Rachel Lacey – Costume 3

Page 1


Director: Kenneth Robertson

Costume Designer: Emma White

Costume Supervisor: Rachel Lacey

Assistant Costume Supervisor/ Head of Running Wardrobe: Nicole McCafferty

223-226 Production Pictures

227-230 Appendix: The Natives

231-232 Appendix: CPD

233-234 References

235-236 Bibliography

237-243 List of Figures

SCHEDULES

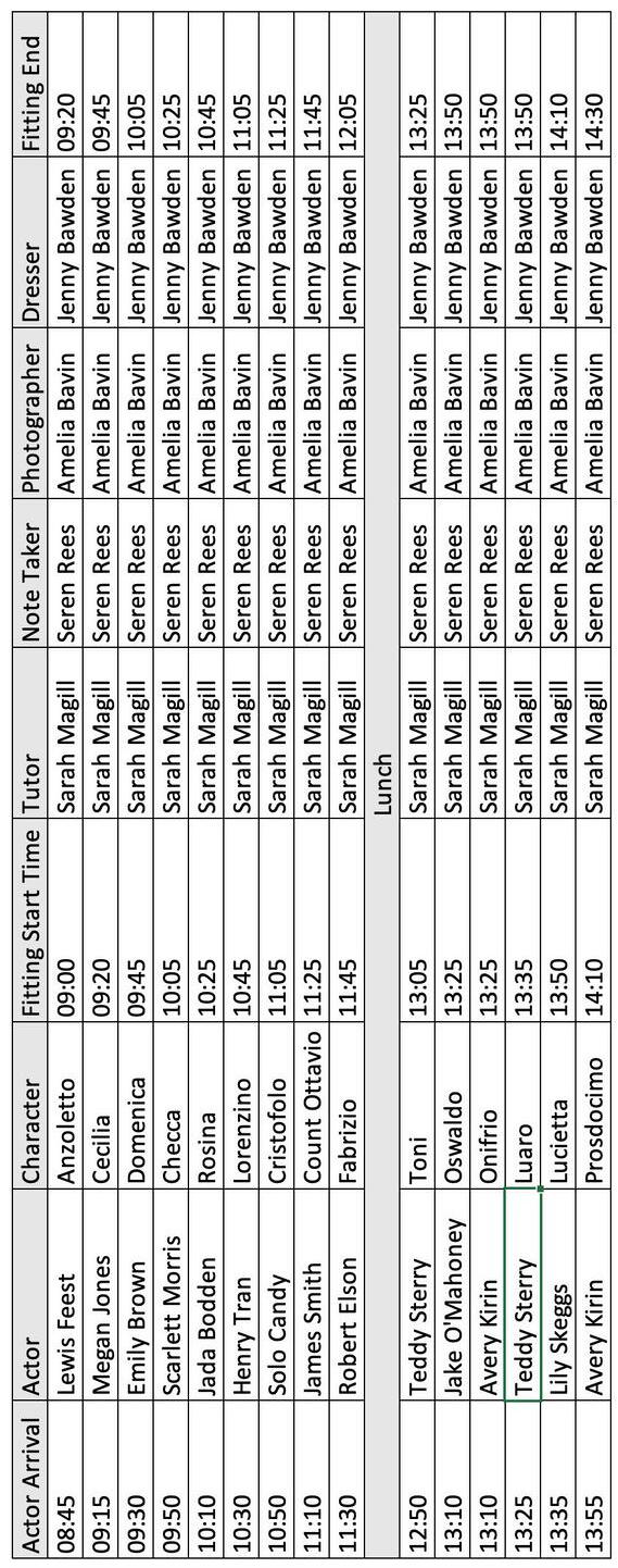
FITTING SCHEDULE

Nicole McCafferty and Rowan Smith
Nicole McCafferty and Rowan Smith

PRODUCTION WEEK SCHEDULES

SCRIPT BREAKDOWN

REHEARSAL AND SHOW REPORTS

REHEARSAL REPORTS

La Casa Nova

Rehearsal Report 1 AUB Productions April 2024

Time: 9:00 – 4:30 Stage Manager Phone Number : 07940 059904

Date: 10th April 2024

Venue: PCT

Plan for tomorrow :

Please do not use the “female” toilets, they have been blocked off for safety reasons.

Period Cecilia won’t be able to walk up/down stage right stairs (near disabled toilet) due to costume. 11:00 – 11:30 Warm up 11:30 – 13:00 Rehearsal 13:00 – 14:00 Lunch 14:00 – 17:00 Rehearsal

Sunglasses needed for Cecillia

Shoulder bag/ Clutch needed for Cecillia Wallet for Ottavio

Please get in touch if you have any quesIons

Amber Grace Jackson Deputy Stage Manager 2000692@my.aub.ac.uk / 07964295809

General Notes

REHEARSAL REPORTS

Time: 9:00 – 5:00

La Casa Nova

Rehearsal Report 10 AUB Productions April 2024

Date: 19th April 2024

Stage Manager Phone Number : 07940 059904

General Notes

Big thank you to everyone who was involved in the costume fi7ngs, the costumes are wonderful!

Everything of value to be locked away in the PCT or taken home.

Venue: PCT

Everyone must be vigilant about knowing who is in the building and the front door to be locked Plan for Monday Email sent to Costume

Is there any chance for the workmen to have 1 tote bag and 1 rucksack?

9:00 – 9:30 Warm up 9:30 – 13:00 Period cast, workshopping scenes 13:00 – 14:00 Lunch 14:00 – 17:00 Contemporary cast, workshopping scenes

Please get in touch if you have any ques3ons

Amber Grace Jackson Deputy Stage Manager 2000692@my.aub.ac.uk / 07964295809

Contemporary Costume

REHEARSAL REPORTS

Time: 9:00 – 5:00

La Casa Nova Rehearsal Report 11 AUB Productions April 2024

Date: 22nd April 2024

Stage Manager Phone Number : 07940 059904

General Notes

Everything of value to be locked away in the PCT or taken home.

Plan for Tuesday

Venue: PCT

HeaGng broken in clubroom

9:00 – 9:30 Warm up 9:30 – 12:30 Contemporary cast, workshopping scenes Act 2

13:30 – 14:00 Lunch 14:00 – 17:00 Period cast, workshopping scenes Act 2 Plans to be fixed tomorrow

Is there any chance we can have the real character’s shoes for them to pracGce in.

Contemporary FiPng Schedule has been sent out

Please get in touch if you have any ques3ons

Amber Grace Jackson Deputy Stage Manager 2000692@my aub ac uk / 07964295809

Contemporary Costume

REHEARSAL REPORTS

Time: 9:00 – 4:00

La Casa Nova Rehearsal Report 14 AUB Productions April 2024

Date: 25th April 2024 Venue: PCT

Stage Manager Phone Number : 07940 059904

General Notes

Plan for Friday

We are aiming for a full run through on Tuesday 30th and Wednesday 1st May (AM-Contemporary, PM- Period)

Let me know if there are any issues tomorrow, hope it all goes well. 9:00– 13:00 1-1 tutorials eo38/ contemporary costume fi>ngs 14:00 –15:00 MeeCng regarding sound with Nicole, Archie and Ken K008

If anyone wants to watch please email me

Contemporary Costume

Please get in touch if you have any ques3ons

Amber Grace Jackson Deputy Stage Manager 2000692@my.aub.ac.uk / 07964295809

REHEARSAL REPORTS

Time: 9:00 – 5:30

Rehearsal Report 17 AUB Productions April 2024

Date: 30th April 2024

Stage Manager Phone Number : 07940 059904

General Notes

Venue: PCT

Plan for Wednesday

The people that are coming to watch, please arrive promptly and ring the Stage Manager phone when you are here.

Period Run Time – 1hour 56 mins, without interval. However, actors were very slow with lines which caused a lot of delay.

Contemporary Run Time – 1 hour 54 mins, without interval, actors were also slow with their lines.

May - PCT - Clubroom 9:00 – 9:30 Warm Up 9:30 – 10:00 Working through notes Period 10:00– 12:00 Period Run 2 12:00 – 1:00 Lunch 1:00 – 1:30 Working through notes Contemporary 1:30- 3:30 Contemporary Run 2 4:00- 5:00 Production Meeting

2000692@my.aub.ac.uk / 07964295809

Emily to try on costume at 3.30

REHEARSAL REPORTS

Time: 9:00 – 5:00

La Casa Nova

Rehearsal Report 18 AUB Productions April 2024

Date: 1st May April 2024

Stage Manager Phone Number : 07940 059904

Plan for Thursday:

Rooms for tomorrow

Remember to sign yourself in and out of the PCT

I will be floa;ng around all departments at the PreAssessments if there are any problems please just shout or email me J

Period Run Time (no interval) – 1 hour 55 mins

Part 1 – 70 mins

Parts 2 – 45 mins

Contemporary Run Time (no interval) – 1 hour 55 mins

Part 1 – 65 mins

Part 2 – 45 mins

General Notes Contemporary Costume

Can we ensure we have jewellery for PreAssessment so we can have wedding rings for Anzoletto and Ceccilia

Venue: PCT

Period Pre Assessment AM

Contemporary Pre Assessment PM

Attached is the Pre-Assessment schedule for further times and details

Dressing Room – B001

Assessment Room SH001(South House Lecture Hall)

Hair and Make-Up (Studio 4)

Please get in touch if you have any ques3ons Amber

2000692@my aub ac uk / 07964295809

REHEARSAL REPORTS

La Casa Nova

Time: 9:00 – 21:30

La Casa Nova Rehearsal Report 26 AUB Productions April 2024

Date: 14th May 2024

Stage Manager Phone Number : 07940 059904

General Notes

Please see the schedule attached for specific timings for each department.

LA CASA NOVA Detailed Production Schedule with Calls.xlsx

Costume

Venue: PCT

Can the shoes have felt attached to the sole’s to stop them being so loud?

Please get in touch if you have any questions

Amber Grace Jackson

Deputy Stage Manager 2000692@my aub ac uk / 07964295809

SHOW REPORTS

Amber Jackson
Amber Jackson

TECHNICAL AND DRESS REHEARSAL NOTES

TECHNICAL REHEARSAL NOTES

RESEARCH

LA CASA NOVA

L A C A S A N O V A

C A R L O O S V A L D O G O L D O N I

Carlo Osvaldo Goldoni (1707-1793) was an Italian playwright who had a significant impact on commedia dell'arte and introduced realistic comedy to Italian theatre One of his famous works is La Casa Nova. Goldoni came from a middle-class background and originally studied Law before following his passion for theatre. He wrote humorous stories that allowed his middle-class audience to see themselves in a comical light and connect with the performance.

