

INSTRUMENTS ICONS / GUIDE
(마레스 기술 설명)
•경사 계수 (Gradient Factor)
테크니컬 다이버들이 ZH-L16C 알고리즘을 이용 해 가장 까다로운 다이빙을 수행할 수 있도록 경 사계수를 개발했습니다. 경사 계수는 개인의 필
요에 맞게 알고리즘을 맞춤화하는 매우 직관적이 고 투명한 방법이기에, 최근까지 존재하는 가장 보편적이면서도 강력한 알고리즘입니다.
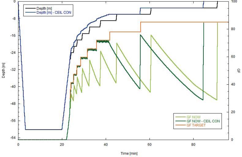
• 씰링 컨트롤 (CEIL-CON)
씰링 컨트롤 감압 (CEIL-CON)은 일반적인 3m 감
압 절차 중에도 지속적이면서 통제된 상승을 유
도하여 불활성 가스 배출 효율을 최대화합니다.
그 결과 조직의 감압 시간이 단축되며, 과포화도
프로파일이 더 곡선 형태를 이룹니다. CEIL-CON 은 마레스 독점 특허입니다.
•멀티가스
멀티가스 기능을 사용하면 다이빙 중 기체 스위칭
을 수행하여 감압을 가속화할 수 있습니다 (공기 및 나이트록스 사용시). 예상 감압 기능이 활성화 된 경우, 설정된 모든 가스는 감압 계산에 반영되 어 추가로 구성한 탱크를 최대한 활용할 수 있습 니다.
•디지털 콤파스
나침반은 자주 사용하지는 않더라도 핵심적인 다
이빙 장비입니다. 따라서 다이빙 컴퓨터에 이 기능
을 통합하는 것은 매우 논리적인 솔루션입니다. 디
지털 나침반을 사용하여 난파선을 가리키도록 방
위를 설정하거나, 깊은 협곡에서의 다이빙 후에 해
변을 향해 푸른 물로 유영하는 등의 활동을 수행할 수 있습니다.
•컬러 디스플레이
컬러 디스플레이는 다이빙에 있어서는 단순히 눈에 즐거움
을 주는 것 이상의 역할을 합니다. 다이브 컴퓨터는 수심
게이지 및 감압 측정기일 뿐만 아니라, 위험한 상황이 발생
했을 때의 보호자 역할을 합니다. 제니우스는 세계 17개국
의 언어 텍스트에 색상을 결합시켜, 각종 상황과 해결책을
강조하는 경고 문구를 표기하므로, 모든 상황을 해결하는
데 취해야 할 조치를 직관적으로 알려줍니다. 또한 그래픽 으로 표시되는 다이빙 로그를 포함하여 스마트폰 스타일의 사용자 인터페이스를 제공합니다.
• 무선 탱크 통합 정보
호스가 달린 잔압계보다 더 좋은 것은 무엇일까요?
정답은 호스가 없는 잔압계, 더 나아가 컴퓨터의 디스플 레이와 통합되면 더 좋을 것입니다. 특허 받은 무선 주 파수 기술을 사용하는 마레스 탱크
• AGF -긴급 대체 GF ALTERNATE GRADIENT FACTORS 긴급 대체 GF는 다이빙 전체에 걸쳐 계산된 또 하 나의 감압 계획으로, 비상시 전환할 수 있습니다. 이또 하나의 감압 계산은 상황 판단을 위한 주요 GF값과 함께 표시될 수 있습니다.
•트라이믹스 제니우스는 공기, 나이트록스, 트라이믹스 및 헬리 옥스를 설정할 수 있습니다. 다이빙 중 표시되는 감압 계산의 예측 알고리즘에는 예측 알고리즘이 설명하는 최대 5개의 가스를 설정할 수 있으므로 감압을 최적화할 수 있습니다. 산소 농도는 최소 7%까지 매우 낮게 설정할 수 있습니다 (하이폭식 트라이믹스 또는 헬리옥스 사용시).
•블루투스 블루투스는 우리의 일상 생활에 자주 사용되며, 따라서 이 기술이 다이빙 컴퓨터에 도입되는 것 은 당연한 일입니다. 블루투스를 사용하면 케이 블, 크래들 또는 동글 없이 버튼을 누르는 것만으 로 로그북을 스마트 장치로 다운로드할 수 있습 니다.
•충전식 배터리 마레스는 2010년 최초의 충전식 배터리가 장착된 다이 브 컴퓨터를 선보였습니다. 이후 이 기술은 큰 발전을 이 루었고 마레스는 이 진화의 발걸음에 항상 참여했습니 다. 제니우스의 충전식 배터리 기술은 안정적이고 안전 하며, 충분한 에너지를 제공합니다. 매우 크고 지속적으 로 작동하는 컬러 디스플레이가 장착되어 있음에도 불 구하고, 제니우스의 배터리는 한 번 충전으로 최대 40시 간 동안 다이빙할 수 있습니다.

