September 28, 2022 Hays Free Press

Page 1

Hays Free Press

Buda approves term sheet for development agreement

BUDA — City leaders are nearing a decision on Persimmon, a 775-acre development being proposed by MileStone Community Builders on the Bailey and Armbruster tracts of land o FM 967.

After returning from an executive session, the Buda City Council approved a term sheet for the development agreement during the regular council meeting on Sept. 20.

e project has gone back and forth between MileStone, city council and the planning and zoning commission, with MileStone hosting information sessions and many in the community voicing their thoughts on the project in between.

However, City Manager Micah Grau noted during the meeting that this vote does not approve or deny the project as a whole, just the term sheet that will be used to craft the development agreement, and that the “ nal language” is still subject to come through negotiations of a nal agreement.

e term sheet consisted of ten items that council is asking to be implemented into the agreement:

• Eminent domain: the agreement will not require the use of the city’s eminent domain (the ability to take private property and convert it into public use).

• Transportation: a Garlic Creek Parkway and FM 1626 connector will be constructed, with no more than 325 residential lots permitted and issued before the completion of Phase 1 of the parkway (two lanes). Additionally, the developer will provide a pro le for an economy of scale and buildability analysis of a future bridge on Hunt Road and be responsible for its cost, will reserve land for a future SH 45 extension across the site and complete the construction of the 967 roundabout prior to the issuance of a certi cate of occupancy.

• Non-residential/

commercial lots: a minimum of 60 acres of developable land within the Buda ETJ will be reserved for nonresidential uses (including commercial/public use space) with at least 3.5 acres donated to the city for public uses.

• Residential lots: the development will include a mix of residential lot sizes with a minimum of 30% having a width of at least 60 feet and a minimum of 30% having a width of at least 80 feet. No multi-family lots will be allowed, but single-family attached or townhomestyle developments within a condominium regime will be.

• Tree mitigation: the

project will fully comply with the city’s tree mitigation requirements, and no permits will be issued on the Armbruster tract until a tree survey is conducted and submitted to the city. e developer will reimburse the city for an arborist to verify the survey’s completion and accuracy.

• Parkland dedication: the project will fully meet or exceed the city’s UDC (uni ed development code) parkland dedication requirements, including the installation of trails along Garlic Creek and other greenbelts.

• Prairie build: the building of homes prior to public improvements being

accepted, which will be considered by the council as proposed by city sta .

considered by the council as approval

• Annexation: the project will be voluntarily annexed into the city of Buda concurrent with the approval of the planned development (PD) zoning, PID (public improvement district) creation and execution of the agreement and PID nance agreement.

• Requirements for Austin ETJ: the developer will continue to support the city of Buda’s request to release the ETJ within the city of Austin; if this occurs, the conditions of the agreement, including

BUDA,

DWI charges dropped for Walt Smith

HAYS COUNTY – A DWI charge for a 2021 tra c incident involving Hays County Commissioner Walt Smith was recently dropped.

e charge was dropped at a Travis County hearing on Friday, Sept. 16. Smith is now charged with a misdemeanor tra c violation for obstructing a highway passageway and has been sentenced to nine months of community supervision, according to the plea agreement. Smith will also need to pay a $200 ne and court costs, along with using an IID (Ignition Interlock Device) for ve months.

On April 28, 2021, at approximately 3:11 a.m., Smith had crashed into another vehicle near the 2200 block of Lake Austin Boulevard, according to the arrest a davit. An Austin Police o cer observed that Smith had “bloodshot and glassy eyes” and there was a strong odor of alcohol coming from him. e o cer also noticed that Smith was “swaying from time to time and he was wobbling sometimes” along with being very talkative, the arrest a davit stated.

When the o cer rst saw Smith, he was ne but later said his knee was hurting.

“Over the course of my career, I have attended hundreds of legislative hearings and negotiations supporting initiatives and on behalf of my constituents, which sometimes extend late into the night. On April 28, 2021, after leaving the Capitol, I was involved in a minor tra c accident with a local delivery truck. I called 911, spoke with o cers upon their arrival, and was taken to the hospital for evaluation of a leg injury,” Smith said in a news statement.

Smith stated that on a scale of 0-10 (0 being not at all and 10 being the most intoxicated in his life), he was a 2, according to the arrest a davit. He also said between 8 p.m. to 1 a.m. that night, he had two cocktails that contained vodka.

e following eld sobriety tests were administered to determine physical and mental faculties: Horizontal Gaze Nystagmus and one leg stand (Smith refused to take the walk and turn test due to complaint of knee pain.) On the one leg stand portion, the o cers marked that Smith swayed and put his foot down, according to the arrest

Buda native makes Top 25 in nationwide contest

BUDA – Are mullets making a comeback?

One local resident says yes, as he made it to the top 25 nal round of the 2022 USA Mullet Championship – a mullet hairstyle competition all in fun to support the charity, Stop Soldier Suicide.

“ e USA Mullet Championship is just a fun way to raise awareness and funds to contribute to di erent charities and to bring some old style back and put a little modernday swag into it,” Brandon Hernandez said.

Hernandez is a Buda Native who attended Tom

Green Elementary School, Dahlstrom Middle School and Hays High School but eventually transferred to Lehman High School when it opened – he was in Lehman’s rst graduating class in 2007. He is a member of the union brotherhood as an electrician and has chosen to deepen his roots in his hometown and settle down in the Shadow Creek neighborhood with his family.

He has also contributed to giving back to his community by volunteering as a head coach at the Hays Youth Baseball and Softball Association.

Hernandez decided to grow his hair for a mullet

LOCAL SENIORS MAKE COOKIES FOR FIRST RESPONDERS

in November 2020. With the help of Two Blessed Barbershop in downtown Buda and the Hair by Love Salon in Kyle, mullet magic was made.

“I was inspired by country star Morgan Wallen to grow my hair out,” Hernandez said. “ e beginning was a bit harsh, but you get used to it and now I love it. Mullets are de nitely making a comeback! I mean, look, they have a competition strictly for this hairstyle for all ages and genders.”

To keep up with Hernandez’s journey in the championship and learn more about the history of the mullet hairstyle, please visit https://mulletchamp.com/.

e Hays Free Press

Barton Publications, Inc.

The Hays Free Press (USPS 361-430) published weekly by Barton Publications, Inc., P.O. Box 339, Buda, TX 78610. Periodicals postage paid at Buda, TX 78610 and additional mailing offices. POSTMASTER: Send address changes to Barton Publications, Inc., P.O. Box 339, Buda, TX 78610. ISSN#1087-9323

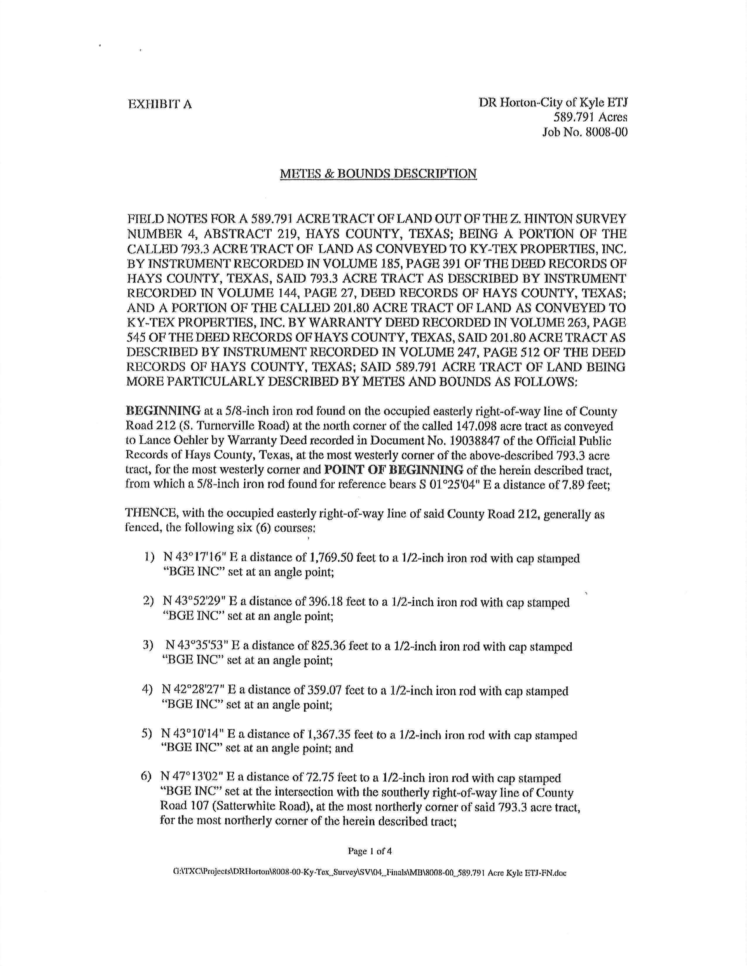
CONTRIBUTED PHOTO An overview of Persimmon, divided into the Armbruster Tract (left) and Bailey Tract (right). The development is also in different extraterritorial jurisdictions (Buda/Austin) and counties (Hays/Travis). A roundabout off FM 967 is proposed at the entrance, and a road throughout (Garlic Creek Parkway) would lead to an FM 1626 connector. Yellow-colored sections indicate residential space, red sections indicate commercial space and green sections indicate parks/open space. A fire/EMS site and school site are also proposed. Walt Smith CONTRIBUTED PHOTO Buda resident Brandon Hernandez is in the top 25 of a national mullet contest.
© Barton Publications, Inc. 75¢ HaysFreePress.com
SEPTEMBER 28, 2022
LOBOS SHUTOUT BY THUNDERBIRDS 42-0 PAGE 11 BUDA’S BRIGHTSIDE HOSTS CAR SHOW PAGE 5
– PAGE 12
See DWI, page 12See
page 12

Buda Chamber holds 6th annual Fajita Fiesta

BUDA — After four years, a beloved Buda tradition is back and better than ever.

The Buda Area Chamber of Commerce hosted the 6th annual Fajita Fiesta at Buda Amphitheater and City Park on Sept. 23 and 24. The fiesta has not been held since 2018 due to park construction in 2019 and COVID-19 in 2020 and 2021, but this year, the city was ready to celebrate again.

Friday night’s festivities kicked off with live music from Max Omer, followed by a margarita contest and a performance from Texas Tejano Music Award winner Ray Ray to close

out the night. Saturday’s schedule featured a full slate

of activities, with performances from Dance Unlimited and the Lehman High School Mariachi Los Lobos, a chihuahua beauty pageant, jalapeño eating contest and grito contest, plus live music from the Wyatt Weaver Band and Grammy-nominated performer J.R. Gomez y Los Conjunto Bandits.

