VDB-Österreich
Die Verantwortung bleibt bei den Menschen

Interview
Was eine perfekte Zimtschnecke ausmacht
Forschung
Das Potenzial von Backlipasen www.brotundbackwaren.de
![]()
Die Verantwortung bleibt bei den Menschen

Interview
Was eine perfekte Zimtschnecke ausmacht
Das Potenzial von Backlipasen www.brotundbackwaren.de
Titel: Prüfstein Nachhaltigkeit
Publikation: 2024
200 Seiten, 49 €*

*Preis inklusive MwSt., für gedruckte und digitale Exemplare. Versandkosten sind nicht enthalten.

Catalina Mihu, Chefredakteurin baking+biscuit international E-Mail: mihu@foodmultimedia.de
Im Juni wurde Nvidia mit einem Wert von sagenhaften 3,34 Billionen US-Dollar zum wertvollsten Unternehmen der Welt. Es zog damit an Microsoft (3,32 Billionen US-Dollar) und Apple (3,27 Billionen US-Dollar) vorbei. Nvidias Wachstum in seinen ersten Jahren als börsennotiertes Unternehmen ist sogar noch beeindruckender als die Leistung der beiden anderen Giganten. Bekannt geworden durch seine Grafikkarten für den Gaming-Bereich, war Nvidias nächster Schritt der größte, den das Unternehmen bisher zurücklegte: Prozessoren, die Künstliche-IntelligenzSysteme antreiben, einschließlich generativer KI.
Wie bei allen neuen Technologien ist die Einführung an sich ein Prozess. In einem kürzlich erschienenen Artikel fragte „The Economist “: „Wo bleibt die mit Spannung erwartete KI-Revolution?“, stellte fest, dass KI noch keine nennenswerten wirtschaftlichen Auswirkungen habe, und argumentierte, dass Lösungen zwar verfügbar würden, deren Akzeptanz aber hinterherhinke. „Damit die KI ihr Potenzial ausschöpfen kann“, heißt es in dem Artikel, „müssen Unternehmen überall die Technologie kaufen, sie an ihre Bedürfnisse anpassen und dadurch produktiver werden.“
Das soll nicht heißen, dass KI ein vorübergehender Trend oder eine Nischentechnologie ist. Im Gegenteil: PwC bewertet KI als die bestimmende Technologie unserer Zeit und weist darauf hin, dass viele Branchen sie bereits auf die eine oder andere Weise implementieren. Wie bei den meisten tiefgreifenden Innovationen gibt es Stufen zur Anpassung und zur Nutzung ihrer Vorteile, die geradezu revolutionär sind.
Durch die Anpassung und Integration generativer KI verändern sich Geschäftsmodelle. Neue Möglichkeiten zur Entwicklung von Strategien tun sich auf. Die Produktionseffizienz ist ein zentraler Punkt, an dem Herstellungsprozesse durch den Einsatz von KI profitieren können. KI kann die vorausschauende Wartung auf die nächste Stufe heben und das Potenzial haben, Wartungskosten, unerwartete Geräteausfälle und Ausfallzeiten zu reduzieren.
Eine KI-gestützte Qualitätskontrolle bedeutet nahezu perfekte Ergebnisse für jede einzelne Einheit und minimalen Food Waste, wenn überhaupt. Sie kann Tools zur Maximierung der Produktionseffizienz bereitstellen: von der Produktionsplanung über Automatisierung und Ressourcenoptimierung bis hin zu einer erhöhten Flexibilität. Es ist nur eine Frage des „Wann“ und des „Wie“. Der noch nicht beschrittene KI-Weg ist längst in der Bauphase: Die Verkaufszahlen von Nvidia zeigen, dass die ersten Steine gelegt wurden. Spannende Veränderungen stehen bevor.
Catalina Mihu
... attraktive Mais-Spezialitäten mit eigenständigem Charakter
softig-zarte Gebäckstruktur und damit voll im Trend

...spannende Optik durch gold-gelbe Krume
...verfeinerbar durch Zugabe weiterer Zutaten und Toppings

DIE VERANTWORTUNG BLEIBT BEI DEN MENSCHEN
KI, Marktentwicklung, Nachhaltigkeit – das diesjährige Kolloquium der VDB Österreich in Schladming widmete sich aktuellen Themen und machte doch unmissverständlich deutlich, wer am Ende die Verantwortung trägt.

„WIR MACHEN MEHR, ALS MANCHE MEINEN“
Global denken, lokal arbeiten – Kai Rohde, Geschäftsführer Bakels Deutschland und Österreich, über die Vorzüge einer internationalen Unternehmensgruppe und was eine perfekte Zimtschnecke ausmacht.

DAS POTENZIAL VON BACKLIPASEN
Backlipasen werden bereits seit Jahrzehnten als Clean-Label-Backhilfsmittel in Brot eingesetzt. Aktuelle Studien zeigen, dass sie auch dazu geeignet sind, in feinen Backwaren wie Rührkuchen die Backqualität durch die Freisetzung von oberflächenaktiven Molekülen zu verbessern. Ihr Potenzial bei Rezepturveränderungen einer eifreien Rührkuchenrezeptur wurde daraufhin genauer untersucht.

LAMINIEREN: IMMER MIT DER RUHE
Kühlen und Ruhen sind bewährte Prozessschritte beim Laminieren von Teigen, insbesondere dann, wenn es um die Herstellung von Croissants und Blätterteiggebäck mit Butter geht. Mit dem Kühl- und Ruheschrank hat Rademaker diese Vorgänge in ein automatisiertes Verfahren überführt.

EINE INVESTITION FÜR DIE ZUKUNFT
Nach dem Motto „Stillstand ist Rückschritt“ hat die Kempf GmbH ihre ehrgeizigen Umzugspläne in etwas mehr als einem Jahr erfolgreich realisiert. Die neue, teils an Gebäude in New York erinnernde Firmenzentrale ist jetzt fertig.

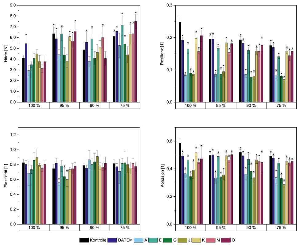
REPRODUZIERBARE, STABILE SAUERTEIGE
Kein Sauerteig gleicht dem anderen. Sein Wert liegt in der Vielfalt. Zur Optimierung bzw. Individualisierung eines Sauerteiges für eine spezifische Backware gibt es viele Stellschrauben. Je exakter diese justiert werden, umso besser wird das Resultat.
Tagungen
08 VDB Österreich: Die Verantwortung bleibt bei den Menschen
28 Großbäcker: Der Bäckerei-Filialtag 2024
42 Baker`s Day: Frische Ideen aus Bremerhaven
Zutaten
16 Bakels: „Wir machen mehr, als manche meinen“
Produktion
24 Rademaker: Immer mit der Ruhe
26 Jan Willem Jansen: Ein Prozess, zwei Phasen
38 DIOSNA: Reproduzierbare, stabile Sauerteige
Bleche und Formen
30 Kempf: Eine Investition für die Zukunft
Hygiene
36 Precisma: Gleichmäßiger und schonender Abrieb
Sauerteig
37 BÖCKER: Bessere Frischhaltung von Brot
Forschung
45 Karlsruher Institut fur Technologie: Das Potenzial von Backlipasen
Rubriken
03 Editorial
06 Nachrichten
22 Nachrichten
23 Neue Produkte
51 Inserenten-Verzeichnis






Nach einer Bauzeit von rund eineinhalb Jahren hat Handtmann eine neue Montagehalle am Produktionsstandort Biberach offiziell eröffnet. Der Geschäftsbereich Füll- und Portioniersysteme (FuP), Teil der diversifizierten Handtmann Unternehmensgruppe, investierte rund 14 Mio. EUR in den Ausbau seiner Produktionskapazitäten.
Harald Suchanka, CEO/CSO, und Dr. Mark Betzold, CTO des Geschäftsbereichs Füll- und Portioniersysteme, luden im Rahmen eines Sommerfestes die Unternehmensleitung und Belegschaft zur offiziellen Einweihung ein. „Diese Investition sichert nicht nur bestehende Arbeitsplätze, sondern schafft auch neue Perspektiven für die Zukunft. Durch die Erweiterung unserer Produktionskapazitäten können wir den steigenden Anforderungen unserer Kunden noch besser gerecht werden. Kurze Lieferzeiten und eine hohe Verfügbarkeit sind heutzutage unerlässlich und mit dieser neuen Montagehalle sind wir bestens gerüstet, um diesen Erwartungen gerecht zu werden“, so Dr. Mark Betzold. Mit der Inbetriebnahme der neuen Halle überführt Handtmann sein Montageprinzip in eine Taktmontage. In dem neuen Verfahren werden Vakuumfüllmaschinen in verschiedenen Stufen mit entsprechenden Vormontagen zusammengebaut. Durch die Taktfertigung werden Arbeitsplätze und -abläufe optimiert, Durchlaufzeiten reduziert und gleichzeitig

(v.l.) Harald Suchanka (CEO Handtmann FuP), Georg Briegel (Produktionsleitung FuP), Dr. Mark Betzold (CTO Handtmann FuP) und Markus Handtmann (Co-Geschäftsführer Handtmann Holding)
Fertigungsstückzahlen flexibler skalierbar, so Handtmann. Die Unternehmensgruppe beschäftigt weltweit etwa 4.300 Mitarbeiter, davon die Sparte der Füll- und Portioniersysteme ca. 1.500. Mit zahlreichen Tochtergesellschaften und Vertriebs- und Servicepartnern ist das Unternehmen global in über 100 Ländern vor Ort vertreten und zusätzlich über strategische Partnerschaften flächendeckend vernetzt. +++

Prof. Dr. Katharina Scherf, bisher Karlsruher Institut für Technologie (KIT), leitet seit April 2024 die Forschungsgruppe Food Biopolymer Chemistry am LSB (Leibniz-Institut für Lebensmittel-Systembiologie an der Technischen Universität München, TUM) und hat außerdem die Professur für Food Biopolymer Systems an der TUM. Nach ihrem Studium der Lebensmittelchemie an der TUM promovierte Prof. Scherf zum Thema Salzreduktion in Brot. Von 2012 bis 2019 war sie bereits am LSB tätig und leitete zu der Zeit die Forschungsgruppe Functional Biopolymer Chemistry. Im Jahr 2019 wurde sie Professorin am KIT, wo sie die Abteilung für Bioaktive und Funktionelle Lebensmittelinhaltsstoffe führte. Das Hauptforschungsgebiet von Prof. Scherf sind die Proteinzusammensetzung von Nahrungsmitteln und weizenbedingte Erkrankungen. +++
Weihnachtsbagels – Rezept und Anleitung kamen vor etlichen Jahren als Adventsgruß von Konrad Mändli, Fachberater für Brot und Backwaren, wie er sich bescheiden nannte, und fanden einen festen Platz in meiner privaten Rezeptsammlung. Wenn ich sie künftig nachschlage, verbinden sich Trauer und das Gefühl von Verlust damit, denn Konrad Mändli ist kürzlich völlig überraschend gestorben.
Das Gefühl von Verlust werden nicht nur seine Familie und seine Freunde empfinden, sondern auch seine Kunden und die gesamte Backbranche weit über seine Heimat Schweiz hinaus. Denn Konrad verkörperte etwas, was es heute nicht mehr so häufig gibt. Konrad verkörperte die Liebe zur Heimat samt ihrem Qualitätsverständnis für ursprüngliche Produkte und gleichzeitig eine Weltoffenheit, die selbst dann, wenn der Wissensunterschied groß war, jedem das Gefühl gab, auf Augenhöhe angesprochen zu sein.
Und das war oft der Fall, denn Konrad besaß ein immenses Wissen über Rezepte, Rohstoffe und Verfahren, egal ob handwerklich oder industriell. Er wusste, was geht, wie es geht und wie man das beste Ergebnis rauskitzelt. Denn auch das war Konrad, jemand für den es unabdingbar war, alle Dinge mit ganzem Herzen und großem Engagement zu einem Spitzenergebnis zu bringen. Auch so eine Tugend, die ein wenig aus der Mode gekommen zu sein scheint.
Natürlich musste er von seiner Arbeit leben, aber im Vordergrund standen immer die Einstellung zur Aufgabe und

der Respekt vor Rohstoff, Produkt und Verbraucher. Wer das mitbrachte, mit dem teilte er sein Wissen und seine Erfahrungen gerne und großzügig. Ich bin ihm zutiefst dankbar für seine Anregungen und die Diskussionen mit ihm.
Konrad Mändli wird fehlen, der Branche, den Verbänden, seinen Kollegen und allen, denen er viel gegeben hat, so wie mir. Halten wir die Erinnerung an ihn in Ehren.



Den neuen Webauftritt von Lesaffre Deutschland entdecken:


KI, Marktentwicklung, Nachhaltigkeit – das diesjährige Kolloquium der VDB Österreich in Schladming widmete sich aktuellen Themen und machte doch unmissverständlich deutlich, wer am Ende die Verantwortung trägt.
+KI – was ist das und was kann das? Diese Frage war Eingangsthema auf dem diesjährigen Kolloquium der VDB Österreich Mitte Juni in Schladming. Dr. Andreas Lederer von Advantage AI aus Wien war angetreten, die Grundbegriffe der KI zu klären.

Künstliche Intelligenz basiert auf der Technik des Maschinellen Lernens, und die gibt es im Prinzip bereits seit 20 Jahren. Der Unterschied zu früher besteht in der riesigen Datenmenge, die die Systeme heute verarbeiten und zur Lösung von Fragen heranziehen.
Die diesjährige Jahreshauptversammlung der VDB Österreich offenbarte, was kaum ein Branchenverband von sich behaupten kann: Die Mitgliederzahlen zum 1.1. dieses Jahres zeigen ein leichtes Plus um zwei Mitgliedschaften auf 128. Mit dieser Anerkennung im Rücken plant der Vorstand am 23. und 24. Juni 2025 das 18. Kolloquium in Schladming.
Im Prinzip wird dem Programm eine Aufgabe gegeben und dazu die Informationen über ganz viele Beispiele für Lösungen. Die werden statistisch durchgearbeitet, gefiltert und nach Wahrscheinlichkeit des Zutreffens geordnet. „Künstliche Intelligenz ist die Befähigung von Maschinen, menschliche Fähigkeiten wie logisches Denken, Lernen, Planen und Kreativität zu imitieren“, so Lederer.
Die heute verfügbare Diskriminierende KI kann, weil sie viele Hundebilder gesehen hat, einen Hund erkennen –oder aus historischen Daten eine Prognose für den Produktabsatz erstellen. Die Generative KI, so Lederer, ist hingegen in der Lage, einen Hund zu zeichnen und nach vorgegebenen Stichworten auf den ersten Blick plausible Texte schreiben, sie zu übersetzen und auch Bilder einzubeziehen oder durch die Generierung synthetischer Daten die Entwicklung kleiner
Nischensegmente abzuschätzen. Was als Multimodale KI bezeichnet wird, geht weiter und ist in der Lage, viele verschiedene Arten und Modi von Daten wie Text, Bild, Video, Sprach- und Audiodateien zu kombinieren und daraus Schlussfolgerungen zu ziehen. Bilder beispielsweise werden dabei semantisch befragt und dann verknüpft, sodass sich aus dem Bild eines Produktes beispielsweise Beschreibung und Rezept erfragen lassen.
Aber Vorsicht sei geboten. KI sei keineswegs zu 100 % verlässlich. Jedes maschinelle Lernen, so Lederer, ist nur für eine Aufgabe programmiert, die sie optimiert. Ihre Entscheidungen sind nicht immer nachvollziehbar und nicht objektiv. KI gibt Antworten auf Basis von Wahrscheinlichkeiten und ihre Antwort hängt ab von der Qualität der Daten, mit denen sie lernt. Dazu kommt die Frage, wie das System, das wegen der riesigen
Datenmengen in der Regel in den Clouds großer Anbieter arbeitet, mit den individuellen Daten umgeht.
Für Unternehmen etwa aus der Backbranche, so Lederer, ergeben sich mögliche Einsatzfelder für KI-Anwendungen:
+ Bedarfsprognose
+ Marketing
+ Automatisierung in der Backstube mit Robotern
+ Verwendung im Büro, beispielsweise durch Teilautomatisierung von Vorgängen
+ Unterstützung von Projektmanagement
+ Schreiben von Standardtexten
+ E-Mails standardisiert beantworten
+ Protokolle erstellen
+ Übersetzungen anfertigen
+ durch Datenanalyse Schlüsseltrends aufzeigen
+ Erstellen von Präsentationen

lationsrechnungen oder die Landwirtschaft durch personalisierte Fütterungspläne für das Vieh oder Anbauprognosen für die Felder. In Marketing und Werbung sei sie bereits angekommen. Die Sicherheitsbranche werde mit Deep Fakes, Gesichtserkennung und dem Verfolgen von Finanzströmen ebenso dabei sein wie die Arbeitswelt, in der Prozesse und Arbeitstechniken per KI optimiert werden.
Die SPAR selber nutze KI bereits für Datenanalyse und Prozessoptimierung. Deutliche Vorteile ergäben sich beispielsweise aus der Vorhersage insbesondere in sensitiven Sortimenten wie Frischfisch oder Obst und Gemüse. Genaue Mengenberechnungen und detaillierte Zeitpläne minimieren dabei den Weg beispielsweise von exotischen Früchten durch genauere Zeitpläne und Übergabezeitpunkte. Bei der Sortimentsplanung im Verkauf lasse sich mit KI deutlich stärker auf Regionalität oder auch die Ethnie der Kundschaft eingehen.
Da in Österreich, anders als in manchen Nachbarländern, wenig personalisierte Kundendaten zur Verfügung stehen, simuliere die SPAR aus Bondaten z. B. Artikelkombinationen, die dann in der Werbung gemeinsam angeboten werden, oder berechne, was Geschenkaktionen kosten. Simulationen würden auch eingesetzt, um Logistikstandorte oder Shopausstattungen zu planen.

