Helsingin yliopiston taloustieteen opiskelijoiden ainejärjestölehti 1/23
KTTO:n vuoden 2023 hallitus haastattelussa
Liberaalipuolue - voidaanko teorian ja todellisuuden kuilu ylittää?

Helsingin yliopiston taloustieteen opiskelijoiden ainejärjestölehti 1/23
KTTO:n vuoden 2023 hallitus haastattelussa
Liberaalipuolue - voidaanko teorian ja todellisuuden kuilu ylittää?
PÄÄTOIMITTAJAT
Tuomas Heikkinen
Matti Mustonen
Tekijöinä tässä numerossa
Juho Junttila
Emilia Manninen
Otto Muurinen
Marko Suomalainen
Leo Turpeinen
Mikko Vanhala
Taitto
Veikko Isotalo
Kuvituskuvat
Unsplash
Paino
Trinket, Helsinki
Painos 80 kpl
Päätoimittajien yhteystiedot: tuomas.p.heikkinen@helsinki.fi matti.b.mustonen@helsinki.fi
3 Pääkirjoitus
4 Puheenjohtajan terveiset
6 Tervehdys opintovastaavilta
8 Haastattelussa Sanna Kurronen
14 Essee: Taloustieteestä on moneksi, muttei vaaliohjelmaksi
18 KTTO ry:n hallituskatsaus
25 Pääomainen
26 Suuria kertomuksia valtiontaloudesta
34 Katsaus ekonometrian opintosuuntaan
36 Taloushoroskooppi
38 Helsinki GSE:n viitatuimmat tutkijat
41 Matikkapähkinä
42 Kapitaalin arvostelutoimikunnan julkilausuma
Kapitaali saa HYY:n järjestölehtitukea ja on
journalistisesti itsenäinenlehti,jotaKTTOryjulkaisee.
Imaisen sieraimiini virkistävää maaliskuista ilmaa, jonka mukana leijailee jokin tuttu haju, jota en ole vuosiin haistanut. On kevät – vaalikevät. Toisin kuin edeltävissä seurakunta- ja aluevaaleissa, näissä vaaleissa olen jo aikaisessa vaiheessa ehtinyt pohtia vaaliasetelmia ja mahdollisia ääneni arvoisia ehdokkaita ja puolueita. Viimeisimmissä vaaleissa nämä asiat ovat jääneet kiinnostuksen puutteen johdosta tyylilleni ominaisesti viime hetkiin.
Lehden teema vaalit ja politiikka oli itsestäänselvä valinta toimituksen keskuudessa, ja koko lehden julkaisuajankohtakin on vahvasti vaaleihin sidonnainen. Yhteiskunnallinen tilanne on tällä hetkellä talouspoliittisesti kutkuttava. Jopa aiempina vuosia velkaa pelkäämättömät vasemmistopuolueet ovat ottaneet tavoitteekseen julkisen talouden tasapainottamisen ensi vaalikaudella. Edellisen demaripuheenjohtaja Antti Rinteen rahaa riittää kommentit tuntuvat väistämättä historiallisilta.
Nähtäväksi jää millaisiin finanssipoliittisiin toimiin seuraava hallitus lopulta ryhtyy: vaihtoehtoja kun on. Kapitaali analysoi tässä lehdessä liberaalipuoluetta ja sen esittämää massiivista leikattavaa löytyy vaihtoehtobudjettia. Kapitaali haastatteli myös jälleen alumnia, tällä kertaa liberaalipuolueen eduskuntavaaliehdokas Sanna Kurrosta.
Lehdestä löytyy tuttuun tapaan myös rennompia juttuja: taloustieteellisen ennustamisen taidonnäyte eli taloushoroskooppi, Kapitaalin arvostelutoimikunnan julkilausuma sekä aina yhtä viihdyttävä matikkapähkinä.
Vastuullisena mediana Kapitaali ei ole myöskään unohtanut velvollisuuttaan vallan vahtikoirana – tänäkin vuonna Kapitaali julkaisee hallitushaastattelut sekä puheenjohtajan ja opintosihteerien palstat, joiden kautta ainejärjestömme jäsenet pääsevät tutustumaan itselleen tuttuihin ja tuntemattomiin hahmoihin paremmin. Arviot uudesta hallituksesta jätämme lukijoiden tehtäväksi; Kapitaalin päätoimitus ei tohdi ottaa kantaa. Pilkka herkästi osuu omaan nilkkaan.
Lehteä sopii nautittavan rauhassa, kenties kelien lämmettyä raittiissa keväisessä ulkoilmassa. Innostavaa ja miellyttävää kevättä kaikille lukijoille!
Vanhoja perinteitä ja uusia ideoita
kokoontui viime marraskuussa valitsemaan hallituksen vuodelle 2023. Rakkaan ainejärjestömme hallituksessa toimii tällä hetkellä 14 innokasta jäsentä sekä Kapitaalin päätoimittajat virkailijajäseninä. Tässä kokoonpanossa on kansislaisia aina fukseista nykyisiin kolmannen vuoden opiskelijoihin. Tänä vuonna pyrimme myös virkistämään virkailijajäsentoimintaa, jotta mahdollistamme mahdollisimman matalan kynnyksen osallistumisen järjestötoimintaan. Kannustankin kaikkia innokkaita ottamaan yhteyttä hallituslaisiin ja liittymään mukaan!
Hallituskausi on lähtenyt käyntiin mukavasti vanhojen perinteiden ja uusien ideoiden siivittämänä. Pääsimme jo heti helmikuun alussa tutustumaan tuohon remontin keskellä olleeseen Alina-saliin ja palauttelemaan beer pongin salat muistiimme. Alina-saliin palataan uudestaan (tätä kirjoittaessani) viikon päästä sitsien muodossa, ja myös kuppalabileitä on suunnitteilla. Urheilutoimintakin on polkaistu vauhdikkaasti käyntiin, kun viisi joukkuetta KTTOlaisia kävi heittämässä karttua ja kaatamassa kyykkiä Tampereella helmikuussa. Eikä urheilun saralla tule olemaan hiljaista tämänkään jälkeen.
Tälle vuodelle yksi tärkeimmistä tavoitteistamme on KTTO:n näkyvyyden lisääminen yritysten suuntaan sekä kulttuuritoiminnan elvyttäminen. Excursioita onkin ehditty jo järjestää ja lisää on tulossa. Yritystoiminnan vauhdin on voinut huomata myös sähköpostilistalle ilmestyneistä mainoksista. Parin katkonaisen koronavuoden jälkeen olemme pääseet myös ihastumaan speksin huumaan, jonne teimme kulttuurimatkan helmikuun loppupuolella.
Opintoasioidenkaan suunnalla ei ole hiljaista,
sillä vuosi polkaistiin käyntiin suurella opinto- ja hyvinvointikyselyllä, jolla kartoitettiin laajasti opiskelijoidemme ajatuksia sekä opinnoista että ainejärjestömme tapahtumista, yhdenvertaisuudesta sekä erilaisista toiveista. Tämän siivittämänä pääsemme suunnittelemaan loppuvuotta entistäkin tarkemmalla otteella. Yhdenvertaisuustyö on yksi KTTO:n kantavista voimista, jonka toteutumista seuraamme hallituksessa tarkasti.
KTTO:n vuoden kruunaavat tietysti vuosijuhlat joiden loistosta päästään nauttimaan marraskuussa. Tuota ennen suunnitteilla on muun muassa merchin takaisintuomista, ainejärjestönauhoja, vauhdikasta vappua (ja tietysti jappua) sekä paljon mielenkiintoisia tapahtumia ja excursioita. Jäämme innolla seuraamaan mitä ideoita ja suunnitelmia tämä vuosi lopulta tuo tullessaan. Yksi asia on kuitenkin varmaa, istuva hallitus on valmiina haasteeseen ja vastaanottamaan kaikki esille tulevat ideat!
KTTO ry:n puheenjohtaja
Moikka! Me olemme Leo ja Otto, ja toimimme tänä vuonna opintovastaavina. Tehtävänämme on toimia ainejärjestön puolella yhteyshenkilöinä opiskelijoiden ja koulutusohjelman välillä sekä ennen kaikkea valvoa opiskelijoidemme etua opintojen saralla.
Perinteisesti opintovastaavien tärkeimpiä opintovastaavien vastuualueella tapahtuvia toistuvia tapahtumia ovat opintokahvit yhdessä opetushenkilökunnan kanssa sekä opintokysely, jolla kartoitetaan opiskelijoiden kokemuksia ja näkemyksiä.
Vuotemme on alkanut nopealla tahdilla, sillä saimme opintokyselyn ulos jo helmikuun alussa. Tänä vuonna kartoitimme kyselyllä myös opiskelijoiden hyvinvointia ja tarpeita muun muassa tapahtumille ja urheilutoiminnalle. Kyselyä laadittaessa teimmekin tiivistä yhteistyötä hallituksen muiden vastuualueiden kanssa.
Saimme opintokyselyyn yli 70 vastausta ja paljon näkökulmia ja ajatuksia, joiden kautta kehittää koulutusohjelmiamme ja järjestömme toimintaa – tästä kiitos jäsenistömme aktiiviselle osallistumiselle. Tätä kirjoittaessamme ei ole vielä selvää milloin, mutta aiomme välittää kyselyn tuloksia myös koulutusohjelmiemme johtoryhmille.
Tapahtumien osalta ajatuksenamme on pitää perinteiset opintokahvit sekä keväällä että syksyllä ja näin luoda matalan kynnyksen keskustelumahdollisuus opiskelijoiden ja henkilökunnan välille. Selvitämme myös mahdollisuuksia muiden opintoaiheisten tapahtumien järjestämiseen – tästä lisää, kun jotain kerrottavaa on!
Havaitessamme epäkohtia pyrimme myös tarttumaan niihin, jotta opiskelijoiden etu toteutuu mahdollisimman hyvin. Maaliskuun alussa esimerkiksi laadimme järjestömme kannanoton opiskelijoiden yhdenvertaisuuden tenttiviikolla vaarantaneista joukkoliikenteen lakoista.
Missä tahansa opintoihin liittyvässä asiassa tai epäkohdassa voit olla meihin yhteydessä matalalla kynnyksellä, niin katsotaan mitä asialle voidaan tehdä! Aurinkoista kevättä toivoen, Leo Turpeinen ja Otto Muurinen,
KTTO ry:n opintovastaavat 2023
Saavumme ajoissa Economicumille, jossa tapaamme pian Sanna Kurrosen, KTTO:n alumnin, Suomen Pankin ekonomistin sekä liberaalipuolueen eduskuntavaaliehdokkaan. Kurronen on suostunut Kapitaalin haastateltavaksi. Erityisen mielenkiintoiseksi haastattelun tekee Kurrosen asema: voitaneen väittää, että Kurronen on ollut viime vuosina julkisuudessa näkyvimpiä suomalaisia ekonomisteja, twiitaten kärkkäästikin ja suututtaen autoilijat sekä vähän kaikki muutkin kommenteillaan. Jää nähtäväksi, pystyykö asiantuntijataustasta siirtymään politiikkaan, vai jääkö Kurrosen ehdokkuus pelkäksi ehdokkuudeksi.