Also available all weekend were kid-friendly activities, dozens of market vendors,

local food trucks and a tented beer garden, courtesy of Brooklyn’s Down South.

Participating cooks vied for rst, second and third place winning spots in the best margarita, best salsa, best charro beans, best jalapeño poppers and best showmanship categories, and the top 10 best fajitas were also awarded cash prizes.

The Hays Free Press/ News-Dispatch will update this story in an upcoming edition with the complete list of winners.

Read Us Online

Ask about our Kleer dental membership for uninsured patients
PHOTO BY BRITTANY ANDERSON Officer Gregg, front, and Officer Zamora, back, of the Buda Police Department with Max, 5, and Emma, 6 at Fajita Fiesta. PHOTO BY BRITTANY ANDERSON Max Omer kicked off Fajita Fiesta on Friday night with live music at the amphitheater. Other performers throughout the weekend included Ray Ray, the Wyatt Weaver Band, and J.R. Gomez y Los Conjunto Bandits. PHOTO BY BRITTANY ANDERSON Grills were smoking all weekend as cooks served up their best fajitas, including members of the Buda Area Chamber of Commerce, who helped put on the fiesta.
Page 2 Hays Free Press / News-Dispatch • September 28, 2022
HAVING VISION PROBLEMS? IT COULD BE CATARACTS Schedule your visit today SPECIALIZING IN: • Cataract Surgery • Premium IOL Implants • Lasik Surgery • Glaucoma Medical and Surgical • Macular Degeneration
SIPPIN’ AND SIZZLIN’

KYLE —A bit of friendly competition between local law enforcement and the community over the weekend helped raise over $8,000 for families in need.

e Kyle Law Enforcement Association (KLEA,) alongside 501(c)3 organization For the Love of Go, held the Blue Santa’s Dam 5 Miler and 5K race at Five Mile Dam Park in San Marcos on Sept. 24.

Over 100 runners participated to bene t KLEA’s Blue Santa program, which provides hundreds of families in the Hays County area during the holidays with food, clothes, toys and monetary donations.

First, second and third place awards were given out for competing age groups —

ages 1-10, 20-29, 30-39, 4049, 50-59 and 60-69 — for both males and females in the 5K and ve mile races.

In the 5K male race, the fastest Kyle PD runner was Pedro Hernandez and the fastest Kyle FD runner was Cam Saucedo — with Saucedo taking the lead with a 6:42 run time.

e race was a followup to the Beat the Heat 5K on Aug. 27 at Mary Kyle Hartson City Square Park, put on by the Kyle Professional Fire ghters Association (Local 4567,)

Kyle Fire Department and For the Love of Go. In this race, 336 runners competed and raised around $4,000 to bene t local re ghters and families in need of assistance.

Both races were part of the larger Red and Blue

Challenge. Runners who participated in both Beat the Heat 5K and Blue Santa’s Dam 5 Miler and 5K were entered into a $200 drawing to be donated towards a police or re department of their choice.

Sammy Cortez won the $200 drawing, donating to the Kyle FD.

For the Love of Go also said that steps from the race were in memory of Kevin McConville, a 17-year old Hays CISD student who died from a fentanyl overdose in August. McConville’s family sponsored the event, and his picture was also on the back of the race shirts.

Other sponsors that made the race possible included Kyle City Council member Michael Tobias, Tracey Dean with AMSOIL, Gecko

Contracting, H-E-B, Great Clips and Bread Basket. Bad Ass Foods also provided pancakes to runners, and DJ Vincent provided music.

A full list of results for the

race can be found at www. athleteguild.com/running/ san-marcos-tx/2022-bluesantas-dam-5-miler-and5k/results.

For more information on

Kyle’s Blue Santa program, visit www.kpea.us. More information on For the Love of Go, including upcoming events, can be found at fortheloveofgo.com.

Buda PHOTO BY BRITTANY ANDERSON Some of the Santa’s Dam Five Miler 5K runners with a check from For the Love of Go. Although numbers were still being tallied at the end of the race, FTLOG board member Jennifer Crosby estimated that nearly $8,000 was raised for the Blue Santa program. PHOTO BY BRITTANY ANDERSON Joe Deleon with his granddaughter Brianna Yanez, 4. Joe and Brianna ran together in both the Blue Santa and Beat the Heat races. PHOTO BY BRITTANY ANDERSON Some of the Hays HS Hawks track team showed up to compete during the 5 miler/5K. PHOTO BY BRITTANY ANDERSON All love: Cam Saucedo of the Kyle Fire Department, left, and Pedro Hernandez of the Kyle Police Department, right, pose together after placing first in their age groups for the 5K. PHOTO BY BRITTANY ANDERSON Freddy Rolon, Kyle Fire Department chief of training and operations, and Adrienne Simes with dogs Sky and Blu. Simes placed first in her age group for the 5K, with Sky and Blu also taking home Top Dog awards.
Hays Free Press / News-Dispatch • September 28, 2022 Page 3
DAM, SANTA! Friendly competition raises $8K for families in need Nominations now open Brought to you by... www.haysfreepress.com JOB FAIR Saturday, May 22, 2021 10:00 a.m. – 2:00 p.m. Evo Entertainment Kyle 3200 Kyle Crossing, Kyle TX 78640 Apply at TexasDisposal.com or call 512.329.1778 for more information. Join the TDS Family. We offer competitive pay, great benefits, paid training/leave/holidays. We’re hiring for most positions, including: • Drivers • Mechanics • Equipment Operators • Excavation Laborers • Concrete Workers • Route Auditors • Customer Care Reps, and more! Offeringupto forselectpositions* On-Site Interviews $8k * Certain exclusions apply. JOB FAIR Saturday, May 22, 2021 10:00 a.m. – 2:00 p.m. Evo Entertainment Kyle 3200 Kyle Crossing, Kyle TX 78640 Apply at TexasDisposal.com or call 512.329.1778 for more information. Join the TDS Family. We offer competitive pay, great benefits, paid training/leave/holidays. We’re hiring for most positions, including: • Drivers • Mechanics Equipment Operators • Excavation Laborers • Concrete Workers • Route Auditors Customer Care Reps, and more! * Certain exclusions apply. JOB FAIR Saturday, May 22, 2021 10:00 a.m. – 2:00 p.m. Evo Entertainment Kyle 3200 Kyle Crossing, Kyle TX 78640 Apply at TexasDisposal.com or call 512.329.1778 for more information. Join the TDS Family. We offer competitive pay, great benefits, paid training/leave/holidays. We’re hiring for most positions, including: Equipment Operators Excavation Laborers • Concrete Workers • Route Auditors • Customer Care Reps, forselectpositions* On-Site Interviews $ * Certain exclusions apply. JOB FAIR Saturday, May 22, 2021 10:00 a.m. – 2:00 p.m. Evo Entertainment Kyle 3200 Kyle Crossing, Kyle TX 78640 Apply at TexasDisposal.com or call 512.329.1778 for more information. Join the TDS Family. We offer competitive pay, great benefits, paid training/leave/holidays. We’re hiring for most positions, including: • Drivers • Mechanics • Equipment Operators • Excavation Laborers • Concrete Workers • Route Auditors • Customer Care Reps, and more! Offeringupto *Interviews * Certain exclusions apply. JOB FAIR Saturday, May 22, 2021 10:00 a.m. – 2:00 p.m. Evo Entertainment Kyle 3200 Kyle Crossing, Kyle TX 78640 Apply at TexasDisposal.com or call 512.329.1778 for more information. Join the TDS Family. We offer competitive pay, great benefits, paid training/leave/holidays. We’re hiring for most positions, including: • Drivers • Mechanics Equipment Operators • Excavation Laborers • Concrete Workers • Route Auditors • Customer Care Reps, and more! Offeringupto forselectpositions On-Site Interviews $8k * Certain exclusions apply. JOB FAIR Saturday, May 22, 2021 10:00 a.m. – 2:00 p.m. Evo Entertainment Kyle 3200 Kyle Crossing, Kyle TX 78640 Apply at TexasDisposal.com or call 512.329.1778 for more information. Join the TDS Family. We offer competitive pay, great benefits, paid training/leave/holidays. We’re hiring for most positions, including: • Drivers • Mechanics • Equipment Operators • Excavation Laborers • Concrete Workers • Route Auditors • Customer Care Reps, and more! Offeringupto forselectpositions* On-Site Interviews $8k * Certain exclusions apply. Positions Available include: • Drivers • Mechanics • Equipment Operators • Excavation Laborers • Concrete Workers • Route Auditors • Customer Care Reps and More! TDS IS NOW HIRING! Find your career with us. Join the TDS family. We offer competitive pay, great benefits, paid leave and paid holidays. We’re hiring for most positions, including: Offeringupto $8K forselectpositions* On-Site Interviews What better way to spend a Saturday, than to explore the outdoor market in Historic Downtown Buda? First Saturday of April - November | 9:00 am - 1:00 pm (weather permitting) For more information, contact the
Area Chamber of Commerce (512-295-9999) or by email at info@budachamber.com MARKET IN THE PARK

Dear Editor:

e Biden administration, Democrat leaders and various media are questioning the ethical behavior of Gov. DeSantis and Gov. Abbott for busing ILLEGAL “migrants” to Democrat-run cities and to wealthy Martha’s Vineyard.  In fact, these entities want to bring charges against the governors.

If we’re going to cite ethical behavior, is the Biden administration ethical???

Letting our borders remain open so that ILLEGAL “migrants” oat into already overcrowded border towns that can't handle the costs and the numbers of ILLEGAL "migrants" roving through their towns... is THAT ethical???

Is it ethical or legal for the Biden administration to bus and y ILLEGAL "migrants" to other states, mostly red states, and to force those states to accept and to pay for the upkeep and housing of said ILLEGAL "migrants?"  Before the Justice System goes after DeSantis and Abbott, they need to go after the Biden administration rst... but will they???  I think we know the answer to that question.

Peter Stern

Driftwood TX

Candidates respond to drought issues

From 1950 until 1957,  there was a long multi-year drought in Texas and Hays County. During this drought, the annual rainfall averaged seven inches a year. Our normal annual rainfall is 32 inches. Here is the punchline: In 1957, the last year of the drought, the Hays County population was 16,870. Let that sink in, Buda alone now has more people than that!  As of the 2020 census the Hays County population was 241,000. During this drought farmers had to abandon their elds and butcher their livestock.

I have been working to raise awareness about our limited water resources in Hays County since the 1980s. Hays County doesn’t have the Highland Lakes chain like Austin, and Canyon Lake does not have another drop of water to sell to anyone in Hays County. is is why I wrote an email to Ruben Becerra, Dr.

