https://shkola.in.ua/2397-hdz-alhebra-8-klas-bevz-2016.html

















































































https://shkola.in.ua/2397-hdz-alhebra-8-klas-bevz-2016.html
1. Провідміняй слова: дріб, частка, знаменник.
Дріб – число, що складається з частин одиниці.
Іменник, чоловічий рід, 2 відміна, тверда група
називний дріб
родовий дробу
давальний дробові, дробу
знахідний дріб
орудний дробом
місцевий дробі
кличний дробе
Частка – результат, одержаний при
Іменник, жіночий рід, 1 відміна, тверда група
називний частка
частку
орудний часткою
місцевий частці
кличний частко
Знаменник
https://shkola.in.ua/2397-hdz-alhebra-8-klas-bevz-2016.html
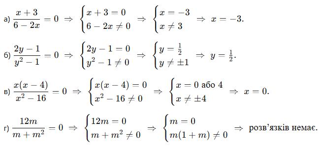
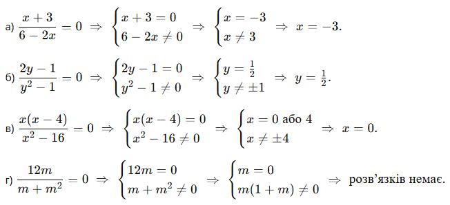
х+����;
Знаменник: х + 3 ≠ 0
х ≠ -3
Допустимі значення: х ≠ -3 б) ����
х����
Знаменник 1 + с2х2
Оскільки 1 + с2х2 > 0 для всіх х,
знаменник ніколи не дорівнює
нулю.
Допустимі значення: будь-яке х.
(х−у);
Знаменник: х(х – у) ≠ 0 Рівняння х(х – у) = 0 має розв’язки х = 0 або х = у.
Допустимі значення: х ≠ 0, х ≠ у.
г) а а���� −���� .
Знаменник: а2 – 1 ≠ 0
Розкладемо: (а – 1)(а + 1) ≠ 0, тобто а ≠ ±1
Допустимі значення: а ≠ ±1.
https://shkola.in.ua/2397-hdz-alhebra-8-klas-bevz-2016.html
https://shkola.in.ua/2397-hdz-alhebra-8-klas-bevz-2016.html
нулю.
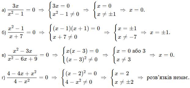
а) 3а
а2 −16;
Знаменник: а2 – 16 = 0
Розв’язок:
а2 = 16
а = ± 4 Допустимі
б) 1
х(х2 −9);
Знаменник: х(х2 – 9) = 0
Розв’язок:
х = 0 або х2 – 9 = 0 ⇒ х = ± 3
в) ����
(����−1)(����+4);
Знаменник: (m – 1)(m + 4) = 0
Розв’язок: m – 1 = 0 ⇒ m = 1
m + 4 = 0 ⇒ m = −4
а2 +1 .
Знаменник: а2 + 1 = 0
Розв’язок:
а2 = -1
Оскільки а2 = -1
https://shkola.in.ua/2397-hdz-alhebra-8-klas-bevz-2016.html
х2 = 1 ⇒ x = ±1
Допустимі
в) 3
4х−х3 ;
Знаменник: 4х – х3 = 0
Розв’язок:
х(4 – х2) = 0
х = 0 або 4 − x2 = 0 ⇒ x2 = 4 ⇒ x = ±2
1+х2
Знаменник: 1 + х2 = 0
Оскільки
а) 12х3а2 : 2ха2;
Знаменник: 2ха2 = 0
Розв’язок:
х = 0 або а =0
Допустимі значення змінної: х ≠ 0, а ≠ 0.
б) 9,5m7 : 0,5m2x5;
Знаменник: 0,5m2x5 = 0
Розв’язок:
m2 = 0 або х5 = 0
m = 0 або х = 0
Допустимі значення змінної: m ≠ 0, x ≠ 0.
в) 5х7с : (-0,5х5).
Знаменник: -0,5х5 = 0
Розв’язок: х5 = 0 ⇒ x = 0
Допустимі значення змінної: х ≠ 0.
22. Знайди
https://shkola.in.ua/2397-hdz-alhebra-8-klas-bevz-2016.html
в) -7,2х3у5с3 : (-0,8у3с).
Знаменник: -0,8у3с = 0
Розв’язок:
у3 = 0 або с = 0
y = 0 або с = 0
Допустимі значення змінної: у ≠ 0, с ≠ 0.
23. Запиши дроби, які не мають змісту, якщо:
а) x = 3 → дріб 1 ����−3 не має змісту.
б) y = -1 → дріб 1 ����+1 не має змісту.
в) y = -4 і y = 0 → дроби 1 ����+4, 1 ���� не мають змісту.
г) a = 0 і a = 0,5 → дроби 1 ���� , 1 ����−0,5 не мають змісту.
д) m = 1 і m = -5 → дроби 1 ����−1, 1 ����+5 не мають змісту.
24. Запиши дроби, які не мають змісту, якщо:
а) x = 5 → дріб 1 ����−5 не має змісту.
б) z = -3 → дріб 1 ����+3 не має змісту.
в) t = 0 → дріб 1 ���� не має змісту.
г) x = 0 і x = -3 → дроби 1 ���� , 1 ����+3 не мають змісту.
д) x = -2 і x = 2 → дроби 1 ����+2,
https://shkola.in.ua/2397-hdz-alhebra-8-klas-bevz-2016.html
5 =1
с + 2 = 5
с = 5 – 2 с = 3
2:
=2 с + 2 = 10
с = 10 – 2 с = 8
-3:
4 = 3
3х – 12 = -12
3х = -12 + 12
3х = 0 х = 0
https://shkola.in.ua/2397-hdz-alhebra-8-klas-bevz-2016.html
+ 2 = 0
= -2
-100:
= 100
+ 2 = -500
= -500 – 2
= -502
0:
=0
– 12 = 0
= 12 х = 4
34. What values of x are acceptable for a fraction?
а) х2 −5х+100 (х2 −4)(х4 −1) : Прирівняємо знаменник
(х2 – 4)(х4 – 1) = 0.
2 – 4 = 0 х2 = 4 х = 0
х = -1
4 – 1 = 0
2 – 1)(х2 – 1) = 0
= 1
+ 2 = -5
= -5 – 2
= -7
= 8
https://shkola.in.ua/2397-hdz-alhebra-8-klas-bevz-2016.html
2х
а)
х(х+7)(х−2) :
Прирівняємо знаменник до нуля:
х(х + 7)(х – 2) = 0.
Рівняння виконується, коли х = 0, х = -7 або х = 2.
Відповідь: допустимі всі значення х, крім -7, 0, 2.
б) 4
(1+2х)(х2 −9) :
Прирівняємо знаменник до нуля: (1 + 2х)(х3 – 9) = 0.
Це рівняння виконується, якщо 1 + 2х = 0 або х2 – 9 = 0.
1 + 2х = 0
2х = -1
х = -0,5
х2 – 9 = 0
х2 – 9
х = 3 або х = -3
Відповідь: допустимі всі значення х, крім -3, -0,5, 3.
в) 5а (а2 +3)(3а2 +2) :
Розглянемо знаменник: (а2 + 3)(3а2 + 2).
Вираз а2 завжди невід’ємний
Аналогічно, 3а2 + 2 завжди буде
Оскільки жоден із множників не може
нулю. Відповідь:
г) ����+12 ����2 −8����+16 :
Прирівняємо знаменник до нуля: m3 – 8m + 16 = 0.
Це є повний квадрат: (m – 4)2 = 0.
Рівняння виконується, коли m – 4 = 0, тобто m = 4.
Відповідь: допустимі всі значення m, крім m = 4. 36. Чи
https://shkola.in.ua/2397-hdz-alhebra-8-klas-bevz-2016.html
2х−х2 −1
Чисельник х2 + 6: оскільки х2 ≥ 0, чисельник
будь-якому значенні.
Відповідь: ні.
37. Доведи, що при будь-якому
дробу (−3)2 −3−х2 від’ємне.
х���� +���� :
Чисельник 5 є додатниим числом.
Знаменник х2 + 3. Вираз х2 для будь-якого х є
значення знаменника – це 0 + 3 = 3. Отже, знаменник завжди є додатним числом.
Оскільки і чисельник, і знаменник завжди додатні, то
Що і треба було довести. (−����)����
−����−х���� :
Чисельник (-3)2 = 9 є додатним числом.
Знаменник -3 – х2. Винесемо мінус за дужки: -(3 + х2). Вираз х2 завжди є невід’ємним (х2 ≥ 0).
(більшим або рівним 3).
Отже, весь знаменник –(3 + х2)
Оскільки чисельник
https://shkola.in.ua/2397-hdz-alhebra-8-klas-bevz-2016.html
х = 3а+2
а−2
б)
а2х – 3 = ах + а
а2х – ах = а + 3
х(а2 – а) = а + 3
х(а(а – 1)) = а + 3
х = а+3
а(а−1)
Рівняння має корені, якщо
в) 4(а2х – 3) = а + х
4а2х – 12 = а + х
4а2х – х = а + 12
х(4а2 – 1) = а + 12
х = а+12 4а2 −1 Рівняння
а) 3ах – 2а = а2х + 6
3ах – а2х = 2а + 6
х(3а – а2) = 2а + 6
х = 2а+6
3а−а2 Рівняння
б) ах – а = 7х – а
ах – 7 7х = а – 4
х(а – 7) = а – 4
х = а−4
а−7
9х – 5 = а(ах – 2)
9х – 5 = а2х – 2а
9х – а2х = 5 – 2а
х(9 – а2) = 5 – 2а
х = 5−2а 9−а2
https://shkola.in.ua/2397-hdz-alhebra-8-klas-bevz-2016.html
в) у(у + 2х) – (х + у)2
у(у + 2х) = у2 +2ху
-(х – у)2 = -(х2 + 2ху + у2) = -х2 – 2ху – у2
у2 + 2ху – х2 – 2ху – у2
Відповідь: -х2
45. Розклади на множники вираз.
а) х2 – 16 = (x – 4)(x + 4)
б)
х2 – 9у4 = (x – 3y2)(x + 3y2)
в) х2 – 6х + 9 = (x – 3)2
г) а3 – 4а = a(a – 2)(a + 2)
ґ) 3а2 – 6ab + 3b2 = 3(a – b)2 д) 2х + 2у – ах – ау = (x + y)(2 – a) 46.
г) (b + 4)2 – (b – 3)(b + 3)
(b + 4)2 = b2 + 8b + 16 -(b – 3)(b + 3) = -(b2 – 9) = -b2 + 9
b2 + 8b + 16 – b2 + 9
Відповідь: 8b + 25


https://shkola.in.ua/2397-hdz-alhebra-8-klas-bevz-2016.html
https://shkola.in.ua/2397-hdz-alhebra-8-klas-bevz-2016.html
https://shkola.in.ua/2397-hdz-alhebra-8-klas-bevz-2016.html
)2
б) а2 −1 а+1 = а− 1; (а−1)(а+1) а+1 = а− 1; а− 1= а− 1. Тотожність доведено. в) 2(х−1) ху−у2 = 4(х−у) 2у(х−у) ; 2(х−у) у(х−у) = 2(х−у) у(х−у) . Тотожність доведена.
г) 4а2 −х2 2а+х = 2а −х; (2а−х)(2а+х) 2а−х = 2а −х; 2а −х = 2а −х. Тотожність доведено.
ґ) (а+с)3
а+с = (а + с)2 ; (а + с)2 = (а + с)2 . Тотожність доведено.
д) х2 −2х+1 х−1 = х− 1; (х−1)2 х−1 = х− 1; х− 1= х− 1. Тотожність доведено.
74. Доведи тотожність.
х3 −с3 х2 +хс+с2 = х−с; (х−с)(х2 +хс+с2 ) х2 +хс+с2
+с3 х+с = х2 хс

https://shkola.in.ua/2397-hdz-alhebra-8-klas-bevz-2016.html
= (����− 1)2 . Тотожність доведено.
85. Спрости вираз.
2х+2+3ху−2у
а)
2у−2+3ху−3х = (3х+2)+у(3х+2) 2(у−1)+3х(у−1) = (3х+2)(1+у) (у−1)(2+3х) = у+1 у−1; б) (х+1)(х−1)
х2 +3х+2 = (х+2)(х−1) (х+2)(х+1) = х−1 х+1;
х2 −4х+3
х2 −2х−3 = (х−3)(х−1) (х−3)(х+1) = х−1 х+2 .
86. Спрости вираз. а)
2����2 −18 ����2 +2����−15
https://shkola.in.ua/2397-hdz-alhebra-8-klas-bevz-2016.html
б) (����4 +����4 )(����3 −����2 ����+��������2 ����3 ) ����8 ����8 , якщо а = 12,25, b = 2 1 4 .
а3 – a2b + ab2 – b3 = (a2 + b2)(a – b)
a8 – b8 = (a4 – b4)(a4 + b4) = (a – b)(a + b)(a2 + b2)(a4 + b4) (����4 +����4 )(����2 +����2 )(����−����)
(����−����)(����+����)(����2 +����2 )(����4 +����4 ) = 1 ����+���� . a + b = 12,25 – 2,25 = 10 = 1 10
Відповідь: 1 10 .
88. Скороти дріб і знайди його значення.
а) ����2 −4�������� +4����2 −9 ����−2����−3 , якщо а = 2, b = 1 2 . a2 – 4ab + 4b2 = (a – 2b)2 (����−2����)2 −9 ����−2����−3 = (����−2���� −3)(����−2���� +3) ����−2����−3 = ����− 2���� +3. a – 2b + 3 – 2 – 1 + 3 = 4
Відповідь: 4.
б) ����8 ����8 (����3 +����2 ����+��������2 +����3 )(����4 +����4 ), якщо а = -5,25, b = 1 4 . a8 – b8 = (a4 – b4)(a4 + b4) та a4 – b4 = (a – b)(a3 + a2b + ab2 + b3) (����−����)(����3 +����2 ����+��������2 +����3 )(����4 +����4 ) (����3 +����2 ����+��������2 +����3 )(����4 +����4 ) = ����−����
a – b = -5,25 – (-0,25) = -5
Відповідь: -5. 89. Чи
так,





https://shkola.in.ua/2397-hdz-alhebra-8-klas-bevz-2016.html
(а – 3)х – а(а – 3) = 0
(а – 3)(х – а) = 0
а – 3 = 0
або х – а = 0
а = 3 а = х
ха2 – х – 2а + 2 = 0
х(а2 – 1) – 2(а – 1) = 0
х(а – 1)(х(а + 1) – 2) = 0
(а – 1)(х(а + 1) – 2) = 0
(а – 1)(ха + х – 2) = 0
а – 1 = 0 або ха + х – 2 = 0
а = 1 а = −х+2 х
97. Для кожного значення а розв’яжи рівняння.
а) (а + 5)х = 2а2 + 10а
(а + 5)х = 2а(а + 5)
(а + 5)х – 2а(а + 5) = 0
(а + 5)(х – 2а) = 0
а + 5 = 0 або х – 2а = 0
а = -5 а = 1 2 х
б) (а2 + 6а)х = а2 – 36
ха2 + 6ха = а2 – 36
ха2 + 6ха – а2 + 36 = 0
ха(а + 6) + 36 – а2 = 0
ха(а + 6) + (6 – а)(6 + а) = 0
(а + 6)(ха + 6 – а) = 0
а + 6 = 0 або ха + 6 – а = 0
= -6 а = 6 х 1
m – маса
10 ≤ 5(або 6)
https://shkola.in.ua/2397-hdz-alhebra-8-klas-bevz-2016.html
солі = 10%
Якщо норма 5 г: ���� 10 =5 →���� = 50 г.
Якщо норма 6 г: ���� 10 =6 →���� = 60 г.
Відповідь: за
містять сіль.
103. Розв’яжіть рівняння: 5−2x(3x −2) = x(x + 4)−7x(x −5).
5−2x(3x −2) = x(x + 4)−7x(x −5) = х(х + 4) – 7х(х – 5) 5 – 6х2 + 4х = х2 + 4х – 7х2 + 35х
35х = 5
х = 1 7
104. Складіть




https://shkola.in.ua/2397-hdz-alhebra-8-klas-bevz-2016.html
https://shkola.in.ua/2397-hdz-alhebra-8-klas-bevz-2016.html
Відповідь: а) ні; б) ні; в) так (при x=1); г) ні.
123. Solve the equation:
https://shkola.in.ua/2397-hdz-alhebra-8-klas-bevz-2016.html


https://shkola.in.ua/2397-hdz-alhebra-8-klas-bevz-2016.html


https://shkola.in.ua/2397-hdz-alhebra-8-klas-bevz-2016.html
течією: швидкість ���� +2,5, шлях 7(
+2,5).
течії: швидкість ����− 2,5, шлях 9(����− 2,5).
Маємо рівність: 7(���� +2,5) =9(����− 2,5).
Розкриваємо дужки: 7���� + 17,5=9����− 22,5 ⇒ 40 =2���� ⇒���� = 20.
Відповідь: власна швидкість катера 20 км/год.
https://shkola.in.ua/2397-hdz-alhebra-8-klas-bevz-2016.html
https://shkola.in.ua/2397-hdz-alhebra-8-klas-bevz-2016.html
https://shkola.in.ua/2397-hdz-alhebra-8-klas-bevz-2016.html
https://shkola.in.ua/2397-hdz-alhebra-8-klas-bevz-2016.html
https://shkola.in.ua/2397-hdz-alhebra-8-klas-bevz-2016.html
https://shkola.in.ua/2397-hdz-alhebra-8-klas-bevz-2016.html
Тотожність
доведено.
https://shkola.in.ua/2397-hdz-alhebra-8-klas-bevz-2016.html
https://shkola.in.ua/2397-hdz-alhebra-8-klas-bevz-2016.html
https://shkola.in.ua/2397-hdz-alhebra-8-klas-bevz-2016.html
https://shkola.in.ua/2397-hdz-alhebra-8-klas-bevz-2016.html
https://shkola.in.ua/2397-hdz-alhebra-8-klas-bevz-2016.html
https://shkola.in.ua/2397-hdz-alhebra-8-klas-bevz-2016.html
б) ���� 2 6���� ���� 2 − 4 + ���� ����− 2 =0; ���� 2 4= (����− 2)(���� +2); ���� (����− 6) (����− 2)(���� +2) + ���� (���� +2) (����− 2)(���� +2) =0; ����� (����− 6) + ���� (���� +2) =0 (����− 2)(���� +2) ≠ 0 ;
���� (2���� 4) = 0 (���� 2)(���� + 2) ≠ 0 ; � 2���� (���� 2) = 0 (���� 2)(���� + 2) ≠ 0; ����� = 0 ���� ≠ 2 або � ���� = 2 ���� ≠ 2 ; ���� = 0
1 2����− 1 + 6���� 1 8���� 3 =0; 1 8���� 3 = (2����− 1) ⋅
https://shkola.in.ua/2397-hdz-alhebra-8-klas-bevz-2016.html
���� 2 8 (���� +2)(���� 2 − 2���� +4) 1 ���� +2 =0; �����² 8 ����² + 2���� 4 = 0 (���� + 2)(����² 2���� + 4) ≠ 0 ;
2���� 12 = 0 (���� + 2)(����² 2���� + 4) ≠ 0 ; ���� = 6.
205. Розв’яжи рівняння. а) 12���� 4���� 2 9 + 2����− 3 4���� +6 + 2���� +3 6����− 9 =0; (4x² − 9 = (2x − 3)(2x + 3), 4x + 6 = 2(2x + 3), 6x − 9 = 3(2x − 3)); 12���� (2����− 3)(2���� +3) + (2���� 3) 2(2���� + 3) + (2���� + 3) 3(2���� 3) =0; 72���� + 3(2���� 3)² + 2(2���� + 3)² 6(2���� 3)(2���� + 3) =0; �72���� + 3(2���� 3)² + 2(2���� + 3)² = 0 6(2���� 3)(2���� + 3) ≠ 0 ; �72���� + 3(4����² − 12���� + 9) + 2(4����² + 12���� + 9) = 0 6(2���� 3)(2���� + 3) ≠ 0 ;
20���� 2 + 60���� + 45 =0
6(2����− 3)(2���� +3) ≠ 0 ; � 4���� 2 + 12���� +9=0 6(2����− 3)(2���� +3) ≠ 0 ;
(2���� + 3)² = 0 6(2���� 3)(2���� + 3) ≠ 0 ; розв’язків
Отже, ���� ділить 3. ���� =±1, ±3.
2����2 +3���� +5 ���� ; 2����2 +3���� +5
, ����
5. ���� =±1, ±5.
число
https://shkola.in.ua/2397-hdz-alhebra-8-klas-bevz-2016.html
Сума чисельників тотожно
в) (����−���� )(���� −���� ) ���� (����−���� ) + (����−���� )(���� −���� ) ���� (����−���� ) + �������� �������� =1.
Приводимо перші два дроби до спільного знаменника (�������� (����−���� )): ���� (����−���� )(���� −���� ) −����(����−���� )(���� −���� ) �������� (����−���� ) + �������� (����−���� ) �������� (����−���� ).
Чисельник після розкриття дужок спрощується
Отже, �������� (����−���� )
�������� (����−���� ) =1.
Тотожність доведено.
215. Запиши

