Subject Property
WIRE FRAUD ALERT THINK DIFFERENTLY
Email-based, real estate fraud schemes are on the rise. One common scenario is altering wiring instructions with the intention of rerouting funds.
Keeping this in mind, First American Title is changing the way we receive payment information. It is imperative that we are familiar with the people in our transactions.
RELYING ON EMAIL ALONE IS NO LONGER AN OPTION.
Fraudsters often use email to send falsified wire instructions to unsuspecting victims. Please warn your buyers and sellers to only follow wire instructions they receive personally from First American Title.
Additionally, we will not accept disbursement instructions for seller or buyer funds via email OR from any third party (attorney, real estate agent, etc).
ALTERNATIVE INSTRUCTIONS?
If your buyer or seller receives alternative wiring instructions that appear to be from First American Title, make sure they contact their escrow officer at a trusted phone number for confirmation.
Know that our wiring instructions do not change so any communication is suspect. Our banking institution is First American Trust.
IN SHORT – wire instructions will not be accepted by email. New wire instructions must be hand-carried or uploaded to the First American Secure Portal.
Thank you for joining First American Title in fostering a secure real estate transaction process. Have questions or concerns? Please contact our office or your escrow officer.
LIMITATION OF LIABILITY FOR INFORMATIONAL REPORTS
IMPORTANT -- PLEASE READ CAREFULLY:
This report is not an insured product or service or a representation of the condition of title to real property. It is not an abstract, legal opinion, opinion of title, title insurance commitment or preliminary report, or any form of Title Insurance or Guaranty. This report is issued exclusively for the benefit of the Applicant therefor and may not be used or relied upon by any other person. This report may not be reproduced in any manner without First Americans prior written consent. First American does not represent or warrant that the information herein is complete or free from error, and the information herein is provided without any warranties of any kind, as-is, and with all faults. As a material part of the consideration given in exchange for the issuance of this report, recipient agrees that First Americans sole liability for any loss or damage caused by an error or omission due to inaccurate information or negligence in preparing this report shall be limited to the fee charged for the report. Recipient accepts this report with this limitation and agrees that First American would not have issued this report but for the limitation of liability described above. First American makes no representation or warranty as to the legality or propriety of recipient's use of the information herein.

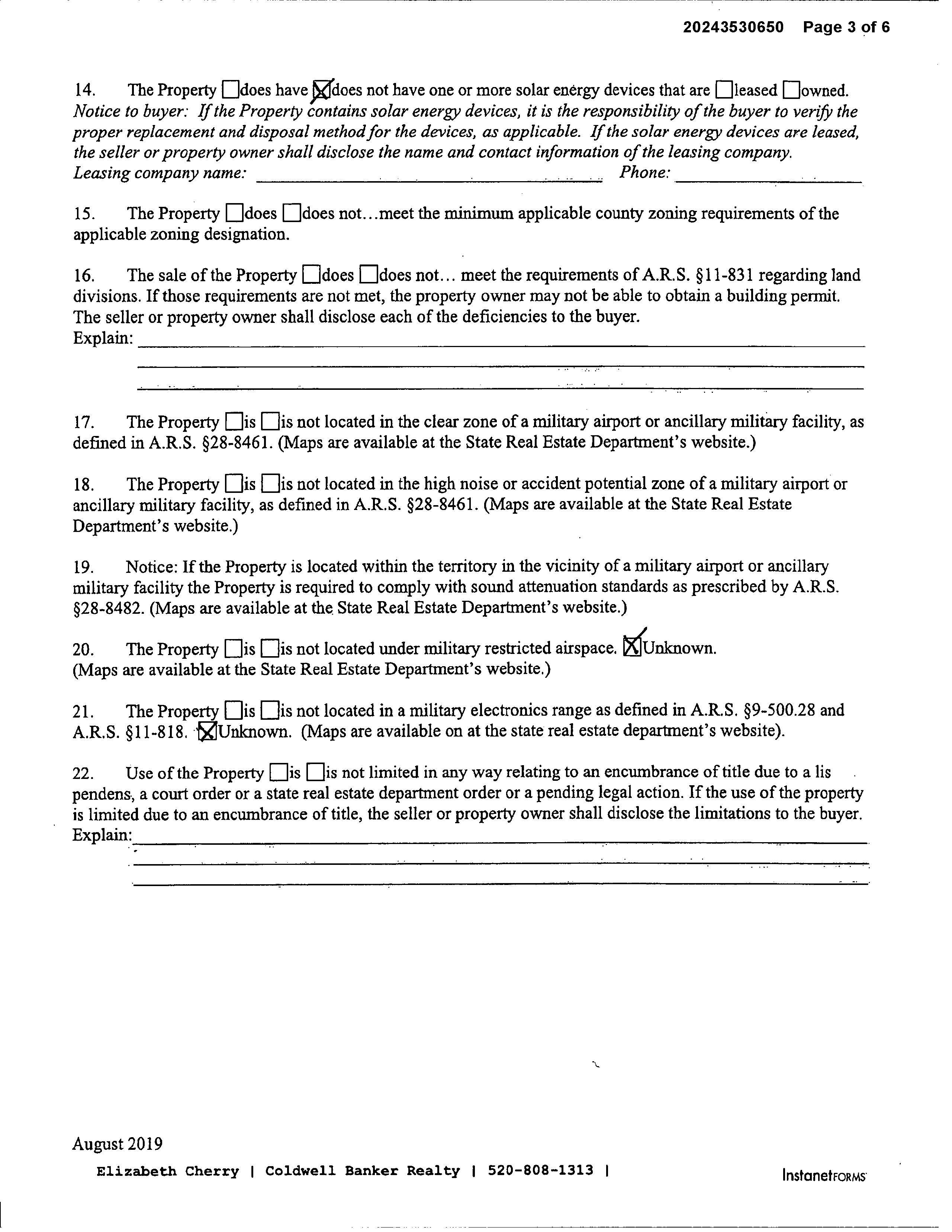
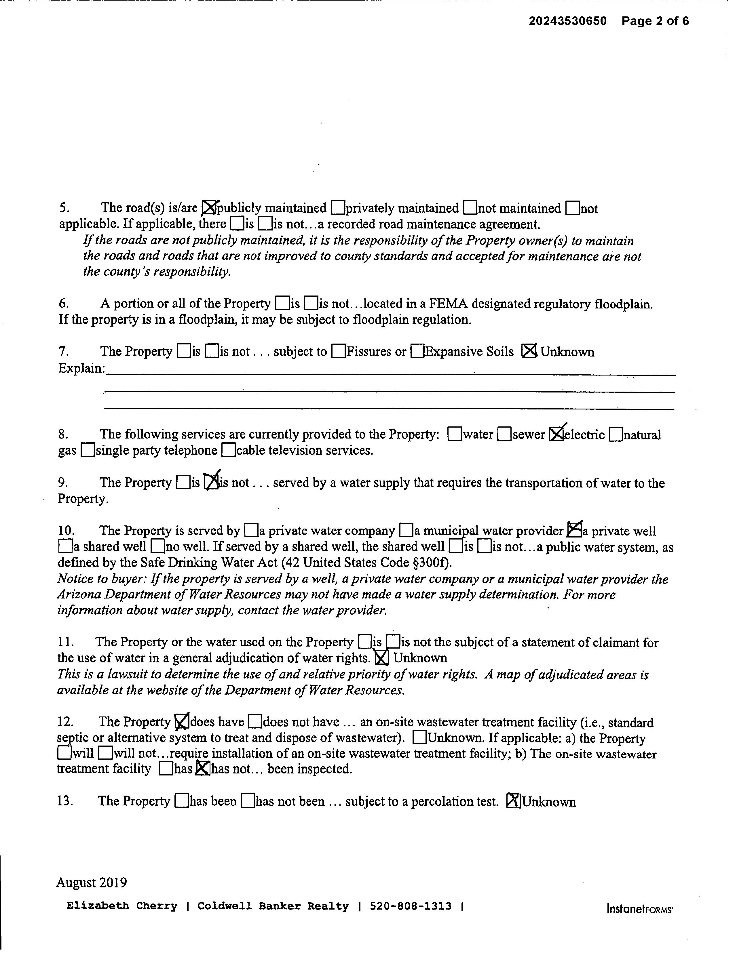
Disclaimer
This REiSource report is provided "as is" without warranty of any kind, either express or implied, including without limitations any warrantees of merchantability or fitness for a particular purpose. There is no representation of warranty that this information is complete or free from error, and the provider does not assume, and expressly disclaims, any liability to any person or entity for loss or damage caused by errors or omissions in this REiSource report without a title insurance policy.