La Casa Nova is the second comedy written by Goldoni. The play consists of three acts and was written in 1760 It was originally performed in the Teatro San Luca. Goldoni's personal experiences with moving were a major influence in writing the play.

Since La Casa Nova was written in the 1760s, the costumes in the show would typically be influenced by 18th-century fashion However, I am working on the contemporary adaptation of the show, so I have focused my research on modern-day middle/upper-class fashion influence.

S Y N O P S I S

The play revolves around a middle-class young newlywed couple, Anzoletto and Cecilia, who move into a luxurious apartment in Venice. Anzoletto has spent all his money trying to impress his new wife and, as a result, he finds himself in serious debt He is unable to pay his workers and uses his social status to try and get away with it. The nosy neighbours, Rosina and Checca, are not very fond of their new neighbours. However, they end up getting involved in the family's affairs by reuniting a flame between Rosina (Anzoletto's sister) and Lorenzino (Checca's nephew). More issues come into play for Anzoletto before Cecilia has a change of heart and begs Anzoletto’s wealthy uncle Cristofolo to save the day

Anzoletto- Newly wed, bad with money

Cecilia- Hot-headed wife to Anzoletto

Domenica- Impolite sister of Anzoletto

Lorenzino- Love interest to Domenica

Checca- Wealthy neighbour upstairs

Rosina- Young, bubbly cousin of Checca

Cristofolo- Wealthy uncle of Anzoletto

Count Ottavio- Gossiping close friend of Cecilia

Fabrizio- Wealthy friend of Cecilia

Oswaldo- Head worker employed by Anzoletto Onifrio- Worker

Luaro- Worker

Lucietta- Gossiping servant hired by Anzoletto

Toni- Respected servant for Checca and Rosina

Prosdocimo- Bayliff

Fig 1 Portrait of Carlo Osvaldo Goldoni
Fig.2. Image of 18th century workmen from a book about Goldoni

LA CASA NOVA

L A C

A S A N O V A 1 9 7 6

I watched a version of the play on YouTube, which was directed by Luigi Squarzina and came out on the 29th of October, 1976. It was in Italian. However, I was able to learn from the characteristics of the characters and get a sense of their style Below are images of the characters from the 1976 version of the play, which is based on 18th-century Italian fashion. The images are screenshotted from the play footage.

Fig 3 Image of Anzoletto from La Casa Nova 1976
Fig 4 Image of Anzoletto from La Casa Nova 1976
Fig 5 Image of Cecilia from La Casa Nova 1976
Fig 6 Image of Cecilia from La Casa Nova 1976
Fig 9 Image of Cristofolo from La Casa Nova 1976
Fig 10 Image of Fabrizio from La Casa Nova 1976
Fig 11 Image of Count Ottavio from La Casa Nova 1976
Fig 8 Image of Lorenzino from La Casa Nova 1976
Fig 7 Image of Domenica from La Casa Nova 1976
L O R E N Z I N O
Fig 17 Image of Prosdocimo from La Casa Nova 1976
I M O

ITALIAN DESIGNERS

I have researched popular Italian fashion designers due to the show being set in Venice, Italy However, the characters are also from the UK and USA so there’s also fashion influence from these countries within the costumes

G I O R G I O A R M A N I

Italian fashion experienced a boom during the 1970s due to the introduction of Italian ready-to-wear clothing. Giorgio Armani had a significant impact on Italian fashion in the 70s. Armani revolutionised the luxury ready-to-wear suit market by introducing a rich and relaxed style. The costume design for the character Cristofolo is fitted and neat but has a relaxed aspect to it through the addition of aviator sunglasses tucked into the waistcoat and the brown striped pattern.

V E R S A C E

Gianni Versace was also a prominent figure in Italian fashion during the 1970s, thanks to his innovative and costume-like fashion statements. He also made a significant impact in the 1990s, creating clothing that was sexually expressive for both men and women Tragically, he was murdered in 1997, after which his sister Donatella took over the brand and continued building on his unique aesthetic

W A L T E R A L B I N I

Figure 22 shows an image from a Milan fashion show in 1974 by Walter Albini. In the picture, models wear neckties that are styled differently, similar to the costumes of Oswaldo, Rosina, and Fabrizio This image had a significant impact on the way the characters' neckties were styled during the first fitting. Additionally, the models are wearing trousers in various colors, just like Count Ottavio's orange trousers

Although I initially searched for orange trousers for Count Ottavio, this image inspired me to look for smart trousers instead

G I A N F R A N C O F E R R É

Figure 25 is an image of a Gianfranco Ferré outfit from 1999. The outfit has many similarities to the costume design of Cecilia. The silhouette and colour scheme is very similar, with the main body of the skirt draping out to one side of the body with trousers underneath, and a corseted bodice.

Fig 22 Image from Walter Albini show 1974
Fig 20 Image of Giorgio Armani 1982 wool single breast suit
Fig 21 Image of Giorgio Armani Fall/Winter 1993-94
Fig 23 Image of iconic Versace 1992 safety pin dress
Fig 24 Image of Versace from the Crown to Couture Exhibition
Fig 25 Image of Gianfranco Ferré 1999 outfit

ITALIAN DESIGNERS

G U C C I

Gucci was founded back in 1921 in Florence, Italy by Guccio Gucci It was originally a leather goods store, which eventually started selling equestrian equipment. Gucci began to experiment with different types of leather and styles of bags before discovering their iconic GG logo which still features on garments and accessories today. In the 1950s, Gucci began to open more boutiques and even expanded nationwide, opening stores in Paris and New York due to its rise in popularity, specifically among celebrities and high society members.

Modern-day Gucci has collaborated with many designers and brands. They sell a variety of products compared to when they originally were founded They sell items such as clothing, accessories, footwear, cosmetics and homeware.

D O L C E A N D G A B B A N A

Dolce and Gabbana is a brand which was founded in 1988 by Domenico Dolce born in Sicily, Italy and Stefano Gabbana born in Venice, Italy they came together and created their business in 1982 in Milan.

Figure 28 is an image of an outfit by Dolce and Gabbana from their Fall 1992 collection. The outfit shares a similar style with the costume of Lucietta. It has an "office" style with a white long-sleeve shirt paired with a black necktie featuring a red jewelled broach in the centre, very similar to the necktie and broach in Lucietta's costume There is also a long black pleated skirt which is in a similar style to Lucietta's

Figure 26 is an image of a 1972 Gucci envelope bag with a timeless look This bag influenced the style of Cecilia's bag in the play, as she is portrayed as a wealthy woman with materialistic tendencies. I would imagine her to have a vintage Gucci bag to reflect her character

Figure 27 shows an image of a 2001 Gucci by Tom Ford gold belt. This gold belt acts as a statement piece within the outfit, similar to the effect of the gold belt that Lorenzino wears with his outfit, which also acts as a statement piece

Figure 29 is an image of a Gucci belt which is available for £845. This belt inspired the belt which Lorenzino wears for the play as it has the thick chain look, acting as a piece of jewellery around the waist.

Fig 26 Image of Gucci Envelope Bag
Fig 27 Image of 2001 Gucci Belt
Fig 29 Image of a Modern Gucci Belt
Fig 28 Image of 1992 Dolce and Gabbana

DOLCE AND GABBANA

D I V I N E I N S P I R A T I O N : D O L C E & G A B B A N A A L T A M O D A 2 0 1 9

Dolce & Gabbana Alta Moda is a 2019 fashion collection inspired by ancient Greek and Roman mythology During the BC era, Greece had a significant influence on the fashion, art and culture of Italy, as some parts of Italy were invaded by the Greeks Each piece in the collection is named after a divine being.

The collection consists of a real range of colours, materials and silhouettes. I picked out a few outfits which had similarities to the costume design in La Casa Nova

Figure 30 is a long black gown made of sheer fabric, with boning at the center of the bodice. The gown is covered in gold brocade embellishments all over. The entire outfit is see-through, and it is worn with black hotpants underneath and a black bralette. The swirled brocade embellishments are similar to the ones on Anozoletto's suit.

This collection showcases a variety of capes. Figure 32 displays an image of a black sheer dress with long draping sleeves, similar to the costume worn by Checca in La Casa Nova. Additionally, Figure 31 features an image of a mint green dress with long, sheer, floor-length sleeves The capes in this collection symbolise power and royalty, which is reflected in the characters of La Casa Nova who wear capes, such as Cecilia and Checca. The costume design gives insight into the themes of the characters, emphasising their power and status.

Figure 3 shows a green, long-sleeved dress in a similar colour to Checca's costume. The dress has a modest and elegant feel, similar to Checca's outfit

Figure 4 is an image of a dress with floral puff sleeves, a floor-length floral dress with a high waistline that sits just below the bustline, like the waistline for the costume design of Rosina.

Fig 30 Image of an outfit from Divine Inspiration: Dolce & Gabbana Alta Moda 2019
Fig 32 Image of an outfit from Divine Inspiration: Dolce & Gabbana Alta Moda 2019
Fig 33 Image of an outfit from Divine Inspiration: Dolce & Gabbana Alta Moda 2019
Fig 31 Image of an outfit from Divine Inspiration: Dolce & Gabbana Alta Moda 2019
Fig 34 Image of an outfit from Divine Inspiration: Dolce & Gabbana Alta Moda

HEAVENLY BODIES: FASHION AND THE CATHOLIC IMAGINATION

A L E X A N D E R W A N G

Figure 36 is an image of an Alexander Wang outfit, worn by Travis Scott On the top half, he’s wearing a boxy militarystyle jacket, which has an upturned tab collar. This is a similar style jacket to the design of Anzoletto’s jacket He’s also wearing black trousers alike the black trousers worn by Anzoletto.

The 2018 Met Gala, themed Heavenly Bodies: Fashion and the Catholic Imagination, allowed designers to incorporate Catholicism into fashion by using religious art, iconography, symbols, and artefacts as inspiration Common themes amongst the outfits were crosses, halos, robes, and veils. The robe/veil theme was particularly prevalent and also reflected in the theme of the designs for La Casa Nova Emma White drew inspiration from the 2018 Met Gala theme for her designs.

