Subject Property
12883 W Zebra Aloe Pl Tucson AZ 85743
APN: 215-29-1260
Data Provided By: First American Title Ins Co
WIRE FRAUD ALERT THINK DIFFERENTLY
Email-based, real estate fraud schemes are on the rise. One common scenario is altering wiring instructions with the intention of rerouting funds.
Keeping this in mind, First American Title is changing the way we receive payment information. It is imperative that we are familiar with the people in our transactions.
RELYING ON EMAIL ALONE IS NO LONGER AN OPTION.
Fraudsters often use email to send falsified wire instructions to unsuspecting victims. Please warn your buyers and sellers to only follow wire instructions they receive personally from First American Title.
Additionally, we will not accept disbursement instructions for seller or buyer funds via email OR from any third party (attorney, real estate agent, etc).
ALTERNATIVE INSTRUCTIONS?
If your buyer or seller receives alternative wiring instructions that appear to be from First American Title, make sure they contact their escrow officer at a trusted phone number for confirmation.
Know that our wiring instructions do not change so any communication is suspect. Our banking institution is First American Trust.
IN SHORT – wire instructions will not be accepted by email. New wire instructions must be hand-carried or uploaded to the First American Secure Portal.
Thank you for joining First American Title in fostering a secure real estate transaction process. Have questions or concerns? Please contact our office or your escrow officer.
LIMITATION OF LIABILITY FOR INFORMATIONAL REPORTS
IMPORTANT -- PLEASE READ CAREFULLY:
This report is not an insured product or service or a representation of the condition of title to real property. It is not an abstract, legal opinion, opinion of title, title insurance commitment or preliminary report, or any form of Title Insurance or Guaranty. This report is issued exclusively for the benefit of the Applicant therefor and may not be used or relied upon by any other person. This report may not be reproduced in any manner without First Americans prior written consent. First American does not represent or warrant that the information herein is complete or free from error, and the information herein is provided without any warranties of any kind, as-is, and with all faults. As a material part of the consideration given in exchange for the issuance of this report, recipient agrees that First Americans sole liability for any loss or damage caused by an error or omission due to inaccurate information or negligence in preparing this report shall be limited to the fee charged for the report. Recipient accepts this report with this limitation and agrees that First American would not have issued this report but for the limitation of liability described above. First American makes no representation or warranty as to the legality or propriety of recipient's use of the information herein.

Disclaimer
This REiSource report is provided "as is" without warranty of any kind, either express or implied, including without limitations any warrantees of merchantability or fitness for a particular purpose. There is no representation of warranty that this information is complete or free from error, and the provider does not assume, and expressly disclaims, any liability to any person or entity for loss or damage caused by errors or omissions in this REiSource report without a title insurance policy.
