me he planteado la lectura según el género lector. Inclusive desconfío un poco de la segmentación por edades, que se parece más a la censura que a la Literatura. En los talleres nunca pienso si se trata de mujeres u hombres los destinatarios de mis elecciones lectoras. Es cierto que mis compañeros lectores son en su mayoría mujeres. Ahí también parece haber una cuestión de género. A las mujeres se les “perdona” que pierdan tiempo leyendo, los hombres se supone que están para cosas más serias que para juntarse a hablar de libros. Será que leer tiene casi tantas “e” como entretener entonces suponemos que es una pérdida de valioso tiempo.

Pero volviendo a la sexualidad lectora. Si pienso en mi propio recorrido, les aseguro que no tuve problemas en identificarme con Sandokan o con Miguel Strogoff del “El correo del Zar” (aunque debo reconocer que también me enamoré perdidamente de él). Obviamente me puso feliz descubrir que Salgari, además de un corsario negro, dio a luz a “Yolanda, la hija del corsario negro”. Por otra parte, siempre me he sentido más cerca de Quijote que de Dulcinea, aunque me encantaría ser la Maga de Rayuela y no podría elegir entre el orgullo y el perjuicio, acepto la piel tanto del orgulloso Señor Darcy como de la prejuiciosa Elizabeth Bennet. Todas han sido buenas vestiduras para escapar de una época en que los chicos iban a taller de carpintería y las niñas modositas debíamos aprobar Puericultura e higiene o “tejer un inocente calcetín (parafraseando a Roberto Arlt) en el aula de actividades prácticas. Por si no lo saben, Puericultura viene del latín puer = niño, es decir que a la edad de 17 años nos graduábamos en pañales y papillas para la primera infancia. Será por eso que me desilusiona la auto ficción, no me gusta compartir la encarnadura del protagonista, con nadie, mucho menos con el fantasma que se esconde en su alma. Creo que el tema no da para mucho o, más bien, prefiero creer que los lectores (así con “e”) son gente audaz, que sin importar su género no sienten vergüenza por sufrir como Jane Eyre ni temen de desenvainar la espada en una oscura calleja de Madrid a la par del Capitán Alatriste.

Más allá de disquisiciones de género que solo crearían controversia, prefiero detenerme en el acto de leer. Los profesores universitarios nos dicen que los estudiantes ya no pueden leer libros completos, que a los padres de la generación Z no les gusta leerles a sus hijos, que los teléfonos inteligentes arruinaron nuestra capacidad de concentrarnos en algo que dure más de 30 segundos, y que la basura de la IA dominará el sector editorial. Yo lo que más escucho es “No tengo tiempo” de los labios de la mayoría. Se justifican con gesto de persona ocupada, como si las estadísticas que dicen que hemos pasado unas seis horas y 40 minutos diarios en internet en el tercer trimestre de 2023, sea en la computadora, un smartphone u otro dispositivo no tuviera que ver con ellos. A renglón seguido esas mismas ocupadísimas personas suelen brindarme sus nutridas sugerencias en miniseries, películas o biopics. Si lo pensamos mejor, para el acto de leer no basta el libro (o ebook) y un lector con tiempo disponible, el lugar no es un tema menor. Yo reconozco que leo en cualquier parte, inclusive en una colchoneta inflable en la piscina (los libros debieran ser impermeables como esos con los que nuestros hijos jugaban en la bañera cuando eran bebés) o en la camilla de la depiladora o mientras camino por la calle (esto no lo recomiendo, resulta peligroso). Pero el espacio que más aprovecho es el transporte público. No tener auto puede ser de gran ayuda al momento de alimentar el hábito lector. Sé que existen los audiolibros, a mí no me resultan. Un colectivo o el subte son incubadoras de casi tantos lectores como de profesionales de la siesta, artistas al paso, picaflores atrevidos y hasta amigos de lo ajeno. Leer en el transporte público es una actividad llena de detalles insospechados para quienes no la practican. Algunas personas no pueden hacerlo, porque se marean. A veces son las propias condiciones del transporte las que lo impiden, es imposible hacerlo en hora pico. Pero cuando se puede, un libro da vida a los tiempos muertos que representan los viajes. Yo, sinceramente, tengo auto, pero antes de luchar horas en el tránsito, prefiero que me lleven y me dejen viajar en paz por las páginas de mi novela pendiente. Hay quienes han desarrollado un talento artístico en esto de leer en transporte público y son capaces de leer parados, o de leer de ojito el libro de un compañero de viaje. En otro ámbito público, siempre recuerdo a mi mamá: cuando éra-

