
1 minute read
3.2 Innflutningur á aðföngum
markaðnum árið 2009 en um 43% árið 2019. Þessi hlutdeild er mismunandi eftir tegundum grænmetis, hæst er hún fyrir gúrkur og kartöflur en lág fyrir papriku (21. mynd). Þá eru allnokkrar tegundir sem ekki eru ræktaðar hérlendis, t.d. sætar kartöflur.
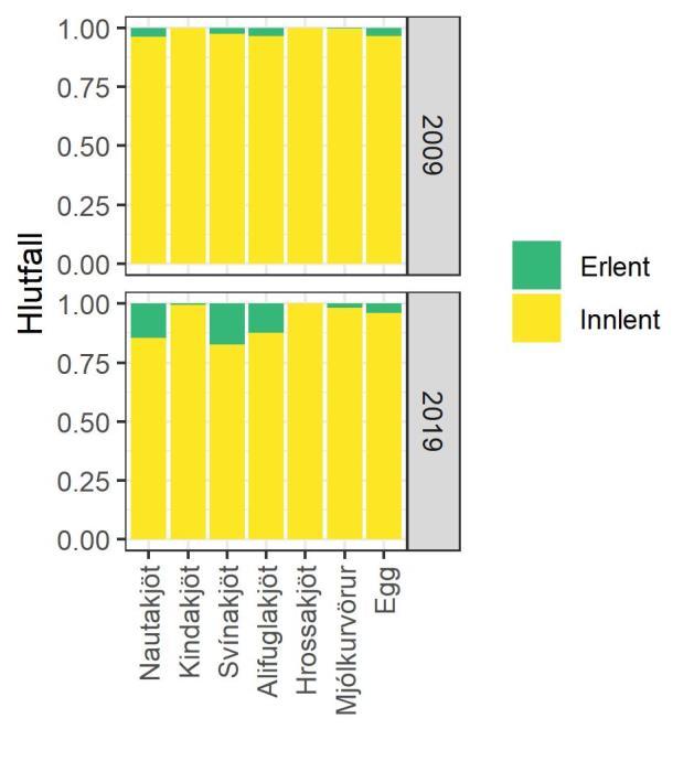
Kjöt og aðrar dýraafurðir framleiddar hérlendis eiga mikið stærri hlut af innlendum markaði en grænmetið en hlutfallið hefur þó lækkað síðan 2009. Innlent kjöt var um 98% árið 2009 en var komið niður í 90% árið 2019. Talsvert er flutt inn af svína, nauta og alifuglakjöti en mjög lítið af kindakjöti og ekkert af hrossakjöti (21. mynd).

21. mynd: Hlutfall erlends og innlends grænmetis og dýraafurða (Hagstofa Íslands, 2020; SAM, 2009, 2019).
3.2 Innflutningur á aðföngum
Innlend matvælaframleiðsla er mjög háð innfluttum aðföngum og þá helst áburði, fóðri, eldsneyti og útsæði.
Árið 2019 voru flutt inn 86 þúsund tonn af hráefni til fóðurgerðar og tilbúnum fóðurblöndum (Hagstofa Íslands, 2020). Um fjórðungur fóðurs eru tilbúnar blöndur. Í fóðurblöndur er mest flutt inn af maís og harðhveiti (22. mynd). Fóður er að mestu flutt inn frá Evrópusambandinu (76%) og Bretlandi (23%).






