

![]()









169





The Demerara Harbour Bridge will be closed to vehicular traffic on:
Monday, October 28 –01:30h-03:00h and Tuesday, October 29 – 02:30h-04:00h.
The Berbice Bridge will be closed to vehicular traffic on:
Monday, October 28 –14:15h-15:45h and Tuesday, October 29 – 14:55h-16:25h.

Parika and Supenaam departure times – 05:00h, 10:00h-12:00h, 16:00h, 18:30h daily.





Sunshine is expected during the day. Clear skies are expected at night. Temperatures are expected to range between 23 degrees Celsius and 32 degrees Celsius.
Winds: East North-Easterly to Easterly between 3.13 metres and 5.36 metres.
High Tide: 14:13h reaching a maximum height of 2.33 metres.
Low Tide: 07:45h and 20:06h reaching minimum heights of 0.91 metre and 0.87 metre.










The ruling People’s Progressive Party (PPP) on Sunday continued its efforts to build its youth arm with yet another successful conference held in Region Three (Essequibo Islands-West Demerara).
Over 5,000 young people across the region attend the Youth Conference held at the National Track and Field Center at Leonora, West Coast Demerara.
The party’s General Secretary, Dr Bharrat Jagdeo, delivered the keynote address, focusing on the history, legacy, and future of the PPP’s youth arm – the Progressive Youth Organisation (PYO).
Dr Jagdeo recounted the critical role the PYO played in shaping the PPP’s political efforts, particularly during the party’s opposition to the PNC dictatorship in the 1970s and 1980s. He noted that many of the Party’s current leaders, including himself and President Dr Irfaan Ali, started their political careers in the PYO, which has long served as a leadership incubator within the PPP.
Jagdeo, who is also the current Vice President of Guyana, encouraged the young attendees to embrace the discipline and dedication that have sustained the PPP and PYO over the years. He emphasized the Party’s focus on fostering new generations of leaders and stressed the importance of youth engagement in shaping the country’s future.
In addition to highlighting the Party’s historical achievements, Jagdeo also discussed the PPP/C administration’s plans for Region Three and the country as a whole. He urged the youth to take advantage of the opportunities for personal and professional development being created under the current government.
Following Jagdeo’s speech, participants engaged in an interactive question and answer session with the General Secretary.
The conference was part of the PPP’s countrywide efforts to connect with and recruit younger members into the PYO, strengthening the Party’s future through youth involvement.
Only last month, Jagdeo told reporters at press conference at the PPP’s Freedom House Headquarters that the party is making significant strides in engaging the youth of Guyana. In fact, over 9000 young people had participated in the party’s youth camps and conferences to date.
The last youth conference was held in Region Six (East Berbice-Corentyne), where some 3,282 young people from across the region were in attendance.
The event had attracted criticisms by some quarters
– something which Jagdeo dismissed at a press conference last week.
He acknowledged that the PPP’s youth arm had lost its vibrancy for the last 30 years and at the party’s last biennial congress held in May of this year, he promised to rebuild the PYO with a strong 5000 membership. But given the turnout at these conferences, Jagdeo said the party’s youth member would grow to beyond 10,000 and this is proving to be a worry for the opposition parties.
“I’ve seen young people come to us with an energy I’ve never seen in my political life. Even in the days when we were fighting the APNU dictatorship, I don’t think we had that energy seen [today]. And they are of every race, gender and religion. And they’re coming to us because our party has been successful in ensuring that we fight off, every single day, the historical branding of our party…as being a party for one race of people. We’ve fought it off and people have seen that. They see it through our programmes for young people, through the opportunities that party gives to young people at the high-
est level, through our support for young people’s initiatives. They see that they have a future with this organisation and they’re coming in droves to the PPP, even unsolicited…”
“It’s very hurtful to these people [in the Opposition]… when they see the resurgence of the youth movement in the PPP. The drive behind these young people, the multi-ethnic nature of the gathering, it sends
them into a nightmare… They can’t even bear the thought. It bothers them at night that this is what is happening, that there is a resurgence… and we haven’t even gone to some of the regions as yet,” the PPP General Secretary stated last week. The PPP is expected to hold youth conference in Regions Seven (CuyuniMazaruni) and Eight (Potaro-Siparuni) next.




Editor: Tusika Martin
News Hotline: 231-8063Editorial: 231-0544, 223-7230, 223-7231, 225-7761
Marketing: 231-8064Accounts: 225-6707
Mailing address: Queens Atlantic Industrial Estate Industrial Site, Ruimveldt, Georgetown
Email: news@guyanatimesgy.com, marketing@guyanatimesgy.com
As the Government continues to work with the oil companies to extract the oil that lies under our Atlantic waters, concerns have been raised that the transition to “cleaner” energy by the major energy-consuming economies that have promised to head off the effects of global warming might leave us with excess production capacity before our oil runs out. However, presently, the demand for energy is rising so rapidly, that even though energy from renewables is increasing rapidly, usage of coal – which is far more polluting than oil in general and more so our light Brent variant – is also increasing.
The US, for instance, claims to be a leader in energy transition efforts, but its utilities companies still used fossil fuels to generate an average of 62.4 per cent of total electricity production over the past four months. While this is higher than China’s 60.5 per cent electricity generated from fossil fuels over the same period, the latter’s far larger power-producing capacity dwarfs the US’s absolute usage –and pollution contribution. China's mammoth manufacturingled economy has faced a far steeper climb in total power demand in recent years, with electricity consumption rising by nearly 37 per cent from 2019 to 2024. To keep pace with that demand growth, China's utilities have been forced to lift both fossil fuel and clean energy generation by more than any other major economy. As such, fossil fuel-fired electricity output has jumped by around 23 per cent from 2019 to 2024, with over 95 per cent of that power coming from coal plants.
In the US, the fastest growing sector for electricity usage is the hot, new AI field where developers are determined to throw as many high-performance servers packed with energyguzzling GPUs as possible towards training their generative AI models. Financial services giant Morgan Stanley last month published a report, warning that global greenhouse emissions between now and the end of the decade are likely to be three times higher than if generative AI had not been developed. This growth has caught out many utility companies, which have until now faced flat or shrinking demand in the US market and planned their infrastructure investments accordingly, flatfooted.
To fill this need, more evidence has emerged that AIdriven demand for energy to power data centres is prolonging the life of coal-fired plants in the US. For instance, in Omaha, one mega power company has had to abandon plans to stop burning coal to produce electricity because of the need to serve demand from nearby datacenters, Google and Meta in particular. Rising energy demands from those facilities mean that two coal-burning generators at the North Omaha power plant cannot be decommissioned without risking a power shortage for that district. This is despite previous undertakings from the operator that it would cease burning coal in order to improve air quality in the surrounding area, endangering public health as well as continuing to spew out greenhouse gas emissions.
Another source of the resistance to transitioning to cleaner energy and continuing with fossil fuels – including coal – is the role of private equity firms in the US. These groups have long been accused of the most predatory profitmaking. They often buy assets in deals that quickly recoup their investments, then frequently sell off the most valuable parts of an enterprise, and then walk away either by selling or declaring bankruptcy. Such firms are heavily invested in fossil fuel-powered electricity generation.
One of the largest private equity firms, Blackstone, is selling a profusely-polluting coal-fired 2600-megawatt plant to two other private equity firms, Energy Capital Partners (ECP) and Javelin. ECP is invested in 14 energy companies with 64 per cent of them having fossil fuel generation and has a grade of C when it comes to such things as transparency in disclosing emissions and political spending and having a clear plan to transition to clean energy by the end of the century.
In Guyana, we have very little to worry going forward about selling our sweet, light Brent Crude, when our major trading partner will remain with fossil fuels in the foreseeable future.

By ElisaBEt Fura, PEtEr lundBErg, sultan Barakat, JEssica almqvist, mark klamBErg, stEPhEn J raPP, david kayE, John P cEronE, mariana salazar alBornoz, Jann klEFFnEr and sriPraPha PEtcharamEsrEE
In August 1864, a small group of nations adopted a convention in Geneva, Switzerland aimed at ameliorating the condition of the wounded in war. The First Geneva Convention laid the foundation for the legal framework referred to as international humanitarian law (IHL). Also known as the “rules of war”, IHL seeks to reduce the harms resulting from armed conflict by restricting the methods and means of warfare.
However,160 years after the adoption of the First Geneva Convention, we still witness systemic violations of IHL, with devastating consequences for millions of people affected by armed conflict around the world.
Indeed, ensuring broad compliance with IHL has proved to be an arduous task. Despite the existence of robust legal frameworks, the lack of political will and effective mechanisms to hold violators accountable has led to widespread impunity. This impunity is not only undermining the rule of law at national and international levels, but also perpetuating cycles of violence and suffering.
Thus, international bodies concerned with upholding IHL, such as the International Committee of the Red Cross (ICRC) and the United Nations, have long been advocating for stronger compliance mechanisms.
At its 32nd international conference in 2015, for example, the ICRC, backed by the Swiss Government, proposed a resolution that would create a regular meeting of States for reporting IHL compliance. The hope was that the meeting could provide States with a “safe space” to discuss IHL implementation away from political pressures and push for accountability and compliance. The proposal, however, did not receive adequate support from States, and was not instituted.
The States’ persistent refusal to adopt a mechanism to monitor IHL compliance has significant implications for victims of armed conflict. The lack of accountability undermines the rule of law, makes the protection of the civilian populations more difficult, and hinders humanitarian aid operations in active conflict zones.
Thus, there is an urgent need for an independent compliance monitoring system to be established that can track and report on potential violations of IHL.
The way forward for IHL compliance, inspired by the past Raoul Wallenberg, Sweden’s special envoy to German-occupied Hungary during World War II, saved tens of thousands of Hungarian Jews from Nazi persecution by providing them with protective passports and sheltering them in buildings that he declared as Swedish territory. Wallenberg’s efforts went beyond his diplomatic mission; he showed profound compassion, humanity, and determination. His actions have left a lasting legacy and are a powerful example of moral cour-
age and the impact one individual can have in the face of evil.
In 1984, the Raoul Wallenberg Institute of Human Rights and Humanitarian Law (RWI) was established at Sweden’s Lund University to honour his legacy and “contribute to a wider understanding of, and respect for, human rights and international humanitarian law”.
Today, as the promises of “never again” made after World War II appear to be forgotten, and as horrors of war continue to plague humanity in Sudan, Gaza, Ukraine, Syria, Colombia, Yemen, Myanmar, Mali, Lebanon and elsewhere, RWI has embarked on a groundbreaking initiative that promises to revolutionise the way we monitor compliance with IHL.
RWI is establishing a new academic research initiative, named the IHL Compliance Monitoring Database (ICMD), which aims to become a cornerstone of the global architecture that upholds the principles of IHL. RWI and its partners, using the latest technologies, will systematically gather, aggregate, and document global data on alleged IHL violations and present this information on a single accessible platform. Using machine learning technologies, the ICMD will also be able to gather and analyse open-access information to produce high-quality reports on potential violations of IHL.
The global coverage provided by the ICMD will enable the analysis of trends within and across armed conflicts, offering crucial insights for policymakers, practitioners
and researchers. From this wealth of credible information, ICMD will be able to produce world-class IHL compliance monitoring analysis. This work will not only promote awareness and knowledge of IHL, but also support policy discourse and advocacy for deepened respect of IHL at the highest levels.
The road ahead
The ongoing failure to uphold IHL poses a grave threat to global peace and security. But the time to act is now. States must rally behind initiatives like the ICMD and commit to strengthening IHL monitoring mechanisms. As citizens, we too have a role: to pressure our Governments to prioritise IHL and demand better implementation and enforcement.
The road ahead is long and challenging, but with concerted efforts and a commitment to justice, we can make significant strides towards a more humane and just world. The ICMD initiative embodies this spirit, offering a powerful tool to ensure that alleged IHL violations are systematically documented to support efforts to counter impunity, restore the rule of law and repair the harms done to the victims.
Let us draw inspiration from Wallenberg’s courage and dedication, and put our support behind this noble and essential initiative, knowing that strong forces still seek to undermine IHL’s goal of limiting the harms of war. (Al Jazeera)
(The lead author Elisabet Fura is Chairperson of the Board of Trustees at the Raoul Wallenberg Institute and a former Judge of the European Court of Human Rights)