Kurronen aloittaa haastattelun kuvailemalla itseään ekonomistiksi niin ammatiltaan kuin sydämeltään. Olen kuullut satunnaisesti muidenkin ekonomistien käyttävän vastaavaa ilmaisua, enkä millään aiemmallakaan kerralla ole kehdannut kysyä täsmennystä tähän aforistiseen kuvaukseen, joten asia jää lukijakunnan mielikuvituksen varaan.
Kurronen myös yllättää haastattelijat pahanpäiväisesti kertomalla olevansa kokki. Paatuneena kulinaristina olisin valmistellut useamman kysymyksen tätä varten, ellei tämä tieto olisi mennyt minulta täysin ohi – onneksi ennätän kuitenkin kysyä lempikotiruokaa. Kuhaa meunière.
Sanna Kurronen
Syntynyt v. 1982
Kotipaikkakunta: Espoo
Valtiotieteiden tohtori
Perhe: Puoliso ja kolme lasta
Mistä tunnettu (IMDB:n mukaan):
- Hjallis - Lisää rahaa!
- A-studio
- A-talk
Teksti: Matti Mustonen & Tuomas Heikkinen
Tie Tapiolan lukiosta valtiotieteelliseen kävi lukion vapaavalintaisen taloustiedon kurssin kautta. Kurssi oli liian mielenkiintoinen, että siltä kehtaisi olla poissa. Toisin kuin ehkä muut kurssit, joiden oppitunneilta Kurronen oli monesti poissa kavereidensa kanssa torikahviossa.
Opiskeluajoilta Kurronen kertoo olleensa mukana KTTO:n hallituksessa ja olleensa muutenkin sosiaalisesti aktiivinen. Itse opinnot jäivät kuitenkin toiselle sijalle.
”Taloustiede oli tosi kiinnostavaa ennen kuin menin opiskelemaan, ja se oli tosi kiinnostavaa, kun menin työelämään, mutta täällä se helposti meni kaavan vääntämiseksi ja sitä Lagrangea vuodesta
toiseen. Ei se aina ollut niin inspiroivaa se itse opiskelu. Opiskelijaelämä oli toki kivaa.”
Tältä pohjalta kuulostaa yllättävältä, että Kurronen päätyi jatko-opintoihin. Taustalla on useamman tekijän summa, jonka ensimmäinen osa löytyy ensimmäisestä oman alan työpaikasta Suomen Pankin rahapolitiikka- ja tutkimusosastolta. Kurronen teki samalle osastolle hiljattain paluun. Suomen Pankissa esimiehenä toiminut Pekka Sutela edusti taloustieteellisen tutkimuksen politiikkarelevantimpaa puolta, joka tarjosi hyvää vastapainoa yliopiston teoreettisille opinnoille.
Tästä työpaikasta ajatus jatko-opintoihin kenties heräsi. Kurronen kuitenkin meni tämän jälkeen liikepankkiin töihin analyytikoksi muutamaksi vuodeksi. Suurin piirtein samassa ikäja työvaiheessa oli pari kollegaa, joista yksi hankki lapsen, toinen vaihtoi työpaikkaa ja jäljelle jäänyt Sanna Kurronen aloitti jatko-opinnot.
Kurronen ei kuitenkaan jättänyt työelämää, vaan aloitti jatko-opintojen tekemisen työn ohessa. Tätä hän pohjustaa sillä, että aikaa on paljon, jos ei ole perhettä, varsinkaan lapsia tai edes gradua kolkuttamassa takaraivossa vaan käy vain töissä. Työn ohessa jatko-opintojen tekemistä Kurronen ei sinänsä suosittele kenellekään, mutta opinnot siltijotenkin etenivät.
Itse jatko-opintoja Kurronen kyllä suosittelee nykyopiskelijoille, sillä se syventää osaamista, kun on lukenut ja tehnyt tutkimuksia enemmän sekä harjoitellut menetelmien käyttöä lisää.
Kurronen jatkoi uraansa rahoitussektorilla eri liikepankeissa pitkälti toistakymmentä vuotta. Halua oli hankkia muutakin kokemusta, mutta rahoitusalan ”kultaiset käsiraudat” kannustivat jäämään, kunnes Kurrosen puolison siirryttyä työelämään oli työpaikan vaihto mahdollinen.
Työt liikepankeissa erosivat ajatuspa-
jatyöstä EVA:lla ja Suomen Pankilla muun muassa julkisuuden kohdalla. Tai siis julkisuuden puutteen kohdalla. Kurrosella olisi ollut Venäjän talouden asiantuntijana paljonkin sanottavaa julkisuuteen esimerkiksi Venäjän miehitettyä Krimin. Asiakkaita ei kuitenkaan haluta suututtaa, joten ulostulojen on oltava hillittyjä.
”Harmittelin vuosi sitten sitä, että miksi en pitänyt enemmän meteliä siitä, miten vaarallinen Venäjä on. Sitten entinen pomoni Nordeasta Aki Kangasharju sanoi, että kyllähän sinä varoittelit, mutta pankinjohtajat soittelivat, että pitäkää se Sanna nyt hiljaa. Se helpotti.”
Ajatuspajatyö Elinkeinoelämän valtuuskunnassa oli taas hyvin vapaata, mikä näkyi ja kuului. EVAn ekonomistina Kurronen tuli tunnetuksi kärkkäistä twiiteistään, jotka toivat hänet valtakunnan näkyvimpien ekonomistien joukkoon. Suomen Pankissa julkisuuteen puhuminen on ollut rajatumpaa kuin EVAlla, mutta sisäisesti vapaus tehdä tutkimusta taas on hyvin laaja.
“EVAn ekonomistina Kurronen tuli tunnetuksi kärkkäistä twiiteistään, jotka toivat hänet valtakunnan näkyvimpien ekonomistien joukkoon.”
Omaa poliittista kotiaan Kurrosen on ollut vaikea löytää jo pitkään. Hänen mukaansa hyviä ehdokkaita löytyy kyllä monista puolueista, mutta hänen arvojansa edustavaa puoluetta ei ole löytynyt. Liberaalipuoluetta hän on satunnaisesti aiemmin äänestänyt, kun ei ole keksinyt mitään ”järkevää” äänestettävää. Muutos tilanteeseen tuli liberaalipuolueen Leikattavaa löytyy -kampanjan seurauksena: Kurronen pitää kampanjaa hienona ja nerokkaana ideana, vaikkakin myöntää sen sisältävän myös mokia. Hänestä kampanja ei kuitenkaan saanut tarpeeksi huomiota - ainakaan verrattuna valtapuolueiden vaihtoehtobudjetteihin, jotka Kurronen kokee pinnallisiksi.
”Sitten vaan ajattelin, että hitto, kai se on pakko itse ruveta melskaamaan tämän asian puolesta.”
Erääksi syyksi eduskuntavaaliehdokkuudelle nousee myös talven ja kevään aikana kuumana käynyt keskustelu sähkömarkkinoista. Kurrosesta tuntui, että tässä maassa ei ole yhtäkään puoluetta, joka puolustaisi markkinataloutta. Eniten yllätti kokoomuksen markkinataloussiipi, joka loisti poissaolollaan keskustelusta.
Kurrosen mielestä sähkömarkkinat pitäisi pitää etenkin tiukassa paikassa ilman hintakattoa, jotta ei tulisi sähkökatkoja. Tilanteesta eniten kärsiviä, esimerkiksi sähkölämmittäjiä, Kurronen olisi tukenut suorilla tuilla verovähennysmuodossa.
Haastattelumme jatkuu keskusteluun suomalaisen yhteiskunnan saavutetuista eduista. Muun muassa ajatuksen asuntolainan korkovähennyksen palauttamisesta Kurronen tyrmää täysin.
”Harvinaisen typerä idea. Ei ole mitään syytä tukea erityisesti omistusasujia, jotka nyt jo hyötyvät edullisemmasta asumisesta.”
Mistä leikattavaa sitten löytyy? Kurrosen mukaan budjetissa on paljonkin löysää: järjestötuissa, yritystuissa ja aluetuissa on kaikissa paljon parin miljoonan eriä, joita on saatu milloin mihinkin tarkoitukseen. Konkreettisena esimerkkinä hän antaa kotitalousneuvonnan, jonka toimen on hänen mukaansa esimerkiksi iltapäivälehdistö ottanut vinkkijutuillaan ja tiskirättivertailuillaan.
Korkeakoulupolitiikasta puhuttaessa Kurrosen mielestä ensiarvoista on saada lisää opiskelupaikkoja: pienenä maana Suomi tarvitsee mahdollisimman korkean tuottavuuden työpaikkoja, joihin korkeakoulutus on usein edellytys. Uusien paikkojen rahoittamiseksi hän ei pidä maltillisia lukukausimaksuja huonona ideana. Lisäetuna maltilliset lukukausimaksut ohjaisivat opiskelijoita aloille, joilla on hyvät työnäkymät.
Takaporttina pitäisi Kurrosen mielestä kuitenkin olla lainojen anteeksi antaminen Vesa Vihriälän esitysten mukaisesti, jos esimerkiksi sairastuu tai ei muuten pääse työelämään kiinni.
”Ajatellaan nyt vaan jotain lääkäreitä, niin ehkä he voivat niistä opinnoistaan muutaman tonnin maksaakin.”
Uudet opiskelupaikat tulisi Kurrosen mukaan sijoittaa Uudellemaalle, vaikka hän pitääkin tärkeänä sitä, että korkeakouluja on ympäri Suomea. Syyksi hän antaa liian vähäisen kaupungistumisen, jonka seurauksena osaajat ovat hajallaan eikä tuottavuuden kannalta olennaisia asiantuntijakeskittymiä synny.
Vihreän siirtymän kannalta Kurrosen mielestä olennaista on hiilen hinnoittelun lisäämisen ohella muun muassa maatalouden nykyisen tukijärjestelmän uudistaminen. Hän nostaa esiin etenkin maataloustukien perusteiden muuttamisen pinta-alasta tuotantomääriin ja arvostelee lihantuotannolle jaettavia kaksinkertaisia tukia, kun sekä rehujen kasvatusta että itse lihantuotantoa tuetaan erikseen.