Візьмемо:
В = 8 (вісім), Д = 10 (десять), Ч = 4 (чотири), Ш = 6 (шість).
Тоді суми рядків:
8+8+ 10 = 26, 4+ 10 + 10 = 24, 4+6+6= 16;
суми стовпчиків:
8+4+4= 16, 8+ 10 +6= 24, 10 + 10 +6= 26.
Отримані суми збігаються як множини (16, 24, 26), тому вимога виконана.
216. Обчисли.
а) 530 ⋅ 330 (1515 1)(1515 +1);
530 ⋅ 330 = (5 ⋅ 3)30 = 1530 ; (1515 1)(1515 +1) = (1515 )2 1= 1530 1; 1530 (1530 1) =1.
б) 724 ⋅ 824 + (1 − 5612 )(1+ 5612 ); 724 ⋅ 824 = (7 ⋅ 8)24 = 5624 ; (1 5612 )(1+ 5612 ) =1 (5612 )2 =1 5624 ; 5624 +1 5624 =1.
217. Виконай дії.
а) 2+ 8 15 ⋅ 1 9 16 ; 1 9 16 = 25 16 ;
x+15
6(x+15) – 4x = 220.
6x + 90 – 4x = 220, 2x + 90 = 220, 2x = 130, x = 65.
Відповідь: 65 грн.
https://shkola.in.ua/2397-hdz-alhebra-8-klas-bevz-2016.html
3���� 6 = 0
3���� = 6 ���� = 2
Відповідь: x = 2 (В).
2.
Відповідь: 6���� 2 ���� (В) 3.
https://shkola.in.ua/2397-hdz-alhebra-8-klas-bevz-2016.html
https://shkola.in.ua/2397-hdz-alhebra-8-klas-bevz-2016.html
2(����− 4)2 (����− 4)(���� +4) = 2(����− 4) ���� +4
) 5 ���� +5 + 5 ����− 5 + 2���� 2 ���� 2 25 =0 ���� 2 25 = (����− 5)(���� +5) 5(����− 5) +5(���� +5) +2���� 2 (����− 5)(���� +5) =0 5����− 25 +5���� + 25 +2���� 2 (����− 5)(���� +5) =0
2���� 2 + 10���� (����− 5)(���� +5) =0
2���� 2 + 10���� =0 (����− 5)(���� +5) ≠ 0 ; � 2���� (���� +5) =0 (����− 5)(���� +5) ≠ 0 ;
7. Доведи тотожність. ���� +5 3���� +9 ����− 10 3����− 9 3���� +5 ���� 2 9 =0. ���� 2 9= (����− 3)(���� +3)
3���� +9=3(���� +3), 3����− 9=3(����− 3) ���� +5 3(���� +3) ����− 10 3(����− 3) 3���� +5 (����− 3)(���� +3) =0
https://shkola.in.ua/2397-hdz-alhebra-8-klas-bevz-2016.html
https://shkola.in.ua/2397-hdz-alhebra-8-klas-bevz-2016.html
https://shkola.in.ua/2397-hdz-alhebra-8-klas-bevz-2016.html
239.
https://shkola.in.ua/2397-hdz-alhebra-8-klas-bevz-2016.html


https://shkola.in.ua/2397-hdz-alhebra-8-klas-bevz-2016.html
https://shkola.in.ua/2397-hdz-alhebra-8-klas-bevz-2016.html

https://shkola.in.ua/2397-hdz-alhebra-8-klas-bevz-2016.html
https://shkola.in.ua/2397-hdz-alhebra-8-klas-bevz-2016.html
https://shkola.in.ua/2397-hdz-alhebra-8-klas-bevz-2016.html
https://shkola.in.ua/2397-hdz-alhebra-8-klas-bevz-2016.html
https://shkola.in.ua/2397-hdz-alhebra-8-klas-bevz-2016.html
https://shkola.in.ua/2397-hdz-alhebra-8-klas-bevz-2016.html
https://shkola.in.ua/2397-hdz-alhebra-8-klas-bevz-2016.html
https://shkola.in.ua/2397-hdz-alhebra-8-klas-bevz-2016.html
https://shkola.in.ua/2397-hdz-alhebra-8-klas-bevz-2016.html


https://shkola.in.ua/2397-hdz-alhebra-8-klas-bevz-2016.html
https://shkola.in.ua/2397-hdz-alhebra-8-klas-bevz-2016.html
2���� 2 +8����− 5= (1+2���� )(���� +3)
2���� 2 +8����− 5=
���� + 3 = 8 + 3 = 11
https://shkola.in.ua/2397-hdz-alhebra-8-klas-bevz-2016.html
рівняння рівносильне системі: � 4���� 2 16 =0
���� (���� +3)(���� +4) ≠ 0; � 4���� 2 = 16 ���� ≠ 0, ���� ≠−3, ���� ≠−4; � ���� 2 =4
���� ≠ 0, ���� ≠−3, ���� ≠−4; � ���� =2 або ���� = 2 ���� ≠ 0, ���� ≠−3, ���� ≠−4; Обидва корені ���� =2 та ���� = 2 задовольняють умови знаменника.
Відповідь: ����1 =2; ����2 = −2. 389. Знайди корені рівняння: а)
7����− 2
4 −���� 2 + 5 2+ ���� = 3 2 −����
7����− 2
(2 −���� )(2+ ���� ) + 5 2+ ���� 3 2 −���� =0
7����− 2
(2 −���� )(2+ ���� ) + 5(2 −���� ) (2+ ���� )(2 −���� ) 3(2+ ���� ) (2 −���� )(2+ ���� ) =0
(7����− 2) +5(2 −���� ) 3(2+ ���� )
(2 −���� )(2+ ���� ) =0
7����− 2+ 10 5����− 6 3����
(2 −���� )(2+ ���� ) =0
7����− 5����− 3����− 2+ 10 6
(2 −���� )(2+ ���� ) =0 −���� +2
(2 −���� )(2+ ���� ) =0
Це рівняння рівносильне системі:
+ 2=0
(2 −���� )(2+ ���� ) ≠ 0; � −����
���� = 2 не задовольняє
Відповідь: Рівняння
в) 2����− 4���� 2 1 2����− 1 =5
4���� 2 1 2����− 1 =5 2����
4���� 2 − 1
2����− 1 =2����− 5
4���� 2 − 1= (2����− 5)(2����− 1)
4���� 2 1=4���� 2 2����− 10���� +5
4���� 2 1=4���� 2 12���� +5
4���� 2 4���� 2 + 12���� =5+1
12���� = 6 ���� = 6 12 ���� = 0.5 Перевірка кореня: 2����− 1=2(0.5) 1=1 1=0
https://shkola.in.ua/2397-hdz-alhebra-8-klas-bevz-2016.html
4 ���� +1 ���� +1 ����− 1 + ���� 2 3 (����− 1)(���� +1) =0
4(����− 1) (���� +1)(����− 1) (���� +1)(���� +1) (����− 1)(���� +1) + ���� 2 3 (����− 1)(���� +1) =0
4(����− 1) − (���� +1)2 +(���� 2 − 3) (����− 1)(���� +1) =0 (4����− 4) (���� 2 +2���� +1)+ ���� 2 3 (����− 1)(���� +1) =0
4����− 4 −���� 2 2����− 1+ ���� 2 3 (����− 1)(���� +1) =0 2����− 8 (����− 1)(���� +1) =0
Це рівняння рівносильне системі: �2����− 8=0 (����− 1)(���� +1) ≠ 0 ⇒�2���� =8 ����≠ 1 і ����≠−
Відповідь: ���� =4.
б) 8+ 24���� 36���� 2
(6����− 1)(6���� +1)
8+ 24����− 6����− 1 12���� +2 (6����− 1)(6���� +1) =0 6���� +9 (6����− 1)(6���� +1) =0
https://shkola.in.ua/2397-hdz-alhebra-8-klas-bevz-2016.html
2 ���� +1 5 ����− 1 + 7 −���� 2 (����− 1)(���� +1) =0
2(����− 1) (���� +1)(����− 1) 5(���� +1) (����− 1)(���� +1) + 7 −���� 2 (����− 1)(���� +1) =0
2(����− 1) − 5(���� +1)+(7 −���� 2 ) (����− 1)(���� +1) =0
2����− 2 5����− 5+7 −���� 2 (����− 1)(���� +1) =0 −���� 2 3���� (����− 1)(���� +1) =0
−���� (���� +3) (����− 1)(���� +1) =0
Це рівняння рівносильне системі:
(���� +3)=0 (����− 1)(���� +1) ≠ 0 ⇒����� =0 або ���� = 3 ����≠ 1 і ����≠−1
Перевіримо корені:
���� = 3 задовольняє
����1 =0; ����2 = 3
)(1
https://shkola.in.ua/2397-hdz-alhebra-8-klas-bevz-2016.html
���� )(1+2���� ) =0
���� =2 задовольняє умови знаменника.
���� =2. б) 2���� 2
1 2����− 3 4 2���� +3 9 −���� 2 (2����− 3)(2���� +3) =0
1 2����− 3 + 4 2���� +3 + 9 −���� 2 (2����− 3)(2���� +3) =0 1 ⋅ (2���� +3)
(2����− 3)(2���� +3) + 4 ⋅ (2����− 3) (2���� +3)(2����− 3) + 9 −���� 2 (2����− 3)(2���� +3) =0 (2���� +3)+4(2����− 3)+(9 −���� 2 )
(2����− 3)(2���� +3) =0 2���� +3+8����− 12 +9 −���� 2 (2����− 3)(2���� +3) =0 −���� 2 + 10����
(2����− 3)(2���� +3) =0 −���� (����− 10)
(2����− 3)(2���� +3) =0
рівняння рівносильне системі: �−���� (����− 10)=0 (2����− 3)(2���� +3) ≠ 0 ⇒����� =0 або ���� = 10 2����≠ 3 і 2����≠−3
12
https://shkola.in.ua/2397-hdz-alhebra-8-klas-bevz-2016.html
(����− 2)(���� +2) = 3(����− 2) −���� ����− 2
12 (����− 2)(���� +2) = 3���� +6 −���� ����− 2
12 (����− 2)(���� +2) = 4���� +6 ����− 2
Застосуємо основну
12 ⋅ (����− 2)=( 4���� +6) ⋅ (����− 2)(���� +2)
Поділимо обидві частини на (����− 2), але запам'ятаємо, що ����≠ 2:
12 =( 4���� +6)(���� +2)
12 = 4���� 2 8���� +6���� + 12
12 = 4���� 2 2���� + 12
4���� 2 +2���� + 12 − 12 =0
4
+2
=0 2���� (2���� +1)=0 Звідси
���� +1=0 ⟹���� = 0.5
(����− 2)(���� +2) ≠ 0 та ����− 2 ≠ 0. Корені, що виключаються: x ≠
(5+2���� )2 (1+2���� )2 =0 Розкриємо чисельник:
7(5+2���� )(1+2���� )=7(5+ 10���� +2���� +4����
https://shkola.in.ua/2397-hdz-alhebra-8-klas-bevz-2016.html
https://shkola.in.ua/2397-hdz-alhebra-8-klas-bevz-2016.html
https://shkola.in.ua/2397-hdz-alhebra-8-klas-bevz-2016.html
час ����за + ����проти = 20 год. 96 10 + ���� + 96 10 −���� = 20
Знаменник: (10 + ���� )(10 −���� )= 100 −���� 2 . 96(10 −���� )+ 96(10 + ���� )= 20(100 −���� 2 )
960 − 96���� + 960 + 96���� = 2000 − 20���� 2
1920 = 2000 20���� 2
20���� 2 = 2000 1920 20���� 2 = 80 ���� 2 =4
Знаходження коренів та перевірка ОДЗ: ����1 =2 або ����2 = 2.
ОДЗ: ���� < 10 і ���� >0 (швидкість).
����2 = 2 не задовольняє ���� >0.
����1 =2 задовольняє ���� < 10 і ���� >0.
Швидкість течії річки ���� =2 км/год.
Відповідь: 2 км/год.
406. Катер
часу, скільки
https://shkola.in.ua/2397-hdz-alhebra-8-klas-bevz-2016.html
https://shkola.in.ua/2397-hdz-alhebra-8-klas-bevz-2016.html
Умова: ����−����≠ 0 ⟹����≠���� . Рівняння чисельника: (����− 2)(����− 5)=0. Корені: ����1 =
2, ����2 =5.
1. Якщо ����≠ 2 і ����≠ 5: Корені рівняння: ���� =2 та ���� =5.
2. Якщо ���� =2: Корінь ����1 =2 відкидається (не задовольняє ОДЗ).
Корінь рівняння: ���� =5.
3. Якщо ���� =5: Корінь ����2 =5 відкидається (не задовольняє ОДЗ).
Корінь рівняння: ���� =2.
Значення параметра ���� Корені рівняння
2 і ���� ≠ 5 ���� = 2; ���� = 5
= 2
= 5
б) ����−���� (���� +2)(����− 4) =0
= 5
= 2
Умова: (���� +2)(����− 4) ≠ 0 ⟹����≠−2 і ����≠ 4.
Рівняння чисельника: ����−���� =0. Корінь: ���� = ���� .
1. Якщо ����≠−2 і ����≠ 4: Корінь рівняння: ���� = ���� .
2. Якщо ���� = 2 або ���� =4: Корінь ���� = ���� відкидається (не задовольняє ОДЗ).
Рівняння коренів не має. Значення параметра ���� Корені рівняння
≠ −2 і ���� ≠ 4 ���� = ����
= −2 або ���� = 4 Коренів немає
=0 Умова: ����−����≠ 0 ⟹����≠���� . Рівняння чисельника: ���� (����− 6)=0. Корені: ����1 =0, ����2 =6.
1. Якщо ����≠ 0 і ����≠ 6: Корені рівняння: ���� =0 та ���� =6.
2. Якщо ���� =0: Корінь ����1 =0
Корінь рівняння: ���� =6.
3. Якщо ���� =6: Корінь ����2 =6
Корінь рівняння: ���� =0.
Значення
а інший — ні.
1. Якщо ���� =7: Корінь ���� =7 відкидається. Залишається ���� = 1. 2. Якщо ���� = 1: Корінь ���� = 1 відкидається.
���� =0.
5. Якщо корені збігаються (����1 = ����2 ): ���� =0. Тоді
https://shkola.in.ua/2397-hdz-alhebra-8-klas-bevz-2016.html
1. Якщо −����≠ 0 і −����≠ 10 (����≠ 0 і ����≠−10): Корені: ����
https://shkola.in.ua/2397-hdz-alhebra-8-klas-bevz-2016.html
(�������� −�������� )+(�������� + �������� )=2+6 ⟹ 2�������� =8 ⟹�������� =4
3. Знаходимо споживання Сина та Тата:
�������� =6 −�������� =6 4=2
�������� = 10 −�������� = 10 4=6
Річне споживання: Тато — 6, Мама — 4, Син — 2 поросята.
Знаходження часу на 1 порося (у тижнях)
Приймаємо, що 1 рік складається з 48 тижнів. Час на одне порося дорівнює 48,
поділеному на річне споживання:
• Тато: 48/6=8 тижнів.
• Мама: 48/4= 12 тижнів.
• Син: 48/2= 24 тижні.
Відповідь: Тато за 8 тижнів, Мама за 12 тижнів, Син за 24 тижні. 418. Розв’яжи математичні кросворди,


(ℚ) 7, 84,0, 2 9 ,0.5, −8,2 1 3 , −24,9
https://shkola.in.ua/2397-hdz-alhebra-8-klas-bevz-2016.html


https://shkola.in.ua/2397-hdz-alhebra-8-klas-bevz-2016.html
2���� ���� 3 : ���� ���� 3 = 2���� ���� 3 ⋅ ���� 3 ���� =2.
Правильна Відповідь: В
7.
Правильна Відповідь: Б
Отже, x = 3 виключається.
Залишається тільки x = 0.
Правильна Відповідь: А
9. Спрости
Правильна Відповідь: А
10.
https://shkola.in.ua/2397-hdz-alhebra-8-klas-bevz-2016.html
https://shkola.in.ua/2397-hdz-alhebra-8-klas-bevz-2016.html
https://shkola.in.ua/2397-hdz-alhebra-8-klas-bevz-2016.html
https://shkola.in.ua/2397-hdz-alhebra-8-klas-bevz-2016.html
1) Чи може вираз дорівнювати 0? 1
1 −���� 2 =0
Дріб дорівнює нулю лише якщо чисельник = 0.
Але чисельник = 1, отже 0 — неможливо.
2) Чи може вираз дорівнювати 1? 1 1 −���� 2 =0
Тоді: 1=1 −���� 2 0= −���� 2 ⇒ c 2 = 0⇒���� = 0 Але при (c = 0) початковий
Отже, 1 — теж неможливо.
3) Чи може вираз бути більшим за 1?
Маємо:
0).
0,35 <1; 23 ≥ 10; 32,4 ≥ 10; 2,5 ∈ [1; 10).
Правильна Відповідь: Г.
480. Укажи запис числа 0,351 у стандартному
0,351 =3,51 ⋅ 10−1 .
Правильна Відповідь: А.
481. Укажи порядок числа.
а) 3,27 ⋅ 107 ⇒ 107 ;
б) 5⋅ 10−8 ⇒ 10−8 ;
в) 3,07 ⋅ 107 ⇒ 107 ;
г) 5,9 ⋅ 108 ⇒ 108 ; ґ) 6,2 ⋅ 10−8 = 10−8 .
482. Укажи порядок числа.
а) 300000 =3 ⋅ 105 ⇒ 105 ;
б) 8320000 =8,32 ⋅ 106 ⇒ 106 ;
в) 0,000008 =8 ⋅ 10−6 ⇒ 10−6 ;
г) 0,000026 =2,6 ⋅ 10−5 ⇒ 10−5 .
483. Обчисли.
а) 2⋅ 104 +3 ⋅ 104 = (2+3) ⋅ 104 =5 ⋅ 104 ; б) 5⋅ 107 − 3 ⋅ 107 = (5 − 3) ⋅ 107 =2 ⋅ 107 ;
в) (2 ⋅ 107 ) ⋅ (3 ⋅ 107 ) =2 ⋅ 3 ⋅ 107+7 =6 ⋅ 1014 ; г) (6 ⋅ 109 ): (3 ⋅ 109 ) = (6:3) ⋅ 109−9 =2 ⋅ 100 =2.
484. Запиши без показника степеня.
а) 7⋅ 105 = 700000; б) 2,3 ⋅ 108 = 230000000;
в) 4,7 ⋅ 1010 = 47000000000;
г) 9,83 ⋅ 10−11 =0,0000000000983;
ґ) 3⋅ 10−9 =0,000000003;
д) 7,8 ⋅ 10−6 =0,0000078.
https://shkola.in.ua/2397-hdz-alhebra-8-klas-bevz-2016.html
485. Запиши без показника степеня.
а) 2,7 ⋅ 105 = 270000;
б) 3⋅ 107 = 30000000;
в) 3,02 ⋅ 1010 = 30200000000;
г) 9⋅ 10−8 =0,00000009;
ґ) 3,5 ⋅ 10−12 =0,0000000000035;
д) 1,95 ⋅ 10−9 =0,00000000195.
486. Запиши у стандартному вигляді число
а) 370000000 =3,7 ⋅ 108 ;
б) 4250000000 =4,25 ⋅ 109 ;
в) 1002000000 =1,002 ⋅ 109 ;
г) 0,000047 =4,7 ⋅ 10−5 ;
ґ) 0,000000365 =3,65 ⋅ 10−7 ;
д) 0,00000000107 =1,07 ⋅ 10−9 . 487. Write the number in scientific notation.
���� ) 290000000 =2,9 ⋅ 108 ;
����) 1070000000000 =1,07 ⋅ 1012 ;
���� ) 130020000000 =1,3002 ⋅ 1011 ;
���� ) 0,00000053 =5,3 ⋅ 10−7 ;
����) 0,00000000027 =2,7 ⋅ 10−10 ;
���� ) 0,000000003405 =3,405 ⋅ 10−9 .
488. Гра. Один
) 7⋅
) (5
5 ⋅ 106 ⇒ 106 ; 8 ⋅ 109 ⇒ 109 ; (5 ⋅ 106 )(8 ⋅ 109 ) =5 ⋅
. Меркурій: 3,26 ⋅ 1023 ⋅ 10−3 =3,26 ⋅ 1020 т;
4,88 ⋅ 1024 ⋅ 10−3 =4,88 ⋅ 1021 т; Марс: 6,43 ⋅ 1023 ⋅ 10−3 =6,43 ⋅ 1020 т; Юпітер: 1,90 ⋅ 1027 ⋅ 10−3 =1,90 ⋅ 1024 т;
5,69 ⋅ 1026 ⋅ 10−3 =5,69 ⋅ 1023 т;
8,69 ⋅ 1025 ⋅ 10−3 =8,69 ⋅ 1022 т;
Нептун: 1,04 ⋅ 1026 ⋅ 10−3 =1,04 ⋅ 1023 т. в) переліч планети в порядку зростання їх
Меркурій (3,26 ⋅ 1020 )
Марс (6,43 ⋅ 1020 )
Нептун (1,04 ⋅ 1023 )
Уран (8,69 ⋅ 1022 ) (виправляємо порядок:
Сатурн (5,69 ⋅ 1023 )
Венера (4,88 ⋅ 1021 ) (ставимо на місце)
Юпітер (1,90 ⋅ 1024 ).
Правильний порядок: Меркурій < Марс < Венера <
1023
3,26 ⋅ 1023 = 1,04 3,26 ≈ 0,32.
https://shkola.in.ua/2397-hdz-alhebra-8-klas-bevz-2016.html
Уран:2,38 ⋅ 107 ;
Нептун:2,22 ⋅ 107 ; Уран більший за радіусом.
Маси:
Уран:8,69 ⋅ 1025 ;
Нептун:1,04 ⋅ 1026 ; Нептун масивніший. Висновок:
https://shkola.in.ua/2397-hdz-alhebra-8-klas-bevz-2016.html
) 1427 ≈ 1430 =1,43 ⋅ 103 ;
) 155,678 ≈ 155,680 =1,5568 ⋅ 105 ;
в) 54,23 ≈ 54 =5,4 ⋅ 101 ;
г) 4911,2 ≈ 4910 =4,91 ⋅ 103 .
507. Округли число
а) 157,415 ≈ 157 =1,57 ⋅ 102 ;
б) 8901,5 ≈ 8902 =8,902 ⋅ 103 ;
в) 18,9 ≈ 19 =1,9 ⋅ 101 ;
г) 315,5 ≈ 316 =3,16 ⋅ 102 .
508. Порівняй числа.
а) 4,2 ⋅ 106 і 3,95 ⋅ 106 :
4,2>3,95 ⇒ 4,2 ⋅ 106 >3,95 ⋅ 106 ; б) 2,1 ⋅ 10−5 і 2 ⋅ 10−5 : 2,1>2 ⇒ 2,1 ⋅ 10−5 >2 ⋅ 10−5 ; в) 5,8 ⋅ 109 і 7,5 ⋅ 108 : 109 > 108 ⇒ 5,8 ⋅ 109 >7,5 ⋅ 108 ;
г) 7,3 ⋅ 10−7 і 6,4 ⋅ 10−6 : 10−7 < 10−6 ⇒ 7,3 ⋅ 10−7 <6,4 ⋅ 10−6 .
509. Порівняй числа.
а) 6,8 ⋅ 1013 і 8,8 ⋅ 1013 :
6,8<8,8 ⇒ 6,8 ⋅ 1013 <8,8 ⋅ 1013 ; б) 3,7 ⋅ 10−8 і 2,7 ⋅ 10−8 : 3,7>2,7 ⇒ 3,7 ⋅ 10−8 >2,7 ⋅ 10−8 ; в) 2,26 ⋅ 1020 і 8,12 ⋅ 1019 : 2,26 ⋅ 1020 = 22,6 ⋅ 1019 ; 22,6>8,12 ⇒ 2,26 ⋅ 1020 >8,12 ⋅ 1019 ; г) 4,71 ⋅ 10−12 і 5 ⋅ 10−13 : 5 ⋅ 10−13 =0,5 ⋅ 10−12 ; 4,71 >0,5 ⇒ 4,71 ⋅ 10−12 >5 ⋅ 10−13 . 510. Порядок числа
а) 1000����: 1000 = 103 ; ���� = 10−12 ; 1000���� = 103 ⋅ 10−12 = 10−9 ; Порядок: 9; б) 0,0001����: 0,0001 = 10−4 ; ���� = 10−12 ;
-12.
https://shkola.in.ua/2397-hdz-alhebra-8-klas-bevz-2016.html
0,0001���� = 10−4 ⋅ 10−12 = 10−16 ;
Порядок: 16;
в) ����⋅ 1015 : 10−12 ⋅ 1015 = 103 ;
Порядок: 3;
г) ����
10−20 : ���� = 10−12 ; 10−12
10−20 = 10−12−(−20) = 108 ;
Порядок: 8.
511. Порядок числа a дорівнює 8. Який
а) 100����:
100 = 102 ; ���� = 108 ; 100���� = 102 ⋅ 108 = 1010 ;
Порядок: 10;
б) 0,000001����:
0,000001 = 10−6 ; ���� = 108 ; 0,000001���� = 10−6 ⋅ 108 = 102 ;
Порядок: 2;
в) ����⋅ 1012 : 108 ⋅ 1012 = 1020 ;
Порядок: 20;
г) ���� 1012 : 108 1012 = 108−12 = 10−4 ;
Порядок: 4.
числа?
За даними таблиці: а) запиши
«Ліліпути»:
0,
0,0000375 м
https://shkola.in.ua/2397-hdz-alhebra-8-klas-bevz-2016.html
https://shkola.in.ua/2397-hdz-alhebra-8-klas-bevz-2016.html
2���� =5+1
2���� =6 ����1 =3 Випадок 2: 2
Випадок 1: 6 −���� =2
=2 6
= 4 ����1 =4 Випадок 2: 6 −���� = 2
= 2 6
https://shkola.in.ua/2397-hdz-alhebra-8-klas-bevz-2016.html

