WIRE FRAUD ALERT THINK DIFFERENTLY
Email-based, real estate fraud schemes are on the rise. One common scenario is altering wiring instructions with the intention of rerouting funds.
Keeping this in mind, First American Title is changing the way we receive payment information. It is imperative that we are familiar with the people in our transactions.
RELYING ON EMAIL ALONE IS NO LONGER AN OPTION.
Fraudsters often use email to send falsified wire instructions to unsuspecting victims. Please warn your buyers and sellers to only follow wire instructions they receive personally from First American Title.
Additionally, we will not accept disbursement instructions for seller or buyer funds via email OR from any third party (attorney, real estate agent, etc).
ALTERNATIVE INSTRUCTIONS?
If your buyer or seller receives alternative wiring instructions that appear to be from First American Title, make sure they contact their escrow officer at a trusted phone number for confirmation.
Know that our wiring instructions do not change so any communication is suspect. Our banking institution is First American Trust.
IN SHORT – wire instructions will not be accepted by email. New wire instructions must be hand-carried or uploaded to the First American Secure Portal.
Thank you for joining First American Title in fostering a secure real estate transaction process. Have questions or concerns? Please contact our office or your escrow officer.
LIMITATION OF LIABILITY FOR INFORMATIONAL REPORTS
IMPORTANT -- PLEASE READ CAREFULLY:
This report is not an insured product or service or a representation of the condition of title to real property. It is not an abstract, legal opinion, opinion of title, title insurance commitment or preliminary report, or any form of Title Insurance or Guaranty. This report is issued exclusively for the benefit of the Applicant therefor and may not be used or relied upon by any other person. This report may not be