As Guyana transi-
tions from fossil fuel to renewable energy, British High Commissioner to Guyana, Jane Miller, believes that there is massive potential for the development of wind energy in the country.
“I’m very keen that we promote wind turbines in Guyana. It has not happened as yet but it’s something that I will continue to pursue,” the British diplomat said in a recent interview with the Guyana Times.
According to Miller, the United Kingdom (UK) has a really strong renewable energy offer, especially in wind.
“The UK’s offer on renewable energy is really great. In fact, I was in Aberdeen last year and Aberdeen is very famous for its deep-sea oil and gas. Interestingly, they’ve now switch massively over to wind and a lot of the skills that were developed for oil and gas – the welding, the engineering, the leadership, the management – are very transferable into the renewable energy sector, into particularly wind,” she pointed out.
The British envoy believes that the same can be replicated in Guyana, that is, transferring the skills and expertise in the local oil and gas industry into wind. But with the country’s petroleum sector fairly new, High Commissioner Miller recognised that this transition could take some time.
“There have been some early discussions but at the moment, I think Guyana is very focused on the Gas-toEnergy. But overtime, I think it’s an area that’s definitely worth exploring… It’s something I’ve had discussions on [but] we’ve not made a huge amount of progress yet. But I think it’s something that I will continue to pursue,” the UK diplomat contended.
The Guyana Government

has touted its model Gas-toEnergy (GtE) Project, which comprises a 300-megawatt combined cycle power plant and a Natural Gas Liquids (NGL) facility at Wales, West Coast Demerara (WCD), as a flagship initiative in the country’s transition to renewable energy.
The GtE Project will utilise the rich natural gas that will be piped on land to fuel the power plant and NGL facility from offshore Guyana, where ExxonMobil and its partners are producing oil.
This natural gas project coupled with a massive solar panel initiative that is being rolled out through the hinterland and remote communities is leading Guyana’s transition to cleaner and sustainable energy. Government is also keen on reviving the Amaila Falls Hydropower Project.
Back in May, Head of the Guyana Energy Agency (GEA), Dr Mahendra Sharma, had disclosed that the Government is actively studying the potential of investing in the development of wind energy in the country.
“Guyana, we’ve been looking at wind for some time. The coast of Guyana generally is favourable, but the wind speeds aren’t as attractive as we want them (to be). But what has happened on the technological front is

that turbines have become more efficient at converting that energy from wind power (into) electricity. So, we are looking at this, and GEA has established, and is actively collecting, wind data,” he noted.
However, Dr Sharma, who was at the time speaking during a meeting of the Parliamentary Sectoral Committee on Economic Services, explained that it would take some time before a decision can be made on investing in wind energy.
“You need to spend at least 12 months to collect that data before you can make an investment decision, and that involves acquiring wind measuring towers and anemometers at multiple levels, and collecting that data consistently

over 12 months; and it is on that basis that you can decide on the level of wind insertion.”
The GEA Head added, “So, we’re doing this. We’re about to set up one on the East Coast (of Demerara), and we have already started collecting some wind data at Leguan actually; and we believe that, that could be a site for wind opportunities.”
Back in 2015, the A Partnership for National Unity/Alliance for Change (APNU/AFC) Government had approved the detailed examination of a proposal by Guyana Wind Farm

Incorporated (GWF) for a 26-MW wind energy plant to be established at Hope Beach, East Coast Demerara (ECD). Back then, Public Infrastructure Minister David Patterson had reported that investors had secured their financing for the project, which proposes a US$0.12 fee per kilowatt hour (kWh).
Then, under the PPP/C Government in 2022, the Environmental Protection Agency (EPA) had approved construction of the US$45 million Hope Wind Farm Project. The project was earmarked to be located on 27
acres of land leased from the state at Hope Beach (HB), and private leases at Chapman’s Grove (CHG), respectively some 28km and 30km southeast of the centre of Georgetown. In 2023, Dr Frederick Sukhdeo, a consultant with Hope Wind Energy Incorporated, had stated that the project would be a publicly traded venture that would open up opportunities for anyone in Guyana to buy shares. The start-up of this project remains uncertain, but Guyana Times had attempted to get an update on the present status. (G8)



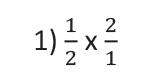
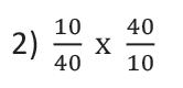
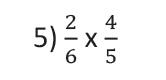
To multiply fractions, treat the numerators and the denominators as two different multiplication exercises. Multiply the numerators to find the numerator of the product. Then multiply the denominators to find the denominator of the product.


You may need to multiply reciprocals. Reciprocals are two fractions that look like upside-down reflections of one another. The numerator of the first is the denominator of the second and the numerator of the second is the denominator of the first.


You could go through the steps of multiplying the numerators (2 x 8 = 16) and then multiplying the denominators (8 x 2 = 16). Notice the products are the same. When multiplying reciprocals, the product of the numerators and the products of the denominators will always be the same.


Exercises: Multiply







These seemingly whimsical designs are based on maths

My farm to me is not just land Where bare unpainted buildings stand To me, my farm is nothing less Than all created loveliness. My farm is not where I must soil My hands in endless dreary toil But where through seed and swelling pod I've learned to walk and talk with God. My farm to me is not a place Outmoded by the modern race For here I think I just see less Of evil, greed and selfishness. My farm's a haven here dwells rest, Security and happiness Whate'er befalls the world outside Here faith and hope and love abode. And so my farm is not just land Where bare unpainted buildings stand To me my farm is nothing less Than all God's hoarded loveliness. (artfulmath.com)




…while managing budget of $283.9B for locally-funded projects
The People’s Progressive Party/ Civic (PPP/C) Government’s implementation of public projects, captured under the Public Sector Investment Programme (PSIP) rate in the Auditor General’s (AG) 2023 report, improved to a 131 per cent rate.
This is an improvement since last year, the implementation rate was 130 per cent. And just a few years ago, under the former A Partnership for National Unity/Alliance For Change (APNU/AFC) Government, the 2018 AG report had recorded a PSIP implementation rate of a mere 92 per cent.
According to the AG report, public investment programmes financed from the national coffers showcased strong performance. This is even as the work programme expanded, in a number of key areas.
“The outturn of the locally financed portfolio was aided by an expansion in the work programme via additional resources sought and approved in key areas including security, energy, and upgrading of health and educational facilities, drainage and irrigation infrastructure and
community roads and bridges. Consequently, the local PSIP recorded an implementation rate of $131 percent of the $283.904 billion allocated,” the report stated.
However, in cases where programmes and projects were financed by Guyana’s multilateral and bilateral development partners, there were some delays which had a lot to do with the process of approving financing for these projects.
For instance, the Highway Improvement - East Coast Demerara (ECD) Project, being administered by the Public Works Ministry with funding from China, saw only $11.4 billion being spent out of an approved budget of $16 billion at that point in time.
“This shortfall stems from the fact that permanent works did not commence as planned, leading to considerable delays. Alongside this, another critical project under the same funder—the New Demerara River Crossing—faced an even more severe setback. Despite being allocated $4.5 billion, no work has commenced, resulting in a $4.5 billion variance. This project has been held back due to a delay in the approv-

al of financing, which has stalled progress entirely,” a recent statement from the Government said.
“The Linden-Soesdyke Highway, funded by the Islamic Development Bank (IsDB) under the Public Works Ministry, was approved with a $5 billion budget. Unfortunately, this project has also faced delays, with only $55.9 million spent, leaving a $4.94 billion variance. The delays here are primarily due
to the slow procurement of contractors, which has significantly pushed back the timeline.”
Nevertheless, when it comes to the LindenSoesdyke Highway, a US$161 million contract was signed in August with Trinidadian firm Namalco Construction Services, which partnered with local company GuyAmerica Construction Inc. When it comes to the health sector, only $17.8
million was utilised from a budget of $1.5 billion for the Inter-American Development Bank (IDB) funded Health Sector Improvement Programme. The main reason for this delay had been a lengthy concept design phase, which has prevented the project from advancing at the expected pace.
“The Housing Development Programme, funded by the Saudi Fund for Development (SFD) and
managed by the Ministry of Housing and Water (MoHW), is also facing similar hurdles. With a budget of $2.1 billion, no funds have been spent due to delays in hiring design review consultants,” the Government statement had also said.
“As for the LindenMabura Road & Kurupukari Bridge Project, funded by the Caribbean Development Bank (CDB) and overseen by the Ministry of Public Works, it was allocated $10 billion. However, slow implementation has resulted in only $3.25 billion being spent so far, leaving a variance of $6.75 billion.”
Meanwhile, the AG’s report also notes that capital expenditure for 2023 totaled $421.819 billion, representing a $34.020 billion increase over the approved allotment of $387.800 billion. According to the report, the approved allotment for Capital Expenditure increased by $169.961 billion when compared to the corresponding period for 2022.
“The Ministry indicated that the Capital Expenditure was projected at $387.8 billion but recorded an outturn of $421.819 or $108.8 per cent of the approved budget,” the AG noted in his report. (G3)
“It’s just a small amount I got, buddy” – man nabbed with drugs tells cops

In a crackdown on narcotics activity, law enforcement officers from the Arakaka Police Outpost conducted two cordon and search exercises on Saturday morning, leading to the arrest of three individuals and the seizure of nearly
780 grams of suspected cannabis. The first operation took place at 07:25h at the Five Miles area in Arakaka, where a police team searched the residence and business premises of a 55-year-old man.
Police discovered a brown box on the floor containing multiple black plastic bags. Inside one of the bags, officers found a substantial quantity of leaves, seeds, and stems. In response to the find, the businessman told officers, “It’s just
a small amount I got, buddy."
Further examination of the box uncovered two additional bulky black plastic bags. One contained several small transparent ziplock bags with similar contents, and the other had more leaves, seeds, and stems, all suspected to be cannabis. The man then reportedly admitted saying, "I does sell some of this thing, and the rest I does boil for my son cause he’s trouble with asthma." He was subsequently arrested, and the narcotics were taken to the Arakaka Police Outpost. There, the substances were weighed in his presence and amounted to 494.7 grams.
Some two hours earlier, a similar exercise was conducted at the residence and business premises of a 56-yearold businesswoman, and her son, a 32-year-old taxi driver,

at the Arakaka Compound. During the search in the kitchen area, the taxi driver handed over a bulky black plastic bag containing leaves, seeds, and stems suspected to be cannabis, reportedly stating, "Boss, this is what I get in here."
The bag was opened and found to contain suspected cannabis wrapped in transparent plastic. Both suspects remained silent after that and they were taken to the Arakaka Police Outpost, where the narcotics were weighed, totaling 285.9 grams. All of the suspects remain in custody pending charges.