The information contained in the REiSource report is delivered from your Title Company, who reminds you that you have the right as a consumer to compare fees and serviced levels for Title, Escrow, and all other services associated with property ownership, and to select providers accordingly. Your home is the largest investment you will make in your lifetime and you should demand the very best.
Subject Property : 12883 W Zebra Aloe Pl Tucson AZ 85743
Owner Information
Owner Name : Owen Daniel T / Owen Diana L
Mailing Address : 12883 W Zebra Aloe Pl, Tucson AZ 85743-7256 R123
Vesting Codes : Husband/wife / / Community Property
Owner Occupied Indicator : O
Location Information
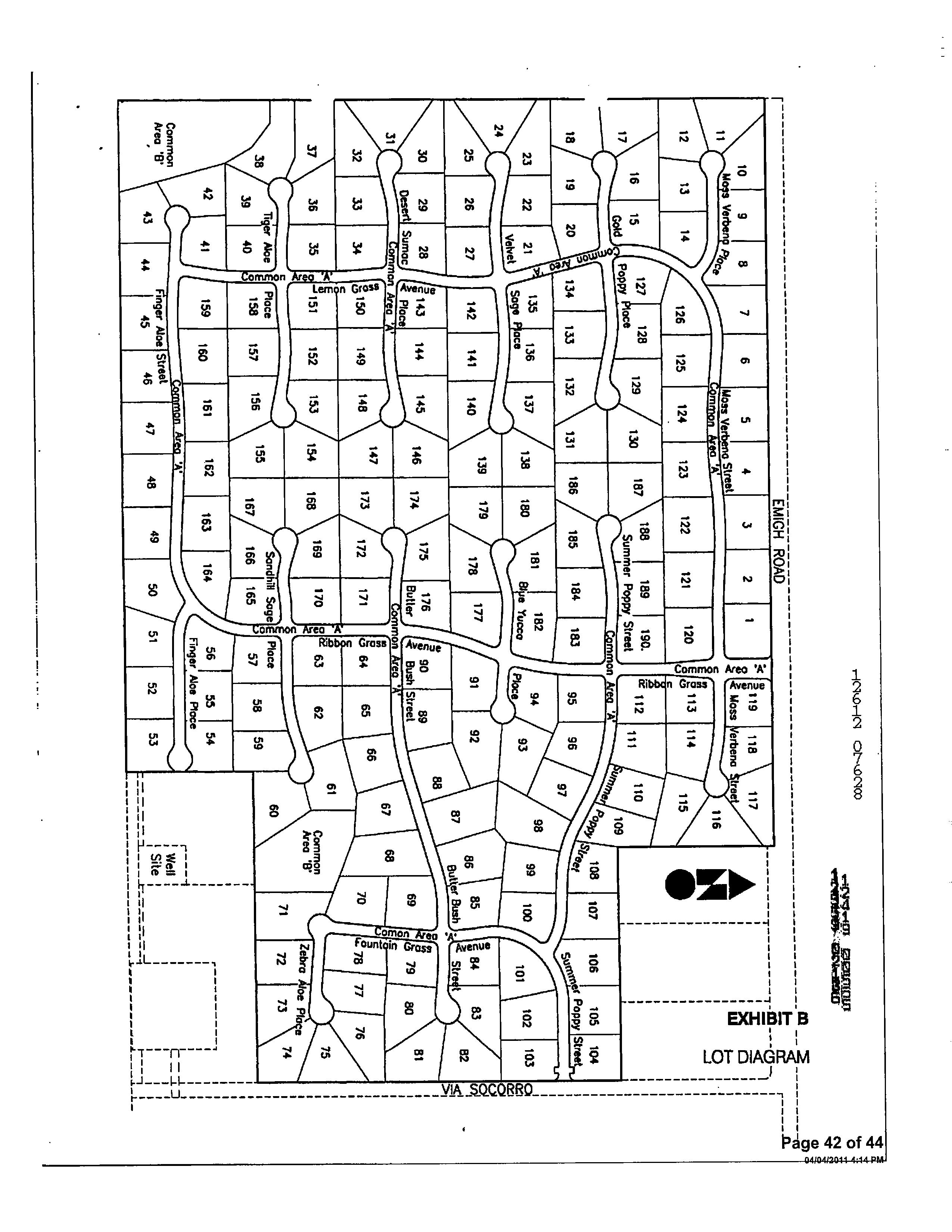
Legal Description : Tierra Linda Nueva Lot 72
County : Pima, Az
Census Tract / Block : 44.25 / 2
Township-Range- Sect : 12S-11E-29
Legal Book/Page : 59-3
Legal Lot : 72
Market Area : 410
Last Market Sale Information
APN : 215-29-1260
Subdivision : Tierra Linda Nueva
Map Reference : 29-12S-11E
School District : Marana
Munic/Township : Marana
Recording/Sale Date : 09/22/2011 / 09/14/2011 1st Mtg Amount/Type : $340,890 / Va
Sale Price : $335,000
1st Mtg Document # : 2650291
Document # : 2650290 1st Mtg Term : 30
Deed Type : Warranty Deed
Title Company : Catalina Title
Lender : Metlife Hm Lns
Seller Name : Jordan Stevan E & Sally A
Prior Sale Information
Prior Rec/Sale Date : 12/28/2007 / 12/21/2007
Prior Sale Price : $382,011
Price Per SqFt : $127.04
Prior Doc Number : 13211-2544
Prior Deed Type : Special Warranty Deed
Customer Name : Chantel Cortez
Customer Company Name : FIRST AMERICAN TITLE Prepared On : 08/08/2025
Property Characteristics
Gross Area : 2,637
Living Area : 2,637
Total Rooms : 8
Year Built / Eff : 2007
# of Stories : 1
Parking Type : Garage
Property Information Land Use : Sfr
Information
Patio Type : Covered Patio
Roof Material : Built-up Air Cond : Refrigeration
Heat Type : Forced Air Quality : Fair
Cooling Type : Forced Air Condition : Excellent
Exterior wall : Frame Wood Bath Fixtures : 10
Name :
Customer Company Name : FIRST
Prepared On : 08/08/2025
Chantel Cortez
AMERICAN TITLE
Census Tract / block: 44.25 / 2 Year: 2020
PIMA COUNTY
SEARCH PARAMETERS
PARCEL: 215-29-1260
PARCEL: 215-29-1260
OWNER: OWEN DANIEL T/DIANA L AFFIDAVIT 2011 2650290 09/22/2011
SITUS: 12883 W ZEBRA ALOE PL PC
MAIL: 12883 W ZEBRA ALOE PL
TUCSON, AZ 85743
PLAT: LOT 00072 BLOCK
LEGAL: TIERRA LINDA NUEVA LOT 72
CURRENT TAXES
2011 2650290 WD JORDAN STEVAN E/SALLY A 12/28/2007 382,011 13211 2544 SW PEPPER-VINER AT TIERRA LIN 06/28/2006 1,440,000 12835 1762 SW TITLE SECURITY AGENCY T939 M
ADDITIONAL PROPERTY INFORMATION STANDARD LAND USE: SFR
END SEARCH
Covenants, Conditions & Restrictions
Thank you for the opportunity to be of service.
Restrictions indicating a preference, limitation or discrimination based on race, color, religion, sex, handicap, familial status, or national origin are hereby deleted to the extent such restrictions violate 42 USC 3604(c).
This information is furnished without fee and without benefit of a complete title search. No liability is assumed by First American Title. If it is desired that liability be assumed, you may apply for a policy of title insurance with First American Title Insurance Company.