The information contained in the REiSource report is delivered from your Title Company, who reminds you that you have the right as a consumer to compare fees and serviced levels for Title, Escrow, and all other services associated with property ownership, and to select providers accordingly. Your home is the largest investment you will make in your lifetime and you should demand the very best.
Subject Property : 12450 N La Cholla Blvd Tucson AZ 85755
Owner Information
Owner Name : Zona Investments Llc
Mailing Address : 1517 N Wilmot Rd # 73, Tucson AZ 85712-4400 C018
Vesting Codes : / / Corporation
Owner Occupied Indicator : A
Location Information
Legal Description : Nw4 Nw4 Sw4 Exc Rds 9.11 Ac Sec 34-11-13
County : Pima, Az
Census Tract / Block : 46.41 / 1
Township-Range- Sect : 11S-13E-34
Market Area : 420
Last Market Sale Information
Recording/Sale Date : 12/18/2024 / 12/17/2024
Sale Price : $700,000
Document # : 3530649
Title Company : Signature Title Agcy/az Llc
Seller Name : Geyer Judith F
Prior Sale Information
Prior Rec/Sale Date : / 01/00/1980
Prior Sale Price : $123,690
Property Characteristics
Gross Area : 4,433
Living Area : 4,433
Total Rooms : 9
Year Built / Eff : 1970
# of Stories : 1
Property Information
Land Use : Sfr
County Use : Sfr Imp-on 5+ Acres/rural
Parking Type : None
Roof Material : Asphalt
APN : 219-46-012A
Map Reference : 34-11S-13E
School District : Amphitheater
Munic/Township : Amphitheater
Deed Type : Warranty Deed
Price Per SqFt : $157.91
Prior Doc Number : 6207-319
Prior Deed Type : Deed (reg)
Patio Type : Covered Patio
Air Cond : Evap Cooler
Heat Type : Forced Air
Cooling Type : Forced Air
Quality : Fair
Condition : Average
Exterior wall : Frame Wood Bath Fixtures : 8
Zoning : SR
Lot Acres : 9.11
Lot Size : 396,832
State Use : Sfr Imp-on 5+ Acres/rural
Customer Name : Chantel Cortez
Customer Company Name : FIRST AMERICAN TITLE Prepared On : 11/19/2025
of Comparables
Cortez
Customer Name :
Customer Company Name : FIRST
Prepared On : 11/19/2025
Chantel Cortez
AMERICAN TITLE
Census Tract / block: 46.41 / 1 Year: 2020
PIMA COUNTY
SEARCH PARAMETERS
PARCEL: 219-46-012A
PARCEL: 219-46-012A
OWNER: ZONA INVESTMENTS LLC AFFIDAVIT 2024 3530649 12/18/2024
SITUS: 12450 N LA CHOLLA BL PC
MAIL: 1517 N WILMOT RD
LEGAL: NW4 NW4 SW4 EXC RDS 9.11 AC SEC 34-11-13
CURRENT TAXES
We are providing the requested information without CC&Rs.
Unfortunately, we are unable to confirm CC&Rs at this time, possibly because:
The property is too complex to obtain CC&Rs without a complete title examination
The property is sectional, whereas there are no “standard” subdivision‐type restrictions
A recorded plat may not exist
The recorded plat may be older, with limited information available, or
Recorded CC&Rs may not exist.
Once escrow is opened, the property will be thoroughly examined. CC&Rs and other matters that may “run with the land” will be disclosed in Schedule B of the Commitment for Title Insurance.
If you have questions, or need additional information at this time, please contact your First American Account Manager or Escrow Officer.