Auch Leobacher warnte vor den Gefahren der KI, sie liefere weder zwingende Plausibilität, weise nicht unbedingt auf Quelle und Urheber von Daten hin und übernehme keine Verantwortung beispielsweise für den Datenschutz. Die Verantwortung bleibe bei den Menschen, die sich der KI bedienen.
Auch Hannes Leobacher, Leiter der IT-Abteilung der SPAR ICS aus Salzburg, beschäftigte sich mit der Frage, was mit der generativen KI auf Gesellschaft und Branche zukommt. Seiner Prognose nach wird der Einsatz von KI in fast allen Lebensbereichen auf die Gesellschaft zukommen. Sie werde das autonome Fahren ebenso unterstützen wie die Diagnostik in der Medizin, Wissenschaft und Umwelt durch Simu -
Webshops und Kundenkarten, die personalisierte Daten liefern, könnten künftig dazu beitragen, einen personalisierten Warenkorb zu empfehlen oder personalisierte Werbung anzuzeigen, personalisierte Rezeptvorschläge beizusteuern oder einem digitalen Sommelier die Weinberatung anzuvertrauen.
Erfolgreich genutzt wird bei der SPAR die KI auch für Training und Schulung von neuen Mitarbeitern sowie für die Auslastung der Logistik im Onlinegeschäft.
Thomas Mühlehner von der automationX GmbH aus Graz zeigte auf, dass vieles, was heute gerne als KI etikettiert wird, eigentlich noch in den Bereich der auf Funktionen aufbauenden Automatisierung gehört. Es gebe in fast allen Bereichen der Backbranche vorhandene digitale Systeme, die sinnvolle Ergebnisse liefern und sich vernetzen lassen. Natürlich könne man sie auch in KI-Lösungen einbinden, aber es sei die Frage, wie groß der Nutzen sei, wenn man die klar definierte Verknüpfung von Daten zugunsten von Wahrscheinlichkeiten verlässt. Außerdem bestehe aufgrund der externen Clouds, in denen die KI-Systeme laufen, eine erhöhte Gefahr von Angriffen von außen. Am Beispiel der TK-Bäckerei Resch und Frisch und deren APS-Produktionsplanungssystems zeigte er schließlich auf, wie weit vorhandene Systeme sich zu aussagefähigen Tools verknüpfen lassen.
Ein Beispiel, wie sich KI-Elemente in der Filialplanung einsetzen lassen, lieferte anschließend Marek Schula, Prokurist

der Höflinger Müller GmbH aus München. Das Unternehmen betreibt im Großraum München unter den Namen Müller und Höflinger 130 Filialen, Concept-Stores, Oma-Cafés unter dem Namen „Kuchentratsch“ sowie ein ausgedehntes B2B-Geschäft.
Gemeinsam mit einem Start-up-Unternehmen aus der IT-Branche habe man ein Projekt entwickelt, das nicht nur
die Verkaufsvorhersage für den folgenden Tag realisiert, sondern auch für die nächste Stunde. Hilfreich war dabei, dass alle Standorte mit einem einheitlichen Kassensystem ausgerüstet sind, sodass die KI aus deren Daten lernen kann.
Die Produktionsplanung für jede Filiale bildet alle dispositorischen Prozesse ab und definiert, wann welche Ware in welchen Mengen gebacken oder zubereitet werden muss. Die Zahlen liefern schnelle Infos, die näher am tatsächlichen Verkauf und Umsatz sind als frühere Systeme. Der positive Nebeneffekt, so Schula: Es werde mehr frische Ware verkauft und weniger Retouren produziert, weil individuell für jeden Laden besser geplant werde. Retouren werden vom System wertmäßig nach Deckungsbeitrag geordnet, was einer Optimierung der Steuerung diene. Artikel seien zudem in Gruppen zusammengefasst worden, um am Abend nicht mehr von allen Produkten etwas vorrätig zu haben, sondern ein definiertes Sortiment.
Charly, so heißt das System, definiert die Aufgaben und teilt sie dem Verkaufspersonal als To-do-Liste mit. Das, so Schula, wird von den Verkäuferinnen häufig besser akzeptiert als Anweisungen vom Außendienst. Gleichzeitig fühlen sich die Verkäuferinnen von den Planungsaufgaben entlastet. Das Programm trage obendrein zu einer verbesserten Frische im Thekenbild bei.
Natürlich komme es nach wie vor zu falschen Bonierungen. Man habe außerdem am Anfang mengenmäßig übersteuern müssen, um die optimalen Produktmengen zu finden, und so höhere Retouren produziert. Der Umgang mit den Tablets, insbesondere bei der Bestellung, die früher auf den Kassen stattfand, habe eine Umgewöhnung der Verkäuferinnen erfordert. Inzwischen stünden diese dem System allerdings sehr positiv gegenüber, weil Springer in allen Filialen das gleiche System vorfinden und so keine Umgewöhnung oder Einarbeitung nötig sei.
Während der Corona-Zeit stand bei vielen Verbrauchern die Qualität ihrer Einkäufe im Fokus. Inzwischen steigt hingegen die Preissensibilität. 68 % der Österreicher achten heute beim Einkauf von Gütern des täglichen Bedarfs, den sogenannten Fast Moving Consumer Goods –FMCG, auf den Preis. Werden ausschließlich Nahrungsmittel gekauft, ist die Preissensibilität geringer. Der Grund ist einfach. Während 2019 noch 41 % der Verbraucher von sich sagten, sie könnten sich fast alles leisten, waren es 2023 nur mehr 36 %, und während 2019 nur 18 % zu Protokoll gaben, sich fast nichts leisten zu können, sagen dies inzwischen 23 % über ihre finanzielle Situation. 73 % der Haushalte gaben 2023 an, das zu kaufen, was nötig ist, 27 % das, was ihnen gefällt. Im Vergleich: 2021 kauften 33 %, was ihnen gefällt, und 57 % das, was nötig ist. Dennoch:

Drei von vier Verbrauchern sagen weiterhin: „Ich verwöhne mich gerne mit gutem Essen.“
Zuzana Kienast vom GfK Consumer Panel Service hatte diese Zahlen aus den Consumer-Panel Österreich mit nach Schladming gebracht. Während der Corona-Zeit wuchsen die Umsätze mit Bioprodukten demnach deutlich. Als dann die Inflation kam, gaben 42 % von den Biokäufern weniger Geld dafür aus, selbst jene, deren finanzielle Situation sie dazu nicht unbedingt zwang. Im Vergleich der Jahre 2021 und 2023 gewachsen sind hingegen Produkte, denen man „gesund“ zu sein (10 %) und Bequemlichkeit (15 %) nachsagt. Während die Preissensibilität der Verbraucher wächst, sinkt gleichzeitig das Vertrauen in Gütesiegel etc. sowie in Markenprodukte. Kein Wunder also, dass der Anteil der


Stuttgart 26. – 29. Oktober
Halle 6, Stand C51
backaldrin führt mit RapsMaxMix Rapssamen in Brot und Brötchen ein und bereichert so das Bäckereisortiment durch ein innovatives Produkt.
Wir freuen uns auf Ihren Besuch auf unserem Messestand!
www.backaldrin.com
Handelsmarkenartikel an allen FMCG-Produkten mit 36,5 % derzeit auf einem Langzeit-Hoch liegt. Gleiches gilt für den 35%igen Anteil jener Waren, die aus Sonderangeboten gekauft werden.
Selbst Warensegmente, die mit Nachhaltigkeit und Gesundheit punkten und langfristig deutliche Zuwächse verzeichneten, lieferten im Vergleich der Jahre 2021 zu 2023 ein deutlich geringeres Plus.
Trends auf dem österreichischen Lebensmittelmarkt
• Preissensibilität wächst
• Vertrauen in Marken sinkt
• Vertrauen in Gütesiegel sinkt
• Bioanteil der FMCG geht nach Corona-Hoch zurück
• Vergleich 2023 zu 2021: 10 % Wachstum für Gesundheitsprodukte (2021 zu 2019: 24 %)
• Vergleich 2023 zu 2021: 15 % Wachstum für Convenience-Produkte (2021 zu 2019: 17 %)
• Vergleich 2023 zu 2021: 3 % Wachstum für Lifestyle und Premium (2021 zu 2019: 29 %)
• Handelsmarkenanteil bei FMCG 36,5 %
• Promotionsanteil steigt auf 35 %
• Marktanteil der Discounter steigt
• Markenanteil der Supermärkte und des Fachhandels sinkt
• E-Commerce-Anteil steigt, aber weniger Haushalte kaufen online
• 8 % der österreichischen Haushalte kaufen Backwaren online
Backwaren: Menge sinkt, Umsatz steigt
Mit den Vergleichszahlen der Marktentwicklungen von April 2023 bis März 2024 mit jenen von vor zwei Jahren zeichnete Frau Kienast ein differenziertes Bild für den Backwarenmarkt. Während der Umsatz in allen drei Kategorien: Brot, Gebäck (Brötchen etc.) sowie für Feinbackwaren und Kuchen ein zweistelliges Wachstum präsentierte, konnte lediglich die Kategorie Brot auch mengenmäßig zulegen.
Über alle drei Kategorien stieg der Marktwert im ZweiJahres-Vergleich um 16,2 % auf 1,7 Mrd. €. Die Erhöhung der Durchschnittspreise fand bei Brot und Feinbackwaren/ Kuchen von allem im ersten Inflationsjahr (2022) statt, während die Preise für Brötchen und Co in beiden Inflationsjahren um 8,3 bzw. 9,5 % stiegen.
Veränderungsraten im Vergleich Marktentwicklungen von April 2023 bis März 2024 mit April 2021 bis März 2022 in %

Im Durchschnitt kauft jeder österreichische Haushalt zurzeit rund 34 kg Brot im Jahr, 16,5 kg Gebäck und 18 kg Feinbackwaren/Kuchen. Im Brotsortiment stieg der Anteil der Promotionskäufe von 17,7 % auf 21,4 %. Mit 26,7 % wird heute mehr als ein Viertel aller Feinbackwaren/Kuchen aus Werbeaktionen gekauft, bei Gebäcken lässt sich ein solcher Trend nicht eindeutig ablesen, da geht der Anteil immer wieder mal rauf und runter.
Bei verpackten und mit einem EAN-Code gekennzeichneten Produkten wächst im österreichischen Handel der Eigenmarkenanteil im Vergleich zu vorhergehenden Jahren deutlich. Weißes Toastbrot erlebte 2023/24 ein deutliches Wachstum, während es bei dunklen Broten eine Verschiebung zu den günstigeren Sorten gab. Im LEH hießen die Top-Seller im Feinbacksortiment Golatschen, Krapfen und Milchbrötchen.
Im Handwerk hingegen positionierten sich dunkle Brote und Nussbrote unter den Top 15. Bei den Feingebäcken generierten Golatschen, Schnecken und Donuts Wachstum, während das Kuchensortiment eher auf dem Rückzug ist. Wachstum gab es allerdings auch für das Conveniencesortiment in Handwerk und im Handel.
Im Gesamtmarkt legten die Anbieter von Biosemmeln und Bio-Feinbackwaren zu, wohingegen es bei Biobrot einen deutlichen Rückgang zu verzeichnen gab.
Für die handwerklichen Backbetriebe gab es zum Schluss des Vortrages von Kienast noch eine bittere Nachricht. Ihr Marktanteil sinkt weiter, während Discounter und Hypermärkte gewinnen. Vor zehn Jahren konnten die Handwerker noch 50 % des Marktes für sich reklamieren, heute sind es gerade mal 31,5 %. Sie punkten vor allem bei Einkäufen für den heimischen Esstisch.
+„Was verbinden Sie mit Nachhaltigkeitsmanagement?“ Die prompte Antwort der Teilnehmer des Kolloquiums in Schladming auf die Frage von Dr. Silvia Payer-Langthaler von der ESG Consulting, Wartberg/Aist kam prompt: „mehr Bürokratie“.
Vor diesem skeptischen Hintergrund bemühte sich Payer-Langthaler zunächst um eine wissenschaftliche Einordnung des Themas. Forschungsergebnisse, so die Referentin, zeigen eindeutige Einflüsse des menschlichen Verhaltens auf den Klimawandel. Sogenannte Kipppunkte wirken zusammen und verstärken sich gegenseitig. 2050 seien allein in Österreich Schäden im Wert von 6 bis 12 Mrd. Euro zu erwarten. Hitzewellen, Artensterben, Wasserknappheit und ein dramatisch steigendes Hochwasserrisiko sind dafür nur einige Stichworte.

Dr. Silvia Payer-Langthaler von der ESG Consulting, Wartberg/Aist
Für die Unternehmen wachse der Druck, mehr für die Nachhaltigkeit ihres Handels zu tun und dies auch zu belegen. Allen voran nannte Payer-Langthaler jene EU-Richtlinie, die die Berichtspflichten in Sachen Nachhaltigkeit neu ordnet und ähnlich wie bei Bilanzen Fakten und Daten fordert und sich nicht wie in der Vergangenheit mit schönen Worten und Absichtserklärungen zufriedengibt. Gültig wird die Richtlinie ab 250 Mitarbeitern, bei mehr als 50 Mio. EUR Umsatz oder bei einer Bilanzsumme von mehr als 25 Mio. EUR. Die Richtlinie muss zuvor in nationales Recht umgesetzt werden. Dazu haben die Staaten bis Mitte 2025 Zeit; tun sie es nicht, gilt die Richtlinie „in voller Pracht“, so PayerLangthaler. Die Berichtspflicht werde vermutlich eine ähnliche Bedeutung wie das Qualitätsmanagement bekommen und Teil des Lageberichtes und der Prüfberichte werden.

26. –– 29.
Oktober 2024 Besser
Freuen Sie sich auf knusprige Trends und verführerische Innovationen! Die südback ist in Europa eine der größten Trend- und Fachmessen für Bäckerinnen und Bäcker sowie Konditorinnen und Konditoren, die ihre Leidenschaft dem Handwerk widmen. Informieren Sie sich hier über Rohsto e und Handelswaren, Arbeits- und Betriebstechnik, Geschä seinrichtung und -ausstattung sowie Verkaufsförderung, Dienstleistung, Information und Management.
suedback.de Fachmesse für Bäckerei und Konditorei Messe Stuttgart
#partofsuedback

Wir sehen uns auf der südback 2024!
Wer glaube, dass er formal nicht unter die Berichtspflicht falle, der könnte sich möglicherweise irren. Banken, Kunden, die gesamte Lieferkette, internationale Regulatoren sowie Arbeitnehmer und Gesellschaft werden künftig auch von kleineren Unternehmen eine faktenbasierte Darstellung der Nachhaltigkeitsperformance einfordern. Der größte Systemdruck, so Payer-Langthaler, werde entlang der Lieferkette entstehen. Vor allem Handel und Großabnehmer könnten
+Vorstandsmitglied Angela Pretzl berichtete auch in diesem Jahr aus dem Technical Committee der AIBI über die neuesten Entwicklungen in Brüssel.
Demnach verzögert sich die EFSA-Enzymbewertung weiter und wird vermutlich erst 2026 vorliegen. Für Acrylamid ist das FEI-Projekt „Acrylamid in Spezialbroten“ ausgelaufen und es ist nicht unwahrscheinlich, dass es zu einer Kennzeichnungspflicht kommt. Deutschland bemüht sich derzeit darum, für Brote mit Kartoffeln, Nüssen, Malz, Früchten etc. höhere Benchmark-Werte einzuführen. Auch andere Kontaminanten wie Nickel, Bisphenol A, Ergotalkaloide, Ergotsklerotien, 3-MCPD-Glycidylfettsäureester, Mineralölkohlenwasserstoff, Mykotoxine und PFAS stehen in der Diskussion und könnten über kurz oder lang von Grenzwerten oder gar von einem völligen Verbot betroffen sein. Insbesondere die PFAS, sogenannte Ewigkeitschemikalien, die u. a. in Beschichtungen vorkommen, sollen aus dem Verkehr genommen werden.
Die Zulassung von Rodentiziden mit sieben antikoagulanten Wirkstoffen, ein Mittel gegen Schadnager, ist bis Ende 2026 verlängert worden.
Im Zuge des Green Deals der EU wird auch die Lebensmittelinformations VO neu bewertet. Dabei soll die Nährwertkennzeichnung verpflichtend werden. Wie das aussehen soll und welche Rolle der Nutriscore dabei spielen könnte, aus dem einige Großkonzerne ausgestiegen sind, ist derzeit unklar. Es gibt aber alternative Kennzeichnungssysteme.
Ins Visier der EU ist auch das Anbringen von Umweltlabels geraten. Nach Brüsseler Erkenntnissen sind 50 % solcher Kennzeichnungen schwach oder gar nicht zu verifizieren. Deshalb arbeitet man an einer Richtlinie zur Bekräftigung der Verbraucherrechte. Bereits
darauf pochen und schon bald als Erstes den Carbon Footprint abfragen. Langfristig seien bei der Nachhaltigkeitsberichterstattung sowohl Umweltthemen wie Klimaschutz, Kreislaufwirtschaft, Umweltverschmutzung, der Umgang mit Wasser- und Meeresressourcen und Biodiversität, soziale Themen wie Mitarbeiter, Lieferketten, Verbraucher und Endkunden und schließlich der gesamte Themenkreis der guten Unternehmensführung zu berücksichtigen.

für 2025 ist eine Richtlinie geplant, die sogenanntes Greenwashing verbietet. Es könnte dazu kommen, dass alles, was an umweltbezogenen Aussagen nicht ausdrücklich erlaubt ist, künftig verboten ist.
Im Fokus der EU steht außerdem das Thema Lebensmittelverschwendung, wobei man vor allem die Menge der Lebensmittel, die in Haushalten, Gastronomie und Einzelhandel in den Müll wandern, bis 2030 halbieren will. Ein Weg dazu könnte die Überarbeitung des MHD sein.
Ebenfalls deutlich, wenn auch schrittweise reduziert werden sollen Verpackungsabfälle. Geplant sind 5 % weniger Abfälle bis 2030, gemessen am Referenzjahr 2018.