Poliittisten kantojen lisäksi haastattelun aikana paljastuu Sanna Kurrosesta hyvin eri puoli kuin kaukaa median kautta luettuna. Itse olin aina olettanut Kurrosen todellista kipakammaksi ja ärhäkämmäksi, mutta Twitter ei taaskaan vastannut todellisuutta. Toisaalta ehkä mediakuvan perusteel-
la ei muutenkaan pitäisi ikinä tehdä suurempia oletuksia toisesta. Pääsemme haastattelijoina myös harvinaisen lähelle lapsiperhearkea, kun Kurrosen lapsi soittaa kysyäkseen jotain. Puhelu on lyhyt ja tuo mieleeni omat lapsuusmuistoni, kun olen soitellut vanhemmilleni kesken työpäivän — milloin minkäkin elintärkeän asian kanssa.
Kokonaisuutena Sanna Kurrosta voi pitää varsin tyypillisenä ekonomistiehdokkaana: hän puhuu turhien menojen leikkauksista, koulutustason nostosta, vihreästä siirtymästä sekä kertoo varsin suoraan, mitä muuttaisi yhteiskunnassa saadakseen aikaan haluamiansa asioita. Raikas ote politiikkaan, oli keinoista tai tavoitteista
Essee Marko Suomalainen
myös ensimmäisiä eduskuntapaikkojaan tavoitteleva liberaalipuolue. Viskipuolueena toimintansa vuonna 2014 aloittanut
lituksen politiikkaa laajempaan kokonai suuteen: valtioon ja sen rooliin itseensä.
Mittava leikkauslista on seurausta valtion roolin uudelleenmäärittelystä. Puolueen mukaan valtion ainoaksi tehtäväksi tulee asettaa kansalaistensa perusoikeuksien turvaaminen. Perusoikeuksiksi luettaisiin puolueen mukaan muun muassa maanpuolustus, sisäinen turvallisuus, terveydenhoito sekä sosiaaliturva. Valtion ylittäessä perusoikeuksien turvaamisen sfäärin, tulee se vääristäneeksi markkinoiden toimintaa. Ajattelu seuraa neoklassisen taloustieteen logiikkaa – talous palvelee yhteiskuntaa parhaiten silloin, kun sen annetaan toimia mahdollisimman vapaana. Annetaan tehdä.
Valtion harjoittaman ”markkinahäiriköinnin” kitkeminen on liberaalin leikkaajan kultasuoni. Merkittävin muutos vaihtoehtobudjetin menopuolella onkin valtion tukijärjestelmän purkaminen. Liberaalipuolue luopuu budjetissaan tyystin niin yritys-, alue- kuin maataloustuista. Liikenne- ja viestintäministeriön budjetista poistuisi muun muassa julkisen liikenteen kehittämiseen varatut määrärahat. Myös Yleisradion budjetista leikattaisiin lähes 80 %. Taiteeseen, kulttuuriin ja liikuntaan kohdistettuja tukia leikattaisiin 1,4 miljardilla eurolla.
Nykyisenlaisesta opintotuesta jäljelle jäisi ainoastaan opintolainan valtiontakausmekanismi opintorahan, asumislisän ja ateriatuen poistuessa. Sosiaaliturva uudistettaisiin perustulomalliksi, johon myös opintotuen supistamisesta seuranneet säästöt keskitettäisiin. YTHS:n valtionrahoitus lakkautettaisiin kokonaisuudessaan, mikä tietäisi säätiön loppua.
Liberaalipuolueen vaihtoehtobudjetti sortuu idealistisuudessaan välitilaan, jossa se nojaa linjauksissaan liialti taloustieteelliseen teoriaan kuitenkin kykenemättä riittävän kauaskatseiseen ja kokonaisvaltaiseen analyysiin.
Tilastotieteilijä George Box julisti tunnetusti jo 1970-luvulla kaikkien mallien olevan vääriä. Todellisuus, kaikkine monimutkaisuuksineen, on lopulta aina niiden ulottumattomissa, ja yhteiskunta lienee mallinnuskohteista se haastavin.
Jos asettaa tavoitteekseen yhteiskunnan toiminnan ymmärtämisen, ja rajaa näkökulmansa konventionaalisen taloustieteeseen, tulee ampuneeksi itseään lähetyspistoolilla jalkaan kuitenkin jo ennen lähtöviivalle asettumista. Muuttujien loputon määrä tekee vaihtoehtoisen tapahtumakulun, tässä tapauksessa valtion uudenlaisen järjestämisen, vaikutusten tarkan arvioinnin kussakin hetkessä mielettömäksi. Taloustieteen tehtävä ei ole toden kertominen vaan käyttökelpoisuus rajatussa kontekstissa, ylimääräisiltä tekijöiltä siivotussa tilassa. Taloustieteestä on moneksi, muttei vaaliohjelmaksi.
Solmu kiristyy, mikäli talousteoriaa soveltaa vain siinä määrin, missä se puoltaa mieleistä ideologiaa. Liberaalipuolueen vaihtoehto budjetissa leikkauksia toteutetaan ikään kuin laput silmillä. Katse tuntuu olevan supistetun valtion kiiltokuvassa niin tiu kasti, että useamman karsitun momentti kokonaisuuden kohdalla ulkoisvaikutusten arviointi tuntuu unohtuneen. Tätä mieltä on muun muassa Ylen haastattelema asiantun tija Aki Kangasharju, jonka mukaan yritystu kien täydellinen poistaminen on esimerkki päätöksestä, jota vastaan olemassa oleva tutkimus puhuu yksiselitteisesti.
On kuitenkin helppo nähdä suomalaisessa puoluekentässä olevan tilaa liberaalipuo lueelle. Tämän osoittaa Ylen tuore kanna tusmittaus, jossa liberaalipuolueen suosioksi arvioidaan noin 1,1 %. Kannatusta löytynee erityisesti Helsingistä ja Uudeltamaalta, joissa liberaalit havittelevat niin haparoivan kokoomuksen kuin myös Liike Nytin äänes täjiä. Jälkimmäisen kannatuksen Ylen kanna tusmittaus arvioi olevan 1,5 %.
Viimeaikaisen nosteen myötä liberaalien murtautuminen eduskuntaan täytyy näh dä vähintään mahdollisena. Puolue itse on täynnä uskoa ja vallankumouksellista hen keä, ja puheenjohtaja Lassi Kivinen ehti sovi tella Rahapodi-podcastin vieraana ollessaan lennokkaasti ylleen jopa hallituksen hanke veturin viittaa.
Kolme Suurta – kokoomus, SDP ja perus suomalaiset – ovat vaalien alla historiallisen lähellä toisiaan. Virhemarginaalin sisällä operoitaessa jopa yksittäiset äänet saattavat liikuttaa vallan puntaria ratkaisevasti. Nähtäväksi jää kuinka käy kokoomuksen jo niin varmalta näyttäneen
vaalivoiton, kun liberaalien ryöstöretken lopullinen saalis selviää vaalipäivänä. Onpahan jännitettävää!
Kuvat: Elli Lehto Kysymykset: Juho Junttila
“Oon Emilia, kandin parissa satunnaisesti ahkeroiva hallituksen tämän vuoden puheenjohtaja. Monet tavoitteeni (kuten näkyvyyden lisääminen yrityksille taikka kulttuuritoiminnan elvyttäminen) liittyvät vahvasti muihin pesteihin. Henkilökohtaisena tavoitteenani on hallituslaisten hyvinvoinnin vahvistaminen sekä toiminnan mielekkyyden jatkaminen.”
1. Vuosijuhlavastaavan roolissa lupailit vuosijuhlille erään makrotaloustietelijän jääveistosta. Tätä ei koskaan tapahtunut. Kuinka KTTO:n jäsenet voivat luottaa teihin johtajana?
Tämä on myönnettävästi viime vuoden suurin tappioni. Laskin kuitenkin vuosijuhlien alla jääveistoksen mahdollisia kustannuksia (materiaalit, veistäjä, malli, säilytys, kuljetus…) ja tulin lopulta siihen tulokseen, ettei jääveistos ollut kyseisessä ajankohdassa ainejärjestöllemme taloudellisesti järkevä ratkaisu. Ajattelisin itse tämän siis jopa lisäävän luottamusta johtoon.
2.
Paras oppimiskokemus liittynee johonkin tiedekulman alakerrassa koetuista älynväläyksistä. Opiskelijakokemuksista yksi parhaista oli viime vuoden vujut (jääveistoksen puuttumisesta huolimatta).
Taloudenhoitaja: Ella Häsä
“Olen Ella, 2. vuoden opiskelija ja hallituslainen. Tänä vuonna vastaan KTTO:n rahaliikenteestä. Suurin tavoitteeni on saada uutta KTTO-merchiä jäsenistölle vappuun mennessä. Tehtävää on hankaloittanut erityisesti jokakeväinen “Vaihdetaan KTTO:n logo!”-ilmiö.”
1. Kuinka KTTO on varautunut lähestyvään lamaan?
Tarvitaanko toimintaa elvyttäviä toimenpiteitä?
2. KTTO:n varallisuutta on likvidoitu (lue liquidoitu) ankarasti rahan arvon alenemisen pelossa. Kuten kaikki tiedämme, jalojuoman arvo vain kasvaa sen vanhetessa. Ei siis syytä huoleen. Miksi opintolainasta pitää nykyään maksaa korkoa?
Koska kaikki hyvä loppuu aikanaan.
3. Jos kirjoittaisit kirjan, mistä se kertoisi?
Kirjoittaisin todennäköisesti jonkinlaisen self help -kirjan aiheesta kuinka selvitä matematiikan kurssien aiheuttamasta ahdingosta, sitten jos joskus selviän siitä.
Olen Henna, kolmannen vuoden opiskelija ja toimin tänä vuonna varapuheenjohtajana. Tehtäviini kuuluu vuosijuhlien järjestämisen lisäksi olla perillä kaikesta ja auttaa muita hallituksen jäseniä parhaani mukaan. Suurimpia tavoitteitani tänä vuonna on järjestää mieleenpainuvat vuosijuhlat, lisätä yhteistyötä muiden ainejärjestöjen kanssa ja huolehtia hallituksen ryhmäytymisestä sekä virkistäytymisestä.
1. Äidillä oli kaksi lasta. Toinen lähti merille, toinen varapuheenjohtajaksi. Kummastakaan ei koskaan kuultu uudestaan.