542. Чи проходить
https://shkola.in.ua/2397-hdz-alhebra-8-klas-bevz-2016.html
функції ���� = 24 ����
точки A(-6; -4), B(-12; 2), C(8; 3), K(-0,4; 60), E(-0,8; -30)?
����( 6; − 4): ���� = 24 6 = 4 так
���� ( 12; 2): ���� = 24 12 = 2 ≠ 2 ні
���� (8; 3): ���� = 24 8 =3 так
���� ( 0,4; 60): ���� = 24 0,4 = 60 ≠ 60 ні
���� ( 0,8; − 30): ���� = 24 0,8 = 30 так
543. Побудуй графік функції. ���� ) ���� = 12 ���� ;

) ���� = 2 ���� ;

https://shkola.in.ua/2397-hdz-alhebra-8-klas-bevz-2016.html



https://shkola.in.ua/2397-hdz-alhebra-8-klas-bevz-2016.html



https://shkola.in.ua/2397-hdz-alhebra-8-klas-bevz-2016.html








https://shkola.in.ua/2397-hdz-alhebra-8-klas-bevz-2016.html

Відповідь: ( 2; 1), (1; 2).
б) ��������� =6, ���� + ���� =5.

Відповідь: (2; 3), (3; 2).
561.
а) ��������� =4, ���� = ���� +3;
https://shkola.in.ua/2397-hdz-alhebra-8-klas-bevz-2016.html

(−4; −1), (1; 4).

( 1; 6), (1; 6).
���� ( 1; 2): ���� = 2 1 = 2 підходить
8= ���� −1 ⇒���� =8
8=8· ( 1) + ����⇒���� =0 б) ����(2; − 2)
2= ���� 2 ⇒���� = 4
2= 4·2+ ���� ⇒���� =6 566. Побудуй

https://shkola.in.ua/2397-hdz-alhebra-8-klas-bevz-2016.html


https://shkola.in.ua/2397-hdz-alhebra-8-klas-bevz-2016.html




https://shkola.in.ua/2397-hdz-alhebra-8-klas-bevz-2016.html

���� =
4, ���� < 6, 12 ���� , 6 ≤���� < 2, 6, ����≥−2;

���� = � 8 ���� , ���� < 2, 4, 2 ≤���� <2, 8 ���� , ����≥ 2.
https://shkola.in.ua/2397-hdz-alhebra-8-klas-bevz-2016.html




574.
https://shkola.in.ua/2397-hdz-alhebra-8-klas-bevz-2016.html




2 =0,16 ���� =±�0,16 ���� =±0,4
���� = ( 0,2)2 ���� =0,04 Правильна відповідь
https://shkola.in.ua/2397-hdz-alhebra-8-klas-bevz-2016.html
https://shkola.in.ua/2397-hdz-alhebra-8-klas-bevz-2016.html
���� = ( 3)2 =9
���� = (−1,5)2 =2,25
���� = ( 1)2 =1
���� =02 =0
���� = (0,5)2 =0,25
���� =22 =4
���� = (2,5)2 =6,25
���� = (3,5)2 = 12,25 ���� =42 = 16 ���� =52 = 25
= ( 2)2 =4
=02 =0
=12 =1
2 ≤ 7
���� = 2, −1, 0, 1, 2 584. Гра. За графіком (мал.
=2
=22 =4
=9
���� 2 ⇒���� =±3 585. Користуючись
https://shkola.in.ua/2397-hdz-alhebra-8-klas-bevz-2016.html
3600; 81; 1,69; 0,04. 3600 = ���� 2 ⇒���� =±√3600 =±60
81 = ���� 2 ⇒���� =±√81 =±9
1,69 = ���� 2 ⇒���� =±�1,69 =±1,3
0,04 = ���� 2 ⇒���� =±�0,04 =±0,2 587. Функцію задано формулою
4; -6; 1,7; -0,8; ���� =42 = 16 ���� = ( 6)2 = 36 ���� = (1,7)2 =2,89
= ( 0,8)2 =0,64
8100; 25; 1,44; 0,09. 8100 = ���� 2 ⇒���� =±√8100 =±90 25 = ���� 2 ⇒���� =±√25
(5; 25), ���� ( 1,1;1,21), ���� (5; 25), ���� �1
: 52 = 25 ⇒ проходить
: ( 1,1)2 =1,21 ⇒ проходить ���� : 52 = 25 ≠−25 ⇒ не проходить
;2 1 4� ?
����(0,1; 0,01), ����(0,2; 0,4),
590.
https://shkola.in.ua/2397-hdz-alhebra-8-klas-bevz-2016.html


���� 2 2���� =0
���� (����− 2) =0
���� =0, ���� =2
����(0) =0, ����(2) =4
https://shkola.in.ua/2397-hdz-alhebra-8-klas-bevz-2016.html
Точки перетину: (0;0) і (2;4)
2 точки

592. У скількох точках перетинаються
а) ���� = ���� 2 і ���� =4����− 3;
���� 2 =4����− 3
���� 2 4���� +3=0 (����− 1) ⋅ (����− 3) =0
���� =1, ���� =3
����(1) =12 =1, ����(3) =32 =9
Точки перетину: (1;1) і (3;9)
2 точки

б) ���� = ���� 2 і ���� = 3���� ���� 2 = 3����
https://shkola.in.ua/2397-hdz-alhebra-8-klas-bevz-2016.html
Точки
2 точки


( 1)2 = 1+2, 22 =2+2. Отже, ����1 = 1, ����2 =2. б) ���� 2 3���� +2=0;
рівняння у
���� 2 =3����− 2, тобто ���� = ���� 2 , ���� =3����− 2.
точках з абсцисами 1 і 2. Перевірка: 12 =3 ⋅ 1 2, 22 =3 ⋅ 2 2. Отже, ����1 =1, ����2 =2.

-1 і 2.




22 = 8 2 ,4=4.
, ���� =2.
https://shkola.in.ua/2397-hdz-alhebra-8-klas-bevz-2016.html
за формулою ���� = �������� 2 .
Хто така Ірина Володарівна? Ірина Володарівна (Ірина Галицька)
Ростиславича, одного із


https://shkola.in.ua/2397-hdz-alhebra-8-klas-bevz-2016.html
���� 2 =6 −���� .
���� 2 + ����− 6=0
(���� +3) ⋅ (����− 2) =0
���� = 3, ���� =2
����( 3) = ( 3)2 =9=6 ( 3), ����(2) =22 =4=6 2 601. Дано
а) ���� =1; б) ���� = 1; в) ���� =9; г) ���� = 9; ґ) ���� = 100; д) ���� = 100. Якщо перетинає, то в якій точці? а) ���� 2 = 1 ���� =±1
Точки: ( 1; 1), (1; 1) б) ���� 2 = −1
немає в) ���� 2 = 9 ���� =±3
( 3; 9), (3; 9) г) ���� 2 = 9
( 10; 100), (10; 100) д) ���� 2 = 100
602. Дано графік функції
) ���� =1; б) ���� = 1; в) ����
( 1; 1), (1;
���� 2 = 81
2
=±2
( 2; 4), (2; 4)
603. Порівняй значення
а) ���� = 2,1 і ���� =1,3
����( 2,1) = ( 2,1)2 =4,41
����(1,3) = (1,3)2 =1,69
4,41 >1,69
б) ���� = 2,1 і ���� =2,1
����( 2,1) = ( 2,1)2 =4,41
����(2,1) = (2,1)2 =4,41
4,41 =4,41
в) ���� = 2,1 і ���� =2,3
����( 2,1) = ( 2,1)2 =4,41
����(2,3) = (2,3)2 =5,29
4,41 <5,29
604. Compare the values of the function ���� = ���� 2 , if:
a) ���� = 3,2 and ���� =0,7
����( 3,2) = ( 3,2)2 = 10,24
����(0,7) = (0,7)2 =0,49 10,24 >0,49
b) ���� = 3,2 and ���� =3,2
д) ���� 2 = 81 ���� 2 = 81
���� =±9
Точки: ( 9; 81), (9; 81)
https://shkola.in.ua/2397-hdz-alhebra-8-klas-bevz-2016.html
����( 3,2) = ( 3,2)2 = 10,24
����(3,2) = (3,2)2 = 10,24 10,24 = 10,24 c) ���� = 3,2 and ���� =3,5
����( 3,2) = ( 3,2)2 = 10,24
����(3,5) = (3,5)2 = 12,25 10,24 < 12,25
605. При яких цілих значеннях x значення функції
більші за 10 (запиши 4 таких значення)?
���� 2 < 10
���� = −3, −2, −1, 0, 1, 2, 3
���� 2 > 10
���� = 5, −4, 4, 5
606. При яких цілих значеннях x
8 (запиши 4 таких значення)?
���� 2 <8
���� = 2, −1, 0, 1, 2
���� 2 >8
���� = 4, −3, 3, 4
607. Знайди
���� =52
���� = 25, ���� = 25
Точка: (5; 25)
���� 2 = 25
���� =±5
Друга точка: (−5; 25)
-2.
���� = ( 2)2
���� =4, ���� =4
Точка: ( 2;4)
���� 2 =4
���� =±2
Друга точка: (2;4)
609. Побудуй
https://shkola.in.ua/2397-hdz-alhebra-8-klas-bevz-2016.html


https://shkola.in.ua/2397-hdz-alhebra-8-klas-bevz-2016.html


https://shkola.in.ua/2397-hdz-alhebra-8-klas-bevz-2016.html


https://shkola.in.ua/2397-hdz-alhebra-8-klas-bevz-2016.html


https://shkola.in.ua/2397-hdz-alhebra-8-klas-bevz-2016.html


613.
5=0
=5
б) 12 |2���� +3|
https://shkola.in.ua/2397-hdz-alhebra-8-klas-bevz-2016.html
§13. Квадратні корені
617. Прочитай вирази. √16 — квадратний корінь із шістнадцяти; √0 — квадратний корінь із нуля; √0,9 — квадратний корінь із нуль цілих
Обчисли. а) √0 =0; √1 =1; √4 =2; √16 =4; √400 = 20; √90000 = 300; б) �0,01 =0,1;
619. Знайди
620. Який із виразів не має змісту?
А) √16; Б) √28; В) √ 25; Г) √0.
√ 25 - не має змісту.
621. Яка з умов хибна?
А) √36 =6; Б) √16 =±4; В) √0 =0; Г) √−25 не існує.
Хибна умова: √16 =±4.
622. Чи правильна рівність? а) √121 = 11 ≠−11; б) �472 = 47; в) �( 12)2 = 12 ≠−12.
623. Чи має зміст вираз?
а) √48 − має; б) √ 49 − немає; в) − √64 = 8 має; г) �( 5)2 =5 має; ґ) �( 4)3 = √ 64 − немає; д) �8 ⋅ ( 4) = √ 32 − немає; е) − √ 17 − немає; є) �( 6) ⋅ ( 12) = √72 − має.
https://shkola.in.ua/2397-hdz-alhebra-8-klas-bevz-2016.html
624. Покажи, що 8
числа 64?
82 = 64; ( 8)2 = 64.
Отже, числа 8 і -8 —
кореня дорівнює 8.
625. Покажи, що:
а) ( 5,4)2 = 29,16; б) ( 0,99)2 =0,9801;
в) �29,16 =5,4; �0,9801 =0,99.
Для √29,16 =5,4:
Число 5,4 невід'ємне (5,4 ≥ 0), 5,42 = 29,16. Отже, рівність правильна.
Для √0,9801 =0,99:
Число 0,99 невід'ємне (0,99 ≥ 0), 0,992 =0,9801. Отже, рівність правильна.
626. Чи є число –37 арифметичним значенням квадратного кореня числа 1369? А число 37? ( 37)2 = 1369, 372 = 1369.
Отже, -37 і 37 — квадратні корені з числа 1369. Але тільки 37 є арифметичним
квадратного кореня, бо -37 < 0. 627. Заповни таблицю.
121 = 11; б) √196 = 14; в) √225 = 15; г) √625 = 25; ґ) √100 = 10; д) √10000 = 100; е) √1600 = 40; є) √2500 = 50.
632. Обчисли
а) √0,04 =0,2; б) √0,09 =0,3; в) √0,16 =0,4; г) √0,64 =0,8; ґ) √1,21 =1,1; д)
https://shkola.in.ua/2397-hdz-alhebra-8-klas-bevz-2016.html
ґ) 2 ⋅ √49 =2 ⋅ 7= 14; д) 4 ⋅ √64 =4 ⋅ 8= 32; е) 7 ⋅ √100 =7 ⋅ 10 = 70; є) 5 ⋅ √144 =5 ⋅ 12 = 60.
635. Обчисли значення виразу. а) � 1 64 = 1 8 ; б) � 9 25 = 3 5 ; в) �25 36 = 5 6 ; г) � 4 49 = 2 7 ; ґ) 16: √16 = 16:4=4; д) 25: √25 = 25:5=5; е) 90: √81 = 90:9= 10
636. Обчисли значення виразу. а) − 5 ⋅ √36 = −5 ⋅ 6= −30; б) − 4,7 ⋅ √0 = 4,7 ⋅ 0=0; в) 0 ⋅ √47 =0; г) 2 3 ⋅ √81 = 2 3 ⋅ 9=6; ґ) 1 5 ⋅
225 = 1 5 ⋅ 15 =3;
3 4 ⋅ √196 = 3 4 ⋅ 14 = 21 2 = 10,5. 637. Обчисли
√25 + √49 =5+7= 12; б) 8+ √16 =8+4= 12; в)
https://shkola.in.ua/2397-hdz-alhebra-8-klas-bevz-2016.html
б) − 32,25 ⋅ √0 =0; в) 24 ⋅ √325 ⋅ 0 = 24 ⋅ √0 =0.
644. Обчисли значення виразу.
а) 169: √169 = 169: 13 = 13; б) 576: √576 = 576: 24 = 24; в) 24: √144 = 24: 12 =2.
645. Обчисли значення виразу. а) 2 3 ⋅ √36 = 2 3 ⋅ 6=4; б) 3 4 ⋅ √1600 = 3 4 ⋅ 40 = 30; в) − 2 5 ⋅ √1225 = − 2 5 ⋅ 35 = −14.
646. Користуючись калькулятором,
а) √2 ≈ 1,414 ≈ 1,41; б) √3 ≈ 1,732 ≈ 1,73; в) √5 ≈ 2,236 ≈ 2,24; г) √10 ≈ 3,162 ≈ 3,16.
647. Користуючись
648. Знайди значення виразу. а) √2���� +3, якщо ���� = 11; ���� = −1; ���� = 83:
= 11: √2 ⋅ 11 +3 = √22 +3 = √25 =5;
= 1: �2 ⋅ ( 1) +3 = √ 2+3 = √1 =1;\
= 83: √2 ⋅ 83 +3 = √166 +3 = √169 = 13; б) √���� +2���� , якщо ���� =6, ���� =5; ���� =0, ���� =8: ���� =6, ���� =5: √6+2 ⋅ 5 = √6+ 10 = √16 =4; ���� =0, ���� =8: √0+2 ⋅ 8 = √16 =4. 649. Знайди значення виразу. а) √14 −����, якщо ���� =5; ���� = −2; ���� = 14:
= 14: √14 14 = √0 =0; б) √2
64 см2 : √64 = 8 см; б) 25 дм2 : 25 дм2 = 25 ⋅ 100 = 2500 см2 , √2500 = 50 см; в) 0,36 дм2 : 0,36 дм2 =0,36 ⋅ 100 = 36 см2 , √36 = 6 см; г) 16 м2 : 16 м2 = 16 ⋅ 10000 = 160000 см2 , √160000 = 400 см; ґ) 0,49 м2 : 0,49 м2 =0,49 ⋅ 10000 = 4900 см2 , √4900 = 70 см. 651. Заповни таблицю.
https://shkola.in.ua/2397-hdz-alhebra-8-klas-bevz-2016.html
а) 48: 482 = 2304; б) 3,7: (3,7)2 = 13,69; в) 0,07: (0,07)2 =0,0049; г) − 0,0004: не існує,
663. Find the number whose square root is equal to:
a) 54: 542 = 2916;
b) 7,3: (7,3)2 = 53,29;
c) 0,06: (0,06)2 =0,0036;
d) − 23,7: не існує. 664. Чи існує
а) √���� =4: ���� =42 = 16; б) √���� =0: ���� =02 =0;
https://shkola.in.ua/2397-hdz-alhebra-8-klas-bevz-2016.html
в) √���� = 2: не існує; г) √−���� =7: −���� = 49 ⇒���� = 49.
665. Чи існує значення змінної x, при якому:
а) √���� = 100: ���� = 1002 = 10000; б) √3���� =0: 3���� =0 ⇒���� =0; в) 5+ √���� =0: не існує; г) √−���� =2: −���� =4 ⇒���� = 4.
666. Добудуй блок-схему.
Це завдання на логіку розв’язання рівняння √���� = ����.
Суть в тому, що арифметичний квадратний корінь
алгоритм перевіряє знак числа ���� .
Ось як потрібно домалювати блок-схему:
1. Гілка «+» (Якщо ����≥ 0)
Якщо умова виконується, то рівняння
квадрату.
2. Гілка «–» (Якщо ���� <0)
Якщо умова не виконується (тобто ���� від'ємне),
від'ємному числу.
3. Завершення

