

![]()


全新设计,打造品质家居;经典风格,成就舒心寓所
温馨现代住宅,幸福家庭首选
攒够第一套房子的首付需要多长时间?
租房者出价高于要价的十大地区 首次购房者:期房询价激增 澳大利亚最新的百万澳元郊区
住房负担能力指数:衡量负担能力的更好方法
壹本日报合集
区域解读 Fullarton SA 5063




免责声明
Unless otherwise stated, Guiding Star Group reserves all copyright in the content and design of this magazine. Guiding Star Group owns all suck copyright or uses it under license or applicable law. You must not link to, publish, or make any commercial or public use of this magazine or its content, except as permitted by statute or with Guiding Star Group prior written consent. Advertising Terms and Conditions must be in writing 48 hours before copy delaine. All editorials or advertisements appearing in Yiben Weekly magazine are subject to copyright, and cannot be reproduced in whole or in part. No views of information contained in articles and advertisement appearing in Yiben weekly magazine are endorsed by the publisher. The publish reserves the right to refuse, withdraw or amend article or advertisements without explanation. Artworks are accepted on condition that publisher cannot guarantee their safe return, the publisher will not be liable for any damage or loss caused by late publication, error of failure of advertisement to appear. Part of contents from Internet may be credited in Yiben weekly magazine under the creative commons deed ( CC BYSA 3.0). Should there be any object, please contact Guiding Star Group. Appropriate royalties would be made to the verified author in accordance with relevant laws.

;全新设计,打造品质家居;
经典风格,成就舒心寓所
温馨现代住宅,幸福家庭首选
灰白外立面简约而又大方,被灌木簇拥的步道 干净而又利落。眼前这栋建于2008年的住宅经 过精心翻修后呈现出了别样的风采,吸引着人 们的驻足。这栋位于8 BLANDEN AVENUE, MARDEN的庭院占地836平方米,共有4间卧室, 2间浴室,双车库,距 Royston Park仅一步之遥, 能令绝大多数家庭感到满意。
步入室内,左手边是一间光线充足通风良好的会 客厅/影音室。屋中铺设的柏松地板与浅色地毯 相得益彰。灰色布艺沙发和双层铁艺茶几和谐有


致。设计感十足的落地灯与角落的绿植让整个空 间充满了灵气。
右手边是配有步入式衣帽间和独立盥洗室的豪华 套房。整个主卧以灰白二色为主,床品洁白,床 头柜上点缀着灰色台灯,墙上挂着同色系装饰画, 整体呈现出低调奢侈的氛围。除主卧外,这栋住 宅还拥有另外三间带衣橱的卧室。每间卧室都光 线充足,风格温馨,能够为主人的生活带去最好 的体验。
继续往前,人们的目光毫无疑问会被精致优雅的 开放式起居空间所吸引。这一空间主要由厨房、

餐厅和休闲客厅组成。一排吊灯照亮了厨房,将 其完美的设计送进了人们眼中:充足的储物空间、 BOSCH内置烤箱、Falmec 900 毫米抽油烟机、 Miele 洗碗机、ILVE 900 毫米燃气灶、以及40 毫米石顶岛台……毋庸置疑,这里将成为厨艺爱 好者的天堂。一般的用餐区摆放着一张木制长桌, 搭配灰色座椅,延续了整个空间大气舒展的风格。
休闲客厅在更里侧,两扇大窗同时引入了充足的 光线和室外的美景。休闲客厅的装潢几乎与正式 客厅一致,只不过搭配了风格更加轻松自然的木 制茶几和设计感更强的单人座椅。休闲客厅背后 是一道能够通往室外娱乐区的折叠门。露台区域


设有吊扇、led灯筒,很适合喝下午茶或者室外用 餐。如果感到疲惫,还可以选择在后院花园中悠 闲漫步,享受清风拂面的自在快活。
最后,这处住宅距 Marden 购物中心仅 900m, 购物十分方便。该地离巴士站很近,出行也 很方便。在教育资源方面,这处房产周边有
East Adelaide School、Vale Park Primary School、Marryatville High School等学校。总 之,无论从哪个方面来考量,这栋住宅都可以称 得上完美!

详细的住宅参数: - 占地 836 平方米(19.20 米 x 43.58 米)
- 4间卧室 - 2间浴室
- 双车库:可直接通往室内
- 开放式厨房:BOSCH内置烤箱、
Falmec 900 毫米抽油烟机、
Miele 洗碗机、ILVE 900 毫米燃气灶 - 40 毫米石顶岛台:配有吊灯及早餐吧 - 开放式家庭起居区域:配有双折门,可通室外露台 - 露台娱乐区:吊扇和 LED 筒灯

- 大型家庭影院/正式客厅
- 主套房:步入式衣帽间;带双梳妆台的独立盥洗室
- 第二、第三和第四间卧室均配有衣橱
- 带内置储物空间的大型洗衣房
- 管道逆循环空调
- 3 千瓦太阳能电池板
- 2 个花园棚
- 距离the River Torrens Linear Park仅一步之遥
- 距 Marden 购物中心仅 900m
- 靠近巴士站、Mars Sports Centre, Marden Senior College
- 学区:East Adelaide School、 Vale Park Primary School
- 学区:Marryatville High School
- 靠近 St Peters College、 Wilderness School、St Joseph's Payneham
- 距北阿德莱德约 3 公里,距市区 4 公里,
靠近 The Parade Norwood
有意请联系:
Eric Jem:0417885888
John Ng:0432147322

原文链接:https://www.realestate.com.au/property-house-sa-marden-142967912 注:图文版权归原作者所有


住房负担能力处于几十年来的最低水平,对于首 次购房者来说,要想登上房产的阶梯比以往任何 时候都更具挑战性。根据PropTrack的住房负担 能力报告,抵押贷款利率的大幅上升和房价的上 涨意味着,与1995年有记录以来的情况相比, 2023年的购房者负担得起的房屋要少得多。
例如,澳大利亚收入中位数(或典型)的家庭只能 负担全国出售房屋的13%。
这与2019- 2020年和2020-21年的负担能力峰 值水平相比有了显著下降,当时中等收入家庭可 以负担得起澳大利亚近40%的房屋销售。
储蓄的时间比过去几十年要长得多

有能力支付抵押贷款只是难题的一部分;第二是有 足够的存款。大多数抵押贷款机构要求20%的存 款,否则,借款人将面临更高的利率,并且必须 支付抵押贷款机构的保险(LMI)。
储蓄所需时间的计算方法是,一个收入平均的家 庭需要储蓄其家庭总收入的20%,才能在一套中 等价位的房子上积攒20%的存款。
一个中等收入家庭需要在五年半以上的时间里把 收入的20%存起来,才能为一套中等价位的房子 存下20%的首付。目前,澳大利亚的房产价格中 位数为678,500澳元,这意味着要节省135,700 澳元,以避免更高的抵押贷款利率和支付LMI。 不幸的是,在有些州,中等价位的房价和平均收