reproduced in any manner without First Americans prior written consent. First American does not represent or warrant that the information herein is complete or free from error, and the information herein is provided without any warranties of any kind, as-is, and with all faults. As a material part of the consideration given in exchange for the issuance of this report, recipient agrees that First Americans sole liability for any loss or damage caused by an error or omission due to inaccurate information or negligence in preparing this report shall be limited to the fee charged for the report. Recipient accepts this report with this limitation and agrees that First American would not have issued this report but for the limitation of liability described above. First American makes no representation or warranty as to the legality or propriety of recipient's use of the information herein.

Disclaimer
This REiSource report is provided "as is" without warranty of any kind, either express or implied, including without limitations any warrantees of merchantability or fitness for a particular purpose. There is no representation of warranty that this information is complete or free from error, and the provider does not assume, and expressly disclaims, any liability to any person or entity for loss or damage caused by errors or omissions in this REiSource report without a title insurance policy.
The information contained in the REiSource report is delivered from your Title Company, who reminds you that you have the right as a consumer to compare fees and serviced levels for Title, Escrow, and all other services associated with property ownership, and to select providers accordingly. Your home is the largest investment you will make in your lifetime and you should demand the very best.
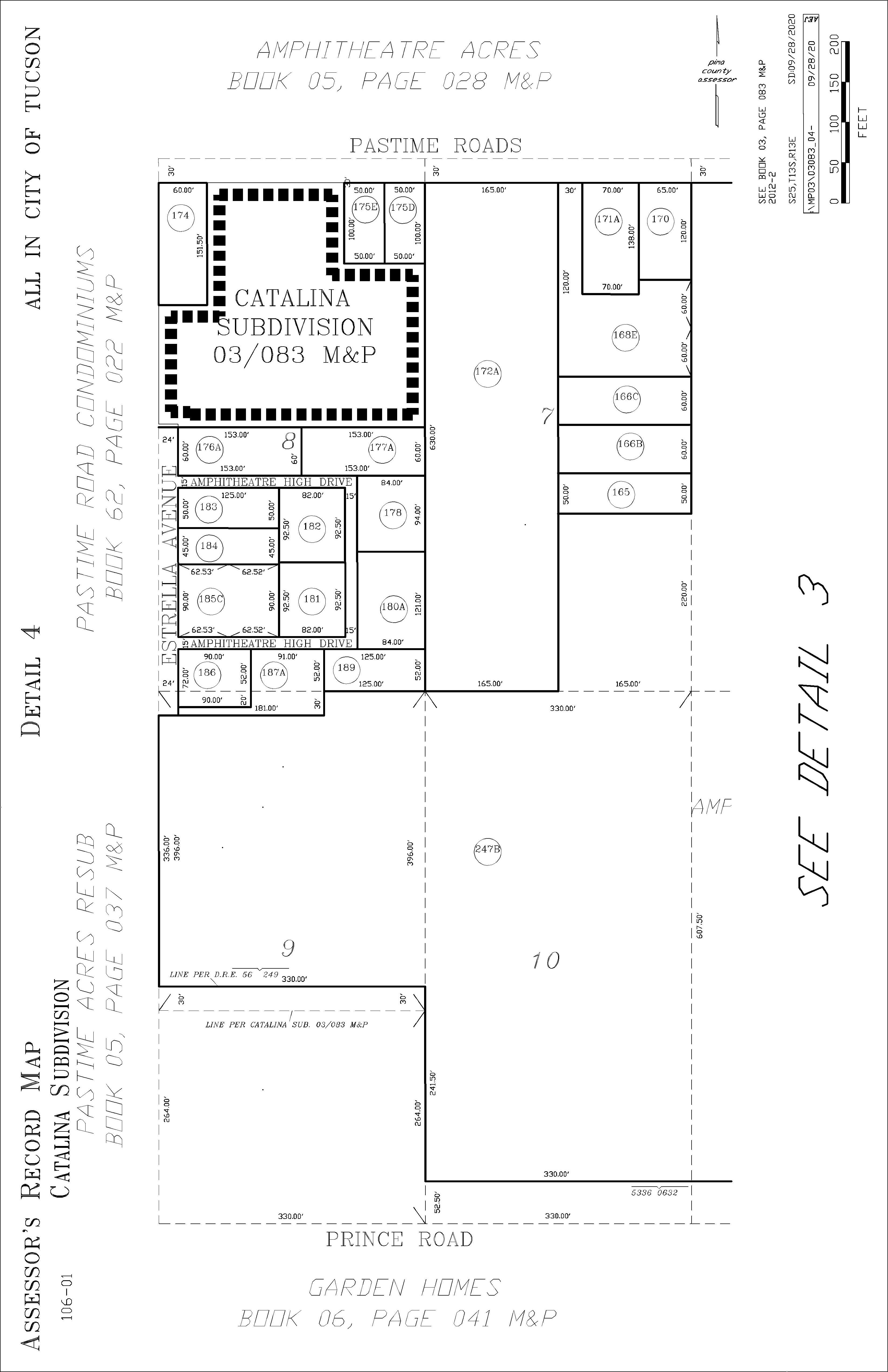
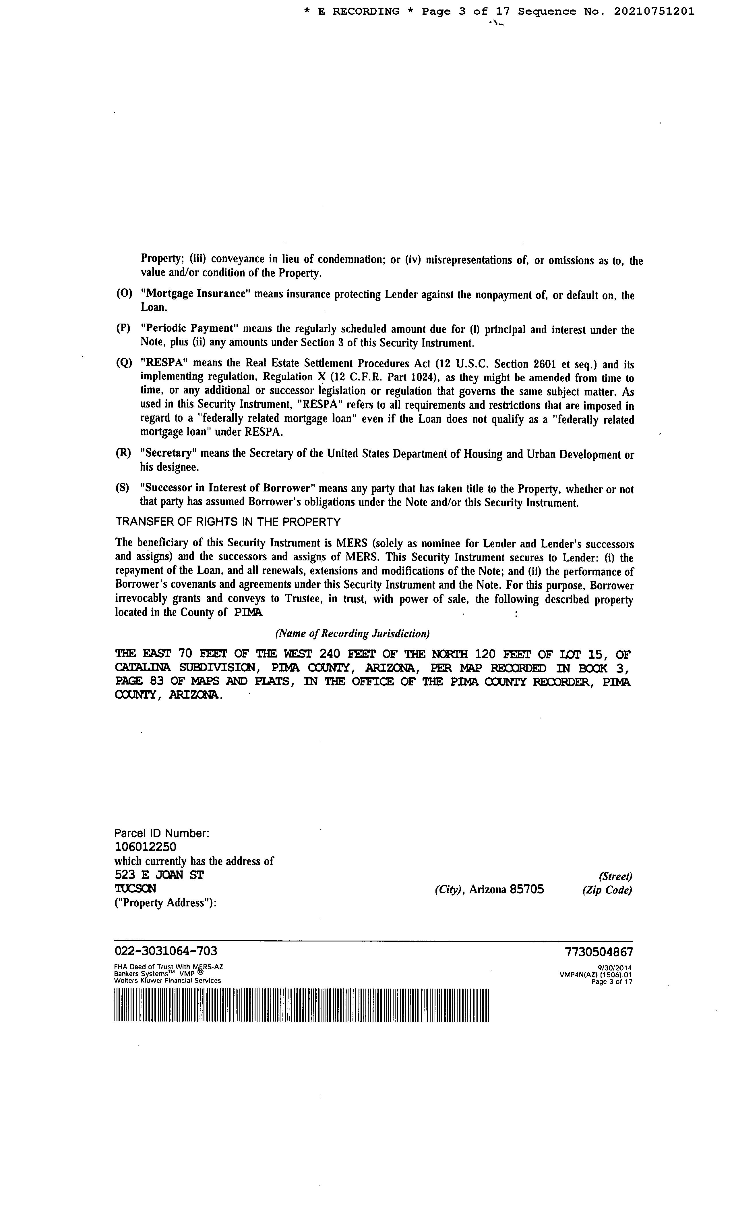
Subject Property : 523 E Joan St Tucson AZ 85705
Owner Information