mos chicos, solía leer por partes las novelas que se ofrecían en la línea de cajas del supermercado, cada vez que iba de compras se leía un par de capítulos.

Actualmente solo quedan golosinas para alimentar ese tiempo muerto de compras. En cambio, cada tanto surge una iniciativa lectora para el transporte. Hace uno años se publicó una colección de cuentos de grandes autores titulada “Cuentos para leer en el colectivo”, una selección impecable, con la extensión justa para leerla en un viaje regular. Y hoy, aunque no lo parezca, hay todavía fanáticos defensores de este acto; por ejemplo, el sábado 23 de agosto, el subte de la Línea D ofreció a los lectores un espacio especial. La iniciativa, bautizada Vagón de lectores, busca convertir al transporte público en un escenario cultural donde los pasajeros puedan leer, intercambiar libros y compartir su pasión por la literatura.

Claro que siempre existe un mala onda descreído de las buenas intenciones. Ahora hay quienes dicen que hay una nueva moda: la “performative reading,” así en inglés para darle más soporte. Es decir que ,en lugar del acto de leer, estaríamos hablando de leer como actuación, como puesta en escena. La gente ha comenzado a simular leer en el transporte público y no una novelita rosa, si no uno de esos clásicos que solo acarrearlos en la cartera podría herniarnos con sus más de 500 páginas. La idea es que los demás sepan que uno está leyendo, que es lo suficientemente inteligente para hacerlo. Por supuesto que quienes analizan estas tendencias ya han encontrado al culpable de siempre: la pandemia que produjeron un boom

de clubes de lectura liderados por famosos (Dua Lipa es un buen ejemplo), que convirtieron los libros en accesorios y tendencias.

Y debe ser cierto el atractivo de este accesorio editorial porque ya hay quienes localizan a personas con gustos de lectura similares o que hayan leído el mismo libro recientemente y generan eventos temáticos en torno a esos intereses… o sea, una especie de Tinder lector.

Es decir que, para colmo que no leemos, podemos desarrollar un “exhibicionismo lector”. No se preocupen, según la IA, no corresponde a una parafilia o trastorno clínico reconocido; Es simplemente el acto de mostrar o compartir públicamente la lectura de ciertos libros o temas para llamar la atención o expresar una postura, diferenciándose del exhibicionismo sexual, que implica exponer el cuerpo para obtener gratificación sexual. Ya sé, les parece excesivo pero hasta existe el término “sapiosexualidad” que vendría a ser una orientación sexual en la que el rasgo principal que produce atracción de una persona es su inteligencia y la conexión intelectual que se tenga. De este modo, para la persona que siente deseo, el género o sexo de la otra persona no es relevante… ¡Tanto escribir para volver a hablar de género!

Los dejo, tengo un viaje a Barcelona en el 60 Ramal Escobar; conduce Carmen Laforet. Para más detalles, les recomiendo su novela Nada, breve, ideal para un par de viajes.