入使得为买房存钱变得更加困难。
在新南威尔士州,一个普通家庭要花近七年的时 间才能存下20%的首付,购买一套中等价位的房 子。十年前是五年半。新南威尔士州的房价中位 数为86万澳元,其中20%为17.2万澳元。
维多利亚州和塔斯马尼亚州的储蓄时间第二长, 只有6年多一点。如果你住在昆士兰,前景会稍 微好一些。一个中等收入的普通家庭在5.4年的 时间里就有足够的存款。
这对首次购房者意味着什么?
对于许多首次购房者来说,创纪录的低利率和政
府激励措施的结合,使2020年和2021年成为 购房的有利时机。在整个2021年,超过16万首 次购房者获得了新的抵押贷款,这是十多年来最 高的年度数字。
自这个峰值以来,首次购房者的贷款大幅下降, 原因是利率上升使他们更难负担抵押贷款。最近 几个月,更多的首次购房者重新加入了市场;然而, 这些数字在历史上仍然很低。
由于预期利率处于或接近峰值,就业和工资增长 可能会继续,从2021年底开始,负担能力的急 剧下降可能会开始放缓。然而,在可预见的未来, 负担能力将继续成为澳大利亚的一个问题,尤其 是在房价继续上涨的情况下。

首府城市激烈的租赁竞争促使潜在租户出价高于 要价,尤其是在悉尼和墨尔本。在某些情况下, 租房者出价比要价高出20%以上,以便比其他人 出价更高。
根据PropTrack的最新数据,7月份,全国租赁 空置率(可供出租的租赁物业的比例)小幅下降 0.04个百分点,至1.43%。但自疫情爆发以来, 随着租赁需求的增加,空置率已下降了一半。


首府城市的租赁市场状况尤其严峻,悉尼、墨尔 本和布里斯班的空置率在过去一年中显著下降。
这些困难的条件可归因于大流行以来对更多空间 的需求大幅增长以及移民的反弹。
建筑材料的短缺也导致了新房建设的延误。因此,
可租房的竞争加剧,随着cbd开放工作和学习, 居住在市中心地区的租房者受到的打击最大。
为了比其他潜在租客更有保障,居住在这些地区 的人愿意支付高于市场价格的溢价。当我们将 2023年3月季度在我们三个最大首府的地方政 府区域(lga)的实际周租金(来自租赁债券数据)
与realestate.com.au上的广告租金进行比较时, 这一点很明显。
在实际租金和要价差距最大的10个地方自治团 体中,有一半以上位于各自城市的内环。悉尼距 离CBD不到12公里,墨尔本不到11公里。
Hunters Hill和Bayside地区的租房者提供的价 格在所有首府城市的地方自治市中最高,人们通 常分别比要价高出23.1%和19.5%,以获得一 处房产。
在Burwood、Ryde和Canada Bay,那些想租 房的人也面临着激烈的竞争——新租金债券的中 位数比网站上列出的价格高出10-16%。
自2022年12月起,新南威尔士州和维多利亚州 自2021年3月起禁止代理邀请的租金竞标,这 意味着租房者自愿提供高于要价的价格,以超过 竞争对手。这反映了市中心租赁市场的紧张程度。
尽管过去几个月空置率略有改善,但由于没有短 期解决方案来增加供应,我们预计今年剩余时间 的租金将继续上涨。由于需求仍处于高位,租房者, 特别是那些居住在cbd附近的租房者,也有可能 继续提供溢价以确保住房。

在新印花税下调仅六周后,期房就出现了巨大的 询价潮,首次购房者开始冒险购买。如今,售价 在65万至80万澳元之间的房产无需缴纳印花税, 而售价在95万澳元以下的房产则可以享受很大的 折扣,开发商发现越来越多的首次购房者开始涉 足计划外的“房屋”。
First Home Buyers Assistance Scheme的这 一变化引起了人们对这一区间内房产的兴趣激增, 首次购房者开始购买计划外的公寓。从之前的65 万至80万澳元的上限,购买首套房的澳大利亚人 现在可以节省高达3万澳元的印花税。
位于新南威尔士州中央海岸的Rumbalara住宅 目前正在由Alceon开发,其中有两间卧室的豪华 公寓,首次房主的售价在78万至95万澳元之间。 自7月1日新政实施以来,Rumbalara的开发 总监Todd Campling表示,他们收到了来自首 次购房者的“轰炸”。
“在项目的头12个月里,我们没有从首次购房者 那里得到任何回报。我们已经有一段时间没有看 到它们出现在活跃的市场上了。”
新计划实施仅六周后,Campling表示,他们已



经卖出了一套房产,收到了两笔存款,并正在与 另外三四个首次购房者合作。Campling先生说, 他认为印花税对想买房的人来说可能是一个巨大 的障碍。“无论你是首次购房者还是小户型购房 者,印花税都会对你能存入存款的金额产生巨大 影响,”他说。
坎普林表示,他看到了85万至95万澳元的房产 咨询,因为在这个范围内,印花税仍有很大的节省。
坎普林先生表示,该计划的变化和印花税的削减 产生了巨大的影响。
“这给了人们一个走出去开始寻找的理由。对于 之前的金额,你真的不能得到很多,”他说。坎 普林先生说,由于位于中部海岸,你可以让你的 钱比在悉尼买得更远。
“在中央海岸,你通常能买得起一套带水景的漂 亮两居室公寓,而在悉尼,你可能会以同样的价 格买到一套二线公寓,”他说。
位于新南威尔士州中央海岸的Rumbalara保护 区住宅预计将于2024年底完工。

澳大利亚最新的百万澳元郊区?

随着澳大利亚住宅市场的价值反弹至10万亿澳元 以上,新的数据显示,郊区的房屋中位价或单价 已超过100万澳元。PropTrack的数据显示,随 着房价持续上涨,澳大利亚部分地区的房价创下 历史新高,13个郊区首次进入了澳大利亚的百万 澳元俱乐部。
在这个澳大利亚最昂贵的首府城市,郊区的房价 往往远高于200万至300万澳元,悉尼西部和西 南部的更多郊区首次进入了百万澳元俱乐部。但 在其他地方,“百万澳元”的意义要大得多,珀 斯的海滨郊区、阿德莱德的海滨郊区和墨尔本的 中心郊区也位居榜首。
数据还显示,另有10个郊区在2022年房地产低 迷时期跌出百万澳元俱乐部后,重新进入了百万
周二,Australian Bureau of Statistics透露, 澳大利亚住房总价值在6月季度增长了3250亿 澳元,达到10.09万亿澳元,仅略低于2022年 3月季度创下的历史新高。调查发现,在过去三 个月里,平均房价上涨了25,200澳元,每套房 屋的平均价格达到了912,700澳元。那么,在全 国范围内,价值百万澳元的郊区是什么样的呢?


