Skip to main content

จดหมายข่าวชาและกาแฟ ฉบับที่ 27

Page 1


SPECIAL REPORT SPECIAL REPORT

กจกรรมแลกเปลยนองคความรดานการผสม กจกรรมแลกเปลยนองคความรดานการผสม ผสานการทองเทยวเชงเกษตรและกาแฟใน ผสานการทองเทยวเชงเกษตรและกาแฟใน ประเทศไทย ประเทศไทย

Volume 7 Issue 27, Jan – March 2025

TALK ABOUT TALK ABOUT TEA & COFFEE TEA & COFFEE ชาซลอน (CEYLON TEA) : ชาซลอน (CEYLON TEA) :

ชาชนเลศจากเกาะศรลงกา ทครองใจคนทวโลก ทครองใจคนทวโลก

Editor’s Editor’s Desk Desk

จะมาบอกเลาเรองราวกจกรรมแลกเปลยนองคความรดานการผสมผสานการทองเทยวเชงเกษตรและกาแฟในประเทศไทย ระหวางผเชยวชาญชาญจากโคลอมเบยทเดนทางมาแลกเปลยนทประเทศไทย คอลมน Talk About Tea & Coffee ฉบบน ขอนําเสนอบทความ ชาซลอน (Ceylon Tea) : ชาชนเลศจากเกาะศรลงกาทครองใจคนทวโลก คอลมน Tea & Coffee

Research พบกบบทความศกยภาพชาซลอนตอการยบยงเอนไซมยอยคารโบไฮเดรต (α-amylase และ α-glucosidase): แนวทางงานวจยเพอการควบคมระดบนํ้าตาลในเลอด คอลมน Café Around ยงคงพาทกทานไปเปดประสบการณใหมกบ

ชาซลอน (Ceylon Tea) :

Tea and Coffee Institute, Mae Fah Luang University

Moo 1 Tasud Sub District, Muang District, Chiang Rai 57100

Training on a Sustainability of Arabica Coffee Production in Thailand (พ ศ 2568 - 2570)

โดยความรวมมอของ TICA, มหาวทยาลยแมฟาหลวง (MFU) และ APC Colombia กจกรรมนดําเนนการภายใตความรวมมอระหวาง

กรมความรวมมอระหวางประเทศ (TICA), มหาวทยาลยแมฟาหลวง (MFU) และ หนวยงานความรวมมอระหวางประเทศแหงสาธารณรฐ

โคลอมเบย (APC Colombia) ภายใตแผนงานความรวมมอเพอการ

พฒนาไทย - โคลอมเบย ระยะ 3 ป (พ ศ 2568 - 2570) ใน

โครงการ "Training on a Sustainability of Arabica Coffee

Production in Thailand"

กจกรรมแลกเปลยนองคความรดานการผสมผสานการทองเทยวเชง

2568 ณ มหาวทยาลยแมฟาหลวง

เชยวชาญของโคลอมเบยทมาแบงปนใหกบเกษตรกรและผเขารวม กจกรรมไดรบฟง ในหวขอในหวขอ Colombia Coffee

Variety, Production and Research โดย Mr Santiago

Jaramillo Cardona นกวจยจาก CENICAFÉ ไดนําเสนอองค

ความรเชงลกเกยวกบระบบการผลตกาแฟในประเทศโคลอมเบย

โดยครอบคลมตงแตโครงสรางอตสาหกรรมกาแฟระดบประเทศ

ซงมเกษตรกรรายยอยเปนสดสวนมากกวา 97% สะทอนใหเหน

ถงความสําคญของการพฒนาเทคโนโลยทสามารถนําไปใชไดจรง

ในระดบฟารม ไปจนถงบทบาทของศนยวจย Cenicafé ซงทํา

หนาทเปนกลไกหลกในการพฒนาองคความรดานวทยาศาสตร

และเทคโนโลยการผลตกาแฟ

ใชพนทและเรงการใหผลผลต นอกจากน

รวมถงการปรบปรงความเปนกรด-ดางของดน

ปรมาณ และชวงเวลาในการใสปยอยางเหมาะสม

ไดอยางมประสทธภาพ ในดานการจดการระบบปลก

เสนอทงระบบการปลกแบบกลางแจง (full-sun system) และ

ระบบปลกภายใตรมเงา (shade-grown หรอ agroforestry system)

ซงแตละระบบมขอดแตกตางกน โดยระบบปลกกลาง

แจงชวยเพมผลผลต ขณะทระบบปลกภายใตรมเงาชวยรกษา

สมดลของระบบนเวศ ลดความเสยงจากการเปลยนแปลงสภาพ ภมอากาศ และสงเสรมคณภาพเมลดกาแฟในระยะยาว