• MIP 컬러 디스플레이
MIP (메모리 인 픽셀: Memory In Pixel)는 컬러 디스플레 이에서 초고효율을 구현하는 새로운 기술입니다. 매우 높 은 색 대조 외에도 이러한 디스플레이는 에너지 소비가 매 우 적기 때문에, 시리우스는 열흘 내내 시계로 작동하며, 30회의 1시간 다이빙을 위한 다이빙 컴퓨터로도 작동할 수 있습니다 (충전당 다이빙 횟수는 백라이트 사용량에 크 게 영향을 받으며, 수온에도 약간의 영향을 받습니다).
* 탱크 데이터를 페어링하지 않는 경우 기준 (탱크 데이터 페어링시 20시간)
MARES APP


· 직관적인 사용자 경험을 위한 시작 페이지
· STARTING PAGE FOR INTUITIVE USER EXPERIENCE
· 스쿠버, 익스텐디드 레인지 및 프리 다이빙 관련 그래픽을 포함한 최첨단 로그북 기능
· STATE-OF-THE-ART LOGBOOK FUNCTIONS, INCLUDING GRAPHICS, FOR SCUBA, EXTENDED RANGE AND FREEDIVING
고객 지원을 위한 인-앱 커뮤니케이션 시스템
· IN-APP COMMUNICATION DESIGNED TO SUPPORT CUSTOMER RETENTION
· 성능 및 보안 강화를 위한 최신 “하이브리드” 프로그램
추후 한글 지원
· SSI & MARES VERSION ARE VERY SIMILAR
· LATEST “HYBRID” PROGRAMMING TO ENHANCE PERFORMANCE AND SECURITY
FUNCTION OVERVIEW:
FUNCTION OVERVIEW:
홈 / 시작 페이지
· HOME / START PAGE
· QR 코드
QR CODE
로그북
LOGBOOK
· 버디
· BUDDIES
위치
LOCATIONS
뉴스 & 비디오
· NEWS & VIDEOS


※ QR 코드를 찍이셔서 앱을 다운받으신 후 블루투스로 컴퓨터와 연결하시면 모든 다이빙 활동을 확인할 수 있습니다.
장비
보험
· GEAR INSURANCE
테이블 & 큐카드
TABLES & CUE CARDS
수중 생물
· WILDLIFE
펌웨어
FIRMWARE
프로필 & 개인 설정
· PROFILE & PRIVACY SETTINGS



GENIUS
















마레스의 모든 기술이 집약된 현존하는
풀
사용자가 다양한 보수성을
■ GF값과 예측 가능한 혼합 기체가 적용된 새로운 ZH-L16C 알고리즘
■ 최대 5 종류의 기체까지 나이트록스와 트라이믹스 가능
■ 다이빙 타임을 보장하는 씰링 컨트롤을 탑재한 최신 알고리즘
■ 방위 설정이 가능한 전방향 디지털 나침반과 초시계
■ 식별이 쉽도록 탱크 잔압을 단계별 색상으로 표시
■ 평균 수심 재설정과 스탑워치 사용이 가능한 바텀 타이머 모드
■ 추가적인 수면 휴식 시간을 계산식에 포함한 감압 다이빙 플래너
■ 다양한 그래프로 표시되는 환상적인 로그북
■ 5초 간격의 샘플링으로 저장되는 1000시간 이상의 다이빙을 수용 가능한 로그북
■ 블루투스로 스마트폰과 직접 연결 가능
■ 야간 모드 탑재
■ 다이빙 중 지도 열람 가능
■ 세부 정보가 포함된 조직 포화도 그래프
■ 수중 메뉴로 다이빙 중 특정한 조작 설정 변경 가능
■ 예상 감압과 런어웨이 데코 알람 (독점 특허)
■ KC 전파 인증