澳元俱乐部。PropTrack高级经济学家Angus Moore表示,百万澳元的房产不再像以前那样庄重。
Moore说:“100万澳元曾经是一个相对较高的 门槛,但今天,尤其是像悉尼这样的地方,房屋 和公寓的中位数价格超过了100万澳元,悉尼 的许多郊区都将超过这个门槛。”PropTrack的 数据显示,悉尼目前是唯一一个房价中位数超过 100万澳元的首府城市,为106万澳元。
堪培拉紧随其后,房价中位数为84.1万澳元,其 次是墨尔本(80.4万澳元)、布里斯班(75.2万澳 元)、阿德莱德(67.9万澳元)、霍巴特(67.6万 澳元)、珀斯(59.7万澳元)和达尔文(49.8万澳 元)。Moore表示,在去年房价下跌之后,悉尼和 布里斯班今年出现了特别强劲的反弹。
他说:“悉尼的房价下跌相对迅速,但考虑到利率 上升了多少,今年反弹得出人意料地好。”“在 布里斯班,房价没有出现太大的下滑,但现在的 价格高于澳大利亚央行开始加息之前的价格。”
悉尼价值百万澳元的帷幕向西移动
根据PropTrack的数据,悉尼的房价在一年中上 涨了5%,Moore先生说,越来越多的郊区加入 百万澳元俱乐部也就不足为奇了。“根据定义, 你会发现一半的郊区房价在100万澳元以上,一 半在100万澳元以下,这意味着很大一部分郊区 的房价在100万澳元以上。”
8月份,悉尼西南部的Catherine Field的房价中 位数为107万澳元,高于2022年12月的97.5 万澳元,全年上涨18.3%。
同样在悉尼的西郊,Guildford的房价中位数为 105万澳元,Merrylands West的房价中位数为 110万澳元,而South Wentworthville的房价 中位数为104万澳元。
Ray White Parramatta房地产公司的经纪人 Michael Mustapha说,悉尼西部这一地区的房 价今年肯定有所上涨,这是由于地段不错、可负
担得起的房子、前往Parramatta的交通便利以 及库存短缺。“与过去几年相比,现在的需求相 当大。我们有年轻的家庭,年轻的专业人士,缩 小规模的人和扩大规模的人。目前市场非常复杂。”
今年重新进入百万豪宅俱乐部的悉尼郊区是悉尼 西南部的Austral,而高级住宅区Annandale的 公寓在去年12月退出后重新进入了百万豪宅俱乐 部,绿树成荫的北岸St Ives的公寓也是如此。
珀斯和阿德莱德的市场弹性毫不动摇
Moore先生说,这些数据反映了阿德莱德和珀斯 房地产市场的持续强劲,这两个城市的房地产价 格今年分别上涨了7.41%和7.57%。“阿德莱 德和珀斯是去年表现最好的两个首府城市,”他说。
“这两个城市的房价都没有出现真正的下跌,而 且房价的持续上涨已经把更多的郊区推到了百万 澳元的价位。”
在Perth,位于该市西南部的河畔郊区Alfred Cove现在的房价中位数为105万澳元,房地 产价格一年来飙升了20.7%。位于城市北部的
Iluka拥有一个靠近印度洋的广阔海滨公园,在去 年12月退出这个百万澳元俱乐部后,今年又重新 进入了这个俱乐部。
在阿德莱德,靠近海滨Glenelg的Glengowrie郊 区首次进入了百万澳元俱乐部,其房价中位数为 103万澳元(约合人民币353万元)。在房价上涨 22.4%之后,附近的沿海郊区Hove现在的房价 中值为114万澳元;在房价上涨14.8%之后,西 部内郊区Torrensville的房价中值为100万澳元。
LJ Hooker Glenelg and Brighton的经纪人 Jarad Henry表示,Glengowrie、Hove和 Brighton正受益于Glenelg的光环效应,这超出 了许多人的预算。“这些姊妹郊区是次佳选择, 因为附近仍然有很棒的商店、咖啡馆和学校。”
他说,家庭被布莱顿和霍夫的豪宅和后院所吸引, 而小户型的人则抢购靠近海岸的复式重建项目。 “在澳大利亚,住在离海滩不远的地方,价值 百万澳元,无论你怎么算,都是极具价值的。”
在墨尔本,Kew East内北郊的房产首次进入 了百万澳元俱乐部,中位价达到110万澳元