Varapuheenjohtaja ei ole hallituksen näkyvin rooli. Kuten käytännössä kaikkiin muihinkin pesteihin, niin myös VPJ:n rooliin kuuluu paljon taustatyötä, joka ei suoraan välity ulkopuolelle. Onkin hyvä muistaa, että hallitustoiminnassa tärkeintä on läheinen yhteistyö muiden toimijoiden kanssa, avun pyytäminen ja sen saaminen sekä vastuun jakaminen. VPJ:nä pääsen olemaan kokonaisvaltaisesti koko hallituksen toiminnassa mukana ja auttamaan eri vastuuhenkilöitä parhaani mukaan. Roolista saa kuitenkin tehdä omannäköisensä, ja tänä vuonna tehtäviini sisältyykin vuosijuhlien järjestäminen, joten eiköhän minustakin vuoden aikana kuulla :)
2. Irrationaalisin käyttäytymiseni?
Monelle opiskelijalle on tuttua opiskelun välttely ja tapojahan on monia, kuten siivoaminen tai Netflixin katsominen. Itselleen tyypillisin tapa on soitella pahimmassakin tenttipaniikissa FaceTimeja ystävilleni, vaikka todellakin pitäisi opiskella. Puhelut kestävät usein tunteja ja lähes koko puhelun ajan puhun siitä, kuinka söpö koirani on. Toisaalta tässä ei ole mitään irrationaalista, sillä Sulo (KTTO:n virallinen maskotti) on best <3
Opintosihteeri: Otto Muurinen
“Otto, oon opintovastaava. Puuhastelen opintojen parissa ja vapaa-ajan käytän töitä tekemällä. Pallottelen aika paljon erilaisia opintoihin liittyviä ideoita ja suurimpana tavoitteena mulla ois edistellä niitä.”
1. Huhujen mukaan olet niin kutsuttu matikkagrinderi. Kuinka puolustaudut?
Nooh. Tokihan asiaa voi tarkastella monelta kannalta, mikäli tarkastelu on millään tasolla ylipäänsä edes kenenkään mielestä mielekästä. Ennen kaikkeahan asiat ovat tässäkin tapauksessa jossakin määrin suhteellisia – voisi kenties sanoa: kauneus on katsojan silmässä. Riippuu toki mitä pitää kauniina. Sortumatta liikaan tai liian vähään pleonastisuuteen sanoisin asian olevan hyvin joko niin tai näin, jos ollenkaan. Tarvitseeko puolustautua?
2. Jos kirjoittaisit kirjan, mistä se kertoisi?
Jos todella päätyisin kirjoittamaan kirjaa, syntyisi kynästäni takuuvarmasti muistelmateos. Luulen, että tekstini olisi hyvin hyvin polveilevaa – en usko että teostani lukisi kukaan. Tuskin jaksaisin itsekään oikolukea sitä.
Opintosihteeri: Leo Turpeinen
“Nimi on Leo, fuksi ja toinen opintovastaavista, virallisin termein “opintosihteeri”. Hallituksessa suurin tavoite on tehdä parhaani opiskelijoiden eteen, muuta en uskalla luvata. “
1. Mikä on mielestäsi Helsingin Yliopiston 2021-2030 strategian heikoin lenkki ja kuinka parantaisit sitä?
Mielestäni strategia on itsessään varsin hyvä ja sisältää paljon tavoiteltavia asioita, joihin tulee pyrkiä. Suurin ongelmakohta liittyy tavoitteiden toteutumisen seuraamiseen. Asioiden todetaan vuonna 2030 olevan “paremmin”, kuitenkaan määrittelemättä lähtötasoa tai päämäärää mitattavilla asioilla. Esimerkiksi “hyvinvointi on parantanut” on hyvä tavoite, mutta sen onnistuminen on vaikeasti määriteltävissä ilman esimerkkejä. Lisäisin strategiaan käytännön esimerkkejä, joilla strategian tavoitteiden onnistuminen voitaisiin todentaa.
2. Irrationaalisin käyttäytymisesi?
Ennen treeniä vedän sen Noccon tietäen, että kofeiini ei sovi mulle. Lopputuloksena järjetön treeni ja sitä seuraava huono olo.
Yrityssuhdevastaava: Ville Lyijynen
“Olen Ville Lyijynen, kolmannen vuoden opiskelija ja toimin hallituksessa yrityssuhdevastaavana. Suurin tavoitteeni tälle vuodelle on solmia hyviä sopimuksia yritysten kanssa ja kerätä enemmän rahaa KTTO:n käyttöön, kuin mitä aikaisempien vuoden yrpät ovat saaneet kasaan. Toinen iso tavoite on järjestää mielenkiintoisia ja hauskoja excuja.”
1. Mitä taloustieteilijät oikein tekevät?
Taloustieteilijät tekevät työelämässä monenlaisia erilaisia tehtäviä. Näitä voi olla esimerkiksi erilaiset analyytikko ja asiantuntijatehtävät sekä julkisella että yksityisellä sektorilla. Taloustieteilijällä voidaan toki tarkoittaa myös ekonomistia eli yhtä yleistä työtehtävää, johon taloustieteestä voi työllistyä, jolloin työ saattaa olla enemmän makrotalouspainotteista näkemyksen antamista.
2. Merkittävä osa KTTO:n jäsenistä työllistyy julkiselle sektorille. Mihin tarvitsemme kahta yritysvastaavaa?
Tarkempi termi pestille taitaa olla yrityssuhde- ja työelämävastaava, ja olemme yhtä lailla julkisen puolen työnantajiin yhteydessä. Tänäkin vuonna KTTO:lla on kaksi yrppää, sillä pesti vaatii aika paljon aikaa ja vaivaa, mikäli siinä haluaa onnistua hyvin. Tämän takia tehtävää on parempi hoitaa työparin kanssa.
3. Mielipiteesi uudesta rahateoriasta? (MMT)
Hauskaa, että koronan aikoihin suuren elvytyksen aikana osa ihmisistä aidosti uskoi tähän. Kieltämättä hienoa olisi, jos maailma näin toimisi, mutta nykyinen inflaatio varmasti on osoittanut, että MMT ei käytännössä toimi.
“Olen Ivan Samurov, ensimmäisen vuoden opiskelija, ja toimin tänä vuonna yrityssuhde -ja työelämävastaavana. Vaikka tämä onkin ensimmäinen vuoteni, niin tavoitteena olisi mielenkiintoisten excujen järjestäminen ja nykyisten sekä uusien yrityssuhteiden sujuva hoitaminen.”
1. Mihin taloustieteestä työllistyy?
Taloustieteestä voi työllistyä monenlaisiin tehtäviin. Meidän matemaattisesti painotteinen koulutus antaa erinomaiset analyyttiset työkalut työelämään, minkä takia pystymme erottumaan työmarkkinoilla. Suurimpia työllistäjiä meidän alallamme ovat kaikenlaiset rahoituslaitokset, pankit sekä julkisen puolen organisaatiot. Tavoitteenani tänä vuonna on pitää vuoden exculista mahdollisimman monipuolisena, jolloin erilaiset työllistäjät tulevat opiskelijoille hyvin näkyviin.
2. Sähköpostiviesteissäsi lähettäjänä on vain “Ivan.” Uskotko saavuttaneesi KTTO:n keskuudessa Princeen tai Cheriin verrattavan kuuluisuuden tason, jolloin sukunimiä ei enää tarvita?
Pettymykseksenne, olen vain laiska…
3. Irrationaalisin käyttäytymisesi?
Ostan limsapullon olettaen, ettei se maksa yhtä paljon kuin UniCafen lounas.
“Oon Elli, toisen vuoden opiskelija ja oon tän vuoden hallituksessa viestintävastaavana. Mun duuniin kuuluu KTTO:n sometilien ylläpito, sisällöntuotanto, Canvan kanssa kikkailu, sähköpostilistojen moderoiminen sekä nettisivujen ylläpito ja muokkaaminen. Mun suurin tavoite tälle vuodelle hallituksessa mun oman vastuualueen suhteen on se, että KTTO:n someihin tuotettu sisältö olisi opiskelijaystävällisempää ja innostais ihmisiä osallistumaan tapahtumiin. Haluisin tehdä KTTO:n somesisällöstä rentoa ja hauskaa, mutta samalla informatiivista ja helposti lähestyttävää. Jos tykkää yhtään luovista jutuista tai on visuaalista silmää niin suosittelen vahvasti tätä hallituspestiä!”
1. Kuinka olet valmistautunut mahdollisiin Ransomware-uhkiin?
KTTO:lla on kyllä vahvat salasanat käytössä, eli ei siis huolta! Kyber turvallisuus otetaan meillä vakavasti :)
2. Suosikki tieteentekijäsi/taloustietelijä?
Sanoisin Kate Raworth!
“Olen Pyry, ensimmäisen vuoden taloustieteen opiskelija ja toimin KTTO:n tapahtumavastaavana. Suurin tavoitteeni on ehkä saada tehtyä jokaisesta KTTO:n tapahtumasta hyvä ja onnistunut. Toimeenkuvani on suunnitella, budjetoida sekä ennen kaikkea toteuttaa kaikki tapahtumat yhdessä tapahtumatiimin kanssa. Pyrin siihen, että vuoden aikana kaikille löytyy mieluisia tapahtumia, joihin mahdollisimman moni osallistuisi. Suosittelen tätä tapahtumapestiä kaikille, jotka ovat kiinnostuneita tapahtumien toteuttamisesta ja suunnittelusta, mutta mikäli haluaa hieman kevyemmän pestin ja ilman vastuuta, suosittelen ehdottomasti tapahtumatiimiin liittymistä. “
1. Onko tiimissänne enemmän duoa vai sooloa?
Ehdottomasti tiimipeliä vaatii tapahtumien suunnittelu.
2. Paras oppimiskokemus tai paras opiskelijakokemus?
Luonnollisesti tapahtumavastaavan paras opiskelijakokemus on ei KTTO:n järjestämä tapahtuma eli Turun aurasoudut syksyllä, jonne mentiin Pykälän bussissa. P.S. Huhu kertoo, että ensisyksynä järjestetään Aurasoutuihin ja mahdollisesti kirkkovenesoutukisaan yhteislähtö Pykälän kanssa.
“Olen Niko, ensimmäisen vuoden opiskelija ja KTTO:n lukio- ja kulttuurivastaava tänä vuonna. Toisin sanoen varmistan, että meille tulee uusia opiskelijoita myös ensi syksynä, ja luon vastapainoa perinteisille opiskelijariennoille kulttuurin keinoin. Suurin toiveeni ja tavoitteeni on tarjota mahdollisimman monelle opiskelijalle kokemuksia, jotka muistaa vielä seuraavana aamunakin!”
1. Voiko lukiolaisten huomiota tavoittaa muilla keinoin kuin TikTok-tanssien muodossa?
Uskon vankasti voivamme, tarvitaan vain oikeanlaista sisältöä! Tosin Facebookista voisi olla aika siirtyä kohti nuorisolaisempaa alustaa, jota aidosti käytetään.
