
4 minute read
fertigation
The results show that the timing of nitrogen fertilization has a significant influence on the growth of the lateral shoots and thus on the cone yield. The later the N-fertilization, the further up the lateral shoot growth shifted. At a certain point in time, when N-fertilization was too late, an overall reduction in lateral shoot lengths was the result, which, in turn, can have a negative effect on come yield.
4.7 Investigation of uptake rate and distribution of nitrogen (15N) applied via fertigation
Advertisement
Team: M. Waldinger (Master Thesis), J. Stampfl Collaboration: Prof. Dr. U. Schmidhalter, Lehrstuhl für Pflanzenernährung, Wissenschaftszentrum Weihenstephan, TU München (Chair of Plant Nutrition, Science Center, Weihenstephan, Munich Technical University) Duration: May 2019 to October 2019
Background and objectives of the project
In many plants, including hops, nitrogen (N) is the most yield-limiting nutrient. Within the current, increasingly restrictive legal framework, it is particularly important that the right amount of nitrogen is available to the plant at the right time. In this context, nitrogen administered in excess, as well as nitrogen not taken up by the plant, can be equally problematic. In the research project "Improving the nutrient efficiency in hops through fertilization systems with fertigation," various fertilization systems were tested in extensive field trials between 2017 and 2019. To be able to draw conclusions about the uptake, distribution, and storage of nitrogen, field tests with the nitrogen isotope 15N and its corresponding 15N-Tracer-Method were conducted for this master thesis.
Method
The investigations were conducted in 2019 at two locations with sandy loam. The varieties were Perle and Herkules. Figure4.19 shows the fertilization regimen for the Perle location; Figure 4.20, the one for the Herkules location.
At both locations, controls without N-fertilization (A) served as references, as did a plot fertilized with three equal rounds of granulated fertilizer (B). For the fertigated plants (C to F), one-third of the fertilizer requirement was administered in the form of granulated fertilizer and two-thirds via irrigation. The fertigated plants had different start dates for their 6-week fertigation period.
Figure 4.19: Perle fertilization schedule, loamy location, 2019 In addition, for the Herkules study, there was a separate test H (next to tests A to F), in which the total amount of applied N was 50% higher.

Figure 4.20: Herkules fertilization schedule, loamy location, 2019
Only the partial nitrogen additions marked in yellow (Figure 4.19 and Figure 4.20) were enriched with 15N-isotopes. Nitrogen has a stable 14N-isotope ratio of 99.634% and of 15N of 0.366%. In these experiments the amount of 15N-content of the nitrogen fertilizer was increased to 2.55%. This allowed for the 15N-content to be determined during subsequent plant analyses. From these results, we can derive the distribution and uptake of nitrogen enriched with 15N in the course of the vegetation, as well as during trial harvests. After fertilization with enriched nitrogen, leaf, flower, and cone samples at three heights (bottom: 1.5 m; middle: 3.5 m, and top: 5.5 m) could be analyzed. They could also be divided into values for the main bine and the lateral shoots. The analyses were scheduled to take place on a weekly basis until harvest time. In addition, the enriched N-content of the residual plant material and cones could be determined. Finally, after the harvest, the roots were also tested for their 15N-content. The enriched nitrogen recovery rate is called 15N-recovery.
Results
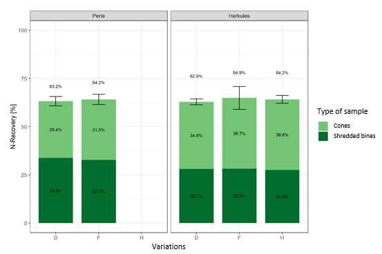
At each measurement date, the tested plants showed an increase in 15N-content. This was the case for both varieties, in all examined plant sections. In the leaf samples, enriched nitrogen could be detected even within just 24 hours from the time of fertilization. At both locations, higher 15N-contents could be detected in the middle and upper plant segments compared to the lower segments. In addition, the measurement values for the lateral shoots were generally higher than those for the main bine. This means that nitrogen applied at a relatively late point in time can increasingly be found in the younger, above-ground parts of the plant. During the harvest, between 65-67% of the enriched nitrogen could be found in the aboveground parts of all plants in the test series, in both varieties, whereby the 15N-recovery in Herkules was higher in the cones than in the rest of the plant. In Perle, by contrast, the recovery rate was roughly the same in the cones and the main bine (Figure 4.21).

Figure 4.21: N-recovery [%] by cones, the rest of the plants, and the entire plants for both Perle and Herkules at the regular harvest date. The error bars represent the standard deviation of the total N-recovery by the cones and the rest of the plant
An examination of the roots revealed that they had elevated 15N-levels regardless of which plant and variety. Because it was not possible to determine the dry root mass, no conclusion can be drawn about the exact N-efficiency through fertigation. Therefore, it remains uncertain which amounts of nutrients are stored in the below-ground parts of the plant.