Michelle Gutierrez Cohen, Susan Cook, Mark Jones, and Walt Smith, who are running for Hays County Commissioner, or County Judge. I asked them to comment on these questions and they have graciously agreed. is column will be here every week with a new question highlighted every week.

1.With our explosive growth, is Hays County ready for another seven year drought like we had in the 1950s? If elected, what do you plan to do to prepare for a multiyear drought like the one in the 1950s?

Susan Cook:

No, and we aren't ready for the one we are in now, either.

Unless our dual, and competing, challenges of rampant growth and dwindling water resources are addressed with a comprehensive plan that takes into account just how many people can live on the land, we will destroy both the land and drain away the water beneath it.  We need to embed real development limits into our subdivision regulations, based on water availability and how particular pieces of land react di erently to human habitation.  Some land can handle more people than others, and this understanding must be the foundation of all development planning.

Dr. Michelle Gutierrez Cohen:  No. We are in the middle of a drought.

Walt Smith:  I don’t believe so, but there are steps we can take to help get there. Securing additional water resources from east of the county, taking steps to incentivize the capping of wells, protecting our watersheds and conserving open spaces all can help us prepare.

Here is next week’s question for our county commissioner, and county judge candidates, so please stay tuned:

2. ere are so many subdivisions and individual well owners in Hays County that will have to redrill their wells during an extended drought because of this unprecedented growth.

Does Hays County have a plan to assist/compensate all of the existing well owners for the expense of drilling new wells? Have you priced a new well recently?  Is this a cost that the developers should have to fund?

Flying Fall Migration – Birds and Butterflies

Something’s in the air! Recent rains and temperature drops have brought about greener elds, owering native plants, and a promise of the coming fall. September is a time of migration and we can all do something in our own homes to make the journey easier on traveling wildlife

Beginning last month, monarchs from the Rocky Mountains to the Atlantic Coast started their annual, 2,500-mile trip south to Mexico, by way of Texas.

ese migrating pollinators spend their winters in the forested mountains of Central Mexico after the cross-country journey of a lifetime.

Many land stewards already know about monarchs and milkweeds… but did you know adult monarchs

need only nectar to fuel their fall migration?

ough milkweed plants are critical to growing monarch caterpillars in the spring and summer, adult monarchs need diverse nectar sources from blooming plants in August through October to survive the coming winter.

If you’re looking for a way to give them a boost, plant native, late-blooming plant species like Texas Lantana, Cenizo and Autumn Sage, or Turk’s Cap.

Fall is an excellent time for planting, so if you’re looking to get into your garden – or if this year’s drought taught you to plant something more accustomed to the Texas heat – check out your local plant nursery for the best native plants to start growing this season.

e Lady Bird Johnson Wild ower Center has excellent lists of native plants on their website (www.wild ower.org).

Doing a little research before you start planting can make a huge di erence for migrating species.

In addition to the annual monarch migration, fall brings billions of birds from

their breeding territories in Canada and the US to wintering grounds in Mexico, Central, and South America. During this incredible ight, individuals endure harsh weather conditions, potential food shortages, and hungry predators - all while navigating using the night sky as their “guide.”

ough birds have been making the long trek in the dark for hundreds of thousands of years, it was not until recently that they faced another serious threat during this journey: light pollution.

Any form of ambient light (urban centers and rural residences all the same) can disorient migrating birds and cause them to veer o -course or collide with windows. However, with a few small and simple gestures, you can help minimize these feathered casualties by going #LightsOutTexas, in partnership with Audubon Texas and many other supporting organizations (https://tx.audubon.org/ urbanconservation/lightsout-texas).

During the peak migration period of September 6th – October 29th, help migrating birds by turning o major lights, installing dimmer bulbs, or using black-out curtains between 11pm6am. Audubon Texas also provides businesses with signs to display how the company is participating in the campaign – a great way for everyone to get involved in stewardship

of our region’s birds and night skies. “It’s an incredibly easy and e ective way to protect our migratory songbirds,” said Rebekah Rylander, Science Coordinator for the Rio Grande Joint Venture through American Bird Conservancy. “If everyone participated, we could make a huge impact.”

Learn more and connect with folks who care about your piece of Texas just as much as you do at www. texasconservation.org.

If you have questions related to stewardship or conservation, email them to DearStew@

LETTERS GUIDELINES

NEWS TIPS

If

CORRECTIONS

Any erroneous reflection upon the character, standing or reputation of any person, firm or corporation which may appear in the pages of the Hays Free Press will be corrected upon being brought to the attention of the publisher.

DEADLINES

• The deadline for display advertising and any contributed news copy is 5 p.m. Friday the week prior to publication.

• The deadline for Letters to the Editor and classified word advertising is noon Monday the week of publication, though we encourage readers and advertisers to observe the Friday deadline.

texasconservation.org. Come back next month as we dive into stewardship of river, stream, and creekfront property. Looking forward to learning more with you. – e Hill Country Steward

e Hill Country Steward – not a person, but a partnership of local experts dedicated to sharing the best information, tips, and lessons learned. Got questions? Send them to DearStew@ texasconservation.org. Learn more at www. texasconservation.org.

We welcome locally written letters to the editor on timely topics of community interest. We ask that you keep them to about 350 words in length and that you not indulge in personal attacks on private individuals. Letters may be edited for brevity and clarity. All letters should be signed by the author and include a daytime phone number where the author can be contacted for verification.

Letter writers are limited to one letter per month. Letters can be emailed to news@haysfreepress.com.

PHOTO BY CECILLIO MARTINEZ AND THE HILL COUNTRY ALLIANCE PHOTO BY LEE WILSON AND THE HILL COUNTRY ALLIANCE
Hays Free Press/News-Dispatch • September 28, 2022 Page 4 Opinion Publisher Ashley Kontnier Editor Megan Navarro (Wehring) Reporters Brittany Anderson Amira Van Leeuwen Photographers Wayland Clark Albert Sanchez Proofreaders Jane Kirkham Production Assistant Elizabeth Garcia O ce Manager Arlene Monroe Circulation/Classi eds Arlene Monroe Distribution Kimberlee Griffon Abbie Dougherty Joe Urbach 113 W. Center St., Kyle, TX 78640 haysfreepress.com 512-268-7862 Barton Publications, Inc. news@haysfreepress.com
you think it’s news, we probably do too! • Newsroom phone: 512-268-7862
E-mail: news@haysfreepress.com
Mail: 113 W. Center St., Kyle, TX 78640

Classic car show bene ts local nonpro

BUDA — A Buda-based nonpro t organization aimed at empowering adults with developmental disabilities through education, inclusion and social experiences mixed community and fun this past weekend with a car show.

Buda’s Brightside hosted a classic car show fundraiser at Hemphill Elementary School in Kyle on Sept. 24, with dozens of cars participating to bene t the organization.

e 50/50 ra e also garnered $145, in which the winner could receive half of the ra e money ($72) and split the other half with Buda’s Brightside, or donate the full amount back to the organization instead — which they did.

Kyle VFW provided food and drinks throughout the show, and market vendors also set up shop. Following the event, a free afterparty was held next door at Unchartered Adventures, featuring a car smash and ATM smash.

Craig Shoemaker, Kenneth Johns and David Duarte served as car judges, and members of Buda’s Brightside handed out trophies to winners.

Kyle Mayor Travis Mitchell also presented an award for Mayor’s Choice, Kyle Police Chief Je Barnett presented an award for Most Likely to Get a Ticket, and Buda’s Brightside members selected a Friends Choice award. Buda Fire Chief Clay Huckaby was not present during the ceremony, but chose a Hottest Car award.

In no particular order, the top 20 classic car winners were:

• Charlotte Sears (and Hottest Car)

• Bob Kallstrom

• Charlie Cade

• David Saucedo

• Donald Burkland

• Emoy Saucedo

• Paul Castillo (and Friends Choice)

• Bruce Moulton

• Brian Cartney

• John Soto Jr.

• Happy Shoemaker

• Filiberto Valencia

• Gus Leal

• Harold Sheely

• Rick Sullivan (and Mayor’s Choice)

• Steve Cokins

• Jack Max (and Most Likely to Get a Ticket)

• Lovar

• Bernie Tobia

• Joe Loya

For more information on Buda’s Brightside’s mission and upcoming events to help support them, visit www.budasbrightside.com.