(约合人民币444万元)。墨尔本的一些郊区 也重新进入了百万澳元俱乐部:城市内西北部 的Maribyrnong的住宅,外东区的Ringwood East的住宅,以及内东区的Canterbury的住宅。
今年进入百万澳元俱乐部的地区郊区都位于沿海 生活方式区。
Illawarra的Flinders、Port Stephens的 Salamander Bay和新南威尔士州南海岸的Tura Beach的房价中位数都超过了100万澳元。在黄 金海岸,Bilinga首次进入百万澳元俱乐部,而 Biggera Waters在2022年10月离开后又重新 进入。堪培拉郊区的格雷斯也在去年7月离开后 重新进入了百万豪宅俱乐部。
下一个加入百万澳元俱乐部的将是哪个郊区?
Moore表示,更高的利率使人们的负担能力“非 常紧张”。“新的PropTrack住房负担能力指数 显示,住房负担能力处于至少30年来的最低水平。 因此,这将对价格构成一些不利因素。”
不过,他表示,鉴于利率峰值可能即将到来,今 年和明年房价可能会继续缓慢而稳定地上涨。
而且,在未来几个月里,房价表现最好的未必是 那些房价更便宜的郊区。“去年利率上升时,那 些负担得起的郊区当然表现不错。但今年情况就 不一样了。”他说,内城地区现在的表现比城市 边缘更便宜的郊区更强劲。“实际上,我们在悉 尼的市中心地区看到了一些势头,那里的房价比 西南部等地区更高。市区和内南区、北悉尼地区 和下北岸地区也在表现较好的地区之列。”
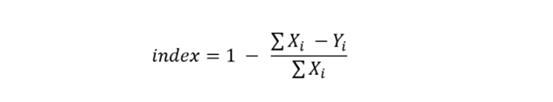
PropTrack住房负担能力指数是衡量澳大利亚住 房负担能力的最新指标。该指数追踪的是自1995 年有记录以来,澳大利亚家庭有能力购买的房屋 销售比例。
与其他指标不同,该指数捕捉了整个收入分配中 家庭的负担能力,以提供更全面的负担能力指标。
这一点很重要,因为根据你的收入、居住地和年 龄的不同,住房负担能力会有很大的不同。
以前衡量负担能力的方法是简单地比较房价或抵 押贷款偿还额与收入,并且只计算“普通”家庭。
这些度量是常用的,因为它们很容易用少量数据 计算。新的PropTrack住房负担能力指数的创新 之一是纳入了收入分配中家庭收入的详细数据和 所有房屋销售价格的详细数据,以提供最全面的 住房负担能力指标。
PropTrack可负担性指数是通过比较一段时间内 的收入、房价和利率来追踪过去一年所有收入阶 层的家庭能够负担的房屋销售比例。例如,一个 中等收入家庭目前只能负担去年售出的所有房屋 的13%,创历史新低。
然后,总体指数将这些股票按收入组合成一个数 字。值越高,越接近1,表明家庭的负担能力越强, 即家庭能够负担与其收入相称的住房;例如,如果 一个收入百分位数为80的家庭可以负担80%的 房屋,以此类推。至关重要的是,尽管收入、利 率和房价在变化,但该指数在不同地区和不同时 期都具有可比性。
技术细节和数据来源
的房屋销售份额。
1.可负担房屋的比例:每个财政年度的房屋销售 份额低于家庭将其总收入的25%用于偿还抵押贷 款,贷款与估值比率为80%的价格。
2.评估抵押贷款利率:由澳大利亚储备银行(RBA) 公布的财政年度末浮动利率贷款的自住业主的平 均新抵押贷款利率。在2019年之前,这一利率 是使用澳大利亚央行的自住业主可变利率贷款指 标贷款利率推算的。在此抵押贷款利率基础上加 上2.5个百分点的固定缓冲,以估计整个收入分 配家庭的借贷能力。
3.家庭收入:使用澳大利亚统计局(ABS)在“澳 大利亚家庭收入和财富”发布中发布的每个收入 十分位数顶部的家庭总收入,作为收入和住房调 查的一部分收集。收入在调查年份之间线性内插, 并根据年度ABS澳大利亚国民账户和ABS工资 价格指数的家庭总收入变化进行外推。
为了计算PropTrack住房负担能力指数,我们取 每个财政年度中每个家庭收入十分位数都能负担 得起的房屋销售份额。然后使用以下公式将每个 十分位数的份额汇总到每个财政年度的汇总指数 度量中:

PropTrack住房负担能力指数总结了在现行抵押 贷款评估利率下,不同收入阶层的家庭所能负担
其中X是收入十分位数(例如10),Y是该收入十 分位数能够负担得起的房屋销售份额。
壹本日报|
南澳本周天气将开启回温模式;阿 德莱德靠近市区的廉价郊区;市长
就阿德莱德大桥争议发表意见;澳
航飞行常客积分价值直线下降
南澳本周天气将开启回温模式
虽然一天内还没有四季分明,但进入春天以来,南 澳大利亚的天气一直很恶劣。
在9月的第一周,该州遭受了暴雨和时速100公 里的破坏性大风的袭击。但是温暖的日子终于来 了。本周气温将继续上升,周四该州最高气温将 达到31摄氏度。气象局的一位发言人说:“一个 星期的好天气即将到来,或者我应该说,是干燥 的天气。”
阿德莱德CBD及周边地区周四也将升至28摄氏 度,而南澳州南部Robe及周边地区的最高气温将 达到22摄氏度。
阿德莱德靠近市区的廉价郊区
想买第一套房子?在这里,你可以在靠近城市的地 方找到最好的买入机会。
数据突出了阿德莱德最实惠的内环,中环和外环郊 区的房屋和单位,揭示了阿德莱德最具成本效益的


选择,可以轻松到达CBD。每个环包含大约相同 数量的房产,内环由距离市中心8公里以内的住 宅组成,中间环由距离市中心8公里至16公里的 住宅组成,外环由距离市中心16公里以上的住宅 组成。
在阿德莱德内环的房屋中,位于阿德莱德北部的 Kilburn代表了首次购房者的最佳选择,在距阿德 莱德8公里的郊区中,这里的房价中位数最低, 为60万澳元。
市长就阿德莱德大桥争议发表意见
阿德莱德市议会已经提出了阿德莱德大桥的升级计 划,因为人们担心它的耐久性会使成千上万的驾车 者和行人处于危险之中。
这座桥横跨Torrens,连接着中央商务区和北阿德 莱德,是成千上万的行人、重型车辆和活动人士进 出Adelaide Oval的必经之路。阿德莱德市议会 发布了一份结构评估的招标书,称这座近100年 历史的混凝土拱桥显示出“恶化和资产寿命缩短的 迹象”。
阿德莱德市长Jane Lomax-Smith表示:“我们 已经研究这个问题好几年了,我认为这座桥确实需 要维护,我们一直在研究如何做到这一点。”
澳航飞行常客积分价值直线下降
澳航(Qantas)的常旅客积分现在贬值得如此之大, 以至于曾经可以让你坐头等舱往返伦敦的积分,现 在只能让你买一张飞往Beirut的单程经济舱机票。
飞行常客计划现在将成为参议院航空调查的一 部分,该调查正在调查卡塔尔航空公司(Qatar Airways)封锁航班的事件,该事件本可以帮助 降低极高的机票价格。反对党交通发言人布里 Bridget McKenzie表示,飞行袋鼠的积分奖励计 划自推出以来已经大幅贬值,需要进行审查。
她说:“澳航的常旅客积分已经逐步降低。”
澳人越来越难以找到想要居住的房屋类型
澳大利亚人正在努力寻找适合他们需求的房产,因 为这个国家没有在人们想要的地方建造和销售足够 的住房。
对网络搜索趋势的分析显示,在澳洲大部分地区, 带后院的四居室住宅是搜索新房的人的最爱。
那些寻找老房子的人倾向于三居室的房子,这是墨 尔本和悉尼以外最受欢迎的选择。这也是在首都城 市寻找房产的人往往最难找到的房子类型。
这是因为它们是成熟地区持有最紧的房产,上市频 率较低,需求较高意味着它们被抢购得更快。
州政府为塔州居民住房贷款提供支持 和许多同龄人一样,32岁的Dan Chisholm和妻 子Jean一直在努力攒房子定金,同时每年要花数 万澳元付房租,眼看着房价不断上涨。州政府的 MyHome共享股权计划结束了这场斗争。
在过去的一年里,超过200个塔斯马尼亚家庭在 MyHome共享资产计划下获得了住房所有权。根 据该计划,政府作为共同借款人参与住房贷款,允 许申请人减少所需的存款金额,
住房部长Nic Street表示,对该计划的反应非常 积极。
他说:“我们知道我们需要建造更多的社会住房和 经济适用房,但在我担任住房和建筑部长的前六周 左右,我已经明确了一件事,那就是我们需要在住 房部门的所有部门共同努力,建造更多的住房。”
青少年犯罪咨询小组将成立
一个新的应对昆士兰州青少年犯罪危机的咨询小组 预计将在圣诞节前成立。
在与直言不讳的受害者倡导团体举行会议后,预计 将在圣诞节前的未来几个月内成立一个应对昆士兰 州青少年犯罪危机的独立委员会。
周四,大约两周前在议会游行后,警察部长Mark Ryan和警察局长Katarina Carroll等几人会见 了“为受害者之声”组织。
警察部长表示,政府同意成立一个由受害者代表组 成的独立咨询小组,以确保受害者的声音得到倾听。
纪念牌匾在太平洋大道揭幕
被害青少年Balin Stewart的永久纪念碑在阳光 海岸海滩揭幕,该家族继续开展打击青少年持刀犯 罪的运动。
亲人们聚集在一起,为被杀害的Buddina少年 Balin Stewart举行的感人海滨纪念碑揭幕仪式。 2021 年 1 月 20 日,在Stewart家外发生的一 起事件中,这名 16 岁的少年被一名当时 17 岁的 男孩刺伤胸部后身亡。
鉴于这场悲剧,父母Michael Stewart和KerriLyn Stewart创立了Balin Stewart Foundation 和Bin the Blade for Balin 运动,旨在减少青少 年持刀犯罪。