So far this year, fifteen road deaths have been recorded in Region Six (East Berbice-Corentyne), the same as last year's corresponding period.
Deputy Divisional Traffic Officer, Inspector Rodwell Downer disclosed the figures at a walk-a-ton orgainsed by Survivors United which is sub-committee of the National Road Safety Council.
Inspector Downer noted that in 2023, there were 21 serious accidents out of a total of 160 accidents reported in the region while for this year 19 serious accidents of the 79 accidents reported in the region thus far for the year.
Noting that it is a decrease of 51 percent, he said it is not something that the traffic department is proud of.
He pointed out that the traffic department has been conducting speeding exercises on a daily basis throughout the region.
For last year 1504 pro-


pose were taken before the courts driving above the prescribed speed limit. For this year that figure stands at 5478.
“That would show that because of the speeding exercises, we were able to have a decrease in accidents.”
Meanwhile, as it relates to persons driving under the influence of alcohol, the department has stepped its enforcement exercises both day and night. Lectures to
school children and drivers are also a part of the campaign.
“Speeding and drinking and driving are the two main causes of accidents so we are encouraging you not to speed on the roadway and not to drive if you have been drinking,” the traffic officer explained.
The event was organised by Monix Hetemeyer who was hit by a car being driven by an unlicensed driver in February 2022. At the time she was having dinner and enjoying the comfort of open-air dining with a friend at a snackette in New Amsterdam.
The car ploughed into the table she was at and propelled her through the glass window and into the snackette.
She now uses a prosthetic leg after becoming an amputee as a result of the accident.
She noted that Survivors United which was formed last year, and supports survivors of vehicular accidents

and their families.
“One of the things that have gotten me here today after my accident is support, support is very important. This committee is here to support survivors and to let them know that they are not in on their own; we are here to support them.”
She pointed out that the committee does not only provide financial support for survivors but also provides physical and memorial needs.
“Whatever it is that they need. This walk today (Sunday) is not just for awareness but it is also a fundraiser because we are raising funds to provide survivors and their families with hampers for Christmas,” she disclosed.
New Amsterdam’s Mayor Wainwright McIntosh who endorsed the initiative noted that it was the first of its kind within the township.
“This walk is a symbol of resilience, courage and community given the fact that we walk in support of our survivors it speaks to those three things,” he said.
Meanwhile, Cranston Fraser, who was involved in a horrific accident in December 2021, leaving him with a fractured skull and a spinal injury.
He pointed out that after the accident he lost all feeling from my neck down.
“After five to six months, I started to feel slight sensations in my body. Little by little, my toes began to move, then my fingers. These small improvements were huge victories for me. They restored my hope and gave me the motivation to keep fighting. I began listening to motivational speeches and stories and doing whatever I could to lift my spirits.”
“Fast forward to today—I’m able to sit up on my own and I can even stand for a period of time with support.”
Fraser said Survivors Unite has been a source of hope and inspiration for him.
“My journey has taught me that, no matter how difficult things get, we can always find a reason to keep going. To anyone facing tough times, remember that even the smallest step forward is a victory. Hold on to hope, believe in the possibility of change, and know that you are not alone,” he said. (G4)

VP Jagdeo made a stunning accusation about the Opposition last week. He said while they’re complaining, moaning and bitching that the PPP Government discriminates against African Guyanese from benefitting from its development programme, they simultaneously ostracise and criticise African Guyanese entrepreneurs who win and execute Government contracts! He identified an example in Linden where a local African Guyanese company Statement Inc built a new, modern school in Linden!!
Why?? The VP explained it was because of the AfroGuyanese owners associating with PPP/C members!! They wouldn’t have criticised the company if it were owned by Indian or Mixed Guyanese!! So, it’s clear this is one more instance where the Opposition wants to have its cake and eat it too. They want to continue hurling accusations of racism – and even “apartheid” – at the PPP just to keep African Guyanese in their camp – even if it means they’ll remain underdeveloped as when the Burnham Government locked them away in stagnation in his cooperative experiment!!
This kind of politicking is dangerous for Guyana at so many levels. We know that Guyana has been embroiled in ethnic politics – the most combustible politics as seen both here and across the world – ever since Burnham broke away from the PPP and mobilised African Guyanese sixty years ago to launch a veritable ethnic civil war in the early 1960s!! His subsequent racist discrimination against Indian Guyanese and elections rigging for almost three decades between 1964 and 1992 hardened those divisions into hermeticallysealed enclaves.
After free and fair elections removed them from office in 1992, the PNC kept up a propaganda war designed to keep the racial animosities aflame. They accused the PPP of rigging the 1997 elections and plunged into street protests that saw widespread violence and arson against Indian Guyanese and their property in a strategy of “slow fyaah; mo’ fyaah”!! Losing the 2001 elections, direct attack against the Police and Indian Guyanese villages were launched by five so-called “Freedom Fighters” who were sprung from prison and who holed up in the African Guyanese village of Buxton!! Over four hundred bandits and Indian Guyanese civilians were killed as vigilante groups supplanted the law enforcement agencies.
Fortunately, after the bandits were wiped out in 2008, multiracial politics reasserted itself and in 2015, the PNC/ APNU/AFC coalition defeated the PPP Government and assumed power. Sadly, they betrayed inclusivity promises; reverted to election rigging in 2020 and in Opposition have focused on intensifying the ethnic divisions once again!! They whipped out their “apartheid” charges, but most insidiously also accused the PPP Government of committing “economic genocide” against African Guyanese.
And this brings us to the VP’s observation about the PNC penalising African Guyanese who’re performatively deconstructing their cynical divisive agenda for their shortterm political gains.
…racial unity
Slavery and climate change dangers were headlined at the Commonwealth Heads of Government Meeting (CHOGM) –- where a contrite King Charles was in attendance. They selected Shirley Ayorkor Botchwey from Ghana as their new Secretary General – taking over from Britain and Dominica’s Patricia Scotland, who’d been on the job since 2016. On the slavery front, Botchwey, a supporter of reparations for transatlantic slavery and colonialism, is expected to push that issue now that it’s on the table!!
But that brings up an ancillary matter that’s been swept under the carpet – the responsibility of the African tribal leaders who captured and sold their fellow Africans to the Europeans. As Walter Rodney has researched and documented, the earnings from the sale of enslaved Africans helped several African Empires flourish. Their successor governments in the modern state system gotta bear some responsibility for the African condition in the Americas!!
Ironically, some local Opposition types are dubbing folks who practise multiracial political mobilisation here as “slave catchers”!!
…goodwill
The complaints about Venezuelan refugees/migrants squatters at Linden in Reg 10 and now at Ruby in Reg 3 brings to the fore the need for a comprehensive programme to be designed by the international refugee bodies and/or Government.



In response to mounting complaints about unsolicited windshield wiping and removal of car parts at the Mandela Avenue traffic lights, Traffic Chief Senior Superintendent Mahendra Singh is calling on drivers to formally report such incidents to the police, describing the behaviour as both unlawful and disruptive.
Though no official police reports have been made, many drivers have expressed frustration over the persistent presence of individuals who approach vehicles at stoplights, often removing wipers and wiping windshields without permission, then demanding payment.
The traffic chief explained the legal grounds for intervention, stating, “If a driver experiences that, he or she should go to the nearest police station and report it.” He clarified that any unauthorized handling or removal of vehicle parts can be classified as a crime, like larceny. He encouraged drivers to take a proactive role in combating the issue by filing reports, which would allow police to act decisively.
“If persons are in the middle of the road… and are wiping the windshield when you didn’t require them to do so, and they damage your vehicle, the damage of property should be reported to the police to be dealt with,” he said, adding that many
drivers feel their cars are at risk in these situations.
While police officers have made efforts to remove these individuals from the roadway, the traffic chief explained that they tend to return when the officers leave, making the issue challenging to manage.
“The police… ask them to come off the road, but as soon as we leave, they go right back,” he observed.
In response, he plans to encourage an increased police presence at the Mandela Avenue stoplights and other areas where similar incidents occur to ensure the safety and comfort of commuters.
The traffic chief also pointed out that despite frequent media coverage of these encounters, most cases go unreported to law enforcement.
“It means that the people did not go to the police, but they want to escalate it to gain attention, without taking the proper recourse of action,” he remarked.
He urged the public to officially document incidents with the police for more effective resolution.




By Jarryl Bryan
Former Guyana Prize for Literature winner, British-based Guyanese author Professor David Dabydeen, is launching a novel that will offer unique perspectives on life in both 19th century Guyana and China.
The book, Sweet Li Jie, centers on Jia Yun, one of many Chinese immigrants who came to Guyana in the 19th century looking for a better life. According to Dabydeen, in an interview with this publication, the inspiration for the book came from a desire to explore a hitherto under-served period in Guyana’s history.
Dabydeen, who is a former Guyanese Ambassador Plenipotentiary to China, said that he came up with the idea for the characters during his time in that country. For instance, the character of Jia Yun, carries on a long-distance courtship with the title character, Li Jie, through a series of letters from Guyana to China.
“I did visit some villages

in China, when I was there. And so, I set the novel in an obscure village in the South of China. And I created a character, a young girl whose father was murdered by Japanese invaders. And who’s completely traumatised by it. And a young man who tries to woo her. But she’s always distant and terrified of men. And so that’s at the heart of the story. They’re taken in by the landlord of the village and cared for,” Dabydeen explained. According to the author, as the story unfolds the suitor for Li Jie’s hand,
eventually migrates to Guyana… one of the many real Chinese migrants who arrived on Guyana’s shores in the 19th century. As a matter of fact, it is recorded that close to 14,000 Chinese arrived in British Guiana on 39 vessels between 1853 and 1879, as the Colonials attempted to fill labor shortages on the sugar plantations following emancipation.
“While he (Jia Yun) is in Guyana, he writes a series of love letters to her, explaining the situation in Guyana. It is seeing Guyana through Chinese eyes, as he talks about the African people, the Indian people, the Portuguese. So, he talks about the tensions, as well as the collaboration, between the various ethnic groups. And he’s seeing it naively, since he’s now in a new country.”
He also spoke about the themes the book covers, such as love and death. According to Dabydeen, he hopes to transport readers to 19th century China and Guyana, giving them a sense of both countries while dispelling any mis-


conceptions they may have.
“At the heart of one’s concerns, as a novelist but
any other writer will tell you this, the two great emotions are love and
death. So, it’s a novel about love and death. And what happens between love and death,” Dabydeen said.
“I have many other characters in the book. There’s a kind of circus performer, there’s another figure, there’s a hunchback and so on. So, you create a panoply of characters and you make them interact.”
Dabydeen has authored a number of books; poetry collections and non-fiction works. In addition to the Guyana Prize for Literature, he has also won the Commonwealth Poetry Prize. When it comes to the availability of this latest book, he explained that this is a work in progress.
“The book has only recently been published. And unfortunately, in Guyana, we don’t really have methods of selling or sending books over. There are only one or two bookshops in Georgetown. I don’t know if there are any in New Amsterdam. But the publisher will send books over to whoever the press deals with. And hopefully the book will be available when its formally out.”