2. Tarvitseeko maailma lisää ekonomisteja?
Katsoessamme nykyisten ekonomistien työllistymistä voinemme sanoa, että ekonomisteille on ainakin tällä hetkellä kysyntää runsaamman puoleisesti. Toivon mukaan näin on myös tulevaisuudessa, sillä valitaanhan ohjelmaamme joka vuosi enemmän ja enemmän
“Olen Lasse, toisen vuoden opiskelija ja hallituksen yhdenvertaisuus-, ympäristö-, sekä tutorvastaava. Pestien tehtävät ovat hyvin erilaisia; huolehdin esimerkiksi siitä, että jokaisella on turvallinen olo ainejärjestössämme ja varmistan, että järjestö toimii ympäristöystävällisesti. Suurin tavoitteeni on edistää yhdenvertaisuuden toteutumista, jotta kaikille olisi mieluisaa osallistua järjestömme toimintaan.”
Harteillesi on kasattu kolme laajaa ja merkittävää vastuualuetta. Mikä näistä on tärkein?
Vaikka kaikki kolme pestiä ovatkin hyvin tärkeitä omalla tavallaan, näen kuitenkin tärkeimpänä yhdenvertaisuusvastaavan homman. Mielestäni on tärkeää, että kaikkien pitäisi pystyä osallistumaan järjestömme toimintaan ja tapahtumiin, sekä pitää hauskaa ja olla samalla oma itsensä. Haluan olla varmistamassa, että kaikilla jäsenillä on hyvä fiilis ja että kukaan ei koe oloaan turvattomaksi.
Stockpicking vai indeksi?
Stockpicking roikkuu hengityskoneessa. Tilastojen mukaan 75% tiettyyn osakkeeseen keskittyneistä osakkeenomistajista hyötyisi hajauttamisesta ja kun tarkastellaan Russell 3000:n synnyttämää dataa vuosilta 1980-2020, huomataan, kuinka jopa 40% osakkeista kokee jossain vaiheessa katastrofaalisen laskun, mistä ne eivät ikinä toivu. S&P Dow Jonesin mukaan sijoittajat ovat säästäneet yli 400 miljardia dollaria palkkioissa indeksirahastojen kautta viimeisen neljännesvuosisadan aikana. Sijoittaminen esimerkiksi FTSE 100- tai S&P 500 -indeksiin on järkevämpää, vaikka jälkimmäinenkin tosin droppasi 19% viime vuonna.
Urheiluvastaava: Kristian Ostanin
“Olen Kristian (Krisu), toisen vuoden opiskelija ja vastaan tällä hallituskaudella KTTO:n urheilutoiminnasta. Suurin tavoitteeni on saada aikaan urheilutapahtumia, joihin löytyy kysyntää KTTO:n sisällä. Pidän myös tärkeänä luoda suurempaa yhteistyötä muiden ainejärjestöjen kanssa erityisesti urheilutoiminnassa. Urheilun myötä ylläpidetään yhteishenkeä KTTO:lla, sekä luodaan ystävyyttä muihin ainejärjestöihin”
1. Kuka on KTTO:n kovin urheilija ja miksi?
Hmm… hyvä kysymys. Täytyypä järjestää KTTO:n jäsenille kuntotesti, niin voisimme selvittää, kuka on kovin urheilija. Uskon, että paras ajankohta tälle olisi 2. toukokuuta, kun jäsenet ovat silloin parhaim
“Olen Ella, ensimmäisen vuoden opiskelija, ja toimin hallituksessa alumni- ja hyvinvointivastaavana. Suurin tavoitteeni tälle vuodelle on verkostoitua alumnien kanssa.”
1. Mikä toimi parantaisi KTTO:n jäsenten hyvinvointia välittömästi?
“Jäsenten hyvinvointia parantaisi yhteenkuuluvuuden lisääminen. Yhteenkuuluvuutta voitaisiin lisätä luomalla Economicumille opiskelijoiden avoimeen käyttöön tarkoitettu työtila.”
Toimituksen kommentti: Tällainen työtila löytyy Economicumin kolmannesta kerroksesta. Se on niin kutsuttu Akvaario.
“Olen Anton, toisen vuoden opiskelija. Tänä vuonna toimin hallituksessa sihteerinä, eli tärkein tehtäväni on muistaa saapua kokouksiin ja laatia niiden pöytäkirjat. Tärkein tavoitteeni on omalla työpanoksellani tukea muita hallituslaisia, jotta voimme järjestää monenlaisia mielenkiintoisia tapahtumia.”
1. Sihteeri ja taloudenhoitaja ovat hallituksen byrokraatteja, jotka taustalla vastaavat toiminnan sujuvuudesta ja käytännön järjestelyistä. Miltä tämä valta-asema tuntuu, ja muodostuuko näistä toimista KTTO:n “Deep state”?
Pöytäkirjojen sanamuotoja muuttamalla ei hirveästi vaikuteta järjestön toimintaan. En siis yhdy siihen näkemykseen, että sihteerille olisi suotu jotakin epävirallista valtaa hallituksessa. Jos jotakin hallituksen sisäistä “deep statea” etsitään, kannattaa katseet suunnata Kapitaalin päätoimittajia kohti. Hehän päättävät – ilman muun hallituksen valvontaa – siitä, minkälaista sisältöä jäsenistömme lukee…
2. Tarvitseeko maailma lisää ekonomisteja?
Ei minkään alan asiantuntijoita kai tarvita loputtomasti, mutta toivottavasti ekonomisteille ainakin olisi kysyntää vielä vuonna 2026, jolloin suunnittelen valmistuvani.
harjoittelijan paikkaa, sillä minua kiehtoo ajatus siististä sisätyöstä sekä työelämäkurssin hyväksilukemisesta. Sopisin yhteisöönne, sillä olen itsenäinen tiimipelaaja, joka pystyy kantamaan vastuun niin kahvinkeitosta kuin keskeisten raporttien valmistelusta päätöksenteon tueksi. Vahvuuksiini kuuluvat muun muassa adjektiivit, joita työnhakuilmoitukseen on listattu. Tämän lisäksi uskon oppivani edellyttämänne ohjelmistot ja menetelmät ennen työhaastattelun alkua, ja voin siksi väittää hallitsevani ne.
Aikaisempi työkokemukseni on opettanut minulle useita erilaisia taitoja, jotka sattumoisin sopivat teidän työpaikkanne lisäksi kaikkiin muihin hakukohteisiini. Tämä virke antaa konkreettisia esimerkkejä näistä taidoista, sillä jokainen kirjoitusopas niin vaatii. Seuraavaksi kuvailen suorittamiani kursseja, joiden nimien uskon liittyvän työnkuvaan. Toivon, että ette kysy näistä tätä enempää, sillä muistan hädin tuskin, mitä opin viime viikolla – puhumattakaan sisällöistä, joita silmäilin viimeksi vuosi sitten.
Arvoni peilaavat samoja teemoja, joita verkkosivunne esittelevät. Siksi sopisin teille töihin. Käytän suurimman osan vapaa-ajastani eri kokoisten ruutujen edessä, mutta se ei ole sosiaalisesti hyväksyttävä harrastus. Siksi mainitsen lyhyesti pitäväni urheilusta, ulkoilusta ja lukemisesta.
Pidän myös erittäin erikoisena sitä, että harjoittelijatason paikkanne edellyttää aikaisempaa kokemusta alalta, mutta maksaa palkkaa, joka hädin tuskin ylittää Kelan työssäoloehdon. Työantajana olette silti mielekkäämpi vaihtoehto kuin työpaikat, joissa tehtävän palkkataso on tarkkaan varjeltu salaisuus. Luonnollisesti minulla ei ole varaa olla nirso, joten haen jokaiseen avoimeen tehtävään jonka löydän. Tästä huolimatta vakuutan, että juuri teidän kesätyöpaikkanne on se, johon haluaisin päästä.
Ystävällisin terveisin, Pääomainen
Teksti: Tuomas Heikkinen
kuljetaan ajassa taaksepäin 15 tai 20 vuotta, näyttää Suomen poliittinen kenttä yllättävän erilaiselta. Vuosituhannen alussa suomalaisen politiikan keskeisin ongelma ei ollut niinkään kasvava polarisaatio, vaan sen täysi vastakohta: puolueet tuntuivat samanlaisilta – liian samanlaisilta. Kylmän sodan päättyminen ja ”historian loppu” 90-luvulla olivat saattaneet vasemmistoleirin kriisiin Suomessa ja muualla. Samalla perinteinen vasemmisto-oikeisto-vastakkainasettelu lieveni, kun sosiaalidemokraatit omaksuivat kasvavissa määrin markkinamyönteistä politiikkaa. Vaikutti siltä, että globalisoituvassa maailmassa ainoa hyväksyttävä politiikka oli EU-myönteistä ja sopivan markkinaliberaalia.
Valtapuolueiden lähentyminen 2000-luvulla voidaankin nähdä politiikan ”suurten kertomusten” kuolemana. Vaikka puolueiden välillä oli edelleen selviä ideologisia ja käytännön eroja, politiikkaa hallitsi yksi ja sama metakertomus – usko globalisaation, kansainvälisen yhteistyön ja markkinatalouden tuomiin hyötyihin. Monenlaiset hallitusyhdistelmät olivat mahdollisia, ja valtapuolueet olivat kaikki jossain määrin samaa mieltä politiikan isoista linjoista, kuten EU-yhteistyön mielek kyydestä. Palataan kuitenkin nykyhetkeen, ja tilanne näyttää varsin erilaiselta. Polarisaatio
on monien mittarien mukaan lisääntynyt, ja modernia politiikkaa repivät erimielisyydet niin arvo-, talous- kuin ilmastoasioista. Varsinkin talouspoliittiset jakolinjat ovat korostuneet viime kuukausina, kun puolueet ovat tarjonneet omia ratkaisujaan energiakriisiin ja valtion velkaantumiseen. Eduskuntavaalien tärkeimmäksi aiheeksi näyttääkin nousevan julkisen talouden sopeuttaminen. Jokainen puolue tuntuu hyväksyvän sopeutustoimien tarpeen, mutta keinoista vallitsee erimielisyyttä: Siinä missä kokoomuksen vaaliohjelma suosii mittavia leikkauksia, SDP laskee veronkorotusten ja talouskasvun varaan. Perussuomalaiset vaatii ilmastohaihattelun hylkäämistä, kun taas vasemmistoliitto verottaisi miljonäärejä. Ehkä suuret kertomukset eivät sittenkään kuolleet – ainakaan vielä.
Kapitaali perehtyi asiaan ja selvitti, minkälaista suurta kertomusta kukin puolue sepittää valtiontaloudesta. Tarkastelu rajattiin viimeaikaisten kyselyjen perusteella kuuteen kannatukseltaan suurimpaan puolueeseen –kokoomus, SDP, perussuomalaiset, keskusta, vasemmistoliitto ja vihreät. Artikkelin pääpaino on etenkin kolmen suurimman puolueen
“Vaikutti siltä, että globalisoituvassa maailmassa ainoa hyväksyttävä politiikka oli EU-myönteistä ja sopivan markkinaliberaalia.”