壹本日报|
南澳今年年底将开工建造数十套经 济适用房;阿德租房艰难程度名列 全国之首;阿德CBD无家可归问
题严重性突出
南澳今年年底将开工建造数十套经济适用房 据悉,数十套经济适用房将于今年年底开工。
Prospect Corner开发项目将于今年年底开工, 包括180套新住宅,其中大部分的价格都在可 承受范围内。这块占地2.36公顷的土地位于 Regency和Churchill路的拐角处,将包括多层 联排别墅和可负担的出租公寓,但需得到联邦资 金的批准。总的来说,55%的住房将符合“经济 适用房”的标准。
目前,Greater Adelaide地区经济适用房的价格
区间为417,000澳元至479,550澳元。可负担 租金是指租金上限低于市场价格75%的房产。
阿德租房艰难程度名列全国之首
最新数据显示,阿德莱德的租房条件是澳大利亚 最苛刻的。
根据PropTrack发布的市场洞察报告,阿德莱德 8月份的空置率下降了0.13个百分点,目前为 0.68%,是全国最低的。南澳地区的租赁市场同 样紧张,目前为0.69%,本月下降了0.17个百 分点。相比之下,澳大利亚首府城市和边远地区


的全国平均水平为1.1%。
根据该报告,8月份全国空置率出现了一年多来 的最大降幅,下降了0.14个百分点,而空置和可 出租房产的比例目前比2020年3月疫情开始时 低54%。
阿德莱德CBD无家可归问题严重性突出
上周末,阿德莱德Rundle Street竖起了一个小 型露营帐篷,突显了城市街道上日益严重的无家 可归问题。
帐篷位于East End的Hungry Jacks和UPark Rundle停车场入口之间。附近OTR商店的一 名工作人员说,帐篷只在那里放了一天,周日警 察停下来查看了里面,但当时没有人住。Jane Lomax-Smith说,在城市街道上出现这样的临时 避难所表明,这已经成为一个全国性问题的严重 程度。
“每个人都知道存在住房危机。显然,现在的情 况是,有钱的人住的地方更多,也更容易。”
Care for Kids将在全澳举办免费托儿活动 自从政府推出新的补贴政策以来,澳大利亚的儿
童保育咨询量达到了“破纪录”的水平,但也有 令人担忧的负面影响。
今年7月,当联邦政府将最高托儿补贴提高到 覆盖90%的费用时,在线托儿搜索引擎Care for Kids报告称,与前一个月相比,咨询量飙升 了30%,是迄今为止最重要的一个月。Care for Kids首席执行官Ash Sachdev说,虽然新的补 贴让更多的父母更容易重返工作岗位,但需求的 增加给中心带来了额外的压力。
他说:“很多父母以前考虑过照顾孩子,并争论 他们是否应该回去工作,或者留在家里是否更便 宜……政府确实帮助减轻了一些艰难的决定。”
新州教师获得30年来的最大幅加薪
新南威尔士州的教师现在是全国收入最高的公立 学校教育工作者。
上周六,新南威尔士州的教师们给自己打了一颗金 星,新南威尔士州教师联合会投票赞成30年来最 大的加薪。高中教师兼工会代表Alice Leung表示, 这一变化是开创性的。“这是恢复公共教育的第一 步。这是开始结束最低限度监管的第一步。”
“这是很长很长一段时间以来,教师的工资第一
次具有竞争力。”
霍巴特机场寻求解决澳航降落费纠纷
Hobart Airport呼吁澳航新任首席执行官就机场 收费的棘手法律纠纷进行谈判,以达成和解——
这可能会耽误2.4亿澳元的急需的航站楼升级。
机场已经对国家航空公司提起法律诉讼,要求该 航空公司支付80万澳元,声称该航空公司没有支 付。此案正在进行调解。澳航在霍巴特的机场收 费协议于去年11月到期,达成新协议的谈判陷入 停滞。
机场首席执行官Norris Carter表示,机场不想 在最高法院与澳航对抗,但未来收费的不确定性 正在削弱升级的理由。
昆士兰空置率创历史新低
昆士兰州的出租空置率创历史新低,跌破1%,其 中受灾最严重的布里斯班地区更是跌至令人震惊 的0.5%。
昆士兰州除四个地区外的所有地区目前的空置
率均低于 1%,其中受影响最严重的是布里斯班 的Moreton Bay南区,空置率仅为 0.52%, 在 SA4 中排名第三,仅次于西澳的Bunbury和 南澳大利亚的 Barossa。PropTrack经济学家 Anne Flaherty警告称,整个州的租房者将面临 更糟糕的情况,空置率预计将进一步压缩,从而 推动未来几年的租金上涨。
布里斯班中央商务区将进行重大改造
布里斯班中央商务区最具标志性的地标之一正在 进行耗资数百万澳元的重建。
在百货商店巨头Myer离开的令人震惊的消息传 出后,布里斯班中央商务区最具标志性的地标之 一正在进行耗资数百万澳元的重建,希望能够改 变该区域。
邮局广场的主要工程已经开始,为该市最著名的 零售商场进行急需的改造,以迎接 2032 年奥运 会,重新定义 CBD 的中心。
全球投资管理公司 LaSalle 于 2019 年以约 9500 万澳元的价格购买了该区域,以显示对布里 斯班市场的信心。