667. Розв’яжи рівняння.
√���� =7; 72 = ���� , ���� = 49;
668. Розв’яжи рівняння.
5 ⋅ ����� = 10;
=2, 22 = ����, ���� = 4;
3 − √���� =0; √���� =3, 32 = ���� , ���� = 9;
3+ ����� =0; ����� =3, 32 = ����, ���� = 9;
2 ⋅ √���� = 12; √���� =6, 62 = ���� , ���� = 36.
4 ⋅ √���� =8; √���� =2, 22 = ����, ���� =4.
https://shkola.in.ua/2397-hdz-alhebra-8-klas-bevz-2016.html
669. Розв’яжи рівняння.
а) √���� +3 =5;
52 = ���� +3, ���� +3= 25, ���� = 22;
б) �11 −���� =7;
72 = 11 −����, 11 −���� = 49, −���� = 38, ���� = 38;
г) √1+2���� =5; 52 =1+2���� , 1+2���� = 25, 2���� = 24, ���� = 12; ґ) 12 √���� +2 =3; 3√���� +2 = 12, √���� +2 =4,
42 = ���� +2, ���� +2= 16, ���� = 14;
670. Розв’яжи рівняння.
а) √���� +2 =3;
32 = ���� +2, ���� +2=9, ���� =7; б) √����− 12 =8; 82 = ����− 12, ����− 12 = 64, ���� = 76;
г) 15 √����− 3 =3;
3√����− 3 = 15, √����− 3 =5,
52 = ����− 3,
���� = 28;
ґ) √14 +5���� =8;
82 = 14 +5���� , 14 +5���� = 64, 5���� = 50, ���� = 10;
671. Розв’яжи кросворд (мал. 13.1).
горизонталі: 4. Давньогрецький математик. 7. Елемент системи координат. 8. Основна думка.
9. Компонент дії додавання.
вертикалі: 1. Квадрат числа 1000. 2. Знак √ . 3. Латинська назва многочлена.
Четверте просте число.
Латинська буква.
в) √5����− 1 =3; 32 =5����− 1, 5����− 1=9, 5���� = 10, ���� =2;
д) 28 √���� +5 =7; 7√���� +5 = 28, √���� +5 =4, 42 = ���� +5, ���� +5= 16, ���� = 11.
36 √����− 5 =4; 4√����− 5 = 36, √����− 5 =9, 92 = ����− 5, ���� = 86;
1+ √1 −���� =0; √1 −���� = 1 - не існує.
https://shkola.in.ua/2397-hdz-alhebra-8-klas-bevz-2016.html

По горизонталі: 4) Піфагор; 7) вісь; 8) ідея; 9) доданок.
По вертикалі: 1) мільйон; 2) радикал; 3) поліном; 5) сім; 6) зет.
672. Розв’яжи рівняння. а) �√���� +5 =4;
42 = √���� +5, √���� = 11, 112 = ���� , ���� = 121;
673. Назви порядок числа. а) 2,3 ⋅ 108 → 108 ; порядок =8; б) 7,8 ⋅ 10−12 → 10−12 ; порядок = 12
674.
3 ⋅ 2,8 − 7 ⋅ 2,2=8,4 − 15,4= −7; 7 ⋅ 2,8 3 ⋅ 2,2= 19,6 6,6= 13; (

https://shkola.in.ua/2397-hdz-alhebra-8-klas-bevz-2016.html
677. Які з чисел 35, 128, ���� , √25, √10, √0,04 —
Раціональні числа: 35; 128; √25; √0,04;
Ірраціональні числа: ���� ; √10; Дійсні числа: 35; 128; ���� ; √25; √10; √0,04
678. Які з тверджень правильні?
Правильні твердження: а)
раціональне (воно ірраціональне).
Неправильні твердження:
ірраціональне (воно раціональне).
679. Укажи правильні
https://shkola.in.ua/2397-hdz-alhebra-8-klas-bevz-2016.html
г) Множина осіб, які добровільно і безкорисливо підтримують розвиток культури, освіти тощо — меценати.
682. Який із записів правильний?
Правильні записи:
в) 10,7 ∈ℚ; 10,7 — десятковий дріб, отже, раціональне число;
г) 10,8 ∈ℝ; 10,8 — десятковий дріб, отже, дійсне число;
д) √4 ∈ℤ; √4 =2; 2 — ціле число;
е) 12 ∈ℚ; 12 — натуральне (ціле) число, отже, раціональне число; є) 13 ∈ℝ; 13 — натуральне (ціле, раціональне) число, отже, дійсне число;
з) √6 ∈ℝ. √6 — ірраціональне число, отже, дійсне число.
Неправильні записи:
а) 10,5 ∈ℕ; 10,5 не є натуральним числом;
б) 10,6 ∈ℤ; 10,6 не є цілим числом; ґ) √3 ∈ℕ; √3 — ірраціональне число, не є натуральним числом; ж) √5 ∈ℚ; √5 — ірраціональне число, не є раціональним числом.
683. Яке з наведених чисел є ірраціональним?
А √0,64 =0,8 — раціональне число; Б √20 — ірраціональне
число; Г 2,7= 27 10 — раціональне число.
Правильна відповідь
числа: √39; 1,010010001...; √7;
числа: 3,5; 6; 2 3;
https://shkola.in.ua/2397-hdz-alhebra-8-klas-bevz-2016.html
чисел для гри: √9 — раціональне; √9 =3 √8 — ірраціональне; 0,333... — раціональне; 0,333...= 1 3
0,10110111... — ірраціональне; 5 7 — раціональне; 12 — раціональне. 688. Установи
(А–Г). 1 →Γ; 2 → Б; 3
https://shkola.in.ua/2397-hdz-alhebra-8-klas-bevz-2016.html
б) 2,0379 <2,0401 в) 2,333...>2,327 г) 13,777...> 12,888...
694. Порівняй числа. а) 5 6 < 6 7 б) 8 3 > 9 4
695. Порівняй числа. а) 2 3 >0,66 б) 2 3 <0,67 в) 2 3 =0,666..
696. Порівняй числа.
а) √2 >1,41
б) √2 <1,42
в) √2 >1,414141..
697. Порівняй числа. а) ���� >3,14 б) ���� < 27 7
���� < √10 698. ЗНО Установи
(А–Д).
1 → Б; 2 → Д; 3 → А; 4 → В
699. Задай переліком
https://shkola.in.ua/2397-hdz-alhebra-8-klas-bevz-2016.html
0,(6)>0,(58) 0,(58)<0,6<0,(6) 0,6
705. Відомо,
https://shkola.in.ua/2397-hdz-alhebra-8-klas-bevz-2016.html
https://shkola.in.ua/2397-hdz-alhebra-8-klas-bevz-2016.html
https://shkola.in.ua/2397-hdz-alhebra-8-klas-bevz-2016.html
https://shkola.in.ua/2397-hdz-alhebra-8-klas-bevz-2016.html
https://shkola.in.ua/2397-hdz-alhebra-8-klas-bevz-2016.html
https://shkola.in.ua/2397-hdz-alhebra-8-klas-bevz-2016.html
а) (√����− 1)2 = ����− 1 б) �(����− 1)2 =|����− 1| в) �(����− 1)2 = |����− 1|
763. Спрости вираз. а) √9����2 , якщо ���� <0: √9����2 = √9 ⋅√����2 =3|����|
12����⋅ (−���� 5 )= 12���� 6 ґ) �(����− 1)2 , якщо ���� <1: �(����− 1)2 =|����− 1|
Оскільки ���� <1, то ����− 1<0, отже |����− 1|=
�(����−���� )2 , якщо ���� > ���� : �(����−����)2 =|����−����|
Оскільки ���� > ���� , то ����−����
.
https://shkola.in.ua/2397-hdz-alhebra-8-klas-bevz-2016.html


Враховуємо,
https://shkola.in.ua/2397-hdz-alhebra-8-klas-bevz-2016.html
мг.
План поповнення вітаміну С узимку
Червоний солодкий перець (≈ 150 мг/100 г сирого): Достатньо
та 1 − 2 ківі на сім'ю щоденно.
Заморожена чорна смородина (≈ 180 мг/100 г): Можна
тривалого кип'ятіння, пам'ятаючи про втрати.
Квашена капуста (≈ 30 мг/100 г): Вживати як салат. б) План поповнення вітаміну С навесні Петрушка (≈ 150 мг/100 г): Щоденне додавання 30 50 г свіжої
(наприклад, салатів чи супів після приготування) покриває
Ківі та Апельсини/Лимони: Продовжувати
гарячу воду, щоб зменшити втрати. Рання білокачанна капуста (≈ 40 мг/100 г):
Головний принцип: Вживати
https://shkola.in.ua/2397-hdz-alhebra-8-klas-bevz-2016.html
а) (√23)2 = 23
б) (3√2)2 =32 ⋅ (√2)2 =9 ⋅ 2= 18
в) ( �0,4)2 =0,4
782. Хто з
Максим: √20 =5√4 ні;
Дмитро: √20 =4√5 ні;
Олександра: √20 = √4 ⋅ 5 =2√5 так;
Катерина: √20 =2√10 ні.
783. Винеси множник з-під знака кореня.
а) √12 = √4 ⋅ 3 =2√3
б) √18 = √9 ⋅ 2 =3√2
в) √500 = √100 ⋅ 5 = 10√5
а) 5√2 = �52 ⋅ 2 = √25 ⋅
https://shkola.in.ua/2397-hdz-alhebra-8-klas-bevz-2016.html
https://shkola.in.ua/2397-hdz-alhebra-8-klas-bevz-2016.html
г) − 3 2 5 � 5 17 = − 17 5 � 5 17 =
792.
узагальнення.
1) 16 > √16, бо 16 >4; 400 > √400, бо 400 > 20;
2) 0,25 < �0,25, бо 0,25 <0,5; 0,64 < �0,64, бо 0,64 <0,8; 3) Якщо ���� >1, то ���� > √���� ;
Якщо 0< ���� <1, то ���� < √���� ;
Якщо ���� =0 або ���� =1, то ���� = √���� .
793. Спрости вираз: а) 2√���� +3√���� 4√���� =(2+3 4)√���� = √���� б) 2√���� + √���� 5√���� =(2+1 5)√���� = 2√���� в) √25���� √64���� + √9���� =5√���� 8√���� +3
=(5 8+3)√���� =0 г) 9����� �9���� +
794. Спрости вираз:
https://shkola.in.ua/2397-hdz-alhebra-8-klas-bevz-2016.html
https://shkola.in.ua/2397-hdz-alhebra-8-klas-bevz-2016.html
0,3 ⋅ 0,06 ⋅ 0,002 = �0,000036 =0,006 0,006 =0,006
Відповідь: вирази рівні.
815. Що більше: сума
множників √2 ⋅ √2 ⋅ √2 ⋅ ... ⋅ √2?
1) Обчислимо суму десяти доданків: 10 ⋅ √2 = 10√2 = √100 ⋅ 2 = √200
2) Обчислимо добуток десяти множників: (√2)10 =((√2)2 )5 =25 = 32
3) Порівняємо
https://shkola.in.ua/2397-hdz-alhebra-8-klas-bevz-2016.html
https://shkola.in.ua/2397-hdz-alhebra-8-klas-bevz-2016.html
https://shkola.in.ua/2397-hdz-alhebra-8-klas-bevz-2016.html
https://shkola.in.ua/2397-hdz-alhebra-8-klas-bevz-2016.html
2√2 + √6 2+(√3 +1) + 2√2 √6 2 (√3 1) = √2
2(2+ √3) 3+ √3 + √2(2 √3) 3 √3 = √2
2(2+ √3)

+4���� = 30
= 45 4����
+4(45 4���� )= 30
+ 180 16���� = 30 15���� = 150
= 10
= 45 4 ⋅ 10 =5 Відповідь: (10;5) б)
2 + ���� =4
+2���� =8
3����−���� + ���� = 27
https://shkola.in.ua/2397-hdz-alhebra-8-klas-bevz-2016.html
=7
=1
Відповідь: (7;1) в) ����� + ���� =7 |����−����|=5 1) ����� + ���� =7
=5 2���� = 12 ⇒���� =6 6+ ���� =7 ⇒���� =1 2) ����� + ���� =7 ����−���� = 5 2���� =2 ⇒���� =1 1+ ���� =7 ⇒���� =6 Відповідь: (6;1),(1;6)
+ ���� + 50 = 180
= 50
+ ���� = 130
= 50
+ ����)+(����−����)= 130 + 50
2���� = 180
���� = 90
90 −���� = 50
���� = 40
Відповідь: 90∘ , 40∘ § 17. Функція ���� = √����
848. Знайди значення функції ���� = √���� , якщо ���� =1; 16; 36; 100; 0,04; 1,21.
Якщо ���� =1, то ���� = √1 =1
Якщо ���� = 16, то ���� = √16 =4
Якщо ���� = 36, то ���� = √36 =6
Якщо ���� = 100, то ���� = √100 = 10
Якщо ���� =0,04, то ���� = �0,04 =0,2
Якщо ���� =1,21, то ���� = �1,21 =1,1
849. При якому
√���� =8 ���� =82 ���� = 64
Правильна Відповідь: Г
850. Через яку з точок
����(4;2): √4 =2;2=2 — проходить
Б(4; 16): √4 =2;2 ≠ 16 — не проходить
В(9;3): √9 =3;3=3 — проходить
Г(0,01;0,1): �0,01 =0,1;0,1=0,1
Правильна Відповідь: Б
851. Розв'яжи рівняння.
а) √���� =0
���� =02 ���� =0
б) √���� = 1
Значення
8?
https://shkola.in.ua/2397-hdz-alhebra-8-klas-bevz-2016.html
Якщо ���� =0,25, то ���� = �0,25 =0,5
Якщо ���� =1, то ���� = √1 =1
Якщо ���� =2,25, то ���� = �2,25 =1,5
Якщо ���� =4, то ���� = √4 =2
Якщо ���� =6,25, то ���� = �6,25 =2,5
Якщо ���� =7,84, то ���� = �7,84 =2,8
Якщо ���� =9, то ���� = √9 =3
Якщо ���� = 12,25, то ���� = �12,25 =3,5
Якщо ���� = 14,44, то ���� = �14,44 =3,8
Якщо ���� = 16, то ���� = √16 =4
0


https://shkola.in.ua/2397-hdz-alhebra-8-klas-bevz-2016.html
Якщо ���� =1,7, то ����≈ 2,9
Якщо ���� =2, то ���� =4
855. Користуючись

а) Якщо ���� =0, то ���� =0
Якщо ���� =0,5, то ����≈ 0,7
Якщо ���� =2, то ����≈ 1,4
Якщо ���� =2,5, то ����≈ 1,6
Якщо ���� =3, то ����≈ 1,7
б) Якщо ���� =0,5, то ���� =0,25
Якщо ���� =1, то ���� =1
Якщо ���� =1,5, то ���� =2,25
Якщо ���� =2,2, то ���� =4,84
856. Функцію задано формулою ���� =
якщо
а) Якщо ���� =4, то ���� = √4 =2
Якщо ���� = 64, то ���� = √64 =8 Якщо ���� = 121, то ���� = √121 = 11
Якщо ���� =0,16, то ���� = �0,16 =0,4
Якщо ���� = 2500, то ���� = √2500 = 50 б) Якщо ���� =4, то √���� =4, ���� =42 , ���� = 16 Якщо ���� =0,5, то √���� =0,5, ���� =0,52 , ���� =0,25
Якщо ���� =1,1, то √���� =1,1, ���� =1,12 , ���� =1,21
Якщо ���� = 13, то √���� = 13, ���� = 132 , ���� = 169
857. The function is given by the formula ���� = √���� . Find the value of:
a) the function if the argument value is equal: 9; 25; 1,21; 0,04; 4900; b) the argument if the function value is equal: 1; 0,3; 1,2; 15. ���� ) Якщо ���� =9, то ���� = √9 =3
���� = 25, то ���� = √25 =5 Якщо ���� =1,21, то ���� = �1,21 =1,1 Якщо ���� =0,04, то ���� = �0,04 =0,2
Якщо ���� = 4900, то ���� = √4900 = 70
����) Якщо ���� =1, то √���� =1, ���� =12 , ���� =1 Якщо ���� =0,3, то √���� =0,3, ���� =0,32 , ���� =0,09 Якщо ���� =1,2, то √���� =1,2, ���� =1,22 , ���� =1,44
https://shkola.in.ua/2397-hdz-alhebra-8-klas-bevz-2016.html
Якщо ���� = 15, то √���� = 15, ���� = 152 , ���� = 225 858. Які з точок
����(1;1): √1 =1;1=1 — належить
���� (16; 4): √16 =4;4 ≠−4 — не належить
���� (0,4;0,2): �0,4 ≠ 0,2 (бо 0,22 =0,04) — не належить ���� (0,09;0,3): �0,09 =0,3;0,3=0,3 — належить
Відповідь: точки A, D, E. 859. Чи проходить графік функції
����(16;4): √16 =4;4=4 — проходить ���� (16; 4): √16 =4;4 ≠−4 — не проходить
���� (−5; 25): √−5 — не існує, ���� <0 —
���� (10; √10): √10 = √10 — проходить
860. Порівняй числа:
а) 32 < 35, тому √32 < √35
б) 1,17 >1,07, тому �1,17 > �1,07
в) 7= √49; 48,8< 49, тому �48,8 <7
г) 20√5 = √400 ⋅ 5 = √2000; 2300 > 2000, тому √2300 > 20√5
861. Порівняй числа:
а) 73 > 72, тому √73 > √72
б) 0,38 <0,4, тому �0,38 < �0,4
в) 8= √64; 65,1> 64, тому �65,1 >8
г) 30√2 = √900 ⋅ 2 = √1800; 1800 = 1800, тому √1800 = 30√2 862. Між якими двома
числами міститься число:
а) 1<2<4, тому √1 < √2 < √4,1< √2 <2
б) 16 < 17 < 25, тому √16 < √17 < √25,4< √17 <5
в) 81 < 90 < 100, тому √81 < √90 < √100,9< √90 < 10
г) 9< 13 < 16, тому √9 < √13 < √16,3< √13 <4, 4<
https://shkola.in.ua/2397-hdz-alhebra-8-klas-bevz-2016.html
Учень 3: 12 < 15, тому √12 < √15
Учень 1: �0,7
Учень 2: �0,2
Учень 3: 0,7>0,2, тому �0,7 > �0,2
Учень 1: 4
Учень 2: √17
Учень 3: 4= √16; 16 < 17, тому 4< √17 865. Існує
1) ���� = 49, ���� =2 ⋅ √49 =2 ⋅ 7= 14 (Ч)
2) ���� =1,21, ���� =2 ⋅ �1,21 =2 ⋅ 1,1=2,2 (Е)
3) ���� = 100, ���� =2 ⋅ √100 =2 ⋅ 10 = 20 (Б)
4) ���� = 25, ���� =2 ⋅ √25 =2 ⋅ 5= 10 (О)
5) ���� = 400, ���� =2 ⋅ √400 =2 ⋅ 20 = 40 (Т)
6) ���� =0,09, ���� =2 ⋅ �0,09 =2 ⋅ 0,3=0,6 (А)
7) ���� = 169, ���� =2 ⋅ √169 =2 ⋅ 13 = 26 (Р)
8) ���� =1, ���� =2 ⋅ √1 =2 ⋅ 1=2 (Ь)
9) ���� =0, ���� =2 ⋅ √0 =2 ⋅ 0=0 (О)
10) ���� = √16 =4, ���� =2 ⋅ √4 =2 ⋅ 2=4 (В)
ЧЕБОТАРЬОВ 866. Розв'яжи графічно рівняння. а) √���� =3

https://shkola.in.ua/2397-hdz-alhebra-8-klas-bevz-2016.html


https://shkola.in.ua/2397-hdz-alhebra-8-klas-bevz-2016.html



868.

https://shkola.in.ua/2397-hdz-alhebra-8-klas-bevz-2016.html
870. Не
прямої.
а) √���� =3, ���� =32 , ���� =9. Точка (9;3)
б) √���� = 3. Оскільки √���� ≥ 0, точок перетину немає
в) √���� = 144, ���� = 1442 , ���� = 20736. Точка (20736; 144)
г) √���� = 144. Оскільки √���� ≥ 0, точок перетину немає
871. На малюнку 17.5, а, б
Користуючись графіками, порівняй:
а) На проміжку (0;1) графік ���� = ����
0,7 ∈ (0;1), тому 0,72 <0,7 б) На проміжку (1;+∞) графік
1,3>1, тому 1,3> √1,3
в) На проміжку (0;1) графік ���� = ����
. 0,26 ∈ (0;1), тому 0,26 < √0,26 г) 4 5 =0,8. Оскільки 0,8 ∈ (0;1), то
872. На малюнку 17.5, а, б побудовано
Користуючись графіками,
https://shkola.in.ua/2397-hdz-alhebra-8-klas-bevz-2016.html


https://shkola.in.ua/2397-hdz-alhebra-8-klas-bevz-2016.html




https://shkola.in.ua/2397-hdz-alhebra-8-klas-bevz-2016.html




https://shkola.in.ua/2397-hdz-alhebra-8-klas-bevz-2016.html


https://shkola.in.ua/2397-hdz-alhebra-8-klas-bevz-2016.html

3���� +4, якщо ���� < 1, ���� 2 , якщо 1 ≤����≤ 1,
, якщо ���� >1.

https://shkola.in.ua/2397-hdz-alhebra-8-klas-bevz-2016.html


https://shkola.in.ua/2397-hdz-alhebra-8-klas-bevz-2016.html


https://shkola.in.ua/2397-hdz-alhebra-8-klas-bevz-2016.html


https://shkola.in.ua/2397-hdz-alhebra-8-klas-bevz-2016.html


https://shkola.in.ua/2397-hdz-alhebra-8-klas-bevz-2016.html


1)
4+3+1=8
2)
3)



