CCRs - 5394 SE 136th Ave

Page 1


Property Search

Multnomah, Oregon

Searched: Ut 11 Map 1320/29

Non-Order Search

Property Cover: 1/2/1980 - 4/21/2025

Court Cover: 1/2/1980 - 4/23/2025

Searched By: AUSTIN BEAN

Searched On: 4/28/2025 5:51 PM

Search Filters

From Date: Doc Types Inc: N/A

Thru Date: Doc Categories: N/A

Grantor/Grantee: 0%-100%

Results Filters

Sort Order: Retrieval

1

2

Co: ZZZ, Rem: SOURCE: SIMON WORKSHEET [AA], APN(s): 1S2E14AC02400

Co: ZZZ, Rem: SOURCE: SIMON WORKSHEET [AA], APN(s): 1S2E14AC02400

Co: ZZZ, Rem: SOURCE: SIMON WORKSHEET [AA], APN(s): 1S2E14AC02400

5 DEB 11/5/2018 114221 LAW ROBERT M (GRANTOR) LAW ROBERT M (GRANTEE) (TR) THE ROBERT M LAW 2018 TRUST U/A/D APRIL 25 2018 (GRANTEE)

[TAXACCT#:R201308 ], APN(s): 1S2E14AC02400

Co: ACC, Rem: [TAXACCT#:R201308 ]; [TAXACCT#:R625019 ], APN(s): 1S2E14AC02400, 1S2E14AC02401

Co: FAT, $2,810,000.00, Rem: MENTIONS SECURITY AGREEMENT/FIXTUR E FILING; [TAXACCT#:R201308 ];

