Spis treści





Siła elektromotoryczna indukcji
Rys. 1.2.
Ciepło właściwe
Rys. 1.3.



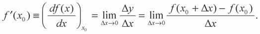
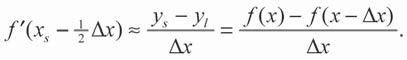
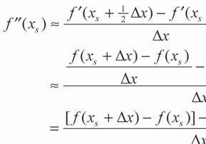
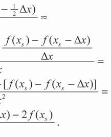
1.2. Definicja pochodnej
Pochodna funkcji w punkcie x0









s xp

Rys. 3.3. y = f x)


y = f x

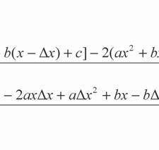
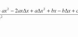
y = f x y = ax + bx + c
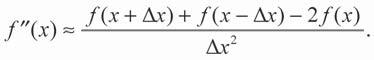
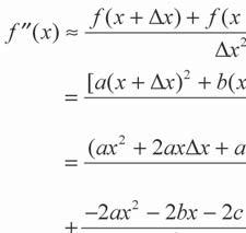
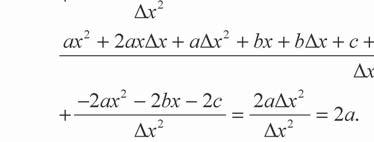
Dwie pochodne funkcji potęgowej drugiego stopnia
y = f x) = ax + bx + c
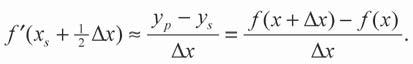
yp jest
yp jest







Rys. 6.10.

w x) = W a b) = = w b w a) =



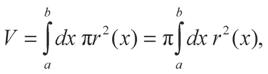
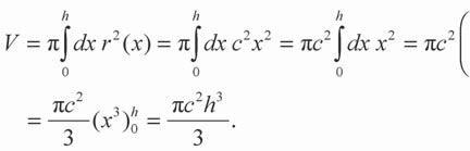
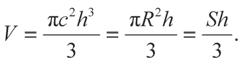
6.5. Zastosowanie 3: objętość brył obrotowych
Postawienie problemu


PRZYKŁAD 1



Rys. 6.11. V x r x

) =