W E S G O R D O N

Figure 35 is an image of an outfit designed by Wes Gordon and worn by Lena Waithe to the 2018 Met Gala I saw this outfit at Kensington Palace: Crown to Couture This outfit consists of a black suit trousers and a matching black tuxedo-style jacket which ties around the waist, in a similar way to the suit top which Fabrizio wears in La Casa Nova Paired with a white smart shirt. Worn on top of the suit is a cape made up of the LGBTQ+ flag colours This was a movement to represent LGBTQ+ rights

V E R S A C E

Figure 37 is an image of Zendaya in Versace This look was inspired by Joan of Arc, it has long draped sections at the back of the sleeves which appear as a cape. This section is similar to the costume design for Checca, due to the draped fabric at the back.

P R A B A L G U R U N G

Figure 38 is an image of a Prabal Gurung outfit which has a similar silhouette to Checca’s design, with the tight fitting bodice section and shaping, with the long cape which trails across the back

Fig 35 Image of a Wes Gordon outfit at the Kensington Palace Crown to Couture Exhibition
Fig 36 Image of a Alexander Wang outfit at the Met Gala, Heavenly Bodies: Fashion and the Catholic Imagination
Fig 37 Image of a Versace outfit at the Met Gala, Heavenly Bodies: Fashion and the Catholic Imagination
Fig 38 Image of a Prabal Gurung outfit at the Met Gala, Heavenly Bodies: Fashion and the Catholic Imagination

HEAVENLY BODIES: FASHION AND THE CATHOLIC

J O H N G A L L I A N O

Figure 39 is an image of an outfit I saw at the V&A DIVA exhibition of a John Galliano outfit worn by Rhianna It’s bejewelled from head to toe with structure throughout and inspired by the pope. The cape's top half combined with the split-open skirt structure has a similar shape to the costume design of Cecilia due to the open leg skirt and cape in her costume design However, in figure 1 the split skirt counts as a top skirt due to the skirt/dress worn underneath The combination of stilettos with the long open-leg skirt inspired the use o

O F F - W H I T E

Figure 41 is an image of Michael B Jordan in a pinstripe suit by Off-White with wide and open lapels revealing a black suit shirt underneath This suit has similarities to the suit Fabrizio wears in La Casa Nova due to the pinstripes and the tie around the waist of the suit jacket The belt in figure 1 is leather with the Off-White branding over it which was a huge trend during 2017/18 The shiny leather shoes influeneced the shoes which Anzoletto wears in La Casa Nova

T O R Y B U R C H

Figure 40 is an image of an outfit designed by Tory Burch which is a sheer ruffle gown with a lace hem The sheer dress is worn with a white mini dress underneath This dress has similarities to the design and mood board of Dominica’s costume design, which has a sheer skirt as the top skirt, and it is then layered with opaque underskirts The costume also includes a ribbon hem which stands out against the sheer material, in a similar way the Ribbon does on the Tory Burch Met Gala look

E T R O

Figure 42 is an image of Shaun White in an outfit designed by Etro The suit jacket has gold beading throughout with gold enamal buttons. The shape of the jacket is similar to the jacket of Anzoletto, which also has gold buttons down the centre front Worn with the jacket is a plain white t-shirt, green trousers and black loafers, which inspired the loafers for Lorenzino’s outfit

Fig 39 Image of a John Galliano outfit at the DIVA V&A Exhibition
Fig 40 Image of a Tory Burch outfit at the Met Gala, Heavenly Bodies: Fashion and the Catholic Imagination
Fig 42 Image of a Etro outfit at the Met Gala, Heavenly Bodies: Fashion and the Catholic Imagination
Fig 41 Image of a Off-White outfit at the Met Gala, Heavenly Bodies: Fashion and the Catholic Imagination

WIEDERHOEFT

Wiederhoeft is a contemporary fashion brand that was founded in 2019 by the talented designer, Jackson Wiederhoeft. The brand is deeply inspired by dance, theatre, and performance. The style of his designs is truly unique and each individual piece has its own distinct character The looks he creates allow him to unleash his creativity within the fashion industry. His debut collection, Spooky Couture, was released in October 2019. It was based on a story ballet. The silhouettes for this collection vary

S P O O K Y C O U T U R E

Spooky Season's collection has a show-like pantomime feel, featuring a huge range of materials and colours, with each piece being completely unique Emma, the designer, used this collection as an influence for the costume designs of La Casa Nova, which is evident in various aspects of the outfits in this collection

Specifically focusing on Figure 43 and the silhouette of the outfit. The flared jeans have a similar shape to the flared trousers in the design on Lorenzino, and the high neck of the bodice is in a similar style to the blazer in Anzoletto’s costume design.

Figure 44 has a silhouette similar to the costume design of Domenica. The outfit consists of a corseted bodice with a low waistline and a layered tiered skirt Additionally, the outfit features a bow at the front, which is also a characteristic of Domenica's costume design.

Figure 45 is an image of Spooky Cotour collectively together. Like the outfits in this collection, the costume designs for La Casa Nova also all have different and unique colour schemes, so each costume has a completely different look

Fig 43 Image of Wiederhoeft Spooky Couture Outfit
Fig 44 Image of Wiederhoeft Spooky Couture Outfit
Fig 45 Image of Wiederhoeft Spooky Couture Collection

MISS SOHEE

T H E G I R L I N F U L L B L O O M

Emma, the designer, discussed how Miss Sohee's collection "The Girl in Full Bloom" inspired her costume design "The Girl in Full Bloom" is a collection that was released on Instagram in 2020 as a Central Saint Martins graduate piece by Miss Sohee. Miss Sohee's graduate collection gained attention quickly and was worn by celebrities such as Miley Cyrus and Cardi B less than a year after its release

These looks are very colorful and come in a variety of colorways. They reflect the designer's mood boards more than her actual designs.

The mood board of Rosina has similar types of material and flouncy sleeves. Figure 49 is called look 2 in the collection, and it has a similar colour way to and shaping as the design of Domenica, due to the round floaty skirt in the design.

All the designs in the collection have a unique look, each capturing a different side of fashion This follows the same unique design as the costume design for La Casa Nova.

Fig 46 Image of Look 1 from The Girl In Full Bloom Fig 47 Image of Look 1 from The Girl In Full Bloom
Fig 48 Image of Look 4 from The Girl In Full Bloom
Fig 49 Image of Look 2 from The Girl In Full Bloom
Fig 50 Image of Look 2 from The Girl In Full Bloom
Fig 51 Image of the final look from The Girl In Full Bloom

VIVIENNE WESTWOOD

Vivienne Westwood is a highly acclaimed fashion designer known for creating hundreds of iconic fashion looks during her career. She collaborated with Malcolm McLaren from 1971 to 1983, during which they designed a range of timeless pieces Westwood started by designing teddy boy outfits for McLaren in 1971, before opening her own boutique. Her style of design is dynamic and diverse, as she has created many different looks, including punk, avant-garde, unconventional silhouettes, and mixed fabrics Some of her most iconic runway shows were Pirate (1981) due to its punk-heavy aesthetic, Anglomania (1993) which focused on British culture, and Cut and Slash (2007) which featured deconstructed fashion looks Westwood's popular collections include her 1970s punk collection, which featured a range of tartan materials and safety pins, the Mini Crini 1980s collection that represented exaggerated silhouettes and corsetry, and the Harris and Tweed collection from 1990, which was based on British fabrics

V I N T A G E V I V I E N N E W E S T W O O D

Figure 52 is of a Vivienne Westwood outfit I saw on display at the V&A It's from the Buffalo collection, also known as Nostalgia of Mud The outfit includes a jacket with a hoodie worn underneath, a double-layered skirt, and a purple hat There are symmetrical cuts and rough fabrics such as sheepskin used in this outfit.

Figure 54 shows a blue woolen mini crini from the 1985 collection. The mini crini is a fusion of a Victorian crinoline and a modern mini skirt The skirt's balloon shaping was an uncommon style during that time and resembles ‘a playful child's dress-up or party skirt. This added a fun element to the clothing and contrasted with the tight-fitted garments that were fashionable at the time

The mini crini has a fun and youthful feeling to it which is similar to the costume design for the characters Rosina and Dominica

Figure 55 is a picture of the dress that Billie Piper wore to the 2021 Fashion Awards in London which I saw at Kensington Palace The dress is a strapless Vivienne Westwood creation in baby blue colour, featuring a low neckline, a train, and a high slit on the left leg. The dress has various structural elements that make it stand out This dress bears resemblance to the design of Rosina with the same baby blue strapless dress colour and white high thigh stockings Additionally, the outfit includes gloves that are baggy and made of the same material as the dress.

Fig 52 Image of garments on display at the V&A
Fig 53 Image of Vivienne Westwood outfit on display at the V&A
Fig 54 Image of Vivienne Westwood Mini Crini
Fig 55 Image of Vivienne Westwood Dress at the Kensington Palace Crown to Couture Exhibition

SALTBURN

S O P H I E

C A N A L E

While sourcing Lorenzino’s outfit, I had a lecture by Sophie Canale, the costume designer for Saltburn 2023 She spoke about her design process for the characters and the influences behind her ideas for the main characters' costume design.

I focused on the costume design of Felix Catton as he has a similar social status to the character of Lorenzino and is focused on contemporary costume design

F E L I X C A T T O N

When sourcing the pieces of clothing for the costume of Lorenzino there were a lot of changes to it in the fittings due to fit and appearance so after the fitting I had to work with the designer in order to find something to suit the character.

I had to source a new shirt for Lorenzino and was influenced by the shirts worn by the character Felix Catton from Saltburn in figures 56 and 57

Figure 56 is an image of the iconic look which he wears in the movie which is a loose fit yellow shirt.

Figure 57 is an image of Felix Catton wearing a white vest In both images, his shirt/top looks creased, as if it's just been thrown on This was a design aspect that Sophie spoke about in her lecture as part of the character development in the costume. It allows the audience to understand how the character is wealthy and just throws on these items of clothing, effortlessly looking good.