…says country making strides towards becoming regional exporter of high-value crops
With the increase in agricultural production as a result of ramped up investments from the People’s Progressive Party/Civic (PPP/C) government, it is projected that Guyana’s agricultural output will grow by over 30 per cent by 2030.
October has been designated Agriculture month 2024, with the world recently observing World Food Day. In a recent missive, President Dr. Irfaan Ali had outlined the progress being made in Guyana, which has been leading the charge towards the Caribbean region achieving 25 per cent reduction in food imports by 2025.
“Guyana aims to achieve self-sufficiency and become a regional exporter of key agricultural products, including poultry, animal feed (corn, soya), black eye peas, high value crops, honey, coffee, cocoa and hatching eggs. To this end, agricultural output in 2030 is projected to increase by over 30 per cent by the end of the decade,” President Ali said.
According to President Ali, achieving this ambitious goal will be based on

investments in research and development, as well as the strong partnerships the government is building with the private sector. He also referenced the government’s partnerships with the Inter-American Institute for Cooperation on Agriculture (IICA), with the aim of upgrading the Guyana School of Agriculture.
“Over the past four years, the government of Guyana has invested over
$234.5 Billion to build a resilient and sustainable food ecosystem. These efforts have led to a significant reduction in undernourishment which now stands at 2.5 per cent, well below regional and global averages.”
“This progress reflects the success of our targeted interventions and forward-looking policies aimed at enhancing food production and improving access to healthy foods.

Our vision for the future is clear,” the Head of State added.
For the past four years since the PPP/C’s return to government, Guyana has shown exponential growth in its agriculture sector, with increased yields in its main crops such as rice and sugar, and even in its poultry production.
Most recently it was revealed that this year the country has seen an increase in fruit and vegeta-
ble production when compared to previous years.
Agriculture Minister Zulfikar Mustapha had revealed that there has been a sizeable increase in vegetables produced.
In 2022, production totalled 330,449 tonnes compared to 340,643 in 2023 and from January to June 2024 182,238 tonnes were produced. Mustapha, who also chairs the Caribbean Community (CARICOM) Ministerial Task Force on the 25 per cent by 2025 food security initiative, had also revealed that fruit production has increased from 197,877 tonnes in 2022 to 205,658 last year and for the first half of 2024, 104,899 tonnes were grown.
Meanwhile the government has been exploring new rice varieties and export markets, in a move that aligns with the government’s commitment to advancing the agricultural sector and ensuring sustainable development. In 2023, the rice sector recorded an increase of seven per cent with a production of 653,706 metric tonnes. This signified an increase of 43,111 metric tonnes in 2023 as com-
pared to 610,595 in 2022. Guyana earned approximately $45.2 billion in exports in 2023, over $3 billion more than in 2022. This year, a target of 710,000 tonnes of rice has been set in the agriculture sector, with the half year target for rice production already being surpassed. A sum of $1.3 billion was budgeted to be expended by the Guyana Rice Development Board (GRDB) to support increased production and productivity of the rice industry.
And the recent resolution of the longstanding Panama rice deal that saw millers finally receiving $1.5 Billion that they were owed by the Panama government, is likely to boost production and morale alike in the industry.
Meanwhile, in the 2024 Mid-Year report, it had been reported that the agriculture, forestry, and fishing sectors were estimated to have expanded by 7.6 per cent in the first half of last year. This was driven by growth in all subsectors – namely other crops, rice growing, livestock, fishing, forestry, and sugar. (G3)


General Secretary of the People's Progressive Party (PPP), Bharrat
addressed hosted by the Progressive Youth Organisation (PYO) at the National Track

addressed over 5000 young attendees during the Region Three Youth Conference Track and Field Center in Leonora (Dr Bharrat Jagdeo’s social media page photos)









Two men, who were wanted by the police in connection with separate crimes, were arrested on Saturday at the Kairuni Backdam on the SoesdykeLinden Highway.
According to the Guyana Police Force (GPF), a party of policemen, acting on information received, went to Kairuni Backdam at about 16:00h and found the two suspects.
Ghanie Jamie, a 26-yearold of South Sophia, Georgetown, is wanted for murder, while 27-year-old Hansi Jones, also of Sophia, is wanted for three counts of alleged raping of a child.
Upon seeing the Police, the wanted men tried to escape by running but were pursued by the ranks. During the chase, Jones fell to the
ground and was captured. Jamie was also apprehended about 25 metres away. A search was conducted on Jones and one suspected 9MM pistol with serial number filed off along with three suspected live rounds of 9MM ammunition and one 9MM spent shell were found along with a quantity of leaves, seeds and stems suspected to be Cannabis sativa.
He was asked if he is the owner of a firearm licence to which he replied in the negative. Police took possession of the items and told him of the offence committed and placed him under arrest. Ghanie was also arrested and they both were escorted to the Mackenzie Police Station, along with the firearm, ammunition, spent shell, and the

suspected cannabis.
There, the said suspected firearm, ammunition, and spent shell were marked, sealed and lodged. The suspected cannabis was weighed in Hansi Jones’ presence and amounted to 179 grams; the same was placed in an evidence bag, marked, sealed, and lodged. Investigations are underway.
The Office of the Prime Minister announced on Sunday that more than 106,000 hinterland residents now have access to high-speed internet through the Lower Earth Orbiting (LEO) Satellite Connectivity Project.
This milestone achievement has connected 169 of 253 targeted communities, marking a 67 per cent completion rate in the nation's most ambitious digital inclusion initiative to date.
The project has achieved comprehensive coverage across six regions, with Regions Two (Pomeroon-Supenaam); Three (Essequibo IslandsWest Demerara); Four (Demerara-Mahaica); Five (Mahaica-Berbice); Nine (Upper Takatu-Upper Essequibo) and 10 (upper Demerara-Berbice) now fully connected. The impact is particularly significant in Region Nine, where more than 29,000 residents across the North, Central, and South Rupununi now have reliable internet access.
A statement from the Office of the Prime Minister on Sunday said that in Region Two over 7,100 residents have been connected, while Region 10's riverain communities have seen more than 5,500 residents gain access to high-speed internet services.
Significant progress has also been made in Region One, where 43 commu-
nities are now connected across three sub-districts: Matarkai, Moruca, and Mabaruma. This strategic implementation has brought digital connectivity to some of Guyana's most remote areas, from the scattered settlements of Baramita to the riverside communities of Manawarin.
Prime Minister Mark Phillips emphasised the project's transformative impact: "This initiative represents more than just internet connectivity—it's about bringing new opportunities to all Guyanese citizens. Access to the Internet is no longer a luxury but a fundamental tool for education, healthcare, and economic development. With each new connection, we are closing the digital divide and ensuring that no one is left behind in our journey toward inclusive development."
As part of this comprehensive digital transformation, 115 existing ICT hubs established under the Hinterland Poor and Remote Communities Initiative have been upgraded with high-speed internet connectivity thus far. These enhanced facilities now serve as vital centres for community development, providing residents with improved access to essential digital services including telemedicine, e-learning, and entrepreneurship resources.
General Manager of the National Data Management Authority (NDMA), Christopher Deen highlighted the project's strategic implementation: "Our success in regions such as Moruca, where we've achieved a 77% connectivity rate, demonstrates the effectiveness of our approach in addressing the unique challenges faced by remote communities. The upgrade of existing ICT hubs with high-speed internet has amplified the impact of our previous investments in digital infrastructure."
Looking ahead, the statement read that the Government maintains its commitment to reaching all 253 targeted communities by the end of 2024. Work continues to address challenges in areas where installations are pending due to infrastructure limitations, such as the absence of suitable buildings or stable electricity supply. The NDMA is actively collaborating with community leaders to develop solutions ensuring every eligible village benefit from the project. The LEO Satellite Connectivity Project stands as a testament to the Government's vision of a connected and inclusive Guyana. It represents a significant step forward in empowering citizens throughout the country with the digital tools necessary for success in the modern era.
uyana Medical Mission, which comprises a team of doctors, nurses, and healthcare professionals who travel from the USA to Guyana to provide free care to communities, on Sunday opened its annual one-week clinic.
The first was held in New Amsterdam, Region Six (East Berbice-Corentyne). Today the team is expected to be at St Francis Community Developers Hall at Port Mourant and LanLivMan Health Centre, also in Region Six, while on Tuesday the clinic is scheduled for Belladrum Seventhday Adventist Church and Mahaicony Community Centre in Region Five (Mahaica-Berbice).
The team will move to Mahaica Health Care Centre Region Four (Demerara-Mahaica) on Wednesday and then on Thursday the clinic will be held at Buxton Health Care Centre.
The visit will wrap up on Friday when the mission meets at Girl Guides
Pavilion and Sophia Health Care Centre.
Among the services being offered are adult and child wellness checks, blood pressure testing and screening, cholesterol screening along with pain management and rheumatology which will only be available in Region Six.
Dental checkups will only be done at Girl Guides Pavilion on Friday.
Speaking with this publication about the visiting Cardiologist Dr Jeanine Ferrao explained that the main reason for the team which has been visiting annually since 2015 was to diagnose ailments and provide preventative care.
“One of the main things that we do is to screen for hypertension and diabetes and we do this because these conditions are very easy to diagnose with just a blood pressure check or to check the sugar and they are very easy to treat once they are diagnosed.”
She pointed out that on most occasions both diseas-

es do not have symptoms but are very serious.
“Diabetes or high blood sugar can result in coma and high blood pressure can result in a stroke. Both these diseases can cause heart diseases or kidney diseases and they are very treatable if you have it.”
In pointing out the importance of screening, Dr Ferrao said many people are too busy taking care of others and neglect to make checks on themselves.
“If you don’t take care of yourself then you are not going to be able to take care of everybody. So, our goal is just to be able to diagnose, treat these common conditions that can help you stay healthy and prolong life.”
Noting that hypertension and diabetes are prevalent in Guyana, Dr Ferrao said they are not peculiar to Guyana.
“A good number of persons are walking around with it and they don’t real-
ise that they have it. With diabetes sometimes you can have symptoms of urinary frequency where you pee a lot, you can have symptoms of feeling very thirsty, you can have symptoms of headaches and blurry vision and you might not associate that to your sugar but it can often be related to your sugar. With high blood pressure they call it the silent killer because there are very few symptoms until the pressure is so high that it causes problems,” she added.
Meanwhile, General Physician Dr Nicole MooreClark said these two diseases are being referred to as non-communicable diseases and over ninety per cent of all patients fall within that category
She pointed out that diet has a lot to do with those diseases. Salt intake she said is responsible for hypertension and sugar intake for diabetes.
She said apart from diet, exercise is also important, and only when out of control should medication be an option.
“It’s a lifestyle change and if that fails then you have to resort to medication which is what over 95 per cent of patients with these diseases are on medication. If you think about it you would see the economic toll it takes on any country – and that is what is happening now.”
According to Dr MooreClark, traditionally both hypertension and diabetes were diseases that occur later in life with most persons being affected after the age of 50-years-old.
“Now we are seeing children, 20-year-olds and mid30s are now picking up and carrying the high numbers of these diseases. It has already taken a toll on our society. We really need to do something to get this under control.”
She pointed out that each person can have their checks and also reduce their sugar and salt intake which could eventually have a huge impact on the economy.
(G4)
In light of several major infrastructural projects that are being executed across Region 10 (Upper Demera- Upper Berbice), Public works Minister Juan Edghill has made a call to action for authorities in the Mining Town to capitalize on the many opportunities that these initiatives presents particularly in the tourism sector.
The Minister made this call last week during a visit to Linden. During a radio interview, Edghill revealed that projects such as the reconstruction of the LindenSoesdyke Highway and the construction of the Linden to Mabura Hill Road will significantly increase foreign traffic within the region, which will present a plethora of opportunities for residents.
“Once the Linden to Mabura road is completed and we continue that phase on to Kurupukari into Annai then into Lethem,