Gabriela M. Fernández

HVAC REVERSIBLE. Enfría, calefacciona y deshumidifica. Controla temperatura y humedad. Reduce el consumo de energía 50% con desecante líquido de alta eficiencia. Ideal para viviendas multifamiliares, hotelería, hospitales, educación, supermercados, piscinas, supermercados, fábricas, industrias, centros de datos, aeropuertos, agricultura interior, etc. Solución de descarbonización todo el año. Permite eliminar las emisiones de combustibles fósiles en invierno con su bomba de calor y refrigeración reversible. Sistema de compresión de vapor para gestión de temperatura. Función independiente de sistemas, controla con precisión el punto de rocío y del bulbo seco para ahorro energético y potente deshumidificación. Aprovecha el poder natural de absorción de humedad de los desecantes líquidos para gestionar más eficiente las cargas latentes. Utiliza menos energía: la bobina DX elimina la humedad profunda aguas abajo. Calificación ISMRE2 hasta 11 libras/kWh. El doble de eficiente que los sistemas al aire libre. Arctidry al eliminar la humedad es un DOAS y deshumidificador que administra aire en puntos de rocío bajos (35 °F a 55 °F). Control independiente de temperatura y humedad sin recalentamiento. Fácil de instalar y mantener. El desecante dura toda la vida útil de la unidad. Alta ventilación. Alta latencia interna. Control preciso. www.mojavehvac.com

ENFRIADOR POR AIRE PARA BATERÍAS.

Para enfriar baterías refrigeradas por líquido en sistemas modulares de almacenamiento de energía. 25.500 BTUH. Monofásico. 220 V. 50/60 Hz. Calentador integrado que también calienta las baterías en climas fríos. El enfriador viene con un tanque de 40 litros y una bomba de velocidad constante. Fácil mantenimiento: medidores de presión alta y baja del refrigerante, presión de descarga de la bomba y nivel de líquido refrigerante. El perno de ojo M12 permite una fácil instalación o desinstalación. Certificaciones ETL y CE. Eficiencia energética: un compresor de velocidad variable ofrece la máxima eficiencia, adaptando la carga directamente a la capacidad del compresor. Adaptación de la carga: con un compresor de velocidad variable la capacidad es igual a la carga de refrigeración, lo que reduce considerablemente los ciclos del compresor. Control preciso de la temperatura. Interfaz fácil de usar: la pantalla LCD integrada permite un funcionamiento cómodo. Respetuoso con el medio ambiente: refrigerante R-410A. Bajo nivel de ruido. Mínima entrada de polvo: diseño de gabinete IP55. www.acice.com

VENTILADOR CENTRÍFUGO DE EXTRACCIÓN. Ideal para laboratorios y aplicaciones industriales ligeras en las que es necesario eliminar los olores y contaminantes lejos de las entradas. Carcasa soldada con tapa de bordillo y caja de entrada de baja pérdida. Boquilla de descarga optimizada para requisitos específicos de velocidad de salida. Disponible con chimenea efectiva opcional de 3 metros. Centrífuga con rueda totalmente soldada disponible en diseño aerodinámico o inclinado hacia atrás. Orejetas de elevación. Montaje en bordillo con caja de entrada de baja pérdida con acceso. Campo de boquillas ajustable a los requisitos de velocidad de salida. Extensión de descarga opcional con una velocidad nominal de 125 MPH sin cables de sujeción. Acabado: polvo epoxi fenólico con capa superior UV. Ventilador tipo fan. Impulsor centrífugo. Rodamientos fundidos reengrasables: L-50, más de 200 000 horas. Montaje en techo (en bordillo). Transmisión por correa. Motor: CA. Clase: 1,2. Temperatura máxima de funcionamiento 180 °F. Temperatura máxima de funcionamiento (construcción alternativa): 500 °F. Control de velocidad: VFD, SimpliDrive. Flujo: Escape. www.lorencook.com

DISPOSITIVO PORTÁTIL PARA FILTRACIÓN DE AIRE.