I wanted to replicate this theme for the character of Lorenzino because he is the love interest in the play and is meant to be cool and desired. The shirt I found was from ASOS and has a loose fit inspired by figure 56. It also has loose fit flared sleeves that tie in with the modern 70s theme of the rest of the outfit. Lorenzino also wears a white vest under his shirt, similar to the vest in figure 57.

I wanted to add something to the outfit to tie it all together and give it a laid-back vibe. I discussed with Emma, the designer, and we both agreed on adding facial piercings to the outfit. We considered an eyebrow piercing similar to the one Felix Catton has in Saltburn in figure 58 However, I found out from makeup that it would be slightly difficult to do So, I ordered a faux piercing multipack from Amazon to experiment with different piercings on Henry. In the end, we added a gold ear cuff and a gold nose hoop piercing to complement his gold chain and gold belt.

Fig 56 Image of Felix Catton from Salt Burn Fig 57 Image of Felix Catton from Salt Burn
Fig 58 Image of Felix Catton from Salt Burn

I

T A L I A N T

R A D E S M A N

I looked on Facebook at Italian trade companies to gain an understanding what modern trade workers wear in Italy.

Figure 59 is an image of an Italian tradesman In this image, he is wearing grey and black cargo with steel toe cap boots and a black hoodie

Figure 60 is an image of a tradesman in Italy working with brickwork In this image, the man is wearing blue jean cargos with steel toe cap boots and a black fleece and orange gloves.

Figure 61 is also an image of an Italian tradesman, he is wearing black cargo trousers with a high-vis jacket and black gloves. All three images feature a variety of clothing, and the workers are all dressed casually, without a specific uniform.

U K T R A D E S M A N

Figure 62 is a photo of my dad, who works as a painter and decorator. In the image, he is wearing a Black fleece underneath white painting overalls with tools tucked into the centre pocket. This image had a significant influence on the style of the boiler suits worn by the workmen I provided the boiler suits to the scenic team, who wore them while painting the set, so they would match the colour of the paint used on the set when the actors wore them on stage Figure 63 is an image of some trade workers I saw in Bournemouth working on the street From the looks of this image, the two workers are from different companies The worker on the left is wearing black cargo shorts with a high-vis s The worker on the right is wearing black

Figure 64 is an image of an electrician working at the Palace Court Theatre I liked the contrast between the painted overalls and the clean appearance of the electrician, which influenced the idea of having Oswald look clean compared to the other workmen

I primarily used the influence of British workmen for the costumes, as the characters are English in the play despite being workmen in Italy Due to most of their work being painting in the play, I used the influence of the overalls in figure 62 and added a Venice symbol patch to the boilersuits, which would be a ‘logo’ of the company they work for.

Fig 63 Image of tradesman working Bournemouth Town Centre
Fig 62 Image of my dad
Fig 64 Image of an electrician at Palace Court Theatre
Fig 61 Image of a tradesman in Italy
Fig 60 Image of a tradesman in Italy
Fig 59 Image of a tradesman in Italy

BAILIFF

I T A L I

A

N B A I L I F F

In Italy, the debt collectors are called "esattori " They are somewhat different from bailiffs in the UK. They dress in suits, as shown in figure 65, and act more like lawyers, settling debts in court.

U K B A I L I F F

Due to comedic effect, the character Prosdocimo, played by Avery as a bailiff in the play, is portrayed as Cockney. We dressed her in a British bailiff uniform to make the role more recognisable to the audience.

For the costume of Prosdocimo I used figures 66, 67 and 68 as influence.

Fig 66 Image of a UK Bailiff
Fig 67 Image of a UK Bailiff
Fig 65 Image of Italian Debt Collector
Fig 68 Image of a UK Bailiff Later on, we added an Italian football scarf to the costume to add personality to the character and play on the fact that the character had a Cockney accent, allowing them to appear more like a tourist
Fig 69 Image of an Italian Football Scarf

JEWELLERY

I went window shopping in the Bournemouth town centre to browse jewellery shops and gain a better understanding of current high-end jewellery trends due to the characters in the show being middle/upper-class members of society.

W A R R E N J A M E S

I checked out the window display at Warren James for necklaces, rings, and earrings. In the bottom part of figure 70, there were mostly gold and silver rings, including plain bands, gemstone rings, and decorative bands. There were also a few silver rings. This influenced my decision to buy silver and gold adjustable ring multipacks as we were able to style the different types of rings for the actors depending on their costume colours.

In figure 70, there are also gold hoop earrings that influence the choice of hoops in the costumes of Cecilia, Checca, and Rosina In figure 71, there are gold and silver chains, which influenced the gold chain in Lorenzino’s costume

C H A R L E S F O X

I glanced through the window of Charles Fox to get an idea of the luxury watches currently available. In Figure 73, there are images of OMEGA gn of the watch worn by Anzoletto, eather strap. In Figure 74, there is an ese watches served as the inspiration a and Fabrizio, as I believed their ly more upscale brand due to their

Fig
Fig 72 Image of Charles Fox Shop Window
Fig 70 Image of Warren James Shop Window
Fig 71 Image of Warren James Shop Window

SHOES

I researched different formal shoe trends to determine the ideal footwear for the characters in La Casa Nova.

M E N S W E A R S H O E S

Figure 76 displays an image of Mary Janes, which are currently a very popular style in fashion and are worn by Rosina in the show. Figures 77 and 78 showcase different versions of Gucci Horsebit Mules, which have a similar appearance to the white heels worn by Checca. Figure 80 features pink satin bow heels. Originally, I purchased a pair of these for the character of Domenica, but due to fit issues, I acquired a white faux leather pair instead. Figure 81 shows a pair of stiletto Louboutins, which are a timeless shoe and served as inspiration for the stilettos worn by Cecilia in the show. Figure 79 is a collective image of popular shoes from spring Vogue 2021.

Figure 82 is an image of men's leather brogues. In the show, Cristofolo wears brown leather

brogues. Additionally, Figure 83 shows leather loafers, which I liked the look of, but they were slightly more of a struggle for the actors to walk in and feel comfortable Figure 84 displays some Christian Louboutin patent leather shoes, which Anzoletto wears in the show. Similar to his wife, he is quite glamorous and would wear an expensive type of shoe Figure 85 is an image of a tassel loafer that has more of a relaxed style to it, similar to the shoe which Lorenzino wears in the show. Figure 86 is an image of a white Saint Laurent loafer These were the original inspiration for the shoes that Fabrizio wears; however, they were difficult to find on a budget, so I went with the white creeper loafers instead.

Fig 86 Image of Saint Laurent loafers
Fig 76 Image of Black Mary Janes
Fig 77 Image of black Gucci Horsebit Mules
Fig 79 Image of Heels from spring 2021 Vogue
Fig 78 Image of white Gucci Horsebit Mules
Fig 81 Image of Black Christian Louboutin heels
Fig 80 Image of heels from spring 2024 Vogue
Fig 85 Image of Tassels
Fig.82. Image of leather brogues
Fig 83 Image of leather Loafers
Fig 84 Image of Christian Louboutin patent leather shoes

CRAVAT RESEARCH

After the pre-assessment ruffle which Count Ottavio wore round his neck was cut due to the director’s decision I looked into different types of neckties which could work with the costume.

T I E S

Figure 88 is an image from GQ that showcases how Eidos styled a tie at 2016 New York Fashion Week. The style is inspired by the easy-going Italian fashion and is reminiscent of how Gianni Agnelli, a former Italian statesman, used to wear his ties

C R A V A T S

Figures 89, 90 and 91 are images of cravats available from Etsy. They’re all advertised as handmade Italy women’s necktie/cravat. I like the texture and structure of the cravats they look unique.

I dressed Count Ottavio’s costume on a stand so I could see how different colours worked with the rest of the costume I liked the effect of the Etsy cravats, so I played around with the shaping of cravats from the costume store. I sewed down the centre of the striped cravat on a 5-width stitch length and then gathered the tail of the cravat.

Fig 88 Image from GQ of tie inspiration
Fig 91 Image of Etsy Cravat
Fig 87 Image of Count Ottavio Design
Fig 90 Image of Etsy Cravat
Fig 89 Image of Etsy Cravat
Fig 92 Image of styling on the stand
Fig 93 Image of styling on the stand Fig 94
Image of styling on the stand

ROSINA DRESS TOILE

D R A P I N G O N T H E S T A N D

When searching for a dress for the character Rosina, I struggled to find a blue dress in the same shape as the costume design So, I made a toile to see how difficult it would be to make Figure 95 is an image of draping on the stand I used a mannequin which had similar measurements to Jada and then draped a calico on it to create a bodice shape I then trimmed down the calico and drew around the centre front centre back etc I then added a waistband which fit to the size of Jada’s waist I then took the pieces of calico off the stand and used them to trace a pattern onto pattern paper. I then used the pattern paper to make calico pattern pieces for the bodice

A K I N G T H E T O I L E

For the centre front bodice panel I gathered along the hem to create the texture and shaping of the bodice, and for the centre front bodice panel, I gathered the hem to create even texture and shaping throughout d her it evenly throughout

To make the skirt, I sewed several panels together in an A-line shape Then, I fitted it to Jada's waist and made sure the seam lines were aligned with the waistband. Finally, I used a petticoat from the costume store and loosely pinned the hemline so that the netted petticoat was slightly revealed at the hem I ended up not making the dress due to time constraints but however, ended up finding a similar white dress and dying it to the blue shade of the costume design.

Fig 97 Image of draping on the stand calico pattern pieces
Fig 95 Image of draping on the stand calico pattern pieces
Fig 96 Image of draping on the stand calico pattern pieces
Fig 98 Image of calico toile front
Fig 99 Image of calico toile side
Fig 100 Image of calico toile back M

DYE ROOM SAMPLES

D Y E I N G S A M P L E S F O R

R O S I N A C O S T U M E D E

S I G

I practised dyeing synthetic fabric samples with Dylon before purchasing the white House of CB dress for the character of Rosina I knew the dress was made from synthetic fabrics, so I wanted to make sure that the dyeing process would work To create the desired colour, I used 1 gram of royal blue Dylon dye for every 3 litres of boiling water I also mixed 1 gram of blue and 1 gram of grey with 3 litres of boiling water My goal was to achieve a very pale blue shade that would match the colour of the design.