cal appearance of the country but also to provide opportunities for citizens. He said, “Government development in terms of projects –roads and highways – is not just to say we build a new road but it’s creating opportunities.”
Additionally, the minister has since reaffirmed the government’s commitment towards developing the region to the benefit of its residents. In fact, the minister has revealed that sum of $7.3 billion will be spent to
some of our stakeholders to create weekday packages. So, whenever a tourist decides to visit Linden, let’s say a Tuesday, you know, you can go to karaoke at Five Corner, you can go have maybe brunch at Colfin’s and stay at a really good hotel and maybe travel back the next day. So, we’re working on those weekday packages as we speak,” he noted.
Additionally, Sears highlighted that whilst emphasis is being placed on bolster-

there will be much more movement because the people from Brazil will be able to start coming through. That means more opportunities for business people who are running 10-room guest houses should start think about 50-room hotels,” he noted.
On this point, Minister Edghill highlighted that Linden needs to capitalize on its tourism potential. The minister revealed that currently, the region already has a significant flow of traffic and as such, called for authorities to further develop some of the regions key destinations such as the Blue Lake in an effort to monetise the influx of tourists in the region.
“Linden really needs to capitalize on its tourism potential. Often when I’m at the Watooka House, you see busloads of people coming and they go to the board walk… That must be monetized. Several persons must be able to come together and start doing things to encourage tourism. The blue lakes must become a safer place for people to [relax] and swim,” the minister stated.
Moreover, Edghill added that government’s infrastructural projects are not only to enhance the physi-
build more than 160 roads in communities across Linden.
Meanwhile, earlier this month in an interview with the Guyana Times, Region 10 Tourism Committee Member, Devin Sears revealed that the Committee has been working with stakeholders to develop and roll out a number of initiatives geared at attracting tourists throughout the year. This follows after the town has seen a spike in hotels due to one of its flagship events – ‘The Linden Town Week,’ which is held every year as part of the town’s birth anniversary celebrations.
Sears, expressed his confidence in these hotels being sustainable to business owners outside of the town week period due to a hike in tourists visiting the region in recent years. He added that this influx coupled with initiatives that are being developed and rolled out by the Region 10 Tourism Committee and stakeholders, will ensure that hotels in the region are profitable to business owners throughout the year.
“We’ve created such an amazing tourism product, which will sustain those kinds of investments. We’re actually working along with
ing the region’s accommodation capacity, similar investments are also being made to improve the hospitality sector in the Region.
“With the Region 10 Tourism Committee being a non-governmental organization, a not-for-profit, what we have done is seek partners such as UNDP, GEF SGP programme, which we started just about two years ago and a part of that program, there were various capacity building training that happened and then under the Greater Guyana Initiative, which is funded by Exxon, HESS, and CNOOC [the operators of the oil-rich Stabroek Block offshore Guyana, where oil is being produced], we were able to take part in [that but also] initiate and also facilitate various trainings ranging from customer care, entrepreneurship, even to basic making of food,” Sears stated.
He added that as the tourism sector continues to expand, the Region 10 Tourism Committee will continue to roll out new initiatives aimed at enhancing the hospitality sector in the region. These programmes, he highlighted, are crucial towards ensuring tourists are met with the highest levels of service.

The Caribbean Community (CARICOM) is making significant strides towards enhancing ocean governance and sustainable management of marine resources.
With the support of a £190,000 grant from the United Kingdom’s Foreign, Commonwealth & Development Office (UK FCDO), the CARICOM Secretariat is embarking on a comprehensive initiative to develop a robust framework for sustainable ocean management.
Titled ‘Towards A Caribbean Community (CARICOM) Framework for Strengthening Oceans Governance - Effective Engagement in the International Oceans Agenda’, the project aims to support the collaborative development of a CARICOM Blue Economy Policy.
According to a recent press release, Director of Sectoral Programmes at the CARICOM Secretariat, Ambassador David Prendergast, explained that this initiative reaffirms CARICOM’s commitment towards developing a sustainable blue economy.
“This initiative is testament to CARICOM’s dedication to fostering a sustainable blue economy that benefits all Member States in recognition of the significant contribution the Caribbean Sea makes to CARICOM’s development priorities,” the missive detailed.
The primary objective of this project is to articulate a Policy that fosters improved governance, regional coordination and ultimately, enhanced capacity of Member States to sustainably manage both sovereign and shared marine resources. The policy will build on international

momentum for sustainable ocean economic development, including the Antigua and Barbuda Agenda for SIDS, Sustainable Development Goals, and the Commonwealth Blue Charter.
The project also seeks to upscale national successes and progress made under the UK’s Sustainable Marine Economies Programme.
CARICOM Member States are increasingly focusing on their Exclusive Economic Zones (EEZs) to unlock growth and development opportunities. These opportunities span various sectors, including fisheries, energy, nature tourism, and coastal and ocean services like carbon sequestration.
In the coming months, the project will undertake a comprehensive assessment of the policy, and the institutional and legal landscape within CARICOM Member States concerning sustainable ocean-based economies. There will also be a series of virtual and in-person consultations to engage stakeholders, share national progress, and identify regional priority actions.
Meanwhile, in Guyana, efforts has already been made over the years to foster a sustainable blue economy in the country. In June of 2022, the Guyana
Marine Conservation Society (GMCS) launched its 5-Year Strategy Plan that would cover the period 2022-2027 with a focus on expanding its efforts to support effective conservation and management of ocean biodiversity and promote the growth of a sustainable blue economy. The 5-Year Strategic Plan entails further research and monitoring to improve knowledge of Guyana’s marine and coastal ecosystem; promote education and awareness, that is intended to foster a greater appreciation of the values and threats to Guyana’s ecosystem; facilitate community development, that will empower coastal communities for increased resilience to climate change and other hazards; and strengthen its capacity as it relates to marine conservation and the sustainable development of the blue economy. Moreover, as the country’s economy continues to accelerate as a result of its oil wealth, the Government has moved to update the Low Carbon Development Strategy (LCDS) to include new sectors, such as the blue economy and biodiversity conservation. Recognising this movement, the GMCS has also aligned its 5-Year Strategic Plan with the LCDS 2030.





Dr. Tariq Jagnarine Fam meD, enDocrinology/ DiabeTes
As people get older, they may experience a gradual loss of some thinking abilities. A significant change may indicate another health condition. Their minds are central to their identity. The sharpness of our thinking, our ability to communicate and connect with others, and the rich trove of memories we’ve collected over a lifetime all have enormous value.
As you get older, you may notice changes in some of your thinking skills, including cognitive decline. Cognitive decline is the gradual loss of thinking abilities such as learning, remembering, paying attention, and reasoning.
For some people, a small amount of cognitive decline
you may experience age-related changes in thinking and memory. Sometimes, another health condition may be the cause. Examples include:
High blood pressure
• Vascular (blood vessel) disease
Depression
• Sleep deprivation
Diabetes
Sometimes, neurological conditions such as Alzheimer’s Disease or frontotemporal dementia are the underlying cause.
Genes and family history also play a role in whether you will experience cognitive decline as you get older. Genes may be responsible for up to 60% to 70% of the var-
as people get older. MCI and dementia are cognitive disorders with symptoms that can occur along a spectrum of severity.
SIGNS
Cognitive decline looks different from person to person. That may be because people vary in their health profiles, life circumstances, and capabilities. Still, some patterns have emerged from the research. People with mild cognitive decline might: Having trouble finding the right words to express themselves, especially when compared with others of the same age
Lose or misplace things

ious ways cognition decline due to aging.
STAGES OF COGNITIVE DECLINE
Specialists generally rec-
Forget appointments and scheduled events
Become overwhelmed by complex tasks and projects

occurs with age. However, more significant changes can be a sign of a cognitive disorder. Injury, illness, and health habits can influence how much and how fast your cognitive abilities change over time.
Genes and family history are major risk factors for cognitive decline. But other factors may also lead to a faster or more noticeable decline. These include diabetes, high blood pressure, stroke, smoking, high cholesterol, and hearing loss.
Some of these factors can be controlled, and some can’t. Try working with a healthcare team to create a plan to stay healthy — mentally and physically.
CAUSES
There are many reasons
ognize four stages of cognition as people age:
No cognitive impairment (NCI): Not experiencing any differences in your thinking ability or in the complex skills that make up cognition. Subjective cognitive decline (SCD): Noticing that some of your thinking abilities have begun to decline but not enough to interfere with how you function day to day.
• Mild cognitive impairment (MCI): Experiencing a decline in your ability to reason, remember, use language, make judgments, and perceive the world around you accurately.
• Dementia: Having trouble with activities of daily living. These include driving, paying bills, taking care of your living space, and caring for your body and your health.
NCI and SCD are typical
Keep in mind that typical forgetfulness is not the same as cognitive decline. It’s not helpful to assume that regular forgetfulness is necessarily a sign of cognitive decline. Such worrying can affect your well-being.
If you notice any of these signs, it may be time to visit a healthcare professional: You get lost in once-familiar areas.
• You become frustrated with communication difficulties. You experience mood or personality changes, such as more anxiety or aggression.
• You ask the same questions over and over.
• You have trouble recognizing friends and family members.
DIAGNOSIS
A doctor can help you de-



termine whether you’re experiencing typical signs of aging or symptoms of cognitive decline. They may assign you a brief self-screening test to check for symptoms of cognitive decline.
• Self-administered gerocognitive Examination (SAGE) and other screening tests
AD8 Dementia Screening Interview
Quick Dementia Rating System (QDRS)
Mini-Cog
Neuropsychological tests
In an evaluation, doctors often use neuropsychological tests to see whether your thinking and memory skills are changing. Some of the most common tests are:
Mini-Mental State Examination (MMSE) Montreal Cognitive Assessment (MoCA)
Other tests
A doctor might order a blood test to see if something else — like hypothyroidism or a B12 deficiency — may be causing a change in your thinking abilities.
Brain imaging, such as magnetic resonance imaging (MRI), may help a doctor de-
termine whether something like a stroke or brain tumor is at the root of your symptoms.
AGE AND COGNITIVE DECLINE
Each person is different. Your health behaviors have some influence on your brain function as you age. A 2020 analysis of the Health and Retirement Study, which involved around 29,000 participants, found that women first experienced cognitive impairment around age 73. Those women who went on to develop dementia did so at about 83 years old. Men, the study found, experienced cognitive decline near age 70 and dementia at 79 years.
It’s important to know that not everyone with cognitive decline will later have dementia. The study also found that race and education level affect the age of onset.
People with higher education levels tend to experience cognitive decline at a later age. This may be because they stay active mentally and have more social connections later in life, researchers said. They may also have greater access to healthcare and earlier treatment of medical problems.
MENTAL HEALTH, PERSONALITY, AND COGNITIVE DECLINE
Some personality traits or mental health conditions may be early signs of cognitive decline. These include depression, stress, anxiety, and neuroticism.
A 2017 study suggested that this might be related to changes in the medial temporal lobe of the brain.
Some age-related cognitive changes are tied to our genetics. There may not be much someone can do to change that risk factor. But there are many other ways to keep your brain healthy and preserve its ability to think. Here are a few research-supported steps you can take:
• Eat a nutritious diet with lots of leafy green vegetables. Studies suggest that the Mediterranean and DASH diets both slow cognitive declines.
Stay physically active.
Connect with other people socially.
• Stimulate your brain with activities, reading, games, and hobbies.
Protect yourself from brain injury.
Limit the amount of alcohol you drink.
• Avoid the use of tobacco products.
A 2022 study suggests that taking a daily multivitamin might help slow cognitive decline. However, more research is needed to confirm the results.
It depends on what’s causing the changes. If your symptoms are related to an underlying health condition, such as sleep deprivation, treating the cause may reduce the symptoms.