Angie Dahl

D

Melanie Fenelon

D Insurance agency

properties Dripping Springs • Wimberley Driftwood • Lakeway • Spicewood South, Southwest and Central Austin PHOTO BY BRITTANY ANDERSON Dozens of local proud car owners brought their classic cars of all shapes, sizes, ages and colors to Hemphill Elementary School to benefit Buda’s Brightside. PHOTO BY BRITTANY ANDERSON Charlotte Sears with her 1934 Ford 3-Window Coupe, aka Bad GG. Sears took home a top 20 spot, plus Hottest Car. PHOTO BY BRITTANY ANDERSON Paul Castillo’s 1959 Chevrolet Impala, which garnered a top 20 spot and Buda’s Brightside’s Friends Choice award.
Hays Free Press / News-Dispatch • September 28, 2022 Page 5
1 2 3 4 5 6 7 8 9 10 11 12 13 14 15 21 TEXAS CROSSWORD
ACROSS 1 public FM/TV station in Dallas 5 TX Ivory Joe Hunter’s “Since _ ___ You Baby” 6 “You don’t tug on Superman’s ____” 7 Dallas FM station 8 TXism: “we ironed out ___ differences” 9 award-giving country music org. 12 TXism: “spittin’ _____ of” 17 Route 66 in Texas was built along the “Santa __ _____” 19 west Texas Indians 21 second flag over Texas: _____-__-lis 22 Ector County seat 23 Texas is leader in production of this lustrous wool 28 Texas critic, Rex 29 Cowboy assistant coach, Leon 30 this Tom starred with TX Zellweger in “Jerry Maguire” 31 Texas millionaire maker 35 Texas hill country food: ____wurst 36 TX Pecos Bill sweetheart (3 wds.) 42 TXism: “can’t carry bucket” (bad singer) 44 TX Clay Allison was a _____ gun 46 TX Carroll Shelby did this (2 wds.) 1 first chance for a Cowboy or Texan TD? (2 wds.) 2 Dallas Jewish group Temple _____-__ 3 paper: “Abilene ________-News” 4 _ ___ gallon hat 9 TX Bruce McGill’s first film: “Handle with ____” (1977) 10 mid-life crisis film made in TX (3 wds.) 11 bitter beer 12 O.J.’s judge, Lance 48 TX Ginger Rogers line: “Cigarette me, ___ ___” 49 TXism: “___horn” (amateur) 50 golf ball holder (2 wds.) 51 first disk drive: IBM’s “_____ 350” 52 Gable of Texas-based “Boom Town” (init.) 53 TXism: “plain as the top line __ __ eye chart” 54 barn rodents 56 TXism: “as welcome as a skunk __ _ picnic” 57 Austin’s “Capital of Texas ___” 58 a Texas governor serves four of these in one term (abbr.) 13 in Ellis County on U.S. 287 14 former Cowboy RB, Tommie 15 rush of wind 16 ____ Bernard, TX 18 “you’ll ___ the day you did that” 20 “Alamo City” initials 23 Ranger film: “Lone Wolf __Quade” 24 TXism: “got knocked down a peg __ two” 25 “baby moon,” a ___ cap back in the day 26 TX counties must comply with the “Clean ___ ___” 27 noted Comanche medicine man 32 TXism: “sort __” 33 TXism: “fair __ middlin’” 34 TX Audie film: “__ Hell and Back” 36 TX Nash’s “I Can ___ Clearly Now” 37 TX Whelchel of “Facts of Life” 38 AC ____ 39 UT frat. “_____ Nu” 40 Texas film “_____ Cowboy” (1980) 41 national equality commission (abbr.) 43 Louis L’Amour birth state (abbr.) 45 dysprosium symbol 47 one who uses “not” 48 Texas Crossword partnership: “Orbison ____” 55 ski destination for some Texans P-1604 18 19 22 29 31 32 33 34 39 40 4136 37 38 44 45 48 51 53 55 43 47 20 23 24 25 26 27 42 46 50 52 54 56 57 58 16 17 Copyright 2022 by Orbison Bros. 28 30 35 49 DOWN The Texas Crossword and Sudoku Puzzle D & D Insurance agency Serving Hays County since 1983 “Call us for all of your insurance needs” Angie Dahl Wimberley: 512-847-5549 or 512-847-9325 Dripping Springs: 512-894-2286 sponsored by Hays Free Press Call us with news or feature ideas! 512-268-7862 Women IN BUSINESS 107 E. Summit Dr, Wimberley • 512-847-5549 102 Old Fitzhugh Rd, Dripping Springs • 512-894-2286
DeMasters Daniel Insurance has been serving the Hill Country since 1983 as an independent insurance agency providing personal and commercial insurance products. Let our office help you shop your insurance coverage. Our staff is committed to deliver personalized service to each and every client. Look for upcoming agent introductions.
&
dd-ins.net
REALTOR ® , GRI, CLHMS melanie.fenelon@compass.com (512) 658-0773 Specializing in residential, acreage and farm/ranch
t LOOKING ON THE BRIGHT SIDE or To subscribe call 512-268-7862 or email paper@haysfreepress.com For all the latest news in Hays County, visit www.HaysFreePress.com www.HaysNewsDispatch.com

City of Kyle removes signs in violation of sign ordinance

KYLE – The city of Kyle is set to remove temporary signs in public rights-ofway that are in violation of the city’s sign ordinance.

On Sept. 20, the Kyle City Council unanimously approved for city staff to pull any signs in the rights-of-way and feather flags that do not follow the city’s sign ordinance. The enforcement of the ordinance would go through the code enforcement department.

“The reason I’m bringing this up is to give staff complete protection from us,” said Mayor Travis Mitchell. “Right now, our sign ordinance very clearly says that you cannot have feather flags in the city and that signs cannot be placed in the right-of-way, and if they are, then our code enforcement is to pull them up.”

A press release was sent out by the city of Kyle on Wednesday, Sept. 21, to give individuals a

five-day notice to ensure their signs and flags met all standards and are not located within the public rights-of-way by Monday, Sept. 26.

State law and city of Kyle ordinances prohibit the placement of temporary signs, including temporary political or commercial signs and flags, in public rights-of-way.

Section 29 of the city of Kyle Code of Ordinances governs the placement of temporary signs along public rights-ofway. While such signs are allowed on private property with landowner permission if they meet certain timing, size, and other requirements, temporary political or commercial signs are not allowed within right-of-way on city of Kyle roads and statemaintained highways.

Under Section 29-21 of the Code of Ordinances, any commercial flags with texts or logos are prohibited whether placed in public rights-of-way or

not.

Section 29-27 of the city of Kyle Code of Ordinances gives the city of Kyle Building Official and Code Enforcement Officers the authority to remove signs located on public rights-of-way without notice to the owner. In addition to the above, the building official or the code enforcement officer may issue citations without giving prior notice of violation or pursue any other administrative or legal remedy in order to abate any sign which is in violation of the ordinance or any other law.

Right-of-way, as defined by the ordinance, is at least 25 feet from an intersection and a minimum of 10 feet from the curb line of a street. According to Texas Transportation Code (TTC), signs also cannot be placed on the public rights-of-way of statemaintained highways. The local TxDOT district office also has the authority to remove signs located on

CITY

state-owned rights-ofway.

At the Sept. 20 meeting, Yvonne Flores-Cale asked if there was anything the city could do for residents to show individuals the locations of the rights-ofway.

“Is there something that we could provide? Say if next year I was running and I was like, ‘What is a right-of-way?’ and I just put it in the wrong place, I mean, I certainly wouldn’t do it on purpose, but I mean, I don’t know,” Flores-Cale said.

Mitchell said that the city needs to be clear in saying that signs cannot be put in the rights-ofway and if they are unsure where that is, they should ask city staff.

“In terms of the political signage, the ones that are being put out, are being put out by the candidates. So the candidates can call up city hall, they can say, ‘Hey is this right of way or not?’ but they’re not doing that. They’re just putting stuff out there, hoping it

sticks,” Mitchell said.

Flores-Cale pointed out the smaller businesses that use feather flags for advertising purposes because they are less expensive than other options. She suggested for city staff to bring back updates to the sign ordinance because eventually, the ordinance would have to be analyzed.

However, Mitchell warned her that the ordinance is complicated and robust.

“They do not want to do that. I promise you, it is a can of worms,” Mitchell said.

Mitchell said putting banners on the side of fences and the sides of your business are illegal in the city.

“You can’t put signs up, except by permit, and there’s square footage rights and with permission of city hall — all kinds of rules,” Mitchell said.

Parsley asked if the city charged a fee or enforced any kind of penalty for

sign owners. “I do not know the answer to that. I think they just get taken up, but you do get cited,” Mitchell said.

Parsley suggested charging sign violators a fee to get their signs back.

Kyle Police Captain Pedro Hernandez said the city could issue citations, but law enforcement’s goal is voluntary compliance.

“We can issue every single one of them a ticket, but you’re gonna hear about it,” Hernandez warned. “We’ll do what’s in the ordinance, we’ll do what’s asked of us, but I mean, also, our staff has to have discretion.”

Parsley thought it would be beneficial for at least the city candidates to have information on the packet for where they can place their signs.

Bradshaw said she didn’t think that was the city council’s responsibility.

“That’s up to the candidate,” Bradshaw said.

Kyle requests help in nding new city manager

KYLE — e Kyle City Council unanimously agreed to issue a request for proposals for professional services to assist in the selection and recruitment of the city manager during its meeting on Sept. 20.

Cities sometimes issue an RFP to assist in searching for a city manager. Another common route would be to publish a job notice and let individuals apply for the position that way.

Mayor Travis Mitchell

preferred allowing rms to assist in the recruiting of the city manager. City council member Daniela Parsley agreed.

“I think engaging a rm will be the best way to go,” Parsley said. “I think it will be great to have a city manager within six months and no later than that. e faster we can and pick the right person, the better.”

Council member Michael Tobias thought selecting a rm would be the best direction to go in.

However, Yvonne Flores-Cale wondered if the city could do an RFQ

(Request for Quali cation) Services rather than an RFP.

“From what I understand, RFQ is limited to professional services such as engineering and architecture. ere’s [a] state law that protects them, that says they don’t have to provide prices; they only have to provide quali cations,” assistant city manager Amber Lewis explained.

“All other professional services have to be a request for proposals which includes price, and it provides the opportunity for you to consider their

quali cations and price.” e city council is slated to make a selection at the second meeting in October.

“I think we can have the [RFP] out for three to four weeks and have a quick turnaround,” Lewis continued. “We can have the committee review [and] bring back the top two to be interviewed by the city council.”

Mitchell agreed that the city council should have the opportunity to interview the rms and ask questions about their method before making the nal decision.

ASSEMBLIES OF GOD

Faith Assembly of God 1030 Main St., Buda

BAPTIST

First Baptist Church-Buda 104 San Marcos St., Buda

First Baptist Church-Kyle 300 W. Center St., Kyle

Hays Hills Baptist Church 1401 FM 1626, Buda

Sledge Chapel Missionary Baptist Church 709 Sewell, Kyle

Southeast Baptist Church 5020 Turnersville Rd., Creedmoor

Manchaca Baptist Church Lowden Lane & FM 1626

Immanuel Baptist Church 4000 E. FM 150, 4 miles east of Kyle

Center Union Baptist Church Goforth Rd., Buda

Primera Mision Bautista Mexicana

Kyle

Baptist Church of Driftwood 13540 FM 150 W.

CATHOLIC

Santa Cruz Catholic Church 1100 Main Street, Buda

St. Anthony Marie Claret Church 801 N. Burleson, Kyle

St. Michael’s Catholic Church

S. Old Spanish Trail, Uhland

CHRISTIAN

New Life Christian Church 2315 FM 967, Buda

Iglesia Israelita Casa de Dios 816 Green Pastures Dr., Kyle

CHURCH OF CHRIST

Buda-Kyle Church of Christ 3.5 miles south of Buda on FM 2770

Southern Hills Church of Christ 3740 FM 967, Buda

EPISCOPAL

St. Elizabeth’s Episcopal Church 725 RR 967, Buda

St. Stephen’s Episcopal Church RR 3237 (Wimberley Rd.), Kyle

St. Alban’s Episcopal Church 11819 IH-35 South

JEHOVAH’S WITNESSES

Kingdom Hall of Jehovah’s Witnesses FM 2770, Kyle

Jehovah’s Witnesses South 10802 Manchaca Rd., Manchaca

LUTHERAN

Living Word Lutheran ELCA 2315 FM 967, Buda

Redeeming Grace Lutheran LCMS FM 1626 & Manchaca Rd., Manchaca

Resurrection Church, CLBA 401 FM 967, Buda

St. John Lutheran Church 9865 Camino Real, Uhland The Well Buda

METHODIST

Buda United Methodist Church San Marcos & Elm St., Buda

Kyle United Methodist Church Sledge & Lockhart St., Kyle

Journey United Methodist 216 Kirkham Circle, Kyle

St. Paul’s United Methodist Church 7206 Creedmoor Rd., Creedmoor Manchaca United Methodist Church FM 1626 & Manchaca Rd., Manchaca Driftwood United Methodist Church RR 150 at County Road 170

del Olivar Christian Center 2400 FM 150 E., Kyle

Connection Church 1235 S. Loop 4, Buda

Antioch Community Church Old Black Colony Rd., Buda

Completed & Perfected Faith Church Tobias Elementary Cafeteria, FM 150, Kyle Kingdom United Christian Church 100 Madison Way, Buda Mission Fellowship Church 200 San Marcos Street, Buda New Covenant Community Church 1019 Main Street, Buda (in Dance Unlimited)