ในชวงตนศตวรรษท

และมชอเสยงในฐานะประเทศผผลตกาแฟรายสําคญของ โลก ไรกาแฟจํานวนมหาศาลถกปลกตามพนทภเขาของเกาะ อยางไร

กตาม ในป 1869 เกดโรคพชรายแรงทเรยกวา Coffee Leaf Rust

ระบาดอยางรวดเรวทวไรกาแฟ โรคนทําลายตนกาแฟเกอบทงหมด

ของประเทศ จนอตสาหกรรมกาแฟของศรลงกาลมสลาย เหตการณ นกลบกลายเปนจดเปลยนสําคญของประวตศาสตรชา

สําคญคอ James Taylor ชาวสกอตแลนด

1824 – องกฤษนําตนชามาทดลองปลกในศรลงกา

1867 – James Taylor กอตงไรชาเชงพาณชยแหงแรกท

Loolecondera

1869 – โรค Coffee Leaf Rust ทําลายอตสาหกรรม

กาแฟ ศรลงกาจงหนมาปลกชา

ชวงป 1880–1890 – การสงออกชาซลอนเตบโตอยาง

1893 – ชาซลอนถกนําไปจดแสดงในงาน World's

Columbian Exposition

นยมอยางมาก

1972 – ประเทศเปลยนชอจาก Ceylon เปน Sri Lanka แตยงคง

คอ

1 High Grown Tea (พนทสงกวา 1,200 เมตร)

คอ เมอง Nuwara Eliya เมอง

Dimbula เมอง Uda Pussellawa

2. Medium Grown Tea (ความสง 600–1,200

แหลงผลตสําคญ เมอง Kandy

3 Low Grown Tea (ตํ่ากวา 600 เมตร)

เมอง Ruhuna เมอง

Sabaragamuwa

Tea Processing คอการทําใหสารกลมโพลฟนอล (คาเท

ตอนการผลตหลก ดงน

1. Plucking (การเกบใบชา) ชาซลอนทมคณภาพด จะเกบเกยวใบชาสด 1 ยอด 2 ใบ

ซงเปนใบชาทออนและมคณภาพด

2 Withering (การผงใบชา)

หลงจากเกบใบชา ใบชาจะถกกระจายบนตะแกรงทม

พดลมเปา โดยควบคมความชนสมพทธในหองผงชาใหอยท

80% และทงใหใบชาระเหยนํ้าออกไป

เหลอ 50–60% ขนตอนนชวยทําใหใบชานมและพรอม

สําหรบการแปรรปในขนตอนตอไป

3 Rolling (การมวนใบชา)

ใบชาจะถกมวนเพอทําใหผนงเซลลแตก

เอนไซมโพลฟนอลออกซเดส (Polyphenol oxidase:ppo)

และคาเทชน (Catechin) ออกมาทําปฏกรยากบออกซเจน

ในอากาศ ขนตอนนเปนจดเรมตนของการพฒนาส กลน

และรสชาตของชา

4 Oxidation (การออกซเดชน)

ใบชาจะถกพกไวเพอใหเกดปฏกรยาออกซเดชน

เอนไซมโพลฟนอลออกซเดส (Polyphenol oxidase:ppo)

และคาเทชน (Catechin) จะทําปฏกรยากบออกซเจนใน

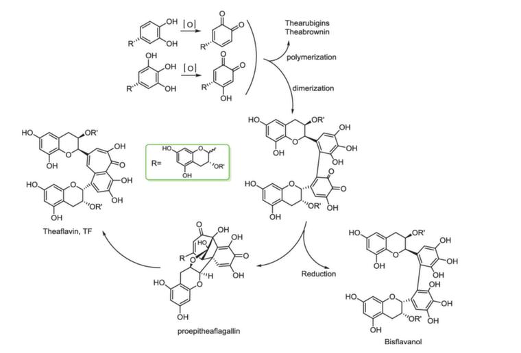
อากาศ เปลยนจากสารคาเทชนเปนสารทอะรบจน (Thearubigin) ใบชาเปลยนสจากเขยวเปนนํ้าตาลแดง

ขนตอนนเปนตวกําหนดวาใบชาจะกลายเปน ชาดํา (Black Tea)

5. Drying (การอบแหง)

ใบชาจะถกอบดวยลมรอนเพอหยดกระบวนการออกซเดชน

และลดความชนในใบชาใหตํ่ากวา 5%

6. Sorting & Grading (การคดขนาด) ใบชาจะถกคดแยกตามขนาด

(Black Tea)

1.Whole Leaf (ใบเตม)

OP (Orange Pekoe)

FOP (Flowery Orange Pekoe)

FTGFOP (Finest Tippy Golden Flowery Orange Pekoe)