Vorstandsmitglied Angela Pretzl
Bereits ab Ende 2024 gilt die Sorgfaltspflicht der Marktteilnehmer zur Vermeidung der weltweit fortschreitenden Abholzung, indem sichergestellt wird, dass nur Erzeugnisse in den Markt gelangen, die frei von Abholzung und Waldschädigung sind und gemäß den nationalen Rechtsvorschriften erzeugt wurden. Dokumentations- und Nachweispflicht inklusive. Für Klein- und Mittelunternehmen gilt die Pflicht erst ab dem 30.6.2025. +++






































„Wir machen mehr, als manche meinen“
Global denken, lokal arbeiten – Kai Rohde, Geschäftsführer Bakels Deutschland und Österreich, über die Vorzüge einer internationalen Unternehmensgruppe und was eine perfekte Zimtschnecke ausmacht.
+Helga Baumfalk: Bakels ist ein internationales Unternehmen mit 38 Tochtergesellschaften und mehr als 2.000 Produkten im Portfolio. Herr Rohde, wie behält man bei diesem Umfang den Überblick?
Kai Rohde: Mag sein, dass unser weltweites Sortiment auf den ersten Blick etwas üppig wirkt, in Deutschland und Österreich beschränken wir uns auf ein festes Angebot an rund 200 Produkten, die wir ständig am Lager verfügbar haben. Hinzu kommen die Produkte, die wir kundenindividuell herstellen. Wenn sich aber ein Unternehmen für einen bestimmten Artikel, den wir in einem anderen Land anbieten, interessiert, dann liefern wir diesen natürlich auch.
Baumfalk: Wie häufig kommen Bäckereien mit individuellen Anfragen auf Sie zu?
Rohde: Rund 30 % unserer Aufträge liefern wir custom made. Wobei es in der Regel nicht um komplette Neuentwicklungen geht, sondern um Anpassungen. Wenn z. B. ein Kunde konkrete Erwartungen an eine Zimtfüllung hat, können wir unsere Rezeptur adaptieren, sofern die Abnahmemenge stimmt. Wobei: Insbesondere bei der Zimtfüllung treffen wir aber den Geschmack der Verbraucher perfekt, schließlich wird sie in unserem Werk in Göteborg hergestellt und die Schweden kennen sich mit dem Thema bekanntlich aus. Die Zimtschnecke oder besser die Canel Bulle stammt ja ursprünglich aus Schweden.
Baumfalk: Bakels Deutschland ist aus der ehemals schwedischen Aromatic hervorgegangen. Im März dieses Jahres haben Sie umfirmiert. Warum haben Sie das gemacht?
Rohde: Als ich Anfang 2023 als Geschäftsführer im Unternehmen gestartet bin, war mir beim Blick auf die Sortimente klar, dass ein Namenswechsel wichtig ist. Unter dem Namen Bakels können wir deutlicher nach außen tragen, was wir alles können. Aus Aromatic-Sicht sind Emulgatoren die Schuhe, mit denen wir am Markt das Laufen gelernt haben. Auch bei Malzen, fermentiertem Getreide und Füllungen

„Weil wir im Konzern länderübergreifend eng vernetzt zusammenarbeiten, können wir unsere Kompetenzen verbinden und voneinander lernen.“
Kai Rohde, Geschäftsführer Bakels Deutschland und Österreich
liegen wir weit vorn. Das weiß man am Markt. Aber wir machen viel mehr. Im Prinzip liefern wir alles, was der Bäcker braucht.
Baumfalk: Verkaufen Sie Ihre Produkte auch in andere Märkte?
Rohde: Unser Fokus liegt eindeutig auf der Backbranche, den Handwerks- und den Großbäckern. Noch relativ neu für uns ist der Foodservice-Markt. Momentan macht er den geringsten Umsatzanteil aus. Hier sehe ich aber großes Potenzial. Denn auch im Foodservice herrscht Fachkräftemangel und trotzdem wollen die Caterer den Gästen, beispielsweise auch die Schiffsausrüster, etwa auf Cruise Linern, frisches Brot und Kuchen in gleichbleibend guter Qualität anbieten.
Baumfalk: Wie ist Bakels Deutschland und Österreich in den Konzern eingegliedert?
Rohde: Von den weltweit 38 Ländern, in denen Bakels vertreten ist, sind 21 Produktions- und 17 Handelsländer, wie Deutschland mit Österreich. Alle Handelsländer sind frei in ihrer Entscheidung, bei welchem Produzenten sie kaufen. Das kann ein Bakels-Werk sein, muss es aber nicht zwingend. Zu 95% bedienen wir uns aus aber unseren eigenen Produktionen. Was Bakels auszeichnet, ist, dass jedes der Produktionsländer auf eine bestimmte Range fokussiert ist und die Kollegen vor Ort über die entsprechende Kompetenz in ihren Geschäftsfeldern verfügen. Weil wir im Konzern eng vernetzt zusammenarbeiten, können wir unsere Kompetenzen verbinden und voneinander lernen. Unser Werk in Schweden beispielsweise ist auf die Herstellung von Emulgatoren und backfähigen Füllungen spezialisiert, in den Niederlanden liegt der Fokus auf Brot- und Kuchenvormischungen, in Belgien auf wasser- und fettbasierten Füllungen sowie Fruchtfüllungen und in der Schweiz auf Sauerteigen. Neben den Produktionen sind dort jeweils die Kompetenzzentren und die Forschung & Entwicklung angesiedelt.
Baumfalk: Für welche Aufgaben nutzen Sie dann Ihr Backzentrum in Berlin?
Rohde: Zuallererst für Workshops mit Kunden, Schulungen eigener Mitarbeiter und für Entwicklungen für Kunden. Das Backzentrum wird von unserem Bäckermeister Stefan Rauer geleitet und ist eine komplett ausgestattete Backstube mit Öfen verschiedener Hersteller, Ausrollanlagen, Knetern und allem anderen Equipment. Hier arbeiten wir gemeinsam mit unseren Kunden u. a. an Produktoptimierungen. Gerade bei Cremes geht es oft um Kleinigkeiten, die die Bäckereien an ihre Erwartungen angepasst haben möchten.
Baumfalk: Welche Kleinigkeiten zum Beispiel?
Rohde: Oft sollen Cremes lockerer oder fester sein, heller oder gelber. Auch bei Brotmischungen wird manchmal nachjustiert. Die Ansprüche, vor allem die des Handels, an die Bäckereien sind hoch. In Berlin führen wir
Seinen Ursprung hat Bakels in der niederländischen Hauptstadt Amsterdam, wo das Unternehmen 1904 durch die Brüder Hendrik Adrianus und Bernardus Johannes Bakels unter dem Namen „BAKELS Senior“ gründet wurde. Heute ist Bakels eine internationale Unternehmensgruppe mit 38 Tochtergesellschaften und rund 2.750 Mitarbeitern. Der Hauptsitz befindet sich mittlerweile in Rothenburg in der Schweiz. Gewachsen ist das Unternehmen auch durch Akquisitionen. In den 2010er-Jahren wurden z. B. der Schweizer Hersteller Hochdorf-Nutribake und Aromatic aus Schweden übernommen. Der jüngste Zukauf ist wenige Monate alt. Im Dezember 2023 kam der britische Hersteller von Roll-Fondants, Karamell und Marzipan, Renshaw aus Liverpool, zur Gruppe dazu.
Zum Sortiment gehören heute mehr als 2.000 Backzutaten und Anwendungslösungen für Brot, Feingebäck, Kuchen und Süßwaren. Darunter sind u. a. Aromen, Farben, Glasuren, Malze, funktionelle Getreide, Trennmittel, Emulgatoren, Frischhalter, Stärken und Fruchtfüllungen sowie jetzt die Renshaw Roll-Fondants. Die Produkte, die häufig auch maßgeschneidert nach Kundenwunsch hergestellt werden, werden in über 120 Länder auf allen Kontinenten verkauft.
Um die Produktentwicklung voranzutreiben und für die Forschung & Entwicklung hat die Gruppe sechs Kompetenzzentren und 14 Backzentren aufgebaut. Die Kompetenzzentren befinden sich in Schweden, Großbritannien, Neuseeland, Belgien und der Schweiz. Backzentren gibt es u. a. in der Schweiz, den Niederlanden, Belgien, Malaysia, Chile und seit 2020 auch in Deutschland am Sitz der Bakels Deutschland GmbH in Berlin-Altglienicke. Die deutsche Tochter ging aus der Aromatic Marketing GmbH hervor und firmierte im März 2024 um. 14 Mitarbeiter gehören zum Team, das von Kai Rohde, Geschäftsführer Deutschland und Österreich, geleitet wird.

„Schon im letzten Jahr war bei Füllungen ein Trend zu Pistazie zu spüren, dieses Jahr hat die Nachfrage nochmals angezogen und wird, denke ich, von allen Marktteilnehmern registriert.“
Kai Rohde, Geschäftsführer Bakels Deutschland und Österreich

Produktentwicklungen im Kleinen durch. Vor allem aber tragen wir von hier aus neue Produktideen in den Markt.
Baumfalk: Füllungen gehören zu Ihren Fokusprodukten. Welche Trends machen Sie zurzeit aus?
Rohde: Nach wie vor sind Zimtfüllungen wichtig, aber besonders in Deutschland stellen wir momentan eine starke Nachfrage nach Pistazie fest. Sowohl backfähige Füllungen als auch Füllungen, die in Muffins oder Krapfen kalt eingespritzt werden, sind gefragt. Schon im letzten Jahr war der Trend spürbar, dieses Jahr hat die Nachfrage nach Pistazie nochmals angezogen und wird, denke ich, von allen Marktteilnehmern registriert.
Baumfalk: Haben Sie eine Erklärung für den Schub?
Rohde: Ich kann es nur vermuten. Die Nachfrage geht von NRW und Berlin aus, und Pistazie ist schon immer ein Thema gewesen, das im arabischen Raum eine große Rolle spielt.
Baumfalk: Wie sieht es mit der Nachfrage nach Zimtfüllungen aus?
Rohde: Sie ist in Deutschland im vergangenen Jahr geradezu explodiert. Klar, der Hype um die Zimtschnecke war der Treiber. Wobei sich die Angebotsform der Schnecke verändert hat. Heute bieten viele Bäckereien das Feingebäck nicht mehr gerollt, sondern in einer modernen Variante als Cubes, also als Viereck und im Blech gebacken an. Ansonsten wechseln die Trends nach Jahreszeit. Der Feingebäckmarkt ist traditionell geprägt und bleibt ein „Ich gönn mir was“-Thema.
Baumfalk: Stellen Sie Schwankungen in der Preisentwicklung bei bestimmten Zutaten fest?
Rohde: Die ganzen letzten zwei Jahren waren geprägt durch Preisdiskussionen. Momentan bewegen sich die Preise seitwärts. Was gut ist, weil es Raum lässt, sich mit wichtigeren Themen wie neuen Produktideen befassen zu können. Von Marktteilnehmern, die Schokolade anbieten, höre ich, dass die Preise in dem Bereich anziehen. Schokolade liegt für uns aber nicht im Fokus.
Baumfalk: Spielen Clean-Label-Produkte für Sie eine Rolle?
Rohde: Immer mal wieder. Natürlich führen wir Clean Label, stellen aber keinen stark wachsenden Markt fest.
Baumfalk: Sie sprachen vom Austausch mit Kollegen in anderen Bakels-Unternehmen. Gibt es Entwicklungen aus den Auslandsmärkten, die Sie auf den deutschen und österreichischen Markt übertragen konnten?
Rohde: Die Zimtschnecke ist tatsächlich ein solches Beispiel oder genauer die Cinnemon Remonce, unsere fertige backund froststabile Füllung, die die schwedischen Kollegen entwickelt haben und die heute sehr gut abverkauft wird. Von den Schweden stammt übrigens auch die Pistazien-Füllung und ganz neu: Säter.






















Baumfalk: Säter? Das müssten Sie mir erklären. Rohde: Es ist eine Füllung aus einer Marzipan-PersipanMischung mit intensivem Marzipan-Geschmack. Sie ist aber günstiger im Preis. In Schweden kennt man Säter, hierzulande weniger.
Baumfalk: Gibt es weitere erfolgreiche Neuproduktentwicklungen?
Rohde: In den Niederlanden arbeiten die Kollegen an einem veganen Krapfen. Kombiniert der Bäcker das Produkt mit einer veganen Cremefüllung, kann er ein komplett veganes Produkt anbieten. Nicht immer funktioniert es, Ideen von einem auf den anderen Markt zu übertragen. Honey Crumb zum Beispiel ist ein Artikel, der in Australien gut läuft, genauso wie die Kardamom-Schnecke (Cardamom Bullar) in Schweden. Ob es für beides einen Markt in Deutschland und Österreich gibt, müsste man probieren. Dennoch sehe ich im Austausch mit den Kollegen in anderen Ländern eine unserer wesentlichen Bakels-Stärken. Es eröffnet die Chance, Trends zu setzen, statt ihnen zu folgen.
Baumfalk: Wie bei der Zimtschnecke?
Rohde: Das Zimtthema haben wir nicht erfunden, waren aber zur richtigen Zeit mit der richtigen Füllung am Markt.
Baumfalk: Ist Zimt eine Geschmacksrichtung, die europaweit gut ankommt?
Rohde: Ich würde sagen, es ist ein nordeuropäisches Thema, das unserer Beobachtung nach von Norden nach Süden weiterzieht. Übrigens ist die Nachfrage nach Zimtschnecken in Österreich deutlich weniger stark.
Baumfalk: Was macht Ihrer Meinung nach eine richtig gute Zimtschnecke aus?
Rohde: Es braucht einen lockeren Hefeteig, eine gute Zimtfüllung und die Zimtschnecke muss latschig bleiben. Beim ersten Biss muss sie so schmecken, als sei sie noch nicht ganz durchgebacken.
„Im Austausch und der engen Zusammenarbeit mit den Kollegen aus den Bakels-Werken weltweit sehe ich eine unserer wesentlichen Stärken. Es eröffnet die Chance, Trends zu setzen, statt ihnen zu folgen.“
Kai Rohde, Geschäftsführer Bakels Deutschland und Österreich
Baumfalk: Welche Ziele haben Sie sich bei Bakels Deutschland vorgenommen?
Rohde: Nach langer Messeabstinenz präsentieren wir uns dieses Jahr wieder auf der südback. Grundsätzlich peilen wir für die nächsten Jahre ein gesundes Wachstum in Deutschland und Österreich an. Wir wollen noch bekannter werden und unser Sortiment dahingehend weiterentwickeln, dass uns unsere Kunden und neue Kunden als ersten Ansprechpartner ansehen, wenn es um innovative und traditionelle Zutaten geht.
Baumfalk: Herr Rohde, vielen Dank für unser Gespräch. +++
Es sind drei Themenwelten, mit denen sich das Unternehmen in Halle 6, Stand E11 auf der südback in Stuttgart präsentieren wird – dann erstmalig unter dem neuen Namen Bakels Deutschland. „Wir freuen uns auf einen regen Austausch und ganz besonders darauf, der Branche unser breites Produktportfolio am Messestand zu zeigen“, erklärt der Geschäftsführer Kai Rohde. Neben ihm werden auch Stefan Rauer (Leiter des Backzentrums) und Florian Wunderlich (Group Technical Officer der BAKELS Gruppe und Brot-Sommelier) und das Vertriebsteam am Stand vertreten sein. Zur Themenwelt „Backen“ werden u. a. Malze, Emulgatoren und Mischungen zur Herstellung von Brot und Brötchen vorgestellt. Außerdem informiert das Team bei Bakels über Fruchtfüllungen der Marke Bakbel sowie Marzipan und Roll-Fondants der Marke Renshaw. Eines der ProduktHighlights wird laut Unternehmen Renshaw Extra sein, ein Premium-Rollfondant, das den Angaben zufolge besonders elastisch ist und sich deshalb leicht verarbeiten lässt. Mit einer leichten Vanille-Note eignet sich das Produkt zum Überziehen von Kuchen, Keksen und Cupcakes sowie zum Modellieren und Dekorieren.























Bereits zum 14. Mal konnten sich Unternehmen mit herausragenden Konzepten, neuen Produktdesigns und technologischen Innovationen für den südback Trend Award qualifizieren. In diesem Jahr wurden über 40 Bewerbungen eingereicht und von einer Fachjury begutachtet.
Jetzt stehen die Gewinner fest:
+ In der Kategorie „Marketing, Verkauf und Organisation“ konnte die BÄKO-ZENTRALE eG mit BÄKO-AutoPOS, einem KI-gesteuerten Tool für ein kassenloses, autonomes Filialflächenmanagement, überzeugen. „BÄKO-AutoPOS ermöglicht ein bargeldloses Einkaufserlebnis, ganz ohne Anstehen in Warteschlangen an der Kasse. Dadurch bleibt mehr Zeit für die persönliche Beratung. Die automatisierten Prozesse steigern zudem die Effizienz im Filialbetrieb, und der digitale Kassiervorgang vermeidet Kassendifferenzen“, führt Stefan Strehle, Vorstandssprecher der BÄKO-ZENTRALE eG in Duisburg, aus.

+ Die UNIFERM GmbH & Co. KG aus Werne, die für ihre Fermentationsprodukte bekannt ist, trat in der Kategorie „Rohstoffe & Convenience“ mit ihrer Sortimentsneuheit

UNIFERM FermFresh ® AromaDurum an. Das Verfahren kombiniert die Vorzüge von Sauerteig- und Hefefermentation in einem Produkt. „Fermentation ist ein zukunftsfähiges und innovatives Konzept“, betont Elke Preißler, Leitung Unternehmens- und Marketingkommunikation bei UNIFERM. „Wir hatten das Glück, bereits 2017 den südback Trend Award zu gewinnen. Umso mehr freuen wir uns, dass wir dank stetiger Forschungs- und Entwicklungsarbeit mit unserer Weiterentwicklung, der DuoFermentation, die Jury erneut überzeugen konnten.“

+ Den Sieg in der Kategorie „Technik“ sicherte sich die VEMAG Maschinenbau GmbH aus Verden mit einer Automatisie rungslösung zum Befüllen von Blechen, Backformen oder Tortenringen. „Unser Knowhow liegt in der Entwicklung von innovativen Maschinen für die Backbranche“, erklärt Christoph Thelen, Geschäftsführer der VEMAG Maschinenbau GmbH. „Mit dem neuen Fülltisch FT722 bieten wir den Betrieben eine Lösung, mit der sie aktuelle Herausforderungen wie Personalmangel oder steigende Kosten besser meistern können.“

+ Über die Auszeichnung in der Sonderkategorie Nachhaltigkeit darf sich die Schneider GmbH aus Albershausen freuen. Der neue biologisch abbaubare, kompostierbare Spritzbeutel „Greeny“ begeisterte die Fachjury.
„Unser Einwegspritzbeutel ‚Greeny‘ ist ein nachhaltiges und ohne Kunststoff hergestelltes Produkt und für alle Bäcker, Konditoren und die Gastronomie geeignet“, sagt der Geschäftsführer Jochen Schneider.
Ab Mitte September kann das Fachpublikum unter einer Auswahl an Einreichungen außerdem noch den „Publikumsliebling“ wählen. Mehr Infos zu diesem Wettbewerb gibt es hier: www.suedback.de/trendaward
Die offizielle Verleihung aller südback Trend Awards findet am 26. Oktober 2024 im Rahmen der Messeeröffnung in Stuttgart statt. +++
Hefeteig-Siedegebäcke: Softe Krume, kurzer Biss
„Berliner Max“ heißt das neueste Siedegebäckprodukt von Zeelandia. Mit der Basismischung für Hefeteig-Siedegebäcke lassen sich Berliner mit, so das Unternehmen, super softer Krume und kurzem Biss herstellen. Außerdem zeichnen sich die fertigen Siedegebäcke durch einen gleichmäßigen, breiten, stabilen Kragen aus. Zeelandia verspricht Gelingsicherheit bei jeder Qualität von Flüssig-Vollei durch E.I.-Technologie (Ei-Innovations-Technologie): „Unsere E.I.-Technologie wurde speziell entwickelt, um mögliche, schwankende Flüssig-Vollei-Qualitäten auszugleichen.“ Sowohl die Teiglinge als auch die fertigen Gebäcke zeigen eine gute Frosterstabilität. Und die hohe Gärtoleranz und Gärstabilität sorgen den Angaben zufolge für ein ansprechendes Volumen und lange Stehzeiten. +++

Kreative Dekore machen Backwaren zum Hingucker, z. B. durch gepuffte Cerealien, Granulate und Flocken. Sie nicht nur optisch ansprechend, sondern entsprechen auch dem Trend zu mehr Natürlichkeit. Knusprig gepufft ist u. a. CeralGran Bio Amaranth von der SchapfenMühle. Es wird aus Bio-Amaranth hergestellt, der durch PuffingTechnologie mittels Druck und Dampf um ein Vielfaches vergrößert wird. Jedes Getreide behält dabei seine ursprüngliche Form, jedoch verändert sich seine Textur und ermöglicht dadurch noch vielfältigere Einsatzmöglichkeiten sowohl bei der Dekoration als auch der Teigzugabe. Ein anderes Produkt, das sich als Dekor für Brot und Brötchen eignet, ist Schapfen Dekor Mais. Es ist ein extrudiertes Maismehl, das die Backwaren mit seiner attraktiven gelblichen Farbe optisch aufwertet. +++

In der weltweiten Backwarenindustrie gibt es viele verschiedene Standards für Bäckerei Stikkenwagen, ebenso wie bei den einzelnen Bäckern. Deshalb produzieren wir hochwertige Stikkenwagen aus Edelstahl, die auf die individuellen Bedürfnisse jedes einzelnen Kunden zugeschnitten sind.
• Material: Hochbelastbare Edelstahlkonstruktion für Stärke und Haltbarkeit.
• Größe: Die Stikkenwagen sind so konstruiert, dass sie für mehrere Größen von Backformen geeignet sind und in Ihren Ofen passen.
• Rahmen: Verschiedene Rahmentypen wie Einzel-, Doppel-, Z-Rahmen und mehr.
• Auflagen: Verwenden Sie eine Standardanzahl und -typ oder entwerfen Sie ein einzigartiges Design.
• Lenkrollen und Räder: Hochbelastbare Lenkrollen und Räder in verschiedenen Materialien und Eigenschaften.
• Zubehör: Wählen Sie Zubehör wie Lenkung und Befestigungen, um den Anforderungen Ihrer Bäckerei gerecht zu werden.