Vertical Chapel

Page 6 Hays Free Press / News-Dispatch • September 28, 2022
MANAGER SEARCH ORDINANCES
NON-DENOMINATIONAL Monte
The
400 Old Post Road, Kyle A Fountain of Life Church 302 Millenium Dr. Kyle Fellowship Church at Plum Creek 160 Grace Street at 2770, Kyle Word of Life Christian Faith Center 118 Trademark Drive, Buda Por Tu Gracia Fellowship 701 Roland Lane, Kyle Trinity United Chuch of Niederwald 13700 Camino Real, Hwy. 21, Niederwald PENTECOSTAL Mision de Casa de Oracion S. Hwy. 81, Kyle New Life Sanctuary Kyle Science Hall Elementary 1510 Bebee Rd. PRESBYTERIAN St. John’s Presbyterian Church 12420 Hewitt Ln., Manchaca First Presbyterian Church 410 W. Hutchison, San Marcos, TX 78666 Buda, Texas • 15300 S. IH-35 • 312-1615 Debbie Thames, agenT 251 N. FM 1626, Bldg. 2, Ste. C, Buda, Texas 78610 312-1917 TEXAS LEHIGH CEMENT CO. LP Pure Texas Spring Water! Privately owned From local springs FREE DELIVERY 1ST 20 GAL. FREE Friendly, Courteous Service Call 1-866-691-2369 Your Hometown McDonald’s McDonald’s of Buda 15359 IH-35, Ste. B • P.O. Box 1364, Buda, TX 78610 512-312-2383 Locally owned and operated by Jimmy and Cindi Ferguson BUDA DRUG STORE 203 Railroad Street Downtown Buda Pharmacy 312-2111 Fountain 312-2172 Last Puzzle Solution S-1604 K E R A I M E T C A P E K N O N O U R C M A I M A G E F E T R A I L T I G U A S F L E U R D E O D E S S A M O H A I R R E E D L E T T C R U I S E L O T T O B R A T S L U E F O O T S U E A T U N E I N A H R E D C A R D E S I G N B I G B O Y T I N A T E E R A M A C C G O N A N R A T S A T A Z O O Y R S Texas Crossword Solution Texas Crossword, from page 3 Sudoku Solution Sudoku Puzzle, from page 3 First Baptist Church A loving & caring Southern Baptist Church 104 S. San Marcos Street, Buda Buddy Johnson, Pastor • 295-2161 Sunday School...........................................9:30 a.m. Morning Worship....................................10:45 a.m. Wednesday Bible Study/Youth Activities...6:00 p.m. AWANA’s (Wednesday)..........................6:00 p.m. Nursery Provided www.firstbaptistbuda.com • fbcbuda@austin.rr.com Hays Hills Baptist Church www.hayshills.org 1401 N. FM 1626 9:30 a.m. Classic Service 10:45 a.m. Contemporary service Adult (including an 8:30 a.m. early bird class), teen, children’s classes * Children’s worship Professionally-staffed nursery & pre-school Like us on Facebook Hays Free Press Providing you with your most important local news for Kyle, Buda and surrounding communities Come worship with us Your church ad could be here! Call 512-268-7862 *New Llano Aquisition* Now Serving:  Austin  Dripping Springs  Kyle  Kingsland  Llano We are expanding! 512-443-1366 www.HarrellFuneralHomes.com

City Council approves board and commission appointments

KYLE — e Kyle City Council held a special meeting on Saturday at 9 a.m. to nominate and approve board and commission appointments.

Council member Ashlee Bradshaw and Mayor Pro Tem Robert Rizo were absent, leaving Council members Michael Tobias, Yvonne Flores-Cale, Daniela Parsley and Mayor Travis Mitchell as a quorum.

e four city representatives present had to unanimously agree for any applicant to be approved without being interviewed.

e Kyle Public Library Board had four openings with Seats 3, 5 and 7 vacant with Jessica Robinson up for reappointment. Jessica Robinson was reappointed in Seat 1. Joi Torres was appointed to Seat 3, Spencer Copeland to Seat 5, and Mary Landrum to Seat 7.

Flores-Cale really liked how Landrum was a part of the Team Kyle Academy and her resume.

e Parks and Recreation Board had two vacancies due to a board member moving and possible uninterest in reappointment or term limits. GayLynne Carson, Julia Fishback and James Stan ll were among the considered applicants to ll the vacancies.

e council appointed Julia Fishback to Seat 2 and Julianna Orgish to Seat 6.

e Planning and Zoning Commission’s Seat 3 was vacant, with the current Seat 4 commissioner term expiring. e Planning and Zoning Commission Seat 2 Commissioner Mario Mata was seeking reappointment.

Mata was unanimously reappointed for Seat 2. Sara Onckin was appointed to Seat 3 and Neil Stegall was appointed to Seat 4. Brandon James was

unanimously appointed to Seat 6.

For Seat 3, FloresCale nominated Austin Sutherland because of his familiarity with the city. Parsley and Tobias nominated Oncken.

After motioning to approve Oncken for Seat 3, the council voted and the motion failed in a split vote with Mitchell and Flores-Cale voting against. Mitchell’s recommendation was Neil Stegall.

For Seat 4, Tobias recommended Julianna Orgish. Parsley recommended Steve DeLory. Flores-Cale said she would still like to nominate Sutherland.

“[Sutherland] mentioned things that mattered to me,” Flores-Cale said.

Tobias called Onckin to the podium to ask about the challenges she would nd on the Planning and Zoning Commission.

Onckin said she enjoyed

the dialogue the Planning and Zoning Commission had.

“Given that there are going to be two new people sitting on the board, I think it’s important that we continue that tradition of being vocal and being engaged,” Onckin said.

Onckin said challenges that might arise would be land developments.

“People are going to want to take advantage of the open spaces we’ve got, and I think it’s smart to have people who are going to be patient and to wait for the right thing for that space instead of being, maybe, a bit hasty,” Onckin said.

Flores-Cale asked why Onckin thought there were so many undeveloped spaces in Kyle.

“I think there’s just a lot of empty spaces that are trying to get lled in right now,” Onckin said, referring to driving by a lot of areas that are being developed and

redistricting signs.

After Flores-Cale motioned to approve Onckin, Tobias voted in negation, and the motion failed.

Parsley said she appreciates Onckin's engagement.

“She emails me quite often, pays attention to the city council meetings and she has been present in the meetings,” Parsley said.

Flores-Cale wished James and other reappointments and individuals were present during the meeting. Flores-Cale also acknowledged James’s vocalness.

“Anybody that’s on these boards and commissions, the more work you do, the less work we have to do,” Flores-Cale said. “So I really appreciate whoever we put on these boards.”

After some disagreement, the council compromised and voted for Julianna Orgish and Julia Fishback.

Seat 7 on the Arts Commission was required to have a business person from the community.

Victoria Phrydas was appointed to Seat 7. Tobias recommended Phrydas to serve based on her experience and resume. Flores-Cale seconded the recommendation.

Parsley recommended Gerald Kurten because she thought his background would bene t the arts commission.

Decisions about the Economic and Development and Tourism board were postponed.

“I think we need to have a larger discussion at the council level about this board, in particular, about making those nominations,” Mitchell said. “Each position is industry speci c, and a lot of times those are positions recruited directly by the economic development director to ll those particular seats.”

Buda EDC awards grants to businesses

STAFF REPORT

BUDA — e Buda Economic Development Corporation (EDC) recently awarded incentives to four businesses in Buda from its “Large Incentive Grant Funds,” approved by the Buda City Council.

“ ese incentives support our businesses at critical times in their development and keep Buda competitive within the local market,”

Buda EDC Board Chair Jennifer Storm said. “It is equally important to the EDC that it supports existing businesses that are rooted in Buda, as well as new businesses.”

e businesses that were awarded incentives include JParks Saloon & Standard, Meridian (connected to Zoi Market), Nighthawk Frozen Foods and Taste On Main.

JParks Saloon & Standard was awarded $10,000 for permit reimbursement and sales tax incentive reimbursements in the

amount of $92,000 for three years. e business is investing more than $350,000 in capital into its location at 404 Main Street, creating approximately 30 jobs by its rst year of operation.

Meridian, located at 200 Main Street, bills itself as a hub and destination for wellness, community, music and experience seekers. ey were awarded $51,000, which includes funding toward sales tax reimbursement for three years and a one-time reimbursement of capital investments to improvements and upgrades to the facility and permits.

“Because of this grant, we can a ord the infrastructure renovation,” Meridian Coowner Travis Sutherland said. “Our co ee and cocktail bar are now stocked with our new menu items.

… It was a game changer for us.”

Long-time Buda business Nighthawk Frozen Foods,

located at 100 Nighthawk Circle, received $60,000 in incentives for its more than $8 million capital investment to improve its facility and equipment.

Finally, Buda EDC awarded Taste On Main, which will feature steak and seafood, with a total award of $226,500. e funding provides $20,000 toward permit fees, and $206,500 in sales tax reimbursement for up to three years or when it reaches the funding cap.

Vicky Rudy, interim executive director of Buda EDC, explained that the purpose of incentive grants is essentially to grow the local economy by attracting and retaining quality businesses and jobs, encourage redevelopment of targeted areas in the city, enhance the commercial viability and sustainability of existing commercial properties, create opportunities to employ residents of the city and increase the non-

residential ad-valorem tax and/or sales and use tax revenue base for the city.

“We know these incentives have the potential to allow our businesses to shore up their

long-term viability in our community, so these grants have both short- and longterm impacts,” Buda Mayor Lee Urbanovsky said.