2. Broken Leaf (ใบหก) ตวอยางเกรด

BOP (Broken Orange Pekoe)

FBOP (Flowery Broken Orange Pekoe)

3. Fannings และ Dust ตวอยางเกรด

BOPF (B k O P k F i )

(Ceylon Tea)

(postprandial hyperglycemia)

(Fereidoon Shahidi

และคณะ, 2567)

กลไกหลกททําใหระดบนํ้าตาลในเลอดเพมสงขนหลง

การรบประทานอาหาร คอกระบวนการ

คารโบไฮเดรต โดยเอนไซม α-amylase

ใหกลายเปนนํ้าตาลโมเลกลขนาดเลก ขณะทเอนไซม α-glucosidase จะยอยนํ้าตาลดงกลาวตอใหเปนกลโคสซง สามารถดดซมผานผนงลําไสเขาสกระแสเลอดได ดงนน

การยบยงเอนไซมทงสองชนดจงเปนแนวทางเชงชวเคมทมง

ลดความเรวในการปลดปลอยกลโคส และชวยลดการพงขน ของระดบนํ้าตาลในเลอดหลงมออาหาร

2558)

(Shiyu Xu และคณะ, 2567)

งานวจยจํานวนมากแสดงใหเหนวา

Striegel และคณะ (2558)

รายงานวา สารสกดชาดําและกากชาดํา (black tea pomace)

สามารถยบยงเอนไซม α-glucosidase และ α-amylase

ไดอยางมประสทธภาพ โดยเฉพาะฤทธตอ α-glucosidase

มความเดนชดจนสามารถประเมนคา IC₅₀ ไดอยางชดเจน

ซงสะทอนศกยภาพของชาดําในการชะลอการปลดปลอย

กลโคสจากอาหาร ภาพท 1 แสดง กระบวนการยอย

คารโบไฮเดรตจากแปงไปสกลโคส

และ α-glucosidase รวมถงตําแหนงทโพลฟนอลจากชาดํา

ปลดปลอยและการดดซมกลโคสชะลอลง

ขนาด (dose-dependent)

ยบยงเอนไซมทเกยวของกบการยอยคารโบไฮเดรต ทงใน

ระดบ in vitro และ in vivo (Xu และคณะ, 2567)

หลกฐานเชงกลไกทสําคญไดรบการสนบสนนจากงานของ

Maiquan Li และคณะ (2567) ซงรายงานวา theaflavins

จากชาดํามศกยภาพในการ ตานภาวะนํ้าตาลในเลอดสง (antihyperglycemic effect) ผานการยบยงเอนไซม α-amylase

สงผลใหการยอยแปงและการปลดปลอยกลโคสชะลอลง งาน

วจยดงกลาวเสนอวา theaflavins อาจมศกยภาพในการ

Isono, Y , Watanabe, H , Kumada, M , Takara, T , & Iio, S (2564) Black tea decreases postprandial blood glucose levels in healthy humans and contains high-molecularweight polyphenols that inhibit α- glucosidase and αamylase in vitro

Maiquan Li, Yunxia Dong, Mangjun Kang, Tiantian Tao, Wenlan Li, Sheng Zhang, Wei Quan, Zhonghua Liu (2567) Potential anti-hyperglycemic activity of black tea theaflavins through inhibiting α-amylase Food Chem;22:101296 doi: 10 1016/j fochx 2024 101296

Fereidoon Shahidi and Renan Danielski (2567) Review on the role of polyphenols in preventing and managing type 2 diabetes Nutrients 2024, 16(18), 3159; https://doi org/10 3390/nu16183159

Lisa Striegel, Bouhee Kang, Sarah J Pilkenton, Michael Rychlik, Emmanouil Apostolidis (2558) Effect of Black Tea and Black Tea Pomace Polyphenols on αGlucosidase and α-Amylase Inhibition Relevant to Type 2 Diabetes Prevention Front Nutr 2 doi: 10 3389/fnut 2015 00003

Shiyu Xu, Ying Chen, Yushun Gong (2567) Improvement of Theaflavins on Glucose and Lipid Metabolism Foods 2024, 13(11), 1763; https://doi org/10 3390/foods13111763

Concept: Homey, Art & Design, Family-Friendly

MADA

และบรรยากาศ จนกลายเปนความฝนทอยากจะมพนท

เลกๆ เปนของตวเองในชวงบนปลายชวต แตทวา วนน

ความฝนนนถกยนระยะเวลาใหเกดขนจรงเรวขนกวาเดม

ดวยแรงผลกดนทเรยกวา “ครอบครว” MADA: ชอทมาจาก

แกวตาดวงใจชอราน MADA (มาดา) ไมไดเปนเพยงชอ

ทฟงดอบอน แตคอชอของลกสาว เปรยบเสมอน

จดศนยกลางของรานแหงน พนทแหงนจงถกออกแบบ

มาเพอใหเปนทพกกายพกใจของทกคน เหมอนกบการ

ไดมานงเลนทบานเพอนสนททพรอมตอนรบดวยรอยยม

"พกกาย พกใจ ในสวนเลกๆ"