Alta eficiencia (HEPA). Autónomo, pequeño y de bajo costo. Extracción parcial o completa para crear una sala de aislamiento con presión negativa para pacientes con tuberculosis, SARS u otras enfermedades infecciosas. Cumple con las directrices de la OSHA y los CDC sobre tuberculosis. Para clínicas, salas de espera, urgencias de hospitales, áreas confinadas, etc. Se puede utilizar como sistema de recirculación de aire limpio con presión positiva. El motor/soplador suministra desde 560 CFM (951 m3/h) hasta 800 CFM (1359 m3/h) para 24 renovaciones de aire por hora. El filtro HEPA limpia el 99,99 % de las partículas de hasta 0,3 micras del aire y puede expulsarlo al exterior a través de una ventana o de una pared conectando un conducto flexible al collarín de 152 mm en la parte superior del aparato. El filtro tiene 20,4 metros cuadrados de materia filtrante para prolongar su vida útil. Reducción de costos y menos cambios de filtro. Equipado con luz UV-C que destruye virus, moho y bacterias. Con la filtración HEPA y con la luz UV-C, logra una filtración óptima del aire. Unidad de presión negativa o sistema dividido. Flujo de aire ajustable en 3 velocidades. Funcionamiento silencios. Prefiltro de fácil acceso. www.envirco-hvac.com

LA PUBLICACIÓN AQUÍ ES GRATUITA. Si tiene un producto innovador, envíe una descripción (máximo: mil docientos caracteres), su dirección web y una fotografía a: juanriera@revistaclima.com.ar y lo incluiremos en próximas ediciones. ¡No se pierda la oportunidad de llegar a sus clientes!

CONSULTORES / 312

ECHEVARRIA-ROMANO ESTUDIO

Asesores en instalaciones de aire acondicionado, calefacción, ventilación y controles. Miembros de la Asociación Argentina del Frío y de la American Society of Heating, Refrigerating and Air-Conditioning Engineers (ASHRAE). www.aiset.com

estudio@echevarriaromano.com.ar Arenales 3069 4º Piso Dpto. “B” C1425BEK, CABA, Argentina.

Tel: (54 11) 4824-4222 / 4827-2638

ASESORAMIENTO, PROYECTOS, DIRECCIÓN,

AUDITORÍAS DE INSTALACIONES TERMOMECÁNICAS

Aire Acondicionado Central, Calefacción Central, Sistemas de Ventilación, Sistema de Filtrado de Aire, Building Management System.

www.gnba.com.ar info@gnba.com.ar

San Martín 1009 Piso 5º A C1004AAU, CABA, Argentina

Tel: (54 11) 5238-1072

ING. RICARDO BEZPROZVANOY

Past Presidente del Capítulo Argentino de Ashrae. Asesor en equipamiento de instalaciones de HVAC, eficiencia energética y ejecución de proyectos.

rbezpro@gmail.com

Piñeiro 358 (B1824NTC)

Lanús, Provincia de Buenos Aires, argentina Tels: (011) 4241-1095 / (54911) 4491 3232

ARMANDO CHAMORRO INGENIERO INDUSTRIAL

Especialista en sustentabilidad edilicia, laboratorio para análisis de calidad de aire interior y validaciones, estudios de eficiencia energética, Certificación LEED AP, auditorias de Commissioning. Ejecución de proyectos. Miembro del Capítulo de ASHRAE Argentina

www.cihsoluciones.com achamorro@cihenvironmental.com

Juramento 4137

C1430BSQ - CABA, Argentina

Tel: (54-11) 4542-3343

Ingeniero

Invitamos a las empresas y profesionales a ser incluidos en esta sección gratuita. Solicite información a: aguerisoli@revistaclima.com.ar

MPH & H INGENIEROS CONSULTORES

Asesores en instalaciones de acondicionamiento de aire, calefacción y ventilación mecánica. Asesores en eficiencia energética y calidad del aire interior en proyectos para certificación LEED. Miembros de la Asociación Argentina del Frío - AAF y de la American Society of Heating, Refrigerating and Air Conditioning Engineers - ASHRAE. Asociada Paula Andrea Hernández LEED AP BD+C. mphingenieria@fibertel.com.ar Av. Montes de Oca 1103 - 5º Piso - Dpto D (1270) CABA Argentina. Tels (54-11) 4302-9561 / (54 11) 4303-3481