Aloitetaan yleiskatsauksella puolueiden vaaliohjelmiin. Oheinen taulukko kuvaa puolueiden esittämiä sopeutustavoitteita seuraavalla vaalikaudelle. Luvut on saatu puolueiden vaaliohjelmista, nettisivuilta
sekä muista virallisista tiedotteista. Koska on kyse puolueiden tuottamista arvioista, on etenkin kasvulukuihin suhtauduttava terveen kriittisesti.
Yleisesti ottaen tasapaino voidaan palauttaa kolmella keinolla: menoja leikkaamalla, veroja korottamalla tai tuotantoa ja työllisyyttä vahvistamalla. Näistä kolmesta menoleikkaukset ovat selvästi keskustan, kokoomuksen ja perussuomalaisten suosima keino. Leikkaukset eivät kohdistuisi täysin samoihin kohteisiin, vaan sopeutustoimissa heijastuvat myös puolueiden omat tavoitteet – säästöjä haetaan niin sosiaaliturvasta kuin kehitysavusta.
Sen sijaan SDP, vasemmistoliitto ja vihreät ovat pitkälti karttaneet suurempia leikkauksia – ainoana merkittävänä, joskin arvattavana poikkeuksena yritystukien vähentäminen. Vasemman laidan puolueiden sopeutustoimet perustuvat veroihin, mutta myös työllisyystoimet ovat tärkeässä roolissa. Jo nopea vilkaisu paljastaakin vaalikampanjan kaksi kilpailevaa narratiivia – saadaanko säästöt leikkauksista vai veroista ja kasvusta? Tarina ei kuitenkaan pääty tähän.
”Tämän päivän velka on huomisen veronkorotus tai menoleikkaus”, totesi puheenjohtaja Petteri Orpo eduskunnalle tammikuussa. Kokoomuksen kertomus on selkeä: kasvua uhkaa holtiton velkaantuminen, eikä ahdingosta päästä kuin vyötä kiristämällä. Puolue on arvostellut valtion velkaantumista kovin sanoin – pyrkien itse profiloitumaan vastuullisen taloudenpidon puolueena. Kärkipuolueista kokoomus asettaakin kovimman sopeutustavoitteen: 6 miljardia euroa säästöjä seuraavan vaalikauden aikana.
Säästöt haetaan menoleikkauksista, sillä veronkorotukset kokoomus sulkee pois lähes kokonaan. Kokoomus tavoittelee merkittäviä säästöjä yritystukijärjestelmän uudistamisesta sekä julkisen hallinnon tehostamisesta. Puolueen esittämä ”indeksijarru” hillitsisi indeksisidonnaisten menojen automaattista kasvua ja toisi puolueen mukaan noin miljardin säästöt. Koulutuksen ja maanpuolustuksen indeksikorotuksiin ei kajottaisi, mutta etenkin työttömyysturvan indeksikorotuksia kokoomus pitää ongelmallisina.
Sosiaaliturva on suurin yksittäinen kohde leikkauslistalla. Jo aiemmin mainittu indeksijarru hidastaisi indeksisidonnaisten etuuksien kasvua, mutta myös suoria leikkauksia sosiaaliturvaan on odotettavissa: puolue pyrkii purkamaan kannustinloukkuja ja lisäämään työllisyyttä työttömyysturvaa uudistamalla. Kokoomus lyhentäisi ansiosidonnaisen työttömyysturvan kestoa 200 päivään sekä porrastaisi etuutta aikaisempaa jyrkemmin. Puolue tavoittelee myös säästöjä asumistuesta ja rajaisi tuen vain ”sitä eniten tarvitseville”.
Karkeasti ottaen leikkauslista sisältää siis kaksi osaa: sosiaaliturvan ja kaiken muun. Mutta siinä missä yritystukien karsiminen on helppo myydä äänestäjälle, on sosiaaliturvan leikkaamisen poliittinen hinta korkea. Tai näin ainakin olettaisi: perinteisesti äänestäjän kuvittelisi reagoivan ankarasti etuuksien pienenemiseen. Siitä huolimatta kokoomuksen tiukka leikkausohjelma on nauttinut laajaa kansansuosiota, mikä heijastuu myös puolueen kannatusluvuissa.
Tilanne saattaa vaikuttaa hämmentävältä, mutta talouskuria vaativa kansanliike on historiallisena ilmiönä tuttu. Kokoomuksen ajama tarkan markan politiikka nousi keskeiseksi vaaliteemaksi myös vuoden 2015 eduskuntavaaleissa. Vastaavasti Yhdysvalloissa vuonna 2009 syntynyt populistinen teekutsuliike vaati tiukkaa talouskuria ja hyvinvointivaltion alasajoa. Historia osoittaakin, etteivät leikkaukset aina ole poliittinen riippakivi. Kovalla talouspuheella puolue pystyy profiloitumaan vastuullisena taloudenhoitajana sekä vetoamaan velkaantumisesta huolestuneisiin äänestäjiin. Näin ollen leikkausten suosio riippuu pitkälti äänestäjien käsityksistä valtionvelasta. Jos kansa kaipaa kivuliaita mutta välttämättömiä päätöksiä, saattaa juuri kokoomus päästä valtionkassan talouden hoitajaksi.
“Jos kansa kaipaa kivuliaita mutta välttämättömiä päätöksiä, saattaa juuri kokoomus päästä valtionkassan taloudenhoitajaksi.”
Pääministeri Sanna Marinin mukaan vuoden 2008 finanssikriisin jälkeisiä virheitä ei tule toistaa. Kun olisi pitänyt elvyttää, budjetteja leikattiin – ja lopputuloksena oli vuosikymmen hidasta kasvua. Sosiaalidemokraattien kertomuksen pääosassa onkin ”vastuullinen sopeutus”: puolueen mukaan taloutta ei sovi vakauttaa vähäosaisilta leikkaamalla, vaan on panostettava työllisyystoimiin. Pääministeripuolue pyrkii 3,5–6 miljardin säästöihin seuraavalla vaalikaudella.
Sosiaalidemokraatit hakevat parin miljardin säästöjä verouudistuksista. Veronkorotukset kohdistuisivat suuriin omaisuuksiin ja pääomaan – esimerkiksi listaamattomien yhtiöiden osinkoverotusta aiotaan kiristää. Samalla veropohjaa laajennettaisiin rahoitustoimintaverolla, joka perustuu pankkien ja muiden rahoituslaitosten luomaan arvonlisään. Pääomaan ja varallisuuteen kohdistuvissa verouudistuksissa heijastuvat eittämättä myös tulonjaolliset tavoitteet; puolueen keskeisenä tavoitteena onkin verotuksen progressiivisuuden lisääminen.
Entä leikkaukset? Sosiaalidemokraateiltakin löytyy leikkaushalukkuutta, joskin vain hieman. Retoriikassaan puolue on luvannut suojella hyvinvointivaltiota, ja peruspalveluista leikkaamisen sijaan suurin osa sopeutustoimista kohdistuukin yritystukiin. Puolue aikoo leikata etenkin fossiilitaloudelle kohdistuvia yritystukia, minkä lisäksi säästöjä haetaan julkisen hallinnon tehostamisesta.
Yhteensä menovähennykset toisivat vain alle miljardin säästöissä. Leikkausten vähyys ei kuitenkaan ole erehdys tai unohdus – tässä piileekin sosiaalidemokraattien vaaliohjelman perusidea. Puolue on tehnyt selvän pesäeron leikkauksia vaativaan oppositioon painottamalla maltillista sopeutusta, jossa investointien vauhdittama talouskasvu palauttaa tasapainon. Työllisyystoimien lisäksi ennaltaehkäisevä politiikka on keskeisessä roolissa:
esimerkiksi terveydenhuoltoon panostaminen voisi hillitä työkyvyttömyydestä ja mielenterveydestä koituvia pitkän aikavälin kustannuksia. Vastaavasti investoinnit koulutukseen tukisivat Suomen tuottavuutta pitkällä aikavälillä ja siten vahvistaisivat julkista taloutta.
Maltillinen sopeutus tarjoaa poliittisesti parhaan vaihtoehdon julkisen talouden epätasapainoon: työllisyyskasvuun panostamalla hallitus ei joudu valitsemaan kivuliaiden leikkauksien ja kivuliaiden veronkorotusten välillä. Kertomuksena maltillinen sopeutus onkin muita tarinoita selvästi optimistisempi, ja lupaukset vihreän siirtymän tuomista työpaikoista valavat uskoa tulevaisuuden kasvunäkymiin. Demareiden talousohjelma tarjoaakin varteenotettavan haasteen opposition vaihtoehdottomuuspoliitikalle, jossa talouskuri on vääjäämätöntä. Mutta mitä tapahtuu, jos kasvuennusteet eivät toteudukaan? Talousohjelma laskee työllisyyskehityksen varaan, ja konkreettisia sopeutustoimia on verrattain vähän. Lisäksi on muistettava, että työllisyystoimillakin on hintansa, eivätkä ne välttämättä rahoita itseään. Valtaan päästyään puolueella olisikin hurja lista lupauksia lunastettavaksi: miten panostaa koulutukseen, saavuttaa talouskasvua ja samalla tasapainottaa talous? Lista on pitkä, mutta monella äänestäjällä tuntuu olevan uskoa maltillisen sopeutuksen tulevaisuuteen.
“Leikkausten vähyys ei kuitenkaan ole erehdys tai unohdus – tässä piileekin sosiaalidemokraattien vaaliohjelman perusidea.”SDP:n puoluetoimisto Hakaniemen Ympyrätalossa.
Myös pienpuolueet ovat aktiivisesti osallistuneet katutason kampanjointiin.
Äänestyskantaansa pohtiva KTTO:lainen tenttaamassa SDP:n varapuheenjohtajaa Matias Mäkystä.
Holtiton velkaantuminen uhkaa tulevaisuuden sukupolvia, ja tilanteeseen on puututtava äkkiä. Ensisilmäyksellä perussuomalaisten diagnoosi ei merkittävästi eroa kokoomuksen linjauksista, mutta tarinasta löytyy olennaisia vivahde-eroja. Tällä kertaa kertomuksen pääosassa ei ole vain nykyinen hallitus, vaan myös valtion kassaa tyhjentävä ilmastoaate. Puolue hakee säästöjä ”maailmanparantamiseen” ja maahanmuuttoon käytettävistä menoista.