São Paulo Mayor Ricardo Nunes was re-elected on Sunday to serve another four years in Brazil's largest city, defeating leftist challenger Guilherme Boulos in municipal runoffs that confirmed a rightward swing by voters that could shape the country's 2026 presidential and congressional elections.
Voters cast ballots in mayoral runoff elections in 51 cities, including 15 state capitals. The right and centre-right won 14 mayoral races in the capitals - though hard-right former President Jair Bolsonaro's Liberal Party (PL) did not do as well as expected. President Luiz Inácio Lula da Silva's leftist Workers' Party prevailed in just one of those races.
Brazil's electoral authority said Nunes won with 59.5 per cent of the votes against 40.5 per cent for Boulos. Nunes was backed by São Paulo Governor Tarcisio de Freitas, who emerges as the likely standard-bearer of Brazil's right to succeed Bolsonaro.
The São Paulo race was important in setting the stage for the 2026 elections, showing that Bolsonaro's right-wing movement remains strong even though he was banned by Brazil's electoral authority from seeking elected office until 2030 for his baseless attacks on the integrity of Brazil's electronic voting system.
The electoral growth of the right has led to divisions in its ranks. In São Paulo, Bolsonaro supporters were split between Nunes, whom he supported, and far-right influencer Pablo Marcal, who has sought to position himself as Bolsonaro's political heir.
The defeat of Boulos was a setback for Lula, whose party won the mayor's seat in only one state capital, Fortaleza, in his political bastion in northeastern Brazil.
In the agricultural state Goias, the PL party lost the mayoral race in state capital Goiânia to the candidate of the conservative Uniao Brasil, who was backed by centre-right state Governor
Ronaldo Caiado.
Lula's PT party fared poorly in part due to his falling popularity and to his reluctance to campaign for candidates at risk of being defeated. A head injury a week ago kept him from campaigning in the closing days of the race. Heading a minority government, Lula has become increasingly hostage to a Conservative Congress in Brasilia to be able to govern.
"The new conservative wave underlines the dawn of a post-Bolsonaro age – and its leadership is up for grabs," risk intelligence company Verisk Maplecroft said.
"Leftist parties struggled to assert their relevance, and Lula's absence from final rallies suggests a strategic distancing from a meagre performance – even in the northeast, a traditional stronghold for his Workers Party," Maplecroft added.
The voting was held on Sunday in cities of more than 200,000 voters where no candidate secured a majority in the first-round vote on October 6. (Reuters)
Aveteran Journalist in Venezuela has not been heard from since Friday, Venezuelan press advocates said on Sunday, alleging he had been detained by government authorities in the country's capital.
The Government did not immediately respond to Reuters' requests about the case of Nelin Escalante, an independent Journalist, who recently posted videos on his social networks where he was talking about the price
of the dollar in the country.
Venezuela's National College of Journalists (CNP) said in a post on social media that Escalante had been missing for 48 hours and demanded his prompt release.
The group said he was "taken" on Friday afternoon by agents belonging to an intelligence service known as the Directorate General of Military Counterintelligence, or DGCIM.
"We demand to know (Escalante's) whereabouts
and release," the CNP said.
Venezuela's press workers union (SNTP) said that Escalante last had contact with his relatives on Friday and that his colleagues had denounced his detention, although it did not specify the day.
The United Nations has accused the DGCIM of arbitrary arrests and torture.
The union has documented at least eight cases of Journalists detained after the July 28 presidential election. (Reuters)

Bolivia's former leader Evo Morales accused the Government of his one-time ally Luis Arce of trying to kill him on Sunday after his car was struck by bullets in an early-morning ambush, threatening to ignite a full-on political crisis in the Andean nation.
Morales, whose supporters have been organising road blockades for weeks to support the legally-embattled former President, posted a video on Facebook that shows him in the front passenger seat and bullet holes in the car's windshield.
"Elite agents of the Bolivian State attempted to take my life today," Morales wrote on social media.
Arce in comments on social media condemned any use of violence in politics and called for an immediate and thorough investigation.
Earlier on Sunday, Arce's Deputy Security Minister promised an investigation into any report "whether it is true or a lie".
The incident occurred

with Bolivia already gripped by tensions. Morales supporters have blocked key highways for two weeks, impeding delivery of food and fuel around the country, and clashed with security forces trying to clear the obstacles.
Arce's Government on Saturday accused Morales of "destabilising" the country and trying to "interrupt democratic order."
Morales' claims drew statements of support on
Sunday from regional leftist allies, including Venezuelan President Nicolás Maduro's Foreign Minister and former Argentine President Cristina Fernandez de Kirchner. In a radio interview after the incident, Morales said two vehicles intercepted him on the road and fired upon his car, adding that a bullet passed "centimetres" from his head. (Excerpt from Reuters)
Authorities in Mexico's Sinaloa state said on Sunday that at least 14 persons were killed the day before amid a wave of violence that erupted after drug trafficker Ismael "El Mayo" Zambada's arrest in the United States.
Most of the killings on Saturday were in Culiacan,
the capital of Sinaloa state, the state attorney general's office said.
The prosecutor's office said in a statement on Sunday that it had opened 10 investigations into the homicides of 14 persons.
In recent months, fighting in Culiacan between criminal groups battling for territori-
al control has disrupted daily life and forced businesses and schools to close.
Violence has flared in the Pacific coast state since the late July arrest of Sinaloa cartel leader Zambada, after he was flown to an airstrip in Texas and promptly taken into custody by US officials.
(Excerpt from Reuters)
Early exit polls after Uruguay's presidential election on Sunday suggest the centre-left Opposition candidate Yamandu Orsi was ahead of his conservative rival, Alvaro Delgado, with a second-round likely needed in November after a head-tohead photo finish.
Uruguay's race between two centrist candidates bucks a Latin America trend of sharp right-left divides, with significant overlap between the major conservative and liberal coalitions taking some of the sting out of the result.
If no presidential candidate gets more than 50 per cent of the vote on Sunday, a second round will be held on November 24.
The nation of 3.4 million, known for its beaches, legalised marijuana and stability, also voted for its next Vice President and Members of Parliament.
Vote counting was also un-

derway for two referendumsone on a pension reform that would lower the retirement age by five years to 60 and another that would boost Police powers to fight drug-related crime.
Uruguayans appeared to reject the pension reform, two early exit polls showed on Sunday, defusing fears from investors and politi-
cians that it could hurt the economy. According to local pollsters Cifra and Equipos Consultores, 61 per cent of eligible voters struck down the proposal, versus 39 per cent who voted in favour.
The security referendum also failed, according to Equipos Consultores, securing less than 40 per cent support. (Excerpt from Reuters)




S equity futures jumped as investors looked for a batch of megacap technology earnings to keep driving the Nasdaq Composite to new heights this week. A cooling geopolitical situation also aided risk sentiment.
Weekend airstrikes by Israel against Iran did not target oil or nuclear facilities as was feared and oil futures were lower in early trading.
Futures tied to the Dow Jones Industrial Average added 146 points, or 0.3 per cent. S&P 500 futures gained 0.4 per cent and Nasdaq 100 futures increased by 0.5 per cent.
The market was split at the end of last week. On Friday the tech-heavy Nasdaq Composite jumped to a new intraday alltime high, rising 0.56 per cent to close at 18,518.61. On the flip side, the Dow shed 259.96 points, or 0.61 per cent, to close at 42,114.40. The broad-market S&P 500 inched lower by 0.03% to 5,808.12.
Both the Dow and S&P snapped a six-week winning streak, but the Nasdaq eked out its seventh positive week in a row.
Wall Street is bracing for a big week in markets that will mark busiest week of third-quarter earnings reporting season and the final week before the November 5 US presidential election. Five of the Magnificent Seven companies – Alphabet, Microsoft, Meta Platforms, Amazon and Apple – are scheduled to report thirdquarter earnings. (Excerpt from CNBC)

Some British Labour lawmakers on Sunday accused Prime Minister Keir Starmer of having a "colonial mindset" and trying to silence nations pushing for discussions on reparations for transatlantic slavery at this month's Commonwealth summit in Samoa.
Britain has so far rejected calls for reparations but some campaigners hoped Starmer's new Labour Government would be more open to it.
However, ahead of the Commonwealth Heads of Government summit in Samoa, where Caribbean and African nations wished to discuss the topic, Starmer said the issue was not on the agenda and that he would like to "look forward" rather than have "very long, endless discussions about reparations on the past".
Israel's airstrikes "hit hard" Iran's defences and missile production, Prime Minister Benjamin Netanyahu said on Sunday, as Iranian Supreme Leader Ayatollah Ali Khamenei said the country was considering its response.
With warfare raging in Gaza and Lebanon, direct confrontation between Israel and Iran risks spiralling into a regional conflagration. But a day after the airstrikes, there was no sign they would spark another round of escalation.
However, heavy fighting in Lebanon between Israeli forces and Iran-backed Hezbollah, which sharply intensified over recent weeks, continued on Sunday with an Israeli airstrike killing eight persons in a residential block in Sidon, medics said.
"The air force attacked throughout Iran. We hit

hard Iran's defence capabilities and its ability to produce missiles that are aimed at us," Netanyahu said in a speech, calling the attack "precise and powerful" and saying it met all its objectives.
Trump headlines Madison Square Garden rally after vulgar, racist remarks from allies

Israel’s army chief, Lieutenant General Herzi Halevi, said the strike on Iran had showed what the Israeli response to its enemies would be. “We struck strategic systems in Iran, which carries great importance, and we will now see
how things develop. We are prepared for all scenarios in every arena.”
The Islamic Republic has not signalled how it will respond to Saturday's long-anticipated strikes, which involved scores of fighter jets bombing targets near the capital Tehran and in the western provinces of Ilam and Khuzestan.
The United Nations Security Council will likely convene to discuss the attack today, diplomats said. Khamenei said Israel's calculations "should be disrupted". The attack on Iran, which killed four soldiers and caused some damage, "should neither be downplayed nor exaggerated", he said.
Iranian President Masoud Pezeshkian said Iran was not looking for war ,but would give an "appropriate response". (Excerpt from Reuters)
Japan's Government in flux after election gives no party majority, yen hit