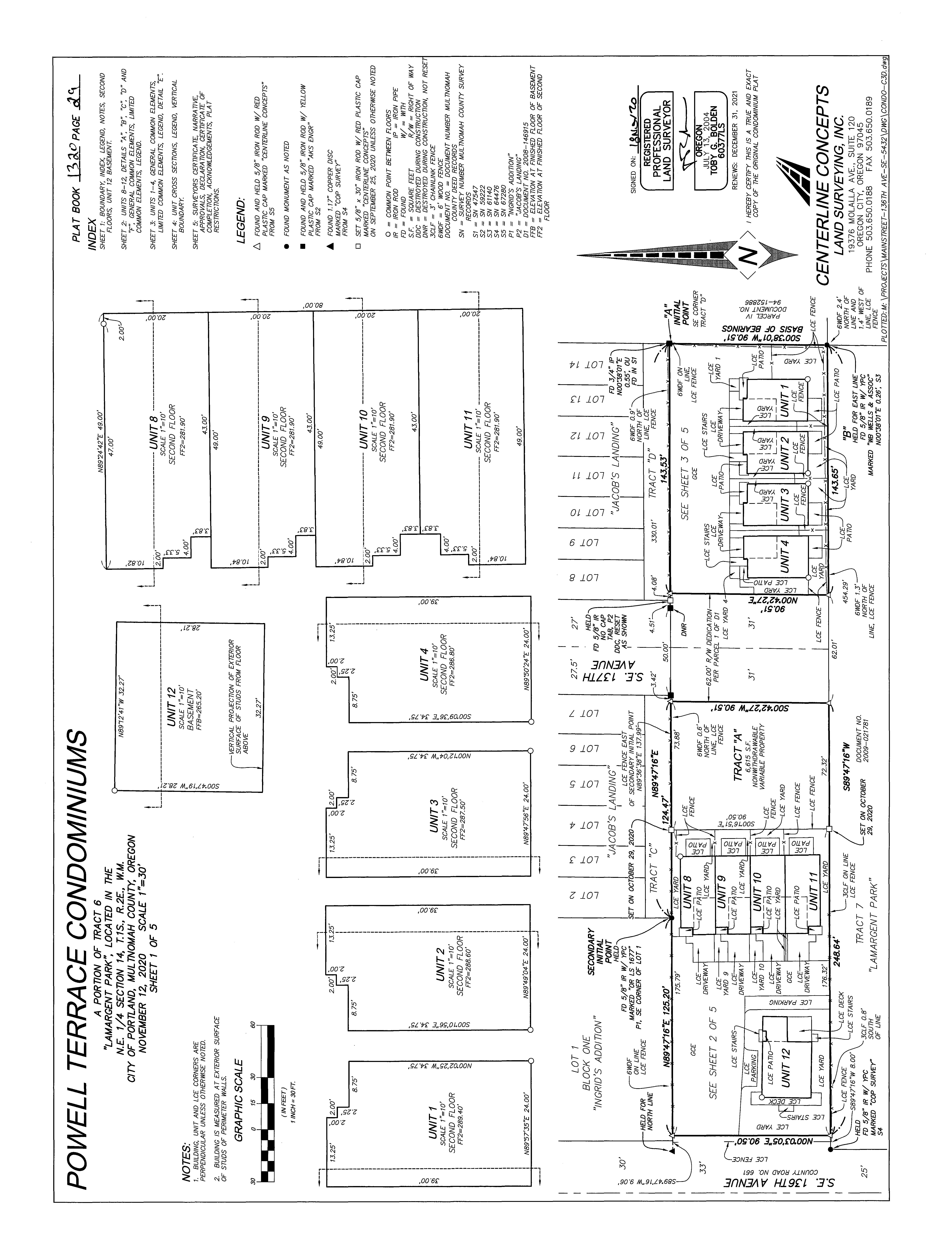
Map 1320/29,Ut 11

Map 1320/29,Tax ID 1S2E14AC Pcl 2400

Map 1320/29,Ut 11

Map 1320/29,Tax ID 1S2E14AC Pcl 2400

[TAXACCT#:R201308 ], APN(s): 1S2E14AC02400, 1S2E14AC02401

Co: ZZZ, Rem: SOURCE: SOFTPRO WORKSHEET [AA], APN(s): 1S2E14AC02400

Rem: MAP 1320/29

IANNUZZI MICHAEL THEODORE (TRUSTOR) IANNUZZI BRITTANY GRACE (TRUSTOR)

FINANCE OF AMERICA MORTGAGE LLC (LENDER) (LC) MORTGAGE ELECTRONIC REGISTRATION SYSTEMS INC. (MERS) (NOMINEE) Ut 11 Map 1320/29

136TH AVE LLC (OWNER) Ut 11 Map 1320/29

Co: FAT, $283,600.00, Rem: [TAXACCT#:R707889 ]

Rem: [TAXACCT#:R707889 ], Ref: 31215 03132020

Property Search

Multnomah, Oregon

Searched: Ut 11 Map 1320/29 428387700

Company: Lawyers Title Insurance Company

From

Property Cover: 1/2/1980 - 4/21/2025 Court Cover: 1/2/1980 - 4/23/2025

Searched By: AUSTIN BEAN

Searched On: 4/28/2025 5:51 PM

Legal Description Rel. Type Created Vacated Vacated\Replat Ut 11 Map 1320/29

From: Tax ID 1S2E14AC Pcl 2400 CF 3/24/2015 Full 1/7/2021 Map 1320/29 1/7/2021

From: Tax ID 1S2E14AC Pcl 2400 CF 3/24/2015 1/7/2021 Tax ID 1S2E14AC Pcl 2400 3/24/2015 Full 1/7/2021

To Legal Description Rel. Type Created Vacated Vacated\Replat No Overlying for: Ut 11 Map 1320/29 1/7/2021

This map/plat is being furnished as an aid in locating the herein described Land in relation to adjoining streets, natural boundaries and other land, and is not a survey of the land depicted. Except to the extent a policy of title insurance is expressly modified by endorsement, if any, the Company does not insure dimensions, distances, location of easements, acreage or other matters shown thereon.

This map/plat is being furnished as an aid in locating the herein described Land in relation to adjoining streets, natural boundaries and other land, and is not a survey of the land depicted. Except to the extent a policy of title insurance is expressly modified by endorsement, if any, the Company does not insure dimensions, distances, location of easements, acreage or other matters shown thereon.

This map/plat is being furnished as an aid in locating the herein described Land in relation to adjoining streets, natural boundaries and other land, and is not a survey of the land depicted. Except to the extent a policy of title insurance is expressly modified by endorsement, if any, the Company does not insure dimensions, distances, location of easements, acreage or other matters shown thereon.

This map/plat is being furnished as an aid in locating the herein described Land in relation to adjoining streets, natural boundaries and other land, and is not a survey of the land depicted. Except to the extent a policy of title insurance is expressly modified by endorsement, if any, the Company does not insure dimensions, distances, location of easements, acreage or other matters shown thereon.

This map/plat is being furnished as an aid in locating the herein described Land in relation to adjoining streets, natural boundaries and other land, and is not a survey of the land depicted. Except to the extent a policy of title insurance is expressly modified by endorsement, if any, the Company does not insure dimensions, distances, location of easements, acreage or other matters shown thereon.

Turn static files into dynamic content formats.

Create a flipbook
Issuu converts static files into: digital portfolios, online yearbooks, online catalogs, digital photo albums and more. Sign up and create your flipbook.
CCRs - 5394 SE 136th Ave by Lawyers Title Oregon - Issuu