1. Скільки коренів
2 =4 ���� =±√4 ����1 =2; ����2 = 2 Відповідь: Б два
���� 2 =4?
2. Число √51 міститься між числами:
72 = 49
82 = 64
49 < 51 < 64 √49 < √51 < √64
7< √51 <8
Відповідь: В 7 і 8
3. Укажи, яке число є ірраціональним.
) √25 =5 раціональне Б) 1,7 раціональне
) 3,14 раціональне
) √5 ≈ 2,236... ірраціональне

https://shkola.in.ua/2397-hdz-alhebra-8-klas-bevz-2016.html
https://shkola.in.ua/2397-hdz-alhebra-8-klas-bevz-2016.html
г) ���� 2 + 2 ���� =0 — ні; ґ) √5���� 2 + �������� =0 — так; д) 2���� 2 − √���� =0 — ні.
890. Розв'яжіть рівняння:
а) 3���� 2 = 0; ���� 2 =0 ∶ 3; ���� =0. б) √7���� 2 =0; ���� 2 =0: √7; ���� =0. в) ���� 2 = 0; ���� 2 =0; ���� =0.
891. Розв'яжіть рівняння: а) ���� 2 2���� = 0; ���� (����− 2)=0; ���� =0 або ����− 2=0; ����1 = 0, ����2 = 2. б) 3���� 2 6���� = 0; 3����(���� 2)=0; 3���� =0 або ���� 2=0; ����1 = 0, ����2 = 2. в) 2���� ���� 2 = 0; ���� (2 −���� )=0; ���� =0 або 2 −���� =0; ����1 = 0, ����2 = 2.
892. Розв'яжіть рівняння:
а) ���� 2 9 = 0;
���� 2 =9;
���� =±√9; ����1 =3, ����2 = 3. б) 2���� 2 8 = 0; 2���� 2 =8;
893. Яке з рівнянь має один корінь?
А 2���� 2 =8;
���� 2 =4;
���� =±2 — два корені;
Б 2���� 2 =0;
���� 2 =0;
���� =0 — один корінь;
 2���� 2 = 8;
���� 2 = 4 — коренів немає;
Г 2���� 2 −���� =0;
���� (2����− 1)=0;
����1 =0, ����2 =0,5 — два корені.
Відповідь: Б.
894. Скільки коренів має рівняння 5���� 2 + 20 =0?
5���� 2 = −20;
���� 2 = 20 ∶ 5; ���� 2 = 4;
8���� 2 =0;
2 =0; ���� =0 — один корінь. б) 8���� 2 + 32 =0; 8���� 2 = 32;
���� 2 = −4
1) ���� 2 +3����− 7=0;
���� =1, ���� =3, ���� = 7.
https://shkola.in.ua/2397-hdz-alhebra-8-klas-bevz-2016.html
2) 2���� 2 + √3����− 4=0; ���� = 2, ���� = √3, ���� = 4.
3) 1 3 ���� 2 +2���� =0; ���� = 1 3 , ���� =2, ���� =0.
4) 9���� 2 =0;
���� =9, ���� =0, ���� =0.
б) Неповні квадратні рівняння: 1) 1 3 ���� 2 +2���� =0; ���� = 1 3 , ���� =2, ���� =0.
2) 9���� 2 =0;
���� =9, ���� =0, ���� =0. 897. З наведених рівнянь
Квадратні рівняння:
1) ���� 2 2���� +6=0;
���� =1, ���� = 2, ���� =6.
2) ���� 2 25 = ���� ;
���� 2 −����− 25 =0;
���� =1, ���� = 1, ���� = 25.
б) Неповні квадратні рівняння: серед наведених рівнянь неповних
898. Заміни дане рівняння
коефіцієнтів ���� , ���� і ���� . а) 2���� (����− 3)= 50; 2���� 2 6����− 50 =0; ���� =2, ���� = 6, ���� = 50 б) (3 −���� )���� =5���� 2 4; 3����−���� 2 5���� 2 +4=0; 6���� 2 +3���� +4=0; ���� = 6, ���� =3, ���� =4.
в) 4���� 2 =2����(3���� +5); 4���� 2 =6���� 2 + 10����; 4���� 2 6���� 2 10���� =0; 2���� 2 10���� =0; ���� = 2, ���� = 10, ���� =0. г) (1 −���� )(3����− 2)=2���� + ���� 2 ; 3����− 2 3���� 2 +2���� =2���� + ���� 2 ; −3���� 2 +5����− 2 − 2����−���� 2 =0; 4���� 2 +3����− 2=0;
���� = 4, ���� =3, ���� = 2.
коефіцієнтів ���� , ���� і ���� .
https://shkola.in.ua/2397-hdz-alhebra-8-klas-bevz-2016.html
а) (���� 1)(���� 2) = 4���� ;
���� 2 2����−���� +2=4���� ;
���� 2 3���� +2 4���� =0;
���� 2 − 7���� +2=0;
���� =1, ���� = 7, ���� =2.
900. Розв'яжіть рівняння:
а) 3���� 2 27 = 0; 3���� 2 = 27;
���� 2 = 27 ∶ 3; ���� 2 =9;
����1 =3, ����2 = 3.
в) 0,5���� 2 + ���� = 0;
����(0,5���� +1)=0; ���� =0 або 0,5���� +1=0; 0,5���� = 1;
���� = 1 ∶ 0,5;
����1 =0, ����2 = 2.
б) 3(���� + 5) 8 = 5���� (���� + 2); 3���� + 15 8= 5���� 2 10���� ;
3���� +7+5���� 2 + 10���� =0; 5���� 2 + 13���� +7=0; ���� =5, ���� = 13, ���� =7.
б) 3���� 2 + 27 = 0; 3���� 2 = 27; ���� 2 = 9; коренів немає.
г) ���� 2���� 2 = 0; ����(1 2����)=0; ���� =0 або 1 2���� =0; 2���� =1; ���� =1 ∶ 2; ����1 =0, ����2 =0,5.
ґ) ���� 2 144 = 0; ���� 2 = 144; ����1 = 12, ����2 = −12. д) 0,16���� 2 + 100 = 0; 0,16���� 2 = 100; ���� 2 = 100 ∶ 0,16;
е) 16���� 2 = 25; ���� 2 = 25 ∶ 16; ���� 2 = 25 16 ; ����1 = 1,25, ����2 = 1,25. є) 4���� 2 = 0; ���� 2 =0; ���� =0.
ж) (√7 √3)���� 2 =0; ���� 2 =0; ���� =0.
901. Розв'яжіть рівняння: а) 2���� 2 8���� = 0; 2���� (����− 4)=0; 2���� =0 або ����− 4=0; ����1 =0, ����2 =4. б) ���� 2 + 3���� = 0; ���� (���� +3)=0; ���� =0 або ���� +3=0; ����1 =0, ����2 = 3.
в) 12���� = 0,24���� 2 ; 0,24���� 2 − 12���� =0; ���� (0,24����− 12)=0;
���� =0 або 0,24���� = 12; ���� = 12 ∶ 0,24;
����1 = 0, ����2 = 50.
г) ���� ���� 2 = 0; ���� (1 −���� )=0; ���� =0 або 1 −���� =0; ����1 =0, ����2 =1.
ґ) 0,1���� 2 = 0; ���� 2 =0; ���� =0.
е) 9���� 2 = 64;
https://shkola.in.ua/2397-hdz-alhebra-8-klas-bevz-2016.html
д) 9���� 2 = 0; ���� 2 =0; ���� =0.
���� 2 = 64 9 ; ���� =±�64 9 ; ����1 =2 2 3 , ����2 = 2 2 3 . є) 2���� 2 + 50 = 0; 2���� 2 = 50; ���� 2 = 25; ����1 =5, ����2 = 5.
ж) 100���� 2 225 =0; 100���� 2 = 225;
���� 2 =2,25;
����1 =1,5, ����2 = −1,5.
902. Розв’яжи рівняння.
а) ���� 2 = 25���� ;
���� 2 25���� =0;
���� (����− 25)=0;
���� =0 або ����− 25 =0;
����1 =0, ����2 = 25.
Відповідь: Б 0; 25. б) 4���� 2 =1;
���� 2 =1:4;
���� 2 =0,25;
���� =±�0,25;
����1 =0,5, ����2 = −0,5.
Відповідь: Д -0,5; 0,5.
903. Гра. Один із учасників
розв'язати.
Приклад:
Учень 1: Записую рівняння 4���� 2 100 =0.
Учень 2: Розв'язую:
4���� 2 = 100;
���� 2 = 100 ∶ 4;
���� 2 = 25;
����1 =5, ����2 = −5.
904. Розв'яжіть рівняння:
а) (����− 1)���� +3���� =0;
���� 2 −���� +3���� =0;
���� 2 +2���� =0;
���� (���� +2)=0;
���� =0
або ���� +2=0;
����1 =0, ����2 = 2.
б) 2����(���� +5)=6����;
https://shkola.in.ua/2397-hdz-alhebra-8-klas-bevz-2016.html
2���� 2 + 10����− 6���� =0;
2���� 2 +4���� =0;
2����(���� +2)=0;
2���� =0 або ���� +2=0;
����1 =0, ����2 = 2.
в) (���� +2)(���� − 2)=0;
���� +2=0 або ���� 2=0;
����1 = −2, ����2 =2.
г) (���� +2)(����− 2)=4;
���� 2 4=4;
���� 2 =8;
���� =±√8;
����1 =2√2, ����2 = 2√2.
ґ) 5���� 2 +3���� +7=7(���� +1);
5���� 2 +3���� +7=7���� +7;
5���� 2 +3����− 7���� +7 7=0;
5���� 2 4���� =0;
���� (5����− 4)=0;
���� =0 або 5����− 4=0;
5���� =4;
����1 =0, ����2 =0,8.
д) 2(���� 2 1)=(����− 1)(���� +1);
2���� 2 − 2= ���� 2 − 1;
2���� 2 −���� 2 =2 1;
���� 2 =1;
����1 =1, ����2 = −1.
905. Установіть
1. 2���� (���� +5)= ���� 2 +7���� ;
2���� 2 + 10����−���� 2 7���� =0;
���� 2 +3���� =0;
���� (���� +3)=0;
����1 =0, ����2 = 3 —
2. 4���� 2 2���� = ���� (����− 2); 4���� 2 2���� = ���� 2 2���� ; 4���� 2 −���� 2 2���� +2���� =0; 3���� 2 =0; ���� =0 — один корінь (А).
3. 8 6���� =2���� (����− 3); 8 6���� =2���� 2 6���� ;
2���� 2 6���� +6����− 8=0; 2���� 2 =8; ���� 2 = −4 —
кореня (Г).
1 — Б, 2 — А, 3 — Г. 906. Розв'яжіть рівняння: а) 5−���� 2 3 = 3���� 2 −2 4
4(5 −���� 2 )=3(3���� 2 2)
https://shkola.in.ua/2397-hdz-alhebra-8-klas-bevz-2016.html
а) (���� +1) ∶ 2=4 ∶ (����− 1)
(���� +1)(����− 1)=2 ⋅ 4
2 1=8 ���� 2 =8+1
2 =9 ����1 =3; ����2 = 3 б) (����− 4) ∶ 3=3 ∶ (���� +4)
(����− 4)(���� +4)=3 ⋅ 3 ���� 2 16 =9 ���� 2 =9+ 16
���� 2 = 25
����1 =5; ����2 = 5 в) (3���� 2 4) ∶ 5=3���� 2 ∶ 20 20(3���� 2 4)=5 ⋅ 3���� 2
(0,2 −���� ) ∶ 4=(0,01 + ���� ) ∶ (0,2+ ���� )
(0,2 −���� )(0,2+ ���� )=4(0,01 + ���� )
0,04 −���� 2 =0,04 +4���� −���� 2 4���� +0,04 0,04 =0 −���� 2 4���� =0
���� (−����− 4)=0
����1 =0 або −����− 4=0 −���� =4
����2 = 4
909.
а) (3���� − 6) ∶���� = 5����∶ (3���� + 6)
(3����− 6)(3���� +6)= ����⋅ 5���� (3���� )2 − 62 =5���� 2 9���� 2 36 =5���� 2 9���� 2 5���� 2 = 36 4���� 2 = 36
���� 2 = 36 ∶ 4
���� 2 =9
����1 =3; ����2 = 3
б) (2���� + 1) ∶ 13 = 3 ∶ (2���� 1) (2���� +1)(2����− 1)= 13 ⋅ 3 (2���� )2 12 = 39
4���� 2 1= 39
2 = 40,3225 ���� =±�40,3225 ����1 =6,35; ����2 = −6,35 б) 4,574���� 2 =4,8027���� 4,574���� 2 4,8027���� =0
����(4,574���� − 4,8027)=0
����1 =0 або 4,574���� 4,8027 =0 4,574���� =4,8027
���� =4,8027 ∶ 4,574 ����2 =1,05
913.
а) 4,022���� 2 9,0495 =0 4,022���� 2 =9,0495
���� 2 =9,0495 ∶ 4,022
���� 2 =2,25
���� =±�2,25
����1 =1,5; ����2 = 1,5 б) 7,467���� 2 =7,84035���� 7,467���� 2 − 7,84035���� =0
���� (7,467����− 7,84035)=0
����1 =0 або 7,467����− 7,84035 =0 7,467���� =7,84035
���� =7,84035 ∶ 7,467
����2 =1,05
https://shkola.in.ua/2397-hdz-alhebra-8-klas-bevz-2016.html
55
���� = 55 + 89 = 144 (га)
1 га = 10000 м2
���� = 144 ⋅ 10000 = 1440000 (м2 )
���� 2 = 1440000
���� = √1440000
���� = 1200 (м)
���� =4 ⋅����
���� =4 ⋅ 1200 = 4800 (м)
Відповідь: 4800 м (або 4,8 км).
915. Розв'яжіть рівняння:
а) (����− 1)(����− 5)+(
2���� 2 −���� 2 = 18 14
���� 2 =4
����1 =2; ����2 = 2 б) (����− 2)2 (���� +1)(���� +4)= ���� (���� +3) ���� 2 4���� +4 (���� 2 +4���� + ���� +4)= ���� 2 +3����
2 4���� +4 −���� 2 5����−
= 12
3(5 ����)2 = 12 (5 −����)2 = 12 ∶ 3 (5 −����)2 =4
−���� =2 або 5 −���� = 2
=2 5
= 3
= 7
https://shkola.in.ua/2397-hdz-alhebra-8-klas-bevz-2016.html
ґ) 3���� 2 + 36���� = 108
3���� 2 + 36���� + 108 =0
3(���� 2 + 12���� + 36)=0
3(���� +6)2 =0
(���� +6)2 =0 ���� +6=0 ���� = 6
920. Розв’яжіть рівняння: а) 2(3���� 2)2 = 0 (3����− 2)2 =0 ∶ 2 (3����− 2)2 =0 3����− 2=0 3���� =2 ���� = 2 3
(���� 4)2 = 4 ���� 4=2 або ���� 4= 2 ����1 =2+4 ����1 =6 ����2 = 2+4
=2 в) 2(���� − 7)2 = 18 (����− 7)2 = 18 ∶ 2 (
7)2 =9
7=3 або ����− 7= −3
=3+7
= 10
= 3+7
=4 г)
(4���� +9)=0 ����1 =0 або 4���� +9=0 4���� = 9 ����2 = 2,25
5(����+2) ���� 2 +6����+9 + 1 ����+3 =1 5���� + 10 (���� +3)2 + 1 ���� +3 =1
2 +6����− 6���� + 13 9=0
2 +4=0
https://shkola.in.ua/2397-hdz-alhebra-8-klas-bevz-2016.html
Відповідь: а) 10 см; б) � ���� ���� .
925. Площа
= �������� 2 −�������� 2
942 =3,14 ⋅ 202 3,14 ⋅���� 2
942 =3,14 ⋅ 400 − 3,14���� 2
942 = 1256 3,14���� 2
3,14���� 2 = 1256 942
3,14���� 2 = 314
���� 2 = 314 ∶ 3,14
���� 2 = 100
= 10 (см)
10 см.
ці числа.
умовою:
����(���� +1) −���� = 324
����2 + ����−���� = 324
����2 = 324
���� = √324 ���� = 18
+1= 18 +1= 19 Відповідь: 18 і 19.
числа.
більше
https://shkola.in.ua/2397-hdz-alhebra-8-klas-bevz-2016.html
3����2 = 363
����2 = 363 ∶ 3
����2 = 121
���� = √121
���� = 11 (оскільки числа натуральні, ���� >0)
����− 1= 11 1= 10
���� +1= 11 +1= 12
Відповідь: 10, 11, 12. 929. Знайди число, яке менше
Нехай шукане число — ���� .
За умовою: √���� =2,5 ⋅����
Піднесемо обидві частини рівняння
(√���� )2 =(2,5����)2
���� =6,25���� 2
6,25���� 2 −���� =0
���� (6,25����− 1)=0
����1 =0 або 6,25����− 1=0
6,25���� =1
����2 =1 ∶ 6,25
����2 =0,16
Перевірка для
Перевірка для ���� =0,16:
√0,16 =0,4;
0,4 ∶ 0,16 =2,5.
Відповідь: 0,16.
930. Добуток
з них. Знайди ці
За умовою:
����(���� +1)=1,5����2
����2 + ���� =1,5
=1 ∶ 0,5
=2
+1=2+1=3
https://shkola.in.ua/2397-hdz-alhebra-8-klas-bevz-2016.html
���� 2 = 100 ∶ 25
���� 2 =4
���� = √4
���� =2 (оскільки ���� >0)
Знайдемо катети:
���� =3 ⋅ 2=6 (м)
���� =4 ⋅ 2=8 (м)
���� = ���� + ���� + ����
���� =6+8+ 10 = 24 (м)
Відповідь: 24 м.
932. Знайди периметр прямокутника,
дорівнює 120 см². Нехай сторони прямокутника
=5����⋅ 6���� = 30���� 2 30���� 2 = 120 ���� 2 = 120 ∶ 30 ���� 2 =4 ���� = √4
���� =2 (оскільки ���� >0)
Знайдемо сторони:
���� =5 ⋅ 2= 10 (см)
���� =6 ⋅ 2= 12 (см)
���� =2(���� + ���� )
���� =2(10 + 12)=2 ⋅ 22 = 44 (см)
Відповідь: 44 см.
933. На станції
https://shkola.in.ua/2397-hdz-alhebra-8-klas-bevz-2016.html
12���� +4(���� + 16)= ���� (
https://shkola.in.ua/2397-hdz-alhebra-8-klas-bevz-2016.html
���� +3 ���� = �9 4
���� +3 ���� = 3 2
2(���� +3)=3����
2���� +6=3����
���� =6 (дм) — сторона меншої серветки.
���� +3=6+3=9 (дм) — сторона більшої серветки.
Знайдемо периметри:
����вел =4 ⋅ 9= 36 (дм)
����мал =4 ⋅ 6= 24 (дм)
Загальна кількість мережива:
���� =2 ⋅����вел +6 ⋅����мал
���� =2 ⋅ 36 +6 ⋅ 24 = 72 + 144 = 216 (дм)
Відповідь: 216 дм.
937. За якої умови дорівнює нулю: а) один корінь
б) сума коренів рівняння (����−���� )(���� + ����−����)=0? а)
перетворюється на правильну
в) ���� ⋅ (���� 7) = 0 ���� 2 7���� =0
941. Відкрита
https://shkola.in.ua/2397-hdz-alhebra-8-klas-bevz-2016.html
���� ⋅ (���� ( 4)) = 0
(���� +4)=0 ���� 2 +4���� =0
корені: а) 0 і -2; б) -2 і 2. а) Рівняння виду �������� 2 + �������� + ���� =0 має корінь 0, якщо ���� =0.
���� =0, до виразу 2���� 2 + ����− 8 треба додати 8:
2���� 2 + ����− 8+8=0
2���� 2 + ���� =0
����⋅ (2���� +1)=0 ���� =0 або ���� = 0,5 (не підходить за умовою)
Змінимо коефіцієнт ���� , щоб коренем був -2:
2 ⋅ ( 2)2 + ����⋅ ( 2)=0 8 2���� =0
2���� =8 ���� =4
Рівняння: 2���� 2 +4���� =0 б) Рівняння
2���� 2 + ����− 8 коефіцієнт ���� =2.
2���� 2 8=0.
https://shkola.in.ua/2397-hdz-alhebra-8-klas-bevz-2016.html

���� = 1 та ���� = 1).
���� = 5
���� 2 (|����| 3)����−���� 2 +3���� =0
���� | − 3=0 |���� |=3 ���� =3 або ���� = −3
умову ���� <0:
���� =3, то ���� = (32 )+3 ⋅ 3= 9+9=0 (не підходить, бо корені 0 і 0).
���� = −3, то ���� = −(−3)2 +3 ⋅ (−3)= −9 − 9= −18 (підходить, бо ���� 2 − 18 =0 має
���� =±√18). Відповідь: ���� = 3

Мал. 18.5 (обернена пропорційність):
https://shkola.in.ua/2397-hdz-alhebra-8-klas-bevz-2016.html
) ���� <0 − ні, немає коренів; В) ���� =0 так, один корінь;
) не можна встановити ні. 950. Скільки коренів має рівняння ���� 2 5���� +6=0?
���� =1, ���� = 5, ���� =6
���� = ���� 2 − 4�������� =(−5)2 − 4 ⋅ 1 ⋅ 6= 25 − 24 =1
���� >0, тому рівняння має два корені.
Відповідь: Б два
951. Обчисли дискримінант і вкажи кількість коренів рівняння:
а) ���� 2 2���� +1=0;
���� =( 2)2 4 ⋅ 1 ⋅ 1=4 4=0;
���� =0, один корінь.
б) ���� 2 +2���� +1=0;
���� =22 − 4 ⋅ 1 ⋅ 1=4 − 4=0;
���� =0, один корінь.
в) ���� 2 6���� +1=0;
���� =(−6)2 − 4 ⋅ 1 ⋅ 1= 36 − 4= 32;
���� >0, два корені.
г) ���� 2 +6���� 1=0;
���� =62 4 ⋅ 1 ⋅ ( 1)= 36 +4= 40;
���� >0, два корені.
ґ) 2���� 2 −���� +1=0;
���� =(−1)2 − 4 ⋅ 2 ⋅ 1=1 − 8= −7;
���� <0, коренів немає.
д) 3���� 2 2����− 1=0;
���� =(−2)2 − 4 ⋅ 3 ⋅ (−1)=4+ 12 = 16;
���� >0, два корені.
952. Яке з рівнянь не має коренів?
А) ���� 2 2���� +2=0;
���� =(−2)2 − 4 ⋅ 1 ⋅ 2=4 − 8= −4;
���� <0, коренів немає.
Б) ���� 2 +2����− 2=0; ���� =22 4 ⋅ 1 ⋅ ( 2)=4+8= 12;
���� >0, два корені.
В) ���� 2 +5���� +6=0;
���� =52 − 4 ⋅ 1 ⋅ 6= 25 − 24 =1;
���� >0, два корені.
Г) ���� 2 6���� +9=0;
���� =(−6)2 − 4 ⋅ 1 ⋅ 9= 36 − 36 =0;
���� =0, один корінь. Відповідь: А.
953. Яке
А) ���� 2 +2���� +1=0;
���� =22 4 ⋅ 1 ⋅ 1=4 4=0;
���� =0, один корінь.
Б) 2���� 2 +3����− 3=0;
���� =32 4 ⋅ 2 ⋅ ( 3)=9+ 24 = 33;
���� >0, два корені.
В) 4���� 2 +2���� +3=0;
https://shkola.in.ua/2397-hdz-alhebra-8-klas-bevz-2016.html
���� =22 4 ⋅ 4 ⋅ 3=4 48 = 44;
���� <0, коренів немає.
Г) ���� 2 +2���� +3=0;
���� =22 4 ⋅ 1 ⋅ 3=4 12 = 8;
���� <0, коренів немає.
Відповідь: Б.
954. Гра.
Учень 1: 3���� 2 − 5���� +2=0;
Учень 2: ���� =( 5)2 4 ⋅ 3 ⋅ 2= 25 24 =1;