Perussuomalaisten sopeutustoimia leimaa kuitenkin epämääräisyys ja tiedon puute. Puolue ei ole esittänyt tarkkaa leikkauslistaa, mutta yleisenä tavoitteena se pyrkisi 2–4 prosentin vuosittaisiin säästöihin kaikilla julkisen hallinnon aloilla. Säästötavoitteen toteutuminen merkitsisi jopa 1,6–3,2 miljardin leikkauksia vuodessa, mikä tekisi perussuomalaisten tasapainotusohjelmasta kaikkein kunnianhimoisimman. Samalla puolue ei kuitenkaan halua leikata peruspalveluista tai sosiaaliturvasta, mikä helposti herättää kysymyksen: mistä säästöt löydetään?
Ilmasto ja maahanmuutto ovat selvästi leikkaustoimien keskiössä. Perussuomalaisten mukaan suurin uhka valtiontaloudelle on yltiöpäinen ilmastopolitiikka, ja suuri uhka vaatii suuria toimenpiteitä: puolue esittää hiilineutraaliustavoitteen lykkäämistä, päästökaupan keskeyttämistä sekä ympäristöministeriön lakkauttamista. Vaaliohjelman mukaan maltillisempi ilmastopolitiikka mahdollistaisi perinteisen teollisuuden kehittämisen sekä laaja-alaisen talouskasvun.
Sopeutustoimet kohdistuisivat myös humanitaariseen maahanmuuttoon. Puolueen mukaan pakolaiskiintiön nollaaminen sekä vastaanotto- ja kotouttamiskuluista leikkaaminen toisi satojen miljoonien säästöt vuodessa. Näiden lisäksi leikkaustoimet kohdistuisivat etenkin kehitysyhteistyöhön; perussuomalaiset esittää huomattavia leikkauksia kehitysapuun, ja puolueen mukaan tukea ei pitäisi edes jakaa alijäämäisestä budjetista.
Perussuomalaisten sopeutussuunnitelma paljastaa sen erikoisen aseman Suomen poliittisessa kentässä. Viime aikoina puolue on arvostellut nykyisen hallituksen velkaantumista kovin sanoin, mikä estää puolueelta liian lepsun suhtautumisen talouden tasapainottamiseen. Toisaalta perussuomalaiset on perinteisesti pyrkinyt profiloitumaan tavallisten ihmisten puolueena, joka huolehtii niin eläkeläisistä kuin huono-osaisista. Tällöin Kokoomuksen ajaman laajan leikkauslistan toteuttaminen on poliittisesti kova pala nieltäväksi. Siispä puolue löytää itsensä mutkikkaasta retorisesta välimaastosta – selvästi demareista oikealla, mutta jatkuvassa jännitteessä Kokoomuksen leikkausinnon kanssa.
Välimaaston ongelma on se, että kilpailevien tavoitteiden (leikkaustalkoot ja hyvinvointivaltion suojelu) välillä tasapainottelu vaatii eräänlaisen budjetti-ihmeen. Puolue suhtautuu nihkeästi niin hyvinvointivaltion leikkauksiin kuin veronkorotuksiin, jolloin säästökohteita jää varsin vähän. Tällöin monien miljardien säästöt on haettava julkishallinnon tehostamisesta sekä perussuomalaisten jo esittämistä kohteista, eli kehitysavusta ja maahanmuutosta. Paremman tiedon puutteessa on kuitenkin hankala arvioida, riittävätkö nämä toimet – jätetään se tulevaisuuden näytettäväksi.
Ruotsidemokraattien puheenjohtaja Jimmie Åkesson puhumassa perussuomalaisten vaalitilaisuudessa Narinkkatorilla 15.3. Åkesson antoi tukensa perussuomalaisille ja varoitti suomalaisia seuraamasta “Ruotsin tietä”.
älimaaston ongelma on se, että kilpailevien tavoit teiden välillä tasapainottelu vaatii eräänlaisen
budjetti-ihmeen.
Teksti: Otto Muurinen
Aloitin
tämän tekstin suunnittelemisen reilusti yli puoli vuotta ennen sen julkaisua. Hahmottelin rakennetta ja jäsentelin suunnitelmiani jutun sisällöstä. Tarkoituksenani oli kirjoittaa informatiivinen artikkeli matemaattisten tieteiden kandiohjelman ekonometrian opintosuunnasta.
Alkuperäinen ajatukseni oli päästä siihen mielenmaisemaan, joka opintosuunnassa vallitsee. Olin sopinut jo ensimmäiset haastattelut ja suunnitellut tapaamista ohjelman vastuuhenkilön kanssa. Vain käytännön työ puuttui. Edessäni oli yksi iso mutta. Mitään mielenmai-
En kaivanut virallisia tilastoja havaintojeni tueksi, mutta ekonometrian opiskelijoiden joukko vaikutti hyvin harvalukuiselta. Silloin tällöin syksyn mittaan paljastui joku uusista tuttavuuksistani kuuluvan tähän joukkoon, mutta pystyn silti laskemaan heidät yhden käden sormilla. Helposti.
Lähtökohtaani ei helpottanut se, ettei kukaan heistä tuntunut tuntevan kuin yksittäisiä muita saman päätöksen tehneitä opiskelijoita.
semaa ei ollut.Mikä ekonometrian opintosuunta?
tieteiden kandiohjelmassa
Kumpulan kampuksella opiskelija valitsee neljän eri opintosuunnan välillä: (puhdas) matematiikka, tilastotiede, tietojenkäsittelyteoria ja ekonometria. Yhteistä näille on matematiikan aineopintojen pakollisuus ja vaatimus matematiikan lisäkurssien opiskelusta, mutta muuten painotus on opintosuuntien välillä hyvin erilainen.
Yksi tutkintorakenteen leimaavimmista ominaispiirteistä on sen tiukkuus – pitäydyttäessä tyypillisessä kanditutkinnon laajuudessa 180 opintopisteessä vapaavalintaisille opinnoille jää sijaa noin muutaman opintopisteen verran. Enimmillään hieman yli kymmenen. Opintosuunnan esittely syksyllä fukseille alkoikin markkinoinnillisesti täydellisesti lauseella: ”Tässä ei ole valinnaisuutta.”
Vaikea kuvitella kenenkään päätyvän noiden sanojen myötä valitsemaan ekonometrian opintosuuntaa. Tuntuukin, että linjan pienehkö opiskelijamäärä johtuu pitkälti siitä, ettei sen olemassaoloa tunneta – jo se, että Helsingin yliopistossa voi opiskella taloustiedettä tuntuu olevan monelle yllätys.
Uskon, että vaatii todellista perehtymistä ja paneutumista tietää jo opiskelemaan hakiessa, että haluaa aloittaa nimenomaan ekonometrian opinnot matemaattisten tieteiden kandiohjelmassa. Tämä siksi, että ne taloustieteestä kiinnostuneet ohjautunevat ennemmin esimerkiksi taloustieteen kandiohjelmaan.
Mikä olennaisinta tutkintorakenteessa?
Monesti olen pohtinut sitä, millä tavalla suorittaisin nykyiset opintoni, jos aloittaisin ne uudestaan alusta. Samassa yhteydessä olen vertaillut opintosuunnitelmaamme ekonometrian opintosuunnan mallilukujärjestykseen.
Ensimmäinen olennainen ero on taloustieteen perusteissa. Meillä fuksisyksynä aloitetaan peruskurssilla, joka antaa osaltaan suuntaa tuleville opinnoille. Sen sijaan ekonometrian opintosuunnassa tätä kurssia ei käydä, vaan ensimmäinen kosketus taloustieteen opintoihin on toisena syksynä alkavat mikron kurssit. Samalla yleiskuva tulevista opinnoista jäänee alussa ohueksi ja yksipuoliseksi, mikä voi määrittää kiinnostusta opintoihin.
Edellisellä on kääntöpuolensa, josta voin myöntää olevani hieman kateellinen – yleisellä tasolla asia ei ole monelle kovin merkittävä.
Ekonometrian opiskelijat suorittavat tilastotieteen kursseja jo ensimmäisestä syksystä alkaen, mikä mahdollistaa aihepiirin opinnoissa etenemisen pidemmälle kandivaiheen aikana. Ainakaan oma uskallukseni pienenä ja ujona fuksina ei olisi riittänyt alkaa soveltaa niin paljoa oman opintosuunnitelmani kanssa, että olisin tehnyt tilastotieteitä ja todennäköisyyslaskentaa.
Muita mainitsemisen arvoisia eroja en näe. Kummastakin vaihtoehdosta loogisin askel eteenpäin on taloustieteen maisteriohjelmaan. Toisessa polku on ennalta tiukemmin viitoitettu, toisessa voi etsiä enemmän omia kiinnostuksenkohteita valinnaisten opintojen kautta. Tärkeää onkin huomata, että taloustieteen kandiohjelman rakenne mahdollistaa oikeastaan täysin saman rakenteen suorittamisen kuin ekonometrian opintosuunnassa.
Oinas 21.3.–19.4.
Keväällä puhaltaneet myrskytuulet ovat laantumaan päin, mutta varo hätiköityjä pää töksiä. Harkitse tarkkaan, mihin käytät aikasi ja rahasi.
Härkä 20.4.–21.5.
Sattuma yrittää sekoittaa lusikkaansa soppaasi, ja pieni sekoilu tekeekin välillä hyvää. Pidä kuitenkin tilanne ja taloutesi näpeissäsi.
Kaksonen 20.5.–20.6.
Kevään myötä aurinko alkaa paistaa elämääsi, mutta älä antaudu liialle nautiskelulle, sillä se voi polttaa.
Rapu 21.6.–22.7.
Vaikeudet jäävät menneisyyteen, ja sijoitusvaistosi puhkeaa kukkaansa. Kenties kom pastut ämpärilliseen kultaa?
Neitsyt 23.8.–23.9.
Ideasi tuntuvat olevan todella hyviä ja tuntuu, ettei sijoituksesi vain voi epäonnistua. Nuku kuitenkin ensin yön yli, ja anna ideasi kukoistaa vasta sitten.
Vaaka 23.9.–22.10.
Huomaat kangistuvasi kaavoihin ja seuraavasi entisiä rutiinejasi uudelleen ja uudelleen. Kevään tullen uusien tuulien vire kirvoittaa kokeilemaan jotakin uutta – myös taloudessa.
Skorpioni 22.10.–22.11.
Loistava talvi on väistynyt ja mielialasi aaltoilee. Etsit suuntaasi, ja et ole aivan varma, mitä haluat. Kuuntele ystäviäsi ja heidän neuvojansa.
Jousimies 22.11.–21.12.
Sinulta vaaditaan nopeita päätöksiä vaikeina aikoina. Ostaako vaiko myydä. Valinta on vaikea, mutta sinua onnistaa.