Buda EDC’s Large Incentive Grant program

has a rolling application, which is accessible online at www.budaedc.com/ incentives. Contact Buda EDC at (512) 295-2022 for more information about its grant programs.

sponsored by Mufasa, 3-year-old, Mixed Breed, Male: Mufasa is a happy, goofy young pup. He absolutely loves the water and would never turn up an opportunity to go splashing or swimming. Mufasa is housebroken and has had good interactions with other dogs and cats. Mufasa would do best in a home with a yard. Come meet this handsome pup today! Quinoa, 1-year-old, Domestic Shorthair mix, Female: Quinoa is a very affectionate cat with a loud, sweet purr. She loves to follow people around the catteries and ask for ear scratches. Quinoa gets along well with the other cats and would do well with people of any age. She would do well in most any home environment. Come and meet her at our Kyle Campus today! Committed to your pet’s health since 1978
Hays Free Press / News-Dispatch • September 28, 2022 Page 7 512-858-5159 Texas hometown friendly bank 401 E. Hwy 290W. P.O. Box 1243 Dripping Springs, TX 78620 We proudly support our hometown talent Kayley Goldsmith, DVM H Elizabeth Garriott, DVM H Michelle Kurkowski, DVM 6300 FM 1327 (East of I35 and Creedmoor) Austin, TX 78747 Give us a call at 512-385-0486 PAWS Shelter of Central Texas is a non-profit, no-kill shelter operated primarily on donations and adoptions. 500 FM 150 E, Kyle, TX • 512 268-1611 • pawsshelter.org All animals are fully vaccinated, spay/neutered, microchipped and dewormed.
Read Us Online
KYLE Monday-Friday, 9am-5pm 251 N. FM 1626 #2C, Buda, TX 78610 Office: (512) 312-1917 • Fax: 312-0688 dvthames@austin.rr.com Debbie Thames Insurance Agency AUTO • HOME • LIFE • BOAT • HEALTH Your Business & Referrals Are Appreciated

PUBLIC HEARING

The Buda City Council will hold a public hearing regarding the following item at its regular meeting to be held Tuesday, October 18th, 2022:

DA 22-01: Hold a public hearing and first reading of an Ordinance for a Development Agreement for the Persimmon Development between the City of Buda and the subject landowners to allow a primarily single-family development for an area of +/- 775.12 acres in the City of Buda, City of Buda ETJ, City of Austin ETJ, and Travis and Hays Counties.

The hearing will be held at 6:00 pm in the Council Cham bers at Buda City Hall, 405 E. Loop St. Building 100, Buda, TX 78610. Please visit the City of Buda website (ci.buda.tx.us) for meeting details and public participation options. The agenda will be published 72 hours prior to the meeting.

NOTICE TO CREDITORS

Notice is hereby given that original Letters of Independent Administration for the Estate of James Nathaniel Henry, De ceased, were issued on Sep tember 19, 2022, under Docket No. 22-0294-P, pending in the County Court of Hays County, Texas, to Tina Elizabeth Henry, Independent Administrator. Claims may be presented in care of the attorney for the estate, addressed as follows: Estate of James Nathaniel Henry, Deceased, c/o Keith McMahon, 228 S. Seguin Ave nue, New Braunfels, TX 78130, Ph: 830-515-5854. All persons having claims against this estate, which is currently being administered, are required to present them within the time and in the manner prescribed by law. /s/ Keith McMahon, attorney for applicant.

DATED the 22ND day of September 2022.

REQUEST FOR PROPOSALS

Bartlett Cocke General contractors, Construction Manager-at-Risk, for: Wallace Middle School

Improvements - PACK AGE 1 (Roofing Scope, HVAC Equipment, Electrical Equipment), is requesting competitive proposals from subcontractors and suppliers. Subcontractor and supplier proposals will be received via

Fax to (512) 326-4339 or (512) 326-3990 Fax or via email to bidaus@bartlettcocke.com no later than 2:00:00 PM on 10/25/2019. Any proposals received after this time will not be accepted.

Electronic copies of the proposal documents may be obtained from Bartlett Cocke or viewed at local and online planrooms. Contact Angela Erickson via email Aerickson@ bartlettcocke.com or phone (512) 326-4223 Phone to make arrangements.

Small, Woman Owned, Dis advantaged, HUB, HUBZone, 8(a), Minority, and all similar firms are encouraged to submit proposals on this project. Bart lett Cocke General Contractors is an equal opportunity (EEO) employer.

NOTICE OF SALE OF REAL PROPERTY

STATE OF TEXAS COUNTY OF HAYS CAUSE: 21-0217

By virtue of an Order of Sale issued by the clerk of the 453rd District Court of HAYS County, Texas, August 10,2022, in cause numbered 21-0217, styled Hometown Kyle Homeowners Association, INC. versus Jose Flores and Beatriz Mederos on a judg ment rendered against Jose Flores and Beatriz Mederos; I did on August 18, 2022, at 3:00 p.m., levy upon as the property of Jose Flores and Beatriz Mederos the following described real property:

LOT 37, BLOCK G, HOME TOWN KYLE SUBDIVISION, PHASE 4, SECTION 2, A SUB DIVISION IN HAYS COUNTY, TEXAS, ACCORDING TO THE MAP OR PLAT RECORDED IN VOLUME 13, PAGE 247, OF THE PLAT RECORDS OF HAYS COUNTY, TEXAS, LO CALLY KNOWN AS 231 DES ERT ROSE DR, KYLE, HAYS COUNTY, TEXAS 78640 (THE ‘PROPERTY”)

On October 4, 2022, being the first Tuesday of the month, between the hours of 10:00 A.M. and 4:00 P.M., beginning at 10:00 a.m., at the Hays County, at the South Door, 712 Stagecoach Trail of the Courthouse of the said County, in the City of San Marcos, Texas, I will sell for cash to the highest bidder, all the right, title and interest of Jose Flores and

PUBLIC NOTICES

real property described above.

Dated at Kyle, Hays County, Texas, August 18, 2022

Michael Torres Constable, Pct. 2 Hays County, Texas 5458 FM 2770 Kyle, Texas 78640

by Patrick Chasse, Deputy

Notice to Bidders: You are buying whatever interest, if any, the Debtor has in the property. Purchase of the Debt or's interest in the property may not extinguish any liens or security interests held by other persons. There are no warranties, express or implied, regarding the property being sold, including but not limited to warranties of title, merchant ability or fitness for a particular purpose.

Notice to Judgment Debtor: If there is any property, real or personal, you want to point out for levy in lieu of the above described property, you must contact this office immediately

NOTICE OF APPLICATION TO SUBDIVIDE

An application has been filed with HAYS COUNTY to create an 11-lot subdivision on 25.23 acres. The proposed subdivision Is located adjacent to and north of FM 967 approx imately 500 feet east of FM 1826 in Buda, Texas. Informa tion regarding the application may be obtained from Hays County Development Services 512-393-2150, Tracking num ber: PLN-2042-PC.

CITY OF BUDA LEGAL NOTICE

NOTICE IS HEREBY GIV EN, pursuant to City of Buda Charter, Article III, Section 3.11 (D). Ordinances, that the Buda City Council, at its regular meeting on September 20, 2022, adopted ordinanc es: 1) amending Chapter 6 Building Regulations, Article

6.02, Subsections 6.02.051 thru 6.02.552 (Division 2-11), to adopt the 2021 Internation al Code Council (ICC) and the 2020 National Electric Code (NEC) with appendices and with an effective date of January 1, 2023; 2) certain Unified Development Code standards and add definitions; 3) amending Chapter 4, Article 4.04 Animal Care and Control, Section 4.04.014 Chickens and Section 4.04.015 Roosters to correlate with the Unified Development Code section 02.02.06 (10)(c); and 4) FY 2023 Budget Appendix A enti tled Fee Schedule; providing for penalties for failure to comply with such ordinance(s); providing for publication; and, providing for an effective date.

By: Mayor Lee Urbanovsky. Attest: Alicia Ramirez, City Clerk. (full text is available in the Office of the City Clerk, City Hall, 405 E. Loop Street, Building 100, Buda, TX, during business hours and on www. ci.buda.tx.us.)

NOTICE TO ALL PERSONS HAVING CLAIMS AGAINST THE ESTATE OF GILBERT EVERETT FULMER

On September 19, 2022, letters testamentary for the Es tate were issued to UMB Bank, n.a., by the County Court at Law No. 2 of Hays County, Texas, in Cause No. 22-0352P pending upon the Probate Docket of said Court.

All persons having claims against the Estate, which is currently being administered, should present those claims within the time prescribed by law to:

William D. Pargaman

Attorney for UMB Bank, n.a., Independent Executor 7800 N. Mopac Expy., Suite 200 Austin, Texas 78759-8962

NOTICE OF PUBLIC SALE

Pursuant to Chapter 59 of the Texas Property Code,

City SeCretary Wanted

The City of Hays’ City Secretary is appointed by and answers to the Mayor and the City Council. The position provides administrative support to the Mayor, City Council, and any Committees, Boards or Commissions created by the City Council. The individual must work effectively with elected officials, the general public, and government agencies on all levels. Work shall be performed at City Hall unless there are unforeseen circumstances. Equipment, files and documents shall remain at City Hall at all times. If interested and for more details, please see full description at Texas Municipal League’s website: tml.careerwebsite.com (Search Job ID: 65619516.)

TJO 10 X 10 Management, Ltd Managing properties listed below will hold a public auction of property being sold to satisfy a landlord’s lien. The sale will begin on or about the time indicated at www.Selfstor ageauction.com. Property will be sold to highest bidder for cash. Deposit for removal and cleanup may be temporarily required. Seller reserves the right to reject any bid and to withdraw property from sale. Property may be sold by the space. Property being sold includes contents in spaces of following tenants, with brief description of contents in each space.

Wednesday, October 12, 2022

12:00 pm AAA Self Storage Dripping Springs @ 2300 W. US Hwy 290, Dripping Springs, TX 78620 www.SelfStorageAuction. com Justin Watson: misc. Items.

NOTICE OF SALE OF REAL PROPERTY

STATE OF TEXAS

COUNTY OF HAYS CAUSE: 20-0394

By virtue of an Order of Sale issued by the clerk of the 428th District Court of HAYS County, Texas, August 1,2022, in cause numbered 20-0394, styled Post Oak One Homeowners Associ ation, INC. versus Brenda Hi dalgo on a judgment rendered against Brenda Hidalgo; I did on September 1, 2022, at 2:00 p.m., levy upon as the property of Brenda Hidalgo the following described real property:

LOT 26, BLOCK U, POST OAK SUBDIVISION, PHASE 3, A SUBDIVISION IN HAYS COUNTY, TEXAS ACCORD ING TO THE MAP OR PLAT RECORDED IN VOLUME 13, PAGE 261, OF THE PLAT RE CORDS OF HAYS COUNTY,

On October 4, 2022, being the first Tuesday of the month, between the hours of 10:00 A.M. and 4:00 P.M., beginning at 10:00 a.m., at the Hays County, at the South Door, 712 Stagecoach Trail of the Courthouse of the said County, in the City of San Marcos, Texas, I will sell for cash to the highest bidder, all the right, title and interest of Brenda Hidalgo in and to the real property described above.