Kühlen und Ruhen sind bewährte Prozessschritte beim Laminieren von Teigen, insbesondere dann, wenn es um die Herstellung von Croissants und Blätterteiggebäck mit Butter geht. Mit dem Kühl- und Ruheschrank hat der Maschinenbauer Rademaker diese Vorgänge in ein automatisiertes Verfahren als Teil eines Linienkonzepts überführt.

+„Ein Kühl- und Ruheschrank bringt Vorteile beim Herstellen laminierter Gebäcke wie Croissants und Blätterteiggebäcke“, weiß Jan Willem Jansen, Sales Technologist bei Rademaker. Warum? Das fasst er so zusammen: „Das in Schichten im Teig verteilte Fett wird durch das Kühlen und Ruhen auf genau die richtige Temperatur gebracht, die Hefeaktivität wird gehemmt und die zusätzliche Verweilzeit sorgt für mehr Teigentspannung und eine bessere Geschmacksentwicklung.“
Was das Kühlen und Ruhen bewirkt
Fettkonsistenz
Beim Abkühlen erhöht sich die Festigkeit des verwendeten Fetts im Verhältnis zum Teig. So kann sichergestellt werden, dass die Fettschichten bei weiteren Reduktionsschritten intakt bleiben. Jede Fettart hat ihre eigene optimale Verarbeitungstemperatur. Abhängig von der Art des Fetts und der

Marke/Zusammensetzung des verwendeten Fetts empfiehlt der Maschinenbauer unterschiedliche Teigtemperaturen, die erreicht werden müssen, wenn der Teig den Kühl- und Ruhebereich verlässt. Die empfohlene Temperatur ist im Allgemeinen am niedrigsten bei traditioneller Butter, dann folgen texturierte Butter und schließlich Margarine.
Hefeaktivität
Die niedrige Temperatur im Kühl- und Ruheschrank hemmt die Hefeaktivität und damit die Gasentwicklung. Dies ist besonders wichtig bei vorgegartem gefrostetem Teig, bei dem, das stellt Rademaker fest, das Backvolumen im Rahmen der Haltbarkeit nach dem Einfrieren besser gewährleistet ist.
Geschmacksentwicklung
Die Prozessverlängerung und damit die längere Ruhezeit führt zu einer ausgeprägteren Geschmacksentwicklung und

gleichzeitig zu einer Entspannung des Gluten-Netzwerks. Grundsätzlich gilt: Je länger die Kühl-/Ruhezeit, desto besser ist die Geschmacksentwicklung.
Durch das Kühlen bzw. die Ruhezeit entsteht eine weichere, weniger trockene Teigstruktur.
Entspannung des Gluten-Netzwerks
+ Eine Teigruhe von mehr als 45 Minuten entspannt die Glutenstruktur nach dem Mischen und Laminieren.
+ Das Mehl erhält mehr Zeit, das Wasser vollständig zu binden.
+ Die Teigruhe erhöht die Teigelastizität. Ein Teig mit guter Elastizität ist leicht zu dehnen. Dies ist wichtig, um das Produkt zu formen und die gewünschte Form zu erhalten.
+ Durch das Ruhen schrumpft der Teig in der letzten Reduktionsstufe weniger, was mit der niedrigeren Temperatur, mit der das Teigband den Kühl- und Ruheschrank verlässt, zusammenhängt. Kältere Teige haben während der Reduktion eine geringere Elastizität als wärmere Teige. Die Elastizität bezieht sich auf die Fähigkeit des
Teigs, nach einer Dehnung in seine ursprüngliche Form zurückzukehren. Ein Teig, der nach dem Formen merklich zurückfedert, gilt als zu elastisch.
Gesamtprozessstabilität
Ein Kühl- und Ruheschrank sorgt für mehr Prozessstabilität und kann insbesondere bei Temperaturschwankungen in der Produktion von Vorteil sein. +++

Beim Einsatz eines Kühl- und Ruheschranks ist es das Ziel, ein Teigband mit einer homogenen Temperatur über die gesamte Teigbanddicke zu erzielen. Dabei ist es wichtig, dass ein Gleichgewicht besteht zwischen der Temperaturdifferenz, um die das Teigband heruntergekühlt werden muss (Delta T), der Verweilzeit im Tunnel und der Kühltemperatur der Luft.
+ Gekühlt werden die Teigbänder über indirekte Luftkühlung. Die Leitungen sind unterhalb des Förderbands angeordnet, sie erzeugen einen aktiven Luftstrom, der dem Teigband Wärme entzieht. Da die Luft nicht direkt über das Teigband geführt wird, trocknet der Teig auch nicht aus. Zudem reduziert das Prinzip der indirekten Kühlung eine unerwünschte Verdunstung von Wasser auf ein Minimum.
+ Es wird kein zusätzliches Belüftungssystem im Tunnel benötigt, um die Luft zu verteilen und/oder zu befeuchten oder Feuchtigkeit zu entziehen. Dadurch wird sichergestellt, dass im Kühl- und Ruheschrank ein geringer Luftstrom vorliegt.
+ Verschiedene Sensoren sichern die Führung des Teigbands durch den Kühl- und Ruheschrank. Die Bedienung ist einfach, da die Temperatur über das Bedienfeld eingestellt wird. Die Parameter sind in der Rezepturdatenbank hinterlegt. Bei der Auswahl der Rezeptur werden die Einstellungen automatisch hochgeladen.
Bei einem Linienstopp reagiert das System automatisch und leitet in dem Fall weniger kalte Luft und/oder Luft mit niedrigerer Geschwindigkeit ein. Das bedeutet, dass die richtige Lufttemperatur und -geschwindigkeit automatisch wieder auf das richtige Niveau eingestellt werden, wenn das Programm fortgesetzt wird.
+ Die Prozesseinheit arbeitet ohne chemische Kühlmittel im Produktbereich, lässt sich einfach reinigen und kann an jedes Linienlayout angepasst werden.

+ Die temperatur- und feuchtigkeitsgeregelte Prozesseinheit lässt sich außer für die Herstellung laminierter Teige auch in der Produktion von Brot einsetzen, etwa um den Teig für eine bessere Produktqualität ruhen zu lassen. Ein Beispiel für ein Produkt, bei dem es in dieser Form angewandt wird, ist Fladenbrot.
Was steht beim Kühl- und Ruheschrank technologisch im Vordergrund? Das Kühlen oder das Ruhen? Zehn Fragen an Jan Willem Jansen, Sales Tech nologist, Rademaker.

+Helga Baumfalk: Herr Jansen, Sie betonen die Bezeichnung „Kühl- und Ruheschrank“. Was steht im Vordergrund? Ist es die Kühlung der beim Laminieren erwärmten Fette und Teige? Oder die Teigruhe, die den Teigen ihre Struktur und Verarbeitbarkeit gibt und die Aromenbildung beeinflusst?
Jan Willem Jansen: Der erste Teil der Anlage ist mit einer indirekten Kühlphase ausgestattet, um ein schnelles Abkühlen des Teiges zu gewährleisten. Hier geht es auch darum, die Hefeaktivität zu verlangsamen, wenn Hefeteige verarbeitet werden. Der zweite Abschnitt ist der Teil, den wir Ruhephase nennen. In dieser Phase erzielen wir eine gleichmäßige Temperaturabsenkung über das gesamte Teigband hinaus, und zwar so, dass letztlich die Kerntemperatur des Teigbands seiner Oberflächentemperatur entspricht.
Baumfalk: Gibt es Unterschiede, je nachdem, welche Produktart man produzieren will?
Jansen: Wir können den Kühl- und Ruheschrank nach spezifischen Kundenanforderungen oder Produkten fertigen. Im Allgemeinen lässt sich sagen, dass das Produkt zunächst die Kühl- und dann die Ruhephase durchläuft. In unserem Technologiezentrum befindet sich ein vollwertiger Kühl- und Ruhetunnel, der für Tests und Demonstrationen zur Verfügung steht.
Baumfalk: Können Sie auf Forschungsergebnisse zurückgreifen, die die Verbesserungen, wie Sie sie beschreiben, bestätigen?
Jansen: Aus unseren internen Studien wissen wir, dass sich signifikante Verbesserungen bei der Fettverarbeitung in der Ausrollzone und bei der Schichtenstabilität im Endprodukt
ergeben. Zusätzlich erhalten wir regelmäßig positive Rückmeldungen aus der Branche, wenn bisherige Verfahren mit dem neuen Prozess verglichen werden.
Baumfalk: Wie lange sollten die Teige in den Kühl- und Ruheschränken verbleiben?
Jansen: Das hängt von der Umgebungstemperatur, der Dicke des Teigbands, dem gewünschten Qualitätsniveau sowie weiteren Faktoren ab. Ganz allgemein empfehlen wir eine Kühl- und Ruhezeit zwischen 90 Minuten und 2 Stunden.
Baumfalk: Wird die Steuerung der Kühl- und Ruheschränke in die Liniensteuerung integriert oder separat geführt?
Jansen: Sie ist in die Steuerung der Anlage integriert und nach Rezeptur gespeichert. Die Förderbänder sind Teil des Systems und folgen allen Geschwindigkeitsänderungen ohne manuellen Eingriff.
Baumfalk: Empfehlen Sie die Integration in eine automatische Linie oder eine separate Aufstellung, die je nach Bedarf über einen Bypass angesteuert wird?
Jansen: Darauf gibt es keine allgemeingültige Antwort. Dies hängt von der Auslegung der Anlage ab und die wird wiederum durch die Räumlichkeiten, in denen die Linie installiert werden soll, und die Wünsche des Kunden bestimmt. Eine Bypass-Option ist natürlich grundsätzlich möglich und sorgt für Flexibilität. Wenn Kühlen/Ruhen bei der Produktion eines anderen Produkts nicht gewünscht ist, kann der Teig direkt zu den Einheiten nach dem Tunnel weitergeleitet werden. In jedem Fall ist der Kühl- und Ruheschrank Teil eines vollautomatisierten Systems.
Baumfalk: Gelten Ihre Empfehlungen für industrielle wie handwerkliche Produzenten gleichermaßen oder reichen bei handwerklicher Herstellung auch Stikkenwagen, auf denen die Teigplatten in vorhandene Kühlräume gefahren werden, um die beschriebenen Effekte zu erzielen?
Jansen: In beiden Fällen gelten die Empfehlungen, die Teige zu kühlen und Teigruhe einzuhalten. Wir bemerken einen Unterschied zwischen der Rademaker- und der RadiniProduktgruppe. Bei den Radini-Linien wird eine linienunabhängige Kühl-/Ruhephase angewandt. Die Teigplatten werden dann von der Linie genommen und mit Stikkenwagen in eine Kühlung transportiert, um beispielsweise über Nacht zu kühlen und anschließend wieder auf die Linie zur Weiterverarbeitung zurückgeführt zu werden. Auch auf einer Rademaker-Linie ist es möglich, mit Teigblöcken zu arbeiten. Wir sehen jedoch, dass die Mengen, die
produziert werden müssen, in vielen Fällen zu hoch sind, um diesen Prozessschritt manuell auszuführen.
Baumfalk: Wie lassen sich diese Schränke hygienisch einwandfrei reinigen?
Jansen: Weil sich die Luftkanäle ohne Werkzeug öffnen lassen, sind sie einfach zu reinigen. Die Fördersysteme können leicht entspannt werden. Die offenen Bahnteile sind für die Reinigung dann leicht zugänglich. Außerdem gibt es keine geschlossenen Antriebskästen, in denen sich Schmutz ansammeln könnte. Und die Schränke sind mit Abläufen für eine gute Entwässerung ausgestattet.
Baumfalk: Kann man den Schrank ggf. auch von Kälte auf Wärme umschalten und als Ruheraum für Teige, vielleicht sogar als Gärschrank nutzen?
Jansen: Theoretisch ist das möglich, in der Praxis kommt es aber nicht vor. Produktionslinien werden speziell für bestimmte Produktgruppen oder Prozesse gebaut, und damit verbunden ist die Entscheidung, entweder zu kühlen oder zu heizen, wie im Fall eines Gärschrankes.
Baumfalk: Wie hoch ist der Prozentsatz Ihrer Kunden, die ihre Laminierlinien bereits mit derartigen Kühl- und Ruheschränken ausgerüstet haben?
ai172172190615_100384_Schapfen Urlaib_Anzeige_Brot Backwaren_210x142mm_Druck.pdf
Jansen: Wenn wir über Laminierlinien für Croissants oder Blätterteigprodukte mit hohen Produktionsmengen sprechen, enthalten 85 bis 90 % der verwendeten Systeme auch eine Kühl- und Ruheeinheit. Radini-Kunden – häufig Handwerksbetriebe – nutzen eine Offline-Kühl- und Ruhephase, andere verarbeiten den Teig ohne diesen Prozess. Eine Prozessverlängerung wird aber nicht nur bei der Produktion von laminierten Teigen angewandt. Auch bei der Herstellung von Brotprodukten werden temperatur- und feuchtigkeitskontrollierte Tunnel verwendet, um den Teig ruhen zu lassen und so eine optimale Produktqualität zu erzielen. Ein Beispiel für ein Produkt, bei dem dies so angewandt wird, ist Fladenbrot oder Pizza.
Baumfalk: Herr Jansen, vielen Dank für unser Gespräch. +++
Bitte scannen: Ein Extra-Beispiel für das Kühlen und Ruhen bei Radini-Anlagen





























Unsere urige Mühlenvormischung Schapfen Urlaib überzeugt mit besten Zutaten. Getreidearten wie Waldstaudenroggen, Einkorn und Emmer, kombiniert mit aromatischem Gerstenmalz-

extrakt und hauseigenem Sauerteig, garantieren ein einzigartiges Geschmackserlebnis. Fragen Sie Ihren SchapfenMühle-Verkaufsberater nach Produktinformationen.


In Düsseldorf veranstaltete der Verband Deutscher Großbäckereien seinen diesjährigen Filialtag. Die Tagung am 6. Juni bot eine Plattform für den Austausch über aktuelle Herausforderungen und zukünftige Entwicklungen in der Branche.
Von Zhanar Sadyk, Fachjournalistin und Lebensmitteltechnologin
+Die sechs Vorträge von Branchenexperten deckten Themen ab wie Rohstoff- und Energiekosten, Digitalisierung, gesetzliche Anforderungen und nachhaltige Förderstrategien.

Alexander Heberer, Mitinhaber der Wiener Feinbäckerei und Vorsitzender der Fachgruppe Filialbäckereien des Verbands, eröffnete die Tagung mit einer Analyse der aktuellen Herausforderungen im Bäckereifilialgeschäft. Besonders hob er die drastisch gestiegenen Kosten für Rohstoffe, Energie und Personal sowie den anhaltenden Fachkräftemangel hervor, die zur Schließung vieler kleinerer Bäckereien und zu eingeschränkten Öffnungszeiten führen. Zudem thematisierte er Veränderungen im Kundenverhalten und die zunehmende Konkurrenz durch Supermärkte und Discounter. Abschließend betonte Heberer die Chancen durch die Nutzung von KI und IT sowie die Bedeutung der Nachhaltigkeit und der Anpassung an neue Trends, um wettbewerbsfähig zu bleiben.
Bettina Werning, Senior Consultant bei der Samuelson Kassensysteme GmbH, Berlin, präsentierte digitale Konzepte für Bäckereifilialen, darunter das neu
entwickelte Samuelson BackShop System. Dieses System umfasst Kassen, Bestellterminals und WebShops, die speziell für die Anforderungen von Bäckereifilialen optimiert wurden. Zusätzlich stellte sie BackDispo zur effizienten Warenverteilung und BackPro als umfassendes ERP-System vor. Diese Lösungen sollen die Betriebssicherheit erhöhen und Mitarbeiter entlasten. Werning betonte die Bedeutung der Digitalisierung zur Steigerung der Effizienz und Kundenzufriedenheit sowie zukünftige Entwicklungen im Bereich der Selbstbedienung.