เราอยากใหคณไดหยดพกจากความวนวาย

มาสมผส

กลนหอมของกาแฟทามกลางสวนลนจและพนทสเขยวท

ถกจดวางอยางตงใจ ไมวาคณจะเปนสาย Specialty

Coffee ทมองหารสชาตทแตกตาง

- อาทตย 9.00 - 17.00 น.

0836858818 , 0819061181

MADAinthelittlegarden

cafe mada inthelittlegarden

Roastery

NOVA Black

กาแฟ Cold Brew

NOVA White

กาแฟ Cold Brew ททอปดวย Sweet Vanilla Cream

Citrus Espresso Tonic

Caramel Sea Salt Latte

กาแฟนมคาราเมลทผสมเกลอเลกนอยใหรสชาตหวาน

Orlando coffee

รานเราเรมจากการทพอเราเขาสวงการกาแฟ

Peanut butter cafe late

08:00-17:00 น 1/12 orlando coffee

Orlando coffee

Coffeexorlando

Tea Blending

13 มกราคม 2569 สถาบนชาและกาแฟ

Tea Blending ภายใตโครงการอบรมระยะสน Integrative

Medicine for Well-being Training Course ซงมนกศกษาจาก

Yunnan University of Chinese Medicine

จํานวน 25 คนเขารวมกจกรรม

หอง Food Makerspace มหาวทยาลยแมฟาหลวง

กจกรรม Matcha Mystery Box Workshop

เมอวนท 28 มกราคม 2569 สถาบนชาและกาแฟ

ราน Department of Tea จดกจกรรม 'Matcha Mystery Box Workshop' ณ ราน Department of Tea มหาวทยาลยแมฟาหลวง

งาน MFU Innovation Day 2026 วนท 17 กมภาพนธ 2569 สถาบนชาและกาแฟ

(Food Innopolis @MFU) จดกจกรรม 'Scientific Taste: Future-Proof Well-being ศาสตรแหงรสสมผส

อนาคต' ภายใตงาน MFU Innovation Day 2026 ณ หอง Food Makerspace มหาวทยาลยแมฟาหลวง

วนท 2–3 มนาคม 2569 สถาบนชาและกาแฟ มหาวทยาลยแมฟาหลวง

สํานกงานสงเสรมการจดประชมและนทรรศการ (องคการมหาชน)

สถาบนชาและกาแฟ มหาวทยาลยแมฟาหลวง ไดดําเนนโครงการจด

ทําคําขอขนทะเบยนสงบงชทางภมศาสตร (GI) “กาแฟปางขอน”

จงหวดเชยงราย โดยไดรบการสนบสนนงบประมาณจากกรมทรพยสน

ทางปญญา

เพอยกระดบมาตรฐานสนคาและเพมขดความสามารถ

ทางการแขงขนของเกษตรกรและผประกอบการในพนท โดยในชวง

เวลาดงกลาวไดดําเนนกจกรรมสําคญ ไดแก การลงพนทเกบขอมลเชง

ลกในบานปางขอน ครอบคลมขอมลดานสภาพพนทปลก กระบวนการ

ผลต อตลกษณเฉพาะของกาแฟ และองคความรทองถนจากเกษตรกร เพอนํามาจดทําเปนขอมลเชงประจกษประกอบคําขอขนทะเบยน GI

พรอมทงไดจดกจกรรมชแจงการจดทําคําขอขนทะเบยนสงบงชทาง

ภมศาสตร

การดําเนนงาน

18 มีนาคม 2569 สถาบนชาและกาแฟ

Tea Blending (การผสม

ภายใตรายวชา 2503417 Traditional Chinese Medicine

Skills for Wellness and Vitality ณ หอง Food Makerspace การจดกจกรรม

วตถประสงคเพอสงเสรมใหนกศกษาไดเรยนรและฝกปฏิบตจรง

การแพทยแผนจนอยางเหมาะสม

พฒนาทกษะเชงปฏบต

ความรไปประยุกตใชไดอยางมีประสทธภาพในอนาคต

2569

Makerspace อาคาร M-square

จน โดย Professor Dr Yin Junfeng จาก Tea Research Institute (TRI),

Turn static files into dynamic content formats.

Create a flipbook
จดหมายข่าวชาและกาแฟ ฉบับที่ 27 by Mae Fah Luang University - Issuu