I placed the synthetic material sections into the dylon dye for varying periods of time, resulting in the samples shown in Figure 103

5

5

The blue and grey Dylon dye didn’t take very well to the synthetic fabric, and mostly washed out. However the royal blue colour did take well to the fabric and had a gradual development. It was challenging to determine the exact colour that the dress would turn out to be because different fabrics take dye differently. During the dyeing process, the dye took to the material much faster than expected To test this out, I started by dyeing the straps of the dress which took very quickly So, I left the dress in the dye for 3-4 minutes before taking it out and rinsing it

Fig 101 Image of me mixing the Dylon dye
Fig 102 Image of me mixing the Dylon dye
Fig 103 Image of timings of Dylon dye samples

I cut off part of the seam allowance from the hem of Anzoletto's skirt before dying it. To create the dye, I used three grams of Berry Red Dylon dye and three litres of boiling water. Since the skirt was made of synthetic fabrics and had already been dyed grey, it took some time for the dye to take effect. However, after 30 minutes, it began to absorb the colour and turned into a shade of burgundy/purple

D Y I N G S A M P L E S F O R D O M I N I C A

C O S T U M E D E S I G N

I originally bought a corset from Vinted for the costume of Dominica. Due to it being from Vinted there wasn’t much information about the materials used to make it however the fabric appeared to be cotton. I used 10g of pink procion dye, 10g of ash, 10 litres of water and 300g of salt. I originally used a sample of cotton to test this, I then put the corset in the bucket and left it for 30 minutes

Figure 112 shows the result: the corset lining dyed well, but the top fabric didn't change much after rinsing The colour of the sample, however, the top fabric didn’t have a huge change in colour after rinsing out the dye.

Fig 107 Image of a sample of dylon dye
Fig 110 Image of Dyed Skirt
Fig 109 Image of Procion Sample
Fig 112 Image of Dyed Corset Fig 111

BUDGETS

HIRE FORMS

HIRE FORMS

SUPPLIERS LIST

SUPPLIERS LIST

SUPPLIERS LIST

SUSTAINABILITY STATEMENT

ACTOR BREAKDOWNS

Actor: Lewis Feest Character: Anzolotto

Costume Design

Measurement Sheet

Actor Images

Fitting Photos

Fitting Notes

Costume Breakdown

COSTUME DESIGN

*Made by Emma White

MOOD BOARD

*Made by Emma White

LEWIS FEEST FULL BODY IMAGES

FIRST FITTING

FIRST FITTING

FIRST FITTING NOTES

PRE-ASSESSMENT

PRE-ASSESSMENT

PRE-ASSESSMENT NOTES

Actor: Megan Jones Character: Cecilia

Costume Design

Measurement Sheet

Actor Images

Fitting Photos

Fitting Notes

Costume Breakdown

COSTUME DESIGN

*Made by Emma White

MOOD BOARD

*Made by Emma White

MEGAN JONES FULL BODY IMAGES

FIRST FITTING

FIRST FITTING

FIRST FITTING NOTES

PRE-ASSESSMENT

PRE-ASSESSMENT

CECILIA FINAL COSTUME

Actor: Emily Brown Character: Domenica

Costume Design

Measurement Sheet

Actor Images

Fitting Photos

Fitting Notes

Costume Breakdown

COSTUME DESIGN

by Emma White

MOOD BOARD

*Made by Emma White

EMILY BROWN FULL BODY IMAGES

FIRST FITTING

FIRST FITTING NOTES

PRE-ASSESSMENT

PRE-ASSESSMENT

PRE-ASSESSMENT NOTES

Actor: Scarlett Morris Character: Checca

Costume Design

Measurement Sheet

Actor Images

Fitting Photos

Fitting Notes

Costume Breakdown

COSTUME DESIGN

*Made by Emma White

MOOD BOARD

*Made by Emma White

SCARLETT MORRIS FULL BODY IMAGES

FIRST FITTING

FIRST FITTING NOTES

PRE-ASSESSMENT

PRE-ASSESSMENT

CHECCA FINAL COSTUME

Actor: Jada Bodden

Character:

Rosina

Costume Design

Measurement Sheet

Actor Images

Fitting Photos

Fitting Notes

Costume Breakdown

COSTUME DESIGN

*Made by Emma White

MOOD BOARD

*Made by Emma White

JADA BODDEN FULL BODY IMAGES

FIRST FITTING

FIRST FITTING

PRE-ASSESSMENT

PRE-ASSESSMENT

PRE-ASSESSMENT NOTES

ROSINA FINAL COSTUME

Actor: Henry Tran Character: Lorenzino

Costume Design

Measurement Sheet

Actor Images

Fitting Photos

Fitting Notes

Costume Breakdown

COSTUME DESIGN

*Made by Emma White

MOOD BOARD

*Made by Emma White

HENRY TRAN FULL BODY IMAGES

FIRST FITTING

FIRST FITTING NOTES

PRE-ASSESSMENT

PRE-ASSESSMENT

LORENZINO FINAL COSTUME

Actor: Solo Candy Character: Cristofolo

Costume Design

Measurement Sheet

Actor Images

Fitting Photos

Fitting Notes

Costume Breakdown

COSTUME DESIGN

*Made by Emma White

MOOD BOARD

*Made by Emma White

SOLO CANDY FULL BODY IMAGES

FIRST FITTING

FIRST FITTING

FIRST FITTING NOTES

PRE-ASSESSMENT

PRE-ASSESSMENT

PRE-ASSESSMENT NOTES

Actor: James Smith Character: Count Ottavio

Costume Design

Measurement Sheet

Actor Images

Fitting Photos

Fitting Notes

Costume Breakdown

COSTUME DESIGN

by Emma White

MOOD BOARD

*Made by Emma White

JAMES SMITH FULL BODY IMAGES

FIRST FITTING

FIRST FITTING

FIRST FITTING NOTES

PRE-ASSESSMENT

PRE-ASSESSMENT

PRE-ASSESSMENT NOTES

CONT

Actor: Robert Elson

Character: Fabrizio

Costume Design

Measurement Sheet

Actor Images

Fitting Photos

Fitting Notes

Costume Breakdown

COSTUME DESIGN

by Emma White

MOOD BOARD

*Made by Emma White

ROBERT ELSON FULL BODY IMAGES

FIRST FITTING

FIRST FITTING

FIRST FITTING NOTES

PRE-ASSESSMENT

PRE-ASSESSMENT

PRE-ASSESSMENT NOTES

FABRIZIO FINAL COSTUME

Actor: Lily Skeggs Character: Lucietta

Costume Design

Measurement Sheet

Actor Images

Fitting Photos

Fitting Notes

Costume Breakdown

COSTUME DESIGN

by Emma White

LILY SKEGGS FULL BODY IMAGES

FIRST FITTING

FIRST FITTING

PRE-ASSESSMENT

PRE-ASSESSMENT

LUCIETTA FINAL COSTUME

Actor: Jake O’Mahoney Character: Oswaldo

Costume Design

Measurement Sheet

Actor Images

Fitting Photos

Fitting Notes

Costume Breakdown

COSTUME DESIGN

*Made by Emma White

MOOD BOARD

*Made by Emma White

JAKE O’MAHONEY FULL BODY IMAGES

FIRST FITTING

FIRST FITTING

FIRST FITTING NOTES

PRE-ASSESSMENT

PRE-ASSESSMENT

Actor: Teddy Sterry Character: Toni

Costume Design

Measurement Sheet

Actor Images

Fitting Photos

Fitting Notes

Costume Breakdown

COSTUME DESIGN

by Emma White

TEDDY STERRY FULL BODY IMAGES

FIRST FITTING

FIRST FITTING

FIRST FITTING NOTES

PRE-ASSESSMENT

PRE-ASSESSMENT PRE-ASSESSMENT NOTES

TONI FINAL COSTUME

Actor: Teddy Sterry Character: Onifrio

Costume Design

Measurement Sheet

Actor Images

Fitting Photos

Fitting Notes

Costume Breakdown

COSTUME DESIGN

*Made by Emma White

MOOD BOARD

*Made by Emma White

MEASUREMENTS

TEDDY STERRY FULL BODY IMAGES

FIRST FITTING

FIRST FITTING AFTER

FIRST FITTING NOTES

PRE-ASSESSMENT

PRE-ASSESSMENT

PRE-ASSESSMENT NOTES

ONIFRIO FINAL COSTUME

Actor: Avery Kirin Character: Prosdocimo

Costume Design

Measurement Sheet

Actor Images

Fitting Photos

Fitting Notes

Costume Breakdown

COSTUME DESIGN

MOOD BOARD

*Made by Emma White

AVERY KIRIN FULL BODY IMAGES

FIRST FITTING

FIRST FITTING

FIRST FITTING

FIRST FITTING

PROSDOCIMO FINAL COSTUME

Actor: Avery Kirin Character: Luaro

Costume Design

Measurement Sheet

Actor Images

Fitting Photos

Fitting Notes

Costume Breakdown

COSTUME DESIGN

*Made by Emma White

MOOD BOARD

*Made by Emma White

FIRST FITTING

FIRST FITTING

FIRST FITTING

PRE-ASSESSMENT

PRE-ASSESSMENT

LUARO FINAL COSTUME

PRODUCTION PICTURES

PRODUCTION PICTURES

PRODUCTION PICTURES

PRODUCTION PICTURES

PRODUCTION PICTURES

APPENDIX

THE NATIVES SISATA

C O S T

Hire Forms

Styling on the Stand

THE NATIVES SISATA

Styling on the Stand

THE NATIVES SISATA

C A P T A I N J O H N W O R D S W O R T H

1722-1805

Portland shipwreck 5th Feb 1805, he was the captain of Earl of Abergavenny which was the largest ship at the time He has the nickname ‘the philosopher’ due to him always reading Shakespeare or poetry whilst pacing back and fourth on deck. He was also rumoured to be an early suitor of Jane Austen’s

D A P A N D G E N E R A L

Henry Lano Byatt (Dap) 1858-1928

William Thomas Byatt (General) 1866-1933

They were brother who moved to Portland together and weren’t particularly bright. They were known to do any odd jobs around Portland to make money such as fishing, mining and handy work

D O D G E C U T T I N G

1881-1940

Soldier in the British army who suffered from severe shell shock after WW1 Unfortunately, he never recovered from his condition and never pursued any form of career, and was known as a scrounger around Portland and would survive on odd jobs

He was best known for keeping a cow in pristine condition that he spent any money he got on He housed it in a shed decorated with carpet, paintings, and a harmonium

M A R I E S T O P E S

1920s

She had a huge impact on making the Portland museum what it is today. She converted it from a house into the museum and also played a significant role in the UK’s first contraception clinic

S E Q U A H

1885

He was described as a medical showman who eventually lost his following He was popular for being known as a dentist who would cause no pain to his patients. However, he had an obsession with Native Americans. He would dress as a cowboy, and his assistants would dress as cowboys and Native Americans. They would play drums to drown out the sound of the patients' pain

M A R Y W A Y

1803

She died by accident at the age of 21 due to being shot by the press gang. This day is known as the Easton massacre; three innocent people died due to the refusal to join the press gang.