Stephan Schmidt, Fachanwalt für ITRecht bei TCI Rechtsanwälte, Mainz, erläuterte die neuen Anforderungen der NIS-2-Richtlinie und des deutschen Umsetzungsgesetzes als Teil der europäischen Cybersicherheitsstrategie. Diese verpflichtet Unternehmen zu umfassenden IT-Sicherheitsmaßnahmen, einschließlich Risikoanalysen, Management von Sicherheitsvorfällen und Schulungen zur Cybersicherheit – auch für die Geschäftsleitung. Unternehmen müssen sich beim BSI registrieren und erhebliche Sicherheitsvorfälle melden. Diese Maßnahmen sind unerlässlich, um den steigenden Bedrohungen im
Bereich der IT-Sicherheit wirksam zu begegnen, erklärte Schmidt.
Dr. Frank Eckhoff, Rechtsanwalt und Partner bei Heuking, Köln, präsentierte aktuelle Themen des Arbeitsrechts. Er behandelte Änderungen im Nachweisgesetz und deren praktische Umsetzung, die rechtssichere Zustellung von Kündigungen sowie die Möglichkeiten der Anfechtung von Arbeitsunfähigkeitsbescheinigungen. Besonders hervorzuheben war seine Diskussion über das Handyverbot am Arbeitsplatz und die rechtlichen Aspekte der Kündigung von Homeoffice-Vereinbarungen. Zudem ging er auf die Vorund Nachteile von Versetzungsvorbehalten ein.
Felix Voigtmann, Experte für Fördermittel bei CF-Enterprise GmbH, Zuzwil, präsentierte neue Beratungsstrategien zur nachhaltigen Entwicklung und langfristigen Wettbewerbsfähigkeit von Filialbäckereien. Seine Fördermittelkonzepte umfassen neue Programme zur Steigerung der Energie-, Materialund Ressourceneffizienz sowie zur Digitalisierung und zum Nachhaltigkeitsmanagement. Durch gezielte Fördermittelstrategien können Filialbäckereien ihre Energiekosten senken und Wettbewerbsvorteile erzielen, berichtete Voigtmann.
Stephan Heinrich, Geschäftsführer von „Zeit für Brot“ (AF ZFB GmbH, Berlin), stellte die Strategie des Unternehmens vor, das in 15 Bioland-zertifizierten Bäckereien autark vor Ort backt und Kunden transparente Einblicke in den Backprozess bietet. Dieses Alleinstellungsmerkmal schafft Vertrauen und stärkt die Kundenbindung. Heinrich erläuterte, dass die transparente
Gestaltung der Backprozesse in den Bäckereien, die in Städten wie Frankfurt, Berlin, Hamburg und Tel Aviv liegen, ein einzigartiges Einkaufserlebnis schafft und Nachhaltigkeit sowie Qualität betont.
Zum Abschluss der Tagung diskutierten die Teilnehmer die wesentlichen Erkenntnisse und erarbeiteten wichtige Erkenntnisse für ihre Betriebe. Ein zentrales Thema war die Notwendigkeit, sich auf steigende Kosten und Fachkräftemangel einzustellen und gleichzeitig innovative Lösungen zu finden, um wettbewerbsfähig zu bleiben. Die Teilnehmer betonten die Bedeutung der Digitalisierung zur Effizienzsteigerung und Erhöhung der Kundenzufriedenheit. Die strategische Nutzung von Fördermitteln wurde als Schlüssel zur finanziellen Entlastung und Förderung nachhaltiger Praktiken hervorgehoben.
ANZEIGE
Wichtige Themen des Filialtags:
1. Steigende Kosten: Entwicklung von Strategien zur Minimierung des Einflusses steigender Rohstoff- und Energiekosten.
2. Fachkräftemangel: Innovative Ansätze zur Rekrutierung und Bindung von Fachkräften sowie die Entlastung von Mitarbeitern durch IT-Technologie.
3. Digitalisierung: Investitionen in digitale Lösungen zur Effizienzsteigerung und Anpassung an veränderte Kundenbedürfnisse.
4. Fördermittel: Gezielter Einsatz von Fördermittelprogrammen zur Reduzierung finanzieller Belastungen und Unterstützung nachhaltiger Investitionen.
Die Veranstaltung bot wertvolle Einblicke und praxisorientierte Lösungsansätze für die aktuellen Heraus-
forderungen der Bäckereibranche. Durch den gezielten Einsatz von Fördermitteln und digitalen Technologien können Filialbäckereien ihre Wettbewerbsfähigkeit langfristig sichern und nachhaltige Geschäftspraktiken fördern. Der Austausch und die Diskussionen während der Tagung stärkten das Gemeinschaftsgefühl und die Zusammenarbeit innerhalb des Verbands, was als wesentliche Stärke für die Zukunft der Branche gesehen wird.
Zum Abschluss des Filialtags haben sich die Teilnehmer bei Armin Juncker für seine jahrelange und herausragende Tätigkeit als Hauptgeschäftsführer des Verbands bedankt. Wie bereits berichtet, obliegt die Hauptgeschäftsführung seit 1. Juli 2024 seinem Nachfolger Tobias Schuhmacher. +++

Halle 9 26.-29. OKTOBER 2024 JETZT Tickets bestellen:
Stand B16

Nach dem Motto „Stillstand ist Rückschritt“ hat die Kempf GmbH ihre ehrgeizigen Umzugspläne in etwas mehr als einem Jahr erfolgreich realisiert. Die neue, teils an Gebäude in New York erinnernde Firmenzentrale befindet sich jetzt hier: Am Reutfeld 1 in 85296 Rohrbach.

+Im November 2022: Sieben Spatenstiche an einem frischen Morgen sind das erste sichtbare Zeichen für ein lang geplantes Erweiterungsprojekt. In Anbetracht des instabilen geopolitischen Umfelds in Europa und darüber hinaus, verschiedentlicher Unterbrechungen in der Lieferkette und der weltweiten Inflationssorgen hat Kempf das Timing richtig gewählt und auf einer Fläche von 20.000 m² einen neuen Hauptsitz errichtet, der die notwendige Produktionserweiterung möglich macht und ausreichend Platz für Logistik und moderne Büroflächen bietet. Nach einem Jahr und einem Invest von rund 30 Mio. EUR ist aus dem ehrgeizigen Plan ein neues Werk entstanden, in dem derzeit 150 Mitarbeiter tätig sind.
Vier Monate lang, bis Ende 2023, ist das Unternehmen schrittweise umgezogen, Linie für Linie. Die Produktion stand nie komplett still. Zuletzt, in der Zeit zwischen Weihnachten und Neujahr, wurden die Schreibtische, Computer, Lieblingstassen und die gesamte Bürologistik verlegt. Anfang Mai 2024 war brot+backwaren zu einer Werksbesichtigung vor Ort. Es war einer der ersten Besuche, die Kempf an neuer Adresse ermöglichte, noch vor der offiziellen Eröffnungsveranstaltung, die nach dem Sommer geplant ist.
Neues Umfeld zum Arbeiten
Das Ziel war es, die Produktion so weit wie möglich zu automatisieren und neue Technologien einzuführen, um die
Effizienz und Produktivität zu steigern. Wobei der Umzug an eine Bedingung geknüpft war: Das Unternehmen wollte in Rohrbach bleiben, dem kleinen Ort rund 50 km nördlich von München, wo alles begann.

„Unser Ziel ist es letztlich, PFAS-freie Beschichtungen anbieten zu können, die eine noch bessere Leistung mitbringen, also eine noch bessere Antihaftwirkung zeigen, leichter zu reinigen und langlebiger sind, als die heutigen Fluorpolymerlösungen.“
Eine neue Beschichtungsanlage war die erste Anlage, die an dem neuen Standort ihren Betrieb aufnahm. Sie war von Anfang an für Kapazitätserweiterungen ausgelegt. Kempf baut nicht nur, das Unternehmen erforscht auch neue Technologien. Nachhaltigkeit war hierbei ein wichtiger Schwerpunkt. Auf dem Dach wurden deshalb über 6.000 Solarzellen montiert. Die 2.100-kWp-Photovoltaikanlage liefert Strom für den eigenen Produktionsbedarf und für das Gebäude selbst. „Der Boden im Neubau ist mit einer Fußbodenheizung und -kühlung ausgestattet, um perfekte Arbeitsbedingungen zu schaffen“, sagt Guido Kempf und betont: „Unsere Mitarbeiter sind unser größtes Kapital, und da wir ständig auf der Suche nach den besten Mitarbeitern sind, wollen wir ihnen auch das beste Umfeld bieten.“
Die Produktionskapazität hat sich um etwa 20 % erhöht. Zwischen den Linien wurde genügend Freiraum gelassen für künftige neue Anlagen. Wird beispielsweise in Zukunft eine neue Perforations- oder Biegelinie benötigt, kann diese ohne Unterbrechung der Produktion installiert werden.
Die Stanzeinheit im neuen Werk kann bis zu 1.000 Perforationen in einem Arbeitsgang durchführen. Alle 4 Sekunden wird eine perforierte Form für ein 60x40cm-Standardblech produziert. Ausgestanzte Teile werden zur Wiederverwertung zurück ins Aluminiumwerk geliefert. Nach dem Stanzen werden die Bleche geglättet und gelangen dann zu den Biegelinien. Da von Anfang an auf einen hohen Automatisierungsgrad Wert gelegt wurde, werden alle Standardprodukte bei Kempf ohne jeglichen manuellen Eingriff hergestellt.
Im Prinzip ist die Produktion für zwei Schichten ausgelegt. Eine dritte Schicht läuft nachts, und zwar vollständig automatisiert. Dann übernehmen Roboter die Arbeiten. Die Spätschicht belädt die Maschine um 23 Uhr, dann läuft sie selbstständig, bis am nächsten Tag gegen 6 Uhr die Frühschicht eintrifft. Standardbleche für Handwerksbäckereien werden in der Regel in der Nachtschicht gefertigt. Außerdem wird immer ein Vorrat an Standardgrößen vorgehalten, um Lieferzeiten kurz zu halten.

Verarbeitung grüner sowie weicher, vorgegarter Teige Große Produktvielfalt in Handswerks-Qualität


Möchten Sie wissen, wie wir restteiglos produzieren?




Ein Teil des Produktionsbereichs ist den Blechen und Formen gewidmet, die ein gewisses Maß an manueller Bearbeitung erfordern, darunter sind Sonderanfertigungen oder Bestellungen, die in kleinen Mengen gefertigt werden. Auch Baguettebleche werden in diesem Bereich des Werks hergestellt: „Trotz der großen Stückzahlen fertigen wir sie halbautomatisch. Denn jede Bäckerei hat ihre eigenen Anforderungen an die Ausformung der Mulden“, erklärt der Firmenchef. Deshalb werden sie auf Bestellung hergestellt. Lagerbestände gibt es nicht. Sobald die richtigen Mulden hergestellt sind, gehen die Bleche in die Beschichtung und werden im Anschluss auf die Rahmen montiert.
Die jüngste Investition ist eine Roboterlösung, die das Schneiden 6 m langer Rohre automatisiert. Auch beim Schweißen kommt ein Roboter zum Einsatz. In einem separaten Produktionsbereich entstehen die Peelboards, auch in den größeren Formaten, die in letzter Zeit verstärkt nachgefragt werden.
Das Forschungs- und Entwicklungsteam von Kempf befasst sich kontinuierlich mit Produktinnovationen für alle Produktreihen: Backbleche, von denen die meisten perforiert sind, Bleche mit Formen (z. B. für Brötchen, Croissants und Kuchen),

Formen (für Produkte wie Toastbrot und Sandwichbrot –was ebenfalls einen großen Teil des Geschäfts von Kempf ausmacht) und Bleche für industrielle Anwendungen – wie große Baguettebleche sowie Stikken- und Frosterwagen. Eine weitere Kategorie sind kundenspezifische Lösungen, die nachgefragt werden, wenn besondere Anforderungen erfüllt werden müssen.
Für den Einsatz in Mecatherm-Produktionslinien entwickelte Kempf kürzlich neue, leichtere Bleche. „Wir haben viele Möglichkeiten, das Gewicht zu reduzieren. Wir können mit den technischen Teams unserer Kunden zusammenarbeiten, um kritische Prozessbereiche einer Linie zu identifizieren und Bleche entsprechend anzupassen. Letztlich spart jedes Kilogramm, das wir beim Gewicht eines Blechs einsparen können, eine Menge Energie und Geld pro Jahr, während die Anlage rund um die Uhr läuft“, so Kempf. Die Nachfrage nach dieser Art Blech steigt.
PFAS-freie Beschichtungen:
Eine Frage des „Wann“, nicht des „Ob“
Im Geschäftsfeld der Beschichtungen sind die Entwicklungen derzeit besonders dynamisch, vor allem im Hinblick auf die mit Spannung erwartete EU-Verordnung zum Einsatz von PFAS, eine VO, die Auswirkungen auf alle Branchen in
Europa haben wird. Schließlich kommen PFAS nicht nur bei Beschichtungen von Backblechen zum Einsatz, sondern beispielsweise auch zur Imprägnierung von Kleidung. Höchstwahrscheinlich, das erwartet Kempf, werde sich die Beschlussfassung zur VO verzögern, und doch nicht 2025 erfolgen. Allerdings: Es seine eine Frage des „Wann“ und „Wie“, nicht des „Ob“.
Eine mögliche PFAS-freie Alternative kann Silikon sein. Die Akzeptanz für Silikon nehme zu. „Für Baguette-Linien oder Bake-off-Stationen ist es immer noch eine der besten Optionen, weil es hervorragende Backergebnisse liefert. Die offenporige Struktur des Silikons ist in der Lage, einen Teil des Wassers während des Gärprozesses zurückzuhalten und es beim Backen wieder an das Brot abzugeben. Das Ergebnis ist eine gleichmäßige Farbgebung und eine knusprige Kruste – die perfekten Eigenschaften für ein Baguette“, erklärt Guido Kempf.
Darüber hinaus hat das Unternehmen im Vorfeld eines möglichen PFAS-Verbots eine neue, für Kempf einzigartige Lösung perfektioniert: die Plasmabeschichtung. „Wir haben sehr gute Ergebnisse für alle Arten perforierter Bleche und
ANZEIGE


Bunbleche erzielt“, sagt Kempf. Aufgrund der derzeit verwendeten Applikationsmethode gibt es aber auch Grenzen, etwa bei tiefen Formen für Toast, Weißbrot oder Sandwichbrot und bei Produkten mit hohem Zuckergehalt wie Kuchen. Die Plasmabeschichtung ist neu und befindet sich in der Entwicklungsphase, zeigt aber bereits vielversprechende Ergebnisse. „Die Bleche, die wir jetzt auf den Linien testen, überschreiten die Marke von 5.000 Verarbeitungszyklen. Auf einer kleineren Anlage hat diese Beschichtung bereits 10.000 Durchläufe überschritten. Plasma hat das Potenzial, eine der besten Lösungen für die Zukunft zu sein“, stellt Kempf fest und erklärt: „Das Problem bei PFAS ist nicht das Teflon, das wir zu Hause in den Bratpfannen vorfinden, oder das Teflon, das wir hier im Werk verwenden, oder das Teflon, das in Blechen für Bäckerei verarbeitet wird, das Problem rührt von Chemiefabriken her, die vor Jahren die Rohstoffe, aus denen Teflon hergestellt wurde, falsch gehandhabt haben.“
Neben Neuentwicklungen gibt es auch etablierte PFASfreie Lösungen, wie die Keramikbeschichtung. Auch sie hat Vor- und Nachteile. Keramikbeschichtungen sind sehr abriebfest. Werden sie regelmäßig zum Backen verwendet, nutzt sich ihre Antihaftwirkung allerdings ab.












In einigen Bereichen ist der vollständige Verzicht auf PFAS praktisch unmöglich, sodass die Ausarbeitung einer funktionierenden Lösung einen laufenden Prozess darstellen wird, so der Experte. Ein mögliches Szenario für einen Zeitplan könnte sein, dass bis 2026 ein Konsens erreicht wird, gefolgt von einer längeren Übergangszeit, bevor PFAS eliminiert werden müssten, so Kempf. So bliebe genügend Zeit für neue Entwicklungen, die auch tiefe Formen und zusätzliche Lösungen abdecken. Es gebe jedoch immer Unternehmen, die bei der Einführung neuer Vorschriften eine Vorreiterrolle einnehmen, sodass sich die Forderung nach PFAS-freien Lösungen in nicht allzu ferner Zukunft zu einem echten Trend entwickeln könnte.
Bäckern empfiehlt Kempf, die verfügbaren Alternativen jetzt zu testen. „Unser Ziel ist es letztlich, PFAS-freie Beschichtungen anbieten zu können, die eine noch bessere Leistung mitbringen, also eine noch bessere Antihaftwirkung zeigen, leichter zu reinigen und langlebiger sind, als die heutigen Fluorpolymerlösungen“, so Kempf. Die Plasmabeschichtung ist ein Schritt in diese Richtung. Als Oberflächenbehandlung hat sie den Vorteil, dass sie bei der Reinigung der Bleche mit verschiedenen Reinigungsmitteln nicht beschädigt werden kann.

Die neuesten Entwicklungen bei KeyBAKE Kempf übernahm KeyBAKE Bakeware & Coatings Anfang 2023, also etwa zur selben Zeit, als die Bauarbeiten für das Erweiterungsprojekt in Deutschland begannen. Das Hauptgeschäft von KeyBAKE machen die gelochten Bleche aus, wobei das Portfolio auch Formen, Peelboards, Beschichtungen und Stikkenwagen umfasst. Genauso wie Kempf ist KeyBAKE gewachsen und mit seinem 35-köpfigen Team im November 2023 in ein größeres, neu renoviertes Gebäude in den Niederlanden umgezogen. Mehrere Maschinen haben in dem Zuge ein Upgrade erfahren, wie die 2.000-TonnenPresse, mit der Bleche in einer Größe bis 2.000 x 1.200 mm aus einem einzigen Stück Metall hergestellt werden können.
Das neue Hauptquartier ist mehr als nur ein Arbeitsplatz für das Team von Kempf, es ist auch ein sinnvoll durchdachter Ort der Geselligkeit, an dem jeder gleichberechtigt dazugehört. Menschen, die zusammen arbeiten und feiern, bleiben auch zusammen. Auch außen, rund um das Gebäude wurde alles bis ins Detail geplant, mit landschaftlich attraktiv gestalteten Bereichen und funktionalen Parkund Be- und Entladeflächen. Bei Bedarf steht ein angrenzendes Grundstück für eine spätere Erweiterung zur Verfügung. +++

Sie verschließt bis zu 120 Beutel pro Minute, arbeitet mit modernster Bewegungssteuerung, Ethernet und kabelloser Kommunikation. Effizienz ist in der automatischen, schnellen 893 C-Beutelverschließmaschine gleich eingebaut. Erfahren Sie mehr unter KWIKLOK.com

























































Hygiene ist in Backbetrieben ein wichtiges Thema. Dazu gehört auch die Blechreinigung, die besonders dann in den Fokus rückt, wenn täglich unzählige Bleche zu reinigen sind. .
+Eng verknüpft mit Maschinen für die Backblechreinigung ist der Name Precisma. Daneben gehören Anlagen für den Trennmittelauftrag, die Bestreuung, Förderung und das Handling zum Portfolio. Die Maschinen werden jeweils kundenspezifisch hergestellt. „Eine unmögliche Aufgabenstellung gibt es nicht“, meint Ing. Alois Aichinger, Projektmanager bei der Banss Maschinenfabrik GmbH mit Sitz in Wels/Österreich, die die Precisma Geschäfte seit der Übernahme im Jahr 2023 weiterführt. Aktuell, so das Unternehmen, sind Precisma Backblechreinigungslösungen besonders in der Burger-Bun-Produktion gefragt.



Zum Sortiment gehören u. a. die Kobra-Backblechreinigungsanlagen. Sie sind den Angaben zufolge leicht zu bedienen, robust und für die Verarbeitung von Zweirandblechen in Größen von 580, 780 und 980 mm ausgelegt. Für den Reinigungsprozess werden die Backbleche mit der Backseite nach oben zugeführt, der Einzug selbst erfolgt mittels Bürstenwalzen, was die Lebensdauer der Backbleche im Vergleich zur Verarbeitung in Blechreinigungsmaschinen mit herkömmlichen Transportsystemen verlängern soll. Die integrierten Tellerbürsten sorgen durch automatische Drehrichtungsänderung für einen gleichmäßigen und sauberen Abrieb. Als zusätzliches Extra bietet eine Innenrandreinigung ein Plus an Sauberkeit.
Der Zahnriemenantrieb der Maschine verspricht laut Unternehmen Wartungsfreiheit. Die Nassreinigung der komplett aus Edelstahl gefertigten Maschine kann mit dem Hochdruckreiniger und ohne Demontage der Bürsten erfolgen. Die Rundbürsten der Maschine lassen sich zur Reinigung ohne weiteres Werkzeug von Hand ausbauen.