Kauris 21.12.–20.1.
Säästäväisyytesi on kantanut hedelmää, mutta kulman takana saattaa odottaa houkutteleva mahdollisuus, joka saa avaamaan kukkaronnyörejä. Ole avoin tälle mahdollisuudelle.
Vesimies 20.1.–21.2.
Rakennat nyt tulevaisuuttasi. Päämäärätietoisuutesi loistaa kauas ja näkyy pitkäjänteisyytenä myös taloudenpidossasi. Pidä siitä kiinni, niin tulevaisuutesi on ruusuinen.
Kalat 20.2.–20.3.
Uteliaisuutesi palkitaan. Uskallat kokeilla vaihtoehtoisia ratkaisuja ja se kannattaa. Etsivä löytää.
Viittauksilla on akateemisessa maailmassa paljon merkitystä. Ne kertovat tehdyn tutkimuksen vaikuttavuudesta: artikkelin viittausten määrä kertoo sen vaikutuksesta myöhempään tutkimukseen. Kapitaali vertaili yliopistoja ja selvitti, ketkä ovat Helsinki Graduate School of Economicsiin kuuluvien laitosten viitatuimmat tutkijat.
Aineisto professoreista ja lehtoreista on kerätty Helsinki GSE:n nettisivuilta. Viittaustiedot ovat peräisin näiden henkilöiden Google Scholar -profiileista. Mikäli Scholar-profiilia ei ole (näin on 16/50 henkilön kohdalla), viittaustiedot puuttuvat. Tiedot on kerätty 20.1. On tärkeää huomata, että Scholar-viittaukset eivät ole täysin “tarkkoja”, vaan niihin sisältyy myös jonkin verran opinnäytetöitä ja ei-akateemisia viittauksia, mutta Googlen tietokanta on tästä huolimatta helpoimmin ja kattavimmin saatavilla.
Kuviossa 1 esitetään tutkijoiden lukumäärä yliopistoittain ja uraportaittain. Uraportaille on käytetty englanninkielisiä nimiä, sillä Assistant Professor ja Associate Professor -nimikkeille ei ole vakiintuneita erillisiä suomenkielisiä vastineita. Vasemmassa paneelissa on esitetty kaikki tutkijat ja oikeanpuoleisessa ne, joilta löytyy Scholar-profiili. Hankenin taloustieteen laitos erottuu pienimpänä koostuen neljästä professorista ja kahdesta apulaisprofessorista. Helsingin yliopiston taloustieteen laitos puolestaan erottuu suhteessa vähäisimmällä määrällä Google Scholar -profiileja.
Kuviossa 2 esitetään viittauksien keskiarvo ja mediaani uraportaittain ja yliopistoittain. Uraportaissa ei ole juurikaan yllätyksiä: viittausten määrä selkeästi kasvaa uran edetessä. Laitosten väliset erot ovat melko pieniä, mutta Viikin ympäristö- ja luonnonvarataloustiede selviytyy niukasti voittajaksi.
Pelkästään viittausten lukumäärä ei kuitenkaan vielä kerro kaikkea vaikuttavuudesta. Saattaa olla, että tutkijalla on yksi tai muutama valtavasti viitattu artikkeli (tai kirja), mutta julkaisujen määrä onkin pieni tai suurella osalla julkaisuista on niukasti viittauksia. h-indeksi on mittari, joka mittaa samanaikaisesti sekä julkaisujen määrää että niiden vaikuttavuutta: tämän mittarin arvo on h, kun tutkijalla on h julkaisua, joihin kuhunkin on viitattu vähintään h kertaa. Esimerkiksi h-indeksin arvo 5 kertoo, että tutkijalla on 5 julkaisua, joihin on viitattu vähintään 5 kertaa. Mittarin arvoa ei siis pysty kasvattamaan pelkästään julkaisemalla paljon tai julkaisemalla vähän. Korkea indeksi edellyttää vaikuttavia julkaisuja. Teknisesti ottaen tutkija pystyy kasvattamaan indeksiään esimerkiksi viittaamalla uusissa artikkeleissaan aina omiin aikaisempiin artikkeleihin.
Kuviossa 3 on esitetty h-indeksien keskiarvo ja mediaani uraportaittain ja yliopistoittain. Uraportaissa ei ole tässäkään kuvassa juuri yllätyksellisyyttä: h-indeksi kasvaa urapolulla etenemisen myötä. Yliopistojen välillä Viikin ympäristö- ja luonnonvarataloustiede johtaa myös h-indeksissä. Aalto-yliopiston ja Helsingin yliopiston taloustieteen laitokset puolestaan vaihtavat paikkaa kuvan 2 oikeanpuoleiseen paneeliin verrattuna: tämä kuitenkin selittynee sillä, että Aallon apulaisprofessorit ovat Google Scholar -profiileissa paremmin edustettuja, kuten kuvasta 1 nähdään.
Lopuksi täytyy tietenkin vastata otsikon kysymykseen: kuka on GSE:n viitatuin tutkija? Kuvio 4 esittää yhteenlasketut viittaukset henkilötasolla. Punainen palkki esittää viittaukset vuodesta 2018 alkaen, eli kertoo viimeaikaisesta vaikuttavuudesta. GSE:n viitatuin tutkija on Aalto-yliopiston Ritva Reinikka. Nykyisistä professoreista kärkisijoille yltävät myös Olli Tahvonen (HY Viikki), Ari Hyytinen (Hanken) ja Roope Uusitalo (HY). Ari Hyytinen on myös kerännyt eniten viittauksia vuodesta 2018 alkaen.
Lopuksi täytyy vielä muistuttaa, että vaikka viittaukset ovat tärkeä ja helposti vertailtavissa oleva tilasto, akateemisessa maailmassa on monia merkityksellisiä tapoja vaikuttaa. Laadukas ohjaus- ja opetustyö eivät jätä jälkeensä tilastomerkintöjä, mutta vaikuttavat yhtä lailla alan tulevaisuuteen.
Mikko Vanhala
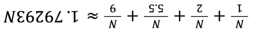
Roope Ankka on jälleen pulassa. Vaikka nerokkaat lukijamme pelastivat Roopen viime lehdessä akuutilta kassakriisiltä, on Karhukopla jälleen hätyyttelemässä hänen omaisuuttaan. Tällä kertaa Roope on päättänyt rakentaa valtavan miinakentän (jonka koko on N km2), joka toivottavasti pitää heidät poissa.
Roope puntaroi mahdollisuuksiaan. Pelle Peloton on entisenä pioneerina mestari tässä lajissa: häneltä miinakentän rakentamiseen yksin kuluu yksi kuukausi. Tupu, Hupu ja Lupu ovat Sudenpennuissa oppineet miinakenttien rakentamisen perusteita, ja heiltä yhdessä (mutta kuitenkin yksittäisenä entiteettinä) rakentamiseen kuluu 2 kuukautta. Aku on laiska, ja häneltä yksinään miinakentän rakentamiseen menee 5,5 kuukautta. Hannu Hanhikin saadaan tarvittaessa mukaan, mutta hänestä ei ole paljonkaan apua: yksinään häneltä kuluu 9 kuukautta.
Millä henkilöyhdistelmällä miinakenttä saadaan nopeimmin rakennettua, ja kauanko rakentamiseen tarkalleen kuluu? Rakentamisessa voidaan käyttää 1-4 henkilöä (Tupu, Hupu ja Lupu lasketaan yhdeksi). Voit olettaa, että rakentaminen on lineaarista, projektin nettonykyarvo on positiivinen, ja relevantti korko on 3 kk Euribor.
Triviaali vinkki: vastaus ei ole, että Pelle Peloton rakentaa yksin.
Ratkaisu: s. 43
Kapitaalin toimituskuntaan kuuluu lukuisia huippukriitikoita. Heidän viiltäviä observaatioitaan maailman kulttuurillisesta tilasta raotetaan lukijoille tässä eksklusiivisessa kokoelmassa arvosteluja talven ajalta.
Cast Away (Netflix)
Kaksi ja puoli tuntia Tom Hanksia autiolla saarella puhumassa lentopallolle ja irrottamassa hampaitaan luistimella? Say no more!
Arvosana: 4/5
Jalkapallon musta kirja: kuningaslaji ja rahan mahti (Otava)
Hannu Aaltonen ja Tapio Keskitalo havainnollistavat lukuisin esimerkein, miten vahvasti jalkapallo pyörii rahan ympärillä. Erityisen avartavaa kirjassa on historiallinen näkökulma: miten lajin talous on kehittynyt sellaiseksi kuin se on nyt, ja miten merkittäviä eroja maiden välillä on jo historiassa ollut. Viime vuosien korruptioskandaaleja on mediassa käsitelty paljon, eikä kirja tarjoa niiden osalta juurikaan tuoreita näkökulmia.
Arvosana: 3/5
True Detective, 1. tuotantokausi (HBO)
Louisianan pikkukaupunkia ravistelee sarja julmia, satanisminkatkuisia murhia. Matthew McConaugheyn ja Woody Harrelsonin esittämä etsiväkaksikko ryhtyy selvittämään osavaltiota jo vuosia piinannutta murhamysteeriä, jonka juuret ulottuvat luultua syvemmälle. Tarinan edetessä etsivien yksityiselämät punoutuvat yhä tiukemmin kiinni murhatapaukseen, ja sarja menee pitkälle henkilökuvauksessaan. Dialogistaan ja tunnelmastaan ylistetty sarja tarjoaa pohdintoja uskonnosta, filosofiasta ja maskuliinisuudesta. True Detective on moderni dekkariklassikko, ja jokaisen rikosfanin kuuluisi nähdä se.
Arvosana: 5/5
Kulosaaren Kuparilyhdyn pubivisa (Kyösti Kallion tie 2, Helsinki)
Kulosaaren Kuparilyhty sijaitsee 1960-luvulla rakennetussa ostoskeskuksessa, mikä mahdollistaa aitoon lähiömielentilaan virittäytymisen. Pubivisassa on meininkiä, ja kaikilla allekirjoittaneen osallistumiskerroilla joukkueita on ollut mukana melkein kymmenen kappaletta. Pubivisan tunnelma on lämminhenkinen, ja visan emäntä kantaa tilaisuutta persoonallaan.
Arvosana: 4/5
onko kyseessä helmikuu vai jokin muu kuukausi.
kuukautta, eli kokonaislukuun pyöristettynä 16 tai 17 päivää riippuen siitä,
neliökilometriä, joten miinakentän valmistumiseen kuluu
saadaan kuukaudessa rakennettua yhteensä
nattaa tehdä. Miinakentän koko on N. Tällöin käyttämällä kaikkia 4 rakentajaa
Ratkaisu: Nettonykyarvo on positiivinen, joten investointi miinakenttään -kan