■ 간단한 설치
■ 스크래치 방지
■ 부드럽고 튼튼함
■ 극도의 투명함
SIRIUS
• M MIP 디스플레이 테크놀러지
• G GF값을 이용한 ZH-L16C 알고리즘
• 나 나이트록스 및 트라이믹스 사용 가능: 최대 5개



Bungee Mount SIRIUS
시리우스
가격: 199만원 (LED 탱크 모듈 2.0 포함) ※ 본체만 구입시: 169만원
풀 컬러 고화질을 사용한 즉각적인 정보 전달 사용자가 다양한 보수성을 선택할 수 있는 새로운 알고리즘을 탑재 1회 충전으로 30시간 다이브타임의 스마트 배터리 관리 시스템
■ GF값과 예상 혼합 가스 기능이 탑재된 ZH-L16C 알고리즘
■ 최대 5개 기체 입력 가능
■ 다이빙 타임을 보장하는 씰링 컨트롤을 탑재한 최신 알고리즘
■ 나이트록스 및 트라이믹스 사용 가능
■ MIP (메모리 인 픽셀) 컬러 고화질 디스플레이
■ 방위 설정이 가능한 전방향 디지털 나침반과 스탑워치
■ 최대 5개 탱크 모듈에 무선 통합 탱크 정보 수신 가능
■ 식별이 쉽도록 탱크 잔압을 단계별 색상으로 표시
■ 평균 수심 재설정과 스탑워치 사용 가능한 바텀 타이머 모드
■ 2가지 색상: 검정, 검정은색
■ 추가적인 수면 휴식 시간을 계산식에 포함한 감압 다이빙 플래너
■ 다수의 그래프가 포함된 100개의 다이빙 로그 저장
■ 블루투스로 스마트폰과 직접 연결 가능
■ 조직 포화도 및 다이빙 프로파일 그래프
■ 수중 메뉴를 이용하여 다이빙 중 특정한 조작 설정 변경 가능
■ 예상 감압 및 런어웨이 데코 알람
■ 2개의 다이빙 데이터 디스플레이 옵션
■ 컬러 커스터마이징 가능한 3개의 시계 화면
■ 예상 감압과 런어웨이 데코 알람 (독점 특허)
■ 추후 한글 지원

블랙(BK)


■ KC 전파 인증


( 세트 구입시 기본 제공 )


Nitrox
EAN from 21% to 99% Trimix Hypoxic, Normoxic
실버(SL)
쿼드 CI
가격: 178만원 (LED 탱크 모듈 포함)
현존하는 가장 우수한 시안성의 고성능 다이빙 컴퓨터
업그레이드 가능한 소프트웨어 다이빙 중 2구획으로 표시되어 시인성을 극대화
■ 사용자 정의 가능한 GF값과 븊만 ZH-L16C 알고리즘
■ 공기, 나이트록스, 트라이믹스, 보텀 타이머
■ 다이빙 정보를 표시하는 초대형 8색 고해상도 MIP 점보 사이즈 디스플레이
■ 직관적으로 구분된 탱크 잔압 및 질소포화도
■ 추가적인 수면 휴식 시간을 설정할 수 있는 감압 다이빙 플래너
■ 완전 충전 시 20시간의 다이빙 시간을 제공하는 스마트 배터리 관리 시스템 (트랜스미터 없이 30시간)
■ 다이빙 중 다이빙 프로필 및 조직 포화도 그래프에 액세스 가능
■ TTR - TIME TO RESERVE - 다이버가 현재 수심에서 잔압
예비량에 도달하기까지 머물 수 있는 최대 시간
■ MARES 앱을 통한 펌웨어 업데이트
※ 점보 사이즈 정보전달
※ 실물사이즈 ->