Um Backbleche mit bis zu vier Rändern sowie Baguette- und Bunbleche effizient in großen Mengen zu reinigen, ist die Universal-Backblechreinigungsmaschine „Belt Standard“ geeignet. Selbst Mehl, Sesam, Mohn oder Teigreste werden, wie es heißt, wirksam entfernt. Für den Einbau in Backlinien ist die Variante „Belt Industrie“ ausgelegt und die „Easy Belt“ für Handwerksbetriebe, die viele verschiedene Backbleche in kleineren Stückzahlen säubern müssen. Ebenfalls für den Einsatz im Handwerk wurde die „FBU“, Universal-Formenreinigungsmaschine, entwickelt. Backrückstände wie Mehlstaub, Sesam, Mohn oder leicht angebackene Teigreste werden mit der Anlage laut Banss wirksam entfernt. +++

+Wie lässt sich durch gezielten Einsatz von Mikroorganismen die Bildung von Exopolysacchariden (EPS) in Sauerteigen beeinflussen und damit die Frischhaltung von Weißbrot verbessern? Mit dieser Fragestellung setzte sich Martin Göttlich, tätig in der Geschäftsentwicklung und im technischen Verkauf bei Ernst Böcker, in einer Projektarbeit im Rahmen seiner Brot-Sommelier-Ausbildung auseinander.
EPS sind langkettige Zucker, die von diversen Mikroorganismen unter bestimmten Bedingungen produziert werden und positive Eigenschaften für die Textur und Haltbarkeit von Backwaren haben.
Auswahl der Starterbiota
Für die Sauerteigfermentation wurden folgende zwei Starterbiota ausgewählt: Fructilactobacillus sanfranciscensis und Weisella confusa. In Backversuchen und einer Textur-ProfilAnalyse (TPA) zeigte sich jedoch, dass sich Weisella confusa nicht für die notwendige „Sauerteig auf Sauerteig“-Führung (Backslopping) eignete und zudem eine unerwünschte Farbveränderung im Brot verursachte. Daher wurde entschieden, nur Fructilactobacillus sanfranciscensis weiterzuverwenden. Anstatt eines einstufigen Sauerteigs wurde das Vollsauerverfahren angewandt, um den Gehalt an EPS im finalen Brot zu erhöhen.
Analyse, Ergebnisse und Ausblick
Als Analysenmethoden kamen die HPLC (Hochleistungsflüssigkeitschromatographie), pH-Wert-Messungen, Säuregradbestimmungen, sensorische Bewertungen, TPA, Viskositätsmessungen und mikrobiologische Analysen der Sauerteige zum Einsatz.
Die Untersuchungen ergaben, dass Fructilactobacillus sanfranciscensis in Kombination mit Saccharose die Frischhaltung von Weißbrot durch Bildung von EPS effektiv verbessern kann. Diese Mikroorganismen erwiesen sich als besonders geeignet, um die gewünschte Viskosität der Sauerteige zu erzielen und die Textur des Brotes während der Lagerung positiv zu begünstigen. Die simple Zugabe von Saccharose hatte einen signifikant positiven Einfluss auf die sensorischen Eigenschaften und die Frischhaltung des Brotes innerhalb der Lagerung.

Weitere Forschungen könnten darauf abzielen, die spezifischen Mechanismen der EPS-Bildung durch verschiedene Mikroorganismen zu untersuchen und deren Einfluss auf verschiedene Brotsorten zu evaluieren. +++
Wir kriegen’s gebacken!



Hochleistungs-Backtrennmittel für alle Backformen und -bleche
Beste Rohstoffe und effiziente Produktions-verfahren bilden die Grundlage für erstklassige Backtrennmittel. Unsere rein pflanzlichen Trennmittel garantieren die rückstandsfreie Trennung von Backwaren.
Mit dem KEG-Mehrwegsystem nutzen Sie das Boyens-Sprühkonzept produktiv und wirtschaftlich.
Besuchen Sie uns auf der SÜDBACK
Halle 10, Stand E32 26. - 29.10.2024

+Für die Optimierung der Sauerteigherstellung sollte mit dem Starter begonnen werden. Eine der wichtigsten Eigenschaften liegt in der Stabilität der Starterkulturen, sowohl hinsichtlich der Quantität als auch der Qualität. Es geht zum einen um die Konzentration der Mikroorganismen und zum anderen um die richtige Wahl und Qualität der Mikroorganismenart.
Grundsätzlich sichern Starterkulturen die Reproduzierbarkeit des Fermentationsergebnisses und somit die Stabilität des eingesetzten Sauerteiges, was wiederum bestimmt wird durch den pH-Wert und den Säuregrad (Sr°C). Weitere Fermentationsparameter wie Temperatur, Zeit, Teigausbeute sowie der Anteil an Starter oder Grundsauer tragen zur Konsistenz des entstehenden Sauerteigs bei. Die Komplexität des Prozesses kann durch anwenderfreundliche Starterkulturen vereinfacht und gesichert werden. Kontrolliert hergestellte und geprüfte Starterkulturen, wie etwa die der Marke DIOStart ®, können sowohl die handwerkliche als auch die industrielle Herstellung von Sauerteig vereinfachen. Starterkulturen wie diese können in semi-fester Form oder flüssig eingesetzt werden und sorgen für einen stabilen Sauerteig und reproduzierbare Ergebnisse.
In Europa gibt es ein mannigfaltiges Repertoire an aromatischen Sauerteigen. Roggensauerteige finden vor allem in Nord-, Mittel- und Osteuropa Anwendung. Insgesamt gesehen spielen in Europa aber die weizenbasierten Sauerteige eine größere Rolle. Genauso werden für Nischenprodukte Lösungen angeboten, beispielsweise für glutenfreie Produkte. In der Regel bestehen sie aus fermentiertem Reis, Buchweizen oder einer Mischung aus Stärke und Mehl.
Kein Sauerteig gleicht dem anderen. Sein Wert liegt in der Vielfalt. Zur Optimierung bzw. Individualisierung eines Sauerteiges für eine spezifische Backware gibt es viele Stellschrauben. Je exakter diese justiert werden, umso besser wird das Resultat.
Roggensauerteig: Bei Roggensauerteigen unterscheidet man zwischen festen und flüssigen Teigen. Die festen Sauerteige werden in Mischbehältern bzw. Kesseln hergestellt, für die flüssigen Teige werden Fermenter genutzt. Kesselsauer (fest) ist deutlich anspruchsvoller in Bezug auf Zubereitung und Platzbedarf, weshalb Bäckereien bevorzugt Flüssigsauerteige verwenden. Flüssiger Sauerteig kann wiederum in die beiden Kategorien 1. „aktiv“ und 2. „stabil“ unterteilt werden. Aktiver Sauerteig weist eine gewisse Triebkraft auf und muss daher gekühlt werden. Stabile Sauerteige zeichnen sich durch einen höheren Säuregehalt und eine lange Gärzeit aus, sodass auf eine Kühlung verzichtet werden kann. Eine spezielle Art der stabilen Fermentationsmethode wird für die Brotfermentation eingesetzt. Hier können bis zu 50 % des Mehlgewichts im Sauerteig fermentiert werden. Im Hinblick auf den Herstellungsprozess kann beim Roggensauerteig zwischen ein- und mehrstufiger Fermentation unterschieden werden. In den meisten Fällen werden einstufige Roggensauerteige bevorzugt. Je nach Bäckerei und Region werden entweder aktive oder stabile Roggensauerteige gewählt.
Weizenvorteige lassen sich in zwei Gruppen einteilen: 1. Hefevorteig (Vorteig), bei dem Hefe als Starter verwendet wird (Beispiele sind Biga oder Poolish), und 2. Sauerteig, bei dem Milchsäurebakterien als Starter eingesetzt werden. Auch Weizenvorteig kann entweder in fester oder pumpfähiger (flüssiger) Konsistenz verwendet werden. Feste Vorteige werden in Mischbehältern (Kessel) fermentiert. Sie sind anspruchsvoller in Bezug auf Herstellung, Handhabung und Platzbedarf. Flüssige Vorteige werden dagegen in Fermentern zubereitet. So können diese gekühlt und die Haltbarkeit dadurch verlängert werden.
Die Wahl zwischen den unterschiedlichen Getreidesauerteigen oder einem Hefevorteig ist abhängig vom Teig und den gewünschten Endprodukteigenschaften.
Die Herstellung bzw. die Rezeptur eines Sauerteiges ist auszurichten auf die zu erzielenden Eigenschaften des Endproduktes hinsichtlich Textur, Geruch, Geschmack, Krume, Elastizität, Volumen etc. Die Handlungsoptionen sind wiederum vorgegeben durch die gewählte Getreidebasis wie Weizensauerteig, Roggensauerteig oder Weizenhefevorteig. Diese können darüber hinaus mit weiteren Vorteigen, z. B. thermischen Vorteigen, kombiniert werden. Dazu gehören Brüh- und Quellstücke oder das sogenannte AromaStück ® , das auf einem spezifischen Starter von DIOSNA basiert (DIOStart ®aroma) und viele Vorteile mit sich bringt, u. a. die Möglichkeit, Zucker im Hauptteig zu reduzieren.
Für das Gebäck können ein oder mehrere Vor- oder Sauerteige kombiniert und mit dem Hauptteig zusammengeführt werden. Dieser große Gestaltungsspielraum ermöglicht sehr individuelle Kreationen mit Wiedererkennungswert. Für die industrielle Umsetzung wird die ermittelte optimale Teigrezeptur für das entsprechende Vorteigsystem hochskaliert und so für die benötigte Kapazität der Produktionslinie(n) ausgelegt.
Knetoptionen
Im Allgemeinen sind Sauerteige nicht an spezifische Knettechnologien geknüpft. Dafür lässt sich durch die Zugabe von Vorteig die Knetzeit positiv beeinflussen. Die Wahl zwischen den verfügbaren Knetoptionen ist abhängig von der Rezeptur. Für mittel-weiche bis weiche Teige, aus denen Produkte wie Brot, Brötchen, Buns und Ciabatta hergestellt werden, oder für weiche Hefeteige sind sowohl der Spiral- als auch der Wendelkneter eine gute Wahl. Für spezielle Teige oder harte und kalte Teige, die verwendet werden für Blätterteiggebäcke, bzw. die kalten Teige für Bake-off-Gebäcke, die gefrostet werden, empfiehlt sich der Wendelkneter (z. B. DIOSNA Wendelkneter).
Die Optimierung der Knetparameter hängt von weiteren Faktoren ab.
+ Das Mehl: Weizen oder Roggen – Weizensauerteig benötigt im Vergleich sehr viel mehr Energie, bis die nötige Glutenstruktur erreicht ist.
+ Teigausbeute (TA): Für weichere Teige (höhere TA) ist eine längere, für festere Teige (niedrige TA) eine kürzere Knetzeit notwendig.
+ Vorteig: Die Verwendung von Vorteig kann die Knetzeit beeinflussen und um ≤ 10 % verkürzen.
+ pH-Wert: je niedriger der pH-Wert des Teigs und der Reduktionsmittel, desto kürzer die Knetzeit






+ Knetwerkzeug(e): Vertikal: Spiral-, Wendel-, Hubkneter und weitere sowie Horizontalkneter sind verfügbar. Eine bemerkenswerte Kombination aus effizienter und schonender Knetung wird dem Wendelkneter von DIOSNA zugeschrieben, der nur 1/2 bis 2/3 der Knetzeit eines DIOSNA Spiralkneters benötigt.
+ Knetstil: 2-Stufenknetung oder mehr Stufen mit Frequenzumrichter (FU)
+ Teigtyp: Teige, deren Rezeptur höhere Anteile an Zucker, Ei, Fett und/oder Backmitteln enthalten, benötigen eine längere Knetzeit.
+ Teigtemperatur: Sie spielt eine große Rolle für die Teigqualität und -charakteristik sowie die Weiterverarbeitung. Die Teigtemperatur kann durch die Knettechnik entscheidend beeinflusst werden. Energieeintrag, Knetkraft und Energieverbrauch, Knetdauer u.a.m. spielen eine Rolle. Auch die Umgebungstemperatur ist selbstredend ein entscheidender Faktor. Teige können während der Verarbeitung gekühlt werden.
Die Dosierung kann entweder automatisch direkt in den Fermenter erfolgen, in dem Wasser und Mehl zeitgleich zusammengegeben und mit hoher Intensität gemischt werden, oder die Zutaten werden zunächst in eine Mischpumpe dosiert, von wo aus sie als homogenes, flüssiges Gemisch in den Fermenter befördert werden.
Die Mischzeit wird durch die Dosiergeschwindigkeit von Mehl und Wasser, die Intensitätseinstellung des Mischvorgangs und die Mehlsorte bestimmt. Das Mischen und Kneten von Vor- und Sauerteig erfolgt in der Regel schnell innerhalb von 15 Minuten nach dem Befüllen eines Fermenters (für Weizensauerteig TA 200 und Roggensauerteig TA ≥ 220). Während des Mischvorganges unter Einsatz von Weizenmehl kommt es oft zur Klumpenbildung, die durch ein ausreichendes Rühren vermieden werden kann. Die Verarbeitung von Roggenmehl gestaltet sich einfacher.
Fermentationszeit: Die Fermentationszeit ist abhängig von der Art des verwendeten Sauerteiges. Der Vorteigexperte DIOSNA definiert Standardgärzeiten für Produkte der Marke DIOStart® so: 42 Stunden für die Brotfermentation, 18 Stunden für Weizensauerteig und 4 Stunden für Hefe-Weizenvorteig. Die Fermentationszeiten variieren außerdem, je nach Anteil des Grundsauers im Sauerteig, wenn ein Teil zur Auffrischung bzw. Vervielfältigung des Sauerteigs verwendet wird. Bei Rezepturen mit 5 % Grundsauerteiganteil liegt die Fermentationszeit zwischen 13 und 16 Stunden; bei 15 % Anteil beträgt sie 7 bis 9 Stunden und bei 25 % Grundsauer liegt die erforderliche Gärzeit zwischen 4 und 6 Stunden.
Knetzeit: Wie bereits erwähnt, kann der Einsatz von Vorteig oder Sauerteig die Knetzeit des Hauptteiges um bis zu 10 % verringern. Aber auch andere Faktoren haben einen
Tabelle 1:
Spiralkneter mit Standard Weizenteig TA* 152–156
Werkzeug | Kessel Werkzeug | Kessel
Frequenz 25 Hz 50 Hz
Kesselfüllgrad (%)
Knetzeit (min) Mischphase
Knetzeit (min) Knetphase
Tabelle 2:
Wendelkneter mit Standard Weizenteig
Werkzeug | Kessel Werkzeug | Kessel
Frequenz 25 Hz 50 Hz
Kesselfüllgrad (%)
Knetzeit (min) Mischphase Knetzeit (min) Knetphase 75 - 100 2 4 - 4,5
- 75 1,5 3 – 4,5 30 - 50 2,5 5,5 – 6,5
*TA: Teigausbeute (Mehl/Wasser)
Einfluss, wie die Art des Teiges sowie Art und Anteil des Vorund/oder des Sauerteiges. Einen entscheidenden Einfluss hat die Bauart des Kneters. So benötigt ein zweistufiger Standard-Weizenteig 9 Minuten Knetzeit in einem DIOSNASpiralkneter (3 min Stufe 1 + 6 min Stufe 2) und 5 Minuten in einem Wendelkneter (1,5 min + 3,5 min). Durch die Auswahl des Kneters lässt sich wie in diesem Beispiel ca. 44 % der Knetzeit einsparen, die für die entsprechende Erhöhung des Produktionsvolumens eingesetzt werden könnte. Für die Knetzeit spielt darüber hinaus das Füllvolumen eine wichtige Rolle (vgl. Tabellen 1 und 2).
Gleichgewicht zwischen Zeit und Temperatur: Vertrauen in den Prozess
Die Fermentation läuft dann optimal, wenn das richtige Gleichgewicht zwischen Zeit und Temperatur erreicht wird. Zur Steuerung der Produkttemperatur verfügen DIOSNA Fermenter über Kühl- bzw. Kühl- und Heizeinheiten. Die Kühlung ist jedoch nicht immer erforderlich. So benötigt Roggenbrot oft eine lange Fermentationszeit und kann gut bei Raumtemperatur (22–26°C) umgesetzt werden.
Beispiele für Fermentationstemperaturen
+ Roggen-, Weizen- und Dinkelsauerteig:
- Bei wärmerer Führung (> 28 °C) wird ein stark aromatischer Geschmack der Backwaren erreicht
- Bei kälterer Führung (26–28 °C) wird eine hohe Gasaktivität erreicht, sodass der Hefezusatz reduziert werden kann
+ Brotfermentation:
- Temperatur Stufe 1 (Isofermenter): 32 °C
- Starttemperatur: 28 °C; nach 16–24 Std. max. 32 °C
+ Quellstück: die Fermentationstemperatur liegt bei 10-30 °C
+ Brühstück: 50-70 °C
+ AromaStück ®: 65 °C
+ Kochstück: 85 °C
Die Verarbeitungszeit von Sauerteig ist auch von der Lagertemperatur abhängig. Für Weizensauerteig und Roggensauerteig liegen die Prozesszeiten bei:
+ 8 Stunden (ohne Kühlung)
+ 24 Stunden (mit Kühlung, d. h. Abkühlung auf ca. 15 °C nach der Fermentation)
+ 48 Stunden (mit Kühlung, d. h. Kühlung auf ca. 10 °C nach der Fermentation)
+ 72 Stunden (mit Kühlung, d. h. Kühlung auf ca. 6 °C nach der Fermentation)
Generell ist die Prozesszeit für einen Weizenhefevorteig kürzer als die eines Weizensauerteigs. Die Prozesszeit von Roggensauerteig ist länger als jene eines Weizensauerteiges. In der industriellen Großproduktion beträgt die mögliche Verwendbarkeit von Roggensauerteig durchschnittlich etwa vier Tage – ohne Kühlung. In einem handwerklichen Betrieb wird ca. eine Woche benötigt. Bei dem Recycling von
Restbroten mittels Brotfermentation kann der entstehende Sauerteig bis zu sieben Tage verwendet werden.
Qualität: Eine wesentliche Rolle für die Produktqualitat spielt die Prozessanalyse und -kontrolle – insbesondere, wenn Teige bzw. Gebäcke in Langzeitführung mit Sauerteig hergestellt werden. Für das Monitoring der Fermentation teilt das System Informationen über den aktuellen Verarbeitungsschritt (Befüllung des Fermenters, Fermentationsstufe, Kühlung, Fertigstellung), die Menge des Sauerteigs (kg), die Reife des Sauerteigs (Std.), seine Temperatur (°C) und mehr mit. Die wichtigsten Parameter sind jedoch die Zeit und die Temperatur der einzelnen Prozessschritte. Der Säuregrad und der pH-Wert geben Auskunft über die Qualität und das Gelingen bzw. Misslingen der Sauerteigumsetzung an sich und im Teig. Der pH-Wert kann mit einem pH-Meter während des Misch- und Knetvorgangs überwacht werden, der Säuregrad wird durch eine Titration bestimmt. In Abhängigkeit von der digitalen Sauerteigrezeptur werden automatisch die richtige Zeit und Temperatur für die jeweiligen Prozesseinheiten umgesetzt und entsprechend durch Kühlung oder Erwärmung angepasst. Das System hält die beiden Parameter bei jedem Schritt innerhalb der vordefinierten Werte. Das Ergebnis: ein reproduzierbarer, stabiler Sauerteig. +++