壹本日报|
南澳在提高儿童识字率行动中全国 领先;阿德公交司机告发儿童暴力 行为;阿德市政厅翻修耗资460万
澳元;悉尼房产开发项目抢购
南澳在提高儿童识字率行动中全国领先 一份新的报告警告说,太多的孩子不能阅读或理 解基本的课文段落。但在提高识字率的行动中, 南澳被视为“灯塔之州”。
因为南澳最近在提高阅读和写作技能方面做出了 改变,为“其他司法管辖区树立了标杆”。该报 告由Code REaD读写障碍网络委托编写,重 点介绍了部署到南澳学校的读写教练团队,以及 2017年对所有一年级学生引入的语音检查。报告 还建议各州和各地区在学生进入高中时引入第二
次筛选,为学习困难的学生提供小组辅导和一对 一干预,并制定目标,减少不符合基本识字标准 的学生比例。
研究报告的作者表示,小组辅导可以为学习困难 的学生带来4个月的额外学习收益,并使他们的 收入能力每年提高至多10%。
阿德莱德公交司机告发儿童暴力行为
爆料者称公交司机正成为10岁以下儿童的目标, 独家数据显示,哪里的问题最严重。


官方数据显示,10岁以下的儿童开始攻击公交车 司机,这暴露出阿德莱德公交网络日益严重的危 机,举报者将其归咎于日益猖獗的公共交通逃票 行为。交通部根据信息自由法发布的新数据显示, 在过去两年中,阿德莱德公交司机发生了149起 事故,或者说每周发生一起以上。
《信息自由法》的数据显示,每年都有数十起暴 力袭击和其他事件,包括投掷石块或瓶子——涉 及10岁的儿童——随地吐痰、激光照射和辱骂。
警方接到了15次报警。
阿德莱德市政厅翻修耗资460万澳元
耗资460万澳元的阿德莱德市政厅外立面修复工 程于周一开始,预计将由纳税人买单。
此次翻新是市政厅157年历史上的首次重大翻新, 将由阿德莱德市议会的更新预算支付。文物专家 Duratec的修复工作预计将耗时16个月,工作 将于2024年底完成。保护工作将包括清洁、修 补裂缝和石头、重新布置砂浆和解决排水问题。
市长Jane Lomax-Smith说,这是一个重要的项 目,以保护建筑的历史和文化意义。她说:“阿德 莱德市是澳大利亚最古老的议会,作为这座精美 建筑的保管人,我们有责任投资于保护。”
悉尼西南部房产开发项目抢购一空
由于悉尼房地产市场上新房短缺,购房者纷纷涌 入悉尼西南部的一个新开发项目,在获得规划批 准仅三个月后,该项目就销售一空。
开发商巨头Walker Corporation位于悉尼西南 部的Appin Grove社区已被完全买下,三个月内 全部259个地块被抢购一空,购房者希望击败过 热的房地产市场,这导致悉尼房价今年迄今为止 增长了8.3%。
Walker的执行主席Lang Walker说,这些地块 的快速销售表明悉尼的家庭想要一片属于自己的 土地。
新州政府正在审查50亿澳元的儿童保育基金 前财政部长Matt Kean宣称,这是吸引女性重返 工作岗位的一种方式,但据了解,政府将审查一 项50亿澳元的托儿基金,该基金将在未来10年 支付新中心的费用。
该一揽子计划是该州首次干预儿童保育,该项目 一直由联邦政府通过收费补贴来运营。传统上, 州政府负责学前教育。The Sunday Telegraph 了解到,尽管该基金是立法规定的,但明斯政府
正在考虑在今年之后改变该基金的用途,因为它 正在审查前联合政府的一些关键政策。
该基金的重新用途是州政府正在进行的一系列改 革之一,该政府正在努力填补预算漏洞,同时也 为自己的选举承诺(如公共部门工资)提供资金。
塔州大篷车注册人数五年间增加46%
随着越来越多的塔斯马尼亚人购买大篷车,灰色 游牧民的崛起仍在继续。但是造成这种现象的关 键因素是什么呢?
自2018年7月以来,该州注册的大篷车数量 增加了46%,从当年的12,738辆增加到2023 年7月的18,587辆。周日,在Launceston Silverdome举行的塔斯马尼亚户外船和大篷车展 上,基础设施和交通部长Michael Ferguson对 记者说,这是“大幅增长”。
他说:“当你得到这样的结果时,它不仅证明了人 口的增长,而且证明了就业市场的强劲,这样人 们就能够做出这些财务决定。”
昆士兰州进入蛇季
昆士兰捕蛇者讲述他多次濒临死亡的经历。此外, 随着昆士兰州进入有史以来最严重的蛇季节。
昆士兰州即将迎来最严重的蛇季节,捕蛇者的呼 救数量已经激增,居民被告知要警惕被咬伤和宠 物面临的风险。
昆士兰大学有毒动物专家Bryan Fry表示,有记 录以来最热的冬天让通常处于休眠状态的蛇变得 活跃起来,并在人们的家中寻找庇护所。
Fry博士表示,随着昆士兰进入预测的炎热干燥 的厄尔尼诺夏季,蛇的活动将继续增加。
表现不良的驾车者将面临巨额罚款
在发生多起致命车祸后,随着该州严厉打击,在 海滩、州立森林和国营露营地表现不良的驾车者 将面临巨额罚款。
到目前为止,在昆士兰公园和野生动物管理局管 理的地区,因未戴头盔、未系安全带或不小心驾 驶等违法行为而被抓的司机,所受到的罚款远低 于在道路上被抓的罚款。其中包括国家公园、 州立森林、国营露营地以及汤斯维尔的Bribie Island, K’gari, 和Cape Pallarenda等其他休 闲区。
但将于 9 月 15 日开始实施的规则重大更新将使 昆士兰公园和野生动物服务中心能够对驾车者处 以与在道路上发生的违法行为相同的罚款。

高温预警!未来几天南澳可能打破9 月最高气温纪录;阿德200套在建房 屋面临危机;阿德莱德港球迷为球队 加油
未来几天南澳可能打破9月最高气温纪录
未来几天,9月份的最高气温可能会打破纪录, 一些天气预报员预测气温最高可达35摄氏度。
这个月开始时天气潮湿,风速达每小时100公里, 还伴有暴雨。但气象局目前预测,本周结束,下 周开始,气温将上升近30摄氏度。天空新闻天气 预报的气象学家Rob Sharpe表示,这可能是较 低的估计。Sharpe表示:“到下周初,天气将变 得非常炎热,尤其是在东南部。”
“大多数预测模型都预测气温将接近35摄氏度,
这确实是9月份的最高纪录。”
200套房屋未完工的阿德建筑商Qattro被清算 随着建筑商Qattro的倒闭,阿德莱德周围目前正 在建造的约200套房屋的命运岌岌可危。
Duncan Powell的清算人Chris Powell和Nick Gyss在一份声明中表示,该公司欠无担保债权人 450多万澳元,在最近几个月进行资本重组失败 后倒闭。
清盘人表示,Qattro有200多个在建或在建前阶


