SYSTEMATIC INVESTMENT PLAN (SIP)


CALCULATOR
Understand, Calculate, and Grow Your Investments

![]()


Understand, Calculate, and Grow Your Investments


Systematic Investment Plan (SIP) allows investors to invest a fixed amount in mutual funds at regular intervals, helping in disciplined investing and wealth creation.

Helps in estimating future wealth.
Provides clarity on required investment.
Shows impact of compounding.
Assists in goal-based investing.


Enter monthly investment amount.
Choose expected annual return rate.
Select investment duration.
Get an estimate of total corpus.

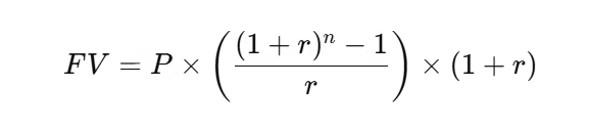
Where:

FV = Future Value
P = SIP Amount
r = Expected Rate of Return (per annum)
n = Number of contributions per year
t = Number of years

Example: Investing 5,000 per month for 10 years at 12% return ₹ rate can grow to approx. 11.6 lakh. ₹


Power of Compounding.
Rupee Cost Averaging.
Disciplined & Flexible Investment.
Low Initial Investment.
Helps in Financial Goal Planning.

Visit a trusted SIP Calculator website.
Enter monthly investment amount.
Set expected return rate & duration.
View estimated maturity amount.

SIP is a great way to invest systematically and build wealth over time.
Using an Online Best SIP Calculator helps in goal-based financial planning with better clarity.