=( 1)2 4 ⋅ 1 ⋅ ( 42)=1+ 168 = 169; ����1 = 1+ 13 2 = 14 2 =7;
= 1 − 13 2 = −12 2 = 6.
) ���� 2 +3����− 4=0;
=32 4 ⋅ 1 ⋅ ( 4)=9+ 16 = 25;
2 =4; ����2 = 1 7 2 = 6 2 = 3; г) ���� 2 + ����− 20 =0; ���� =12 4 ⋅ 1 ⋅ ( 20)=1+ 80 = 81; ����1 = 1+ √81 2 ⋅ 1
=( 2)2 4 ⋅ 3 ⋅ ( 5)=4+ 60 = 64;
= 2+ √64 2 ⋅ 3 = 2+8 6 = 10 6 =1 2 3 ;
= 2 8 6 = 6 6 = 1;
) 2���� 2 3���� 2=0;
=(−3)2 − 4 ⋅ 2 ⋅ (−2)=9+ 16 = 25;
) 2���� 2 7���� +3=0;
=( 7)2 4 ⋅ 2 ⋅ 3= 49 24 = 25;
= 7+ √25 2 ⋅ 2 = 7+5 4 = 12 4 =3;
����2 = 7 5 4 = 2 4 =0,5;
) 5���� 2 − 8���� +3=0; ���� =( 8)2 4 ⋅ 5 ⋅ 3= 64 60 =4;
) 2���� 2 7����− 30 =0;
=( 7)2 4 ⋅ 2 ⋅ ( 30)= 49 + 240 = 289;
= 7+ √289 2 ⋅ 2 = 7+ 17 4 = 24 4 =6;
= 7 17 4 = 10 4 = 2,5;
) 4���� 2 +3����− 10 =0; ���� =32 4 ⋅ 4 ⋅ ( 10)=9+ 160 = 169; ����1 = 3+ √169 2 ⋅ 4 = 3+ 13 8 = 10 8 =1,25; ����2 = 3 13 8 = 16 8 = 2; в) 3���� 2 7���� +4=0;
5���� 2 +7���� +2=0;
=72 4 ⋅ 5 ⋅ 2= 49 40 =9;
= 7+ √9 2 ⋅ 5 = 7+3 10 = 4 10 = 0,4; ����2 = 7 3 10
����2 = 2 2√6 2 =1 − √6; д) 3���� 2 2����− 3=0; ���� =( 2)2 4 ⋅ 3 ⋅ ( 3)=4+ 36 = 40; ����1 = 2+ √40 2 ⋅ 3 = 2+2√10 6 =
) 6���� 2 12,5���� +6=0; ���� =( 12,5)2 4 ⋅ 6 ⋅ 6= 156,25 144 = 12,25; ����1 = 12,5+ �12,25 2 ⋅ 6 = 12,5+3,5 12 = 16 12 = 4 3 =1 1 3 ; ����2 = 12,5 3,5 12 = 9 12 =0,75;
б) 8���� 2 8,8���� +2,1=0; ���� =(−8,8)2 − 4 ⋅ 8 ⋅ 2,1= 77,44 − 67,2= 10,24; ����1 = 8,8+ √10,24 2 ⋅ 8 = 8,8+3,2 16 = 12 16 =0,75;
����2 = 8,8 3,2 16 = 5,6 16 =0,35. 963. Користуючись формулою
а) 10���� 2 0,8���� =1,92; 10���� 2 0,8
https://shkola.in.ua/2397-hdz-alhebra-8-klas-bevz-2016.html
����1 = 4+ √4 2 ⋅ 1 = 4+2 2 =3;
����2 = 4 2 2 =1;
Відповідь: Б (1; 3). 965. Розв'яжи рівняння, що зводиться
а) 4����(����− 1)=3; 4���� 2 4����− 3=0;
���� =( 4)2 4 ⋅ 4 ⋅ ( 3)= 16 + 48 = 64;
����1 = 4+8 8 =1,5;
����2 = 4 8 8 = 0,5;
б) 3����(3����− 8)= 20; 9���� 2 24����− 20 =0;
���� =( 24)2 4 ⋅ 9 ⋅ ( 20)= 576 + 720 = 1296;
����1 = 24 + 36 18 = 60 18 =3 1 3 ;
����2 = 24 − 36 18 = −12 18 = 2 3 ;
в) 3����(2����− 5)=2(���� 2 +2);
6���� 2 15���� =2���� 2 +4; 4���� 2 15����− 4=0; ���� =( 15)2 4 ⋅ 4 ⋅ ( 4)= 225 + 64 = 289;
����1 = 15 + 17 8 =4;
����2 = 15 17 8 = 0,25;
г) 2����(3���� +4)=4���� 2 +5���� + 27; 6���� 2 +8���� =4���� 2 +5���� + 27; 2���� 2 +3����− 27 =0; ���� =32 4 ⋅ 2 ⋅ ( 27)=9+ 216 = 225; ����1 = 3+ 15 4 =3; ����2 = 3 15 4 = −4,5; ґ) (���� +4)(2����− 3) (5����− 6)(����− 3)= 10; 2���� 2 3���� +8����− 12 (5���� 2 15����− 6���� + 18)= 10; 2���� 2 +5����− 12 5���� 2 + 21����− 18 10 =0; −3���� 2 + 26����− 40 =0; 3���� 2 26���� + 40 =0; ���� =( 26)2 4 ⋅ 3 ⋅ 40 = 676 480 = 196; ����1 = 26 + 14 6 = 40 6 =6 2 3 ; ����2 = 26 14 6 =2. 966.
а) 4����(���� 1)= 15;
4���� 2 4���� 15 =0; ���� =(−4)2 − 4 ⋅ 4 ⋅ (−15)= 16 + 240 = 256;
����1 = 4+ √256 2 ⋅ 4 = 4+ 16 8 = 20 8 =2,5;
����2 = 4 16 8 = 12 8 = 1,5; б) 3����(3����− 4)=5; 9���� 2 12����− 5=0; ���� =( 12)2 4 ⋅ 9 ⋅ ( 5)= 144 + 180 = 324;
����1 = 12 + √324 2 ⋅ 9 = 12 + 18 18 = 30 18 =1 2 3 ;
����2 = 12 18 18 = 6 18 = 1 3 ;
в) ���� (7 −���� )=5����− 8; 7����−���� 2 5���� +8=0; −���� 2 +2���� +8=0; ���� 2 2����− 8=0; ���� =( 2)2 4 ⋅ 1 ⋅ ( 8)=4+ 32 = 36; ����1 = 2+6 2 =4; ����2 = 2 6 2 = 2;
г) 3����(5���� +3)=2���� (6���� +5)+2; 15���� 2 +9���� = 12���� 2 + 10���� +2; 3���� 2 −����− 2=0; ���� =(−1)2 − 4 ⋅ 3 ⋅ (−2)=1+ 24 = 25;
����1 = 1+5 6 =1;
����2 = 1 5 6 = 4 6 = 2 3 ;
ґ) (2����− 8)(3���� +1)=(4����− 12)(����− 2)+8; 6���� 2 +2����− 24����− 8=4���� 2 8����− 12���� + 24 +8; 6���� 2 22����− 8=4���� 2 20���� + 32; 2���� 2 2����− 40 =0; ���� 2 −����− 20 =0; ���� =( 1)2 4 ⋅ 1 ⋅ ( 20)=1+ 80 = 81; ����1 = 1+9 2 =5; ����2 = 1 9 2 = 4. 967.
а) (2����− 3)2 =8���� ; 4���� 2 − 12���� +9 − 8���� =0; 4���� 2 20���� +9=0; ���� =( 20)2 4 ⋅ 4 ⋅ 9= 400 144 = 256; ����1 = 20 + √256 2 ⋅ 4 = 20 + 16 8 = 36 8 =4,5;
����2 = 20 16 8 = 4 8 =0,5; б) (2���� +1)2 =3���� +4; 4���� 2 +4���� +1 3����− 4=0; 4���� 2 + ����− 3=0; ���� =12 − 4 ⋅ 4 ⋅ (−3)=1+ 48 = 49;
= 1+ √49 2 ⋅ 4 = 1+7 8 = 6 8 =0,75; ����2 = 1 7 8 = 8 8 = 1; в) 2(3���� +9)=(3���� +5)2 ; 6���� + 18 =9���� 2 + 30���� + 25; 9���� 2 + 24���� +7=0; ���� = 242 4 ⋅ 9 ⋅ 7= 576 252 = 324;
; г) 12(3 −���� )=(3����− 1)2 ; 36 12���� =9���� 2 6���� +1; 9���� 2 +6����− 35 =0; ���� =62 4 ⋅ 9 ⋅ ( 35)= 36 + 1260 = 1296;
����1 = 6+ √1296 2 ⋅ 9 = 6+ 36 18 = 30 18 =1 2 3 ;
а) (����− 5)2 =3����− 5; ���� 2 10���� + 25 3���� +5=0; ���� 2 13���� + 30 =0; ���� =( 13)2 4 ⋅ 1 ⋅ 30 = 169 120 = 49; ����1 = 13 +7 2 = 10; ����2 = 13 7 2 =3;
) (���� +4)2 =3���� 2 8; ���� 2 +8���� + 16 3���� 2 +8=0; 2���� 2 +8���� + 24 =0; ���� 2 4����− 12 =0; ���� =( 4)2 4 ⋅ 1 ⋅ ( 12)= 16 + 48 = 64; ����1 = 4+8 2 =6; ����2 = 4 8 2 = 2;
) (���� − 3)2 =2(���� +1);
2 6���� +9=2���� +2;
https://shkola.in.ua/2397-hdz-alhebra-8-klas-bevz-2016.html
���� =( 8)2 4 ⋅ 1 ⋅ 7= 64 28 = 36;
����1 = 8+6 2 =7;
����2 = 8 − 6 2 =1;
г) (3����− 5)2 = 10����− 19;
9���� 2 30���� + 25 10���� + 19 =0; 9���� 2 40���� + 44 =0;
���� =( 40)2 4 ⋅ 9 ⋅ 44 = 1600 1584 = 16;
����1 = 40 +4 18 = 44 18 =2 4 9 ;
����2 = 40 4 18 =2.
969. ЗНО Розв’яжи рівняння 2���� (���� +2)=5(���� +2)
2���� (���� +2) 5(���� +2)=0;
(���� +2)(2����− 5)=0;
���� +2=0 або 2����− 5=0;
����1 = 2; 2���� =5;
����2 =2,5;
Відповідь: Д (-2; 2,5).
970. Розв'яжи рівняння:
а) ���� +3= ���� +3 ���� ;
���� (���� +3)= ���� +3, де ����≠ 0;
���� 2 +3����−����− 3=0;
���� 2 +2����− 3=0; ���� =22 4 ⋅ 1 ⋅ ( 3)=4+ 12 = 16;
����1 = −2+4 2 =1;
����2 = 2 4 2 = 3;
б) ���� = 18 ����− 3 ;
����(����− 3)= 18, де ����≠ 3; ���� 2 3����− 18 =0;
���� =( 3)2 4 ⋅ 1 ⋅ ( 18)=9+ 72 = 81;
����1 = 3+9 2 =6;
����2 = 3 − 9 2 = 3;
в) ���� +2 ���� = 5���� +1 ���� +1 ;
(���� +2)(���� +1)= ����(5���� +1), де ���� ≠ 0, ���� ≠−1;
���� 2 + ���� +2���� +2=5���� 2 + ����;
4���� 2 2���� 2=0; 2���� 2 ���� 1=0;
���� =( 1)2 4 ⋅ 2 ⋅ ( 1)=1+8=9;
����1 = 1+3 4 =1; ����2 = 1 3 4 = 0,5; г) 5+3���� 5 −���� = ���� +3 ���� +1 ; (5+3����)(���� +1)=(���� +3)(5 −����), де ����≠ 5, ����≠−1; 5���� +5+3����2 +3���� =5����−����2 + 15 3����; 3����2 +8���� +5= −����2 +2���� + 15; 4����2 +6����− 10 =0; 2����2 +3����− 5=0; ���� =32 4 ⋅ 2 ⋅ ( 5)=9+ 40 = 49; ����1 = −3+7 4 =1; ����2 = 3 7 4 = −2,5;
) ���� 2 5���� +6 ����− 3 =0;
2 − 5���� +6=0, де ����≠ 3; ���� =( 5)2 4 ⋅ 1 ⋅ 6= 25 24 =1; ����1 = 5+1 2 =3(не
3���� 2 = ���� 2 −����− 2���� +2
2���� 2 +3����− 2=0 ���� =32 4 ⋅ 2 ⋅ ( 2)=9+ 16 = 25 ����1 = 3+5 4 = 2 4 =0,5 ����2 = 3 5 4 = 8 4 = 2 ����− 1 ≠ 0; ����≠ 1 Відповідь: 0,5; 2 в) ����− 5 ���� +3 = 3+2���� 1 6���� (����− 5)(1 − 6���� )=(3+2���� )(���� +3) ����− 6���� 2 5+ 30���� =3���� +9+2���� 2 +6���� 6���� 2 + 31����− 5=2���� 2 +9���� +9 8���� 2 22���� + 14 =0 4���� 2 11���� +7=0
=( 11)2 4 ⋅ 4 ⋅ 7= 121 112 =9
= 11 +3 8 = 14 8 =1,75 ����2 = 11 3 8 = 8 8 =1 ���� +3 ≠ 0;1 6
����− 1)(2
https://shkola.in.ua/2397-hdz-alhebra-8-klas-bevz-2016.html
д) 4���� 2 11����− 3 ���� 2 − 9 =0
4���� 2 11����− 3=0 ���� =( 11)2 4 ⋅ 4 ⋅ ( 3)= 121 + 48 = 169
����1 = 11 + 13 8 =3
����2 = 11 13 8 = 0,25
���� 2 9 ≠ 0; ����≠ 3; ����≠−3
Відповідь: 0,25
972. Знайди натуральне число, яке на 132
Нехай ����− шукане натуральне число (����∈ℕ). За умовою: ���� 2 −���� = 132 ���� 2 −����− 132 =0 ���� =( 1)2 4 ⋅ 1 ⋅ ( 132)=1+ 528 = 529
= √529 = 23 ����1 = 1+ 23 2 ⋅ 1 = 24 2 = 12
= 1 23 2 ⋅ 1 = 22 2 = −11
2 + ����− 0,16 =0 | ⋅ (−1)
=0,6
= 1+0,6 2 = 1,6 2 =0,8
= 1
Відповідь: 16 і 17
975. Добуток
числа.
https://shkola.in.ua/2397-hdz-alhebra-8-klas-bevz-2016.html
перше число ���� , тоді
(���� +1),
. ���� (���� +1) (���� + ���� +1)= 239 ���� 2 + ����− 2����− 1 239 =0
2 −����− 240 =0 ���� =(−1)2 − 4 ⋅ 1 ⋅ (−240)=1+ 960 = 961
√���� = 31
����1 = 1+ 31 2 = 16
����2 = 1 31 2 = 15 (не є натуральним)
Якщо ���� = 16, то ���� +1= 17.
Відповідь: 16 і 17 976. Не
координат:
а) 1) З віссю �������� (���� =0): ���� =02 +0 20 = 20 Точка (0; 20).
2) З віссю �������� (���� =0): ���� 2 + ����− 20 =0
���� =12 − 4 ⋅ 1 ⋅ (−20)=1+ 80 = 81
����1 = 1+9 2 =4; ����2 = 1 9 2 = −5. Точки (4;0) і (−5;0).
б) 1) З віссю �������� (���� =0): ���� =0,5 ⋅ 02 5 ⋅ 0+8=8. Точка (0;8).
2) З віссю �������� (���� =0): 0,5���� 2 5���� +8=0 | ⋅ 2 ���� 2 10���� + 16 =0 ���� =( 10)2 4 ⋅ 1 ⋅ 16 = 100 64 = 36 ����1 = 10 +6 2 =8; ����2 = 10 6 2 =2. Точки (8;0) і (2;0).
Відповідь: а) (0; -20), (4; 0), (-5; 0); б) (0; 8), (8; 0), (2; 0) 977. Не виконуючи
координат: а) 1) З віссю
���� =( 3)2 4 ⋅ 2 ⋅ 1=9 8=1 ����1 = 3+1 4 =1; ����2 = 3 1 4 =0,5. Точки (1;0) і (0,5;0). Відповідь: а) (0; -28), (4; 0), (-7; 0); б) (0; -1), (1; 0), (0,5; 0) 978. Розв’яжи біквадратне рівняння. а) ���� 4 5���� 2 +4=0. Нехай ���� 2 = ���� , ����≥ 0. ���� 2 5���� +4=0 ���� =( 5)2 4 ⋅ 1 ⋅ 4= 25 16 =9
https://shkola.in.ua/2397-hdz-alhebra-8-klas-bevz-2016.html
����1 = 5+3 2 =4; ����2 = 5 3 2 =1
���� 2 =4 ⇒���� =±2; ���� 2 =1 ⇒���� =±1.
б) ���� 4 17���� 2 + 16 =0. Нехай ���� 2 = ���� , ����≥ 0.
���� 2 17���� + 16 =0
���� =( 17)2 4 ⋅ 1 ⋅ 16 = 289 64 = 225
����1 = 17 + 15 2 = 16; ����2 = 17 − 15 2 =1
���� 2 = 16 ⇒���� =±4; ���� 2 =1 ⇒���� =±1. в) ���� 4 3���� 2 4=0. Нехай ���� 2 = ���� , ����≥ 0. ���� 2 3����− 4=0
���� =( 3)2 4 ⋅ 1 ⋅ ( 4)=9+ 16 = 25 ����1 = 3+5 2 =4; ����2 = 3 5 2 = 1 (не задовольняє ����≥ 0)
���� 2 =4 ⇒���� =±2. г) ���� 4 + ���� 2 6=0. Нехай ���� 2 = ����, ����≥ 0.
���� 2 + ����− 6=0 ���� =12 4 ⋅ 1 ⋅ ( 6)=1+ 24 = 25 ����1 = 1+5 2 =2; ����2 = 1 5 2
���� 2 =1 ⇒���� =±1. д) 3���� 4 7���� 2 +2=0. Нехай ����
https://shkola.in.ua/2397-hdz-alhebra-8-klas-bevz-2016.html
���� 2 = 25 ⇒���� =±5; ���� 2 =1 ⇒���� =±1. в) ���� 4 +3���� 2 − 4=0. Нехай ���� 2 = ���� , ����≥ 0. ���� 2 +3����− 4=0 ���� =32 4 ⋅ 1 ⋅ ( 4)=9+ 16 = 25 ����1 = 3+5 2 =1; ����2 = 3 5 2 = 4 (не задовольняє ����≥ 0) ���� 2 =1 ⇒���� =±1. г) ���� 4 4���� 2 5=0. Нехай ���� 2 = ���� , ����≥ 0.
2 4����− 5=0 ���� =( 4)2 4 ⋅ 1 ⋅ ( 5)= 16 + 20 = 36 ����1 = 4+6 2 =5; ����2 = 4 6 2 = 1 (не задовольняє ����≥
0. 9���� 2 10���� +1=0 ���� =( 10)2 4 ⋅ 9 ⋅ 1= 100 36 = 64 ����1 = 10 +8 18 =1; ����2 = 10 8 18 = 2 18 = 1 9 ���� 2
https://shkola.in.ua/2397-hdz-alhebra-8-klas-bevz-2016.html
����1 = 2+4 2 =3; ����2 = 2 4 2 = 1 (не
0) √���� =3 ⇒���� =9. в) 3����− 8√���� +5=0. Нехай √���� = ���� , ����≥ 0. 3���� 2 8���� +5=0 ���� =(−8)2 − 4 ⋅ 3 ⋅ 5= 64 − 60 =4 ����1 = 8+2 6 = 10 6 = 5 3 ; ����2 = 8 2 6 =1
https://shkola.in.ua/2397-hdz-alhebra-8-klas-bevz-2016.html
а) (����− 2)(����− 5)=0
���� 2 5����− 2���� + 10 =0
���� 2 7���� + 10 =0
б) (����− 3)(����− ( 7))=0 (����− 3)(���� +7)=0
���� 2 +7����− 3����− 21 =0
���� 2 +4����− 21 =0
в) (����− 0,5)(����− 4)=0
���� 2 4����− 0,5���� +2=0
���� 2 − 4,5���� +2=0
г) (����− ( 0,2))(����− ( 8))=0
(���� +0,2)(���� +8)=0
���� 2 +8���� +0,2���� +1,6=0
���� 2 +8,2���� +1,6=0
985. Один корінь квадратного рівняння
���� + ���� + ���� ?
Якщо ���� =1 є коренем рівняння ��������
12 + ����⋅ 1+
4���� 2 + 12����− 6=4���� 2 10���� +6 8���� 2 − 22���� + 12 =0 |:2 4���� 2 11���� +6=0
) 7 ���� +2 + 3 ����− 2 = 16 ����
���� (����− 2)+3���� (���� +2)= 16(���� 2 4)
���� 2 14���� +3���� 2 +6���� = 16���� 2 64 10���� 2 8���� = 16���� 2 64 6���� 2 +8����− 64 =0 |:2 3���� 2 +4����− 32 =0
=( 18)2 4 ⋅ 1 ⋅ 65 = 324 260 = 64
= 18 +8 2 = 13;
https://shkola.in.ua/2397-hdz-alhebra-8-klas-bevz-2016.html
����1 = 5+7 2 =1; ����2 = 5 7 2 = 6
992. Не
а) 2���� 2 +7����− 2= ���� 2 2����− 16
���� 2 +9���� + 14 =0
���� =92 4 ⋅ 1 ⋅ 14 = 81 56 = 25
����1 = 9+5 2 = −2; ����2 = 9 5 2 = −7
Якщо ����1 = 2, то ����1 =( 2)2 2 ⋅ ( 2) 16 =4+4 16 = 8
Якщо ����2 = 7, то ����2 =( 7)2 2 ⋅ ( 7) 16 = 49 + 14 16 = 47
Точки перетину: ( 2; 8), ( 7; 47).
б) 6 ���� = ����− 5 | ⋅���� , ����≠ 0
6= ���� 2 5����
���� 2 5����− 6=0
���� =(−5)2 − 4 ⋅ 1 ⋅ (−6)= 25 + 24 = 49
����1 = 5+7 2 =6; ����2 = 5 7 2 = 1
Якщо ����1 =6, то ����1 =6 5=1
Якщо ����2 = 1, то ����2 = 1 5= 6
Точки перетину: (6;1), ( 1; 6). 993. Не
=1, то ����1
����1 = 5+7 2 ⋅ 1 =1; ����2 = 5 7 2 ⋅ 1 = 6 2) ���� 2 +5���� =0
����⋅ (���� +5)=0
����3 =0; ����4 = −5
|���� |= ���� , де ����≥ 0
= 10 +2 2 =6; ����2 = 10 2 2 =4 |���� |=6 ⇒����1 =6, ����2 = 6 |���� |=4 ⇒����3 =4, ����4 = 4
6���� 2 +5|���� | 1=0; 6|���� |2 +5|���� | 1=0 |���� |= ���� , ����≥ 0
(���� +7)=0
|2���� 2 −����− 3|=3
���� |���� | 4���� +3=0; 1) ����≥ 0: ���� 2 4���� +3=0
= 49 4 ⋅ 2 ⋅ ( 4)= 49 + 32 = 81
https://shkola.in.ua/2397-hdz-alhebra-8-klas-bevz-2016.html
����1 = 2+ 10 2 =4; ����2 = 2 10 2 = 6
1) ���� +1=4 ⇒����1 =3 2) ���� +1= −6 ⇒����2 = −7 д) ���� 2 +5=2√���� 2 +5 +3; ���� 2 +5 2����� 2 +5 3=0
����� 2 +5 = ���� , ���� >0 ���� 2 2����− 3=0 ���� =4 4 ⋅ ( 3)= 16 ����1 = 2+4 2 =3; ����2 = 2 − 4 2 = 1(не задовольняє) ����� 2 +5 =3 ⇒���� 2 +5=9 ⇒���� 2 =4 ⇒����1 =2, ����2 = 2 997. Розв'яжи рівняння, використовуючи
а) (2����− 1)4 10(2����− 1)2 +9=0;
Нехай (2����− 1)2 = ���� , ����≥ 0 ���� 2 − 10���� +9=0 ���� =( 10)2 4 ⋅ 1 ⋅ 9= 100 36 = 64 ����1 = 10 +8 2 =9; ����2 = 10 − 8 2 =1 1) (2����− 1)2 =9
2����− 1=3 або 2����− 1= 3
2���� =4 ⇒����1 =2; 2���� = 2 ⇒����2 = 1
2) (2����− 1)2 =1
2����− 1=1 або 2����− 1= −1
2���� =2 ⇒����3 =1; 2���� =0 ⇒����4 =0 б) (���� 2 +2)2 (���� 2 +2) 6=0; Нехай ���� 2 +2= ���� , ����≥ 2 ���� 2 −����− 6=0
в) ���� (���� +1)(���� +2)(���� +3)= 24; (���� 2 +3���� )(���� 2 +3���� +2)= 24
Нехай ���� 2 +3���� = ���� ���� (���� +2)= 24 ⇒���� 2 +2����− 24 =0 ���� =4 − 4 ⋅ (−24)= 100 ����1 = 2+
1) ���� 2 +3���� =4 ⇒���� 2 +3����− 4=0 ⇒����1 =1, ����2 = 4 2) ���� 2 +3���� = 6 ⇒���� 2 +3����
(����− 1)2 (���� 2 2���� )= 12; (���� 2 2���� +1)(���� 2 2���� )= 12
���� 2 − 2���� = ����
(���� 2 +2���� +1)(���� 2 +2���� +4)= 10;
���� 2 +2
2
д) (����− 2)(���� +1)(���� +2)(���� +5)+ 36 =0; ((����− 2)(���� +5))((���� +1)(���� +2))+ 36 =0 (���� 2 +3����− 10)(���� 2 +3���� +2)+ 36
ґ) (���� +1)(���� +2)(���� +3)(���� +4)= 120; ((���� +1)(���� +4))((���� +2)(���� +3))= 120 (���� 2 +5���� +4)(���� 2 +5���� +6)= 120 Нехай ���� 2
(���� +3)(���� +1)(����− 5)(����− 7)= 192; ((���� +3)(����− 7))((���� +1)(����− 5))= 192 (���� 2 4����− 21)(
https://shkola.in.ua/2397-hdz-alhebra-8-klas-bevz-2016.html
���� =4 б) ���� 2 + �������� +4=0; ���� = ����2 4 ⋅ 1 ⋅ 4= ����2 16
����2 16 =0
����2 = 16
����1 =4; ����2 = 4
в) �������� 2 +8�������� +1=0; 1) ���� =0:1=0 — коренів немає
2) ����≠ 0: ���� =(8����)2 4 ⋅����⋅ 1= 64����2 4���� 64����2 4���� =0 4����(16����− 1)=0 ���� =0 (не задовольняє ����≠ 0); 16���� =1 ⇒���� =0,0625 г) �������� 2 + 20���� + ���� =0; 1) ���� =0: 20���� =0 ⇒���� =0 (один корінь) ⇒���� =0 2) ����≠ 0: ���� = 202 − 4 ⋅����⋅���� = 400 − 4
https://shkola.in.ua/2397-hdz-alhebra-8-klas-bevz-2016.html
1 − 4���� =0 ⇒ 4���� =1 ⇒���� =0,25
Перевірка: ���� = ( 1) 2 ⋅ 1 =0,5 (задовольняє ����≠−1,5)
2) Рівняння ���� 2 −���� + ���� =0 має
1,5: ( 1,5)2 ( 1,5)+ ���� =0
2,25 +1,5+ ���� =0
3,75 + ���� =0 ⇒���� = 3,75
Перевірка для ���� = −3,75: ���� 2 −����− 3,75 =0 ���� =1 4 ⋅ ( 3,75)=1+ 15 = 16 >0 (два корені, один сторонній) ���� = 3,75 (менше ніж 0,25)
1005. Доведи, що при будь-якому
а) ���� 2 + �������� 5=0;
���� = ���� 2 − 4 ⋅ 1 ⋅ (−5)= ���� 2 + 20
2 ≥ 0 при будь-якому ����⇒���� 2 + 20 >0 ���� >0 ⇒ рівняння завжди
���� 2 +(2���� +1)���� + ���� 2 + ���� =0;
=(2���� +1)2 4 ⋅ 1 ⋅ (���� 2 +
2) 0,01
https://shkola.in.ua/2397-hdz-alhebra-8-klas-bevz-2016.html
����1 = 22 + 18 2 = 20
����2 = 22 18 2 =2
1) ���� 2 −���� = 20 ���� 2 −����− 20 =0 ���� =( 1)2 4 ⋅ 1 ⋅ ( 20)=1+ 80 = 81
����1 = 1+9 2 =5 ����2 = 1 9 2 = 4 2) ���� 2 −���� =2 ���� 2 −����− 2=0 ���� =( 1)2 4 ⋅ 1 ⋅ ( 2)=1+8=9 ����3 = 1+3 2 =2 ����4 = 1 − 3 2 = 1
1. Укажи квадратне рівняння. А) ���� 2 + 12 =0 — так; Б) 20 −���� =0 — ні; В) 3���� =9 — ні; Г) ���� −2 = 100 — ні.
Відповідь: А.
2. Скільки коренів має рівняння ���� 2 +2���� +1=0?
���� 2 +2���� +1=0 ���� =22 4 ⋅ 1 ⋅ 1=4 4=0
Відповідь: А. один
3. Дискримінант рівняння ���� 2 +7���� +6=0 дорівнює:
=1, ���� =7, ���� =6
= ���� 2 4�������� =72 4 ⋅ 1 ⋅ 6= 49 24 = 25 Відповідь: В. 25
4. Яке
https://shkola.in.ua/2397-hdz-alhebra-8-klas-bevz-2016.html
4 3���� 2 +2=0
Нехай ���� 2 = ���� , де ����≥ 0 ���� 2 3���� +2=0 ���� =( 3)2 4 ⋅ 1 ⋅ 2=9 8=1 ����1 = 3+1 2 =2 ����2 = 3 1 2 =1
При ���� =2: ���� 2 =2, ����1,2 =±√2 (2 корені)
При ���� =1: ���� 2 =1, ����3,4 =±1 (2 корені)
Усього рівняння має 4 корені.
Відповідь: В. чотири
6. Дискримінант рівняння �������� 2 + �������� + ���� =0 — це вираз: ���� = ���� 2 − 4
Відповідь: А. D > 0 8. Рівняння ���� 2 +6����− 7=0 має корені:
4���� 2 = 36
���� 2 = −9 (коренів немає)
В) 4���� 2 + ���� =0
����⋅ (4���� +1)=0
����1 =0, ����2 = 0,25 (два корені)
Г) 4���� 2 3���� + 10 =0 ���� =( 3)2 4 ⋅ 4 ⋅ 10 =9 160 = 151 <0 (коренів немає)
Відповідь: В. 4���� 2 + ���� =0
2. Знайди корені рівняння ���� 2 9���� =0.
(����− 9)=0
9=0
=9
Б. 0; 9 3. Вкажи менший корінь
2 =4 ⋅ (3 −���� )
2 = 12 4����
+4
=42 4
6<2 Відповідь: Г. -6 4. Установи
40���� 2 51����− 7= 36���� 2 60���� +6 40���� 2 − 36���� 2 − 51���� + 60����− 7 − 6=0
4���� 2 +9����− 13 =0
=
= 3,25 Відповідь: 1; -3,25 б) 2���� ����−3 1 ����+3 = 6 ���� 2 −9 2���� (���� +3) (����− 3)=6
2���� 2 +6����−���� +3 6=0
2���� 2 +5����− 3=0
при ���� = 3 знаменник ���� +3=0, тому
Відповідь: 0,5
6. Розв’яжи рівняння, використовуючи
(2����− 1)4 5(2����− 1)2 +4=0
Нехай (2����− 1)2 = ���� , де ����≥ 0 ���� 2 5���� +4=0 ���� =( 5)2 4 ⋅ 1 ⋅ 4= 25 16 =9
����1 = 5+3
=
1) При ���� =4: (2����− 1)2 =4 2����− 1=2 або 2����− 1= 2 2���� =3 або 2���� = 1 ����1 =1,5 або ����2 = 0,5 2) При ���� =1: (2����− 1)2 =1 2����− 1=1 або 2����− 1= 1 2���� =2 або
���� =8, то ���� +5=8+5= 13 Відповідь: 8 і 13 8. При якому
2 (���� +2)���� + ���� +5=0 ���� =( (���� +2))2 4 ⋅ 1 ⋅ (���� +5)= ���� 2 +4���� +4 4����− 20 = ���� 2 16
2 = 16
=4 ����2 = 4
4; -4
Розв’яжи рівняння ���� 2 5|���� | 6=0.
Оскільки ���� 2 =|���� |2 , маємо |���� |2 5|���� | 6=0
Нехай |���� |= ���� , де ����≥ 0 ���� 2 − 5����− 6=0
���� =( 5)2 4 ⋅ 1 ⋅ ( 6)= 25 + 24 = 49
����1 = 5+7 2 =6
����2 = 5 7 2
6; -6
⋅����2 = 10
https://shkola.in.ua/2397-hdz-alhebra-8-klas-bevz-2016.html
����1 ⋅����2 =1 ⋅ 7=7; ���� =7;7=7 − так, є коренями
б) ���� 2 +8���� + 15 =0,3 і 5
����1 + ����2 =3+5=8; −���� = 8;8 ≠−8 ні, не є коренями
в) ���� 2 − 12���� − 13 =0, −1 і 13
����1 + ����2 = 1+ 13 = 12; −���� = ( 12)= 12; 12 = 12
����1 ⋅ ����2 = −1 ⋅ 13 = −13; ���� = −13; −13 = −13 − так, є коренями
г) ���� 2 6���� +6=0,3 і 3
����1 + ����2 =3+3=6; −���� = ( 6)=6;6=6
����1 ⋅����2 =3 ⋅ 3=9; ���� =6;9 ≠ 6 ні, не є коренями
є),
розв'язуючи рівняння. а) ���� 2 4���� +3=0 ���� =( 4)2 4 ⋅ 1 ⋅ 3= 16 12
+ ����2 = ( 4)=4>0
) ���� 2 +7���� + 10 =0
=72 4 ⋅ 1 ⋅ 10 = 49 40 =9>0
⋅����2 = 10 >0
+ ����2 = 7<0 обидва корені
=( 6)2 4 ⋅ 1 ⋅ ( 8)= 36 + 32 = 68
план: 1) Проаналізувати множники числа ����.
2) Знайти пару, що в сумі дає −���� .
3) Записати корені.
1023. Розв'яжи рівняння.
а) ���� 2 3���� +2=0
����1 + ����2 =3
����1 ⋅����2 =2
����1 =1; ����2 =2 б) ���� 2 4����− 5=0 ����1 + ����2 =4 ����1 ⋅����2 = 5
����1 = 1; ����2 =5
в) ���� 2 4���� +3=0
����1 + ����2 =4
����1 ⋅����2 =3
����1 =1; ����2 =3
г) ���� 2 7���� + 12 =0
����1 + ����2 =7
����1 ⋅����2 = 12
����1 =3; ����2 =4
1024. Знайди коефіцієнти
а) 2 і 3
���� = −(����1 + ����2 )= −(2+3)= −5
���� = ����1 ⋅����2 =2 ⋅ 3=6 б) − 2 і 5
���� = (����1 + ����2 )= ( 2+5)= 3
���� = ����1 ⋅����2 = −2 ⋅ 5= −10
в) 3 і 7
���� = −(����1 + ����2 )= −(−3+(−7))= −(−10)= 10
https://shkola.in.ua/2397-hdz-alhebra-8-klas-bevz-2016.html
���� = ����1 ⋅����2 = −3 ⋅ (−7)= 21
) 4 і 1
���� = (����1 + ����2 )= (4+1)= 5
���� = ����1 ⋅����2 =4 ⋅ 1=4 б) 3 і 2
���� = (����1 + ����2 )= ( 3+2)= ( 1)=1 ���� = ����1 ⋅����2 = 3 ⋅ 2= 6 в) 6 і 5
���� = (����1 + ����2 )= ( 6+( 5))= ( 11)= 11 ���� = ����1 ⋅����2 = 6 ⋅ ( 5)= 30 1026. Розв'яжи рівняння.
а) ���� 2 5���� + 4 = 0
����1 + ����2 =5 ����1 ⋅ ����2 =4 ����1 =1; ����2 =4 б) ���� 2 3���� 40 = 0 ����1 +
) ���� 2 ���� 12 = 0
+ ����2 =1
⋅����2 = 12
= 3; ����2 =4
ґ) ���� 2 + 5���� + 6 = 0
����1 + ����2 = −5
����1 ⋅����2 =6
����1 = 3; ����2 = 2
1027. Розв'яжи рівняння.
) ���� 2 + 5���� 14 = 0
+ ����2 = 5
⋅����2 = 14
= 7; ����2 =2
) ���� 2 + 2���� 15 = 0
+ ����2 = 2
⋅����2 = 15
= 5; ����2 =3
https://shkola.in.ua/2397-hdz-alhebra-8-klas-bevz-2016.html
���� = ���� 2 4 ⋅ 1 ⋅ 25 = ���� 2 100
���� 2 − 100 =0
���� 2 = 100
����1 = 10; ����2 = 10
1029. Знайди
а) ���� 2 + 12���� + ���� =0 Рівняння має рівні корені, якщо ���� =0 ���� = 122 4 ⋅ 1 ⋅���� = 144 4���� 144 4���� =0
4���� = 144 ���� = 144 ∶ 4= 36
б) ���� 2 + �������� + 121 =0
Рівняння має рівні корені, якщо ���� =0 ���� = ���� 2 −
����1 =3
����1 + ����2 =5 3+ ����2 =5 ����2 =5 3=2
����1 =5 ����1 ⋅����2 = 30 5 ⋅����2 = 30 ����2 = 30 ∶ 5=6
= −(����1 + ����2 ) ���� = (5+6)= 11 1032. Знайди ���� і ����1 , якщо: а) ���� 2 + �������� + 35 =0 і ����2 =7 ����1 ⋅����2 = 35 ����1 ⋅ 7= 35 ����1 = 35 ∶ 7=5
���� = (����1 + ����2 )= (5+7)= 12
б) ���� 2 + �������� + 21 =0 і ����2 = 3
����1 ⋅����2 = 21
����1 ⋅ ( 3)= 21
����1 = 21 ∶ (−3)= −7
���� = (����1 + ����2 )= ( 7+( 3))= ( 10)= 10
1033. Знайди ���� і ����1 , якщо: а) ���� 2 11���� + ���� =0 і ����2 =6
����1 + ����2 = 11
����1 +6= 11
����1 = 11 6=5
https://shkola.in.ua/2397-hdz-alhebra-8-klas-bevz-2016.html
���� = ����1 ⋅����2 =5 ⋅ 6= 30
б) ���� 2 +6���� + ���� =0 і ����2 =3
����1 + ����2 = 6
����1 +3= 6
����1 = 6 3= 9
���� = ����1 ⋅����2 = 9 ⋅ 3= 27
1034. Знайди ���� і ����1 , якщо:
а) �������� 2 +9����− 2=0 і ����2 = 2
����⋅ ( 2)2 +9 ⋅ ( 2) 2=0
4����− 18 2=0 4���� = 20
���� =5
����1 ⋅����2 = ���� ���� = 2 5 = 0,4
����1 ⋅ ( 2)= 0,4
����1 = 0,4 ∶ ( 2)=0,2
б) �������� 2 4����− 39 =0 і ����2 = 3
����⋅ ( 3)2 4 ⋅ ( 3) 39 =0
9���� + 12 39 =0
9���� = 27 ���� =3
����1 ⋅����2 = ���� ���� = 39 3 = 13 ����1 ⋅ ( 3)= 13 ����1 = 13 ∶ ( 3)= 13 3 =4 1 3 1035.
) 2 і 4 ���� = (2+4)= 6
=2 ⋅ 4=8 ���� 2 6���� +8=0 б) − 3 і 5 ���� = ( 3+5)= 2 ���� = 3 ⋅ 5= 15 ���� 2 2����− 15 =0 в) 0,5 і 4
���� = (0,5+4)= 4,5
���� =0,5 ⋅ 4=2 ���� 2 4,5���� +2=0 г) 1 7 і 7
���� = ( 1 7 +7)= 7 1 7 ���� = 1 7 ⋅ 7=1
https://shkola.in.ua/2397-hdz-alhebra-8-klas-bevz-2016.html
���� = (2 √3 +2+ √3)= 4
���� =(2 √3)(2+ √3)=22 (√3)2 =4 3=1
���� 2 4���� +1=0
1036. Склади
а) 3 і 8
���� = −(3+8)= −11
���� =3 ⋅ 8= 24
���� 2 11���� + 24 =0
б) 4 і 2
���� = ( 4+2)= ( 2)=2
���� = 4 ⋅ 2= 8
���� 2 +2����− 8=0
в) 3 і 0,6
���� = (3+0,6)= 3,6
���� =3 ⋅ 0,6=1,8
���� 2 3,6���� +1,8=0
г) 3+ √5 і 3 √5
���� = −(3+ √5 +3 − √5)= −6
���� =(3+ √5)(3 √5)=32 (√5)2 =9 5=4
���� 2 6���� +4=0
рівняння,
1: ����1 =5
2: ����2 = 2
���� = 3± 11
2 ⇒����1 =7; ����2 = 4
Корені другого рівняння: ���� =12 4 ⋅ 2 ⋅ ( 10)=1+ 80 = 81 ���� = 1±9 4 ⇒����3 =2; ����4 = 2,5
Рівняння з коренями ����1 =7 та ����3 =2: ���� = (7+2)= 9; ���� =7 ⋅ 2= 14 ⇒���� 2 9���� + 14 =0
Рівняння з коренями ����1 =7 та ����4 = 2,5:
= −(7 − 2,5)= −4,5; ���� =7 ⋅ (−2,5)= −17,5 ⇒���� 2 − 4,5����− 17,5=0
Рівняння з коренями ����2 = 4 та ����3 =2: ���� = ( 4+2)=2; ���� = 4 ⋅ 2= 8 ⇒���� 2 +2����− 8=0
Рівняння з коренями ����2 = 4 та ����4 = 2,5:
= ( 4 2,5)=6,5; ���� = 4 ⋅ ( 2,5)= 10 ⇒���� 2 +6,5���� + 10 =0 б) 2���� 2 +5����− 3=0 і ���� 2 − 4���� +4=0
Корені першого рівняння: ���� =52 4 ⋅ 2 ⋅ ( 3)= 25 + 24
з коренями ����2 = −3 та ����3 =2: ���� = ( 3+2)=1; ���� = 3 ⋅ 2=
https://shkola.in.ua/2397-hdz-alhebra-8-klas-bevz-2016.html
(����2 − 3) ⋅����2 = 10
����22 − 3����2 − 10 =0
���� =( 3)2 4 ⋅ 1 ⋅ ( 10)=9+ 40 = 49
����2 = 3±7 2 ⇒����2(1) =5; ����2(2) = 2
Якщо ����2 =5, то ����1 =5 3=2 (умова 5>2 вірна)
Якщо ����2 = 2, то ����1 = 2 3= 5 (умова 2> 5 вірна)
����1 = (����1 + ����2 )= (2+5)= 7
����2 = (����1 + ����2 )= ( 5 2)=7
б) ���� 2 8���� + ���� =0 і ����1 : ����2 = 0,2
����1 = 0,2����2
����1 + ����2 =8 0,2����2 + ����2 =8 0,8����2 =8 ����2 = 10
����1 = 0,2 ⋅ 10 = 2
Умова 10 > 2 виконується ���� = ����1 ⋅����2 = 2 ⋅ 10 = 20
+3= 2
����1 = −4
����1 = 2
����2 = 2+8=6
���� = 2 ⋅ 6= 12 1052. Визнач
2 (2����− 2)���� + 21 =0 на 4 більший за інший.
����2 = ����1 +4
����1 ⋅����2 = 21
����1 ⋅ (����1 +4)= 21
����12 +4����1 21 =0 ���� =42 4 ⋅ 1 ⋅ ( 21)= 16 + 84 = 100 ����1(1) = 4+ 10 2 =3 ⇒����2(1) =3+4=7
����1(2) = 4 10 2 = 7 ⇒����2(2) =
3 ����1 + ����2 =2����− 2 Випадок 1: 3+7=2����− 2 10 =2����− 2 ⇒ 2���� = 12 ⇒���� =6 Випадок
https://shkola.in.ua/2397-hdz-alhebra-8-klas-bevz-2016.html
2 2�������� ���� 2 =0 ⇒���� 2 2�������� =0
1059.
2 (���� 2 +4����− 10)���� +3���� =0 дорівнює 2? За теоремою Вієта: ����1 + ����2 = ���� 2 +4����− 10 ���� 2 +4����− 10 =2 ���� 2 +4����− 12 =0 ���� =42 4 ⋅ 1 ⋅ ( 12)= 16 + 48 = 64
= 4±8 2 ����1 =2; ����2 = 6
Перевірка ����≥ 0 для вихідного рівняння: Якщо ���� =2: ���� 2 2���� +6=0 ⇒���� =4 24 = 20 <0 (не підходить)
Якщо ���� = 6: ���� 2 2����− 18 =0 ⇒���� =4+ 72 = 76 >0 (підходить)
Відповідь: ���� = 6
1060. За якого значення параметра
2 − 3�������� +(���� 2 +2���� +3)=0 дорівнює 6?
2 +2����− 3=0
=22 − 4 ⋅ 1
����1 ⋅����2 =2����− 1 ����12 + ����22 =(����1 + ����2 )2 − 2����1 ����2 (���� +1)2 2(2����− 1)=6
2 +2���� +1 4���� +2=6
=( 2)2 4 ⋅ 1 ⋅ ( 3)=4+ 12 = 16
= 2±4 2 ⇒����1 =3; ����2 = 1
Якщо ���� = 1: ���� =( 1)2 6 ⋅ ( 1)+5=1+6+5= 12 >0 (підходить)
Відповідь: ���� = 1
1063. За якого значення
���� 2 8���� +4����− 1=0 дорівнює
Відповідь: ���� =3,5
1064. Визнач додатне
2 − (2����−
= ����1 +6
⋅����2 = 16
⋅ (����1 +6)=
https://shkola.in.ua/2397-hdz-alhebra-8-klas-bevz-2016.html
���� 2 (���� +3)����−����− 7=0
����1 + ����2 = ���� +3 ����1 ⋅����2 = −����− 7
теоремою
+
) (����2 −����1 )2 =(����1 + ����2
=3,
⋅����2 =1
а) 375 000 000 000 =3,75 ⋅ 1011
б) 0,000000038 =3,8 ⋅ 10−8 1068. Подай у вигляді