RAt the end of the Samoa summit, leaders of the 56-nation club headed by Britain's King Charles agreed to include in their final communiqué that the time had come for a discussion on reparations.
"I'm very proud those nations refused to be silenced," Ribeiro-Addy said.
Another Labour lawmaker, Clive Lewis, said it was surprising Starmer thought he could take a "colonial mindset" to the summit and "dictate what could and could not be discussed".
At a news conference in Samoa on Saturday, Starmer said slavery was "abhorrent" and that the discussions agreed to in the communiqué would not be "about money".
"(It) is very insulting (to) tell people of African descent to forget and move forward," said Labour lawmaker Bell Ribeiro-Addy at a cross-party reparations conference in London.
(Excerpt from Reuters)
epublican presidential candidate Donald Trump headlined a rally at New York's Madison Square Garden on Sunday that began with a series of vulgar and racist remarks by allies of the former President.
Trump, a New York celebrity for decades, hoped to use the event at the iconic venue known for Knicks basketball games and Billy Joel concerts to deliver his closing argument against Democratic candidate Kamala Harris, even though the state last backed a Republican presidential candidate in 1984.
“I’d like to begin by asking a very simple question. Are you better off now than you were four years ago?”
Trump said at the start of his speech. The crowd shouted: “No.”
He went on to promise
that he would stop an "invasion of criminals coming into our country" if he wins the November 5 election, and called Harris a "very low IQ individual."
The list of at least 20 opening speakers varied widely from former pro wrestler Hulk Hogan to former NY Mayor Rudy Giuliani to Trump’s sons Eric and Don Jr.
Some of Trump's introductory speakers used racist and misogynistic language in warming up a capacity crowd.
Rudy Giuliani, the onetime New York City mayor and a former personal lawyer to Trump, falsely claimed that Harris was "on the side of the terrorists" in the Israeli-Palestinian conflict and wanted to bring Palestinians to the United States. (Excerpt from Reuters)
The make-up of Japan's future Government was in flux today after voters punished Prime Minister Shigeru Ishiba's ruling coalition, leaving no party with a clear mandate to lead the world's fourth-largest economy.
The uncertainty sent the yen currency to a threemonth low as investors and analysts prepared for days, or possibly weeks, of political wrangling to form a Government and potentially a change of leadership.
Japan's ruling coalition lost its parliamentary majority in Sunday's general election, with voters punishing Prime Minister Shigeru Ishiba's party over a funding scandal and inflation.
Ishiba's Liberal
Democratic Party and its junior coalition partner Komeito took 215 seats in the lower House of Parliament, down from 279 seats. The biggest winner of the night, the main opposition Constitutional Democratic Party of Japan (CDPJ), had 148 seats, up from 98 previously, but also still well short of the 233 majority. As mandated by the constitution, the parties now have 30 days to figure out a grouping that can govern, and there remains uncertainty over how long Ishiba – who became Premier less than a month ago – can survive after the drubbing. Smaller parties also made gains and their role in negotiations could prove key. (Excerpt from Reuters)

































Keep an open mind, but don’t buy into something you don’t want or need. Haste makes waste, and for the moment, it is best to look inward, gather information and focus on self-improvement.
Put your plans in motion. Leave nothing to chance; oversee every detail personally. You have plenty to gain if you keep a steady pace and open mind. Change begins with you.
Emphasize what’s meaningful to you and consider the best route. Avoid letting others sidetrack you or talk you into doing something you don’t want to do. A pick-me-up will help you rejuvenate.
The stars are aligned, and it’s up to you to harness their power. Apply for something that excites you or promotes an activity that you enjoy doing, and see what transpires.
Review the facts and figures before you get involved in something. You’ll gain the most if you focus on your health, finances or contractual affairs. Leave nothing undone.
Consider the pros and cons before you argue with someone who can affect your life personally or professionally. If you overreact, you can expect situations to spin out of control. Choose peace over discord.
Recognize what and who could give you an advantage, and align yourself with people who can help you press forward with your plans. Preparation is the key to realizing your dreams.
Communicate, listen to advice and take the path to victory. Participate in events or activities that offer insight into what’s trending or how you earn your living.
Pay attention to avoid a technicality that can slow down your progress. It’s essential to handle emotional situations honestly and swiftly. A change will turn out better than anticipated.


Put your cash and possessions out of sight. Make a point to learn something new. Show compassion, understanding and leadership abilities, and you will gain the support and confidence of those you encounter.



Expand your mind, skills and prospects. Research and attend functions that will broaden your awareness and connect you to people who can offer insight into something you want to pursue.

When one door closes, another will open. Don’t be afraid to let go of what’s holding you back. A change will give you a different perspective regarding the possibilities.






It was a day when Radha Yadav could do everything: fly like a superwoman to grab two stunning catches, take 4 for 69 with the ball, be India's top-scorer with 48 from number nine, and help add 70 with Saima Thakor for the ninth wicket. That was not only India's highest stand in pursuit of 260 against New Zealand on Sunday, but also their highest One-Day International (ODI) partnership for that wicket.
But unfortunately for India, all those performances could not help them avoid defeat. New Zealand, led by an all-round show from


India Women (T: 260 runs from 50 ovs)
Shafali Verma lbw
b Kerr 11
Smriti Mandhana c Plimmer b Tahuhu 0 Yastika Bhatia † c †Gaze b Tahuhu 12
Harmanpreet Kaur (c) c Carson b Devine 24
Jemimah Rodrigues c †Gaze b Devine 17
Tejal Hasabnis b Carson 15
Deepti Sharma c †Gaze b Tahuhu 15
Arundhati Reddy c †Gaze b Carson 2
Radha Yadav c Down b Devine 48
Saima Thakor c Bates
b Kerr 29 Priya Mishra not out 0 Extras (nb 1, w 9) 10
Total 47.1 Ov (RR: 3.87) 183
their Captain Sophie Devine, sealed a comfortable 76-run win to take the series into the decider. Not only that, New Zealand also grabbed crucial points in the Women's Championship to remain afloat for direct qualification for next year's World Cup.
Devine hit 79 and saw off a quiet period with the bat for her side, eventually pushing New Zealand's first-innings total to 259. With the ball, she bagged her opposite number Harmanpreet Kaur, and also Jemimah Rodrigues. India's chase was never on track either side of that brief stand, falling well shot despite some resilience late in the contest.
Five overs into the chase, India were 26 for 3, with Smriti Mandhana falling without scoring. She chipped Lea Tahuhu to point in the first over, before Jess Kerr trapped Shafali Verma in front for an entertaining
ed 38 for the fourth wicket, and that remained India's highest stand until Radha and Thakor's ninth-wicket stand of 70. Kaur's 24 was the most that any top-seven batter from India managed, and at 77 for 5 in the 18th over, the wheels had come off.
But the fact that they even had a challenging target to chase was down to the half-centuries from Devine and Suzie Bates. Bates, who scored 58, put on a stand of 87 with Georgia Plimmer for the first wicket to set the tone for New Zealand, whose innings could be split into four different quarters. The first one belonged to Bates and Plimmer, who combined to thump 13 fours and a six in the first 15 overs.
But in the 10th over, Plimmer was dropped by Deepti Sharma when on 16, the first of three dropped catches from the all-round-

duced spin in the sixth over, but it hardly affected New Zealand's momentum.
The breakthrough finally
only one wicket. Devine cut, flicked, and pulled for boundaries, but in the 32nd over, Radha stunned New

Saima Thakor 10-0-58-1
Arundhati Reddy 10-0-52-0
Deepti Sharma 10-3-30-2
Priya Mishra 10-1-49-1 Radha Yadav 10-0-69-4
Fall of wickets: 1-5 (Smriti Mandhana, 0.4 ov), 2-19 (Shafali Verma, 3.3 ov), 3-26 (Yastika Bhatia, 4.6 ov), 4-64 (Jemimah Rodrigues, 13.3 ov), 5-77 (Harmanpreet Kaur, 17.1 ov), 6-100 (Tejal Hasabnis, 24.3 ov), 7-102 (Deepti Sharma, 25.6 ov), 8-108 (Arundhati Reddy, 26.6 ov), 9-178 (Saima Thakor, 43.6 ov), 10-183 (Radha Yadav, 47.1 ov) Bowling O-M-R-W Lea Tahuhu 10-1-42-3 Jess Kerr 10-0-49-2 Fran Jonas 10-2-33-0 Sophie Devine 7.1-0-27-3 Eden Carson 10-2-32-2

11 in the fourth. Next over, Tahuhu had Yastika Bhatia edging behind to wicketkeeper Izzy Gaze, who finished the day with four catches.
Kaur and Rodrigues add-
er. Plimmer and Bates relied mostly on timing and placement instead of power. Harmanpreet, back into the side after missing the first ODI due to a niggle, intro-
came when Radha took the first of her two great catches in the 16th over. Placed at midwicket, she moved swiftly to her right before diving full stretch to have Plimmer caught for 41 off Deepti. That started a run of 12 overs which saw New Zealand score only 34 for the loss of three wickets.
Bates got to fifty to start the 19th over, but next ball, Deepti put her down at midwicket, choosing to go for it by lifting only her right hand instead of using both hands. Two overs later, though, one of Bates' drives down the ground deflected off debutant Priya Mishra's hands, and found Lauren Down short at the non-striker's end.
In the 27th, Radha had Bates caught and bowled for 58, but Devine stood firm at the other end. That started a period of play where New Zealand steadied themselves. In the next 17 overs, they scored 84, and lost
Zealand with her fielding again. Now placed at extra cover, she sprinted and dived full stretch to have Brooke Halliday for 8.
But Devine and Green ensured India didn't run away with the game, even as Deepti also dropped Green on 6 in the 34th over. The two batters kept ticking along, with Devine overturning an lbw decision against her when on 36. She got to her fifty off 65 balls in the 41st over, and set it up for a solid finish. The last six overs saw New Zealand pummel 55 runs, with Green driving, ramping and flicking Thakor for successive boundaries in the 45th over.
Radha had Green holing out to long-off for 42 next over, but boundaries from Kerr and a six from Devine took New Zealand to 259. That proved more than enough, even as Radha had struck back-to-back in the penultimate over. (ESPNcricinfo)
Tapeball cricket will take a new and exciting twist in the coming weeks when the One Guyana Cricket Cup bowls off on Saturday, November 9.
The tournament, unlike its predecessors in this format of the sport, has taken on the franchise model, with six franchise teams already drafting players for their rosters.
The tournament will feature the District Renegades, Eclipse Carnage, West Siders Power Hitterz, West Side Warriors, Village Rams and Tropix Falcons.
During the official launch on Saturday at the National Track and Field Centre (NTFC), organiser Deopersaud Lalta spoke of how the tournament was conceptualised and one special inclusion that is being made.
“The franchise cricket is going to be a next big thing in Guyana. So, we adapt some of the ideas from CPL [Caribbean Premier League], some from IPL [Indian Premier League], and we’re going to make it something of a Guyana franchise cup,” Lalta shared.
He went on to reveal, “I was once sitting down at UG, watching cricket being played there. So, one of the teams was short a player so they asked a female player to play on that team and, to my surprise that female player played better than some of the males. So, when I saw that I thought

this could be a whole new thing in the cricket organisation. So, we’re gonna have females playing along with the male players.”
Another organiser, Devon Paul, went on to share some clarity on the inclusion of female players, noting that they would have to play a role in the team.
“It is insisted that they either have to bowl or bat, so it’s not going to be like a one-sided affair where they’re going to be a part of the team and don’t actually help the team. So, they will have to play a very vital role,” Paul shared.
Also present at the launch was Sport Minister Charles Ramson Jr, who shared why the tournament has received the Ministry’s support and his vision for its future.
Ramson Jr opined, “The One Guyana T10 [Kares]
tournament that you know of already, there’s a space there that plays on community grounds and then finishes at the National Stadium, but we believe, too, at the Ministry, that there’s a space for tapeball to be played on tarmac, especially given that we have two periods of rainy seasons in the country. So, this can fit nicely in that period.”
“This can very well be a once-or-twice-a-year tournament that comes out of the main season and that helps to keep all of the players active,” the Sport Minister further stated.
While a players’ draft was already completed, another mini draft is scheduled for this week to add more players to the tournament. The competition is scheduled for November 9, 10 and 17 at the NTFC tarmac.
Fast bowler Nial Smith is set to replace fel low speedster Ronsford Beaton ahead of the upcoming Cricket West Indies (CWI) Regional Super50 Men's Championships, which bowl off on October 28.
Smith, who recently returned from injury, will replace Beaton who will miss the tour after failing to turn up to two scheduled fitness tests recently organised for the Guyana Harpy Eagles team and other contracted players.
The former West Indies pacer, who was recent ly cleared to bowl, added much-needed firepower to the Eagles unit given his experience and success during his brief run on the international stage.