Owner Name : Navarro Lizbeth
Mailing Address : 523 E Joan St, Tucson AZ 85705-3329 C017
Owner Occupied Indicator : O
Location Information
Legal Description : Catalina E70' W240' N120' Of Lot 15
County : Pima, Az
Census Tract / Block : 26.02 / 2
Township-Range- Sect : 13S-13E-25
Legal Book/Page : 3-83
Legal Lot : 15
Market Area : 30
Last Market Sale Information
Recording/Sale Date : 03/16/2021 / 03/15/2021
APN : 106-01-2250
Subdivision : Catalina
Map Reference : 25-13S-13E
School District : Amphitheater
Munic/Township : Amphitheater
1st Mtg Document # : 751201
Sale Price : $200,000 1st Mtg Term : 30
Document # : 751200
Deed Type : Warranty Deed
1st Mtg Amount/Type : $196,377 / Fha
Title Company : Pima Title
Price Per SqFt : $235.85
2nd Mtg Amount/Type : $5,891 / Conv
Lender : Fairway Independent Mtg Corp
Seller Name : Kms Ents Llc
Prior Sale Information
Prior Rec/Sale Date : 05/19/2003 / 05/00/2003
Prior Sale Price : $88,000
Prior Doc Number : 12053-4894
Prior Deed Type : Warranty Deed
Prior Lender : New Century Mtg Corp
Prior 1st Mtg Amt/Type : $79,200 / Conv
Prior 1st Mtg Rate/Type : $7.90 / Adjustable Int Rate Loan
Customer Name : Chantel Cortez
Customer Company Name : FIRST AMERICAN TITLE Prepared On : 11/24/2025
2025 CoreLogic. All
Property Characteristics
Gross Area : 848 Garage Capacity : 1
Living Area : 848
Total Rooms : 4
Year Built / Eff : 1953
# of Stories : 1
Parking Type : Carport
Property Information
Land Use : Sfr
County Use : Single Fam Resurban Subd
Tax Information
Patio Type : None
Roof Material : Roll Composition Air Cond : Refrigeration
Heat Type : Wall Furnace Quality : Fair
Cooling Type : Wall Furnace Condition : Average
Exterior wall : Block Bath Fixtures : 3
O-3 Lot Size : 8,400
Use : Single Fam Resurban Subd
Assessed Year : 2024
Year : 2025
Assessed Year : 2026
Customer Name :
Customer Company Name : FIRST
Prepared On : 11/24/2025
Chantel Cortez
AMERICAN TITLE
Census Tract / block: 26.02 / 2 Year: 2020