BAKERS‘ DAY 2024
Zehn Jahre Bakers‘ Day – mit der Veranstaltung 2024 am 19. und 20. Juni feierte das ttz Bremerhaven ein rundes Jubiläum. Reger Austausch war gewünscht und die Chance dazu wurde ausgiebig genutzt. Neben den Vorträgen ließ die Tagung genügend Raum fürs Networking und den Wissenstransfer durch Firmenpräsentationen und praktische Vorführungen im Technikum. Ein Bericht vom ersten Veranstaltungstag.
+Nachdem Florian Stukenborg, Fachgebietsleiter Lebensmitteltechnologie, und Frida Köning, Projektleiterin, beide am ttz Bremerhaven, die Teilnehmer zur Tagung begrüßt hatten, lenkte Hannah Dammann, Innova Market Insights, die Aufmerksamkeit auf die Verbraucherseite. „Was sind die Produktauslobungen, die die Konsumenten bei Backwaren und Müsli zurzeit beschäftigen?“
Als einen der Trends, den die Marktforscherin identifizierte, nannte sie die „Priorisierung der Prävention“. In Deutschland gibt fast jeder Vierte an, bei der Vorbeugung von Gesundheitsproblemen „proaktiv“ zu sein. Die Deutschen beschäftigt insbesondere ihre Herzgesundheit, gefolgt von der Immunabwehr und dem Gewichtsmanagement. Auch

die „Top-5-Zutaten“ hat man sich bei Innova Market Insights angesehen und eine Diskrepanz festgestellt: Ältere Verbraucher achten bei Auslobungen vorrangig auf Ballaststoffe, Millennials und die Generation Z hingegen auf Proteine.
„Einsatz pflanzlicher Rohstoffe zur Strukturmodifizierung in Backwaren“ war der Vortrag von Prof. Dr. Mario Jekle, Universität Hohenheim, überschrieben, der zu Beginn einräumte: „Brot ist seit jeher plant-based und das können wir auch kommunizieren.“ Prof. Jekle ging auf traditionelle, aber auch auf Rohstoffe ein, die unter der neuen Begrifflichkeit „plant-based“ eingeordnet werden. Besonders strukturschwache Teige können nach seinen Ausführungen von









pflanzlichen Proteinen profitieren, da sie häufig oberflächenaktive Eigenschaften aufweisen und daher nicht nur die Struktur unterstützen, sondern auch die wichtige Stabilität der Gasblasen in den Teigen. Mit Sorghum ging er außerdem auf einen Rohstoff ein, der besonders klimaresistent ist.
Dass für die Herstellung veganer Feiner Backwaren viele Hürden zu nehmen sind, brachte Dr. Nils Hinrichsen, CSM Ingredients, den Teilnehmern näher. Als herausfordernd erweist sich in der Praxis der Ersatz von Ei. Derzeit gibt es nach seinen Worten nur wenige Lösungen, die Eier in allen
*Empfehlungen der Deutschen Gesellschaft für Ernährung (DGE)
veganen Anwendungen in Gänze ersetzen können. Immerhin wurden gute Alternativen entwickelt, die Eier in bestimmten Bereichen (Eistreiche, Massen etc.) ganz oder teilweise ersetzen können. Als veganer Milchersatz eignen sich die üblichen pflanzlichen Milchersatzprodukte. Er kündigte an, dass in Zukunft auch hier neue pflanzliche Proteine und deren Fraktionen zu erwarten sind, die eine bessere Bekömmlichkeit und verbesserte nutritive Eigenschaften mitbringen.
Dass zwischen empfohlener* Ernährung und tatsächlichem Essverhalten der deutschen Bevölkerung eine Lücke klafft,





































Sie werten Ihre Produkte auf und sparen gleichzeitig mühsame Arbeit!
Auch wenn Sie kleinere Kapazitäten produzieren, passt diese Maschine perfekt.
Entdecken Sie die BAKON PICO selbst!
Auf: BAKON.COM oder scannen Sie den QR-Code für mehr Informationen!




belegte Frida Köning. Demnach haben 30 % einen Vitamin-DMangel. Außerdem gibt es eine Unterversorgung mit Vitamin B12, Folat und Calcium, dafür aber eine Überversorgung mit Gesamtenergie, Fett und Zucker. Fast jeder dritte Deutsche hat nach ihren Ausführungen Bluthochdruck. Bei Backwaren sei aus ernährungsphysiologischer Sicht der Salzgehalt oft ein Problem. Köning stellte Strategien für eine Aufwertung von Backwaren vor, indem sie z. B. mit Ballaststoffen oder Hülsenfrüchten angereichert werden, und bewies mit der Präsentation des „perfekten Snacks“, dass sich die Theorie in die Praxis umsetzen lässt.
„Unser Hirn ist, was es isst“ – wie treffen Menschen ihre Konsumentscheidungen und was hat Ernährung damit zu tun? Prof. Dr. Soyoung Park, Charité – Universitätsmedizin Berlin, nahm die Teilnehmer mit in die Welt der Neurowissenschaften. „Alle (Kauf-)Entscheidungen“, sagte sie, „basieren auf der Vorstellung, wie etwas sein wird.“ An das Auditorium gewandt erklärte sie: „Wenn Sie an der Eisdiele am Tresen stehen, stellen Sie sich im Kopf vor, wie gut es sein wird, wenn Sie das Eis essen. Im Prinzip ist das total surreal, denn zum Zeitpunkt Ihrer Entscheidung haben Sie das Eis noch gar nicht im Mund.“ Andersherum kann auch das, was man gegessen hat, Entscheidungen und das Denken und Handeln verändern.
Mit dem Potenzial der Analytik für die Produkt- und Verfahrensentwicklung befasste sich Dr. Julien Huen, Kompetenzfeldleiter Analytik zur Prozessoptimierung am ttz. „Wir sind überzeugt“, so Dr. Huen, „dass es sich lohnt, auf ein Produkt mit verschiedenen Analysetechniken zu schauen.“ Er verwendete den Begriff der 360 °-Analytik. Damit sei es möglich, ein tiefes Verständnis der Produktmatrix zu entwickeln. Er ging auf das Prinzip der konfokalen Laser-Scanning-Mikroskopie (CLSM) ein, die die räumliche Anordnung der


Inhaltsstoffe während der Verarbeitung aufzeigt. „Durch CLSM kann nachverfolgt werden, welche Strukturen aufgebrochen, beibehalten oder neu geschaffen wurden.“
Elena Schnelcker, Eurofins, erläuterte, wie man durch Analytikkonzepte in der Qualitätssicherung teure Fehler vermeiden kann, und wies auf die Kosten für einen Recall hin: „Die durchschnittlichen Kosten für einen erheblichen Lebensmittelrückruf liegen bei rund 7,92 Mio. EUR.“ Laut Schnellwarnsystem RASFF gab es 2023 weltweit 332 Rückrufaktionen im Bereich Getreide und Backwaren, davon 19 mit dem Ursprungsland Deutschland. Zum 1. Juli 2024 haben sich nach ihren Angaben die zulässigen Höchstgehalte für Deoxynivalenol(DON) in Lebensmitteln geändert. Bei Backwaren, Getreide-Snacks und Frühstückscerealien wurde der zulässige Höchstgehalt von 500 auf 400 µg/kg gesenkt.
„Die Städte Bremen und Bremerhaven sind ein Hotspot der deutschen Lebensmittelindustrie“, leitete Florian Stukenborg in seinen Vortrag über die aktuellen Projekte und Forschungsthemen am ttz ein. In der Bäckereibranche hat sich das ttz, das 1987 gegründet wurde, in den vergangenen Jahrzehnten einen Namen gemacht. Und auch heute noch gehören bäckereitechnologische Projekte zu den Kerntätigkeiten. Die Aktivitäten am ttz gehen aber weit darüber hinaus. Stukenborg: „Themen wie alternative Proteine, die Entwicklung innovativer Verpackungen aus Pilzmyzel, gehören genauso zum Portfolio wie Fassadenbegrünung, synthetische Kraftstoffe, Membrantrennverfahren oder die Entwicklung neuer Verfahren in unserem Wasserstofftechnikum.“ Er kündigte an: „Zum Ende des Jahres fällt der Startschuss für ein Food-Hub im Land Bremen. Es soll ein Zentrum für Pilotproduktionen für Start-ups und etablierte Firmen werden. Experten des ttz Bremerhaven werden hier unterstützend tätig sein.“ +++
Backlipasen werden bereits seit Jahrzehnten als Clean-Label-Backhilfsmittel in Brot eingesetzt. Aktuelle Studien zeigen, dass sie auch dazu geeignet sind, in feinen Backwaren wie Rührkuchen die Backqualität durch die Freisetzung von oberflächenaktiven Molekülen zu verbessern. Ihr Potenzial bei Rezepturveränderungen einer eifreien Rührkuchenrezeptur wurde daraufhin genauer untersucht.
Von Charlotte D. Stemler, Judith M. Wießler, Katharina A. Scherf
+In den Studien wurde die Wirkung von sieben Lipasen bei der Reduktion des Buttergehalts (bis zu 50 %) und des Wassergehalts (bis zu 25 %) auf die Backqualität analysiert. Die Lipasen führten in allen Zusammensetzungen zu größeren Produktvolumina und leichter kaubaren Backwaren. Lipasen mit geeigneter Substratspezifität waren zudem in der Lage, die Härte der Ursprungsrezeptur bei allen Reduktionsstufen zu erhalten. Damit zeigen Backlipasen großes Potenzial, Rezepturveränderungen in Rührkuchen ohne Verluste der Backqualität zu ermöglichen und damit eine größere Variabilität bei der Rezepturentwicklung zu erlauben.
Lipasen sind Enzyme aus der Klasse der Hydrolasen und katalysieren die Spaltung von Carboxylestern. Der Begriff Lipasen wird synonym für Enzyme mit unterschiedlichen Spezifitäten verwendet: Neben der Triglycerid (TG)-Lipase (EC 3.1.1.3), die die Hydrolyse von Triglyceriden zu Di- und Monoglyceriden katalysiert, zählen dazu auch verschiedene Phospholipasen (EC 3.1.1.32, 3.1.1.4, 3.1.4.3 und 3.1.4.4) sowie Glycolipasen (EC 3.1.1.26) (Abbildung 1). Obwohl die Substrate für die Reaktionen demnach unterschiedlich sind, führen alle letztendlich zum Abbau von Lipiden und zur gleichzeitigen Freisetzung von oberflächenaktiven Molekülen.
Lipasen als Clean-Label-Emulgatoren in Brot
Werden Lipasen zu Brot hinzugegeben, so wirken die entstehenden oberflächenaktiven Moleküle als Emulgatoren.
Ihre Wirkung auf die Backqualität kann auf drei Hauptmechanismen zurückgeführt werden (1):
1. Die Interaktion mit Gaszellen, deren Grenzfläche sie stabilisieren und damit höhere Produktvolumina ermöglichen
2. Die Interaktion mit Gluten, dessen Aggregation sie fördern und damit eine bessere Maschinengängigkeit von Teigen verursachen
3. Die Interaktion mit Stärke, durch die sie als „Weichmacher“ fungieren und sowohl direkt nach dem Backen als auch bei der Lagerung zu weicheren Produkten führen
Damit sind Lipasen wirksame Backhilfsmittel zur Steigerung der Backqualität. Nachdem sie zudem beim Backvorgang deaktiviert werden und somit im Endprodukt keine technologische Funktion mehr erfüllen, gelten sie rechtlich als Verarbeitungshilfsstoffe (VO (EG) Nr. 1333/2009). Damit ist ihr Zusatz clean label.
In Brot werden Lipasen bereits seit Jahrzehnten erfolgreich eingesetzt. Aktuelle Forschungen beschäftigen sich mit Möglichkeiten, ihr Einsatzgebiet auf weitere Produktgruppen wie feine Backwaren auszuweiten.
Im Vergleich zu Brot enthalten feine Backwaren ein breiteres Spektrum an Zutaten. Insbesondere fetthaltige Zusätze wie Butter und Ei stellen eine Vielzahl an neuen Substraten für den Abbau durch Lipasen bereit. Neue Substrate führen zu anderen, oberflächenaktiven Molekülen, deren Wirkung auf die Backqualität nicht vorhergesagt werden kann. Eine

einfache Übertragung der wissenschaftlichen Erkenntnisse für die Nutzung in Brot ist demnach nicht möglich. Aktuelle Studien geben einen ersten Einblick in neue Einsatzmöglichkeiten für Lipasen in feinen Backwaren (2,3). Dabei wurden, um die Vielfalt an Rezepturen für feine Backwaren zu repräsentieren, drei verschiedene Kuchenrezepturen in die Untersuchungen aufgenommen. Neben einem klassischen Sandkuchen und einer hefebasierten Brioche wurde dabei auch ein eifreies Rührkuchen-Rezept verwendet. Als Lipasen wurden sieben Backlipase-Präparate genutzt, die bereits erfolgreich in Brot eingesetzt werden. Darunter waren eine TG-Lipase, eine Glycolipase und fünf Phospholipasen. Die Ergebnisse der Untersuchungen zeigten, dass die Backqualität von Teigen/Massen und den fertigen Backwaren durch den Einsatz von Lipasen verbessert werden kann. Teige und Massen waren nach Zugabe von Lipasen besser maschinengängig; beispielsweise wurde die Klebrigkeit der Rührkuchenmasse um bis zu 43 % gesenkt. Zusätzlich waren Lipase-behandelte Kuchen bei der Lagerung von bis zu 96 h um bis zu 67 % weicher als unbehandelte Kuchen.
Durch eine Verringerung der Kohäsion wurde die Kaubarkeit zusätzlich verbessert; in Rührkuchen um bis zu 48 %, in Sandkuchen um bis zu 25 % und in Brioche um maximal 14 %. Die Wirksamkeit der Lipasen wurde demnach von der Rezeptur beeinflusst. Zusätzlich erwiesen sich Phospholipasen als besser geeignet als die TG-Lipase und die Glycolipase. Welche und wie viele oberflächenaktive Moleküle freigesetzt wurden, war entscheidend dafür, wie die Teigund Produktqualität verändert wurde (4).
Studiendesign
Basierend auf den vielversprechenden Ergebnissen werden nun weitere Nutzungsmöglichkeiten von Lipasen in feinen Backwaren erschlossen. Nachdem die größten Effekte in der eifreien Rührkuchen-Rezeptur erzielt wurden, wurde diese für weitere Versuche ausgewählt. Untersucht wurde, ob durch den Zusatz von Lipasen Rezepturveränderungen ohne Minderung der Backqualität möglich sind. Butter ist eine für die Backqualität entscheidende Zutat. Sie sorgt für eine weiche Textur, indem sie die Ausbildung eines festen Proteinnetzwerks verhindert. Zusätzlich verzögert sie das Altbackenwerden und sorgt damit für länger anhaltende Backqualität. Durch die Stabilisierung von Gasblasen im Teig führt sie zudem zu einem höheren Produktvolumen. Die Verwendung von Butter erhöht jedoch auch den Fettgehalt der Backwaren, was gemeinsam mit den enthaltenen trans-Fettsäuren das Risiko von kardiovaskulären Erkrankungen steigert. Der Buttergehalt von Rührkuchen sollte deswegen schrittweise auf bis zu 50 % des ursprünglichen Gehalts gesenkt werden.
Auch Wasser ist essentiell für den Backvorgang. Es wird durch verschiedene Zutaten in den Teig eingebracht, häufig beispielsweise durch Eier (73 % Wassergehalt) oder Milch (87 % Wassergehalt). Wasser interagiert mit den Haupt-
komponenten des Teiges und ermöglicht die Reaktionen, die zur Ausbildung der typischen, lockeren Krume benötigt werden. Dazu zählt, unter anderem, die Stärkeverkleisterung, die Entwicklung des Glutennetzwerks und die Aktivierung von Backpulver. Ein zu hoher Wassergehalt nach dem Backen führt allerdings zu einem hohen Risiko für mikrobiologisches Wachstum. Durch Reduktion des Wassergehalts kann die Haltbarkeit der Backwaren somit gesteigert werden. Wird der Wassergehalt jedoch zu niedrig, kann kein homogener Teig oder keine homogene Masse hergestellt werden. Deswegen wurde der Wassergehalt um maximal 25 % gesenkt.
Bestimmung der Backqualität
Zur Herstellung der Rührkuchen wurden zunächst 100 g Butter mit 50 g Puderzucker und 2,5 g Salz schaumig gerührt. Dann wurden 250 g Mehl mit 15 g Backpulver und 200 mL Wasser hinzugegeben und kurz vermengt. Als Lipasen wurden die sieben Präparate genutzt, die bereits in vorherigen Studien zum Einsatz gekommen waren: die Phospholipasen A, E, G, J und M; die TG-Lipase O und die Glycolipase K. Die Dosage entsprach jeweils den Herstellerangaben (70–500 mg/kg Teig). Dazu wurden die Lipasen in Wasser gelöst und volumenbasiert dem fertigen Teig zugesetzt. Aus je 50 g Teig wurden Muffins gebacken (12 min, 180 °C). Für jede Kombination aus Lipase und Rezepturveränderung wurden zwei Muffins aus je drei unterschiedlichen Teigen analysiert (n=6).
Die Bestimmung der Backqualität umfasste die Parameter Dichte (volumetrisch), Backverlust und Textur der Backwaren. Die Auswirkungen der Lipasen wurden im Vergleich zu