구입시: 129만원
■ 대체 GF값과 CEIL-CON 감압 채택
■ 방위 설정이 가능한 전방향 디지털 나침반과 스톱워치
■ 최대 5개의 트랜스미터와 통신하여 통합 가스 정보 표기
■ 재설정 가능한 평균 수심 및 스톱워치가 있는 바텀 타이머 모드
■ 로그북 용량: 5초 샘플링 속도로 100시간의 다이빙 프로필
■ 클립 및 USB 케이블을 통한 충전, 500회 충전 사이클
■ 스마트 기기에 직접 연결되는 통합 블루투스
■ 수중 메뉴를 통해 다이빙 중에 특정 설정 변경 가능
■ 런어웨이 데코 알람
■ 직관적인 사용자 인터페이스와 빠른 조작을 위한 4개 버튼
■ 전원이 꺼져 있을 때도 20초마다 주변 압력을 감지하여 고도를 자동으로 조정




■ 간단한 설치
■ 스크래치 방지
■ 부드럽고 튼튼함
■ 극도의 투명함
쿼드 번지 스트랩 가격: 8만 5천원

( 세트 구입시 기본 제공 )

■ 간단한 설치
■ 쿼드 전용 번지 스트랩
검정(BK)
스마트
가격: 47만원
세련된 디자인과 선명한 화면의 전형적인 시계형
40시간 이상 5초 간격의 샘플링(스쿠버)으로 다이브 프로파일을 기록 프리다이빙 정보를 저장 가능한 로그북 용량
알람 기능의 프리다이빙 모드(아프니아 모드) 설정 가능
■ 인체공학적이며 사용자 친화적인 디자인
■ 두 가지 기체를 수용 가능한 완벽한 기능의 나이트록스 다이빙 컴퓨터
■ 재설정 가능한 평균 수심과 스탑워치 기능을 포함한 바텀 타이머 모드
■ 수면 휴식 시간 설정 기능을 포함한 감압 다이빙 플래너
■ 업그레이드 가능한 펌웨어
■ 완벽한 시계 기능 : 스탑워치, 기상 알람, 듀얼 타임 기능, 날짜 등
■ 배터리 교체식
■ 인터페이스 사용 가능(옵션)
■ KC 전파 인증

스마트 접착식 실리콘 보호창
가격: 3만 5천원
■ 부착이 쉬운 완벽한 사이즈
■ 스크래치, 먼지, 모래로부터 보호
■ 부드럽고 내구성이 좋음
■ 2개 1세트로 구성


블랙 (BK)

가격: 3만원
■ 두꺼운 웻수트나 드라이수트 착용시 사용
■ 스마트 다이브 컴퓨터 전용 스마트 연장줄

A NEW PUCK4 YOU!
퍽 4는 컴팩트한 크기를 유지하면서, 새로운 디자인과 색상으로 출시
되며, 첨단 기술의 힘으로 내부에서는 큰 혁명이 일어났습니다.
사용자 커스터마이징 가능한 GF(경사 계수)를 갖춘 Bühlmann ZHL16C 알고리즘은 감압에 대한 완전한 투명성과 제어를 가능하게 합니
다! 또한 통합 Bluetooth를 사용하면 다이빙을 스마트 장치에 직접 다
운로드할 수 있습니다!


DISCOVER MORE
4 가격: 65만원
첨단 기술이 모두 집약된 캠팩트한 다이빙 컴퓨터
100회 다이빙 로그북 용량 (마레스 앱을 통한 그래프 포함)
GF값이 적용된 뷸만 ZH-16C 알고리즘 탑재
블루투스로 스마트폰과 직접 연결 가능
■ 공기, 나이트록스, 보텀 타이머 모드
■ 최대 3 종류의 기체까지 멀티가스 가능
■ 800개의 세그먼트를 포함한 칩-온-글라스 (CHIP-ON-GLASS) 기술을 사용하여 제작한 선명한 세그먼트 디스플레이
■ 사용자 맞춤형 수면 휴식 시간을 포함한 감압 다이빙 플래너
■ 직관적인 사용을 위한 원 버튼 구성
■ 손쉽게 번지 스트랩으로 교환 가능 (옵션)
■ 마레스 앱을 통한 펌웨어 업데이트 가능
■ 평균 수심 재설정과 스탑워치 사용이 가능한 바텀 타이머 모드