Dated at Kyle, Hays County, Texas, September 1, 2022 Michael Torres Constable, Pct. 2 Hays County, Texas 5458 FM 2770 Kyle, Texas 78640

Notice to Bidders: You are buying whatever interest, if any, the Debtor has in the property. Purchase of the Debt or's interest in the property may not extinguish any liens or security interests held by other persons. There are no warranties, express or implied, regarding the property being sold, including but not limited to warranties of title, merchant ability or fitness for a particular purpose.

Notice to Judgment Debtor: If there is any property, real or personal, you want to point out for levy in lieu of the above described property, you must contact this office immediately.

GARAGE SALES

GARAGE SALE Huge Garage Sale!! 262 Ewald Drive, Kyle, TX - Sept. 30th - Oct. 2, 8 AM - 1 PM. Furniture, Clothes, Shoes,Con struction Materias,Tools.

DIRECT CARE COUNSELORS

Provide positive role modeling, structure, and supervision to adolescent boys. No exp. required, We train comprehensively. Pay starting at $12 per hour for flexible 8 & 16 hr shift schedules.

Health/life/dental insurance after 60 days. Min. requirements: Must be 21 yrs old, HS/GED, clean TDL, clean criminal histor y, pre-employment TB skin test, and drug screen. Growing (20+ year old) non-profit organization. www.pegasusschool.net. Call (512)432-1678 for further information.

GENERATORS

Prepare for power outages today with a GENERAC home standby generator. $0 Money Down + Low Monthly Payment Options. Request a FREE Quote. Call now before the next power outage: 1-855-704-8579.

MEDICAL

Portable Oxygen Concentrator May Be Covered by Medicare! Reclaim independence and mobility with the compact design and long-lasting battery of Inogen One. Free information kit! Call 866-747-9983.

DENTAL INSURANCE from Physicians Mutual Insurance Company. Coverage for 350 plus proce dures. Real dental insurance - NOT just a discount plan. Do not wait! Call now! Get your FREE Dental Information Kit with all the details! 1-855-901-0467 www.dental50plus.com/txpress #6258

Model #203 Georgia, bal. $19,950; Model #305 Biloxi, bal. $14,500; Model #403 Augusta, bal. $16,500. View plans at www.americanloghomesandcabins.com; 704-368-4528.

WANTED

FREON WANTED: Certified buyer looking to buy R11, R12, and R500 and more. Call Joe at 312-625-5322.

the Texas Attorney General at 800-621-0508

at 877-FTC-HELP. The FTC web site is www.ftc.gov/bizop.

Page 8 Hays Free Press / News-Dispatch • September 28, 2022
Classifieds
TexSCAN Week of Sept. 25-Oct. 1, 2022 ACREAGE Own your piece of Texas TODAY! Prices start ing at $650/acre. Trans Pecos region. Also the Hill Country (Edwards, Menard, Coke, Val Verde Counties - free ranging exotics), South Texas (Duval County - whitetail, hogs). Large acreage or small. 30 year fixed rate owner financing, only 5% down. Call toll free or email for individual prices and terms. www.ranchenterprisesltd.com, 800-876-9720. LOG HOMES Log Homes – Pay only the balance owed. Just Released: American Log Homes is assisting estate & account settlement on houses. Log Home kits selling for balance owed, free delivery. Model #101 Carolina, bal. $17,000;
Texas Press Statewide Classified Network 221 Participating Texas Newspapers • Regional Ads Start At $250 • Email ads@texaspress.com NOTICE: While most advertisers are reputable, we cannot guarantee products or services advertised. We urge readers to use caution and when in doubt, contact
or the Federal Trade Commission
Never been manufactured NO TIME LIMIT FOR DELIVERY Comes with complete building blueprints and Construction Manual NEW HOMES: www.americanloghomesandcabins.com Serious Inquiries only Call: 704 368-4528 Before Calling View House Plans at JUST RELEASED: AMERICAN LOG HOMES is assisting estate& account settlement on houses LOG HOME KITS selling for BALANCE OWED with FREE DELIVERY LOG HOMES PAY ONLY THE BALANCE OWED! * Windows, Doors and Roofing not included Model #101, Carolina, $40,840 BALANCE OWED $17,000 Model #203, Georgia, $49,500 BALANCE OWED $19,950 Model #305, Biloxi, $36,825 BALANCE OWED $14,500 Model #403, Augusta, $42,450 BALANCE OWED $16,500
And Find out what’s going on all around Kyle, Buda, Dripping Springs and Wimberley Call 512-268-7862 to Subscribe Today! 1 Year Digital & Print Seniors 55+ $37.80/year $42/year 1 Year Digital Only $35/year Seniors 55+ $31.50/year

Hays County recognizes POSAC

STAFF REPORT

HAYS COUNTY Members of the Hays County Parks and Open Space Advisory Commission (POSAC) received recognition on Tuesday, Sept. 21, by the Hays County Commissioners Court for their efforts and contributions to the 2020 Parks and Open Space Bond program.

Under the program, which consists of $75 million in general bonds to fund parks, open spaces, conservation lands, and recreational opportunities, five projects have received approval for funding since November 2021, including Sentinel Peak Preserve outside of Wimberley. The Hays County Commissioners Court continues working to allocate the remaining

funds.

Parks bond projects will ensure the preservation of open spaces, protect the county’s ecology, create connecting trails, and restore beloved parks.

The court celebrated POSAC members with a proclamation recognizing their community leadership and expertise to improve the parks and open spaces of Hays County. Commissioners Mark Jones, Pct. 2 and

Lon Shell, Pct. 3, cosponsored the POSAC proclamation.

“Their long nights and continuous work that move Hays County towards a stronger, more equitable and inclusive community does not go unrecognized,” Shell said.

Jones thanked the POSAC members for their enthusiasm and diligence to move projects forward.

“Working to help build the Parks and Open

Space Bond consisted of many hours and plenty of patience,” he said. “With the help of this dedicated team, we have come one step closer to seeing these community improvement projects come to life.”

Shell said he also applauds the Hays County community that came together to make these bond projects a reality.

“I’m eager to continue working on these projects and to watch our

Texas Food Bank announces new tool

STAFF REPORT

The Central Texas Food Bank (CTFB) launched a Food Access Convening Tool (FACT) which identifies areas where people face food insecurity, on Sept. 22.

According to a press release, FACT is a planning and convening

tool for mobilizing communities and resources. The tool was developed in collaboration with Feeding South Florida and Ryder and Howard University.

FACT utilizes realtime data to map gaps in services within the organization’s 21-county service area. The new tool’s planning processes

provide key demographic data and show the impact of strategies beyond food distribution like SNAP assistance and workforce development.

It also analyzes food insecurity rates based on the latest census tracts and the Food Banks distribution reach to demonstrate the impact of the Food Bank’s efforts.

FACT also serves as a road map by providing a better understanding of existing gaps in food access and helps CTFB plan where to focus its efforts and resources through partnership development and progressive community growth.

“As the Central Texas Food Bank moves into a new era of innovation

and addressing the root causes of hunger and poverty, FACT gives us an innovative, strategic and inclusive tool for helping us execute our mission of ending hunger in Central Texas,” said Sari Vatske, President and CEO of the Central Texas Food Bank.

FACT also uses “levers” to demonstrate how initiatives in addition to

food distribution can help those in need. ese levers can be turned on and o to display how di erent e orts can augment food assistance. According to a press release, FACT can also factor in workforce training and SNAP assistance and has the exibility to incorporate additional features in the future.

community enjoy these loved spaces,” he said. POSAC Members Scott Way (Chair) Blanca Loya (Vice Chair) Burt Dement Carolyn Gonzales Jim Camp Karen Ford Kasey Mock Kathryn Nichols Lori Olson Scott Tomhave Laura DuPont Lisa Prewitt CONTRIBUTED PHOTO The Hays County Commissioners Court presents a proclamation to members of the POSAC last week.
Hays Free Press / News-Dispatch • September 28, 2022 Page 9
Service Directory Tree Service MARCUS LEES (512) 858-4018 leestreestexas@gmail.com Free Assessments & Estimates • Insured Lees Trees 38 years experience in the hill country Firewood • Pruning • Removal • Chipping Planting • Cedar Posts • Bulk Mulch Shoe Repair 10 locations in Central Texas including: 1911 Ben White and Manchaca Rd • 512-440-8788 12119 W Hwy 290 and Nutty Brown Rd • 512-827-3398 6781 W Hwy 290 in Oak Hill • 512-288-6386 316 Round Rock Ave. Round Rock - 512-244-9124 306 South Bell Cedar Park - 512-219-8387 8211 Burnet Rd. Austin - 512-453-1961 AustinShoeHospital.com 10 Locations in Central Texas including: • Boot Experts • Purse Repair • Belt Repair • Luggage Repair • Shoe Care Products 10 locations in Central Texas, including: 3932 RR 620 S. in Bee Caves • 512-263-4630 1911 W. Ben White Blvd. in Austin • 512-440-8788 3300 Bee Caves Rd. in Westlake • 512-329-8104 Remodeling & Repairs Wild West Remodeling O Painting O Tile O Siding O Decks O Trim O Door & Window Replacement O Drywall Repair O Custom Cabinets O Patio Covers O Electrical & Plumbing Curtis Dorsett 512-402-4704 “No Job Too Small or Too Big” Pool Service HIGH TIDE POOL SERVICE Over 10 years of experience Keith Miller, owner FREE ESTIMATES HIGHTIDEPOOLSERVICE@YAHOO.COM HIGHTIDEPOOLSERVICE.COM One Time & Weekly Cleanings Drain & Cleans Pressure Washing Full Service Repairs Pool Replastering 512-965-3465 Air Conditioning Nemec HeatiNg & air cHris Nemec “Proudly Serving Central Texas” Residential • Commercial • After Hours Available Email: Chris@nemecheatingandair.com O. 512-312-9081 • C. 512-789-5132 Buda, Texas 78610 • TACLA 34861C Computer Help Professional Office Home and RV Service in north Hays Co. Computer Systems Software Development Networking Technical Systems Maintenance Component Selection Digital Photos System & Process Docs Website Maintenance CD/DVD Duplication Want help selecting the best value? Office systems not maintained? Did your kids or employees leave your computer useless? mike@haystech.com Consulting Setup Training Backups Upgrades Plumbing PrincePlumbingCompany #M14369 • Residential Repair Specialist • Remodeling & Water Heaters • Sewer Cleaning & Replacements • Slab & Gas Leak Repair • BBB Member 312-0710 Serving Hays County since 1990 MC • Visa • 40 yrs. Experience • Family Owned • Family Operated • Backflow Testing and Devices Financial Planning 107 S. Main St., Ste. A • Kyle, TX Zachary Barton 512-686-7589 Financial Planning• Insurance Planning Investment Planning Financial Planning 107 S. Main St., Ste. A • Kyle, TX Zachary Barton 512-686-7589 Financial Planning• Insurance Planning Investment Planning Pool Service G&S Pool and Spa Service The only call you need to make 512-326-4695 www.gspoolspa.com Serving S. Austin, Dripping Springs, Driftwood, Kyle and Buda since 1994. TICL #629 Septic Services Aerobic Maintenance Provider Septic Inspections & Consulting Septic Installations & Repairs Tank Lid Replacements & Repair Specialists on Older Systems ALL AMERICAN WASTEWATER SOLUTIONS, LLC www.ALLSEPTICCHECK.com 282-3889(512) Locally serving our community since 1982. Septic Problems... LET US HELP! COMMERCIAL • RESIDENTIAL Pumping Tanks & Lift Stations YOU COULD HIGHLIGHT YOURBUSINESSHERE WE CAN HELP! Call 512-268-7862 or email ads@haysfreepress.com HVAC & Plumbing A healthy home starts with healthy air. IAQ: Indoor Air Quality purification systems reduce: • Allergens • Viruses • Bacteria • Pet dander Shafer installs state-of-the-art air purification systems that are: • CDC recommended • Chemical free • Eco-friendly We are here for you 24/7. Give us a call. We promise to answer anytime, day or night. BOOK ONLINE Call Shafer Services Plus for a free Indoor Air Quality Assessment in your home. • Mold • Odors • Air pollutants Now serving the communities of Kyle and Lockhart. 800-903-5164 Give us a call 24/7. We promise to ansWer anytime day or niGht Now serving the communities of Kyle and Lockhart. A healthy home starts with healthy air. IAQ: Indoor Air Quality purification systems reduce: • Allergens • Vi • Bacteria • Pet dander Shafer installs state-of-the-art air purification systems that are: • CDC recommended • Chemical free • Eco-friendly We are here for you 24/7. Give us a call. We promise to answer anytime, day or night. BOOK ONLINE 800-903-5164 Call Shafer Services Plus for a free Indoor Air Quality Assessment in your home. • Mold • Odors • Air pollutants Now serving the communities of Kyle and Lockhart. ShaferServices.com License #TACLA013656E/M215 Residential & CommeRCial Automotive 395 Country Rd. 202, Ste 9B, Kyle, TX KyleAutoRepair.com 512-722-7441 Hours: Mon-Fri: 7:30 a.m.- 4:30 p.m. • Family Owned & Operated  • Full Service  • dieSel  Mention this ad for $5 off The owner of The business ThaT used To have This spoT released iT afTer 10 years so ThaT he could reTire This is your chance! call 512-268-7862