However, Smith’s inclusion is a clean swap as

It was a night of unexpected results, as Sparta Boss and Bent Street A were sent packing, while Back Circle A also suffered defeat when the group segment in the inaugural Bent Street “Champion of Champions” Futsal Championship continued at the National Gymnasium, Mandela Avenue.
Needing a win to keep their hopes alive of advancing, Sparta Boss crushed Team Cruel 6-1. Darron Niles netted twice in the eighth and 10th minutes, while Curtez Kellman scored in the first and 20th minutes. Adding goals in the 16th and 21st minutes, respectively, were Jermin Junior and Eusi Phillips, as Jemar Harrigon scored for the loser in the 22nd minute.
Sparta Boss then needed North Ruimveldt to lose in their encounter with Back Circle B. However, North Ruimveldt confirmed Sparta’s exit with a 5-0 thrashing of Back Circle B. Stephon Walton recorded a helmet trick in the 1st, 5th, 22nd, and 25th minutes, while Tyrese Louis scored in the fifth minute.
Bent Street were eliminated following a 2-3 loss to Mocha in the must-win encounter.
Devon Padmore scored twice in the third and sixth minutes, while Teon Jones netted in the eighth minute. For the losers, Tyrese Lyle and Colin Nelson
scored in the second and fifth minutes, respectively.
Meanwhile, Back Circle A also went down in dramatic fashion 0-3 to North East La Penitence in a battle of the unbeaten teams.
Further, Gold is Money thrashed California Square 3-0. The trio of Stephon Jupiter, William Europe, and Andrew Murray scored in the 10th, 17th, and 19th minutes, respectively.
The winner of the event will pocket $1,000,000 and the championship trophy, while the second, third, and fourth-place finishers will receive $500,000, $300,000, and $200,000 and the corresponding accolade, respectively. On the individual side, prizes will also be given to the highest goal scorer, most valuable player, best defender, and goalkeeper, respectively.
Complete Results
Game 1
Sparta Boss 6 v Team Cruel 1
Sparta scorers


he Demerara Cricket Board (DCB) has announced the appointment of Surendra Hiralal as Chairman of senior selection panel following the resignation of Peter Persaud.
The Board has accepted Peter’s resignation and wishes him well in his future endeavours.
Hiralal is well known in Demerara and Guyana’s cricket, having played and been around cricket for decades. He was Club Captain of Everest Cricket Club for six years and First-Division Captain for 12

Hiralal
He
both the three-day and limited-overs competitions for
The former U19 inter-county player (1989) was also in senior inter-county trials for several years. Hiralal served as President of Gandhi Youth Organisation for two years, was Vice President of Georgetown Cricket Association for six years, and a selector representing East Bank on the Demerara Cricket Board. In 2024, he was Manager of the Guyana team that won the CAL T/10 tournament.
There were thrills galore at the Ministry of Education (MoE) Ground on Saturday, as Marian Academy and Santa Rosa Primary booked their spots in the Courts Optical Pee-Wee Under- 11 schools’ football final.
Both teams put on a superb display of skill in nail-biting semi-final games to come away with slim victories, both by a 2-1 margin.
The first semi-final was a clash between defending champions St Pius Primary and Marian Academy, in which the latter dominated.
Cristiano La Rose, taking a free kick from near the halfway mark, found the back of the net to give Marian the lead in the 10th minute. Then, La Rose returned in the 25th minute to capitalise on a good assist from Joshua Johnson and bury their second strike.
Jovaine Wright would, minutes later, pull one back for the defending champs, but it was a little too late.

Following the encounter, La Rose summed up his team’s performance and spoke of their chances in the final.
He shared, “We tried our best, we always try in practice. We did everything right, this is our year. St Pius has beat us in the last two years; we came back for revenge and we did our best. There could only be one winner.”

The Kevin Sinclair Foundation, on Thursday last, made good on its promise to carry out a distribution programme in Sophia, Greater Georgetown which has since been deemed a success.
Scores of households across Fields A, B, C and D were able to benefit from essential food items distributed by the foundation.
According to the Foundation’s namesake, Guyanese and West Indies all-rounder Kevin Sinclair, it was an immensely humbling feeling to be able to give back to the community.
Speaking about his passion for charitable work, Sinclair highlighted that it
was important to pay it forward and hopefully, inspire a new generation.
Sinclair gained support from a number of business entities for the recent programme in Georgetown. The likes of Big B’s Restaurant, Cricket Zone USA, Genuine Auto Sales, Trophy Stall, Markie Construction Inc, VNet Communications and Optimum Health Supplies are among the Foundation’s corporate support.
In a few short months, this has been the Sinclair Foundation’s second major give-back initiative, having recently supplied over 300 children in Angoy’s Avenue, New Amsterdam with school supplies prior to the start of the September term.
pass by my friend Joshua, I didn’t know if he was going to shoot it or not, but it was a beautiful pass.”
The youngster from Marian Academy went on to say this about their chances in the final, “We will try in practice and we will do our best until we get it right. We will win the final, no matter what.”
The second semi-final between Santa Rosa and St John the Baptist Primary was almost identical. After an intense start from both sides, Deon Henry was able to silence the opposition by perfectly executing a penalty in the 14th minute; just three minutes later, his teammate Ethan Ricards would find the back of the net from a set piece for the 2-0 lead.

expected’ lead.
“We played good and like, we attacked and they struggled to score goals,”
“It was a really good performance. I was thinking, should I just shoot it or should I just pass it and I just went with the power in the shot and it was really far out, till like half-way, none of my parents recorded it ‘cause it was so far out. And the finish, beautiful
Kareme Welcome fought back in the second half and found St John’s first goal in the 27th minute, but again it was too late to stage an equaliser.
Santa Rosa Captain Ethan John later discussed their semi-final performance, including their ‘un-
John told Guyana Times
Sport
Questioned about the early lead, he responded: “No, that was unexpected. I felt happy and relieved, I felt less pressure on my shoulders to defend.”
“Yes, because we got a good defence and like, we
just got to practice our attacking play more and don’t play around the goal with the ball,” John later said about the final.
The Courts Optical Pee-Wee final is scheduled for the same venue on Saturday, November 2. The tournament is also supported by Stenna Drilling, Sterling Products Limited under its Igloo brand, and MVP Sports.
Cricket West Indies (CWI) has marked a groundbreaking milestone in West Indies cricket by awarding year-long annual contracts to 14 female players across the Region.
This first-time initiative is a significant step forward in CWI’s strategic commitment to elite and high- performance cricket and signals a continued investment in the growth of the women’s game in the Caribbean. This expansion brings the total number of contracted regional players to 104 for the year and 164 in total, including senior and academy players.
CWI Director of Cricket, Miles Bascombe, noted the significance of this initiative, “Awarding contracts to these talented female players underscores CWI’s commitment to advancing cricket in the region. We are extremely proud of the Maroon Warriors, who are on their way back from an impressive semi-final showing at the Women’s T20 World Cup. The only way to ensure that West Indies teams, both men and women, have consistent showings at the international level is to ensure the development and growth at the regional level. CWI is dedicated to making this further investment in our regional talent and building a strong foundation for future success, which is in line with our strategic plan.”
These contracts reinforce CWI’s goal of supporting players as they progress along the pathway to elite performance, creating a sustainable pipeline of talent
that can perform on the global stage. Alongside the female contracts, CWI has also renewed annual contracts for 90 male players across six territories, maintaining its commitment to building regional strength across both men’s and women’s cricket.
Contracted Regional Players List 2024/25: 14 female contracted players:
* Barbados: Shanika Bruce, Alisa Scantlebury
* Guyana: Shenetta Grimmond, Plaffiana Millington, Mandy Mangru
* Jamaica: Celina Whyte
* Trinidad & Tobago: Shalini Samaroo, KD Jazz Mitchell, Reniece Boyce
* Leeward Islands: Melicia Clarke, Kimberley Anthony
* Windward Islands: Earnisha Fontaine, Abini St Jean, Nerissa Crafton
90 male contracted players (by territory):
BARBADOS
Kadeem Alleyne (U25*), Shaquille Cumberbatch, Dominic Drakes, Jonathan Drakes, Matthew Forde, Chaim Alexis Holder, Chemar Holder, Akeem Jordan, Jair McAllister, Zachary McCaskie, Shayne Moseley, Raymon Reifer, Kemar Smith, Jomel Warrican, and Kevin Wickham (U25*).
GUYANA
Kevlon Anderson (U25*), Ronaldo Alimohamed, Tagenarine Chanderpaul, Tevin Imlach, Matthew Nandu, Ashmead Nedd, Raymond Perez, Veerasammy Permaul,

Kemol Savory, Junior Sinclair, Kevin Sinclair, Nial Smith, Isai Thorne (U25*), Sylus Tyndall and Sachin Singh.
JAMAICA Andre Bailey, Brad Barnes, Jermaine Blackwood, Carlos Brown, Gordon Bryan, John Campbell, Jordan Johnson (U25*), Abhijai Mansingh, Kirk McKenzie (U25*), Odain Orland McCatty, Marquino Mindley, Romaine Morris, Jeavor Royal, Peat Salmon, and Ojay Shields.
LEEWARD ISLANDS
Jewel Andrew (U25*), Colin Archibald, Jaleel Clarke, Rahkeem Cornwall, Daniel Doram, Karima Gore, Justin Greaves, Jahmar Hamilton, Kofi James, Jeremiah Louis, Mikyle Louis, Cameron Pennyfeather, Javier Spencer, Oshane Thomas, and Hayden Walsh.
TRINIDAD AND TOBAGO
Navin Bidaisee (U25*), Yannic Cariah, Bryan Charles, Cephas Cooper (U25*), Shannon Gabriel, Jyd Goolie, Terrance Hinds, Amir Jangoo, Evin Lewis, Jason Mohammed, Kjorn Ottley, Anderson Phillip, Khary Pierre, Isaiah Rajah, and Tion Webster.
WINDWARD ISLANDS
Sunil Ambris, Darel Cyrus, Kenneth Dember, Shadrack Descartes, Johnnel Eugene, Keon Gaston, Khamal Hamilton, Ryan John, Noelle Leo (U25*), Darius Martin, Kimani Melius, Stephan Pascal (U25*), Jeremy Solozano, Shamar Springer and Gilon Tyson.
*Territorial Boards are mandated by CWI to have a minimum of two U25 players in their pool of fifteen contracted players.