오렌지(OR)
퍽4 번지 스트랩 가격: 8만 5천원
■ 실리콘 스트랩을 번지 스트랩으로 교환할 수 있음
■ 손목에서 컴퓨터를 탈부착하기 쉬움


파랑(BL)

노랑(YL)
아쿠아(AQ)

오렌지(OR)

올리브(OR)


퍽 에어
가격: 99만원
다이빙 정보 및 잔압 정보를 통합하여 제공하는
다이브 컴퓨터
세련되고 컴팩트하며 인체공학적인 디자인
아날로그식 콤파스 포함
■ 가스 시간 계산 기능
■ 도트 매트릭스 방식의 분할 화면 디스플레이
■ 심플한 원 버튼 형태의 직관적인 사용자 인터페이스
■ 20초 간격의 샘플링으로 프로파일 그래프를 표시하는
35시간의 로그북 저장 용량
■ 배터리 교체식
■ 다양한 부착 포인트가 있는 보호용 고무 콘솔
■ KC 전파 인증

콘솔형 퍽
가격: 퍽 3: 89만원 / 퍽 2: 83만원
모든 기능을 갖춘 컴팩트한 콘솔형 컴퓨터
아날로그 잔압 게이지와 아날로그 콤파스
원터치 방식의 간단한 사용자 인터페이스
■ 5초 간격의 샘플링으로 프로파일 그래프를 표시하는 35 시간의 로그북 저장 용량
■ 배터리 교체식
■ 다양한 부착 포인트가 있는 보호용 고무 콘솔
■ KC 전파 인증


미션 3
가격: 54만원
잔압 게이지
■ 황동 케이스
■ 테크노폴리머 윈도우
■ 야광 다이얼
수심 측정기
■ 야광 다이얼
■ 최대 수심 표시기
■ 선형 눈금
콤파스
■ 오일 바스
■ 사이드 뷰 윈도우
콘솔
■ 다양한 부착 포인트
■ 보호용 고무 콘솔
■ 호스길이 약 85cm

미션 1
가격: 27만 9천원
■ 황동 케이스
■ 테크노폴리머 윈도우
■ 야광 다이얼 페이스
■ 보호용 고무 콘솔
■ 다양한 부착 포인트
■ 호스길이 약 85cm

미션 2
가격: 44만원
잔압 게이지
■ 황동 케이스
■ 테크노폴리머 윈도우
■ 야광 다이얼
수심 측정기
■ 야광 다이얼
■ 최대 수심 표시기
■ 선형 눈금
콘솔
■ 다양한 부착 포인트
■ 보호용 고무 콘솔
■ 호스길이 약 85cm
미션 2C
가격: 44만원
잔압 게이지
■ 황동 케이스
■ 테크노폴리머 윈도우
■ 야광 다이얼
콤파스
■ 오일 바스
■ 사이드 뷰 윈도우
콘솔
■ 다양한 부착 포인트
■ 보호용 고무 콘솔
■ 호스길이 약 85cm


핸디 콤파스
가격: 22만원
■ 오일 바스
■ 사이드 뷰 윈도우
■ BCD 장착을 위한 특별한 하우징
■ 리트렉터 별매

ACCESSORIES
LED 탱크 모듈 2.0
가격: 49만원
■ 시리우스 전용 LED 탱크 모듈 2.0
■ 탱크 정보 전송
■ 수면에서의 빠른 잔압 체크를 위한 유색 LED
■ 다이빙 중 잔압이 부족함을 알리는 유색 LED
■ 단 한번의 페어링으로 지속 사용 가능
■ 300BAR 탱크에 EN250:2014 인증
■ KC 전파 인증
미니 텍 게이지 가격: 14만원