Dripping Springs wins 55-7 victory over Bowie

Dripping Springs held a 34-0 lead when Bowie started its homecoming ceremonies at halftime at Burger Center on Friday, Sept. 23. e Tigers were near perfect, with the exception of a rare missed PAT, in a 55-7 win.

Quarterback Austin Novosad, who sat out the second half, completed

21 of 24 passes for 215 yards and 4 touchdowns. Jack Williams came in the third quarter and completed 6 of 7 passes for 71 yards and a touchdown.

Dripping Springs scored on 5 pass receptions, had 2 rushing touchdowns and Greyson Jones intercepted a Bowie pass returning it for a touchdown. Boston Papp,

Hawks ght their way to victory

Jags defeat Trojans 38-21

Lobos face shutout

PHOTO BY VICTORIA CARREON The Lehman Lobo football team hosted the Wagner Thunderbirds on Thursday, Sept. 22. Despite a Lobo interception and a recovered fumble, Lehman struggled to gain ground and the game ended in a shutout. Pictured above, Lobo teammates band together for a tackle. PHOTO BY VICTORIA CARREON Through a tough loss, the Lehman cheerleaders never waivered in their support and smiles. PHOTO BY WAYLAND D. CLARK Dripping Springs had a chance to win the fourth set with this shot by (3) sophomore Riley Certain. The ball cleared the front line but was handled in the back court and Lake Travis tied it 2424, eventually winning the set 26-24. Dripping Springs won the first set by that same score but LT took the next two sets 25-19, 25-22 for the win. Freshman Henley Anderson led attacking with 17 kills followed by Mackenzie Plante with 10 kills. Dripping Springs host Buda Johnson on Friday, Sept. 30 at 7 p.m. and Buda Johnson on Tuesday, Oct. 4 at 6:30 p.m. PHOTO BY WAYLAND D. CLARK The offensive line allowed Dripping Springs’ quarterback Austin Novosad (16) plenty of time in the pocket to find his receivers. Novosad, who didn’t play in the second half, completed 21 of 24 passes for 215 yards and 4 touchdown passes. Jack Williams came in the third quarter and completed 6 of 7 passes for 71 yards and a touchdown. PHOTO BY WAYLAND D. CLARK Dripping Springs’ quarterback Austin Novosad (16) handed off to Jack Tyndall (18) who had no problem scoring on this 5-yard touchdown run thanks to a key block on a Bowie player by Boston Papp (25). Tyndall led the team in rushing with 19 carries for 105 yards. Novosad completed 21 of 24 passes for 215 yards with four touchdowns. PHOTO BY WAYLAND D. CLARK Dripping Springs’ Boston Papp (25) makes a leaping catch in the end zone over the outstretched arms of Bowie defender Jake Cole (48) on this 18-yard touchdown pass from quarterback Austin Novosad. Kyle Koch, Garon Duncan, Jack Tyndall, Braedon Mulder all scored touchdowns and Joseph Moreland scored twice. Tyndall led rushing with 19 carries for 105 yards. Koch led receivers with 9 receptions for 91 yards. Dripping Springs 4-0 (2-0) will host Buda Johnson 2-3 (2-1) on Friday, Sept. 30 at 7:30 p.m.
Dripping Springs volleyball falls to Lake Travis, not without a ght
PHOTO BY KATELYN PESINA Under the Friday night lights, the Johnson Jaguars ended the week with a 38-21 victory over the Anderson Trojans. Pictured above, Ethan Ybarra (28) takes off on a touchdown run. PHOTO BY KATELYN PESINA Jags cheerleaders entertain the home crowd before kickoff. PHOTO BY VICTORIA CARREON After five matches, the Hays Hawks volleyball team overcame the Glenn Grizzlies with three match wins at home on Thursday, Sept. 22. Pictured above, Makayla White (8,) Liv Saldana (24,) Bella Briceno (3) and Crystal Creek (5) shout in victory after winning match five. PHOTO BY VICTORIA CARREON Liv Saldana (24) leaps to spike the ball back to Glenn.
SPORTS Hays Free Press/News-Dispatch • September 28, 2022 Page 11

Local seniors make cookies for rst responders

HIRING

BUDA, from page 1

voluntary annexation, will apply to the released Austin ETJ portion.

• Aquifer: the developer will conduct and submit a geological report to the city documenting any sensitive aquifer recharge features on the property as part of the preliminary plat.

e city is also looking at consenting to the creation of a PID and TIRZ (tax increment reinvestment zone), and providing water and wastewater services for the entire project.

For months, many residents and even city leaders have voiced opposition to the development, mainly citing tra c concerns in already congested areas and various environmental impacts.

However, some have started to change their tune. MileStone has made it clear that the development will be built regardless if

DWI, from page 1

a davit.

Smith also refused to have the intoxilyzer, PBT (preliminary blood test) and blood test administered. Because he refused to provide a specimen of blood or breath, Smith’s permit and/or driving privileges to operate a motor vehicle were suspended from Sept. 3, 2021, to March 1, 2022.

“While at the hospital, I was informed that I was under arrest for DWI, even though no blood was drawn, no breathalyzer

it is approved through the city or not, saying that it has already invested too much time and money into the project over the last several years to turn away.

While some of MileStone’s initial commitments include a 1626 connector, 2,800 single-family only residential units and at least 10 acres for retail, these could change or go away completely if the development is built under the county.

In Texas, property owners have the right to develop their property under county standards without required consent from the city. Counties are required to approve projects under very broad standards.

“As a resident of the area, of course I am not ‘excited’ about the development going in, however, it will go in and it is inevitable,” wrote resident Kelsie

given, and o cers at the scene expressed no suspicion of impairment. Upon reviewing the evidence, the DWI charge was dropped and I was instead charged with a misdemeanor tra c violation for obstructing a pathway,” Smith’s statement continued. “Due to the pandemic, the Travis County court system was backlogged and unable to hear my case for nearly a year and a half. While I wish this matter could have been dealt with sooner, my

Myers in an emailed public comment to council.

“We are very aware of the impact such communities have on an area and our city. We truly believe that voting yes will be the best for our community and the long term investment for Buda.”

“It seems like it would be irresponsible to let future developments in Buda be built without Buda involvement and oversight to ensure the city vision is managed and maintained,” resident David Jenkins wrote. “I also strongly encourage the city to put in place whatever means are at its disposal to ensure that the developers are held accountable to the current development agreements and commitments.”

Council is expected to vote on the development agreement during its next regular meeting on Oct. 11.

attorney was nally able to meet with prosecutors on Sept. 16, who agreed the DWI charge should be dropped. Although it is easy to rush to judgement, our judicial system exists to ensure that evidence is considered fairly and judgments are accurate. I take my position as county commissioner and the safety of our community seriously, and continue my service with appreciation that this matter has been fairly concluded and my innocence con rmed.”

CONTRIBUTED PHOTO Seniors at The Philomena Assisted Living and Memory Care in Kyle recently made some first responders smile. Residents came together to make some homemade pumpkin cookies for the local fire department. Pictured are Jake, Maria, and Susan with local Kyle Fire Department firefighters and first responders. CONTRIBUTED PHOTO “Our residents wanted to wish the men and women who are dedicated to keeping us safe a happy Labor Day. We thought they’d enjoy some homemade treats,” said Ian Handke, Philomena executive director. “Residents at the Philomena enjoy giving back to the local community.” CONTRIBUTED PHOTO Ester, a Philomena resident, makes cookies.
Page 12 Hays Free Press • September 28, 2022 WE ARE
Join our team at myARCcareer.com 2004-2008 2010-2012 2014-2019 2021 Physician Opportunities Family Medicine • Internal Medicine • Pediatrics Non-Invasive Cardiology • Dermatology • and more! Clinical & Admin Opportunities Nursing (RN/LVN) • Medical Assistants • Radiology Techs/Mammo Laboratory • Finance/Payroll • and more! ARC has been voted a top Central Texas employer by our employees for over 15 years. View all our openings and apply at myARCcareer.com

Turn static files into dynamic content formats.

Create a flipbook
Issuu converts static files into: digital portfolios, online yearbooks, online catalogs, digital photo albums and more. Sign up and create your flipbook.