https://shkola.in.ua/2397-hdz-alhebra-8-klas-bevz-2016.html
1. Рух: ����1 =2 1=1 год, ����1 = 30 12 = 18 км ⇒����1 = 18 ∶ 1= 18 км/год
2. Зупинка: ����2 =3 2=1 год, ����2 =0 км ⇒����2 =0 км/год 3. Рух: ����3 =3,5 3=0,5 год, ����3 = 12 км ⇒����3 = 12 ∶ 0,5= 24 км/год
Весь час: ���� =3,5 − 1=2,5 год 1070. Заміни літери цифрами, щоб виконувалася рівність ДИСК + РИМ = ІНАНТ.
Оскільки сума чотирицифрового та трицифрового чисел є п’ятицифровим, то перша цифра суми І =1.
Розглянемо розряд тисяч: Д +0(+1 за розряд)= ІН ⇒Д +(0 або 1)= 10 + Н.
Це можливо лише при Д =9, тоді Н =0 (якщо був перенос).
Підберемо цифри: 9832 + 784 = 10616 (не підходить, однакові літери).
Один із варіантів розв’язання:
Д =9, И =8, С =4, К =7, Р =6, М =5, Н =0, А =3, Т =2
9847 + 685 = 10532
Перевірка літер: Д(9), И(8), С(4), К(7), Р(6), М(5), І(1), Н(0), А(5), Н(3), Т(2)
Буква А не може бути 5, бо М = 5. Змінимо:
9734 + 876 = 10610 (не підходить).
Варіант, де И =5:
9567 + 854 = 10421
Д =9, И =5, С =6, К =7, Р =8, М =4, І =1, Н =0,
Варіант:
9753 + 876 = 10629 (не підходить).
Правильний варіант:
9825 + 786 = 10611 (не підходить).
9876 + 584 = 10460
Д =9, И =8, С =7,
Приклад робочої комбінації:
9754 + 876 = 10630
Д =9, И =7, С =5, К =4,
9582 + 754 = 10336 (не підходить).
Знайдений варіант:
9283 + 724 = 10007 (не підходить).
9835 + 487 = 10322 (не підходить).
9845 + 687 = 10532 Д =9, И =8, С =4, К =5, Р =6,
(Т=Н, не підходить).
=0 (Т=Н, не підходить).
https://shkola.in.ua/2397-hdz-alhebra-8-klas-bevz-2016.html
−3���� 2 +5����−2 ���� 2 −1 = −3(����−1)(����− 2 3) (����−1)(����+1) = 2−3���� ����+1
2����2 −5����+2
3����2 −3,5����−5 = 2(����−2)(����−0,5) 3(����−2)(����+ 5 6) = 2����−1 3����+2,5
����2 +9����+14
����2 +10����+21 = (����+7)(����+2) (����+7)(����+3) = ����+2 ����+3
���� 2 +√5����−10
���� 2 −3√5����+10 = (����+2√5)(����−√5) (����−2√5)(����−√5) = ����+2√5 ����−2√5
3����−9
2���� 2 −5����−3 = 3(����−3) 2(����−3)(����+0,5) = 3 2����+1
����2 −9
2����2 +7����+3 = (����−3)(����+3) 2(����+3)(����+0,5) = ����−3 2����+1 в)
���� 2 −8����−20
���� 2 −11����+10 = (����−10)(����+2) (����−10)(����−1) = ����+2 ����−1
����2 −8����+7
����2 −9����+14 = (����−7)(����−1) (����−7)(����−2) = ����−1 ����−2
2−3����+���� 2
���� 2 −4����+4 = (����−1)(����−2) (����−2)2 = ����−1 ����−2
2���� 2 −3����+1
3���� 2 −4����+1 = 2(����−1)(����−0,5) 3(����−1)(����− 1 3) = 2����−1 3����−1
���� 2 +2����−15
���� 2 +4����−5 = (����+5)(����−3) (����+5)(����−1) = ����−3 ����−1
���� 2 −3
���� 2 −2√3����+3 = (����−√3)(����+√3) (����−√3)2 = ����+√3 ����−√3
2���� 2 −5����−3
2���� 2 +7����+3 = 2(����−3)(����+0,5) 2(����+3)(����+0,5) = ����−3 ����+3
https://shkola.in.ua/2397-hdz-alhebra-8-klas-bevz-2016.html