CPD HOURS

T H E B A L L A D

O F M A R I A

M A R T E N

Dressing 1st Fitting

L A C A S A N O V A P E R I O D

Dressing/ Photographer for 1st Fitting

Note Taking 2nd Fitting

REFERENCES

Abad, M. (2019). Inside Wiederhoeft’s Debut ‘Spooky Couture’ Collection [online]. Available from: Inside Wiederhoeft’s Debut ‘Spooky Couture’ Collection [Accessed 2024]

Bolton, A , Barbara Drake Boehm, Marzia Cataldi Gallo, C Griffith Mann, Morgan, D , Gianfranco Ravasi, Tracy, D , Jebb, K and New, A (2018) Heavenly bodies : fashion and the Catholic imagination II, Fashioning worship. III, Fashioning devotion. New York: The Metropolitan Museum Of Art.

Douglass, R. (2021). Item of the week: the boiler jumpsuit [online]. Available from: https://fashionunited uk/news/fashion/item-of-the-week-the-boiler-jumpsuit/2021121560087 [Accessed 2024]

Ellis, A , Enrico Quinto and Paolo Tinarelli (2014) Italian glamour : the essence of Italian fashion from the postwar years to the present day : the Enrico Quinto and Paolo Tinarelli collection. Milan, Italy: Skira

Goldoni, C (1857) La casa nova

Hess, M (2020) The illustrated world of couture Richmond, Victoria: Hardie Grant Egmont

Lawyer in Italy | Dimarco & Partners International Law Firm | English Speaking Lawyers in ItalyAvailable from: https://www lawyer-italy org/enforcement-milan html (n d ) Enforcement in Milan | Dimarco & Partners International Law Firm [online]. [Accessed 2024].

Museum, V and A (n d ) Ensemble | Westwood, Vivienne | McLaren, Malcolm | V&A Explore The Collections [online] Available from: https://collections vam ac uk/item/O68931/ensemble-mclarenmalcolm/ [Accessed 2024]

PORTER, M (2023) Fashion: All You Need To Know About Dress Shoes | The Journal | MR PORTER [online]. Available from: https://www.mrporter.com/en-gb/journal/fashion/everything-you-alwayswanted-to-know-about-dress-shoes-but-were--800626 [Accessed 2024]

SAHIN, A (2023) Dolce & Gabbana History of The Fashion Label [online] Available from: https://sendegaro com/en-gb/blogs/world-of-dolce-gabbana/domenico-dolce-stefano-gabbana-thestory-behind-the-fashion-label [Accessed 2024]

Sharma, J. (2018). A brief history of Charles James, the designer who inspired Phantom Thread [online]. Available from: https://www interviewmagazine com/fashion/brief-history-charles-james-designerinspired-phantom-thread [Accessed 2024].

Steele, V and Fashion Institute Of Technology (New York, N Y ) Museum (2003) Fashion, Italian style New Haven: Yale University Press

REFERENCES

THOMAS, S. (2011). One Man, Many Playwrights - Page 3 of 3 [online]. Available from: https://exeuntmagazine com/features/one-man-many-playwrights/3/ [Accessed 2024]

Tregaskes, C (n d ) Dolce & Gabbana unveil latest collections with a three-day Renaissance extravaganza in Florence [online] Available from: https://www tatler com/article/dolce-gabbana-altamoda-ss21-couture [Accessed 2024].

White, N. (2000). Reconstructing Italian fashion : America and the development of the Italian fashion industry Oxford: Berg

Woolf, J (2016) How to Wear Your Tie Like an Italian Style Master [online] Available from: https://www gq com/story/tying-your-tie-italian-style-eidos-fall-winter [Accessed 2024]

www viviennewestwood comAvailable from: https://www viviennewestwood com/en-gb/westwoodworld/the-story-so-far/ (2023). The Story so Far | Vivienne Westwood® [online]. [Accessed 2024].

BIBLIOGRAPHY

Abad, M. (2019). Inside Wiederhoeft’s Debut ‘Spooky Couture’ Collection [online]. Available from: Inside Wiederhoeft’s Debut ‘Spooky Couture’ Collection [Accessed 2024]

Available from: https://www zendayastylefiles com/2018/05/zendaya-becomes-saint-joan-of-arc-at html (n.d.). Zendaya Becomes Saint Joan Of Arc At The 2018 MET Gala! [online]. [Accessed 2024].

Bolton, A., Barbara Drake Boehm, Marzia Cataldi Gallo, C Griffith Mann, Morgan, D., Gianfranco Ravasi, Tracy, D , Jebb, K and New, A (2018) Heavenly bodies : fashion and the Catholic imagination II, Fashioning worship III, Fashioning devotion New York: The Metropolitan Museum Of Art

Douglass, R (2021) Item of the week: the boiler jumpsuit [online] Available from: https://fashionunited uk/news/fashion/item-of-the-week-the-boiler-jumpsuit/2021121560087 [Accessed 2024]

Ellis, A , Enrico Quinto and Paolo Tinarelli (2014) Italian glamour : the essence of Italian fashion from the postwar years to the present day : the Enrico Quinto and Paolo Tinarelli collection Milan, Italy: Skira giuliagenito (2012) La casa nova - Carlo Goldoni [online] Available from: https://youtu be/GqB7MXbxFp4? si=QNBK1 98MPOZkHGQ [Accessed 2024]

Goldoni, C. (1857). La casa nova.

Halie LeSavage (2018). Met Gala 2018 Red Carpet: See Every Single Look [online]. Available from: https://www glamour com/gallery/met-gala-2018-red-carpet-every-look [Accessed 2024]

Hess, M (2020) The illustrated world of couture Richmond, Victoria: Hardie Grant Egmont

Keating, M (2012) Meet the Playwright: Carlo Goldoni [online] Available from: https://www.alleytheatre.org/shows-and-events/further-reading/the-servant-of-two-masters-furtherreading/meet-the-playwright-carlo-goldoni/ [Accessed 2024]

Lawyer in Italy | Dimarco & Partners International Law Firm | English Speaking Lawyers in ItalyAvailable from: https://www.lawyer-italy.org/enforcement-milan.html (n.d.). Enforcement in Milan | Dimarco & Partners International Law Firm [online] [Accessed 2024]

L’Officiel BalticAvailable from: https://www lofficielbaltic com/en/fashion-week/divine-inspiration-dolcegabbana-alta-moda-2019 (n d ) Divine Inspiration: Dolce & Gabbana Alta Moda 2019 [online] [Accessed 2024]

Museum, V and A (n d ) Ensemble | Westwood, Vivienne | McLaren, Malcolm | V&A Explore The Collections [online] Available from: https://collections vam ac uk/item/O68931/ensemble-mclarenmalcolm/ [Accessed 2024]

Nast, C (2022) 29 Unforgettable Vivienne Westwood Runway Moments [online] Available from: https://www vogue co uk/fashion/article/vivienne-westwood-unforgettable-runway-moments [Accessed 2024]

BIBLIOGRAPHY

PORTER, M (2023) Fashion: All You Need To Know About Dress Shoes | The Journal | MR PORTER [online] Available from: https://www mrporter com/en-gb/journal/fashion/everything-you-always-wanted-to-knowabout-dress-shoes-but-were--800626 [Accessed 2024]

s r o, S T (2023) Gucci: History and Fascinating Facts about the Brand [online] Available from: https://www aurifo com/uk/a/gucci-history-and-fascinating-facts-about-the-brand [Accessed 2024]

SAHIN, A (2023) Dolce & Gabbana History of The Fashion Label [online] Available from: https://sendegaro com/en-gb/blogs/world-of-dolce-gabbana/domenico-dolce-stefano-gabbana-the-storybehind-the-fashion-label [Accessed 2024]

Sharma, J. (2018). A brief history of Charles James, the designer who inspired Phantom Thread [online]. Available from: https://www interviewmagazine com/fashion/brief-history-charles-james-designerinspired-phantom-thread [Accessed 2024].

Smith, J.H. (2023). Meet Your Favorite Celebrity’s Favorite Designer [online]. Available from: https://www glamour com/story/jackson-wiederhoeft-profile [Accessed 2024]

Steele, V and Fashion Institute Of Technology (New York, N Y ) Museum (2003) Fashion, Italian style New Haven: Yale University Press.

THOMAS, S. (2011). One Man, Many Playwrights - Page 3 of 3 [online]. Available from: https://exeuntmagazine com/features/one-man-many-playwrights/3/ [Accessed 2024]

Tregaskes, C (n d ) Dolce & Gabbana unveil latest collections with a three-day Renaissance extravaganza in Florence [online]. Available from: https://www.tatler.com/article/dolce-gabbana-alta-moda-ss21-couture [Accessed 2024]

Victoria and Albert MuseumAvailable from: https://www vam ac uk/articles/vivienne-westwood-a-tastefor-the-past#:~:text=Westwood%20was%20renowned%20for%20her (n d ) Vivienne Westwood: a taste for the past · V&A [online] [Accessed 2024]

Victorian CollectionsAvailable from: https://victoriancollections net au/items/5c45b6b921ea6904600937fa (n d ) Clothing - Blue Wool Mini-crini, Vivienne Westwood, 1980s [online] [Accessed 2024]

White, N (2000) Reconstructing Italian fashion : America and the development of the Italian fashion industry Oxford: Berg

Woolf, J. (2016). How to Wear Your Tie Like an Italian Style Master [online]. Available from: https://www gq com/story/tying-your-tie-italian-style-eidos-fall-winter [Accessed 2024]

www viviennewestwood comAvailable from: https://www viviennewestwood com/en-gb/westwoodworld/the-story-so-far/ (2023). The Story so Far | Vivienne Westwood® [online]. [Accessed 2024].