ING. RAFAEL SÁNCHEZ QUINTANA PROYECTOS ACÚSTICOS

Dirección de Obra. Especialista en Acústica en salas, teatros, hoteles, edificios. Medición de nivel sonoro. Verificación acústica del sistema HVAC. Tratamiento acústico para reducción del ruido de generadores de potencia. Responsable Comisión de Acústica del IRAM. rsqacustica@gmail.com Tucumán 1687 3° Piso Dpto. “D” (C1005AAG), CABA-R, Argentina Tel. (54-11) 4371-3354

ASESORES Y DISEÑADORES DE INSTALACIONES

HVAC Y SERVICIOS MEP PARA LA INDUSTRIA

Intervenimos en todo el ciclo de vida del proyecto, desde el diseño conceptual, la ingeniería, la adquisición, hasta la construcción.

www.azzamura.com info@azzamura.com

Moreno 330. (B1642BOL) San Isidro Buenos Aires - Argentina

Tel. +54 11 4743 1479

GF / ESTUDIO GRINBERG INGENIEROS CONSULTORES

Asesoramiento en instalaciones termomecánicas. Ejecución de proyectos. Dirección de obras. Auditorias técnicas y sistemas de controles. Green buildings.

www.estudio-grinberg.com.ar estudio@estudio-grinberg.com.ar Tte. Gral. J. D. Perón 1730, P12, Of.31 (C1037ACH), Buenos Aires, Argentina

Tel: (54 11) 4374-8385 / 4373-3486

CONSULTORES / 312

Invitamos a las empresas y profesionales a ser incluidos en esta sección gratuita. Solicite información a: aguerisoli@revistaclima.com.ar

ING. JOSÉ MARÍA ALFONSÍN

Proyecto y dirección técnica de instalaciones termomecánicas. Locales gastronómicos. Asesoramiento en eficiencia energética. Miembro de ASHRAE y AGBC. www.ing-alfonsin.com.ar jmalfonsin66@gmail.com

Uribelarrea 442 P1 Olivos (1636) (+54 911) 6094 0577

LEEB INGENIERÍA DE MÉTODOS

Proyectos termomecánicos a medida. Pequeña y mediana empresa. Climatización VRV. Ampliaciones. Mejoras. Ventilaciones industriales. Presurización de escaleras. Normas de edificación.

JAVIER F. LEEB

Maipú 827, PB, CABA Cel / WhatsApp: 11-5514-0074

Linkedín: /javier-francisco-leeb Mail: jfleeb_2000@yahoo.com.ar

INGENIERO JULIO BLASCO DIEZ

Consultoría en Instalaciones Termomecánicas. Proyectos y Dirección de Obra. Blasco10@gmail.com

Calle 53 Nº 411 esq 5

Villa Elisa - La Plata

Tel. Cel. (54 9 221) 655 7724 (54 9 221) 655 7923

ARQUITECTO GUSTAVO ANÍBAL BATTAGLIA

Estudio, diseño y dirección de obras en Instalaciones termomecánicas adaptadas a las necesidades estéticas y funcionales del proyecto de arquitectura y la obra civil. Asesoramiento en optimización energética del edificio y en sistemas de climatización. Miembro de la American Society of Heating, Refrigerating and Air-Conditioning Engineers (ASHRAE). arq.battaglia@gmail.com

Acoyte 790 5º piso

C1405BGS - CABA, Argentina

Tel: (54-11) 4982-2104 Cel: 54 9 11 5060 4150

ARQUITECTO GUSTAVO ANIBAL BATTAGLIA

INTER - ARQ. CONSULTORES EN HVAC CONSULTOR EN INSTALACIONES DE TERMOMECANICA. DESARROLLO DE INGENIERÍAS PARA LA ARQUITECTURA.