段的建筑项目,总价值超过1.1亿澳元。
Powell先生说:“Qattro一直在Cedar Woods
Fletcher Slip Development和Dock 1 Development建设风筝建筑的各个阶段,以及 其他几个较小的开发项目,包括Underdale, Torrens Park和Lightsview的项目。”
阿德莱德港球迷继续为球队加油
即使是周六输给布里斯班的惨痛失利也不能阻止 阿德莱德港的球迷们在公开训练中为他们的球队 加油。
阿德莱德港的支持者们聚集在Alberton Oval, 看看他们的球队在周六输给布里斯班48分后还剩 下什么。死忠粉表示,他们的球队没有让人失望。
4岁的Noah和他37岁的母亲Corina Wright 一起,设法让他最喜欢的球员在他的球上签名, 包括Charlie Dixon和Connor Rozee。
但Noah对 Sam Powell-Pepper特别钦佩,他 最喜欢Sam,因为“他没有头发,而且跑得很快”。
维州住房负担能力降至三十多年来的最低水平 急剧上升的利率和飞涨的房价使许多维多利亚州
人无法实现拥有住房的梦想,而且看不到任何缓 解的迹象。
但也有一线希望,专家表示,今年春季待售房屋 数量的增加应该会阻止价格的迅速上涨。令人担 忧的是,在去年全州售出的房屋中,假设购房者 以20%的首付购买房屋,且购房者仅将收入的 25%用于抵押贷款,那么该州11.6万澳元的典 型家庭收入只能偿还不到十分之一的贷款。
即使是年收入在20万澳元或以上的家庭,即美国 收入最高的20%的人,也只能负担不到一半的房 屋。
达尔文8月份的租房空置率有所上升
在租赁市场上找房子时,达尔文的居民有了更多 的喘息空间。
当北领地人继续为日益恶化的住房危机而烦恼时, 新的数据显示,住房可用性可能正在上升——尽 管速度缓慢。PropTrack最近发布的最新报告显 示,达尔文是唯一一个房屋空置率上升的首府城 市。8月份,可出租物业的数量增加0.17个百分点, 至1.7%,空置率下降0.22个百分点,至1.96%。
PropTrack经济学家和报告作者Anne Flaherty
说,全国各地的租赁状况没有缓和的迹象。
布里斯班第二水源的呼吁
州政府被指责对东南部第二个水源“没有采取任 何行动”,这可能会使布里斯班明年面临干涸的 风险。
布里斯班居民可能在未来 12 个月内面临用水限 制,昆士兰州东南部的水网预计到明年 9 月将下 降至 50%,再次引发修建第二座水坝的呼声。截 至周一,SEQ 水网利用率为 70.6%。过去10年 里电网的最低水平是在2021年10月,当时跌至 55.3%。
SEQ Water向布里斯班市议会提供的数据显 示,最新预测水网利用率将在2024年1月达到 60%,到2024年9月达到50%。当电网水位达 到 50% 时,就会触发强制限水。
布里斯班可能是昆士兰 NRL 中唯一一支争夺荣耀 的球队,人们对决赛的兴趣再大不过了。
经过27轮比赛,NRL决赛终于来临。既然九支 球队已经被淘汰,布里斯班是昆士兰州唯一的冠 军希望——那么接下来会发生什么呢?对阵勇士 队和骑士队获胜者的比赛将于澳大利亚东部时间
9 月 23 日星期六晚上 7 点 50 分在 Suncorp 体 育场拉开帷幕。总决赛系列门票于周二(9 月 5 日)上午 10 点在 www.nrl.com/tickets 向公众 发售。
NRL 总决赛系列赛将于 9 月 8 日持续至 10 月 1 日。NRL 总决赛将于 10 月 1 日(星期日)在悉 尼雅高体育场举行,这一天是澳大利亚夏令时的 第一天。
St Joseph’s Nudgee College校长宣布辞职
St Joseph’s Nudgee College “备受尊敬” 的校长已宣布辞职,转而担任新设立的职位,这 将扩大他在昆士兰天主教学校的影响力。
Fullagar 先生于 2015 年成为 Boondall 这所拥 有 132 年历史的著名走读和寄宿学校的校长,他 将出任 EREA(澳大利亚Edmund Rice教育) 学院的区域教育总监。
他将影响包括 Nudgee、St Joseph's College Terrace Gregory Terrace(Spring Hill)、 Ambrose Treacy(Indooroopilly)、St Laurence's(南布里斯班)、St Patrick's (Shorncliffe)、St James(布里斯班)、 St. Edmund's (Ipswich)、St Brendan's (Yeppoon)、Ignatius Park (Townsville)以 及全州的许多弹性学校。

航班恢复!阿德直飞迪拜航班计划 重新开通;冰淇淋连锁店将于夏季
在阿德开第三家分店;自愿提供急
救帮助应用程序在南澳拓展
阿德莱德直飞迪拜航班计划重新开通
一家受欢迎的国际航空公司准备将一架空客350 飞机返回阿德莱德机场,并重新开通飞往迪拜的 直飞航班。
Emirates Airbus 350预计将于2024年年中在 阿德莱德机场降落,希望恢复自疫情以来减少的 直飞服务。在周二的一份声明中,该航空公司表 示,他们正在与阿德莱德机场“密切讨论”,以“重 新启动飞往迪拜的直飞服务”。
航班服务的恢复增加了该航空公司的全球网络扩 张计划,“通过允许其机队增长并释放更多阿联 酋航空的远程飞机到阿德莱德等服务点。”
冰淇淋连锁店将于夏季在阿德开第三家分店
炎热的天气即将来临,这意味着冰淇淋!阿德莱德 一家受人追捧的冰淇淋连锁店正在向海滩以外的 地方扩张。
意大利冰淇淋品牌Bottega Gelateria宣布将