LIST OF FIGURES

Figure. 1. Carlo Osvaldo Goldoni (2021) heritage.unipd.it. Available at: https://heritage.unipd.it/en/storia/carloosvaldo-goldoni/ (Accessed: 23 April 2024).

Figure. 2.La Casa Nova (no date) Wikipedia. Available at: https://it.wikipedia.org/wiki/La_casa_nova#/media/File:Goldoni_-_La_casa_nova.jpg (Accessed: 23 April 2024).

Figure. 3. La Casa Nova - Carlo Goldoni (2012) YouTube. Available at: https://youtu.be/GqB7MXbxFp4? si=dhordp3dxJmYvMkg (Accessed: 23 April 2024).

Figure. 4. La Casa Nova - Carlo Goldoni (2012) YouTube. Available at: https://youtu.be/GqB7MXbxFp4? si=dhordp3dxJmYvMkg (Accessed: 23 April 2024).

Figure. 5. La Casa Nova - Carlo Goldoni (2012) YouTube. Available at: https://youtu.be/GqB7MXbxFp4? si=dhordp3dxJmYvMkg (Accessed: 23 April 2024).

Figure. 6. La Casa Nova - Carlo Goldoni (2012) YouTube. Available at: https://youtu.be/GqB7MXbxFp4? si=dhordp3dxJmYvMkg (Accessed: 23 April 2024).

Figure. 7. La Casa Nova - Carlo Goldoni (2012) YouTube. Available at: https://youtu.be/GqB7MXbxFp4? si=dhordp3dxJmYvMkg (Accessed: 23 April 2024).

Figure. 8. La Casa Nova - Carlo Goldoni (2012) YouTube. Available at: https://youtu.be/GqB7MXbxFp4? si=dhordp3dxJmYvMkg (Accessed: 23 April 2024).

Figure. 9. La Casa Nova - Carlo Goldoni (2012) YouTube. Available at: https://youtu.be/GqB7MXbxFp4? si=dhordp3dxJmYvMkg (Accessed: 23 April 2024).

Figure. 10. La Casa Nova - Carlo Goldoni (2012) YouTube. Available at: https://youtu.be/GqB7MXbxFp4? si=dhordp3dxJmYvMkg (Accessed: 23 April 2024).

Figure. 11. La Casa Nova - Carlo Goldoni (2012) YouTube. Available at: https://youtu.be/GqB7MXbxFp4? si=dhordp3dxJmYvMkg (Accessed: 23 April 2024).

Figure. 12. La Casa Nova - Carlo Goldoni (2012) YouTube. Available at: https://youtu.be/GqB7MXbxFp4? si=dhordp3dxJmYvMkg (Accessed: 23 April 2024).

Figure. 13. La Casa Nova - Carlo Goldoni (2012) YouTube. Available at: https://youtu.be/GqB7MXbxFp4? si=dhordp3dxJmYvMkg (Accessed: 23 April 2024).

Figure. 14. La Casa Nova - Carlo Goldoni (2012) YouTube. Available at: https://youtu.be/GqB7MXbxFp4? si=dhordp3dxJmYvMkg (Accessed: 23 April 2024).

Figure. 15. La Casa Nova - Carlo Goldoni (2012) YouTube. Available at: https://youtu.be/GqB7MXbxFp4? si=dhordp3dxJmYvMkg (Accessed: 23 April 2024).

LIST OF FIGURES

Figure. 16. La Casa Nova - Carlo Goldoni (2012) YouTube. Available at: https://youtu.be/GqB7MXbxFp4? si=dhordp3dxJmYvMkg (Accessed: 23 April 2024).

Figure. 17. La Casa Nova - Carlo Goldoni (2012) YouTube. Available at: https://youtu.be/GqB7MXbxFp4? si=dhordp3dxJmYvMkg (Accessed: 23 April 2024).

Figure. 18. La Casa Nova - Carlo Goldoni (2012) YouTube. Available at: https://youtu.be/GqB7MXbxFp4? si=dhordp3dxJmYvMkg (Accessed: 23 April 2024).

Figure. 19. La Casa Nova - Carlo Goldoni (2012) YouTube. Available at: https://youtu.be/GqB7MXbxFp4? si=dhordp3dxJmYvMkg (Accessed: 23 April 2024).

Figure. 20. Steele, V. (2003) Fashion italian style. New Haven, CT: Yale University Press.

Figure. 21. Steele, V. (2003) Fashion italian style. New Haven, CT: Yale University Press.

Figure. 22. Steele, V. (2003) Fashion italian style. New Haven, CT: Yale University Press.

Figure. 23. (No date) Elizabeth Hurley recreates famous Versace pin dress and reveals what it means to her. Available at: https://www.harpersbazaar.com/fashion/designers/a26869247/elizabeth-hurley-versace-dress/ (Accessed: 23 April 2024).

Figure. 24 .Steele, V. (2003) Fashion italian style. New Haven, CT: Yale University Press. Figure. 25. Steele, V. (2003) Fashion italian style. New Haven, CT: Yale University Press.

Figure. 26. Steele, V. (2003) Fashion italian style. New Haven, CT: Yale University Press.

Figure. 27.Steele, V. (2003) Fashion italian style. New Haven, CT: Yale University Press.

Figure. 28.Steele, V. (2003) Fashion italian style. New Haven, CT: Yale University Press.

Figure. 29. Steele, V. (2003) Fashion italian style. New Haven, CT: Yale University Press.

Figure. 30. L’Officiel BalticAvailable from: https://www.lofficielbaltic.com/en/fashion-week/divine-inspirationdolce-gabbana-alta-moda-2019 (n.d.). Divine Inspiration: Dolce & Gabbana Alta Moda 2019 [online]. [Accessed 2024].

Figure. 31. L’Officiel BalticAvailable from: https://www.lofficielbaltic.com/en/fashion-week/divine-inspirationdolce-gabbana-alta-moda-2019 (n.d.). Divine Inspiration: Dolce & Gabbana Alta Moda 2019 [online]. [Accessed 2024].

Figure. 32. L’Officiel BalticAvailable from: https://www.lofficielbaltic.com/en/fashion-week/divine-inspirationdolce-gabbana-alta-moda-2019 (n.d.). Divine Inspiration: Dolce & Gabbana Alta Moda 2019 [online]. [Accessed 2024].

LIST OF FIGURES

Figure. 33. L’Officiel BalticAvailable from: https://www.lofficielbaltic.com/en/fashion-week/divine-inspirationdolce-gabbana-alta-moda-2019 (n.d.). Divine Inspiration: Dolce & Gabbana Alta Moda 2019 [online]. [Accessed 2024].

Figure. 34. L’Officiel BalticAvailable from: https://www.lofficielbaltic.com/en/fashion-week/divine-inspirationdolce-gabbana-alta-moda-2019 (n.d.). Divine Inspiration: Dolce & Gabbana Alta Moda 2019 [online]. [Accessed 2024].

Figure. 35. Image taken by myself at the Kensington Palace Crown to Couture Exhibition

Figure. 36. DeStefano, M. (n.d.). The Best Travis Scott Outfits of All Time [online]. Available from: https://www.complex.com/style/a/mike-destefano/best-travis-scott-outfits [Accessed 2024].

Figure. 37. Fernandez, C. (2018). Zendaya Is a Warrior Ready to Take On the World in Her Met Gala Gown [online]. Available from: https://www.popsugar.com/fashion/zendaya-met-gala-dress-2018-44821237 [Accessed 2024].

Figure. 38. CelebMafiaAvailable from: https://celebmafia.com/eiza-gonzalez-met-gala-2018-1390712/ (2018). Eiza Gonzalez – MET Gala 2018 • CelebMafia [online]. [Accessed 2024].

Figure. 39. Image was taken by myself at the V&A DIVA Exhibition

Figure. 40.Available from: https://www.justjared.com/photo-gallery/4079105/riley-keough-sasha-lane-met-gala2018-07/ (2018). [online]. [Accessed 2024].

Figure. 41. Nast, C. (2018). Met Gala 2018: The sleekest, most outrageous menswear on show [online]. Available from: https://www.gq-magazine.co.uk/gallery/met-gala-best-dressed-men-2018 [Accessed 2024].

Figure. 42. Nast, C. (2018). Met Gala 2018: The sleekest, most outrageous menswear on show [online]. Available from: https://www.gq-magazine.co.uk/gallery/met-gala-best-dressed-men-2018 [Accessed 2024].

Figure. 43. WiederhoeftAvailable from: https://www.wiederhoeft.com/pages/ss20-spooky-couture (n.d.). SS20 Spooky Couture [online]. [Accessed 2024].

Figure. 44. WiederhoeftAvailable from: https://www.wiederhoeft.com/pages/ss20-spooky-couture (n.d.). SS20 Spooky Couture [online]. [Accessed 2024].

Figure. 45. WiederhoeftAvailable from: https://www.wiederhoeft.com/pages/ss20-spooky-couture (n.d.). SS20 Spooky Couture [online]. [Accessed 2024].

Figure. 46. Sohee, Miss (2020). Miss Sohee Instagram [online]. Available from: https://www.instagram.com/miss_sohee/?hl=en [Accessed 2024].

Figure. 47. Sohee, Miss (2020). Miss Sohee Instagram [online]. Available from: https://www.instagram.com/miss_sohee/?hl=en [Accessed 2024].

LIST OF FIGURES

FFigure. 48. Sohee, Miss (2020). Miss Sohee Instagram [online]. Available from: https://www.instagram.com/miss_sohee/?hl=en [Accessed 2024].

Figure. 49.Sohee, Miss (2020). Miss Sohee Instagram [online]. Available from: https://www.instagram.com/miss_sohee/?hl=en [Accessed 2024].

Figure. 50. (Sohee, Miss (2020). Miss Sohee Instagram [online]. Available from: https://www.instagram.com/miss_sohee/?hl=en [Accessed 2024].

Figure. 51. (Sohee, Miss (2020). Miss Sohee Instagram [online]. Available from: https://www.instagram.com/miss_sohee/?hl=en [Accessed 2024].