https://shkola.in.ua/2397-hdz-alhebra-8-klas-bevz-2016.html


https://shkola.in.ua/2397-hdz-alhebra-8-klas-bevz-2016.html

https://shkola.in.ua/2397-hdz-alhebra-8-klas-bevz-2016.html
���� 2 +3����− 10 =(���� +5)(����− 2) ���� 2 − 7���� + 10 =(����− 5)(����− 2)
Спільний знаменник: (����− 2)(���� +5)(����− 5)
Сума: 2 (���� +5)(����− 2) + 1 (����− 5)(����− 2) = 2(����− 5) + (���� +5) (����− 2)(���� +5)(����− 5) = = 2����− 10 + ���� +5 (����− 2)(���� 2 25) = 3����− 5 (����− 2)(���� 2 25)
Різниця: 2 (���� +5)(����− 2) 1 (����− 5)(����− 2) = 2(����− 5) (���� +5) (����− 2)(���� +5)(����− 5) = = 2����− 10 −����− 5 (����− 2)(���� 2 25) = ����− 15 (����− 2)(���� 2 25) б) 1 6���� 2 13���� +6 і 1 3���� 2 11���� +6 6���� 2 13���� +6=6(����− 2 3)(����− 3 2)=(3����− 2)(2����− 3) 3���� 2 11���� +6=3(����− 3)(����− 2 3)=(����− 3)(3����− 2)
Спільний знаменник: (3����− 2)(2����− 3)(����− 3)
Сума: 1 (3
= 3����− 6 (3����− 2)(2����− 3)(����− 3) = 3(����− 2) (3����− 2)(2����− 3)(����− 3)
Різниця: 1 (3����− 2)(2����− 3) 1 (����− 3)(3����−
3)
https://shkola.in.ua/2397-hdz-alhebra-8-klas-bevz-2016.html
2����− 2 −���� 2 2���� +5���� 2 +5���� +4���� +4=0
4���� 2 +9���� +2=0 ���� =92 4 ⋅ 4 ⋅ 2= 81 32 = 49
����1 = 9+7 8 = 0,25; ����2 = 9 7 8 = 2
При ���� = 2 знаменник дорівнює 0.
Відповідь: -0,25.
в) 1 ����− 1 + 3 ���� 2 +9���� + 18 = 2���� +5 ���� 2 +5����− 6 1 ����− 1 + 3 (���� +3)(���� +6) = 2���� +5 (����− 1)(���� +6) (���� +3)(���� +6)+3(����− 1) (2���� +5)(���� +3) (����− 1)(���� +3)(���� +6) =0
���� 2 +9���� + 18 +3����− 3 (2���� 2 +6���� +5���� + 15)=0 ���� 2 + 12���� + 15 2���� 2 11����− 15 =0
2 + ���� =0
(−���� +1)=0 ����1 =0; ����2 =1 При ���� =1 знаменник дорівнює 0.
Відповідь: 0.
1097. Розв'яжи рівняння:
а) 2 ����− 7 = ���� ����− 2 + 10
2 +9����− 14 =0
2 9���� + 14 =0
=(−9)2 − 4 ⋅ 1 ⋅ 14 = 81 − 56 = 25
https://shkola.in.ua/2397-hdz-alhebra-8-klas-bevz-2016.html
2+1 (����− 1)(����− 2) = 2����− 7 (����− 2)(����− 7) ����− 1 (����− 1)(����− 2) = 2����− 7 (����− 2)(����− 7) 1 ����−2 = 2����−7 (����−2)(����−7), при ����≠ 1 1
2)(����− 7) =0 −����
����− 2)(����− 7) =0
2)
б)2���� 2 + 16���� + 13 =2(���� 2 +8���� )+ 13 =2(���� 2 +8���� + 16 16)+ 13 = =2((���� +4)2 16)+ 13 =2(���� +4)2 32 + 13 =2(
Ґ: ( 2)3 = 8
У: �0,16 =0,4
С: (0,55)1 =0,55
Т: 2560 =1
А: ( 1,1)4 =1,4641
В: �(−2)2 =2
8<0,4<0,55 <1<1,4641 <2
ҐУСТАВ
( 2 3)3 = 8 27 ≈ 0,3 Е: ( 3 2)−2 =( 2 3)2 = 4 9 ≈ 0,44
Л: 50 =1
А: �1,21 =1,1
https://shkola.in.ua/2397-hdz-alhebra-8-klas-bevz-2016.html
Н: (√4 +9)2 =(2+9)2 = 121
Д:
Прізвище:
озеру; г) пліт по річці?
а) 12 + ���� (км/год);
б) 12 −���� (км/год);
в) 12 (км/год);
г) ���� (км/год).
1114. З якою швидкістю
����⋅ (���� +5)= 24
1118.
2
https://shkola.in.ua/2397-hdz-alhebra-8-klas-bevz-2016.html
дорівнює 20, а добуток — 91; б) їх різниця дорівнює
https://shkola.in.ua/2397-hdz-alhebra-8-klas-bevz-2016.html
���� 2 + 529 46���� + ���� 2 265 =0
2���� 2 − 46���� + 264 =0
���� 2 23���� + 132 =0 ���� =( 23)2 4 ⋅ 1 ⋅ 132 = 529 528 =1
����1 = 23 +1 2 = 12
����2 = 23 1 2 = 11
Якщо ���� = 12, то друге число 23 12 = 11. Якщо ���� = 11, то друге число 23 11 = 12. Відповідь: 12 і 11. 1121. Знайди
800 м2 , а довжина на 20 м більша за ширину (мал. 22.2). Нехай ширина ділянки — ����
(���� + 20)= 800 ���� 2 + 20����− 800 =0 ���� = 202
https://shkola.in.ua/2397-hdz-alhebra-8-klas-bevz-2016.html
— ���� м, тоді
— ���� +5 м. ����⋅ (���� +5)= 66 ���� 2 +5����− 66 =0 ���� =52 − 4 ⋅ 1 ⋅
���� =6 м, то довжина 6+5= 11 м.
Відповідь: 11 м і 6 м.
б) Нехай одна сторона — ���� см, тоді друга — 28 −���� см. За теоремою Піфагора: ���� 2 +(28 −���� )2 = 202
���� 2 + 784 56���� + ���� 2 = 400
2���� 2 56���� + 384 =0
���� 2 28���� + 192 =0
���� =( 28)2 4 ⋅ 1 ⋅
16 см і 12 см.
256.
2���� =2 ⋅ 3=6
2���� +2=6+2=8
Відповідь: 6 і 8. 1128.
(
+(���� +1))2 (����2 +(���� +1)2 )= 264 (2���� +1)2 (����2 + ����2
Якщо ���� = 11, то: ���� +1= 11 +1= 12
Відповідь: 11 і 12. 1129. Знайди три послідовних цілих числа,
(����− 1)2 + ���� 2 +(���� +1)
= 12
= 12
Якщо ���� = 12, то числа: 11,12,13
Якщо ���� = −12, то числа: −13, −12, −11.
Відповідь: 11, 12,
20 км/год. 1136. A boat traveled 50 km downstream and 45 km upstream, taking 10 hours to complete the journey. Find the boat’s own speed if the river’s current is 2,5 km/h. Write the boat’s own velocity as ���� , create a table for the problem, and then write and solve the equation.
https://shkola.in.ua/2397-hdz-alhebra-8-klas-bevz-2016.html
95����− 12,5
���� 2 − 6,25 = 10
10(���� 2 6,25)= 95����− 12,5
10���� 2 − 62,5= 95����− 12,5
10���� 2 95����− 50 =0
2���� 2 19����− 10 =0
���� =( 19)2 4 ⋅ 2 ⋅ ( 10)= 361 + 80 = 441
√���� = 21
����1 = 19 + 21 2 ⋅ 2 = 40 4 = 10 ����2 = 19 − 21 4 = 0,5 (not possible, ���� >2,5) Відповідь: 10 km/h. 1137.
���� + 10 = 50 + 10 = 60 (км/год)
https://shkola.in.ua/2397-hdz-alhebra-8-klas-bevz-2016.html
100(����− 10)+ ���� (4����− 100) ���� (����− 10) =4,5
100����− 1000 +4���� 2 100���� ���� 2 10���� =4,5
4���� 2 1000 =4,5(���� 2 10����)
4���� 2 1000 =4,5���� 2 45����
0,5���� 2 45���� + 1000 =0
���� 2 90���� + 2000 =0 ���� =( 90)2 4 ⋅ 1 ⋅ 2000 = 8100 8000 =
√���� = 10
����1 = 90 + 10 2 = 50 ����2 = 90 10 2 = 40
Якщо ���� = 50, то ���� =4 ⋅ 50 = 200 (км).
Якщо ���� = 40, то ���� =4 ⋅ 40 = 160 (км).
Відповідь: 200
5,4 −���� + 6 ���� =4,5
6���� +6(5,4 −���� ) ���� (5,4 −���� ) =4,5
���� + 32,4 − 6���� 5,4
https://shkola.in.ua/2397-hdz-alhebra-8-klas-bevz-2016.html
https://shkola.in.ua/2397-hdz-alhebra-8-klas-bevz-2016.html
1
���� + 1 ���� +2 = 12 35
���� +2+ ����
���� (���� +2) = 12 35
2���� +2
���� 2 +2���� = 12 35
12(���� 2 +2���� )= 35(2���� +2)
12���� 2 + 24���� = 70���� + 70
12���� 2 46����− 70 =0 |:2
6���� 2 23����− 35 =0
���� =( 23)2 4 ⋅ 6 ⋅ ( 35)= 529 + 840 = 1369
����1 = 23 √1369 2 ⋅ 6 = 23 37 12 = 14 12 (не підходить)
����2 = 23 + 37 12 = 60 12 =5 (год) — перша труба.
5+2=7 (год) — друга труба.
Відповідь: 5 год, 7 год. 1148. Два робітники,
https://shkola.in.ua/2397-hdz-alhebra-8-klas-bevz-2016.html
+9)+9����
(���� +9) =0,5
15���� + 135 +9����
���� 2 +9���� =0,5
24���� + 135
���� 2 +9���� =0,5
0,5(���� 2 +9���� )= 24���� + 135 | ⋅ 2
���� 2 +9���� = 48���� + 270
15(���� + 10)+ 20����
https://shkola.in.ua/2397-hdz-alhebra-8-klas-bevz-2016.html
���� (���� + 10) =1
15���� + 150 + 20����
���� 2 + 10���� =1
35���� + 150
���� 2 + 10���� =1
���� 2 + 10���� = 35���� + 150
���� 2 − 25����− 150 =0
���� =( 25)2 4 ⋅ 1 ⋅ ( 150)= 625 + 600 = 1225
����1 = 25 √1225 2 = 25 35 2 = 5 (не підходить)
����2 = 25 + √1225 2 = 25 + 35 2 = 30 (год) — перший робітник.
30 + 10 = 40 (год) — другий робітник.
Відповідь: 30 год, 40 год. 1151. Стародавня індійська задача
https://shkola.in.ua/2397-hdz-alhebra-8-klas-bevz-2016.html
���� 2 5���� = 500
���� 2 − 5����− 500 =0
���� =( 5)2 4 ⋅ 1 ⋅ ( 500)= 25 + 2000 = 2025
����1 = 5 √2025 2 = 5 45 2 = 20 (не підходить)
����2 = 5+ √2025 2 = 5+ 45 2 = 25 (гілок).
200 ∶ 25 =8 (бджіл).
Відповідь: 25 гілок, 8 бджілок. 1153. Бригада планувала
більше, ніж планувала,
закінчила сівбу?
Нехай ���� — кількість
18���� =2 12960 ���� 2 + 18���� =2 2(���� 2 + 18����)= 12960
2 + 18����− 6480 =0
= 182 4 ⋅ 1 ⋅ ( 6480)= 324 + 25920 = 26244
∶ 90 =8 (
https://shkola.in.ua/2397-hdz-alhebra-8-klas-bevz-2016.html
���� 2 + 260���� + 14400 = 500���� ���� 2 − 240���� + 14400 =0 (����− 120)2 =0 ���� = 120 Відповідь:
���� та
https://shkola.in.ua/2397-hdz-alhebra-8-klas-bevz-2016.html
(
1) Якщо ���� =1, тоді ���� 2 3=4 ⇒���� 2 =7 (не є цілим).
2) Якщо ���� =4, тоді ���� 2 3=1 ⇒���� 2 =4 ⇒���� =2.
���� =4 (писанки).
���� =2 ⋅ 4=8 (блакитні крашанки).
���� =22 ⋅ 4= 16 (жовті крашанки).
Перевірка: 16 8 = 8 4 =2; 16 1= 15; 4+1=5; 15:5=3.
Відповідь: 4 писанки, 8 блакитних крашанок, 16
яєць):
крашанок. 1162. Круговою доріжкою завдовжки 2 км рухаються
https://shkola.in.ua/2397-hdz-alhebra-8-klas-bevz-2016.html
49 + ���� 2 = 74
���� 2 = 74 − 49
���� 2 = 25
����1 =5 (не задовольняє умову); ����2 = 5.
Відповідь: -7; -5. 1164. Розв’яжи рівняння:
а) ���� 2 +2 ���� +3 = ���� 2 +4���� ���� +3 ; ���� 2 +2= ���� 2 +4���� ; (����≠−3)
4���� =2 ���� =2 ∶ 4 ���� =0,5 б) ���� 2 +2���� ����− 4 = ���� 2 +8 ����− 4 ; ���� 2 +2���� = ���� 2 +8; (����≠ 4) 2���� =8 ���� =4
Рівняння не має розв’язків. 1165. Відкрита задача.

https://shkola.in.ua/2397-hdz-alhebra-8-klas-bevz-2016.html