在阿德莱德内北区开设第三家门店。Bottega Gelateria以其正宗的冷冻美食而闻名,在 Glenelg的Jetty Rd和Henley Beach都有门店, 现在正在向Prospect扩张。该店在其Instagram 页面上宣布,新店将于10月开业,收到了大量激 动人心的评论。
Bottega Gelateria的网站上写道:“我们相信制 作冰淇淋是一门失传的艺术,在那些更关心保质 期和捷径的人手中被遗弃了太长时间,而不是一 种诚实、简单和纯净的产品。”
自愿提供急救帮助应用程序在南澳拓展
一款在南澳拯救了两岁生命的应用程序正在扩展, 这样所有接受过急救培训的人都可以在附近的紧 急情况下自愿提供帮助。
挽救了两岁儿童生命的GoodSAM应用程序正在 向接受过急救培训的普通公众推广。如果附近有 心脏紧急情况,南澳救护车服务应用程序会向注 册志愿者发送警报,这样他们就可以在救护车在 路上的时候赶到现场并实施心肺复苏术。
该应用程序于去年12月推出,到目前为止,仅限 SAAS员工和志愿者、注册医疗从业者和高等医
疗保健专业学生使用。
塔州近十分之一出租房加入Airbnb
一份新报告描绘了短期住宿市场不可阻挡的增长 趋势,整体住宅上市数量同比增长20%。
一份新的报告进一步揭示了塔斯马尼亚州住房市 场上短期住宿行业的迅猛增长,Airbnb等平台上 上市的整体住宅数量同比增长了20%。根据澳大 利亚房地产研究所(REIA)最新的澳大利亚短期住 宿报告,该报告考虑了2023年3月季度的数据, 塔斯马尼亚州有4255套住宅完全用于短期住宿 (SSA)。
这一数字同比增长20.8%,环比增长5.2%(去年 12月至今年3月)。
新州政府计划拨款永久资助疫情期间新增护士
《每日电讯报》透露,下周的预算将拨出5.72亿 澳元,永久资助全州1000多个护士和助产士职位。
根据新南威尔士州卫生预算的5亿澳元注资,新 冠疫情期间创造的1000多个护理职位将成为永 久性职位。《每日电讯报》透露,下周的预算将
拨出5.72亿澳元,永久资助全州1112个护士和 助产士职位。这些职位的资金将于明年7月用完。
即将到来的“财政悬崖”将导致1112个职位的 资金在明年耗尽,这是工党在选举后逐行审查上 届政府的账目后发现的。
布里斯班地区最危险的道路
一家大型保险公司发布了年度碰撞指数报告,揭 示了全州 10 条最危险的道路。
保险公司 AAMI 发布年度碰撞指数报告,揭示 了该州最容易发生碰撞的地区,布鲁斯高速公路 (Bruce Highway) 被评为昆士兰州最危险的道路, Gympie Rd被评为布里斯班最危险的道路。
该报告分析了 2022 年 7 月至 2023 年 6 月期间 澳大利亚各地超过 35 万起汽车保险索赔,发现 布里斯班是唯一一个女性比男性更容易发生车祸 的首府城市。
昆州医院经常处于崩溃边缘
昆士兰州的主要医院在三个月内至少有 156 次无 法充分满足患者的需求,达到了崩溃的临界点。
《信使邮报》对数据的分析显示,4 月至 6 月期间, 几乎所有关键设施都升级到 3 级(这意味着医院 容量有限或耗尽)超过 10 次,平均时间为 45.5 小时。
数据显示,该州医院处于三级医院的时间总计约 为 7000 小时,这表明在 90 天内的任何时刻, 至少有 3 家医院属于这一极端类别。
澳大利亚昆士兰医学协会主席玛丽亚·博尔顿称 升级数量“令人痛苦”。
财政部长警告昆州经济衰退
一位著名经济学家警告说,人口增长缓慢加上国 际对化石燃料需求下降将为昆士兰州经济带来重 大经济阻力。
昆士兰财政部首席经济学家迈克尔·安东尼斯周 三在昆士兰期货研究所的早餐会上透露了该组织 今年早些时候所做的详细分析,详细说明了全国 经济衰退的可能性。
他表示:“我们在那篇论文中提出的基于模型的估 计表明,未来 12 个月出现衰退的可能性为 50% 至 60%,未来两年出现衰退的可能性为 80%。”


1.区域概况/概述
Fullarton位于南澳州首府阿德莱德的东南方向,常住人口为4237人(2016 Census)。Leawood Gardens的西北 部紧邻Parkside,东部紧邻Glenunga,东南部临近Myrtle Bank,西部紧邻Malvern。此区归Unley Council管辖。


2.学区情况/学校介绍
周边公立学校
Glenunga International High School,Glenunga 5064
公立中学,8-12年级,男女同校,1756名在校生
Highgate School,Highgate 5063
公立小学,1-7年级,男女同校,689名在校生
Glen Osmond Primary School,Myrtle Bank 5064
公立小学,1-7年级,男女同校,368名在校生
Parkside Primary School,Parkside 5063
公立小学,1-7年级,男女同校,399名在校生
Unley Primary School,Malvern 5061
公立小学,1-7年级,男女同校,510名在校生
周边私立学校
Sunrise Christian School Fullarton,Fullarton 5063
私立小学,1-12年级,男女同校,946名在校生
Concordia College - St John's Campus
私立小学,男女同校
St Raphael's School,Parkside 5063
私立小学,1-12年级,男女同校,172名在校生
Concordia College,Highgate 5063
1-12年级,男女同校,1264名在校生
Kirinari Community School Inc,Unley 5061
私立小学,男女同校,54名在校生



Fullarton的大小约为1.3平方公里。2011年Fullarton的人口为4153人。到2016年,人口为4237人,在此期间 该地区的人口增长率为2.0%。Fullarton的主要年龄组是60-69岁。Fullarton的家庭主要是有子女的夫妇,每 月可能偿还1000-1399澳元的抵押贷款还款。一般来说,Fullarton的居民从事专业职业。2011年,Fullarton 64.1%的房屋是自有住房,而2016年为60.3%。(资料来源:澳大利亚统计局)



4.配套设施
Fullarton区内公共配套设施齐全,满足日常生活需 求。有酒店、风味餐馆、学校等。
Fullarton区附近有学校、酒店、公园、旅游景点等。
Fullarton距离Adelaide市中心约4.9公里,开车 需10分钟即可到达市中心。公交线路围绕整个
Fullarton,公共交通十分便利。



5.行情观察
独栋房屋
在过去的12个月里,Fullarton已经卖出了41套独栋房屋,售价中位数为$1.4M,同比增长了9.9%。平均需 要40天即可售出,房东减价为3.5%。

单元房
在过去的12个月里,Fullarton已经卖出了27套单元房,售价中位数为$533K,同比降低了6.8%。平均需要 32天即可售出,房东减价为4.1%。

数据来源:
关于学区情况/学校介绍、人口构成、行情观察: https://www.propertyvalue.com.au/suburb/fullarton-5063-sa