Figure. 52. Image I took at the V&A

Figure. 53. Victoria and Albert Museum (2017). Vivienne Westwood: punk, New Romantic and beyond [online]. Available from: https://www.vam.ac.uk/articles/vivienne-westwood-punk-new-romantic-and-beyond [Accessed 2024].

Figure. 54. Victorian CollectionsAvailable from: https://victoriancollections.net.au/items/5c45b6b921ea6904600937fa (n.d.). Clothing - Blue Wool Mini-crini, Vivienne Westwood, 1980s [online]. [Accessed 2024].

Figure. 55. Image I took of Vivienne Westwood Dress at the Kensington Palace Crown to Couture Exhibition

Figure. 56. Miller, T. (2023). Is ‘Saltburn’ A Twisted knockoff of ‘The Talented Mr. Ripley’? [online]. Available from: https://www.peliplat.com/en/article/10008811/Is-%E2%80%98Saltburn%E2%80%99-A-Twisted-knockoff-of%E2%80%98The-Talented-Mr.-Ripley%E2%80%99 [Accessed 2024].

Figure. 57. Miller, T. (2023). Is ‘Saltburn’ A Twisted knockoff of ‘The Talented Mr. Ripley’? [online]. Available from: https://www.peliplat.com/en/article/10008811/Is-%E2%80%98Saltburn%E2%80%99-A-Twisted-knockoff-of%E2%80%98The-Talented-Mr.-Ripley%E2%80%99 [Accessed 2024].

Figure. 58. Miller, T. (2023). Is ‘Saltburn’ A Twisted knockoff of ‘The Talented Mr. Ripley’? [online]. Available from: https://www.peliplat.com/en/article/10008811/Is-%E2%80%98Saltburn%E2%80%99-A-Twisted-knockoff-of%E2%80%98The-Talented-Mr.-Ripley%E2%80%99 [Accessed 2024].

Figure. 59. Workers, I. (2020). Facebook [online]. Available from: https://www.facebook.com/photo/? fbid=349450222341569&set=pb.100058949540593.-2207520000 [Accessed 2024].

Figure. 60. Workers, I. (2020). Facebook [online]. Available from: https://www.facebook.com/photo/? fbid=349450222341569&set=pb.100058949540593.-2207520000 [Accessed 2024].

Figure. 61. Workers, I. (2020). Facebook [online]. Available from: https://www.facebook.com/photo/? fbid=349450222341569&set=pb.100058949540593.-2207520000 [Accessed 2024].

Figure. 62. Image taken by myself of my dad

LIST OF FIGURES

Figure. 63. Image taken by myself of tradesmen in Bournemouth

Figure. 64. Image taken by myself of an electrician at PCT

Figure. 65. Bierens Debt Recovery LawyersAvailable from: https://www.bierensgroup.com/en-gb/debt-collectionitaly/ (n.d.). Debt Collection in Italy – No Cure No Pay | Bierens (Tip!) [online]. [Accessed 2024].

Figure. 66. Anon (2024). Bailiff referrals rise by 20% over council debts. BBC News. 23rd January [online]. Available from: https://www.bbc.co.uk/news/business-68054306 [Accessed 2024].

Figure. 67. Mears, T. and Rodger, J. (2018). The law on bailiffs visiting your house - what they can and can’t do [online]. Available from: https://www.birminghammail.co.uk/news/midlands-news/law-bailiffs-can-cannot-do13909055 [Accessed 2024].

Figure. 68. www.ukbailiffs.co.ukAvailable from: https://www.ukbailiffs.co.uk/bailiff-powers-when-they-visit-yourhome (n.d.). Bailiff powers [online]. [Accessed 2024].

Figure. 69. Image taken by myself of Italian football scarf

Figure. 70. Image taken by myself of Warren James Shop Window

Figure. 71. Image taken by myself of Warren James Shop Window

Figure. 72. Image taken by myself of Charles Fox Shop Window

Figure. 73. Image taken by myself of Charles Fox Shop Window

Figure. 74. Image taken by myself of Charles Fox Shop Window

Figure. 75. Image taken by myself of Charles Fox Shop Window

Figure. 76. PinterestAvailable from: https://www.pinterest.co.uk/pin/917467755329176989/ (2024). Épinglé par keziah sur shoes en 2024 | Chaussures mi talon, Escarpin femme, Chaussure mode [online]. [Accessed 2024].

Figure. 77. Nast, C. (2023). The 10 Key Shoe Trends To Know From The SS24 Runways [online]. Available from: https://www.vogue.co.uk/article/shoe-trends-ss24 [Accessed 2024].

Figure. 78. Cary, A. (2021). The Best Heels To Embrace Freedom In This Spring [online]. Available from: https://www.vogue.co.uk/fashion/gallery/spring-heeled-shoes [Accessed 2024].

Figure. 79. Cary, A. (2021). The Best Heels To Embrace Freedom In This Spring [online]. Available from: https://www.vogue.co.uk/fashion/gallery/spring-heeled-shoes [Accessed 2024].

Figure. 80. Nast, C. (2023). The 10 Key Shoe Trends To Know From The SS24 Runways [online]. Available from: https://www.vogue.co.uk/article/shoe-trends-ss24 [Accessed 2024].

LIST OF FIGURES

Figure. 81. Christian LouboutinAvailable from: https://eu.christianlouboutin.com/uk_en/so-kate-black3130694bk01.html?

utm_source=google&utm_medium=cpc&utm_campaign=1648975669&utm_term=&gad_source=1&gclid=Cj0KCQj wxqayBhDFARIsAANWRnTOhkcRIBXUkNofROAEmhdHbL_1U33QTniB-uX0lnV-25UfpphOwigaAuhDEALw_wcB (n.d.). So Kate [online]. [Accessed 2024].

Figure. 82. PORTER, M. (2023). Fashion: All You Need To Know About Dress Shoes | The Journal | MR PORTER [online]. Available from: https://www.mrporter.com/en-gb/journal/fashion/everything-you-always-wanted-toknow-about-dress-shoes-but-were--800626 [Accessed 2024].

Figure. 83. PORTER, M. (2023). Fashion: All You Need To Know About Dress Shoes | The Journal | MR PORTER [online]. Available from: https://www.mrporter.com/en-gb/journal/fashion/everything-you-always-wanted-toknow-about-dress-shoes-but-were--800626 [Accessed 2024].

Figure. 84. James, H. (2024). 18 Best Dress Shoes For Men: Different Styles For Any Occasion 2024 | FashionBeans [online]. Available from: https://www.fashionbeans.com/article/best-dress-shoes-for-men/? http://ignorenitro=429979a74eb1bff0e42f091601c8a91c [Accessed 2024].

Figure. 85. PORTER, M. (2023). Fashion: All You Need To Know About Dress Shoes | The Journal | MR PORTER [online]. Available from: https://www.mrporter.com/en-gb/journal/fashion/everything-you-always-wanted-toknow-about-dress-shoes-but-were--800626 [Accessed 2024].

Figure. 86. James, H. (2024). 18 Best Dress Shoes For Men: Different Styles For Any Occasion 2024 | FashionBeans [online]. Available from: https://www.fashionbeans.com/article/best-dress-shoes-for-men/? http://ignorenitro=429979a74eb1bff0e42f091601c8a91c [Accessed 2024].

Figure. 87. Count Ottavio Costume Design by Emma White

Figure. 88. Woolf, J. (2016). How to Wear Your Tie Like an Italian Style Master [online]. Available from: https://www.gq.com/story/tying-your-tie-italian-style-eidos-fall-winter [Accessed 2024].

Figure. 89. www.etsy.comAvailable from: https://www.etsy.com/uk/listing/1651190482/new-tie-women-italynecktie-cravatta?

click_key=9da2190555467eb0a70fcb5f3f32399503cf016f%3A1651190482&click_sum=9ad1ea05&ref=related3&frs=1 (n.d.). NEW Tie Women Italy Necktie Cravatta Scarf Neckerchief Cravat Handmade. Material Polyester and Lace - Etsy UK [online]. [Accessed 2024].

Figure. 90. www.etsy.comAvailable from: https://www.etsy.com/uk/listing/1651190482/new-tie-women-italynecktie-cravatta?

click_key=9da2190555467eb0a70fcb5f3f32399503cf016f%3A1651190482&click_sum=9ad1ea05&ref=related3&frs=1 (n.d.). NEW Tie Women Italy Necktie Cravatta Scarf Neckerchief Cravat Handmade. Material Polyester and Lace - Etsy UK [online]. [Accessed 2024].

LIST OF FIGURES

Figure. 91. www.etsy.comAvailable from: https://www.etsy.com/uk/listing/1651190482/new-tie-women-italy-necktiecravatta?

click_key=9da2190555467eb0a70fcb5f3f32399503cf016f%3A1651190482&click_sum=9ad1ea05&ref=related-3&frs=1 (n.d.). NEW Tie Women Italy Necktie Cravatta Scarf Neckerchief Cravat Handmade. Material Polyester and Lace - Etsy UK [online]. [Accessed 2024].

Figure. 92. Image taken by myself of cravat styling on the stand

Figure. 93. Image taken by myself of cravat styling on the stand

Figure. 94. Image taken by myself of cravat styling on the stand

Figure. 95. Image taken by myself of toile draping on the stand

Figure. 96. Image taken by myself of toile draping on the stand

Figure. 97. Image taken by myself of toile draping on the stand

Figure. 98. Image taken by myself of toile

Figure. 99. Image taken by myself of toile

Figure. 100. Image taken by myself of toile

Figure. 101. Image taken by Nicole McCafferty of me in the dye room

Figure. 102. Image taken by Nicole McCafferty of me in the dye room

Figure. 103. Image taken by myself in the dye room

Figure. 104. Image taken by myself of Jada in the dress

Figure. 105. Image taken by myself of Jada in the dress

Figure. 106. Image taken by myself in the dye room

Figure. 107. Image taken by myself in the dye room

Figure. 108. Image of Anzoletto skirt before

Figure. 109. Image taken by myself in the dye room

Figure. 110. Image taken by myself in the dye room

Figure. 111. Image taken by myself of corset before

Figure. 112. Image taken by myself of corset after

Turn static files into dynamic content formats.

Create a flipbook
Issuu converts static files into: digital portfolios, online yearbooks, online catalogs, digital photo albums and more. Sign up and create your flipbook.