■ 1단계 HP포트에 직접 장착
■ 밝은 흰색으로 식별이 쉬움
■ 넓은 210º 스윕
■ 바이톤 오링 포함
■ 직경: 2.79cm

포니 보틀 게이지 가격: 18만원
■ 초소형 수중 압력 게이지
■ 포니 보틀 및 비상 호흡 시스템에 이상적
■ 고압 포트의 명확한 압력 판독값 제공
■ 작동 압력: 4500PSI(310BAR)
■ 전체 스케일 5% 공차에서 정확도를 갖춘 0 – 5000PSI
단위 표기
■ 작동 수심: 100m
■ 폴리카보네이트 렌즈



LED 탱크 모듈 가격: 49만원
■ 탱크 정보 전송
■ 수면에서의 빠른 잔압 체크를 위한 유색 LED
■ 다이빙 중 잔압이 부족함을 알리는 유색 LED
■ 단 한번의 페어링으로 지속 사용 가능
■ 300BAR 탱크에 EN250:2014 인증
■ KC 전파 인증

탱크 게이지 가격: 15만 7천원
■ 초소형 압력 게이지
■ 백업 공기 공급 장치에 이상적
■ 1단계 고압 포트 연결
■ 오버 프레셔 밸브 장착


숏 호스 가격: 8만원
■ 호흡기 1단계와 LED 탱크모튤 사이에 간격을 줌
■ 복잡한 호스 구성에서 신호 수신 개선에 이상적
■ 탱크가 넘어져서 파손되는 것을 방지함
■ 길이 : 15cm
■ 막대오링 불포함

ACCESSORIES
시리우스 스트랩 키트
가격: 13만 5천원
■ 시리우스 다이빙 컴퓨터를 위한 맞춤형 컬러 키트
■ 고품질 실리콘으로 제작
■ 두꺼운 웻슈트나 드라이슈트 다이버를 위한 롱 스트랩 포함
■ 색상: 검정, 파랑, 아쿠아, 빨강, 노랑, 오렌지, 올리브
(7가지중 택 일)

블루링크 프로 인터페이스
가격: 9만원
■ 저전력 블루투스 기술을 사용하여 다이빙 컴퓨터의
로그북을 다운로드
■ 사용 가능 기종 : 쿼드, 쿼드 에어, 퍽 프로 +, 스마트 AIR, 스마트
■ 스마트폰 어플리케이션 필요 (안드로이드, IOS)

쿼드 / 스마트 / 퍽 프로+ USB인터페이스
가격: 9만원
■ PC나 MAC에 로그북 다운로드
■ 펌웨어 업그레이드 가능
■ 쿼드에어, 스마트, 퍽프로 호환

시리우스 번지 스트랩 가격: 9만원
■ 실리콘 스트랩을 번지 스트랩으로 교환할 수 있음
■ 손목에서 컴퓨터를 탈부착하기 쉬움

제니우스 USB인터페이스
가격: 9만원
■ PC나 MAC에 로그북 다운로드
■ 펌웨어 업그레이드 가능

쉘 라운드
가격: 2만 5천원
■ 다이브 컴퓨터 보관에 이상적
■ 충격 방지 케이스
■ 튼튼한 지퍼
■ 은색 테두리
■ 22 X 12 X 9cm

SOFTWARE
■ 완전한 기능을 갖춘 로그북 관리 소프트웨어
■ 제니우스의 지도와 이미지 업로딩이 가능함
■ 다이빙 하는 동안 자세한 변화를 보여주는 조직포화 그래프를 갖춤
■ PC 전용 프로그램
■ www.mares.com에서 무료로 다운로드가능
TENDER 텐더
■ www.mares.com에서 무료로 다운로드가능 DIVE ORGANIZER

TECHNICAL SPECIFICATION


MAC OS X 플랫폼에서 제니우스 컴퓨터를 프로그래밍하는데 사용됩니다.
■ 다이빙 정보는 후속 업데이트를 통해 다운로드할 수 있습니다.
■ MAC 전용 프로그램