Abb. 2: Texturprofilanalyse. Schematische Darstellung des zweifachen Kompressionstests (Bewegung des Messstempels zur Probe) in Verbindung mit resultierendem Kraft-ZeitDiagramm. Charakteristische Messpunkte des Diagramms zur Berechnung der Texturparameter Härte, Resilienz, Elastizität und Kohäsion sind markiert (siehe Text)
Kontrollproben ohne Lipase und zu Rührkuchen mit DATEM (Monoacetyl- und Diacetylweinsäureester von Mono- und Diglyceriden von Speisefettsäuren, E 472e) untersucht. Mithilfe von Dunnett’s t-Tests (p ≤ 0,05) wurden statistisch signifikante Veränderungen durch Rezepturänderungen und/ oder Lipasenzusatz im Vergleich zur Kontrolle ermittelt. Die Textur der Backwaren wurde mittels Textur-Profil-Analyse ermittelt. Dabei wird der Kauvorgang mithilfe einer zweifachen Kompression simuliert und ein Kraft-Zeit-Diagramm aufgenommen (Abbildung 2). Ein Stempel komprimiert die Krume, entlastet sie wieder und komprimiert sie erneut bis zu einer vorher definierten Verformung. Die Härte des Produkts wird dabei als Kraft zum Erreichen der ersten maximalen Deformation definiert (F1). Die Kohäsion, d. h. der innere Zusammenhalt des Produkts, entspricht dem Verhältnis aus der Fläche des zweiten Peaks und der des ersten Peaks (A3/(A1+A2)). Zur Berechnung der Resilienz, d. h. der Widerstandsfähigkeit des Produkts, werden die Flächen des ersten Peaks während der Komprimierung und während der Entlastung ins Verhältnis gesetzt (A2/A1) und die Elastizität entspricht dem Quotienten aus der Zeit, die für die erste Kompression benötigt wird, und der Zeit, die für die zweite Kompression benötigt wird (T2/T1). Aus diesen vier primären Texturparametern lassen sich sekundäre Parameter wie die Gummiartigkeit (Produkt aus Härte und Kohäsion) und die Kaubarkeit (Produkt aus Gummiartigkeit und Elastizität) berechnen.
Potenzial von Backlipasen
Der Buttergehalt wurde auf 95 %, 90 %, 75 % und 50 % der ursprünglichen Menge reduziert. Mit geeigneten Lipasen konnte die Backqualität der Original-Rezeptur selbst bei einer Halbierung der Buttermenge aufrechterhalten werden.
Die Dichte der Proben lag zwischen 0,49 g/mL und 0,62 g/mL. Trotz reduzierter Buttermenge blieb die Dichte und damit das Volumen der unbehandelten Proben nahezu konstant (Abbildung 3). Durch Lipasenzusatz wurden bei allen getesteten Buttermengen höhere Produktvolumina erreicht. Den größten Effekt hatten dabei die Phospholipasen A, G und J, welche bereits in vorherigen Versuchen das größte Potenzial zur Verbesserung der Backqualität zeigten (2,3). DATEM führte bei 100 % und 50 % Butter auch zu einer Verringerung der Dichte, jedoch in geringerem Ausmaß als die Lipasen. Trotz Halbierung der Buttermenge standen den Lipasen ausreichend Substrate zur Bildung oberflächenaktiver Moleküle zur Verfügung.
Der Backverlust der Kontrollproben wurde durch die Reduktion von Butter nicht beeinflusst. Er lag bei allen Proben zwischen 14,8 % und 18,6 % (Abbildung 3). Die Wasserbindung durch die Zutaten und damit der Backverlust wurden durch Lipasen nur in Einzelfällen (100 % Butter und Lipase A, 95 % Butter und Lipase K) beeinflusst.
In Bezug auf die Textur verbesserten Lipasen Härte, Kohäsion und Resilienz der Rührkuchen (Abbildung 4).
Mit sinkendem Buttergehalt wurden die Produkte härter, beispielsweise stieg die Härte der Kontrollprobe ohne Zusätze von 4,1 N (100 % Butter) auf 5,7 N (50 % Butter).
DATEM führte in allen Zusammensetzungen ebenfalls zu einer Erhöhung der Produkthärte im Vergleich zur Kontrollprobe mit 100 % Butter. Durch den Zusatz von Lipasen wurden die Kuchen weicher, sodass bei den mit Lipase A behandelten Produkten eine maximale Härte von 4,4 N und bei den mit den Lipasen G und J behandelten von 4,5 N gemessen wurde. Damit waren auch bei halbem Buttergehalt die Produkte nicht signifikant härter als die Kontrolle mit 100 % Butter ohne Lipasenzusatz. Andere Lipasen waren

3: Dichte und Backverlust von Rührkuchen bei Reduktion der ursprünglichen Buttermenge (100 %) auf 95 %, 90 %, 75 % und 50 % und Behandlung mit den Lipasen A, E, G, J, K, M und O oder dem Emulgator DATEM (Mittelwert ± Standardabweichung, n=6). Sterne zeigen einen signifikanten Unterschied zur Kontrollprobe bei 100 % Buttermenge (Dunnett‘s t-Test, p≤ 0,05)
weniger effektiv. Die Proben waren zwar teilweise weicher als die Kontrolle mit gleichem Buttergehalt, jedoch signifikant härter als die Kontrolle mit 100 % Butter. Mögliche Mechanismen für die Wirkung als „Weichmacher“ sind die Beeinflussung der Amylosekristallisation beim Auskühlen der Produkte sowie die Beeinflussung von Anzahl und Verteilung der Gasblasen im Produkt. Resilienz und Kohäsion verhielten sich zueinander ähnlich. Bei der Reduktion von Butter nahmen die Werte der Kontrollproben ohne Lipasen leicht ab. Der Zusatz von Lipasen und DATEM verringerte sowohl Resilienz als auch Kohäsion der Proben signifikant bei allen Reduktionsstufen. Besonders stark wirkten die Lipasen A, G und J, die eine maximale Kohäsion von 0,39 (Kontrolle: 0,59) und eine maximale Resilienz von 0,11 (Kontrolle: 0,24) ergaben. Etwas weniger effektiv als die Lipasen A, G und J waren die beiden anderen Phospholipasen E und M. Eine noch geringere Wirkung hatte die Glycolipase K und die geringste hatte die TG-Lipase O (z. B. keine signifikante Verringerung von Kohäsion oder Resilienz bei 50 % Buttermenge im Vergleich zur Kontrollprobe mit 100 % Butter). Die Wirkung auf Kohäsion und
Resilienz wird auf die Beeinflussung des Glutennetzwerks der Proben zurückgeführt, wobei die genauen Mechanismen noch nicht geklärt werden konnten.
Die Elastizität der Kuchen wurde durch die Reduktion von Butter nicht beeinflusst. Ähnlich zum Backverlust hatten auch hier Lipasen nur vereinzelt einen signifikanten Effekt (Lipase A bei 95 % Buttergehalt, Lipase G bei 90 % Buttergehalt). Auch in anderen Rezepturen beeinflussten Lipasen die Elastizität von feinen Backwaren nicht (2).
Zusammengefasst führten drei der fünf Phospholipasen demnach trotz Reduktion der Buttermenge um bis zu 50 % zu signifikant größeren Rührkuchen mit besserer Kaubarkeit (durch Verringerung von Resilienz und Kohäsion), während die Kuchen gleichzeitig nicht härter als die Kontrolle mit 100 % Butter wurden. Backverlust und Elastizität wurden nicht beeinflusst. Zwei weitere Phospholipasen sowie eine Glycolipase und eine TG-Lipase sorgten ebenfalls für eine Verbesserung der Backqualität bei Reduktion der Buttermenge, wenn auch in geringerem Ausmaß. Die durch die Lipasen erreichten Effekte waren größer als die durch DATEM verursachten Änderungen der Backqualität.

Abb. 4: Härte, Resilienz, Elastizität und Kohäsion von Rührkuchen bei Reduktion der ursprünglichen Buttermenge (100 %) auf 95 %, 90 %, 75 % und 50 % und Behandlung mit den Lipasen A, E, G, J, K, M und O oder dem Emulgator DATEM (Mittelwert ± Standardabweichung, n=6). Sterne zeigen einen signifikanten Unterschied zur Kontrollprobe bei 100 % Buttermenge (Dunnett’s t-Test, p≤ 0,05)
Der Wassergehalt durch zugesetztes Wasser in der Rezeptur wurde auf 95 %, 90 % und 75 % des ursprünglichen Gehalts gesenkt. Mithilfe von geeigneten Lipasen war die Backqualität von Rührkuchen auch bei höchster Reduktionsstufe noch höher als die der Kontrollprobe mit 100 % Wasser. Die Dichte der Proben war ähnlich zur Dichte bei reduzierter Buttermenge und lag zwischen 0,49 g/mL und 0,61 g/mL (Abbildung 5). Das Volumen und damit die Dichte der Kontrollproben ohne Lipasenzusatz änderte sich bei geringerer Wasserzugabe nicht signifikant. Auch DATEM beeinflusste die Dichte nicht. Die Lipasen A, G und J führten bei allen Reduktionsstufen zu einer geringeren Dichte und steigerten somit das Produktvolumen (Kontrollen: 0,56–0,61 g/mL, Lipasen A, G und J: 0,48–0,53 g/mL). Die Stabilisierung von


Abb. 5: Dichte und Backverlust von Rührkuchen bei Reduktion der ursprünglichen Wassermenge (100 %) auf 95 %, 90 % und 75 % und Behandlung mit den Lipasen A, E, G, J, K, M und O oder dem Emulgator DATEM (Mittelwert ± Standardabweichung, n=6). Sterne zeigen einen signifikanten Unterschied zur Kontrollprobe bei 100 % Wassermenge (Dunnett’s t-Test, p≤ 0,05)
Gasblasen durch geeignete oberflächenaktive Moleküle im Teig fand demnach unabhängig von der Wassermenge statt.
Der prozentuale Backverlust bezogen auf das Ursprungsgewicht der Proben wurde von der Wasserreduktion nicht beeinflusst (Abbildung 5). Erst bei einer Wasserreduktion um 25 % führten die Glycolipase K, die TG-Lipase O und die Phospholipase M sowie DATEM zu einem signifikant geringeren Wasserverlust verglichen mit der Kontrollprobe mit 100 % Wasser. Die durch die Lipasen katalysierten Reaktionen führten demnach bei geringen Wassermengen teilweise zu einer Steigerung der Wasserbindung im Teig.
Mit sinkendem Wassergehalt wurde die Textur der Rührkuchen härter und verlor an Resilienz und Kohäsion. Die Elastizität wurde davon nicht beeinflusst (Abbildung 6). Durch den Zusatz geeigneter Lipasen konnten die Textureigenschaften der Kontrollprobe selbst bei 75 % Wassergehalt aufrechterhalten werden.
Die Härte der Rührkuchen lag in einem Bereich von 2,9–7,5 N. Durch die Wasserreduktion wurde die Härte der Kontrollprobe von 4,1 N auf 6,1 N erhöht. Der Zusatz von Lipasen führte bei verringertem Wassergehalt im Vergleich zu weicheren Produkten. Bei 95 % des ursprünglichen Wassergehalts waren die Proben mit den Lipasen A, G und J nicht signifikant härter als die Kontrollprobe mit 100 % Wasser; bei 90 % Wasser erreichten diesen Effekt zusätzlich auch die Lipasen K und O. Bei 75 % des ursprünglichen Wassergehalts führten nur noch die beiden Lipasen A und J zu keiner signifikanten Erhöhung der Härte im Vergleich zur Kontrollprobe mit 100 % Wasser. Durch DATEM konnte bei keiner Reduktionsstufe die ursprüngliche Härte erhalten werden. Vermutlich führt die raschere Verkleisterung der Stärke durch weniger verfügbares Wasser zu einer härteren Textur, wobei oberflächenaktive Moleküle diesen Vorgang verändern können.
Wie bei der Butterreduktion beschrieben, verhielten sich bei der Reduktion des Wassergehalts Resilienz und Kohäsion ähnlich zueinander. Das bestärkt die Theorie, dass ähnliche Mechanismen für beide Eigenschaften verantwortlich sind.

Abb. 6: Härte, Resilienz, Elastizität und Kohäsion von Rührkuchen bei Reduktion der ursprünglichen Wassermenge (100 %) auf 95 %, 90 % und 75 % und Behandlung mit den Lipasen A, E, G, J, K, M und O oder dem Emulgator DATEM (Mittelwert ± Standardabweichung, n=6). Sterne zeigen einen signifikanten Unterschied zur Kontrollprobe bei 100 % Wassermenge (Dunnett’s t-Test, p≤ 0,05)
Für Resilienz und Kohäsion führte eine Verringerung des Wassergehalts zu einer Abnahme der Werte der Kontrollproben, für die Resilienz von 0,25 zu 0,18 und für die Kohäsion von 0,59 zu 0,49. Lipasen und DATEM verstärkten den Effekt zusätzlich, wobei erneut die drei Lipasen A, G und J besonders effektiv waren. Die damit versetzten Proben hatten eine maximale Resilienz von 0,09 (Kontrolle: 0,25) und eine maximale Kohäsion von 0,39 (Kontrolle: 0,59). Alle Veränderungen an der Kontrollprobe, sowohl Reduktion des Wasseranteils als auch Zugabe von Lipasen oder DATEM, verringerten Resilienz und Kohäsion. Damit waren die Produkte weniger gummiartig und besser kaubar.

Ebenfalls vergleichbar zur Reduktion des Butteranteils veränderte sich die Elastizität weder durch die Reduktion
des Wasseranteils noch durch die Zugabe von DATEM oder Lipasen. Einzig die Lipasen A, G und J führten bei 95 % des ursprünglichen Wasseranteils zu bis zu 32,5 % geringeren Elastizitäten. Da kein eindeutiger Trend erkennbar ist, wurde die Messung möglicherweise von anderen Faktoren beeinflusst. Denkbar wäre, dass durch die Veränderung der Gasblasengröße und -verteilung die Kompression anders verlief.
Um die Ergebnisse zur Reduktion an Wasser in der Rührkuchenrezeptur zusammenzufassen, konnten durch den Zusatz von Lipasen auch bei der Reduktion des zugesetzten Wassers um bis zu 25 % größere und leichter kaubare Kuchen hergestellt werden, die nicht härter als das Kontrollprodukt waren. Entsprechend den Ergebnissen für die Butterreduktion und vorherigen Studien zum Einsatz von Lipasen in Kuchen führten drei Phospholipasen zu größeren Verbesserungen der Backqualität als die anderen vier untersuchten Präparate.
und Ausblick
Die Ergebnisse der Studien zum Potenzial von Backlipasen bei der Rezepturänderung von Rührkuchen zeigen, dass Backlipasen eine größere Flexibilität bei Butter- und Wassermengen ermöglichen. Ihre Wirksamkeit überstieg dabei deutlich die des kommerziell erhältlichen Emulgators DATEM. Die Lipasen führten insgesamt zu größeren
Dieses IGF-Vorhaben Nr. AiF 20771 N der Forschungsvereinigung Forschungskreis der Ernährungsindustrie e.V. (FEI), Godesberger Allee 125, 53175 Bonn wurde über die AiF im Rahmen des Programms zur Förderung der Industriellen Gemeinschaftsforschung (IGF) vom Bundesministerium für Wirtschaft und Klimaschutz aufgrund eines Beschlusses des Deutschen Bundestages gefördert.
Literatur
Produktvolumina sowie weicheren und leichter kaubaren Kuchen. Präparate mit geeigneter Substratspezifität ermöglichten damit die Reduktion des Buttergehalts (und somit auch des Fettgehalts) um bis zu 50 % und des zugesetzten Wassergehalts um bis zu 25 %. Diese Erkenntnisse können insbesondere bei der Entwicklung neuer Clean-LabelRezepturen eingesetzt werden und ermöglichen damit eine individuellere Anpassung der Zusammensetzung von Kuchenrezepturen. +++
Charlotte D. Stemler, Judith M. Wießler, Katharina A. Scherf; Abteilung für Bioaktive und Funktionelle Lebensmittelinhaltsstoffe, Institut für Angewandte Biowissenschaften, Karlsruher Institut für Technologie, Karlsruhe Kontakt: E-Mail: k.scherf.leibniz-lsb@tum.de
1. Gerits LR, Pareyt B, Decamps K, Delcour JA: Lipases and Their Functionality in the Production of Wheat-Based Food Systems. Comp Rev Food Sci Food Safe 2014; 13: 978–89.
2. Stemler CD, Scherf KA: Improvement of cake baking properties by lipases compared to a traditional emulsifier. Food Chemistry: X 2022; 15: 100442.
3. Stemler CD, Scherf KA: Lipases as cake batter improvers compared to a traditional emulsifier. LWT 2023; 174: 114464.
4. Stemler CD, Geisslitz S, Cutignano A, Scherf KA: Lipidomic insights into the reaction of baking lipases in cakes. Front Nutr 2023; 10: 1290502.
brot+backwaren ISSN 0172-8180
brot+backwaren ist das offizielle Organ des Verbandes Deutscher Großbäckereien e.V.
brot+backwaren erscheint 6 x im Jahr zum Einzelverkaufspreis von Euro 15,00.
+ Der Jahresabonnementpreis beträgt 75,00 EUR zzgl. MwSt., + Kombi-Abonnement Print-Abonnement zzgl. MwSt im Inland: 69,00 EUR (Preis gilt nur im Rahmen eines Kombi-Abos) + Ergänzungsabonnement digital zzgl. MwSt im Inland: 6,00 EUR (Preis gilt nur im Rahmen eines Kombi-Abos) Im Ausland und für Studenten gelten andere Preise. Abonnementskündigungen müssen 6 Wochen vor Ende des Bezugszeitraums dem Verlag schriftlich vorliegen. Abonnementsbestellungen richten Sie bitte an die genannte Vertriebsleitung. Bei Nichtlieferung ohne Verschulden des Verlags oder infolge von Störungen des Arbeitsfriedens bestehen keine Ansprüche gegen den Verlag. Die Zeitschrift und alle in ihr enthaltenen Beiträge und Abbildungen sind urheberrechtlich geschützt. Mit Ausnahme der gesetzlich zugelassenen Fälle ist eine Verwertung ohne Einwilligung des Verlags strafbar. Online-Streitbeilegung gemäß Art. 14 Abs. 1 ODR-VO: Die Europäische Kommission stellt eine Plattform zur Online-Streitbeilegung (OS) bereit, die Sie unter http://ec.europa.eu/consumers/odr/ finden. Zurzeit gültig ist die Anzeigenpreisliste 2024.
VERLAG
Food2Multimedia GmbH Schoolkoppel 27 21449 Radbruch +49 4178 244 9797 www.foodmultimedia.de
HERAUSGEBER/CHEFREDAKTION
James Dirk Dixon +49 4178 244 9797 dixon@foodmultimedia.de
REDAKTEUR EMERITUS
Hildegard M. Keil hildegard_keil@t-online.de
REDAKTION
Helga Baumfalk +49 4178 244 9791
baumfalk@foodmultimedia.de
Catalina Mihu +49 4178 244 9792 mihu@foodmultimedia.de
ABONNEMENTS
Viktoria Usanova +49 4178 244 9793 usanova@foodmultimedia.de
VERTRIEBSLEITUNG vertrieb@foodmultimedia.de
ANZEIGENABTEILUNG Dirk Dixon info@foodmultimedia.de
SOCIAL MEDIA Annie Dixon annie.dixon@foodmultimedia.de
GESTALTUNG LANDMAGD – Design aus der Heide Linda Langhagen, design@landmagd.de
LITHO/DRUCK
Leinebergland Druck