INGENIERO JULIO BLASCO DIEZ

STAFF

DIRECCIÓN COMERCIAL

Juan J. Riera

juanriera@revistaclima.com.ar

DIRECCIÓN EDITORIAL

Gabriela M. Fernández admin@revistaclima.com.ar

PUBLICIDAD

juanriera@revistaclima.com.ar Cel/Wsp +54 9 11 4143-7743 1carlos.alejandro@gmail.com Cel/Wsp +54 9 11 3598-3254 aguerisoli@revistaclima.com.ar aguerisoli1950@gmail.com Cel/Wsp +54 9 11 4143 7743 www.revistaclima.com.ar facebook.com/revista.clima.digital linkedin.com/in/revistaclimadigital

Registro de la Propiedad Intelectual Nº 124.121 Premio “A.P.T.A. - F. Antonio Rizzutto” en categoría “Revistas Técnicas”, 1985.

Publicación especializada en aire acondicionado, calefacción, refrigeración y ventilación. Preservación del medio ambiente.

Sustentabilidad en la Arquitectura y en los sistemas de confort e industriales. Promoción de las energías alternativas.

Auspiciada por el Capítulo ASHRAE de Argentina y la Cámara Argentina de Calefacción, Aire Acondicionado y Ventilación y la adhesión de la Asociación Argentina del Frío y la Cámara Argentina de Industrias de Refrigeración y Aire Acondicionado (CAIRAA)

SUSCRIPCIONES: 6 Ediciones digitales anuales: $33.150.- pesos argentinos (IVA 10.5% incluido).

Revista Clima no se hace responsable de las opiniones vertidas en los artículos firmados, que expresan exclusivamente el criterio de los autores, ni de los contenidos de los avisos publicitarios que se incluyen en la presente edición.

ANUNCIANTES

䄀 椀 爀 攀 愀 挀 漀 渀 搀 椀 挀 椀 漀 渀 愀 搀 漀 ⸀ 刀 攀 昀 爀 椀 最 攀 爀 愀 挀 椀  渀 ⸀ 䌀 愀 氀 攀 昀 愀 挀 挀 椀  渀 ⸀ 嘀攀 渀 琀 椀 氀 愀 挀 椀  渀 礀 洀 愀 渀 攀 樀 漀 搀 攀 愀 椀 爀 攀 ⸀ 䴀 攀 搀 椀 漀 愀 洀 戀 椀 攀 渀 琀 攀 ⸀ 䔀 渀 攀 爀 最  愀 猀 猀 甀 猀 琀 攀 渀 琀 愀 戀 氀 攀 猀 ⸀ 䌀 愀 氀 攀 渀 琀 愀 洀 椀 攀 渀 琀 漀 最 氀 漀 戀 愀 氀 ⸀ 䔀 挀 漀 氀 漀 最  愀 ⸀ 䄀 爀 焀 甀 椀 琀 攀 挀 琀 甀 爀 愀 ⸀ 吀攀 爀 洀 漀 愀 挀 切 猀 琀 椀 挀 愀 ⸀ 䌀 愀 瀀  琀 甀 氀 漀 䄀 猀 栀 爀 愀 攀 ⸀ 䌀 漀 洀 攀 爀 挀 椀 漀 攀 砀 琀 攀 爀 椀 漀 爀⸀ 䔀 洀 瀀 爀

渀 ⸀ 倀 爀 漀 搀 甀 挀 琀 漀 猀 ⸀ 伀 瀀 椀 渀 椀  渀 ⸀ 吀攀

Turn static files into dynamic content formats.

Create a flipbook
Issuu converts static files into: digital portfolios, online yearbooks, online catalogs, digital photo albums and more. Sign up and create your flipbook.